Дренирование залежи нефти с непрерывным выделением из нефти газа

  • Вид работы:
    Курсовая работа (т)
  • Предмет:
    Геология
  • Язык:
    Русский
    ,
    Формат файла:
    MS Word
    630,71 Кб
  • Опубликовано:
    2013-11-14
Вы можете узнать стоимость помощи в написании студенческой работы.
Помощь в написании работы, которую точно примут!

Дренирование залежи нефти с непрерывным выделением из нефти газа

Содержание

Введение

. Установившееся движение газированной жидкости в пористой среде

. Неустановившееся радиальное движение газированной жидкости в пористой среде

. Приток газированной нефти к скважинам с учетом изменения свойств пластовой жидкости от давления

. Приближенный метод учета интерференции и темпов ввода скважин в эксплуатацию при разработке неоднородных пластов

. Разработка месторождений при режимах растворенного газа и газонапором

Заключение

Список литературы

Введение

В условиях режима растворенного газа вытеснение нефти из пласта к скважинам происходит за счет энергии газа, выделяющегося из нефти при понижении давления ниже давления насыщения. Так как газ растворен по всей нефтенасыщенной области, то, очевидно, в процессе разработки залежи такого типа скважины должны быть размещены так, чтобы в равной степени можно было бы использовать пластовую энергию. Если соблюдать это условие, то можно получить такое размещение скважин, при котором каждая из них (пущенная в эксплуатацию в одно и то же время) будет эксплуатировать свой удельный объем пласта или свою удельную площадь дренирования. Каждый такой объем или каждая удельная площадь дренирования условно ограничены так называемыми нейтральными линиями, на которых градиент давления должен быть равным нулю. Форма удельной площади зависит от принятой сетки размещения скважин: треугольной, прямоугольной (квадратной), либо неравномерной (в соответствии с неоднородностью пласта).

Поскольку залежь, на которой расположены скважины, условно разделена на элементарные удельные объемы (площади), то, очевидно, достаточно первоначально изучить работу лишь одной (типовой скважины), обслуживающей один (свой) удельный объем. Это значительно упрощает гидродинамические расчеты. Однако при этом не учитывается интерференция скважин, такое допущение приводит к значительным погрешностям при оценке технологических показателей разработки и в особенности при неодновременном вводе скважин в эксплуатацию.

подземный гидравлика газ скважина

1. Установившееся движение газированной жидкости в пористой среде

Под неоднородной жидкостью в подземной гидравлике понимается газированная жидкость (смесь жидкости и пузырьков газа), смесь нефти и воды, смесь нефти, воды и газа. Последняя, в отличие от первых двух, представляющих двухкомпонентные системы, является трехкомпонентной системой, поскольку она содержит три разных фильтрующихся компонента нефть, воду и газ.

Уравнения расхода жидкой  и газообразной фаз газированной жидкости в дифференциальной форме имеют вид:

 (1)

 (2)

где - объемный расход жидкой фазы газированной жидкости, движущейся в направлении L;- площадь нормального к направлению L сечения пласта, причем F = F(L);

-приведенный к атмосферному давлению объемный расход газа (свободного и растворенного) через сечение F пласта;

, причем  - атмосферное давление.

Процесс фильтрации газированной жидкости принят изотермическим; кроме того, предполагается, что газ подчиняется закону идеальных газов, растворение газа в жидкости происходит по закону парциальных давлений и вязкости газа  и жидкости  меняются при изменении давления.

Обозначим через газовый фактор. Разделив расход газа (2) на расход жидкости (1) и учитывая, что в условиях установившейся фильтрации газовый фактор постоянен, имеем:

 (3)

Отсюда

 (4)

Уравнение (4) выражает связь между эффективными проницаемостями для газа  и жидкости , газовым фактором Г и давлением .

Обозначим

 

 (5)

и введем функцию G(S). Тогда уравнение (4) приводится к виду:

(6)

Обозначая левую часть уравнения (6) через постоянную ξ:

 (7)

получим:

 (8)

Из формулы (8) имеем:

 (9)

или

 (10)

где

 (11)

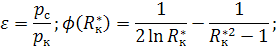
Формула (10) позволяет построить зависимость между безразмерным давлением и насыщенностью жидкостью порового пространства S. Задаваясь различными значениями S и соответствующими им значениями G(S) (в зависимости от того, какими породами представлена пористая среда) и зная величину для данных жидкости и газа, вычисляем по уравнению (10) давление . На рис. 2 показана кривая = (S), построенная нами на основании кривых рис. 1, причем = 0, 015 [1].

Рис. 1 Зависимость фазовых проницаемостей от насыщенности жидкостью порового пространства несцементированных песков.

На рис. 1 приведены полученные экспериментально зависимости фазовых проницаемостей для жидкости и газа от насыщенности S жидкостью порового пространства неоднородных несцементированных песковпроницаемость которых для однородной жидкости 17,8.

Как видно из рис. 3, чем выше давление в пласте тем больше величина фазовой проницаемости для жидкости , а следовательно, больше дебит скважин. Отсюда вытекает, что эксплуатацию скважин выгоднее вести при более высоких давлениях в пласте.

Рис. 2 Зависимость между безразмерным давлением и насыщенностью жидкостью порового пространства S для несцементированных песков.

Рис. 3 Зависимость фазовой проницаемости  от безразмерного давления при фильтрации газированной жидкости в несцементированных песках.

Рис. 4 Характер зависимости газового фактора при пластовом давлении от насыщенности жидкостью порового пространства.

Так как для обеспечения притока нефти к забою скважин необходимо создание депрессии, причем с ростом депрессии дебит скважин увеличивается (см., например, рис. 5), то для повышения добычи более эффективным средством является увеличение депрессии за счет повышения пластового (контурного) давления , но не путем снижения забойного давления . Повышение пластового давления достигается закачкой воды за контур нефтеносности либо газа в сводовую часть пласта. Из сказанного также можно сделать вывод о незначительной эффективности интенсификации добычи нефти путем создания на скважинах вакуума.

Рис. 5 Индикаторная кривая зависимости дебита жидкости и газа от депрессии при установившейся фильтрации газированной жидкости в несцементированных песках.

Допустим, что существует некоторая функция давления Н, которая, будучи подставлена в уравнение, выражающее линейный закон фильтрации, вместо давления , делает это уравнение справедливым для скорости фильтрации жидкой фазы газированной жидкости, иными словами, предположим, что

 (12)

Скоростьфильтрации жидкой фазы газированной жидкости  определяется так:

 (13)

Задаваясь различными значениями нетрудно найти отвечающие им величины интеграла (14), как площади, ограниченные кривой осью абсцисс и ординатами, соответствующими значениям Располагая этими величинами Н*, легко построить кривую зависимости Н* от безразмерного давления .

 (14)

На рис. 6 приведена кривая = для несцементированных песков.

Рис. 6 Рис. 6 Зависимость значений функций от безразмерного давлениядля несцементированных песков.

Таким образом, интересующая функция Н действительно существует и определить ее значение не представляет большого труда, если известно давление . Исходя из изложенного, легко найти формулы расхода жидкости и распределения давления в пласте при установившейся фильтрации газированной жидкости. Для этого достаточно в формулы расхода и распределения давления в пласте при установившейся фильтрации несжимаемой жидкости вместо давления  подставить отвечающие ему значения Н [2].

. Неустановившееся радиальное движение газированной жидкости в пористой среде

Ввиду чрезвычайной сложности реальных процессов фильтрации пластовых флюидов построить полностью подобные физические или геометрические модели невозможно. Поэтому в большинстве случаев ограничиваются приближенным моделированием фильтрационных течений, позволяющим обеспечить адекватное математическое описание процесса разработки нефтяных и газовых месторождений. Изучение этого процесса может проводиться на упрощенных (идеализированных) моделях - схемах одномерных и не одномерных фильтрационных потоков при установившихся или неустановившихся режимах. При изучении фильтрационных потоков жидкости и газа в природных пластах должна быть проведена такая схематизация геометрической формы движения, которая позволяет создать расчетные схемы, учитывающие основные эффекты и позволяющие определить параметры течения. При изучении элементарных фильтрационных потоков основными являются модели установившейся и неустановившейся фильтрации однофазных флюидов (несжимаемых или сжимаемых) в однородной (изотропной) пористой среде. Эти модели являются классическими и позволяют изучать фильтрационные течения методами математической физики. Однако необходимость решения более сложных неодномерных задач фильтрации жидкостей, газов и их смесей в природных пластах потребовала создания более совершенных математических моделей, основанных на лучшем знании и понимании гидродинамических и физико-химических процессов, происходящих в залежи при ее разработке. Использование этих моделей, как правило, связано с применением численных методов и современной вычислительной техники. Данная глава посвящена изучению простейших одномерных установившихся потоков жидкости и газа в пористой среде по линейному и нелинейному закону фильтрации. Одномерным называется фильтрационный поток жидкости или газа, в котором скорость фильтрации, давление и другие характеристики течения являются функциями только одной координаты, отсчитываемой вдоль линии тока. Наиболее характерными, применительно к процессам фильтрации нефти, воды и газа, одномерными потоками являются:

прямолинейно-параллельный фильтрационный поток;

плоскорадиальный фильтрационный поток;

Приведем краткое описание этих потоков. Прямолинейно-параллельный фильтрационный поток. Предположим, что при фильтрации флюида траектории всех частиц параллельны, а скорости фильтрации во всех точках любого поперечного (перпендикулярного линиям тока) сечения равны друг другу. Законы движения вдоль всех траекторий такого фильтрационного потока одинаковы, а поэтому достаточно изучить движение вдоль одной из траекторий, которую можно принять за ось координат ось х (рис. 7). Прямолинейно-параллельный поток имеет место в лабораторных условиях при движении жидкости или газа через цилиндрический керн или через прямую трубу постоянного диаметра, заполненную пористой средой; на отдельных участках продуктивного пласта при движении жидкости к батарее скважин, если пласт постоянной толщины имеет в плане форму прямоугольника (см. рис. 7). Линии тока будут искривляться только вблизи скважин. Если уплотнить сетку скважин в батарее заменить батарею сплошной прямолинейной выработкой галереей, то движение к галерее будет строго прямолинейно-параллельным. Поток можно считать прямолинейно-параллельным на некотором участке между нагнетательной и добывающей батареями скважин.

Рис. 7 Схема прямолинейно-параллельного потока к батарее скважин.

Рис. 8 Схема прямолинейно-параллельного течения в пласте.

Пласт, в котором имеет место прямолинейно-параллельный поток, удобно схематизировать в виде прямоугольного параллелепипеда высотой h (толщина пласта), шириной В и длиной L (рис. 8). Левая грань является контуром питания, здесь давление постоянно и равно  правая грань - поверхность стока (галерея) с давлением . Все остальные грани непроницаемы.

Плоскорадиальный фильтрационный поток. Предположим, что имеется горизонтальный пласт постоянной толщины h и неограниченной или ограниченной протяженности. В пласте пробурена одна скважина, вскрывшая его на всю толщину и имеющая открытый забой. При отборе жидкости или газа их частицы будут двигаться по горизонтальным траекториям, радиально сходящимся к скважине. Такой фильтрационный поток называется плоскорадиальным. Картина линий тока в любой горизонтальной плоскости будет одинакова, и для полной характеристики потока достаточно изучить движение флюида в одной горизонтальной плоскости. В плоскорадиальном одномерном потоке давление и скорость фильтрации в любой точке зависят только от расстояния r данной точки от оси скважины.

а) б)

Рис. 9 Схема плоскорадиального потока в круговом пласте: a) общий вид; б) план.

Рис. 10 Вертикальное сечение радиально - сферического фильтрационного потока.

На рис. 9, а, б, приведена схема плоскорадиального фильтрационного потока. Схематизируемый пласт ограничен цилиндрической поверхностью радиусом , (контуром питания), на которой давление постоянно и равно; на цилиндрической поверхности скважины радиусом rc (забой скважины) давление равно . Кровля и подошва пласта непроницаемы. На рис. 9, б, приведены сечение пласта горизонтальной плоскостью и радиальные линии тока, направленные к скважине. Если скважина не добывающая, а нагнетательная, то направление линий тока надо изменить на противоположное.

Радиально - сферический фильтрационный поток. Рассмотрим схему пласта неограниченной толщины с плоской горизонтальной непроницаемой кровлей. Скважина сообщается с пластом, имеющим форму полусферы радиусом , (рис. 10). При эксплуатации такой скважины траектории движения всех частиц жидкости или газа в пласте будут прямолинейными в пространстве и радиально сходящимися в центре полусферического забоя, в точке О. В таком установившемся потоке давление и скорость в любой его точке будут функцией только расстояния г этой точки от центра полусферы. Следовательно, этот фильтрационный поток является также одномерным и называется радиально-сферическим. Такой поток может реализовываться вблизи забоя, когда скважина вскрывает только самую кровлю пласта или глубина вскрытия h значительно меньше толщины пласта. Описанные схемы одномерных фильтрационных потоков позволяют создавать простейшие модели реальных течений, возникающих при разработке нефтегазовых месторождений и решать практические задачи. Задача исследования установившегося фильтрационного потока заключается в определении следующих характеристик: дебита (или расхода), давления, скорости фильтрации в любой точке потока, а также установление закона движения частиц жидкости или газа вдоль их траекторий и определение средневзвешенного по объему порового пространства пластового давления [3].

Между процессами, происходящими в газовой залежи и в нефтяной залежи в период эксплуатации в условиях соответственно газового режима и режима растворенного газа, имеется много общего. В обоих случаях единственной энергией, за счет которой происходит продвижение жидкостей и газов из пласта к скважинам, является энергия сжатого газа (влиянием силы тяжести в большинстве случаев можно пренебречь). Это позволяет методы решения задач о неустановившейся фильтрации газов в условиях газового режима приложить к решению ряда задач о неустановившейся фильтрации газированной жидкости в условиях режима растворенного газа.

Рассмотрим задачу о неустановившемся радиальном движении газированной жидкости в пористой среде в условиях режима растворенного газа. Модель пласта представлена на рис. 11.

Обозначим:

Ω  - объем порового пространства нефтяной залежи;

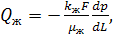
 - дебит жидкости;

S - средневзвешенная по объему насыщенность порового пространства жидкостью:

 (15)

 

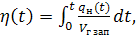
t - время.

Тогда дифференциальное уравнение истощения нефтяной залежи может быть написано в следующем виде:

 (16)

Рассматривая по аналогии с фильтрацией газа процесс неустановившегося радиального движения газированной жидкости в пористой среде как непрерывную последовательность стационарных состояний, для определения дебита воспользуемся формулой (17).

 (17)

Рис. 11 Горизонтальное сечение гидродинамически совершенной скважины и плоско-радиального потока жидкости к ней.

- горизонтальное сечение скважины (индекс с всегда будет соответствовать первой букве слова «скважина»); - сечение контура области питания; и - концентричные окружности, радиусы которых равны и.

При радиальной фильтрация газа среднее давление  в газовой залежи с достаточной для практики точностью может быть принято равным контурному давлению .

Фильтрацию чистого газа и мертвой (не содержащей пузырьков окклюдированного газа) нефти можно рассматривать как частные случаи фильтрации газированной нефти при газовых факторах, соответственно равных бесконечности и нулю. Поэтому можно утверждать, что при движении газированной жидкости величина  отношения среднего давленияк контурномузаключена в пределах


где индексы г, г.ж и ж относится соответственно к газу, газированной жидкости и однородной несжимаемой жидкости.

 (18)

 (19)

В связи с этим представляет интерес определить значения  Поскольку формула (18) распределения давления в пласте при радиальной фильтрации несжимаемой однородной жидкости аналогична формуле распределения плотностейпри радиальной фильтрации сжимаемой жидкости, то для определения величины  можно воспользоваться формулой (19), в которой под величиной следует понимать отношение давления на скважине к давлению на контуре:

, (20)

где

 (21)

Значения могут быть взяты из графика рис. 8.

В таблицу помещаются значения  и  и показывается разница между ними в процентах для различных значений  и . В таблице значения  и весьма мало различаются по величине и близки к единице. Следует иметь в виду, что в условиях режима растворенного газа противодавления на скважинах в течение продолжительного времени могут быть значительными. Значения в этот период времени обычно равны 0,6-0,9 в зависимости от проницаемости пласта. Величины   всегда больше 500. Поэтому для практических расчетов при радиальной фильтрации газированной жидкости с достаточной точностью можно принять


Рис. 12 Значения функции .

Практика эксплуатации нефтяных месторождений показывает, что при неограниченном отборе нефти, как и в случае разработки газовых месторождений, при наличии недостаточно стойких коллекторов часто образуются песчаные пробки, поровое пространство призабойной зоны пласта забивается мелкими частицами и в связи с этим резко уменьшается дебит нефтяных скважин, а иногда полностью прекращается приток нефти к скважинам.

Образование песчаных пробок и засорение призабойной зоны пласта являются, как и при эксплуатации газовых месторождений, следствием допущения вблизи скважины слишком больших скоростей движения. При чрезмерно высоких скоростях движения газированная жидкость увлекает за собой мельчайшие и мелкие фракции песка и цементирующих песчинки веществ, в результате чего и образуются песчаные пробки в скважинах или закупориваются поровые каналы в призабойной зоне пласта. Для предотвращения этих осложнений эксплуатация нефтяных скважин в рассматриваемых условиях должна вестись таким образом, чтобы скорость фильтрации жидкости и газа в призабойной зоне пласта не превышала некоторого допустимого максимального значения, зависящего от механического состава, степени сцементированности песка и физических свойств жидкостей и газов. Поддержание в течение эксплуатации нефтяной скважины этой максимально допустимой скорости фильтрации у забоя означает отбор максимально возможного количества нефти и вместе с тем исключает возможность осложнений при эксплуатации, связанных с допущением чрезмерно высоких скоростей движения жидкостей и газов.

Начальный период (первые месяцы) неустановившейся радиальной фильтрации газированной жидкости в условиях режима растворенного газа характеризуется высокими дебитами жидкости и газа. Величина дебита жидкости быстро уменьшается с течением времени. Темп падения дебита газа меньше, чем темп падения дебита жидкости.

По мере разработки нефтяной залежи давления в пласте и на забое скважин постепенно снижаются и, наконец, наступает момент, когда давление на скважинах достигает некоторого минимального значения, уменьшение которого нежелательно с точки зрения техники подъема нефти на поверхность (необходимость сохранения оптимального погружения в жидкость подъемных труб в случае компрессорной эксплуатации и обеспечения нужного погружения насосных труб при глубоконасосной эксплуатации).

Следовательно, независимо от предшествующих условий отбора в течение оставшегося периода времени разработки нефтяной залежи отбор жидкости и газа производится при сохранении постоянного давления на скважинах [1].

3. Приток газированной нефти к скважинам с учетом изменения свойств пластовой жидкости от давления

Каждая нефтяная и газовая залежь обладает запасом естественной пластовой энергии, количество которой определяется величиной пластового давления и общим объемом всей системы, включая нефтяную и водяную зону.

До вскрытия пласта скважинами жидкость и газ находятся в статическом состоянии и располагаются по вертикали соответственно своим плотностям. После начала эксплуатации равновесие в пласте нарушается: жидкости и газ перемещаются к зонам пониженного давления ближе к забоям скважин. Это движение происходит вследствие разности (перепада) пластового (начального) давления и давления у забоев скважин. Накопленная пластовая энергия расходуется на перемещение жидкости и газа по пласту и подъем их в скважинах, а также на преодоление сопротивлений, возникающих при этом перемещении.

Коэффициент продуктивности скважин - количество нефти и газа, которое может быть добыто из скважины при создании перепада давления на ее забое 0,1 МПа. В зависимости от видов энергии, используемых при отборе флюидов из пласта, различают режимы эксплуатации залежей: водонапорный, газонапорный,  растворенного газа и гравитационный.

Водонапорный режим связан с вытеснением нефти и перемещением ее по капиллярам в пласте за счет напора контактирующей с ней воды. Различают жесткий и упругий водонапорные режимы. При жестком водонапорном режиме нефть к скважинам перемещается за счет краевых и подошвенных вод, количество которых пополняется за счет атмосферных осадков и поверхностных водоемов. Упругий водонапорный режим эксплуатации основан на упругом сжатии жидкости (воды) и горных пород пластов в естественном состоянии и накоплении ими упругой энергии. Коэффициент нефтеотдачи пласта (- отношение извлекаемых запасов к начальным геологическим запасом нефти или газа) при водонапорном режиме самый высокий - 0,5 ч 0,8.

Газонапорный режим связан с перемещением нефти в капиллярах пласта под давлением контактирующего с ней газа (расширения газовой шапки), при этом  = 0,4 ч 0,7.

Гравитационный режим эксплуатации нефтяных скважин наступает обычно при полном истощении пластовой энергии. При гравитационном режиме пласта единственной движущей силой перемещения нефти по капиллярам пласта является сила тяжести нефти в пласте. Перемещение нефти происходит только в наклонных (падающих) пластах к скважинам, расположенным в их нижних точках.

Гравитационный режим - наименее эффективный из всех режимов  эксплуатации скважин ( = 0,1 ё 0,2).

Режим растворенного газа характерен для нефтяных месторождений, у которых свободный газ в залежи отсутствует, а в нефтяную часть пласта практически не поступает пластовая вода. Движущей силой, способствующей перемещению нефти в пласте к забою скважины, в этом случае является растворенный газ. Коэффициент нефтеотдачи при режиме растворенного газа очень низкий и составляет 0,15; 0,3.

В зависимости от геологических условий и условий эксплуатации пластовая энергия проявляется в виде сил, способствующих движению флюидов [2].

Приток жидкости, газа, воды или их смесей к скважинам происходит в результате установления на забое скважин давления меньшего, чем в продуктивном пласте. Течение жидкости к скважинам исключительно сложно и не всегда поддается расчету. Лишь при геометрически правильном размещении скважин (линейные или кольцевые ряды скважин и правильные сетки), а также при ряде допущений (постоянство толщины, проницаемости и других параметров) удается аналитически рассчитать дебиты этих скважин при заданных давлениях на забоях или, наоборот, рассчитать давление при заданных дебитах. Однако вблизи каждой скважины в однородном пласте течение жидкости становится близким к радиальному. Это позволяет широко использовать для расчетов радиальную схему фильтрации.

В некоторых случаях добывающая скважина дренирует одновременно несколько пропластков с различными проницаемостями, толщинами, вязкостями нефти, а также пластовыми давлениями. Однако приток в такой сложной системе будет происходить при одинаковом забойном давлении (приведенном). При этом некоторые пропластки с меньшим пластовым давлением, чем на забое скважины, способны поглощать жидкость.

Поскольку формулы описывают радиальную фильтрацию в пласте, то в них необходимо подставлять значение вязкости нефти при пластовых условиях, то есть при пластовых температуре и давлении с учетом соответствующего количества растворенного газа.

Зависимости насыщенности от давления на контуре замкнутой залежи газированной нефти справедливы в предположении, что в процессе разработки залежи вязкость нефти не изменяется: считалось, что в процессе дегазации не изменяется и объем нефти, т.е. предполагалось, что объемный коэффициент нефти остается постоянным и равным единице. Далее также считалось, что растворимость газа в пластовых условиях подчиняется линейному закону Генри, а вязкость нефти не зависит от давления. Методика расчетов разработки залежи базировалась на экспериментальных зависимостях относительных проницаемостей для жидкости и газа от насыщенности, полученных Р. Виковым и М. Ботсетом.

Исследования показали, что в процессе истощения залежи ни одно из перечисленных условий фактически не соблюдается; вязкость нефти, ее объемный коэффициент и коэффициент растворимости газа меняются с изменением давления. В связи с этим, допущения, сделанные при гидродинамических расчетах движения газированной нефти, часто приводят к существенным погрешностям. Во избежание этих погрешностей необходимо учитывать свойства пластовых жидкостей и их изменения в процессе разработки. Тогда при установившемся полоскорадиальном течении реальной газированной жидкости в пористой среде система уравнений запишется так:

 (22)

(23)

Правые части системы уравнений равны нулю, так как считается, что характеристика потока не зависит от времени и является функцией только координат.

Очевидно, скорость фильтрации жидкой фазы

 (24)


 (25)

где  и - коэффициенты аппроксимации (постоянные для данной нефти и газа при определенных давлениях).

Подставляя уравнение прямой, получим:

 (26)

Коэффициенты и   определяются из уравнения прямой, записанного для  и 

 (27)


Коэффициенты   и  определяют по графику зависимости вязкости нефти , объемного коэффициента  и растворимости газа в нефти Nот давления по кривым фазовых проницаемостей.

Такая приближенная замена подинтегральной функции (27) значительно упрощает расчеты притока газированной нефти к скважинам: к тому же получаемые результаты хорошо сходятся с данными, полученными при более точных вычислениях. В связи с этим гидродинамические расчеты притока нефти к скважинам при проектировании разработки залежей в условиях режима растворенного газа можно вести следующим образом. Прежде всего рассчитывается зависимость пластовое давление - нефтенасыщенность. Затем для каждой пары значений определяют дебиты нефти при заданном забойном давлении или при заданном дебите - забойное давление [1].

. Приближенный метод учета интерференции и темпов ввода скважин в эксплуатацию при разработке неоднородных пластов

Ряд незначительных по запасам нефтяных месторождений СНГ разрабатывались при режиме растворенного газа. Большинство месторождений США в основной период разработки эксплуатируют при естественных режимах истощения и, в частности, при режиме растворенного газа, и лишь на поздних стадиях разработки с поддержанием давления.

Одной из актуальнейших задач при проектировании и разработке нефтяных месторождений является задача установления целесообразного времени начала разработки с применением систем воздействия и, в частности, заводнения.

Для решения указанных задач необходимо выполнить гидродинамические расчеты изменения технологических показателей разработки залежи нефти при режиме растворенного газа. Дона настоящего времени эти гидродинамические расчеты выполняют для идеализированных условий равномерного размещения и одновременного ввода всех скважин в эксплуатацию. При этом расчеты проводят лишь для одной скважины, а показатели разработки залежи нефти в целом получают путем суммирования пропорционально числу скважин без учета влияния интерференции и темпов ввода их в эксплуатацию.

Из практики разработки месторождений нефти известно, что в первые годы их эксплуатации пользуются разведочными скважинами, расположенными по неравномерной сетке, и в последующем разбуривают по той или иной системе размещения скважин в соответствии с комплексной схемой разработки в течение 3-5 лет. Неучет интерференции и темпов ввода скважин в эксплуатацию существенно влияет на проектные технико-экономические показатели разработки. Особенно влияние этих факторов велико на нефтеотдачу при разработке месторождений нефти в условиях режима растворенного газа. Действительно за период ввода новых скважин в эксплуатацию (в зависимости от темпов ввода) свойства газированной нефти могут значительно измениться. Эти скважины будут эксплуатироваться при других физических и термодинамических условиях (по сравнению с ранее введенными в эксплуатацию). Обычно нефтеотдачупри режиме растворенного газа определяют лишь по зависимости давления от нефтенасыщенности

 (28)

где зависимость  и  - функции времени

Зависимость же  определяется, в основном, по изменению свойств газонасыщенной жидкости, газового фактора и фазовых проницаемостей от давления. Таким образом, нефтеотдача  по (28) определяется по значению конечного давления в залежи нефти, при котором выполняются расчеты по уравнению (28). Однако зависимость  неоднозначна. Одно и то же значение  можно получить при различных заданных темпах отбора (дебитах скважин), темпах и последовательности ввода скважин в эксплуатацию, различных параметрах пласта. Даже в условиях одинаковых по проницаемости и мощности залежей нефти одному и тому же значению  в зависимости от заданных дебитов нефти скважин (темпов отбора), темпов и последовательности ввода их в эксплуатацию может соответствовать несколько значений , а следовательно, и . Эту неопределенность в расчетах нефтеотдачи при режиме растворенного газа можно исключить путем учета интерференции скважин в процессе их эксплуатации и оценки нефтеотдачи из условия материального баланса:

 (29)

где  - запасы.

Приближенный метод расчетов технологических показателей разработки с учетом интерференции скважин при режиме растворенного газа предполагает сведение системы нелинейных дифференциальных уравнений, описывающих процесс нестационарной фильтрации газированной нефти в пористой среде, к одному линейному уравнению типа теплопроводности, которое обычно применяют для характеристики процесса фильтрации при упругом режиме.

При этом вводятся понятия об эквиваленте упругости (сжимаемости) и пьезопроводности газонефтяной смеси и пласта, а принципы гидродинамических расчетов при режиме растворенного газа по существу сводятся к принципам расчетов при упругом режиме фильтрации.

Таким образом, при режиме растворенного газа, так же как и при упругом режиме, можно определить технологические показатели разработки с учетом интерференции скважин, темпов и последовательности ввода их в эксплуатацию, используя принцип суперпозиции источников - стоков и метод смены стационарных состояний, шаг за шагом, в определенных интервалах изменения пластового давления во времен, в пределах которых пьезопроводность газированной нефти можно принять постоянной [1].

. Разработка месторождений при режимах растворенного газа и газонапором

Разработка нефтяного месторождения при упругом режиме - это осуществление процесса извлечения нефти из недр в условиях, когда пластовое давление превышает давление насыщения, поля давлений и скоростей продвижения нефти и воды, насыщающих пласт, а также воды в его законтурной области неустановившиеся, изменяющиеся во времени в каждой точке пласта.

Упругий режим проявляется во всех случаях, когда изменяются дебиты добывающих нефть скважин или расходы воды, закачиваемой в нагнетательные скважины. Однако даже при установившемся режиме в пределах нефтеносной части пласта, например в процессе разработки месторождения, с использованием законтурного заводнения, в законтурной области будет наблюдаться перераспределение давления за счет упругого режима. Упругий режим с точки зрения физики - расходование или пополнение упругой энергии пласта, происходящее благодаря сжимаемости пород и насыщающих их жидкостей. При пуске, например, добывающей скважины давление в ней уменьшается по сравнению с пластовым. По мере отбора нефти запас упругой энергии в призабойной зоне уменьшается, т. е. нефть и породы оказываются менее сжатыми, чем раньше. Продолжающийся отбор нефти из пласта приводит к дальнейшему расходованию запаса упругой энергии и, следовательно, к расширению воронки депрессии вокруг скважины.

С уменьшением пластового давления до значения, меньшего, чем давление насыщения, из нефти начнет выделяться растворенный в ней газ, и режим пласта изменится - упругий режим сменится режимом растворенного газа или газонапорным [2].

При уменьшении давления ниже давления насыщения в разрабатываемом пласте развивается режим растворенного газа. Когда насыщенность порового пространства свободным газом, выделившимся из нефти, еще мала, газ остается в нефти в виде пузырьков. С увеличением же газонасыщенности в связи с прогрессирующим снижением пластового давления пузырьки газа всплывают под действием сил гравитации, образуя в повышенной части пласта газовое скопление - газовую шапку, если ее образованию не мешает слоистая или иная неоднородность.

В отличие от первичных газовых шапок нефтегазовых месторождений, существовавших в них до начала разработки, газовая шапка, образовавшаяся в процессе разработки, называется вторичной. Выделяющийся из нефти газ, расширяясь со снижением давления, способствует вытеснению нефти из пласта. Режим пласта, при котором происходит такое вытеснение нефти, называют режимом растворенного газа. Если произошло отделение газа от нефти в пласте в целом и образовалась газовая шапка, режим растворенного газа сменяется газонапорным.

Опыт разработки нефтяных месторождений и теория фильтрации газонефтяной смеси с учетом сил гравитации показывают, что почти всегда режим растворенного газа довольно быстро переходит в газонапорный. Часто режим растворенного газа может существовать в нефтяном пласте в сочетании с упругим режимом в его законтурной области или даже в сочетании с водонапорным, если пластовое давление близко к давлению насыщения. Тогда вблизи добывающих скважин возникает режим растворенного газа, а вблизи нагнетательных - водонапорный. Такие режимы пластов называют смешанными.

Рассмотрим разработку пласта при смешанном режиме - упругом в его законтурной области и растворенного газа - в нефтенасыщенной части пласта. Пусть разрабатываемый пласт имеет форму, близкую к кругу (рис. 13). Его законтурная водоносная область достаточно хорошо проницаемая и простирается очень далеко ("до бесконечности"). Она разрабатывается при упругом режиме. Давление на контуре нефтенасыщенной части пласта можно определить уже по другой по методике.

Рис. 13 Схема нефтяного месторождения круговой формы в плане, разрабатываемого при смешанном режиме:

- условный контур нефтеносности; 2 - аппроксимация условного контура нефтеносности окружностью радиусом R; 3 - добывающие скважины

Пусть нефтяной пласт разрабатывается с использованием равномерной сетки добывающих скважин. Радиус контура питания каждой добывающей скважины  можно считать равным половине расстояния между скважинами. Если пластовое давление (- давление насыщения). При приближенном расчете дебитов добывающих скважин можно принять, где - некоторый постоянный коэффициент.

При смешанном режиме давление на контурах добывающих скважин определяют с учетом контурного в нефтяной залежи, которое, в свою очередь, вычисляют на основе теории упругого режима, если задано изменение во времени текущего поступления воды из законтурной области в нефтенасыщенную часть пласта .

Если давление на контуреблизко к давлению насыщения, но ниже его и, следовательно, насыщенность пласта свободным газом незначительна, то можно приближенно считать текущий объем поступающей воды в нефтенасыщенную часть пласта из законтурной области равным текущей добыче пластовой нефти, т. е. .

Если известна текущая добыча пластовой нефти из нефтяной залежи в целом, то необходимо лишь вычислить дебиты скважин с тем, чтобы определить, сколько скважин необходимо пробурить на залежи для обеспечения указанной текущей добычи нефти.

Определим дебиты скважин при режиме растворенного газа. Перераспределение давления вблизи скважин происходит значительно быстрее, чем изменение контурного в нефтяной залежи и соответственно давления на контуре питания скважин. Поэтому распределение давления при можно считать установившимся в каждый момент времени, т. е. квазистационарным.

На характер течения газированной нефти в пористой среде влияет растворимость в ней газа. Для количественного определения растворимости газа в нефти в теории разработки нефтяных месторождений обычно используют закон Генри. Однако, по-видимому, в зависимости от свойств конкретных нефтей и газов представляют этот закон различным образом.

Для расчетов разработки пластов при режиме растворенного газа используют формулу закона Генри обычно в следующем виде:

 

где  - объем газа, приведенный к стандартным (атмосферным) условиям, растворенный в нефти;  - коэффициент растворимости;  - объем нефти в пластовых условиях вместе с растворенным в ней газом;  - абсолютное давление.

Для реального газа необходимо учитывать коэффициент его сверхсжимаемостиПри изотермическом процессе уравнение состояния реального газа можно представить в виде

 

где - соответственно плотность и коэффициент сверхсжимаемости газа при пластовом   и атмосферном  давлениях.

В приведенных расчетах предполагалось, что законтурная область пласта обладает достаточно высокими фильтрационными свойствами. Но даже в случае такого предположения давление на круговом контуре пласта падает весьма интенсивно.

Если же проницаемость в законтурной области в несколько раз ниже, чем в самом пласте, или пласт выклинивается за контуром нефтеносности, что часто бывает, то приток воды в нефтенасыщенную часть пласта становится незначительным и можно считать, что нефтяная залежь замкнутая, а законтурная вода неактивная.

Будем считать, что в рассматриваемом случае выделение пузырьков газа из нефти затруднено из-за слоистости пласта. В этом случае в пласте разовьется в чистом виде режим растворенного газа.

Для упрощения расчета разработки пласта при этом режиме можно считать, что течение газа к каждой скважине, ограниченной контуром радиуса (рис. 8), квазистационарное - установившееся в каждой линии тока, но изменяющееся во времени [1]

Заключение

Дренирование залежи нефти с непрерывным выделением из нефти газа и переходом его в свободное состояние, увеличением за счет этого объема газонефтяной смеси и фильтрации этой нефти к точкам пониженного давления (забои скважин) называется режимом растворенного газа.

Источником пластовой энергии при этом режиме является упругость газонефтяной смеси.

Условия существования режима растворенного газа следующие:

пластовое давление меньше давления насыщения;

отсутствие законтурной воды или наличие неактивной законтурной воды;

отсутствие газовой шапки;

геологическая залежь должна быть запечатана.

При этих условиях пластовая энергия равномерно распределена во всем объеме нефтенасыщенной части пласта. При таком режиме правомерен принцип равномерного размещения скважин по площади залежи.

Список литературы

1. Донцов К.М. Проектирование разработки нефтяных месторождений. -М.: Недра. 1977. - 360 с.

. Жданов М.А. Нефтегазопромысловая геология и подсчет запасов. -М.: Недра, 1981. - 453 с

3. Маскет М.В. Течение однородных жидкостей в пористой среде. -М.: Ижевск: ИКИ, 2004. - 628 с.

Похожие работы на - Дренирование залежи нефти с непрерывным выделением из нефти газа

 

Не нашли материал для своей работы?
Поможем написать уникальную работу
Без плагиата!
Без нейросетей!