Численность населения Великого Новгорода
Федеральное
государственное бюджетное образовательное учреждение высшего профессионального
образования
РОССИЙСКАЯ
АКАДЕМИЯ НАРОДНОГО ХОЗЯЙСТВА И ГОСУДАРСТВЕННОЙ СЛУЖБЫ ПРИ ПРЕЗИДЕНТЕ РОССИЙСКОЙ
ФЕДЕРАЦИИ
НОВГОРОДСКИЙ
ФИЛИАЛ
кафедра
теории и управления
КОНТРОЛЬНАЯ
РАБОТА
ПО КУРСУ:
«Статистика»
НА ТЕМУ:
«Численность населения Великого Новгорода»
Выполнил
Гудкова И.Г.
Преподаватель:
Голик Ф.В.
Великий
Новгород, 2012
Содержание
1. Объект исследования
2. Цель и задачи исследования
. Программа наблюдения и сбор
первичных данных
3.1 Организационная форма наблюдения
.2 Вид статистического наблюдения
.3 Способ статистического наблюдения
. Систематизация первичных данных
.1 Группировка первичных данных
.2 Табличная форма отображения
первичных данных
.3 Графическое отображение первичных
данных
. Статистические показатели
.1 Показатели среднего
.2 Показатели вариации
.3 Показатели динамики
. Расчет и анализ статистических
показателей
.1 Расчет показателей описательной
статистики
.2 Гистограммы
.3 Корреляция динамических рядов
численности населения
6.4 Анализ регрессии
6.4.1 Регрессия численности
населения
6.5 Прогноз численности и денежных
доходов населения
.5.1 Прогноз численности населения
Выводы
Список литературы
1. Объект исследования
статистика новгород население
численность
Численность населения Великого Новгорода
снижается начиная с 1992 года. До 1992 года, начиная с XIX века, численность
города росла.
На сокращение численности населения влияет
сохраняющаяся в области естественная убыль, т. е. превышения числа умерших над
числом родившихся. В 2010 году в области умерло 12.8 тысячи человек, родилось
7.2 тысячи человек, число умерших превысило число родившихся в 1.8 раза. Объемы
миграции в области не достаточны для обеспечения прироста населения. В целом по
области и в городской местности в 2010 году наблюдалась миграционная убыль
населения: по области - 387 человек, в городской местности - 1216 человек.
Миграционный прирост населения был отмечен лишь в сельской местности (829
человек). Естественная убыль в сельской местности в 2.7 тысячи человек была
компенсирована миграционным приростом на 30.2%.
Власти города прогнозируют значительный рост
численности населения города до 2025 года, прежде всего за счет миграционного
притока трудовых ресурсов.
Анализ показателей статистики населения является
одним из важнейших условий проведения государством успешной и эффективной
социально-демографической политики.
Статистика населения изучает свой объект в
конкретных условиях места и времени, выявляя все новые формы его движения:
естественное, миграционное, социальное.
Таким образом, объектом исследования является
численность населения Великого Новгорода в динамике за период 2001- 2010гг.
2. Цель и задачи исследования
Цель исследования состоит в анализе динамики
численности населения Великого Новгорода, и осуществлении прогноза на ближайшие
3 года.
Для достижения поставленной цели необходимо
решить следующие задачи:
собрать первичные данные - сведения о
численности населения за исследуемый период;
обработать первичные данные - провести
необходимые группировки, оформить первичные данные в виде таблиц и графиков;
определить перечень статистических показателей,
необходимых для достижения поставленной цели;
проанализировать динамику численности населения
и сделать прогноз.
3. Программа наблюдения и сбор первичных данных
.1 Организационная форма наблюдения
Для изучения численности населения Великого
Новгорода будет использована статистическая отчетность, которая составляется на
основе первичных данных. Основными источниками статистики населения являются
переписи населения как специально организуемые наблюдения и текущая регистрация
актов гражданского состояния, осуществляемая органами записей актов
гражданского состояния, а также текущая регистрация передвижения населения
паспортными учреждениями.
В настоящей работе данные о численности
населения взяты с сайта #"709222.files/image001.gif">
Рисунок 1 - Динамика численности населения
2001-2010 гг.
На данном графике четко видна тенденция к
снижению численности населения за рассматриваемый период.
5. Статистические показатели
.1 Показатели среднего
Одной из основных обобщенных характеристик
статистического ряда является средняя величина варьирующего признака. Наиболее
распространенный вид средней в статистике - средняя арифметическая.
где
- значение численности населения в
i-й период наблюдения (в данном случае - год), n - количество периодов
наблюдения.
В нашем случае n следует принять
равным 10. Среднее значение, рассчитанное для каждого ряда, позволяет оценить и
сравнить среднюю численность населения за период Великого Новгорода. Сам по
себе показатель средней в данном случае мало информативен в силу вариации
признаков по периодам. Однако значение для каждого периода важно сравнить со
средней, чтобы оценить степень колеблемости изучаемых признаков за период, что
позволяет сделать расчет показателей вариации.
.2 Показатели вариации
Для характеристики изменчивости каждого из
признаков необходимо рассчитать показатели вариации. Колеблемость признаков в
каждой из совокупностей может оказать влияние на результаты расчетов
зависимости между ними, поэтому необходимо измерить вариацию каждого из
признаков и сравнить полученные результаты. Рассчитаем следующие показатели:
размах вариации, который представляет собой
разность между максимальным и минимальным значением признака в совокупности.
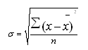
среднеквадратическое отклонение, которое
является мерилом надежности средней. Чем меньше среднее квадратическое
отклонение, тем лучше средняя арифметическая отражает собой всю представляемую
совокупность. Его расчет отражает следующая формула:
дисперсию - среднюю арифметическая из квадратов
отклонений, т.е. выражение под корнем предыдущего показателя
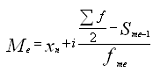
медиану, которая делит численность вариационного
ряда пополам, и находится там, где накопленная частота составляет половину или
больше половины всей суммы частот, а предыдущая частота меньше половины
численности совокупности:
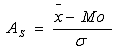
моду, которая представляет наиболее часто
встречающееся или типичное значение и определяется по формуле:
где xMo - нижняя граница модального интервала, -
величина модального интервала, fMo - частота, соответствующая модальному
интервалу, - частота, предшествующая модальному интервалу, +1 - частота,
интервала, следующего за модальным.
Все данные показатели могут быть рассчитаны с
помощью инструмента «Описательная статистика» и позволят оценить, насколько
изменчивы показатели численности населения, числа родившихся и умерших за
изучаемый период и совпадает ли степень колеблемости данных признаков.
.3 Показатели динамики
При изучении рядов динамики важно проследить за
направлением и размером изменений уровней во времени.
В основе расчета показателей рядов динамики
лежит сравнение его уровней. В зависимости от применяемого способа
сопоставления показатели динамики могут вычисляться на постоянной и переменной
базах сравнения.
Важнейшим статистическим показателем динамики
является абсолютный прирост, который определяется в разностном сопоставлении
двух уровней ряда динамики в единицах измерения исходной информации.
Базисный абсолютный прирост исчисляется как
разность между сравниваемым уровнем и уровнем, принятым за постоянную базу
сравнения.
Распространенным статистическим показателем
динамики является темп роста. Он характеризует отношение двух уровней ряда и
может выражаться в виде коэффициента или в процентах.
Базисные темпы роста исчисляются делением
сравниваемого уровня у, на уровень, принятый за постоянную базу сравнения уо.
Цепные темпы роста исчисляются делением сравниваемого уровня, на предыдущий
уровень y0i.
Если темп роста больше единицы (или 100%), то
это указывает на увеличение по сравнению с базисным периодом. Темп роста,
равный единице (или 100%), показывает, что уровень по сравнению с базисным не
изменился. Темп роста меньше единицы (или 100%) указывает на уменьшение уровня
прибыли по сравнению с базисным. Темп роста всегда имеет положительный знак.
Темпы прироста характеризуют абсолютный прирост
в относительных величинах. Исчисленный в процентах темп прироста показывает, на
сколько процентов изменился изучаемый уровень по сравнению с уровнем, принятым
за базу сравнения.
Базисный темп прироста вычисляется делением
сравниваемого базисного абсолютного прироста на уровень, принятый за постоянную
базу сравнения. Если уровни ряда динамики сокращаются, то соответствующие
показатели темпа прироста будут со знаком минус, так как они характеризуют
относительное уменьшение прироста уровня ряда динамики.
Таблица 2 - Методика расчета показателей
динамики
|
Показатель
|
Базисный
|
Цепной
|
|
Абсолютный
прирост *Yi-Y0Yi-Yi-1
|
|
|
|
Коэффициент
роста (Кр)
|
Yi
: Y0
|
Yi
: Yi-1
|
|
Темп
роста (Тр)
|
(Yi
: Y0)Ч100
|
(Yi
: Yi-1)Ч100
|
|
Коэффициент
прироста (Кпр)**
|

|
|
|
Темп
прироста (Тпр)
|

|
|
|
Абсолютное
значение одного процента прироста (А)
|

|
|
Система средних показателей динамики включает:
средний уровень ряда,
средний абсолютный прирост,
средний темп роста,
средний темп прироста.
Средний уровень ряда - это показатель,
обобщающий итоги развития явления за единичный интервал или момент из имеющейся
временной последовательности. Расчет среднего уровня ряда динамики определяется
видом этого ряда и величиной интервала, соответствующего каждому уровню.
Средний абсолютный прирост рассчитывается по
формулам в зависимости от способа нумерации интервалов (моментов).
.
Средний темп роста:
где
- средний коэффициент роста,
рассчитанный как
. Здесь Кцеп
- цепные коэффициенты роста;
Средний темп прироста (%)
определяется по единственной методологии:
Расчет показателей динамики позволит
оценить тенденции изменения численности населения, рассчитать параметры тренда
и сделать прогноз.
6. Расчет и анализ статистических показателей
.1 Расчет показателей описательной статистики
Под показателями описательной статистики
понимают простейшие статистические характеристики. К ним относятся показатели
среднего, вариации и некоторые другие - асимметрия, эксцесс и пр. Программа
Excel позволяет сразу вычислить комплекс показателей, который называется
«Описательная статистика». В результате произведения расчетов получаем
следующую таблицу:
Таблица 3. Отчет инструмента анализа
«Описательная статистика»
|
Среднее
|
672,02
|
|
Стандартная
ошибка
|
7,627578617
|
|
Медиана
|
669,75
|
|
Мода
|
Н/Д
|
|
Стандартное
отклонение
|
24,12052146
|
|
Дисперсия
выборки
|
581,7995556
|
|
Эксцесс
|
-1,187809926
|
|
Асимметричность
|
0,241021585
|
|
Интервал
|
71,5
|
638,8
|
|
Максимум
|
710,3
|
|
Сумма
|
6720,2
|
|
Счет
|
10
|
|
Уровень
надежности(95,0%)
|
17,25478157
|
По имеющимся данным можно определить насколько
сильно отличается распределение анализируемых показателей от нормального. Для
этого следует проверить, является ли распределение симметричным относительно
выборочного среднего и какова островершинность кривой распределения.
По соотношению между средней арифметической,
модой и медианой можно судить о характере распределения. В симметричных
распределениях все три показателя совпадают. Чем больше расхождение между модой
и средней арифметической, тем более асимметричен ряд.
Значения распределены несимметрично. На это
указывает достаточно большое значение коэффициента асимметрии, хотя среднее и
медиана близки между собой. Обратим внимание, что в графе «Мода» нет данных.
Это говорит о том, что в выборке больше одного значения признака, имеющего
максимальную частоту.
Также проанализируем рассчитанные в описательной
статистике показатели вариации: дисперсию выборки (выборочная дисперсия),
стандартное отклонение (или среднее квадратическое отклонение) и интервал
(размах). Для анализа составляем таблицу.
Таблица 4 - Сводка показателей вариации
численности населения
|
Наименование
показателя
|
Численность
населения, тыс. чел.
|
|
Дисперсия
выборки
|
581,7995556
|
|
Стандартное
отклонение
|
24,12052146
|
|
Интервал
|
71,5
|
Показатели вариации данных рядов отличаются друг
от друга, однако эти показатели являются абсолютными и, поскольку данные рядов
отличаются друг от друга, то и сравнение абсолютных показателей вариации не
дает правильного представления о степени колеблемости.
Для сравнения в данном случае можно использовать
относительный показатель вариации: коэффициент вариации. Коэффициент вариации,
представляющий собой процентное отношение среднего квадратического отклонения к
средней арифметической, определяется по формуле:
Таблица 5 - Сравнение показателей вариации
анализируемых совокупностей
|
Наименование
показателя
|
Численность
населения, тыс. чел.
|
|
Стандартное
отклонение
|
24,12052146
|
|
Среднее
|
672,02
|
|
Коэффициент
вариации, %
|
3,58925
|
Приведем также таблицу с результатами расчета
интервальных оценок генеральных средних
Таблица 6 - Расчет интервальных оценок генеральных
средних
|
Наименование
показателя
|
Численность
населения, тыс. чел.
|
|
Среднее
|
672,02
|
|
Предельная
ошибка
|
17,25478157
|
|
Максимум
интервальной оценки
|
689,27
|
|
Максимальный
элемент выборки (максимум)
|
710,3
|
|
Минимум
интервальной оценки
|
654.77
|
|
Минимальный
элемент выборки (минимум)
|
638,8
|
Как видно из таблицы при доверительной
вероятности 0.95 доверительный интервал для численности населения составляет
[654,77- 689.27].
.2 Гистограммы
При анализе итогов описательной статистики
возникли сомнения относительно вида распределений численности населения и
реальных располагаемых денежных доходов. Чтобы развеять или подтвердить их,
построим гистограммы.
Рисунок 4 - Гистограмма численности населения за
2001-2010 год..
.3 Корреляция динамических рядов численности и
денежных доходов населения
Один из способов обнаружения тренда (тенденции)
динамического ряда состоит в вычислении коэффициентов корреляции ряда. При этом
оценивается сила линейной зависимости уровней ряда от времени.
Значения выборочных коэффициентов корреляции
рассчитаны с помощью стандартной функции Excel.
Они равны:
- для численности населения - -0,99657
Коэффициент корреляции отрицательный. Это
означает, что с течением времени численность населения снижается.
Итак, результат корреляционного анализа
указывает на то, что динамический ряд имеет тренд.
.4 Анализ регрессии
Регрессия динамического ряда - это зависимость
генерального среднего уровней ряда от времени. Регрессию динамического ряда
часто называют трендом.
Регрессионный анализ дает наиболее полную
характеристику статистической совокупности. Он используется при прогнозировании
уровней динамического ряда, что очень важно при исследовании
социально-экономических процессов.
6.4.1
Регрессия
численности населения
Для построения уравнения регрессии численности
населения применим инструменты программы Excel.
Прежде всего, создадим диаграмму и построим линейный тренд.
Рисунок 5- Динамика численности населения за
2001-2010 год.
Коэффициент детерминации достаточно близок к
единице, что указывает на сильную связь уровней ряда с линией тренда. Но,
все-таки, попробуем применить другие типы аппроксимирующих функций. В
результате последовательных проб получили следующие значения коэффициента
детерминации, представленные в табл. 7
Таблица 7
Коэффициент
детерминации
|
|
Линейная
|
0,9931
|
|
Логарифмическая
|
0,9401
|
|
Полиномиальная,
степень 2
|
0,9993
|
|
Полиномиальная,
степень 3
|
0,9993
|
|
Степенная
|
0,9337
|
|
Экспоненциальная
|
0,9952
|
Оказалось, что коэффициент
принимает
наибольшее значение при аппроксимации полиномом второй и третьей степени. Во
всех остальных случаях он меньше, но незначительно. Потому руководствуясь
правилом максимальной простоты аппроксимирующей функции, целесообразно принять
линейную функцию тренда.
.5 Прогноз численности и денежных доходов
населения
.5.1 Прогноз численности населения
Для определения прогнозируемого значения
численности населения можно воспользоваться графическими построениями, а можно
рассчитать курс по уравнению тренда. Второй вариант займет меньше места,
поэтому рассчитаем по формуле:
= -7,9394x + 715,69
Таблица 8.
Прогноз численности населения на 3 года.
|
Период
прогноза
|
Дата
прогноза
|
Численность
населения, тыс. чел.
|
|
1
год
|
01.01.2011
|
707,7506
|
|
2
года
|
01.02.2012
|
699,8112
|
|
3
года
|
01.03.2013
|
691,8718
|
Рисунок 6 - Тренд (тренд - линейный) и прогноз
численности населения в 2001-2013 гг.
Как следует из графиков, по прогнозу наблюдается
снижение численности населения за анализируемый период.
Выводы
В ходе статистического анализа решены
поставленные в работе задачи и получены следующие выводы: изучение динамики
численности населения показывает снижение численности населения за
анализируемый период. Ряд динамики развивается в соответствии с линейной
функцией. Сделанный на основании полученной функции прогноз численности
населения на 3 года позволяет ожидать снижения численности.
Таким образом, цель исследования состоит в
анализе динамики численности населения Великого Новгорода достигнута.
Список литературы
1.
Гусаров
В.М. Статистика: Учеб. Пособие для вузов. - М.: Юнити-ДАНА, 2001.
2.
Прикладная
статистика. / Под ред. проф. Айвазяна С.А. - М.: Финансы и статистика, 1985.
3.
Статистика.
/ Под ред. Озеран Л.Г. и Лялина В.С. - М.: Мысль, 1985.
4.
Захаров
С.В., Иванова Е.В. Что происходит с рождаемостью в России/ Российский
демографический журнал, 1996, №1, с. 5-11.
Экономическая статистика,2-е изд.,
доп.: Учебник / Под. ред. Ю.Н. Иванова. - М.: ИНФРА-М, 2001
. Голик Ф.В. Статистика/Метод.
пособ. по выполнению контр. раб. - В. Новгород: НФ СЗАГС, 2003.