Тарифна система оплати праці. Хронометражні спостереження
Міністерство
освіти та науки України
Контрольна
робота № 1
Економіка
праці та соціально-трудові відносини.
Теоретична частина
1. Сутність та складові якості
робочої сили
Впродовж кількох століть економісти
сперечаються стосовно того, що продає найманий працівник
капіталісту-підприємцю. Ще у XVII ст. англійський економіст У. Петті назвав
об'єктом купівлі-продажу працю. Надалі до наших днів дискусія тривала навколо
двох товарів: праці та робочої сили. Сучасні західні економісти ще одним об'єктом
купівлі-продажу вважають послуги праці або робочої сили.
На перший погляд, здається, що
найманий працівник продає працю. З'ясуємо, чи може бути праця об'єктом
купівлі-продажу.
Купівля-продаж товарів відбувається
на ринку. Праця - це процес свідомої доцільної діяльності людей. З цього
випливає, по-перше, що працю не можна продавати, оскільки її не існує до
моменту купівлі-продажу. На ринку робітник може продати лише здатність до
праці, або робочу силу.
Капіталіст купує у робітника -
власника робочої сили - тимчасове розпорядження нею. По-друге, якщо припустити,
що робітник продає працю і отримує за неї повний еквівалент (що ця праця
повністю оплачується), то незрозуміло, звідки виникає додатковий продукт.
Робоча сила є основним елементом
продуктивних сил у будь-якому суспільстві, але товаром стає лише за
капіталізму. Це зумовлено тим, що робітник позбавлений власності на засоби
виробництва і засоби існування, але сам він особисто вільний, тобто є власником
своєї робочої сили і може розпоряджатися нею.
Робоча сила - специфічний, не схожий
на всі інші, товар. Водночас, як і будь-який інший товар, робоча сила має дві
сторони: споживну вартість та вартість, і в цьому полягає її тотожність з
іншими товарами. Але робоча сила - товар специфічний, і ця специфічність
властива кожній із його сторін [9, с. 486].
Якість робочої сили - це
кваліфікація, накопичена з досвідом.
Якість робочої сили
характеризується:
обсягом загальноосвітньої підготовки
працівників;
рівнем загальної культури;
рівнем професіоналізму і кваліфікації;
наявним досвідом і навиками роботи;
етичною надійністю.
Якість робочої сили - це сукупність
людських характеристик, що проявляються в процесі праці й включають в себе
кваліфікацію та особисті якості працівника: стан здоров'я, розумові
(інтелектуальні) здібності, здатність адаптуватися, гнучкість, мобільність,
мотивованість, інноваційність, професійну придатність, моральність тощо.
Кваліфікація працівника - це
сукупність його загальної і спеціальної професійної освіти, необхідних знань,
умінь, професійних навичок та виробничого досвіду для виконання в даних
організаційно-технічних умовах певних видів робіт певної складності.
Таким чином, кваліфікація є дуже
важливою, але далеко не єдиною складовою поняття «якість робочої сили» [7, с.
12].
Раніше якість робочої сили в
економіці праці традиційно розглядалася швидше як соціальна, загально
філософська, політекономічна категорія з невеликою прикладною цінністю. Разом з
тим в умовах ринкової економіки і в макроекономічному аналізі, і в практичній
діяльності підприємства якість робочої сили стала цілком реальним, структурно
організованим поняттям, яке впливає на результати діяльності, а отже підлягає
вимірюванню. Виходячи з цього нижче даються визначення і короткі характеристики
тих основних елементів якості робочої сили, які характеризують її суть.
Професійні знання визначаються
рівнем розвитку людини, що базується на її розумових здібностях, досвіді,
освіті, необхідних для виконання конкретного виробничого завдання. Сюди
належать, зокрема, здібності думати і розмірковувати, знання про способи дії і
можливості застосування необхідних для виконання роботи методів, процесів і
засобів виробництва або засобів праці, їх вірний вибір, досвід використання або
поводження з ними, а також знання виробничих зв'язків та співвідношень. При
цьому не має великого значення те, на чому більшою мірою ґрунтуються необхідні
знання - на освіті чи на досвіді.
Вправність (вміння, навички) людини
визначаються її фізичними даними, необхідними для виконання виробничого
завдання. Вправність заснована на постановці та тренуванні спритності, досвіді
й умінні пристосовуватися. Вона виявляється у швидкості, впевненості та
точності рухів людини.
Компетентність - це рівень загальної
та професійної підготовки, що дозволяє адекватно реагувати на вимоги
конкретного робочого місця чи виконуваної роботи, які постійно змінюються.
Компетентність людини залежить від її відношення до своєї роботи, досвіду,
старання та вміння поповнювати свої знання. Компетентність, або професіоналізм,
може змінюватися як у бік підвищення, так і у бік зниження.
Відповідальність визначається
добросовісністю, надійністю, ретельністю, які необхідні для виконання різних
виробничих завдань без шкоди для людей і матеріальних збитків, а також
світоглядом, достатнім для того, щоб не допустити виникнення перешкод та
порушень у виробничому процесі та структурній організації.
Вище зазначалося, що поряд з
кваліфікацією в поняття якості робочої сили включаються також особисті
характеристики. До них належать: фізичні дані, розумові здібності, спеціальні
нахили, інтереси та характер особи, адаптованість, мотивованість,
профорієнтованість, профпридатність, інноваційність. Розглянемо ці елементи
детальніше.
До фізичних характеристик людини
відносяться її вік, етап здоров'я, швидкість реакції, зовнішність, зріст, сила
тощо.
Вік є важливою особистою
характеристикою якості робочої сили, оскільки рівень трудової активності
людини, її працездатність та пізнавальні здібності залежать від стадій її
життєвого циклу (період підготовки до трудової діяльності, період активної
трудової діяльності та період її припинення).
Від рівня здоров'я і фізичного
розвитку залежить можливість участі людини у певних видах трудової діяльності.
Вже на етапі вибору спеціальності і виду професійного навчання вирішується проблема
психофізіологічної відповідності особи конкретним видам професійної діяльності
як етап визначення професійної придатності. Рівень здоров'я населення здійснює
величезний вплив на продуктивність суспільної праці, а тим самим і на динаміку
економічного розвитку суспільства.
Розумові (або психічні) здібності
особи можна визначити як здатність ефективно використовувати свій інтелект -
суму загальних розумових функцій розуміння, мислення, навчання, спостереження,
вирішення проблем. Особливо зростає значення цієї складової якості робочої сили
в наш час, коли на зміну індустріальному типу економічного зростання приходить
гуманітарний, рушійними силами якого стають наукові знання, творчий та
інтелектуальний потенціал людини і суспільства.
Коли мова йде про спеціальні нахили,
то звичайно розглядаються такі характерні риси, як здібність до певних видів
навчання, схильність до певних видів діяльності, здатність ефективно працювати
з людьми, технікою, словами і цифрами, вміння аналізувати, творчо мислити і
творити нове.
Під професійною адаптованістю
розуміємо здатність працівника пристосовуватися до особливостей конкретної
професії через активне освоєння характерних для неї операцій, дій, рухів у
відповідності з технологічним процесом (посадовими обов'язками), нормами витрат
праці, а також готовність до прийняття рішень і дій в стандартних виробничих
ситуаціях.
Мобільність - здатність і готовність
працівника до професійних і територіальних переміщень. Професійна мобільність
передбачає готовність працівника при необхідності змінити місце роботи і навіть
освоїти нову для себе професію. Вона пов'язана з наявністю у працівників
додаткових професій, мірою їх освоєння, якісною базовою теоретичною підготовкою
(як умовою швидкого освоєння нової професії), мотивацією, спрямованою на зміну
видів трудової діяльності.
Мотивованість також є однією з
суттєвих характеристик якості робочої сили. Під цим терміном розуміємо
здатність працівника реагувати на мотиватори, тобто зовнішні фактори, що
збуджують його до певного виду трудової поведінки для досягнення цілей
підприємства. Мотиватори повинні будуватися із врахуванням мотивів, тобто
внутрішніх збуджень працівника, заснованих на його особистих потребах та
інтересах.
Інноваційність - готовність людини
до інновацій, тобто здатність до розробки нових ідей, нових технологій і нових
виробів, до їх впровадження. Інноваційність в процесі праці є похідною від
способу життя, орієнтацій поведінки і культури. Вона передбачає розвиток
наукової творчості в процесі праці, досягнення певних значимих результатів. Для
формування інноваційності в процесі праці вкрай важливий інноваційний потенціал
конкретної організації, підприємства, на якому працює людина, готовність
керівництва до сприйняття нових ідей.
Профорієнтованість - здатність і
стійкий інтерес людини до певного виду трудової діяльності, вміння обирати
найдоцільнішу для себе професію із врахуванням своїх психофізіологічних
характеристик, інтересів, здібностей, а також потреб ринку праці у працівниках
відповідних професій.
Професійна придатність - сукупність
і структура психічних і психофізіологічних особливостей людини, необхідних для
досягнення певного рівня ефективності в професійній праці. Професійна
придатність розвивається в процесі праці на основі природних даних людини за
наявності позитивної професійної мотивації.
Поряд з перерахованими
характеристиками якості робочої сили, які розкривають зміст цього поняття,
існують і її кількісні характеристики. Можна говорити, наприклад, про міру
профпридатності, мотивованості, відповідальності працівника і т.д. (висока,
середня, низька). Рівень кваліфікації підлягає більш точному виміру і
характеризується, як правило, присвоєним працівнику тарифним (кваліфікаційним)
розрядом, категорією, вченим ступенем.
Науково-технічний прогрес - один із
основоположних факторів сучасного економічного розвитку - передбачає як
найважливішу умову кардинального вдосконалення робочої сили, покращення її
характеристик на ринку праці. Особливість сучасного стану української економіки
полягає в тому, що процеси ринкових перетворень здійснюються в умовах глибокої
затяжної кризи і в часі, коли нагальною є необхідність подолання значного
відставання в науково-технічній сфері [4, с. 146-148].
. Зміст, призначення та
основні елементи тарифної системи оплати праці. Удосконалення тарифної системи
Організація оплати праці на
підприємстві - це певний порядок встановлення і виплати працівникам номінальної
заробітної платні. Основою організації праці є тарифна система.
Тарифна система оплати праці є
сукупністю нормативів, за допомогою яких здійснюється диференціація і
регулювання розмірів заробітної платні працівників залежно від їх кваліфікації,
відповідальності і умов праці (тяжкості, шкідливості, інтенсивності і
непривабливості), а також особливостей і галузевої приналежності підприємства
[5, с. 58].
Порядок та умови застосування
тарифної системи оплати праці на підприємствах регулюються ст. 6 Закону України
“Про оплату праці”, статтями 96-98 Кодексу законів про працю України,
генеральною, галузевими (регіональними) угодами та колективним договором
підприємства, установи, організації [10, с. 3].
Тарифна система використовується для
диференціації розмірів заробітної плати працівників залежно від їхньої
кваліфікації, відповідальності, умов праці (тобто її шкідливості, складності,
інтенсивності, привабливості тощо), її кількості та результатів. З допомогою
тарифної системи установлюються співвідношення між низько - і
високооплачуваними категоріями трудящих.
Тарифна система відображає поділ
працівників за професіями, спеціальностями і кваліфікацією.
Тарифна система є основою для
установлення правильного співвідношення між темпами зростання продуктивності
праці та середньої заробітної плати працівників.
У зв’язку з тим, що норми затрат
праці установлюються нормуванням, тарифна система є сполучною ланкою між
нормуванням та системами заробітної плати [6, с. 88].
Формування заробітків на основі
тарифної системи передбачає використання всіх її елементів.
Основними елементами тарифної
системи є ( мал.. 1):
Тарифно-кваліфікаційні довідники
робіт і професій робітників, об’єднані в єдиний тарифно-кваліфікаційний
довідник (ЄТКД) - це збірники нормативних документів, які вміщують
кваліфікаційні характеристики робіт і професій, згруповані в розділи за
виробництвами і видами робіт. За допомогою тарифно-кваліфікаційних довідників
проводиться тарифікація робіт (встановлюється розряд роботи), відбувається
присвоєння кваліфікаційних розрядів робітникам, формуються програми підготовки
і підвищення кваліфікації робітників. Кваліфікаційна характеристика роботи і
професії робітника складається з трьох розділів: «Характеристика робіт»,
«Повинен знати» і «Приклади робіт». Кваліфікаційні розряди присвоюються
робітникам на основі вимог тарифно-кваліфікаційних довідників кваліфікаційною
комісією підприємства або його структурного підрозділу. Чинний ЄТКД вміщує 72
випуски за різними виробництвами і видами робіт, за його допомогою можна
проводити тарифікацію понад 5 тисяч робіт і професій [2, с. 180].
Тарифна сітка - є основою
централізованого регулювання і диференціації рівня заробітної платні робітників
залежно від кваліфікації (розряду) і складності виконуваних робіт. Вона є
шкалою кваліфікаційних розрядів (від першого до вищого) тарифних коефіцієнтів,
що їм відповідають, за допомогою яких встановлюється безпосередня залежність
заробітної платні робітників від їх кваліфікації. Число кваліфікаційних
розрядів і коефіцієнтів визначається складністю виробництва і виконуваних
робіт. Тарифні коефіцієнти показують, у скільки разів оплата праці робітника
п-го розряду сітки вища за оплату праці робітника першого розряду. Тарифний
коефіцієнт першого розряду завжди дорівнює одиниці. Співвідношення тарифних
коефіцієнтів крайніх розрядів є діапазоном тарифної сітки.
У сучасних умовах на більшості
підприємств використовують шести - і восьми розрядні тарифні сітки. Тарифні
коефіцієнти та їх співвідношення можуть встановлюватися галузевими угодами.
Тарифна ставка визначає розмір
оплати праці різних груп робітників за одиницю часу (година, день, місяць)
відповідно до тарифного розряду. Погодинні, денні, місячні тарифні ставки
встановлюються залежно від системи обліку вироблення і нормування праці в
різних галузях промисловості. Годинні тарифні ставки використовуються в
більшості галузей (машинобудівній, деревообробній, легкої та харчової
промисловості), де завдання робітникові встановлюється у вигляді норми часу на
одиницю продукції або операцію. Вони використовуються для визначення доплат
працівникам за роботу в нічний, наднормовий час, незвільненим бригадирам за
керівництво бригадою та ін. Тому на всіх виробництвах, і на тих, де
встановлюються денні і місячні тарифні ставки, необхідно розраховувати годинні
тарифні ставки. Схема
посадових окладів - це перелік посад на підприємстві з вказівкою стосовно
кожної з них мінімальної і максимальної величини посадового окладу («вилки»)
для обліку кваліфікації працівника, його індивідуальних особливостей і
фінансових можливостей підприємства. Для розробки схем посадових окладів
використовують коефіцієнти співвідношення місячних посадових окладів
керівників, фахівців і мінімальної заробітної платні [3, с. 308-309].
Одним з основних напрямків
вдосконалення тарифного регулювання заробітної плати на підприємствах України є
запровадження єдиної гнучкої тарифної системи (ЄГТС). Остання охоплює в комплексі
два нетрадиційні підходи до побудови тарифної системи - запровадження єдиної
тарифної сітки (ЄТС) і введення системи гнучких тарифних ставок (окладів).В
основу ЄТС покладено чотири принципи:
Перший - охоплення єдиною тарифною
шкалою усіх категорій персоналу.
Другий - групування професій
робітників і посад службовців за ознакою спільності робіт (функцій), що
виконуються. Отже, усі категорії робітників подаються в ЄТС як одна група -
робітники всіх галузей, видів виробництва та робіт.
Третій - зарахування робітників і
службовців до розрядів єдиної уніфікованої сітки (тарифікація робітників і
службовців) за ознакою складності робіт або функцій, що виконуються. Оцінюючи
рівень кваліфікації спеціалістів, як і раніше, слід використовувати
кваліфікаційні категорії.
Четвертий принцип ЄТС - це,
по-перше, встановлення тарифної ставки першого розряду в розмірі, що відповідає
“заводському” рівню мінімальної заробітної плати, а по-друге, відносно однакове
зростання порозрядних тарифних коефіцієнтів [8, с. 60-62].
Практична частина
Задача 14.1
Визначити фактичну технологічну
трудомісткість (у люд.-год.) складання верстатів А, Б та В на основі наступних
даних:
· нормована
трудомісткість складання: верстата А - 3154 нормо-год., верстата Б - 2395
нормо-год., верстата В - 2302 нормо-год.;
· середній відсоток
виконання норм виробітку по цеху складає 114,6%;
· річна програма
випуску:верстатів А - 73 шт., верстатів Б - 85 шт., верстатів В - 97 шт.
Розв’язання:
Визначаємо фактичну технологічну
трудомісткість складання верстатів за допомогою формули:

- обсяг продукції.
Отже, тепер можемо знайти фактичну
технологічну трудомісткість складання верстатів А, Б та В:
Отже, фактична технологічна
трудомісткість для верстатів А, Б та В складає - 573395,28 (люд.год.).
Задача 14.2
Річний випуск продукції заводом
будматеріалів у натуральному виразі та її оптові ціни характеризуються
наступними даними:
|
Вид продукції
|
Оптова ціна, грн..
|
Випуск продукції
|
|
|
за планом
|
фактично
|
|
Цегла глиняна, тис. шт..
|
750
|
12650
|
12600
|
|
Цегла силікатна, тис. шт..
|
640
|
13500
|
13470
|
|
Панелі стінові,
|
660
|
14300
|
14120
|
|
Блоки стінові,
|
490
|
5800
|
5540
|
|
Плити,
|
430
|
3300
|
3500
|
Середньоспискова чисельність
працюючих - 1346 чоловік при плані 1360 чоловік. Визначити плановий і фактичний
рівні продуктивності праці, порівняти їх (у відсотках).
Розв’язання:
Щоб знайти плановий і фактичний
рівні продуктивності праці, спочатку розрахуємо плановий і фактичний обсяг
випуску продукції у грн.:
, де
- плановий обсяг
випуску продукції.
- випуск продукції
за планом.
Ц - ціна.
Отже, плановий обсяг випуску
продукції складає:
Тепер визначимо плановий рівень
продуктивності праці, за допомогою формули:
, де
плановий рівень
продуктивності праці.
плановий обсяг
випуску продукції, грн..
планова чисельність
промислово-виробничого персоналу, осіб.
Тепер знайдемо фактичний рівень
продуктивності праці:
Отже, плановий рівень продуктивності
праці складає - 10086 (грн../чол..), а фактичний - 10072 (грн../чол..).
Різниця між плановим і фактичним
рівнем склала: 10086 - 10072 = 14 (грн../чол..), а рівень виконання плану (Р) дорівнює
приблизно 100%, що свідчить про його виконання:
Задача 14.3
Токар 4 розряду (годинна тарифна
ставка 14,39 грн.) зробив за місяць (22 робочих дня при тривалості зміни 8
год.) 145 деталей. Норма часу на одну деталь - 1,5 нормо-год.
Робітнику виплачується премія:
за 100%-е виконання норм -
у розмірі 10% від відрядного заробітку,
за кожен відсоток
перевиконання - 1,3% від відрядного заробітку.
Робітнику встановлена надбавка за
професійну майстерність у розмірі 20% його тарифного заробітку.
Визначити загальну величину
заробітної плати робітника за місяць.
Розв’язання:
Спочатку розрахуємо індивідуальну
відрядну розцінку, за формулою:
годинна тарифна
ставка, яка відповідає розряду виконуваної роботи, грн./год.
норма виробітку за
одиницю часу, одиниць/год.
визначимо заробітну
плату за прямої відрядної системи оплати праці, за формулою:
Q - обсяг виконаної працівником
роботи в натуральних одиницях належної якості за розрахунковий період.-
відрядна розцінка за одиницю виконаної роботи, грн../одиницю.
У свою чергу тарифна заробітна плата
становить:
Тепер розрахуємо загальний заробіток
працівника за відрядно-преміальної системи оплати його праці, за формулою :
відсоток премії за
виконання завдання і технічно обґрунтованих норм.
відсоток премії за
кожен відсоток перевиконання завдань або норм.
відсоток перевиконання
плану виробництва або норм.
фактичний обсяг
виконаної працівником роботи в натуральних одиницях належної якості за
розрахунковий період.
норма обсягу
виконання працівником роботи в натуральних одиницях належної якості за
розрахунковий період.
Тоді:
Отже відсоток перевиконання плану виробництва
звідси складає 23,6%.
Але робітнику, ще встановлена
надбавка 20% від його тарифного заробітку, а це:
Отже, загальна величина заробітної
плати робітника за місяць складає - 3950 грн. 44 коп.
Розрахункова частина
Хронометражні спостереження
робочий тарифний праця трудомісткість
В умовах малосерійного виробництва
за допомогою хронометражних спостережень розраховано тривалості елементів
операції і складено хронометражні ряди. Операція складається з таких елементів:
. Взяти напівфабрикати із зони
збереження та перемістити в зону технологічної дії.
. Взяти інструменти (ножиці, голку
та ін.) та перемістити в зону технологічної дії.
. Виконати технологічну дію.
. Перемістити інструмент в зону
збереження.
. Помістити напівфабрикат в зону
збереження.
Листи хронометражних спостережень
наведені у вигляді матриць, де елементи операцій представлені порядковими
номерами.
Вихідні дані:
. Норматив підготовчо-завершального
часу, хв.: 15 хв.
. Норматив часу на відпочинок: 4 %
від оперативного часу
. Норматив часу на обслуговування
робочого місця: 5 % від оперативного часу
. Тривалість зміни 8 год.
На основі вихідних даних та листів
спостережень опрацювати результати хронометражних спостережень.
Лист спостереження
|
№ п/п елемента операції
|
Номер заміру
|
|
1
|
2
|
3
|
4
|
5
|
6
|
7
|
8
|
|
Поточний час, с.
|
|
1
|
7
|
30,4
|
57
|
81
|
108
|
139
|
165
|
203,7
|
|
2
|
16
|
82
|
126,4
|
178,2
|
225
|
253
|
313,5
|
386
|
|
3
|
18
|
119
|
165,1
|
206,3
|
249,2
|
313
|
369
|
|
4
|
23,4
|
50,5
|
73
|
99,5
|
132
|
158
|
194
|
220,8
|
|
5
|
25
|
52
|
75
|
103
|
134,4
|
160
|
197,3
|
222
|
Виконання:
.Розраховуємо для кожного хроноряду
фактичний коефіцієнт сталості за формулою:
- максимальна
тривалість елемента і-го хроноряду.
мінімальна
тривалість елемента і-го хроноряду.
Всі дані розрахунку наводимо в
таблиці:
Таблиця 1.
|
№ п/п хроноряду
|
Максимальна тривалість елемента хроноряду,
|
Мінімальна тривалість елемента хроноряду,
|
Фактичний коефіцієнт сталості,
|
|
час,с
|
|
1
|
203,7
|
7
|
29,1
|
|
2
|
386
|
16
|
24,1
|
|
3
|
369
|
18
|
20,5
|
|
4
|
220,8
|
23,4
|
9,4
|
|
5
|
222
|
25
|
8,8
|
Порівняємо фактичні коефіцієнти
сталості, з нормативними:
Таблиця 2.
|
№ п/п хроноряду
|
Коефіцієнт сталості хроноряду
|
|
Фактичний,
|
Нормативний,
|
|
1
|
29,1
|
3,0
|
|
2
|
24,1
|
3,0
|
|
3
|
20,5
|
|
4
|
9,4
|
3,0
|
|
5
|
8,8
|
3,0
|
Як бачимо, за результатами порівнянь
розрахований фактичний коефіцієнт сталості за операцію, не відповідає нерівності
Тому здійснюємо відбраковку
елементів хроноряду:
Таблиця 3.
|
№ п/п хроноряду
|
|
|
|
|
1
|
165
|
30,4
|
5,4
|
|
2
|
313,5
|
82
|
3,8
|
|
3
|
313
|
65
|
4,8
|
|
4
|
194
|
50,5
|
3,8
|
|
5
|
197,3
|
52
|
3,7
|
Як бачимо розрахований фактичний
коефіцієнт сталості, знову перевищує нормативний.
Знову здійснюємо відбраковку
елементів ряду.
Таблиця 4.
|
№ п/п хроноряду
|
|
|
|
|
1
|
139
|
57
|
2,4
|
|
2
|
253
|
126,4
|
2,0
|
|
3
|
249,2
|
119
|
2,0
|
|
4
|
158
|
73
|
2,2
|
|
5
|
160
|
75
|
2,1
|
Порівняємо фактичні та нормативні
коефіцієнти:
Таблиця 5.
|
№ п/п хроноряду
|
Коефіцієнт сталості хроноряду
|
|
Фактичний,
|
Нормативний,
|
|
1
|
2,4
|
3,0
|
|
2
|
3,0
|
|
3
|
2,0
|
3,0
|
|
4
|
2,2
|
3,0
|
|
5
|
2,1
|
3,0
|
І нарешті ми досягли відповідності
нерівності
.Розрахуємо по кожному елементу
операції середню тривалість, як середньоарифметичну величину значень хроноряду,
за формулою:
величина кожного
окремого значення тривалості часу хроноряду.
- кількість
значень вимірів.
Таблиця 6.
|
№ п/п елемента операції.
|
Середньоарифметична величина значень
хроноряду, Ті (с).
|
|
1
|
96,3
|
|
2
|
195,7
|
|
3
|
184,9
|
|
4
|
115,6
|
|
5
|
118,1
|
3.Розрахуємо оперативний час. За
формулою:
.Розрахуємо норму штучного часу (
).
За формулою:
відповідно
нормативи затрат робочого часу на обслуговування робочого місця та відпочинок і
особисті потреби.
.Розрахуємо норму
штучно-калькуляційного часу (
) за формулою:
-
підготовчо-завершальний час, хв. n
- кількість виробів в партії.
Знайдемо n, за формулою:
- тривалість зміни,
хв..
Отже,
Тоді,
.Розрахуємо норму виробітку за
зміну, за формулою:
Висновок
Отже в результаті роботи,
ґрунтуючись на основні вихідні дані та лист спостереження, були виявлені
невідповідності нормативної тривалості виконання кожної з робіт її фактичному
значенню (табл..2) , тому була здійснена відбраківка 1,2,7,8 - номерів заміру
(табл.. 3, 4). Це призвело до відповідності фактичних показників з нормативними
(табл..5). Але обійтися без помилок при вимірюванні окремих дій, особливо на
короткочасних операціях, я вважаю, практично неможливо.
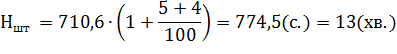
Після обчислення показників витрат
робочого часу, мій кінцевий результат становить
-
а це і є тривалість зміни ( по вихідним даним). Провівши дане дослідження,
можна сказати про те, що праця має певні недоліки, які вимагають усунення або,
хоча б корегування.
Таким чином, на закінчення моєї
роботи мені б хотілося відзначити наступне: праця повинна бути чітко
регламентованою і відповідати основним нормам та правилам.
Список використаної літератури
1. Грішнова
О. А. Економіка праці та соціально-трудові відносини: Підручник. - К.: Знання,
2006. - 559 с.
. Довідник
кваліфікаційних характеристик професій працівників: Зб. Описів професій в
Україні / За ред. М. І Данченка. - Краматорськ. 1998. - Вип. 1. - Розд. 1. -
237 с.
. Єсінова
Н. І. Економіка праці та соціально-трудові відносини: Навч. посіб. - К.:
Кондор, 2004. - 432 с.
. Завіновська
Г. Т. Економіка праці: Навч. посіб. - К.: КНЕУ, 2003. - 300 с.
. Калина
А. В. Економіка праці: Навч. посіб. - К.: МАУП, 2004. - 272 с.
. Кельдер
Т. Л. Економіка праці: Навч. посіб. - Запоріжжя.: ЗДУ, 2001. - 254 с.
. Ковальов
В. М. Економіка праці і соціально-трудові відносини: Навч. посіб. - К.: Центр
навч. літер., 2006. - 256с.
. Кузьменко
О. В. Економіка праці і соціально-трудові відносини: Курс лекцій. - Донецьк.:
Дон УЕП, 2009. - 83 с.
. Мочерний
С. В. Основи економічних знань: Підручник. - К.: Академія, 2002. - 563 с.
. Рекомендації
щодо визначення заробітної плати працюючих залежно від особистого внеску
працівника в кінцеві результати роботи підприємства: Затв. наказом Міністерства
праці та соціальної політики України від 31 березня 1999р. № 44.