Сущность и особенности издержек производства
ВВЕДЕНИЕ
Рассматриваемая тема очень актуальна, т. к. издержки производства и экономическая прибыль
определяют деятельность фирмы в современной рыночной экономике.
Поскольку издержки - это основной ограничитель прибыли и одновременно
главный фактор, влияющий на объем предложения, то принятие решений руководством
фирмы невозможно без анализа уже имеющихся издержек производства и их величины
на перспективу. Это относится к выпуску уже освоенной продукции к переходу на
новые изделия.
С позиций трудовой теории стоимости К. Маркс в «Капитале» рассматривал
издержки как затраты на заработную плату, материалы, топливо, амортизацию
средств труда, т.е. на производство товара. К ним он добавлял затраты на
заработную плату работников торговли (оптовой и розничной), содержание торговых
помещений, транспорт и т.п. Первые издержки Маркс называл издержками
производства, вторые - издержками обращения. При этом он не учитывал рыночной
ситуации и ряда других обстоятельств. Маркс исходил из того, что стоимость
товара образуется издержками производства и теми издержками обращения, которые
представляют собой продолжение процесса производства в сфере обращения,
например упаковка, фасовка и т.п.
Современная экономическая теория совершенно по-иному подходит к трактовке
издержек. Она исходит из ограниченности используемых ресурсов и возможности их
альтернативного использования. Под альтернативным использованием понимается,
например, возможность производства из дерева строительных материалов, мебели,
бумаги, ряда химических продуктов. Поэтому когда фирма решает производить
какой-то определенный товар, например мебель из дерева, то она тем самым
отказывается от производства из дерева, скажем, блоков для дачных домиков.
Отсюда нетрудно сделать вывод, что экономические, или вмененные, издержки
определенного ресурса, используемого в данном производстве, равны его стоимости
(ценности) при наиболее оптимальном способе его использования для производства
товаров.
Цель работы - изучить издержки производства.
В соответствии с целью выявим задачи:
1. исследовать сущность издержек;
2. изучить виды издержек;
3. рассмотреть издержки на рабочую силу
и производительность труда;
4. раскрыть сущность прибыли как
основного показателя результатов деятельности организации и минимизации
издержек;
5. исследовать особенности
стратегического контроля производственных издержек на предприятии;
6. выявить особенности сокращения
производственных издержек организации;
7. рассмотреть сущность минимизации
издержек;
8. охарактеризовать формирование
стратегии закупок производственного сырья;
9. изучить совершенствование стратегии
производственной экономии.
Объект исследования - издержки производства.
Предмет исследования - сущность и особенности издержек производства.
В работе использовались труды таких авторов, как Е. Ф. Борисов, В. М.
Гальперин, В. Д. Камаев, Е. Б. Мостовая, Б. А. Райзберг и др.
Методы исследования: индукция, дедукция, сравнение,
статистический метод.
Работа состоит из введения, трех глав, заключения,
списка использованной литературы.
ГЛАВА 1. ИЗДЕРЖКИ: СУЩНОСТЬ И ВИДЫ
1.1 Сущность издержек
Для того чтобы производить товары и предоставлять услуги, используют
различные ресурсы, или факторы производства. Это - сырье, топливо и энергия,
машины и механизмы, различные типы работы любой квалификации. Для получения
готового продукта факторы производства должны быть определенным образом
соединены между собой. Способов такого сочетания очень много даже для одного
производителя. Скажем, можно использовать больше живого труда, тогда меньше
понадобится машин и механизмов. И наоборот, увеличение количества и качества
технических средств приведет к уменьшению используемой живого труда. Поскольку
каждый производитель стремится быть эффективным производителем, то из многих
альтернативных способов сочетания факторов производства они должны выбрать тот,
который был бы эффективным как с технологической, так и с экономической точки
зрения [13, с.
128].
Технологически эффективный способ производства будет тогда, когда с четко
определенного объема ресурсов получен максимально возможный объем продукции.
Это означает, что не существует никакого другого способа сочетание определенных
факторов производства, при котором было бы произведено больший объем продукции.
Технологически эффективный способ производства будет и тогда, когда для изготовления
заданного объема продукции затрачивается наименьшее количество хотя бы одного
фактора производства при условии, что каждого другого вида ресурса
затрачивается не больше, чем при альтернативных способах производства.
Технологически эффективных способов производства при изготовлении
определенного объема продукции может быть несколько. Производитель должен
выбрать среди таких способов производства тот, при котором суммарная
Стоимостная оценка факторов производства будет наименьшим, т.е. способ, который
минимизирует альтернативную стоимость использованных в процессе производства
ресурсов. Такой способ производства и экономически эффективен. Его определение
связано с производственной функцией, которая показывает максимально возможный
выпуск продукции, которая может быть при заданном объеме факторов производства.
Следовательно, она показывает результаты альтернативных технологически
эффективных способов производства. Использование производственной функции
связано с издержками производства. Рассмотрим их.
Чтобы осуществлять любую предпринимательскую деятельность, следует
сделать определенные затраты. Любой предприниматель - фирма, хозяйственное
общество, физическое лицо - должен осуществлять расходы в виде определенных
ресурсов - трудовых, природных, информационных. Каждый вид ресурсов имеет
стоимостную оценку. Выраженные в денежной форме затраты ресурсов на
осуществление предпринимательской деятельности называют издержками
производства. Проблема издержек производства была объектом экономической теории
различных течений экономической мысли. В бывшем СССР господствовала
марксистская теория издержек производства. Она основывалась на теории трудовой
стоимости, согласно которой розризнялися общественные расходы и расходы
отдельного товаропроизводителя. Первые измерялись затратами живого и
уречевленой труда и составляли стоимость товара. В условиях экономической
обособленности, когда каждый производитель изготовляет товар самостоятельно,
его расходы определяются не всеми затратами живого и уречевленой труда, а лишь
теми, которые он оплачивает. Это издержки использованных для изготовления
товара средств производства и расходы на оплату труда работников, занятых его
изготовлением. От общественных затрат (стоимости) они отличаются на величину
дополнительного продукта, который является материальным фундаментом дохода,
получаемого производителем.
Помимо расходов, связанных с изготовлением товара, являются затраты,
необходимые для его реализации. Они получили название издержки обращения.
Различают два их вида: дополнительные и чистые. К дополнительным относятся
расходы на сортировку, упаковку, хранение и транспортировку товаров. Они
замещаются после продажи товара. По своей природе эти расходы не отличаются от
издержек производства и, входя в стоимость товара, увеличивают ее. Другая
природа чистых издержек обращения. Это затраты на превращение товарной формы
стоимости на денежную, т.е. расходы, связанные с торговлей, рекламой,
маркетингом и т.д. Они не увеличивают стоимость товара, замещаются после
реализации продукта с полученного дохода, созданного в процессе производства
товара.
В практике хозяйствования в бывшем СССР и в странах СНГ в период перехода
к рыночной экономике издержки производства предприятий, выраженные в
стоимостном форме называются себестоимости продукции. Она складывается из
затрат, связанных с использованием в процессе производства продукции (работ,
услуг) природных ресурсов, сырья, материалов, топлива, энергии, основных
фондов, нематериальных активов, трудовых ресурсов, а также других затрат на ее
производство и реализацию. Все затраты, составляющие себестоимость продукции,
определяются в денежной форме.
Таким образом, в процессе производства товаров и услуг затрачивается
живой и прошлый труд. При этом каждая фирма стремится получить возможно большую
прибыль от своей деятельности. Для этого фирма старается сократить свои затраты
на производство продукции, т.е. издержки производства.
1.2 Виды издержек
В основе принципов принятия экономических решений лежит тот факт, что
хозяйствующий субъект сталкивается с ограниченностью ресурсов и должен сделать
выбор между альтернативными способами использования этих ресурсов. Другими
словами, производитель должен иметь в виду, что те или иные ресурсы могут быть
использованы альтернативным образом, и, следовательно, необходимо сопоставить
ожидаемые выгоды от этих альтернатив. Принимая решение об использовании
ресурсов в данном производстве, предприниматель отказывается от производства
других товаров и услуг, то есть жертвует ценностью альтернативных возможностей
[13, с. 129].
С этой точки зрения можно утверждать, что издержки, которые следует
учитывать при принятии экономических решений, это всегда альтернативные
издержки - т. е. альтернативная стоимость (ценность) ресурсов при наилучшем
альтернативном варианте их применения.
Определим теперь основные виды издержек фирмы. Издержки подразделяются на
две большие категории: постоянные и переменные. Постоянные издержки - это
расходы, которые остаются неизменными, каково бы ни было количество
производимой продукции. К ним относятся плата за аренду помещения, затраты на
оборудование, оплата управленческого и административного персонала и т. п. Если
на оси абсцисс будем откладывать объем продукции Q, а на оси ординат - издержки С, то постоянные издержки FC будут выглядеть как прямая линия,
параллельная оси абсцисс (рисунок 1).

Рисунок 1 -
График постоянных издержек
Переменные издержки меняются в прямой зависимости от объема производства.
Они связаны с затратами на покупку сырья и рабочей силы. Динамика переменных
издержек (VC) неравномерна: начиная с нуля, по
мере роста производства они первоначально растут очень быстро; затем, по мере
дальнейшего увеличения объемов производства, начинает складываться фактор
экономии на массовом производстве, и рост переменных издержек становится уже
более медленным, чем увеличение продукции. В дальнейшем, однако, когда вступает
в действие закон убывающей производительности, переменные издержки снова
начинают обгонять рост производства [13, с. 130].

Рисунок 2 -
График переменных издержек
Валовые (общие) издержки (ТС) представляют собой сумму постоянных и
переменных издержек при каждом конкретном уровне производства. На графике
(рисунок 1) суммирование VC и FC означает сдвиг вверх линии VC на величину OF по оси ординат.
Неравномерное изменение валовых издержек приводит к тому, что меняются по
мере роста объема производства и издержки на единицу продукции, или средние
издержки. Средние издержки равны валовым издержкам, деленным на произведенное
количество товара (АС=ТС:Q).
Этот вид издержек имеет особое значение для понимания рыночного равновесия,
поскольку предприниматель стремится их минимизировать. Кривая средних издержек
обычно имеет Сообразную форму (рисунок 2). Сначала средние издержки весьма
высокие. Это связано с тем, что большие постоянные издержки распределяются на
незначительный объем продукции. По мере роста производства постоянные издержки
приходятся на все большее число единиц продукции, и средние издержки быстро падают,
доходя до минимума в точке М. По мере роста объема производства основное
влияние на величину средних издержек начинают оказывать не постоянные, а
переменные издержки. Поэтому вследствие закона убывающей доходности кривая
начинает идти вверх. Следует обратить внимание, что кривая средних издержек
непосредственно зависит от кривых средних постоянных издержек (AFC) и средних переменных издержек (AVC) [13, с. 131].
Кривая средних издержек имеет большое значение для предпринимателя,
поскольку позволяет определить, при каком объеме производства издержки на
единицу продукции будут минимальными.
В условиях совершенной конкуренции при любом сложившемся уровне цены
существует своего рода «внешний предел», при котором производители или вступают
в данную отрасль, или же выталкиваются из нее. Повышение цены обусловливает
появление новых фирм и сохранение старых. Снижение цены приводит к тому, что
предприятия с высоким уровнем издержек становятся убыточными и должны данную
отрасль покинуть.

Рисунок 3 -
Графики положения фирмы на рынке (а - фирма получает нормальную прибыль; б -
фирма получает высокую прибыль; в - фирма терпит убытки)
На рисунок 3 показаны три возможных варианта положения фирмы на рынке.
Если линия цены Р лишь касается кривой средних издержек АС в минимальной точке
М (рисунок 3-а), то мы имеем дело с так называемой предельной фирмой. Она при
данном уровне цены в состоянии лишь покрыть свои минимальные средние издержки и
ей, так сказать, безразлично, остаться в данной отрасли или нет. Точка М в
данном случае является точкой нулевой прибыли [13, с. 132].
Следует особо подчеркнуть, что, говоря о нулевой прибыли, мы не имеем в
виду, что предельная фирма вообще не получает никакой прибыли. В издержки
производства включаются не только затраты на сырье, оборудование, рабочую силу,
но и процент, который фирмы могли бы получить на свой капитал, если бы
вкладывали его в другие отрасли. Иными словами, нормальная прибыль как
нормальная отдача от капитала, определяемая путем конкуренции во всех отраслях
с одинаковым уровнем риска, или вознаграждение фактора предпринимательства,
является составной частью издержек. Обычно фактор предпринимательства
рассматривается как постоянный фактор. В связи с этим нормальная прибыль
относится на постоянные издержки.
Если средние издержки ниже цены (рисунок 3-б), то фирма, находясь в
положении равновесия, получает в среднем прибыль более высокую, чем нормальная
прибыль, т. е. получает сверхприбыль, или квазиренту [9, с. 132].
Наконец, если средние издержки фирмы при любом объеме производства выше
рыночной цены (рисунок 3-в), то данная фирма терпит убытки и разорится, если не
будет реорганизована или не уйдет с рынка.
Динамика средних издержек характеризует положение фирмы на рынке, однако
сама по себе не определяет линии предложения и точки оптимального объема
производства. Действительно, если средние издержки ниже цены (рисунок 3-б), то
на этом основании мы можем лишь утверждать, что в интервале от Q2 до Q3 находится зона прибыльного производства, а при объеме
производства Q1, которому соответствуют минимальные
средние издержки, фирма получает максимальную прибыль на единицу продукта.
Однако означает ли это, что точка Q1 - это точка оптимального объема производства, где фирма достигает
своего равновесия? Производителя, как известно, интересует не прибыль на
единицу продукции, а максимум общей массы получаемой прибыли. Линия средних
издержек не показывает, где достигается этот максимум.
В связи с этим необходимо рассмотреть так называемые предельные издержки,
т. е. дополнительные издержки, связанные с производством дополнительной единицы
продукта наиболее дешевым способом. Предельные издержки получаются как разность
между издержками производства n
единиц и издержками производства n-1
единиц: MC=TCn-TCn-1
[13, c. 133].
На рисунке 4 показана динамика предельных издержек.

Рисунок 4 -
Динамика предельных издержек фирмы
Кривая предельных издержек не зависит от постоянных издержек, потому что
постоянные издержки существуют независимо от того, производится ли
дополнительная единица продукции. Сначала предельные издержки сокращаются,
оставаясь ниже средних издержек. Это объясняется тем, что если издержки на
единицу продукции убывают, следовательно, каждый последующий продукт стоит
меньше средних издержек предшествующих продуктов, т. е. средние издержки выше
предельных. Последующий рост средних издержек означает, что предельные издержки
становятся выше предшествующих средних издержек. Таким образом, линия
предельных издержек пересекает линию средних издержек в ее минимальной точке М.
Вместе с тем производство дополнительной единицы продукции, порождая
дополнительные издержки, с другой стороны, приносит и дополнительный доход,
выручку от ее продажи. Величина этого дополнительного, или предельного дохода
представляет собой разность между выручкой от продажи n и n - 1
единиц продукции: MR=TRn - TRn-l. B условиях свободной конкуренции, как
известно, производитель не может повлиять на уровень рыночной цены, и,
следовательно, продает любое количество своей продукции по одной и той же цене.
Это значит, что в условиях свободной конкуренции дополнительный доход от
продажи дополнительной единицы продукции будет при любом объеме одинаков, т. е.
предельный доход будет равен цене: MR = Р.
Введя понятия предельных издержек и предельного дохода, мы можем теперь
гораздо более точно определить точку равновесия фирмы, или точку, где она
прекращает производство, добившись максимально возможной при данной цене массы
прибыли. Очевидно, что фирма будет расширять объем производства, пока каждая
дополнительно произведенная единица продукции будет приносить дополнительную
прибыль. Другими словами» пока предельные издержки будут меньше, чем предельный
доход, фирма может расширять производство. Если предельные издержки начнут
превышать предельный доход, фирма будет нести убытки.

Рисунок 5 -
Соотношение цены и издержек фирмы
На рисунке 5 показано, что с увеличением производства кривая предельных
издержек (МС) идет вверх и пересекает горизонтальную линию предельного дохода,
равного рыночной цене P1, в
точке М, соответствующей объему производства Q1. Любое отклонение от этой точки приводит к потерям для
фирмы либо в виде прямых убытков при большем объеме производства, либо в результате
сокращения массы прибыли при уменьшении выпуска продукции.
Таким образом, условие равновесия фирмы можно сформулировать следующим
образом: MC=MR=P. Любой
конкурент, добивающийся прибыли, стремится установить такой объем производства,
при котором соблюдается это условие равновесия. Соотношение предельных издержек
и предельного дохода - это своего рода сигнальная система, которая информирует
предпринимателя о том, достигнут ли оптимум производства или можно ожидать
дальнейшего роста прибыли. Однако нельзя точно определить получаемую фирмой
массу прибыли на основании динамики предельных издержек, поскольку, как уже
отмечалось, они не учитывают постоянных издержек. Общая прибыль, получаемая
фирмой, может быть определена как разность между валовой выручкой (TR) и валовыми издержками (ТС). В свою
очередь, валовая выручка вычисляется как произведение количества продукции на
цену (TR=QxP), а валовые издержки - произведение количества
продукции на средние издержки (TC=QxAC). Таким образом, лишь соединив проведенный
ранее анализ предельных издержек и предельного дохода с анализом динамики
средних издержек, можем точно определить объем получаемой прибыли.
Таким образом,
существуют постоянные,
переменные, альтернативные, валовые, средние издержки.
.3 Издержки на рабочую силу и
производительность труда
Согласно концепции затрат на прирост прибыли, каждая дополнительная
единица затрат целесообразна и эффективна только тогда, когда она обеспечивает
больший (по сравнению с затратами) и увеличивающийся прирост прибыли. Эта
концепция является одним из важнейших средств диагностики эффективности
управленческой деятельности, в том числе и деятельности в области управления
персоналом, в частности, управление оплатой его труда.
Для этих целей на западных предприятиях отделы человеческих ресурсов
регулярно собирают информацию о различных сторонах управления персоналом (такие
данные часто называют статистикой человеческих ресурсов), в том числе:
• о производительности;
• об издержках на рабочую силу;
• о профессиональном обучении;
• о структуре и динамике рабочей силы [3, с. 110].
Данные об издержках на рабочую силу показывают, во что обходится
предприятию его работник. К числу наиболее широко используемых для целей
анализа, контроля и планирования показателей относят следующие:
. Общие издержки предприятия на рабочую силу за период. Каждая компания
должна с максимальной точностью знать размер своих расходов на рабочую силу.
Причем определение общей величины издержек является достаточно сложным делом,
так как они складываются из множества статей, которые не всегда на первый
взгляд связаны с наймом рабочей силы. Основными составляющими издержек на
рабочую силу являются:
• базовая заработная плата. Эта категория включает должностные оклады и
выплаты по часовым тарифным ставкам;
• переменная заработная плата. К этой категории относятся выплаты
рабочим-сдельщикам, комиссионные, аккордная заработная плата;
• все виды премиальных выплат, включая премии по итогам года, квартала,
месяца, разовые премии за выполнение отдельных заданий;
• выплаты по участию в прибылях и сокращению издержек;
издержки предприятия на предоставление работникам права приобретения
акций;
• стоимость социальных льгот, включая взносы организации в страховые
фонды, затраты на медицинское обслуживание, бесплатное питание, предоставление
бесплатных услуг работникам и т. д. К данной категории относятся издержки на
все льготы, как установленные законодательством, так и предоставляемые
предприятием в дополнение к требованиям закона;
• издержки на спецодежду, обувь, оборудование бытовых помещений;
• взносы предприятия в фонды государственного социального страхования;
• издержки предприятия на уплату государственных и местных налогов на
заработную плату [3, с.
111].
. Издержки на один производительный час. Этот показатель рассчитывается
путем деления общей величины издержек на рабочую силу на общее число
производительных часов за период. Показатель дает представление о том, во
сколько в среднем обходится компании один час производительного труда с точки
зрения расходов на рабочую силу. Причем необходимо подчеркнуть, что речь идет
не о всех отработанных часах, а именно о производительных - это те часы
производственных работников, в течение которых они заняты непосредственной
производственной деятельностью, т. е. изготовлением продукции или оказанием
услуг. К ним не относятся часы, потраченные на профессиональное обучение,
простои, занятия по охране труда и т. п. [3, с. 114-115]
В соответствии с концепцией затрат (в данном случае на рабочую силу),
предприятию необходимо знать и то, какой вклад вносят его работники в
достижение поставленных целей, т. е. какова эффективность затрат на рабочую
силу, их отдача. Для этих целей на Западе рассчитываются показатели
производительности (персонала, труда), которым руководство компаний уделяет
повышенное внимание, поскольку производительность труда является источником
процветания любого предприятия.
Используемые в управленческом анализе и при принятии решений показатели
производительности труда должны отражать специфику производственной
деятельности предприятия, однако существует несколько наиболее общих
показателей, применяемых практически во всех западных компаниях:
. Объем реализации на одного работника. Рассчитывается как отношение
объема реализации (продаж) компании за период к численности работников. Банки
используют вместо объема реализации суммарную величину активов или привлеченных
средств, страховые компании - суммы страховых премий.
Данный показатель является наиболее общим показателем производительности
компании и рассматривается обязательно в динамике или в сравнении со средним
показателем по отрасли [10, с. 126].
. Объем прибыли до уплаты налогов на одного работника. Данный показатель,
в отличие от предыдущего, характеризует эффективность работы компании - сколько
прибыли приносит каждый работник за период - поскольку получение прибыли
является одной из основных целей функционирования большинства современных
организаций. Показатель рекомендуется анализировать в сравнении с данными
прошлых периодов или со средними показателями по отрасли.
. Показатель производимой продукции за час производительного труда
является классическим показателем производительности и может рассчитываться как
в денежных, так и в натуральных единицах.
В первом случае он определяется как результат деления себестоимости
произведенной за период продукции (иногда используют показатель рыночной
стоимости произведенной продукции) на общее число отработанных производительных
часов за период. В последнее время популярным стал показатель добавленной
стоимости за один производительный час - рассчитывается как частное отделения
разницы между рыночной стоимостью и издержками произведенной за период
продукции на отработанные производительные часы.
Во втором случае (натуральные единицы) показатель определяется как
частное отделения количества единиц произведенной за период продукции на общее
число отработанных за этот период производительных часов.
Организации, занимающиеся сервисом, используют показатель обслуживаемых в
течение одного часа клиентов, рассчитываемый, как отношение общего числа обслуженных в течение периода
клиентов к производительным часам за период.
Многие компании рассчитывают показатели производимой за час продукции
отдельно по подразделениям и по видам продукции, сопоставляя производительность
различных участков и производство различных изделий [1, с. 148].
Показатель рекомендуется рассматривать в динамике или в сравнении с
конкурентами.
. Число производительных часов, затраченных на производство единицы
продукции, - показатель, обратный показателю производительности за один час. В
определенной степени это более наглядный показатель и потому широко применяется
компаниями, выпускающими однородную объемную продукцию - станки, экскаваторы,
самолеты, корабли и т. д.
Итак, издержки на
рабочую силу включают заработную плату, социальные льготы, издержки на одежду, уплату налогов и другие. Показатели производительности
включают: объем реализации на одного работника, объем прибыли до уплаты налогов на одного работника, производимая продукция за час
производимого труда,
число производительных часов, затрачиваемых на производство единицы продукции.
Таким образом, ни
одно предприятие в современных рыночных условиях не может существовать без
издержек. Последние включают оплату труда, закупку оборудования, налоги и другие. Успешным предприятием считается то, в котором прибыль превышает
издержки.
ГЛАВА 2. МЕТОДИЧЕСКИЕ ОСОБЕННОСТИ УПРАВЛЕНИЯ ИЗДЕРЖКАМИ
.1 Прибыль как основной показатель
результатов деятельности организации и минимизации издержек
Экономисты, в отличие от бухгалтеров, используют термин «прибыль» для
обозначения разности между совокупным доходом фирмы и всеми ее издержками,
включая как явные, так и неявные. Для того чтобы отделить такое понимание
термина от других толковании, многие авторы называют эту разность чистой
экономической прибылью. Следует отличать чистую экономическую прибыль от двух
других бухгалтерской прибыли и нормальной прибыли. Бухгалтерская (финансовая)
прибыль представляет собой разность между валовым доходом (выручкой) фирмы и ее
явными (внешними по отношению к организации) издержками. На практике правило
руководитель сталкивается именно с этим видом прибыли [17, c. 19].
Нормальная прибыль - это прибыль, равная вмененным издержкам, вложенным в
дело владельцем фирмы. Вмененные издержки - затраты, не предусмотренные
контрактами с внешними организациями. Например, вложив в дело 1 тыс. руб.,
владельцы фирмы получают прибыль 7%. Если в это время процентная ставка
составляет также 7%, то полученная прибыль будет нормальной. Эта сумма является
«нормальной» в том смысле, что владельцы фирмы при нормальной ситуации получили
бы эти денежные средства, вложив капитал в какое угодно иное предприятие, она
не является «прибылью» в сугубо экономическом смысле этого слова [8, с. 211].
Отрицая прибыль как результат эксплуатации, присвоения неоплаченного
наемного труда, можно выделить следующие, имеющие хождение в учебной литературе
определения прибыли: во-первых, - это плата за услуги предпринимательской
деятельности; во-вторых - это плата за новаторство, за талант в управлении
фирмой; в третьих - это плата за риск, за неопределенность результатов
предпринимательской деятельности. Риск может быть связан с выбором того или
иного управленческого, научно-технического или социального решения, с тем или
иным вариантом природно-климатических условий. Риск может быть связан и с
непредсказуемыми обстоятельствами - стихийные бедствия, межнациональные и
межгосударственные конфликты и т.п. Результаты риска могут быть кардинально
различны - большая прибыль и, наоборот, ее уменьшение или даже разорение фирмы.
В настоящее время разработана теория риска, с помощью которой можно рассчитать
степень риска, особенно финансового. В-четвертых, - это так называемая
монопольная прибыль. Она возникает при монопольном положении производителя
(продавца) на рынке или при естественной монополии. Монопольная прибыль по
большей части неустойчива.
Основные фонды представлены, прежде всего, зданиями, сооружениями,
передаточными устройствами, машинами, оборудованием и приборами, транспортными
средствами, инструментом, скотом и некоторыми другими их видами. В России
основные фонды часто делят на производственные и непроизводственные. К первым относят
средства труда, функционирующие в сфере материального производства, а ко вторым
- средства труда, функционирующие в жилищном и коммунальном хозяйстве,
здравоохранении, образовании, науке, культуре и искусстве, органах
государственного управления, кредитной и других отраслях сферы услуг. Таким
образом, по российской методике здание, в котором размещен завод или ферма,
будет отнесено к основным производственным фондам, а здание, в котором
размещается банк, институт, больница или просто жилой дом,- к непроизводственным
основным фондам [2, с.
278].
Если сравнивать по величине оборотный капитал с основным, то в
большинстве фирм и отраслей первый намного меньше второго. Тем не менее
оборотный капитал в соответствии со своим названием оборачивается в хозяйственной
жизни намного быстрее основного. В результате его вклад в себестоимость
продукции обычно намного выше, чем вклад основного капитала. Ведь основной
капитал переносит свою стоимость на изготавливаемую продукцию в течение
нескольких лет частями (через амортизацию), а оборотный капитал - не более
года. В российской промышленности в 2000 г. структура затрат (себестоимости)
выглядела так, %: амортизация - 6, материальные затраты -г- 57, оплата труда и
отчисления на социальные нужды - 19, прочие расходы - 18 [2, с. 284].
От структуры основного и оборотного капитала зависит прибыль торгового
предприятия. Если предприятие имеет в своем распоряжении новые здания, сооружения, располагает современным
оборудованием, то это будет
способствовать максимизации прибыли. В таком случае предприятию не придется
платить за амортизацию,
поэтому чистая прибыль предприятия увеличится.
Таким образом,
важнейшей категорией рыночной экономики является прибыль. Прибыль представляет
собой разницу между доходами и расходами.
издержка прибыль закупка производительность
2.2 Особенности стратегического
контроля производственных издержек на предприятии
В современном менеджменте проблема издержек производства вызывает
повышенное внимание. Это объясняется ролью, которую играют издержки в рыночных
позициях фирмы. Все большее число компаний, в том числе российских,
пересматривают свое отношение к издержкам, рассматривая их как фактор
стратегического развития.
Политика фирмы в отношении издержек, как правило, сводится к их снижению.
В связи с этим говорится о факторах, резервах, значении сокращения издержек.
При характеристике конкурентных стратегий называется стратегия снижения
производственных издержек. Конечно, издержки важно снижать, добиваясь за счёт
этого более высоких результатов. Однако такой подход, на наш взгляд, упрощает
проблему издержек и является односторонним. Во-первых, низкие издержки не могут
быть самоцелью, поскольку способны принести не только пользу, но и вред
предлагаемому фирмой продукту из-за ослабления его конкурентоспособности.
Последнее может произойти ввиду снижения качественных характеристик, которые
ценит покупатель. Во-вторых, устойчивое экономическое развитие и рост фирмы с
точки зрения издержек не обязательно связаны со снижением самих издержек.
Развитие может обеспечиваться на определённом этапе за счет роста издержек.
Постольку поскольку динамика издержек производства может быть различной, более
обоснованно, по нашему мнению, говорить не только и не столько о снижении,
сколько об эффективности издержек производства. Хотя снижение издержек
производства является ключевым моментом в этом процессе, эффективность - более
многогранное явление [16, c.
48].
Эффективность издержек учитывает как величину расходов, которые несёт
фирма, так и влияние расходов на результаты работы. Результаты выражаются
прежде всего в стоимости товаров и услуг, которые могут быть произведены из
данных ресурсов в других, наиболее выгодных и доступных сферах. К результатам
следует отнести также объём производимой продукции, номенклатуру с учетом спроса,
качество поставляемых на рынок товаров. Эффективность издержек является одной
из составляющих экономической эффективности. Традиционный подход к
экономической эффективности и её росту (минимум затрат - максимум результатов)
при более внимательном рассмотрении нуждается в конкретизации. В самом деле,
что значит «минимум затрат»? Следует учитывать не только количественную
сторону, но и другие моменты. В частности, чтобы общие и средние издержки в
будущем были меньше, необходимы определенные вложения в новую технологию,
подготовку персонала, стимулирование работников. Любая стратегия
ресурсосбережения в этом отношении может обходиться дешевле или дороже. Фирма
ищет наиболее дешёвую комбинацию факторов («комбинация минимальных издержек»).
Большие вложения в уменьшение издержек могут быть связаны с риском потери
преимуществ низкостоимостного производства. Дело не только в размере прибыли,
падающей ввиду дополнительных затрат. Стремление снижать издержки любой ценой
может помешать фирме увидеть растущее «иное предпочтение».
Минимизация затрат непосредственным образом выходит на понятие
эффективности затрат. Как и любая другая экономическая эффективность,
эффективность издержек производства показывает соотношение величины снижения
издержек производства (результат) к размеру средств, обеспечивших это снижение
(затраты). Для определения количественного значения данного показателя на
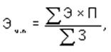
уровне фирмы рекомендуем способ расчёта:
(1)
где Эи.п - эффективность издержек производства;
Э - экономия ресурсов на производство единицы продукции;
П - количество единиц продукции, произведенной за определенный период
времени;
З - величина затрат, обеспечившая экономию ресурсов [6, c. 30].
Для определения эффективности издержек производства необходимо учитывать
всю совокупность факторов, которые прямо или косвенно влияют на издержки. В
зарубежной практике не случайно получили широкое распространение концепции, в
которых максимально реализуется требование учёта сравнительной величины затрат.
К их числу можно отнести концепцию добавленной стоимости. В рамках концепции
составляющие затрат учитываются и сравниваются на всех стадиях добавленной
стоимости, начиная с закупок сырья и материалов и заканчивая реализацией
продукции (услуг). Ключевым моментом такого подхода является максимизация
разницы между закупками и реализацией. Другая, не менее известная, концепция
альтернативности затрат основывается на том, что любое финансовое решение
принимается в результате сравнения альтернативных затрат. Практическая
реализация управленческого решения в этом случае связана с отказом от
альтернативного варианта.
Так как издержки производства - многофакторный процесс, их эффективность
может рассматриваться как общая и частная. В последнем случае речь идёт об
эффективности отдельных видов затрат. Меняя их количественную величину и
качественный состав, можно воздействовать на общую эффективность издержек, а
через неё - на эффективность производства [18, c. 8].
Таким образом, для ощутимого воздействия издержек на устойчивость фирмы
на рынке издержками необходимо управлять. Важнейшим компонентом этой работы
является разработка и реализация стратегии, обеспечивающей рост эффективности издержек
производства.
.3 Особенности сокращения
производственных издержек организации
Стратегия эффективности издержек производства, независимо от сферы
применения, базируется на определённых концептуальных положениях. В качестве
основополагающих мы выделяем принципы разработки, содержание, результат
применения.
Принципы определяют требования (правила), которых необходимо
придерживаться при разработке стратегии. Они таковы:
) реалистичность. Данный принцип исходит из предпосылки, что для
осуществления стратегии имеются необходимые внутренние и внешние условия.
Первые - наличие необходимых материальных, финансовых, трудовых и
информационных ресурсов для решения данной задачи. Внешние условия включают в
себя предпосылки за пределами фирмы, которые оказывают воздействие на её
развитие (уровень конкуренции на рынке, спрос и предложение, налоги и т. п.).
Реалистичность во многом зависит от степени обоснованности стратегии, что
обеспечивается действием другого принципа;
) научность. Чтобы разработать политику фирмы в области издержек
производства, важно использовать имеющиеся исследования в этой области. Это
позволяет учесть закономерности, полученные на основе научных изысканий, а
также использовать имеющийся опыт. Существенным подспорьем служат методические
рекомендации, применяемые с учётом специфики предприятия;
) конкретность. Зачастую работа по снижению издержек организуется на
основе общих призывов. Исполнители не всегда понимают своё место в процессе.
Поэтому важно, чтобы каждый член коллектива имел определённые задания по
вопросам эффективного использования ресурсов. Роль руководителей сводится к
координации действий подчиненных в данной области. Одновременно необходимо
информировать персонал о результатах работы по воздействию на издержки;
) заинтересованность. Поскольку стратегию реализуют работники фирмы, у
них должно быть достаточно стимулов. Выполнение данного правила обеспечивается
не только действенной системой материального стимулирования за
ресурсосбережение, но и осознанием значимости своих усилий для развития фирмы.
Важно, чтобы степень участия в разработке и реализации стратегии влияла на
профессиональный рост работников [9, c. 46].
На основе описанных принципов осуществляется разработка и реализация
стратегии. Этот процесс включает в себя следующие основные элементы (рисунок
6).
Основополагающим моментом стратегии является её направленность,
выражаемая установкой (целями). Целевая направленность стратегии издержек
находит выражение в конечных результатах работы фирмы и улучшении основных
показателей.
Рисунок 6 - Процесс разработки и реализация стратегии управления
издержками
Особое внимание в стратегии повышения эффективности издержек в настоящее
время следует обратить на рыночные факторы, прежде всего на существующий
платежеспособный спрос. Активный маркетинг - способ увеличения спроса, развития
производства и уменьшения издержек на единицу продукции. На этапе разработки
стратегии следует прогнозировать возможные изменения спроса и их последствия
для издержек производства (рисунок 7).
Рисунок 7 - Взаимосвязь возможных изменений спроса и издержек
Чем точнее в процессе разработки стратегии отражены последствия изменения
спроса, тем реалистичнее будет сама стратегия.
Реализация стратегии (применение) - наиболее ответственный этап,
поскольку он позволяет проверить обоснованность разработанной стратегии и её
эффективность. В теоретических исследованиях, и особенно в хозяйственной
практике, можно встретить утверждения, согласно которым процесс реализации
стратегии - рутинная деятельность по выполнению принятого долгосрочного плана.
Это не так, поскольку начало реализации корпоративной стратегии знаменует собой
завершение одного цикла стратегического развития и переходом к другому циклу.
Для успешной реализации стратегии повышения эффективности издержек
требуется, как минимум, три принципиальных условия. Во-первых, руководители
всех уровней должны знать общую стратегию в области издержек в виде системы
чётких стратегических указаний и осуществлять такие указания строго в
соответствии с текущим оперативным планом реализации стратегических изменений.
Во-вторых, все основные моменты стратегии издержек, в первую очередь текущие
стратегические указания, необходимо довести до всего персонала фирмы. При этом
следует учитывать уровень мотивации работников в снижении издержек и выполнении
всей стратегии. Достаточная мотивация всего персонала - третье необходимое
условие [12, c. 178].
Таким образом, инновационная политика по отношению к стратегии
эффективности издержек производства может рассматриваться как единый процесс,
имеющий прямые и обратные связи. Инновации позволяют экономить ресурсы и
выступают в качестве необходимого компонента программы снижения издержек.
Реальная работа, направленная на повышение эффективности издержек, является
стимулом для инноваций. Это позволяет добиваться высоких результатов работы
фирмы.
ГЛАВА 3. ОСНОВНЫЕ НАПРАВЛЕНИЯ МИНИМИЗАЦИИ ИЗДЕРЖЕК
3.1 Сущность минимизации издержек
На долговременном этапе, если осуществляется увеличение производственных
мощностей, перед каждой фирмой встает проблема нового соотношения факторов
производства. Суть этой проблемы состоит в том, чтобы обеспечить заранее
заданный объем производства продукции с минимальными издержками. Для исследования
этой процедуры примем, что имеются лишь два фактора производства: капитал К и
труд L. Нетрудно усвоить, что цена труда,
определяемая на конкурентных рынках, равна ставке заработной платы w. Цена капитала равна арендной плате
за оборудование r [8, с. 144].

Рисунок 8 -
Количество выпускаемой продукции и функции минимальных издержек производства
Для простоты исследования предположим, что все оборудование (капитал) не
приобретается фирмой, а арендуется, например, по лизинговой системе, и что цены
на капитал и труд в рамках данного периода остаются постоянными.
Издержки производства могут быть представлены в виде так называемых
изокост. Под ними понимаются все возможные сочетания труда и капитала, которые
имеют одинаковую общую стоимость, или, что то же самое, сочетания факторов
производства с равными валовыми издержками. Валовые издержки определяются по
формуле: ТС = w + rК. Это уравнение может быть выражено изокостой (рисунок 8).
Фирма не может избрать изокосту С0, так как нет такого сочетания
факторов, которое обеспечило бы выпуск продукции Q при их стоимости, равной С0. Заданный объем производства
может быть обеспечен при расходах, равных С2 когда затраты труда и капитала
соответственно равны L2 и
К2 или L3 и К3. Но в этом случае издержки не
будут минимальными, что не отвечает поставленной цели. Значительно эффективнее
будет решение в точке N, так
как при этом набор факторов производства обеспечит минимизацию издержек
производства. Сказанное выше верно при условии, что цены на факторы
производства неизменны. На практике так не бывает. Предположим, что цена
капитала увеличится. Тогда угол наклона изокосты, равный - (w/r), уменьшится, а кривая С1 станет более пологой. Минимизация
издержек в данном случае будет иметь место в точке М со значениями L4 и К4. В связи с увеличением цены на
капитал фирма заменяет капитал трудом [8, c. 146].
Предельная норма технологического замещения - это то количество, на
которое за счет использования дополнительной единицы труда могут быть сокращены
затраты капитала при неизменном объеме производства. Норма технологического
замещения обозначается MPTS.
В экономической теории доказано, что она равна угловому коэффициенту изокванты
с обратным знаком. Тогда
= DK/DL = MPL / MPk. (2)
Путем несложных преобразований получаем:
MPL / w = MPK/ r, (3)
где МР - предельный продукт капитала или труда.
Из последнего уравнения следует, что при минимальных издержках каждой
дополнительный рубль, затраченный на производственные факторы, дает равное
количество производимой продукции. Отсюда следует, что при вышеуказанных
условиях фирма может выбирать между факторами производства и покупать более
дешевый фактор, чему будет соответствовать определенная структура факторов
производства.
Таким образом,
между прибылью и издержками существует прочная взаимосвязь. Чем выше издержки, тем меньше прибыль, и наоборот. Предприятие в своей
деятельности стремится минимизировать издержки, так как без прибыли оно может стать банкротом.
.2 Формирование стратегии закупок
производственного сырья
Долгосрочные ценовые тренды являются малозначительными, по сравнению с
краткосрочной изменчивостью, значительно усилившейся в последнее время. В
результате краткосрочные движения цен на сырьевые товары становятся в последнее
время абсолютно непредсказуемыми. С экономической точки зрения краткосрочные
колебания цен абсолютно доминируют над долгосрочными трендами. Так как
долгосрочные темпы роста цен на сырьевые товары являются нестабильными, знание
долгосрочных трендов изменения цен имеет незначительное практическое значение
для потребителей сырьевых товаров [12, c. 32].
Мировая практика показывает, что неблагоприятные изменения ценовых
характеристик сырьевых ресурсов, использующихся в производственном процессе
конкретного предприятия, оказывает сильное негативное влияние на эффективность
его деятельности. Недопустимость сбоев, способных привести к снижению объемов
производства, повышению себестоимости или его остановке, требует разработки и
внедрения систем управления процессами закупки сырья, опирающихся на
прогнозирование изменения ценовых характеристик сырья.
Классификация традиционных инструментов управления сырьевыми рисками
приведена на рисунке 9.
Рисунок 9 - Традиционные инструменты управления сырьевыми рисками
В данном случае необходимо иметь следующее:
традиционным инструментам управления сырьевыми рисками, характерна
«пассивность», т.к. они используются без каких либо обоснованных ожиданий
относительно дальнейшего развития событий;
традиционные инструменты управления сырьевыми рисками носят характер
«страхования» и позволяют избежать сырьевых рисков ценой многомиллионных
расходов;
основным фактором при выборе инструмента, обеспечивающего его
эффективность, является ожидание относительного будущего развития ценовой
динамики сырьевых ресурсов;
использование метода управления основанного на анализе ценовой динамики в
совокупности с традиционными инструментами управления рисками существенно
повысит эффективность процесса управления закупками сырья.
Российскими промышленными предприятиями используется планирование объемов
сырьевого снабжения в соответствии с планом технологической потребности в сырье
для производства. Данный подход эффективен в плановой экономике, где обмен
сырьем производится в рамках единого собственника. Учитывая же рыночные
особенности и изменчивость сырьевых рынков, заключенные сырьевые контракты от
момента их заключения до момента их реализации многократно меняют свою рыночную
стоимость, вследствие чего для повышения эффективности управления сырьевыми
ресурсами, необходимо осуществлять непрерывное изменение и преобразование их
формы (из натуральной в денежную, и обратно) [12, c. 33].
Таким образом, управляющие воздействия формируются на основе стратегий
принятия решений и выражаются в форме решений о переводе сырьевых ресурсов из
одной формы в другую, более предпочтительную с точки зрения промышленного
предприятия, исходя из выбранных критериев, в качестве которых выступает
доходность выбранной формы. Профессионально осуществлять подобное управление
сырьевыми ресурсами, в рамках промышленного предприятия, возможно только
опираясь на формализованные методы, позволяющие оценивать ожидания относительно
проводимых операций, контролировать (ограничивать) рыночный риск, что позволяет
обеспечить системность принятия решений и исключить пагубное влияние случайно
принятых решений.
3.3 Совершенствование стратегии производственной
экономии
Существует пять основных видов стратегий экономии, которые детально
описываются ниже:
· организационные изменения;
· финансы и финансовые изменения;
· стратегии снижения затрат;
· стратегии сокращения активов;
· стратегии создания прибыли.
1.
Организационные изменения. Легко предсказуемой особенностью большинства случаев
спада является замена исполнительного директора. Это значительное изменение
может быть связано с целой серией других. Примеры включают:
· попытки усиления команды управляющих;
· изменения в распределении ролей и обязанностей;
· новую политику и новые системы управленческого контроля;
· изменения в рабочей обстановке, разработанные для того, чтобы
стимулировать высшее руководство;
· введение премиальной системы оплаты труда, помогающей достичь
установленных целей [14].
Потребность в новом исполнительном директоре будет явной, так как
необходимо убедить рабочих в том, что с кризисом можно эффективно бороться.
2. Финансы и
финансовые стратегии. Слабая система финансового контроля и плохое управление
движением средств являются важными особенностями компаний, находящихся на
спаде. В этой области может быть проведена серия конкретных изменений:
· введены эффективные системы финансового контроля;
· изменение структуры долговых обязательств путем заключения с
ключевыми кредиторами соглашений об изменении времени выплат, а в некоторых
случаях и о переводе выплат процентов и основных сумм в другие финансовые
инструменты (например, конвертация облигаций в обыкновенные акции или
конвертируемые привилегированные акции);
· установлены эффективные системы контроля, более жесткий
контроль за движением денежных средств и т.п.
3. Стратегии
снижения затрат. Такие стратегии могут быть необходимы в случаях острых
финансовых кризисов. Перед принятием решений необходим тщательный анализ
важнейших аспектов затрат. Существует несколько областей, на которых необходимо
сосредоточиться:
1) Снижение расходов на оплату труда часто является точкой отсчета. С
этим вопросом необходимо быть крайне осторожным, чтобы в результате увольнений
не возникло недостатка в основных специальностях. Снижение расходов на рабочую
силу может быть достигнуто за счет сверхурочной работы, работы неполный день и
неполную неделю, а также дополнительных смен.
) Материалы могут быть еще одной областью сосредоточения. Материалы могут
давать значительную добавку к затратам там, где для производства товаров
используется дорогостоящее сырье или же задействованы значительные его объемы.
Возможна попытка найти новые источники поставок или же переработать продукт
так, чтобы требовалось меньше исходных материалов.
) Накладные расходы являются еще одной областью, к которой можно
обратиться. Мероприятия могут включать отказ от необходимых услуг, снижение
дополнительных выплат, уменьшение суммы средств, расходуемых на подготовку,
общественные связи, рекламу, исследования и разработки. Выбор вариантов
значителен.
) Изменение размеров подразделений или управлений. Может потребоваться
уменьшить размеры подразделений или реализовывать их функции в более
систематической форме [14].
4. Стратегии
сокращения активов
Этот вариант может иметь несколько направлений. Примером являются
следующие:
) Внутреннее изъятие или рационализация: Фабрики могут закрываться, а
производство концентрироваться в меньшем количестве мест. Для достижения
эффекта масштаба может изменяться график производства. Неиспользуемые мощности
затем могут быть распроданы.
) Продажа с обратной арендой: Компания может принять решение продать
основные активы финансовой компании, а затем арендовать их. Такой вариант
возможен только в том случае, если активы не служат обеспечением уже взятого
займа. Ни объем, ни возможности предприятия не изменятся. Изменения имеют
финансовую сущность.
) Продажа преуспевающего подразделения: Этот способ получения лучшей
цены, а также увеличения притока денежных средств. Однако в более долгосрочным
плане это приведет к потере прибыли и, к тому же, проданные отделения могли бы
создать основу для последующего успешного выхода из спада.
) Изъятие: Может относиться ко всему предприятию или его части. Мы
рассмотрим изъятие в следующем блоке.
5. Стратегии
по созданию прибыли Обычно они состоят из стратегий поворота (см. ниже) и часто
включают в себя изменения в направлении конкуренции. Обычно им необходим самый
большой промежуток времени, чтобы достичь значительного воздействия на
показатели компании. Создание дохода в короткие сроки может быть результатом
следующих действий:
· улучшения в системе управленческого контроля;
· улучшения управления запасами;
· пересмотр системы производства и перехода к своевременности
(JIT);
· убеждения дебиторов быстро рассчитаться по счетам;
· активизация усилий в продажах.
Таким образом, в данном случае наиболее приемлемыми стратегиями экономии
следует считать: 1) стратегия сокращения издержек в области сокращения
накладных расходов; 2) улучшение системы финансового и управленческого
контроля; 3) сокращение наименее рентабельных активов.
ЗАКЛЮЧЕНИЕ
С точки зрения экономистов, издержки фирмы можно разделить на явные и
альтернативные (вмененные). Явными называются издержки, связанные с
использованием не принадлежащих фирме факторов производства, за которые она
должна заплатить сторонним организациям или частным лицам. Альтернативные
издержки - это издержки, обусловленные использованием ресурсов, принадлежащих
фирме. Разность между, валовым доходом (выручкой) и всеми (явными и
альтернативными) издержками представляет собой экономическую прибыль.
Издержки подразделяются на постоянные и переменные. Постоянные издержки
не зависят от объема производства и не могут быть изменены в течение короткого
времени. Переменные издержки изменяются в зависимости от количества выпускаемой
продукции. В связи с этим анализ издержек фирмы может проводиться в
краткосрочном (когда изменяются только переменные издержки) и долгосрочном
(когда все издержки могут изменяться) временных интервалах.
Изменение издержек в краткосрочном интервале подчинено действию закона
убывающей отдачи. Его суть состоит в том, что при расширении использования в
производстве какого-либо одного переменного ресурса (при условии, что все
остальные ресурсы являются постоянными) отдача от него сначала растет, а затем
начинает замедляться. В результате предельный продукт (дополнительная продукция,
произведенная за счет увеличения количества ресурса на единицу) на определенном
этапе начнет сокращаться, а предельные издержки (прирост издержек на каждую
дополнительную единицу продукции) - возрастать.
Закономерности, которым подчиняется изменение издержек в долгосрочном
временном интервале, позволяют фирме правильно выбрать размер предприятия. Если
фирма расширяет производство, то на начальном этапе сказывается положительный
эффект масштаба и издержки на единицу продукции снижаются. Это происходит за
счет преимуществ специализации труда работников, возможности использования
более производительного оборудования и т.д.
Однако при дальнейшем увеличении размера предприятия эффект масштаба
становится отрицательным, средние издержки увеличиваются. Экономия от масштабов
производства в разных отраслях достигается при различных размерах предприятий.
В некоторых случаях максимальная экономия достигается при существовании
нескольких или даже одного очень крупного предприятия. Деятельность фирм в
отраслях так называемой естественной монополии регулируется государством.
СПИСОК
ИСПОЛЬЗОВАННОЙ ЛИТЕРАТУРЫ
1. Борисов Е. Ф. Основы экономической
теории. - М.: Высшая школа, 2007. - 240 с.
2. Булатов А. С. Экономика. - М.: БЕК, 2007. - 816 с.
3. Гальперин В. М. Микроэкономика. Т1. -
СПб.: Экономическая школа,
2011. - 568 с.
4. Гохберг Л. Национальная инновационная
система России в условиях «новой экономики»//Вопросы экономики. - 2006. - № 3.
- с. 29-32
5. Дойников В. И. Предпринимательское
право. - М.: Нолидж,
2011. - 374 с.
6. Душкина А. М. Процедура
банкротства//Хозяйство и право. - 2009. - №3. - с. 6-8
7. Камаев В. Д. Экономическая теория. -
М.: ВЛАДОС, 2009. - 640 с.
8. Керимов А. А.
Затраты-объем-прибыль//Экономист. - 2007. - №3. - с. 5-10
9. Королев В. И., Королев С. В.
Стратегия повышения эффективности
издержек производства фирмы: условия разработки, проблемы
реализации//Менеджмент в России за рубежом. - 2008. - №6. - с. 45-49
10.Мостовая Е. Б.
Основы экономической теории. - М.: Приор, 2008. - 368 с.
11.Попов С. А.
Стратегический менеджмент. - М.: Дело ЛТД, 2008. - 230 с.
12.Портнов К. В.
Технические, экономические и правовые аспекты управления закупками//Маркетинг в
России и за рубежом. - 2010. - №4. - с. 31-34
13.Райзберг Б. А.
Основы экономики. - М.: ИНФРА-М, 2008. - 408 с.
14.Стратегии
экономии расходов//http.://consulting.ru
15.Чохин В. Л.
Экономическая теория. - М.: Наука, 2010. - 688 с.
16.Шанк Дж.,
Говиндараджян В. Стратегическое управление затратами. Новые методы увеличения
конкурентоспособности. - СПб.: Бизнес Микро, 2009. - 155 с.
17.Шахматов Ф. И.
Прибыль - основной показатель результатов деятельности организации//Экономист.
- 2010. - №2. - с. 19-24
18.Языков М. В.
Затраты производства//Финансист. - 2011. - №3. - с. 5-8.