Статистический анализ социально-экономического развития Калининградского региона
Введение
социальный экономический уровень население
Экономическая статистика - это одна из наиболее важных
отраслей статистики как научной дисциплины и вида практической деятельности
органов государственной статистики, которая занимается количественной характеристикой
массовых явлений и процессов в экономике. Наиболее простыми показателями
количественных изменений экономических явлений являются показатели динамики
цен, объема произведенной продукции, численности населения и трудовых ресурсов,
безработицы, степени равномерности распределения доходов, наличия основных и
оборотных фондов и т.д. Однако в некоторых случаях в экономической статистике
количественно измеряют более сложные экономические процессы и явления, а также
устанавливают взаимосвязи между ними, например, с помощью межотраслевого
баланса дается цифровая характеристика межотраслевых связей, зависимости между
выпуском продукции отраслей народного хозяйства и конечным продуктом, т.е.
продукцией, используемой для потребления и накопления. Данные экономической
статистики позволяют обеспечить систематическое количественное описание всех
основных аспектов экономического процесса и экономики в целом.
Статистический учет и отчетность, отражающие
совокупность массовых явлений и процессов, характеризующие их с количественной
стороны, выявляющие определенные экономические закономерности, служат важным
источником анализа. Статистические методы являются основным средством изучения
массовых, повторяющихся явлений, играют важную роль в прогнозировании поведения
экономических показателей.
Подсистема показателей уровня жизни занимает особое
место в общей системе показателей социально - экономической статистики , так
как многие из них используются для общей характеристики состояния экономики,
при проведении международных сопоставлений уровней экономического развития
различных стран, а также для разработки социальной политики государства и
определения первоочередных направлений социальной поддержки отдельных групп
населения .
Для качественной характеристики условий жизни
населения необходимо использовать показатели социальной статистики, дающие
представление о качестве жизни. К их числу относятся основные показатели
демографической статистики, состояния и охраны здоровья, качества и структуры
потребляемых продуктов питания, уровня грамотности и состояния сферы
образования и культуры, комфортабельности жилья и др. В этой связи в
специальной литературе обсуждается вопрос о возможности и целесообразности
исчисления единого обобщающего показателя уровня жизни.
Цель данной курсовой работы состоит в изучении
статистических показателей уровня жизни населения.
Задачи курсовой работы:
1.Ознакомиться с теорией статистики основных фондов
. Проанализировать социально-экономическое развитие Калининградского
региона.
. Провести сравнительный анализ формирования основных фондов в Тамбовской
и Калининградской областях
1. Теоретические основы изучения уровня жизни
населения
.1 Понятие уровня жизни населения
Уровень жизни - одна из главнейших социальных категорий. Под уровнем
жизни понимается уровень благосостояния населения, потребления материальных
благ и услуг и степень удовлетворения целесообразных жизненных потребностей.
Уровень жизни населения определяется уровнем доходов в сравнении с прожиточным
минимумом и с потребительским бюджетом, уровнем заработной платы, развитием
социальной инфраструктуры, политикой государства по регулированию доходов,
влиянием профсоюзов, уровнем НТП и другими факторами.
Стоимость жизни представляет собой денежную оценку благ и услуг,
фактически потребляемых в среднем домохозяйстве в течение определенного
промежутка времени и соответствующих установленному уровню удовлетворения
потребностей. В общем значении термин «уровень жизни населения» представляет
собой понятие «качество жизни». Следовательно, качество жизни включает в себя
еще и удовлетворение духовных потребностей, условия жизни, труда и занятости,
быта и досуга, здоровье, продолжительность жизни, образование, природную среду
обитания и т. д.
Выделяется четыре уровня жизни населения:
) достаток (потребление благ, которые обеспечивают полное формирование
человека);
) нормальный уровень (целесообразное потребление по научно доказанным
нормам, дающее возможность человеку восстановить его физические и
интеллектуальные силы);
) бедность (крайне недостаточное потребление благ для нормальной
жизнедеятельности);
) нищета (минимальное потребление благ, не позволяющее удовлетворить
самые элементарные физиологические и социальные потребности и дающее
возможность только лишь поддержать жизнеспособность человека).
Вследствие перехода к рыночной экономике произошло резкое снижение уровня
жизни населения, усилилась дифференциация населения по уровню доходов.
Повышение уровня жизни является первоочередным направлением общественного
развития.
Благополучие народа - это главный критерий прогресса. Так как в рыночной
экономике основным условием является всеобщее потребление, то потребитель - это
центральная фигура, вокруг которой все вертится. Следовательно, нельзя
производить то, что не будет потребляться.
Наиболее важными элементами уровня жизни выступают доходы населения и его
социальное обеспечение, потребление им материальных благ и услуг, условия
жизни, свободное время.
Обобщенно условия жизни можно разделить на условия труда, быта и досуга.
Условия труда включают факторы производственной среды и трудового процесса
(санитарно-гигиенические, психофизиологические, эстетические и
социально-психологические), оказывающие влияние на работоспособность и здоровье
работника. Условия быта - это обеспеченность населения жильем, его
благоустроенность, развитие сети бытового обслуживания (бань, прачечных,
фотоателье, парикмахерских, ремонтных мастерских, предприятий ритуальных услуг,
прокатных пунктов и т. д.), состояние общественного питания и торговли,
общественного транспорта, медицинское обслуживание. Условия досуга
непосредственно связаны с использованием свободного времени людей. Свободное
время - часть внерабочего времени, используемая полностью по своему усмотрению,
т. е. для развития личности, более полного удовлетворения социальных, духовных
и интеллектуальных ее потребностей.
Вероятны три аспекта исследования уровня жизни:
) применительно ко всему населению;
) к его социальным группам;
) к домохозяйствам с различной величиной дохода.
Социальные нормативы и потребности
Значительную роль в изучении уровня жизни населения выполняют социальные
нормативы как научно обоснованные направления социальных процессов в обществе.
Бывают социальные нормативы следующие: развитие материальной базы социальной
сферы, доходов и расходов населения, социального обеспечения и обслуживания,
потребления населением материальных благ и платных услуг, условий жизни,
потребительского бюджета и др. Непосредственное отношение к уровню жизни имеет
потребительский бюджет, который суммирует нормативы (нормы) потребления
населением материальных благ и услуг, разделенные по социальным и
половозрастным группам населения, условиям и тяжести труда, климатическим
зонам, месту проживания и т. д. Потребительский бюджет бывает минимальным и
рациональным.
Прожиточный минимум - это центр социальной политики, представляющий собой
стоимостную оценку потребительской корзины, а также обязательные платежи и
сборы; и с ним должны увязываться все другие социальные стандарты и гарантии.
Личные потребности подразделяются на: физиологические (физические),
интеллектуальные (духовные) и социальные.
Физиологические (физические) потребности являются базовыми, так как
выражают потребности человека как биологического существа. В их составе
естественными, первичными, выступают потребности в пище, воде, воздухе, одежде,
обуви, тепле, жилище, отдыхе, сне, двигательной активности, а также другие
потребности организма, связанные с поддержанием жизни и продлением рода.
Интеллектуальные (духовные) потребности затрагивают образование, повышение
квалификации, творческую деятельность, порождаемую внутренним состоянием
человека.
Социальные потребности соединены с функционированием человека в обществе
- это социально-политическая деятельность, принадлежность к группе, дружба,
самовыражение, общение с людьми, любовь, привязанность, одобрение, обеспечение
социальных прав и т. д.
Потребности также разделяют на: рациональные (разумные) и иррациональные.
Рациональные потребности - это потребление тех благ и услуг, которые
необходимы для поддержания здорового образа жизни человека и гармоничного
развития личности. Таковыми являются общественно полезные потребности, плохо
поддающиеся количественной оценке, определяемые условно с помощью рациональных
норм и нормативов (кроме рациональных норм потребления продуктов питания,
устанавливаемых на основе данных науки о питании).
Иррациональные потребности - это вредные потребности, выходящие за рамки
разумных норм, принимающие гипертрофированные, иногда извращенные формы, в
частности по отношению к питанию.
Внешней формой обнаружения личных потребностей выступает спрос населения,
отражающий его платежеспособные возможности.
.2 Показатели статистики уровня жизни населения
Система
показателей статистики уровня жизни включает: 1.доходы населения; 2. расходы и
потребления населением материальных благ и услуг; 3. сбережения; 4. накопленное
имущество и обеспеченность населения жильем; 5. дифференциация доходов
населения, уровень и границы бедности; 6. социально-демографические
характеристики; 7. обобщающие оценки уровня жизни населения. Их применение
связано с тем, что показатели, обычно рассматриваемые как наиболее важные для
анализа уровня жизни (доход, потребление), однако они не охватывают все его
аспекты.
Для
более полной характеристики благосостояния населения используются показатели
социальной статистики, отражающие качество жизни (показатели демографической
статистики, состояния и охраны здоровья, качества и структуры потребляемых
продуктов питания, уровня грамотности, развития социальной сферы и др.). Среди
всех возможных показателей характеризующих уровень и качества жизни, наиболее
важными являются показатели доходов и расходов населения. Показатели доходов:
.
Первичные доходы (ПД) - доходы, полученные домашними хозяйствами в результате
первичного распределения добавленной стоимости: оплата труда, смешанные доходы,
чистые доходы от собственности ,прибыль и приравненные к ней доходы от жилищных
услуг, оказываемых для собственного потребления владельцем занимаемого им
жилья. Национальный доход - сумма первичных доходов резидентов страны за
определенный период в рыночных ценах. Часть первичных доходов передается в
другие сектора экономики: текущие налоги на доходы и собственность, отчисления
на социальное страхование, добровольные взносы и пожертвования, штрафы. Домашние
хозяйства также получают текущие трансферты: социальные выплаты (пенсии,
стипендии, пособия), страховые премии и возмещения и т.п.
.
Располагаемые доходы
(РД):
РД=ПД+ТТ;
где
ТТ - сальдо текущих трансфертов, полученных и переданных другим секторам.
Располагаемый национальный доход - национальный доход с учетом сальдо текущих
трансфертов, полученных и переданных “остальному миру”. За счет располагаемого
дохода осуществляются расходы домашних хозяйств на конечное потребление, а
разница между ними образует сумму сбережения данного сектора.
.
Скорректированный располагаемый доход (СРД) - располагаемый доход с учетом
трансфертов в натуральной форме (бесплатные услуги учреждений здравоохранения,
образования, культуры и т.д.):
СРД=РД+СТ;
где
СТ - социальные трансферты в натуральной форме, получаемые домашними
хозяйствами от органов государственного управления и некоммерческих
организаций, обслуживающих домашние хозяйства. Наиболее предпочтительный
показатель для оценки уровня жизни.
.
Денежный доход - объем денежных средств, находящихся в распоряжении домашних
хозяйств для обеспечения своих расходов и создания сбережений без привлечения
ранее накопленных средств, ссуд и кредитов. По экономическому содержанию
показатель наиболее близок к стандартам СНС. Определяется исходя из суммы
произведенных домашним хозяйством денежных расходов и изменения финансовых
активов за период (сальдо между суммой сбережений, сделанных за счет
собственных средств, и суммой накопленных ранее средств).
.
Валовой доход домашних хозяйств включает: денежные доходы; стоимость
натуральных поступлений продуктов питания: сельскохозяйственная продукция
собственного производства, помощь родственников и т.п. Рассчитывается исходя из
средних цен на данные товары в регионе; стоимость предоставленных в натуральном
выражении дотаций и льгот на покупку товаров или оплату услуг равна сумме
полного или частичного погашения стоимости этих товаров (услуг).
.
Располагаемые ресурсы домашних хозяйств - сумма валовых доходов и накопленных
ранее средств, ссуд и кредитов, использованных для покрытия расходов домашних
хозяйств за определенный период. Принципиально отличается от показателя
располагаемого дохода в СНС.
Показатели
расходов населения и потребления товаров и услуг:
.
Денежные расходы домашних хозяйств - сумма фактических затрат членов домашнего
хозяйства за определенный период, включающая: потребительские расходы; расходы,
не связанные с потреблением (налоги и сборы, платежи по страхованию, взносы в
общественные организации, возврат банковских ссуд, проценты за товарный кредит
и др.). Денежные расходы не включают: инвестиции; затраты на приобретение
иностранной валюты, ценных бумаг; средства, положенные на банковские счета.
.
Потребительские расходы домашних хозяйств - включают затраты на приобретение
потребительских товаров и услуг, независимо от того, предназначены они для
потребления в рамках домохозяйства или вне его: продукты питания, алкогольные
напитки, непродовольственные товары для личного потребления, личные услуги и
др. Потребительские расходы не включают: покупку ювелирных изделий, оплату
строительства и капитального ремонта жилья.
.
Расходы на конечное потребление домашних хозяйств включают: потребительские
расходы, стоимость натуральных поступлений продуктов питания, стоимость
предоставленных в натуральном выражении дотаций и льгот. Для отдельного
домашнего хозяйства не включают стоимость продуктов питания, приобретенных для
потребления за рамками данного домашнего хозяйства.
.3
Анализ статистики уровня жизни населения
Статистика
домашних хозяйств населения - одна из отраслей социально- экономической
статистики, изучающая уровень жизни населения страны и, главным образом, его
материальное положение. Материалы обследования домашних хозяйств населения
характеризуют изменения структуры доходов и потребительских расходов населения
, уровень доходов, расходов, потребления и т.п. различных групп населения,
позволяют выявить различия в этих уровнях в зависимости от состава семьи,
занятости ее членов; показывают роль отдельных источников в формировании
доходов, зависимость потребления от уровня доходов; позволяют проследить за
изменением потребительского спроса; характеризуют дифференциацию населения по
уровню дохода и т.д. Используется для обоснования приоритетных мероприятий в
области определения эффективности мероприятий по социальной защите населения,
особенно малообеспеченных его слоев при переходе к рыночной экономике.
Данные
домашних хозяйств населения широко используются статистикой в различных
экономических расчетах: индексов потребительских цен, национального дохода и
его распределения, исчисления реальных доходов населения, составление баланса
производства и использования сельскохозяйственной продукции и многих других.
Денежный
доход домашних хозяйств состоит из поступлений в денежной форме, которые, как
правило, являются возобновляемыми по своей природе и начисляются домашнему
хозяйству или отдельным членам данного домашнего хозяйства регулярно на
месячной основе. Денежный доход домашних хозяйств получается из следующих основных
источников: заработная плата работников, работающих по найму и другие
соответствующие поступления от работодателей, чистый доход от самостоятельного
занятия, прибыль от предпринимательской деятельности, доход от личных
инвестиций (рента, проценты, дивиденды), гонорары и комиссионные сборы. В
составе денежных доходов домохозяйств также учитываются алименты, пенсии,
стипендии, вознаграждения и другая помощь в форме наличных денег, регулярно
получаемая. Изъятие из сбережений, взятые ссуды или полученные возвращенные
ссуды и т.д. - даже если они используются для целей потребления - не считаются
доходами домашних хозяйств.
Расходы
домашних хозяйств, включают расходы на потребление и расходы, не связанные с
потреблением.
Расходы,
не связанные с потреблением, включают налог на доход, и другие прямые доходы,
отчисления на пенсии и на социальное страхование и аналогичные страховые
взносы, денежные переводы, подарки и аналогичные трансферты, произведенные
данным домашним хозяйством или его отдельными членами. Не включаются добавления
к сбережениям, суммы инвестированные или отданные взаймы, возврат ссуд и
расходы на другие финансовые операции.
Потребительские
расходы включают в себя все текущие расходы на товары и услуги для
использования данным домашним хозяйством или его отдельными членами. В
потребительские расходы не включаются прямые налоги, отчисления на пенсии по
выслуге лет, и другие виды социального страхования, депозиты в сберегательные
банки, отчисления жилищно-строительным кооперативам, страховые взносы по
страхованию жизни, трансферты в форме начисленных денег и расходы в пользу лиц,
не являющихся членами домашнего хозяйства, и возврат ссуд. Также исключаются
расходы, являющиеся по своей природе инвестиционными, безвозмездные трансферты
наличных денег и пожертвования. Услуги образования, медицины и другие услуги,
полученные бесплатно, в потребительские расходы не включаются.
.4
Статистический анализ уровня жизни населения в России
Уровень жизни определяется системой показателей, каждый из которых дает
представление о какой-либо одной стороне жизнедеятельности человека. Существует
классификация показателей по отдельным признакам: общие и частные;
экономические и социально-демографические; объективные и субъективные;
стоимостные и натуральные; количественные и качественные; показатели пропорций
и структуры потребления; статистические показатели и др.
К общим показателям относятся размеры национального
дохода, фонда потребления национального богатства на душу населения. Они
характеризуют общие достижения социально- экономического развития общества.
К частным показателям можно отнести условия труда,
обеспеченность жильем и благоустройство быта, уровень социально-культурного
обслуживания и др. Экономические показатели характеризуют экономическую сторону
жизнедеятельности общества, экономические возможности удовлетворения его
потребностей. Сюда можно отнести показатели, характеризующие уровень
экономического развития общества и благосостояние населения (номинальные и
реальные доходы, занятость и др.)
Социально-демографические показатели характеризуют
половозрастной, профессионально - квалификационный состав населения, физическое
воспроизводство рабочей силы. Деление показателей на объективные и субъективные
связано с обоснованием изменений в жизнедеятельности людей и разделяются в
зависимости от степени субъективности производимой оценки. К стоимостным
показателям относятся все показатели в денежной форме, а натуральные
характеризуют объем потребления конкретных материальных благ и услуг в
натуральных измерителях. Для характеристики уровня жизни большое значение имеют
количественные и качественные показатели. Количественные определяют объем
потребления конкретных материальных благ и услуг, а качественные - качественную
сторону благосостояния населения.
Важную роль при определении уровня жизни играют
статистические показатели, которые включают обобщающие показатели, показатели
доходов, потребления и расходов ,денежных сбережений, накопленного имущества и
жилища населения и рад других.
Расчет коэффициента региональной дифференциации (Крд.)
осуществляется в целях учета различия регионов по уровню экономического
развития. При этом при определении площади территории субъектов Российской
Федерации, используемой для расчёта этого показателя, для районов Крайнего
Севера и местностей, приравненных к ним, вводится коэффициент 0,5. Коэффициент
уменьшает площадь территории с тем, чтобы снять диспропорции, обусловленные
наличием значительных неосвоенных пространств и необходимостью повысить
действительную значимость «анклавных», незначительных по площади территорий, на
которых сосредоточена основная экономическая активность в соответствующих
регионах, где и будет происходить выкуп земель под предприятиями.
В таблице 1 представлены данные ИРЧП РФ и составляющих
его показателей в период с 2006г. по 2009г.
Таблица 1 название
|
Год
|
ВВП долл.
|
Индекс дохода
|
ОПЖ
|
Индекс долголетия
|
Грамотность
|
Доля учащихся в возрасте 7-24лет, %
|
Индекс образования
|
ИРЧП
|
|
2006
|
7278
|
0,716
|
65,3
|
0,672
|
99,0
|
77
|
0,919
|
0,769
|
|
2007
|
7926
|
0,730
|
64,82
|
0,664
|
99,0
|
73,5
|
0,905
|
0,766
|
|
2008
|
8800
|
0,747
|
64,9
|
0,664
|
99,0
|
73,9
|
0,906
|
0,773
|
|
2009
|
9922
|
0,767
|
65,3
|
0,671
|
99,0
|
73,7
|
0,906
|
0,781
|
Одним из важнейших показателей, характеризующих
уровень жизни населения, по-прежнему остается обеспеченность жильем. В России
жилищная проблема стоит очень остро. В очереди на получение жилья и улучшение
жилищных условий на начало 2010г. насчитывалось 11% от общего числа семей.
Основным источником обеспечения населения жильем является новое жилищное
строительство. За 2009г. в области построено за счет всех источников
финансирования 30,3 млн. кв. метров. По сравнению с 2008 г. ввод жилья
уменьшился на 5,3% (на 1.7% млн. кв. метров).
В последние годы происходит дальнейшая децентрализация
финансирования жилищного строительства. В условиях ограниченности бюджетных
финансовых ресурсов основными источниками финансирования жилищного
строительства остаются средства населения, собственные средства предприятий и
организаций.
Основные показатели, характеризующие уровень жизни
населения скорректированные на индекс потребительских цен) в марте 2010г. по
сравнению с соответствующим периодом 2009г., по оценке, увеличились на 4,2%, в I квартале 2010г. - на 7,4%.
Таблица 6- Динамика реальных располагаемых денежных
доходов
|
В % к соответствующему периоду предыдущего года предыдущему
периоду
|
|
|
|
|
|
2009г.
|
|
|
|
|
Январь
|
94,6
|
53,6
|
|
|
Февраль
|
101,5
|
134,5
|
|
|
Март
|
104,5
|
103,1
|
|
|
I квартал
|
100,7
|
78,6
|
|
|
Апрель
|
102,4
|
108,0
|
|
|
Май
|
104,7
|
96,9
|
|
|
Июнь
|
103,1
|
103,5
|
|
|
II квартал
|
103,4
|
119,0
|
|
|
I полугодие
|
102,1
|
|
|
|
Июль
|
97,7
|
97,1
|
|
|
Август
|
90,9
|
95,5
|
|
|
Сентябрь
|
101,4
|
103,2
|
|
|
III квартал
|
96,6
|
96,3
|
|
|
Январь-сентябрь
|
100,0
|
|
|
|
Октябрь
|
109,3
|
107,4
|
|
|
Ноябрь
|
103,2
|
96,5
|
|
|
Декабрь
|
111,5
|
139,6
|
|
|
IV квартал
|
108,2
|
119,3
|
|
|
Год
|
102,3
|
|
|
|
2010г.
|
|
|
|
|
Январь
|
115,5
|
55,6
|
|
|
Февраль
|
105,0
|
122,3
|
|
|
Март
|
104,2
|
102,3
|
|
|
I квартал
|
107,4
|
78,6
|
|
Заработная плата. Среднемесячная начисленная
заработная плата в марте 2010г., по предварительным данным, составила 20158
рублей и по сравнению с мартом 2009г. выросла на 10,1%.
Таблица 7: Динамика среднемесячной номинальной и
реальной начисленной заработной платы
|
Среднемесячная номинальная начисленная заработная плата,
рублей
|
В % к соответствующему периоду предыдущего года
|
Реальная начисленная заработная плата в % к предыдущему
периоду
|
|
|
|
|
|
В % к соответствующему периоду предыдущего года
|
|
|
|
|
|
|
|
|
2009г.
|
|
|
|
|
|
|
Январь
|
17119
|
115,5
|
79,0
|
101,9
|
|
|
Февраль
|
17098
|
111,1
|
100,1
|
97,6
|
|
|
Март
|
18129
|
111,9
|
105,8
|
98,2
|
|
|
I квартал
|
17441
|
112,8
|
92,0
|
99,2
|
|
|
Апрель
|
18009
|
108,3
|
99,3
|
95,7
|
|
|
Май
|
18007
|
107,5
|
100,0
|
95,7
|
|
|
Июнь
|
19247
|
108,2
|
106,9
|
96,7
|
|
|
II квартал
|
18419
|
108,0
|
105,6
|
96,1
|
|
|
I полугодие
|
17929
|
110,3
|
|
97,6
|
|
|
Июль
|
18872
|
106,0
|
98,2
|
94,6
|
|
|
Август
|
18335
|
105,8
|
97,4
|
94,8
|
|
|
Сентябрь
|
18838
|
105,3
|
102,7
|
95,1
|
|
|
III квартал
|
18673
|
105,7
|
101,4
|
94,8
|
|
|
Январь-сентябрь
|
18172
|
108,6
|
|
96,5
|
|
|
Октябрь
|
18798
|
105,9
|
99,7
|
96,5
|
|
|
Ноябрь
|
19215
|
108,6
|
102,2
|
99,5
|
|
|
Декабрь
|
24004
|
110,2
|
124,8
|
101,3
|
|
|
IV квартал
|
20670
|
108,4
|
110,7
|
99,3
|
|
|
Год1)
|
18795
|
108,5
|
|
97,2
|
|
|
2010г.
|
|
|
|
|
|
|
Январь
|
18938
|
109,3
|
78,0
|
101,2
|
|
|
Февраль
|
19017
|
109,9
|
101,0
|
102,5
|
|
|
Март1)
|
20158
|
110,1
|
106,0
|
103,4
|
|
|
I квартал
|
19337
|
109,6
|
93,6
|
102,2
|
|
Среднемесячная начисленная заработная плата (без
выплат социального характера) по видам экономической деятельности. В
январе-феврале 2010г. уровень среднемесячной начисленной заработной платы
работников здравоохранения и предоставления социальных услуг составил к ее
уровню в обрабатывающих производствах 88%, работников образования - 77% (в
январе-феврале 2009г. - соответственно 92% и 82%).
Просроченная задолженность по заработной плате (по
данным, полученным от организаций, кроме субъектов малого предпринимательства).
Суммарная задолженность по заработной плате по кругу наблюдаемых видов
экономической деятельности на 1 апреля 2010г. составила 3966 млн. рублей и по
сравнению с 1 марта 2010г. снизилась на 3,7%. Объем просроченной задолженности
по заработной плате, сложившийся на 1 апреля 2010г., составлял 1% месячного
фонда заработной платы работников наблюдаемых видов экономической деятельности.
На 1 апреля 2010г. просроченная задолженность по
заработной плате снизилась по сравнению с 1 марта 2010г. в 46 субъектах
Российской Федерации, выросла - в 30 субъектах, отсутствовала - в 6 субъектах
Российской Федерации, образовалась - в Ямало-Ненецком автономном округе.
Задолженность из-за несвоевременного получения денежных средств из бюджетов
всех уровней по кругу наблюдаемых видов экономической деятельности на 1 апреля
2010г. составила 138 млн.рублей, или 3,5% общего объема просроченной
задолженности по заработной плате.
Из общего объема задолженности из-за бюджетного
недофинансирования 77,4% приходилось на федеральный бюджет, 14,1% - на бюджеты
субъектов Российской Федерации и 8,5% - на местные бюджеты. При определении
задолженности из федерального бюджета организациями учитываются невыплаченные
своевременно средства федерального бюджета, относящиеся, в соответствии с
бюджетной классификацией, к статье "оплата труда", а также суммы
оплаты труда, предусмотренные за выполнение государственных заказов и целевых
производственных программ, финансируемых из федерального бюджета. Из общей
суммы просроченной задолженности 1853 млн.рублей (46,7%) приходится на
задолженность, образовавшуюся в 2009г., 464 млн.рублей (11,7%) - в 2008г. и
ранее.
Из общей суммы просроченной задолженности из-за
несвоевременного получения денежных средств из бюджетов всех уровней 66 млн.
рублей (47,6%) составляла задолженность за выполнение государственных заказов и
оказание услуг бюджетным организациям. На 1 апреля 2010г. просроченная
задолженность по заработной плате из-за несвоевременного получения денежных
средств из бюджетов всех уровней отсутствовала в 57 субъектах Российской
Федерации, снизилась по сравнению с 1 марта 2010г. - в 12 субъектах.
Задолженность по заработной плате из-за отсутствия собственных средств
организаций за март 2010г. снизилась на 7 млн.рублей (0,2%) и на 1 апреля
2010г. составила 3828.
2. Статистический анализ социально-экономического развития
Калининградского региона
социальный экономический население
2.1 Анализ результатов группировки регионов РФ
Для построения группировки найдем количество интервалов по формуле
Получаем n=5.
Теперь рассчитаем интервал по формуле:
получаем h=82,62.
Таблица 1 - Типологическая группировка регионов РФ по показателю валовый
региональный продукт.
|
№ гр.
|
Интервал
|
Регионы
|
ВРП (2010 г.), млрд.руб.
|
Среднегодовая численность занятых в экономике, тыс. чел.
|
Основные фонды в экономике, млрд. руб.
|
Продукция сельского хозяйства, млрд. руб.
|
|
I
|
24,3 - 106,92
|
Орловская область
|
102,5
|
392,8
|
298,1
|
36,6
|
|
|
Псковская область
|
84,3
|
329,8
|
272,8
|
11,7
|
|
|
Республика Адыгея
|
46,1
|
151,9
|
118,2
|
12,3
|
|
|
Республика Калмыкия
|
24,3
|
113,4
|
13,9
|
|
Итого:
|
4
|
257,2
|
988,1
|
802,5
|
74,5
|
|
II
|
106,92 - 189,54
|
Рязанская область
|
173,5
|
502,4
|
673,7
|
31
|
|
|
Смоленская область
|
149,1
|
495,8
|
543,2
|
18,6
|
|
|
Тамбовская область
|
139
|
504,1
|
521,7
|
52
|
|
|
Республика Карелия
|
127,7
|
316,1
|
409
|
4,7
|
|
|
Новгородская область
|
127,3
|
315,6
|
317
|
18
|
|
|
Астраханская область
|
145,4
|
448,5
|
747,6
|
20,9
|
|
Итого:
|
6
|
862
|
2582,5
|
3212,2
|
145,2
|
|
III
|
189,54 - 272,16
|
Курская область
|
192,4
|
579,7
|
494,7
|
56,5
|
|
|
Липецкая область
|
254,7
|
544,5
|
718
|
47,4
|
|
|
Тверская область
|
218,6
|
586,8
|
825,2
|
23,9
|
|
|
Тульская область
|
237,2
|
770,8
|
636
|
29,8
|
|
|
Ярославская область
|
234,2
|
638
|
934,5
|
21,8
|
|
|
Вологодская область
|
252,1
|
589,9
|
1018,4
|
23,3
|
|
|
Мурманская область
|
234,6
|
427,4
|
1163,3
|
3,2
|
|
Итого:
|
7
|
1623,8
|
4137,1
|
5790,1
|
205,9
|
|
IV
|
272,16 - 354,78
|
Республика Коми
|
352,3
|
461,1
|
1365,7
|
8,6
|
|
Итого:
|
1
|
352,3
|
461,1
|
1365,7
|
8,6
|
|
V
|
354,78 - 437,4
|
Архангельская область
|
355,9
|
605,9
|
1161,6
|
11,6
|
|
|
Волгоградская область
|
437,4
|
1226,1
|
1346,7
|
76,1
|
|
Итого:
|
2
|
793,3
|
1832
|
2508,3
|
87,7
|
Таблица 2 - Структурная группировка регионов РФ по показателю валовый
региональный продукт.
|
№ группы
|
Группа региона
|
Число регионов, %
|
ВРП (2010 г.), %
|
Среднегодовая численность занятых в экономике, %
|
ОФ в экономике, %
|
Продукция с/х, %
|
|
I
|
24,3 -106,92
|
20
|
6,61
|
9,88
|
5,87
|
14,27
|
|
II
|
106,92 -189,54
|
30
|
22,17
|
25,82
|
23,48
|
27,82
|
|
III
|
189,54 - 272,16
|
35
|
41,76
|
41,37
|
42,33
|
39,45
|
|
IV
|
272,16 - 354,78
|
5
|
9,06
|
4,61
|
9,98
|
1,65
|
|
V
|
354,78 - 437,4
|
10
|
20,40
|
18,32
|
18,34
|
16,80
|
|
Итого:
|
100
|
100
|
100
|
100
|
100
|
Таблица 3 - Аналитическая группировка регионов РФ по показателю валовый
региональный продукт.
|
№ группы
|
Группа региона
|
Число регионов
|
Среднегодовая численность занятых в экономике, тыс. чел.
|
ВРП (2010 г.), млрд.р.
|
|
|
|
всего
|
в сред на 1 регион
|
всего
|
в сред на 1 регион
|
|
I
|
24,3 - 106,92
|
4
|
988,1
|
247.025
|
257.2
|
64.3
|
|
II
|
106,92 - 189,54
|
6
|
2582,5
|
430.417
|
862
|
143.67
|
|
III
|
189,54 - 272,16
|
7
|
4137,1
|
591.014
|
1623.8
|
231.97
|
|
IV
|
272,16 - 354,78
|
1
|
461,1
|
461.1
|
352.3
|
352.3
|
|
V
|
354,78 - 437,4
|
2
|
1832
|
916
|
793.3
|
396.65
|
Таблица 4 - Распределение среднегодовой численности занятых в экономике
по показателю ВРП в 2010 г.
|
Интервал по ВРП, млрд. руб.
|
Среднегодчисленность занятых в экономике, тыс. чел. ( )Середина интервала ( )
|
|
|
|
|
|
|
|
24.3 -106.92
|
988.1
|
65.61
|
64829.24
|
4253446.5
|
26979336.93
|
27304.2576
|
163273.644
|
|
106.92 - 189.54
|
2582.5
|
148.23
|
382803.97
|
56743033.2
|
17628331.31
|
6826.0644
|
213366.15
|
|
189.54 - 272.16
|
4137.1
|
230.85
|
955049.53
|
220473185.2
|
0
|
0
|
0
|
|
272.16 - 354.78
|
461.1
|
313.47
|
144541.01
|
45309272.6
|
3147498.295
|
6826.0644
|
38096.082
|
|
354.78 - 437.4
|
1832
|
396.09
|
725636.88
|
287417511.8
|
50021399.92
|
527304.2576
|
302719.68
|
|
Итого:
|
10000.8
|
1154.25
|
2272860.6
|
614196449.3
|
97776546.47
|
68260.644
|
717455.556
|
Среднее арифметическое взвешенное:
Среднее квадратическое взвешенное:
Абсолютные показатели вариации:
размах вариации:
дисперсия:
среднее линейное отклонение:
среднее квадратическое отклонение:
Относительные показатели вариации:
коэффициент вариации:
относительное линейное отклонение:
коэффициент осцилляции:
Можно утверждать, что 50% регионов имеют ВРП не более, чем 189.54 млрд.
руб. Наибольшее количество регионов (35%) имеют валовой региональный продукт,
равный 189.54 - 272.16 млрд. руб. Для них среднегодовая численность занятых в
экономике составляет 41,37%, число основных фондов в экономике - 42,33%,
продукция сельского хозяйства - 39,45%.
Основываясь на аналитической группировке регионов, можно говорить, что
среднегодовая численность занятых в экономике напрямую зависит от показателя
ВРП. Т.е. чем больше численность занятых в экономике, тем больше ВРП и
наоборот.
Размах вариации равен 330,48, что показывает крайнее отклонение ВРП от
общей средней, которая в свою очередь равна 247,82. Степень колеблемости
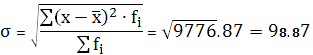
признака в совокупности относительно среднего уровня составила 99,144. Средний
квадрат отклонений вариантов от их средней величины, т.е. дисперсия, равен
9776,87. Среднее квадратическое отклонение составило 98,77, т.е. на 98,77 в
среднем отклоняются отдельные варианты от их среднего значения. Относительное
квадратическое отклонение от средней величины, или коэффициент вариации,
составило 39,89%, что больше 33%, т.е. совокупность можно считать неоднородной,
а ее среднюю ненадежной. Относительное линейное отклонение равно 40,006, т.е.
доля усреднённого значения абсолютных отклонений от средней величины составляет
40,006%. Коэффициент осцилляции составил 133,35%, т.е. колеблемость крайних
значений признака вокруг средней составляет 133,35%.
2.2 Анализ динамики формирования валового продукта в Калининградском
регионе
Задача 2
Таблица 5 - Динамика валового регионального продукта Калининградского
региона
|
Годы
|
ВРП, млрд. руб.
|
Абсолютное отклонение, млрд.руб.
|
Темп роста, %
|
Темп прироста, %
|
|
|
цепное
|
базисное
|
цепной
|
базисный
|
цепной
|
базисный
|
|
2002
|
40,12
|
-
|
-
|
-
|
-
|
-
|
-
|
|
2003
|
46,76
|
6,64
|
6,64
|
116,55
|
116,55
|
16,55
|
16,55
|
|
2004
|
66,55
|
19,79
|
26,43
|
142,32
|
165,88
|
42,32
|
65,88
|
|
2005
|
81,84
|
15,29
|
41,72
|
122,98
|
203,99
|
22,98
|
103,99
|
|
2006
|
103,14
|
21,3
|
63,02
|
126,03
|
257,08
|
26,03
|
157,08
|
|
2007
|
143,93
|
40,79
|
139,55
|
358,75
|
39,55
|
258,75
|
|
2008
|
179,27
|
35,34
|
139,15
|
124,55
|
446,83
|
24,55
|
346,83
|
|
2009
|
169,52
|
-9,75
|
129,4
|
94,56
|
422,53
|
-5,44
|
322,53
|
|
2010
|
195,06
|
25,54
|
154,94
|
115,07
|
486,19
|
15,07
|
386,19
|
Абсолютное отклонение рассчитано по формуле:
где

-
уровень сравниваемого периода;

-
уровень предшествующего периода;

-
уровень базисного периода.
Темп
роста был рассчитан по формуле:
Темп
прироста был рассчитан по формуле:
График динамики ВРП Калининградского региона
ВРП Калининградской области за период с 2002 по 2010 г. возрос на 154,94
млрд. руб. или на 386,19%, в Тамбовской области - на 100,12 млрд. руб. или на
257,4%. Наибольший прирост ВРП В Калининградской области наблюдался в 2004
году, он составил 42,32%, в Тамбовской области наибольший прирост был в 2007
году, равный 32,93%. Рост ВРП в областях в эти годы составил 139,55% и 132,93%
в Калининградской и Тамбовской областях соответственно. В 2009 году в
Калининградской области наблюдается убыль ВРП на 5,44% или на 9,75 млрд. руб. В
тамбовской области темп прироста за весь анализируемый период принимает
положительное значение.
На основе данных динамики валового регионального продукта
Калининградского региона построим парную линейную регрессионную модель вида

Таблица
6 - Динамика валового регионального продукта Калининградского региона в период
с 2002 по 2010 г.
|
Годы
|
ВРП, млрд. Р. (y)
|
Время (t)
|
t*y
|
t^2
|
|
|
|
|
|
|
2002
|
40,12
|
-4
|
-160,48
|
16
|
|
2003
|
46,76
|
-3
|
-140,28
|
9
|
|
2004
|
66,55
|
-2
|
-133,1
|
4
|
|
2005
|
81,84
|
-1
|
-81,84
|
1
|
|
2006
|
103,14
|
0
|
0
|
0
|
|
2007
|
143,93
|
1
|
143,93
|
1
|
|
2008
|
179,27
|
2
|
358,54
|
4
|
|
2009
|
169,52
|
3
|
508,56
|
9
|
|
2010
|
195,06
|
4
|
780,24
|
16
|
|
Итого:
|
1026,19
|
0
|
1275,57
|
60
|
|
Среднее:
|
114,02
|
0
|
141,73
|
6,67
|
Получаем уравнение вида:
ВРП в Калининградской области с 2002 по 2010 год ежегодно растет на 21,25
млрд. руб.
Прогноз ВРП Калининградской области на 2011 год:
Т.е. в Калининградской области в 2011 году ожидается ВРП, равный 100,06
млрд. руб. В тамбовской области этот показатель равен 163,14 млрд. руб.Прогноз
ВРП Калининградской области на 2012 год:
Т.е. в Калининградской области в 2012 году ожидается ВРП, равный 241,52
млрд. руб. В тамбовской области этот показатель равен 177,12 млрд. руб.
.3 Анализ движения населения Калининградского региона
Задача 3
Таблица 7 - Статистика численности населения по Калининградской области.
|
Численность населения на начало 2011 г. ( , тыс.чел.Численн родившихся (N), чел.
|
Численн умерших (М), чел.
|
Численн прибывших (П), чел.
|
Численн выбывших (В), чел.
|
Численнь городск населения ( , тыс. челЧисленность экономич активного населения ( , тыс. чел.
|
|
|
|
942
|
11102
|
12557
|
57796
|
17192
|
730
|
531
|
Численность населения на конец 2011 года:
Среднегодовая численность населения:
Общие коэффициенты естественного и механического движения населения:
коэффициент жизненности Покровского:
коэффициент рождаемости:
коэффициент смертности:
коэффициент естественного прироста:
коэффициент естественного оборота населения:
коэффициент эффективности воспроизводства населения:
коэффициент механического прироста населения:
коэффициент эффективности миграции:
коэффициент интенсивности миграционного оборота:
коэффициент прибытия:
коэффициент выбытия:
коэффициент общего прироста населения:
Доля городского населения:
Уровень экономической активности населения:
Численность населения в Калининградской области на конец 2011 года
составила 981149 чел., которая не превысила численность населения в Тамбовской
области, которая составила 1082845 чел. В Калининградской области численность
населения возросла на 39149 чел. а в Тамбовской сократилась на 7155 чел. .
Среднегодовая численность Калининградского региона составила 961574,5 чел., а
Тамбовского - 10826422,5 чел. Коэффициент рождаемости в Калининградской области
равен 11,55, а коэффициент смертности - 13,06, т.е. на 1000 человек населения
приходится 11,55 новорожденных 13,06 умерших.
В Тамбовской области на 1000 чел. населения приходится 9,27 новорожденных
и 16,4 умерших. Коэффициент естественного прироста составил -1,51 и -7,135 в
Калининградском и Тамбовском регионах соответственно, т.е. наблюдается убыль
населения в 2011 году в размере 1,51 и 7,135 человек на 1000 человек населения.
В Тамбовской области наблюдается состояние, близкое к демографической зиме.
Коэффициент жизненности Покровского в Калининградской области составил
0,88, а в Тамбовской - 0,56, т.е. 0,88 и 0,56 новорожденных в Калининградском и
Тамбовском регионах соответственно приходится на одного умершего. Частота
случаев перемены места жительства составила 77,98 в Калининградской области и
42,5 в Тамбовской человека на 1000 человек населения. Число прибывших в
Калининградскую область составило 60,1, т.е. 60,1 человек прибыло на 1000
человек населения. Число прибывших в Тамбовскую область составило 21,5, т.е.
21,5 человек прибыло на 1000 человек населения.
Число выбывших составило 17,88 и 20,98 в Калининградском и Тамбовском
регионах соответственно. Общий коэффициент прироста в Калининградской области
равен 40,71, т.е. на 40,71 в среднем на 1000 человек происходит прибыль
населения. Уровень экономически активного населения составил 55,22% в
Калининградском регионе и 49,7% в Тамбовском.
.4 Анализ доходов населения Калининградского региона
Задача 4
Таблица 8 - Распределение численности населения по величине среднедушевых
денежных доходов в 2011 г.
|
Среднедушевой денежный доход в месяц, руб.
|
Численность населения в % к итогу ( Середина интервала (  Накопленная частота численности населения
|
|
|
|
|
до 3500,0
|
2,7
|
1750
|
4725
|
2,7
|
|
от 3500,1 до 5000,0
|
5,2
|
4250,05
|
22100,26
|
7,9
|
|
от 5000,1 до 7000,0
|
9,8
|
6000,05
|
58800,49
|
17,7
|
|
от 7000,1 до 10000,0
|
16,3
|
8500,05
|
138550,82
|
34
|
|
от 10000,1 до 15000,0
|
22,9
|
12500,05
|
286251,15
|
56,9
|
|
от 15000,1 до 25000,0
|
25
|
20000,05
|
500001,25
|
81,9
|
|
от 25000,1 до 35000,0
|
10
|
30000,05
|
300000,5
|
91,9
|
|
свыше 35000
|
8,1
|
62500
|
506250
|
100
|
|
Итого:
|
100
|
|
1816679,5
|
|
Среднедушевой месячный доход Калининградского региона:
Модальный доход:
Медианный доход:
Нижний дециль:
Верхний дециль:
Децильный коэффициент дифференциации доходов населения:
Коэффициент фондов:
Среднедушевой месячный доход населения в Калининградской области на 2011
год составил 18166,795 руб. В регионе в 2011 г. наиболее часто уровень
среднедушевого дохода составлял 16228,07 руб. 50% населения имела среднедушевой
доход ниже 12240 руб., остальная часть - выше. Нижний дециль равен 5605,77, а
верхний дециль - 33100. Следовательно, максимальный доход для 10 % населения
Российской Федерации составляет 5605,77 руб., а минимальный доход для 10 %
населения с высокими доходами равен 33100 руб. Децильный коэффициент
дифференциации доходов населения показывает, что минимальный доход 10 % наиболее
обеспеченного населения в Калининградской области в 5,9 раза превышает
максимальный доход 10 % наименее обеспеченного населения. Коэффициент фондов
равен 22, т.е. разница между 10% самого обеспеченного населения и 10% наименее
обеспеченного населения составила 22 раза.
Задача 5
Таблица 9 - Распределение общего объема денежных доходов по
200-процентным группам населения в 2011 г.
|
Группы населения
|
Тамбовская обл.
|
Калининградская обл.
|
|
|
cum   cum 
|
|
|
|
I
|
5,4
|
5,4
|
6,2
|
6,2
|
|
II
|
10,2
|
15,6
|
11
|
17,2
|
|
III
|
15,1
|
30,7
|
15,8
|
33
|
|
IV
|
22,7
|
53,4
|
22,9
|
55,9
|
|
V
|
46,6
|
100
|
44,1
|
100
|
|
Итого:
|
100
|
205,1
|
100
|
212,3
|
Коэффициент концентрации доходов (коэффициент Джини) для 20%-го
распределения в Калининградской области:
Коэффициент концентрации доходов (коэффициент Джини) для 20%-го
распределения в Тамбовской области:
Коэффициент концентрации доходов в Калининградской области составил
35,08%, что показывает низкий процент концентрации, т.е. наблюдается состояние,
близкое к равномерному распределению доходов по всем единицам.
Задача 6
Таблица 10 - Распределение потребления и цен по продуктам питания.
|
Продукты
|
Потреблено продуктов, кг/год
|
Цена, руб/кг
|
|
|
|
|
|
2005 год
|
2011 год
|
2005 год
|
2011 год
|
|
|
|
|
|
|
|
|
|
|
|
|
|
|
|
Мясо
|
64
|
84
|
131,64
|
210,89
|
17714,76
|
11057,76
|
8424,96
|
13496,96
|
|
Молоко
|
225
|
249
|
17,35
|
32,52
|
8097,48
|
4320,15
|
3903,75
|
7317
|
|
Картофель
|
256
|
263
|
9,72
|
14,26
|
3750,38
|
2556,36
|
2488,32
|
3650,56
|
|
Итого:
|
545
|
596
|
158,71
|
257,67
|
29562,62
|
17934,27
|
14817,03
|
24464,52
|
Индекс физического объема потребления:
Индекс цен Пааше:
Индекс стоимости продукции:
Изменение цены:
Изменение физического объема потребления:
Абсолютный прирост стоимости потребления:
Индекс цен Ласпейреса:
Потребление продуктов населением в Калининградской области в 2011 году
возросло в 1,99 раза, по сравнению с 2005 годом, в том числе за счёт изменения
цен, которые возросли в 1,65 раза и за счет увеличения физического объема
продукции в 1,21 раза. Объем потребления продуктов питания возрос на 14745,59
руб., в т.ч. за счет роста цен на 11628,35руб. и за счет роста физического
объема потребления на 3117,24 руб.
3. Сравнительный анализ формирования основных фондов в Тамбовской и
Калининградской областях
.1 Наличие основных фондов
Таблица 11 - Наличие основных фондов в Тамбовской области на начало 2011
года
|
Год
|
Абсолютное отклонение, млн.руб.
|
Темп роста, %
|
Темп прироста, %
|
|
|
цепное
|
базисное
|
цепной
|
базисный
|
цепной
|
базисный
|
|
2004
|
207766
|
-
|
-
|
-
|
-
|
-
|
-
|
|
2005
|
236245
|
28 479
|
28 479
|
113,71
|
113,71
|
13,71
|
13,71
|
|
2006
|
256389
|
20 144
|
48 623
|
108,53
|
123,40
|
8,53
|
23,40
|
|
2007
|
315062
|
58 673
|
107 296
|
122,88
|
151,64
|
22,88
|
51,64
|
|
2008
|
366763
|
51 701
|
158 997
|
116,41
|
176,53
|
16,41
|
76,53
|
|
2009
|
398576
|
31 813
|
190 810
|
108,67
|
191,84
|
8,67
|
91,84
|
|
2010
|
445487
|
46 911
|
237 721
|
111,77
|
214,42
|
11,77
|
114,42
|
|
2011
|
468978
|
23 491
|
261 212
|
105,27
|
225,72
|
5,27
|
125,72
|
Таблица 12 - Наличие основных фондов в Калининградской области на начало
2011 года
|
Год
|
ОФ, млн. руб.
|
Абсолютное отклонение, млн.руб.
|
Темп роста, %
|
Темп прироста, %
|
|
|
цепное
|
базисное
|
цепной
|
базисный
|
цепной
|
базисный
|
|
2004
|
134126
|
-
|
-
|
-
|
-
|
-
|
-
|
|
2005
|
146978
|
12 852
|
12 852
|
109,58
|
109,58
|
9,58
|
9,58
|
|
2006
|
179372
|
32 394
|
45 246
|
122.04
|
133.73
|
22.04
|
33.73
|
|
2007
|
226898
|
47 526
|
92 772
|
126.49
|
169.17
|
26.49
|
69.17
|
|
2008
|
262650
|
35 752
|
128 524
|
115.76
|
195.82
|
15.76
|
95.82
|
|
2009
|
308904
|
46 254
|
174 778
|
117.61
|
230.31
|
17.61
|
130.31
|
|
2010
|
348918
|
40 014
|
214 792
|
112.95
|
260.14
|
12.95
|
160.14
|
|
2011
|
377411
|
28 493
|
243285
|
108.17
|
281.38
|
8.17
|
181.38
|
Наличие основных фондов Тамбовской области за период с 2004 по 2011 г.
возрос на 261212 млн. руб. или на 125,72%. В Калининградской области основные
фонды увеличились на 377411 млн. руб. или на 181,38%. Наибольший прирост
основных фондов в Тамбовской области наблюдался в 2007 году, он составил
22,88%, в Калининградской области так же 2007 год, увеличение на 26,49%. А рост
основных фондов в этом году составил в Тамбовской области 122,88%., в
Калининградской области 126,49%. Иными словами, по сравнению с 2006 годом, в
2007 году основные фонды увеличились на 58673 млн. руб. в Тамбовской области и
на 47526 млн. руб. в Калининградской области. Наименьший прирост в Тамбовской
области был зафиксирован в 2011 году - 5,27%, а в Калининградской области в
2011 году - 8,17%. За весь анализируемый период темп прироста принимает
положительное значение, т.е. основные фонды ежегодно увеличиваются.
На
основе наличия основных фондов в Тамбовской области построим парную линейную
регрессионную модель вида:
Таблица
15 - Наличие основных фондов в Тамбовской области в период с 2004 по 2011 г.
|
Годы
|
ОФ, млрд. Р. (y)
|
Время (t)
|
t*y
|
t^2
|
|
2004
|
207766
|
-3
|
-623298
|
9
|
|
2005
|
236245
|
-2
|
-472490
|
4
|
|
2006
|
256389
|
-1
|
-256389
|
1
|
|
2007
|
315062
|
0
|
0
|
0
|
|
2008
|
366763
|
1
|
366763
|
1
|
|
2009
|
398576
|
2
|
797152
|
4
|
|
2010
|
445487
|
3
|
1336461
|
9
|
|
2011
|
468978
|
4
|
1875912
|
16
|
|
Итого:
|
2 695 266
|
4
|
3 024 111
|
44
|
|
Среднее:
|
336 908
|
1
|
378 014
|
6
|
Получаем уравнение вида:
Наличие основных фондов в Тамбовской области с 2004 по 2011 год ежегодно
увеличивается на 77402,8 млн. руб. Прогноз на наличие основных фондов в
Тамбовской области на 2012 год:
Прогноз на наличие основных фондов в Тамбовской области на 2013 год:
На
основе наличия основных фондов в Калининградской области построим парную
линейную регрессионную модель вида:
Таблица
16 - Наличие основных фондов в Калининградской области в период с 2004 по 2011
г.
|
Годы
|
ОФ, млрд. Р. (y)
|
Время (t)
|
t*y
|
t^2
|
|
|
|
|
|
|
2004
|
134126
|
-3
|
-402378
|
9
|
|
2005
|
146978
|
-2
|
-293956
|
4
|
|
2006
|
179372
|
-1
|
-179372
|
1
|
|
2007
|
226898
|
0
|
0
|
0
|
|
2008
|
262650
|
1
|
262650
|
1
|
|
2009
|
308904
|
2
|
617808
|
4
|
|
2010
|
348918
|
3
|
1046754
|
9
|
|
2011
|
377411
|
4
|
1509644
|
16
|
|
Итого:
|
1985257
|
4
|
2561150
|
44
|
|
Среднее:
|
248157
|
1
|
320144
|
6
|
Получаем уравнение вида:
Наличие основных фондов в Калининградской области с 2004 по 2011 год
ежегодно увеличивается на 233759,6 млн. руб.
Прогноз на наличие основных фондов в Тамбовской области на 2012 год:
Прогноз на наличие основных фондов в Калининградской области на 2013 год:
Заключение
Итак, рассмотрев все вышеуказанные вопросы можно
сказать, что уровень жизни населения России постоянно изменяется. Но если
смотреть тенденции этого изменения, то видно явное снижение уровня жизни
населения России в последние годы. На основании изложенного сделаем ряд
выводов:
Во-первых, несмотря на то, что и доходы и расходы
населения с каждым годом растут, разница между доходами и расходами снижается.
Это далеко не положительно влияет на благосостояние населения России.
Во-вторых, экономико-статистический анализ уровня
жизни населения России имеет несколько отраслей, важнейшей из которых является
статистика домашних хозяйств населения. Показатели, изучаемые в данной отрасли,
используются в изучении мероприятий по социальной защите населения России.
В-третьих, с помощью экономико-статистического анализа
можно изучать обеспеченность населения социальными благами, то есть достаточно
ли в том или ином регионе России работников здравоохранения, лечебных
учреждений, а также существует ли необходимое число учреждений отдыха, театров,
музеев необходимых для поддержания высокого культурного уровня населения
России. И наконец, экономико-статистический анализ уровня жизни населения
России проводится для того, чтобы улучшать те или иные условия жизни населения.
Но, в настоящее время, в нынешней нестабильной экономической ситуации делать
это становится все сложнее.
Обеспечение сельскохозяйственных предприятий трудовыми
ресурсами и их рациональное использование, рост производительности труда и, на
этой основе, повышение оплаты труда - важнейшее условие успешного развития
сельского хозяйства и превращение его в высокоэффективную и
высокопроизводительную отрасль.
Список используемых литератур
1. Общая теория статистики:
Статистическая методология в изучении коммерческой деятельности. Учебник А.И.
Харламов и др. - М. Финансы и статистика, 2008.
. Россия в цифрах: краткий
статистический сборник. Госкомстат России. М. Финансы и статистика, 2009.
. Сабирьянова К.
Микроэкономический анализ динамических изменений на Российском рынке труда.
Вопросы экономики, N 1, 2008.
. Лапунина Л., Четверина Т.
Напряженность на Российском рынке и механизмы ее преодоления, 2009
. Иванов Ю.Н. Экономическая
статистика, 2010 г.
. Методологическое положение
по статистике: Вып. 1/Госкомстат России - М., 2009 г.
. Журнал «Вопросы статистики»
№2. 2008. / Под ред. Никулина Н.В., М., стр. 56-65.
. Статистика. / Под ред.
Мхитаряна В.С., М. 2005, стр. 402-443.
. Социальная статистика. /
Под ред. Ефимовой М.Р., учебное пособие, М. 2007, стр. 429-451, 462-536.
. Социально-экономическая
статистика. / Под ред. Орехова С.А., М. 2007, стр. 75-84.