Решение задач по курсу дисциплины 'Микроэкономика'
Контрольная
работа
Решение
задач по курсу дисциплины «Микроэкономика»
1. Для функции полезности двух
товаров 
сделать расчеты
1) Найти функции некомпенсированного
(маршаллианского) спроса для каждого из товаров. Описать, как функции спроса
реагируют на изменение дохода (I),
цен товаров и цен родственного товара.
Маршаллианские кривые спроса:
Решение системы уравнений:
x=
Подставим получившиеся соотношения в
формулу бюджетного ограничения:

y*=
= 
Аналогично:


Получили маршаллианские кривые
спроса:
y*=
Рассматривая функцию полезности 
можно сделать вывод, что отказ от
потребления x или y ведет к
сокращению его потребительской корзины до одного товара. Ее график пересекает
ось y и ось x в начале
координат.
Спрос на благо x зависит от
цен обеих благ. Увеличение цены на данное благо снижает спрос на него. Спрос на
благо y зависит от
цен обеих благ и дохода потребителя. Рост дохода потребителя ведет к росту
спроса на данное благо, что отразится в смещении кривой спроса вдоль оси цен
соответствующего блага.
2) Вывести функцию расходов для товаров x
и y:
Полезность максимизируется при:

=
- косвенная функция полезности.
Из косвенной функции полезности
получим функцию расходов 
:

- функцию расходов для товаров x и y.
Функция расходов потребителя показывает
минимальные денежные затраты, которые должен сделать потребитель, чтобы достичь
некоторого заданного уровня полезности при определенных сложившихся на рынке
ценах.
3) Используя метод минимизации расходов,
вывести функции компенсированного спроса (по Хиксу) для товаров x
и y. Описать, как
функции спроса реагируют на изменение уровня полезности, цен товаров и цен
родственного товара:

I = 
yH=

Полезность в каждой точке
хиксианской кривой спроса является одной и той же. Увеличение 
(цены на второй товар) приведет к
смещению кривой спроса на товар х.
4) Используя функцию расходов (п. 2),
вывести функции компенсированного спроса для товаров x
и y. Сравнить
результат с результатом, полученным в п. 3:
Лемма Шепарда:
Аналогично для у:


Результат совпадает с п. 3.
5) Используя полученные результаты,
сформулируйте уравнение Слуцкого. Поясните, почему кривые компенсированного
спроса круче, чем кривые некомпенсированного спроса?
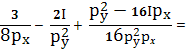
Уравнение Слуцкого:
Некомпенсированный и компенсированный спрос:
y = 
y = 
Дифференцируем некомпенсированный
спрос и получаем левую часть уравнения Слуцкого:

-
Для составления правой части
вычислим наклон компенсированного спроса:

Используем косвенную функцию
полезности

и получим:
Второе слагаемое правой части
уравнения Слуцкого:

- 
, подставим у* = 
Составим уравнение Слуцкого:

-
Аналогично можно сформулировать и
для товара х.
Кривая компенсированного спроса
показывает только эффект замещения товара у товаром х, элиминируя эффект дохода
потребителя. Компенсированный спрос зависит также от выбранного нами уровня
полезности. Следовательно, хиксианская кривая и круче кривой
некомпенсированного спроса.
) Предположим, что
потребитель имеет располагаемый доход 
, цены на товары 
.. Если
цена 
выросла до €4, а цена
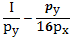
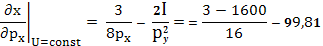
товара y осталась прежней, найти эффекты дохода и замещения (используя найденные
выше функции).:
На основе уравнения Слуцкого:
Эффект дохода:


= -99.97
Эффект замещения
2. Статистика покупок г-на М.
показывает, что в апреле при ценах на товары X и Y по 20 руб. потребитель
приобрел по 10 штук каждого товара. В мае после изменения цен: на A цена
выросла до 25 руб., на B снизилась до 12 руб., и после роста дохода покупатель
приобрел 8 ед. товара A и 12 единиц товара B. В марте покупки выглядели
следующим образом: при ценах на A - 18 руб., на B - 15 руб. потребитель
приобрел 12 ед. товара A и 15 единиц товара B.
). На основе аксиом выявленных
предпочтений выявить структуру предпочтений потребителя и сделать выводы.
Является ли потребитель максимизирующим полезность?
). Рассчитать все типы индексов и
сделать выводы
Составим таблицу наблюдений за
покупками:
Таблица 1
|
№покупки
|
РA
|
РВ
|
QA
|
QB
|
I
|
|
1
|
18
|
15
|
12
|
15
|
…
|
|
2
|
20
|
20
|
10
|
10
|
…
|
|
3
|
25
|
12
|
8
|
12
|
…
|
Составим таблицу данных о выборе для
потребителя:
Таблица 2 Данные о выборе потребителя
|
Выбор
Цены
|
(12,15)
|
(10,10)
|
(8,12)
|
|
(18,15)
|
441
|
330
|
324
|
|
(20,20)
|
540
|
400
|
400
|
|
(25,12)
|
480
|
370
|
344
|
Зеленым цветом выделены стоимости
выборов потребителя, желтым- возможные наборы, которые не были выбраны. Таким
образом, набор 1 прямо выявлено предпочтен набору 2 
, а набор 2 прямо выявлено
предпочтен набору 3
При соотношении цен (25,12)
рациональный потребитель выбирает набор 3 как наиболее дешевый. Аксиомы
выявленных предпочтений не нарушаются - потребитель максимизирует свою
полезность.
Рассчитаем все типы индексов:
) Цены базового периода: 
;
Объемы потребления базового периода:

;
Цены текущего периода: 
;
Объемы потребления базового периода:

.
Количественные индексы:
Индекс Ласпейреса:
Индекс Пааше:
Т.к. 
, потребитель имел лучшее
благосостояние в базовом периоде по сравнению с текущим.
Индексы цен:
Индекс цен Лайпейреса:
Индекс цен Пааше:
Для характеристики изменения
благосостояния определим отношение расходов:
Т.к. 
, благосостояние потребителя в
отчетном году ниже, чем в базовом.
) Цены базового периода: 
;
Объемы потребления базового периода:

;
Цены текущего периода: 
;
Количественные индексы:
Индекс Ласпейреса:
Индекс Пааше:
Т.к. 
, благосостояние потребителя
ухудшилось в текущем периоде по сравнению с базовым.
Индексы цен:
Индекс цен Лайпейреса:
Индекс цен Пааше:
Для характеристики изменения
благосостояния определим отношение расходов:
Т.к. 
, благосостояние потребителя в отчетном
году такое же как и в базовом.
)Цены базового периода: 
;
Объемы потребления базового периода:

;
Цены текущего периода: 
;
Объемы потребления базового периода:

.
Количественные индексы:
Индекс Ласпейреса:
Индекс Пааше:
Индексы цен:
Индекс цен Лайпейреса:
Индекс цен Пааше:
спрос компенсированный
потребитель
Для характеристики изменения
благосостояния определим отношение расходов:
Т.к. 
, благосостояние потребителя в отчетном
году ниже, чем в базовом.