Основы проектирования гидротехнических сооружений
Федеральное
государственное автономное образовательное учреждение высшего профессионального
образования
«СИБИРСКИЙ
ФЕДЕРАЛЬНЫЙ УНИВЕРСИТЕТ»
Саяно-Шушенский
филиал
Кафедра
«Гидротехническое строительство»
Реферат
по теме:
Основы
проектирования гидротехнических сооружений
Оглавление
Введение: Основные
положения
. Гармонизация -
системная методология проектирования гидросооружений
. Основные принципы
инженерных расчетов
. Вероятностный
метод расчета гидросооружений
. Решение
гидротехнических задач в вероятностной подстановке
5. Нормативная
вероятность безотказной работы и ее связь с коэффициентом запаса
Введение: Основные положения
Процесс создания и использования
гидротехнических сооружений состоит из четырех основных этапов:
изыскания - получение данных о
природных условиях района и места расположения сооружений: о рельефе местности,
геологическом строении, гидрологических условиях водотока, климатических
особенностях района, об экономико-производственных, социальных и других
условиях;
проектирование - на основе данных
изысканий и поставленной водохозяйственной задачи установление: будущего
водного режима объекта, основных типов и размеров сооружений, необходимых
строительных материалов, методов строительства, необходимого оборудования;
составление схем и конструктивных чертежей, определение экономических
показателей объекта строительства, прогноз социальных и экологических
последствий строительства;
строительство - организация и
производство строительных работ по возведению сооружений: подготовка территории,
закупка строительных машин, механизмов и оборудования, проведение всех
требуемых работ, монтаж оборудования, демонтаж строительного оборудования и
временных устройств и сдача объекта в эксплуатацию;
эксплуатация строящегося и сданного
в эксплуатацию объекта - управление его работой с учетом требований, заложенных
в проекте, надзор за состоянием сооружений и оборудования, текущий и
капитальный ремонты сооружений.
Стадии проектирования.
Последовательность проектирования гидротехнических сооружений выполняется в три
стадии.
) Стадия обоснований инвестиций
(ОИ). На этапе ОИ в соответствии с задачами и требованиями социального заказа
определяют хозяйственную целесообразность и экономическую эффективность
строительства объекта, его основные конструктивные параметры, экологическую
приемлемость нарушений в окружающей природной среде, социальные аспекты
строительства и эксплуатации объекта, устанавливают стоимость строительства,
выполняют разработку схемы комплексного использования водотока или его участка.
Обоснования инвестиций проходят государственную (и общественную) экологическую
экспертизу и государственную строительную экспертизу.
При наличии положительных заключений
строительных и экологических экспертиз на Обоснования инвестиций приступают к
разработке основного проектного документа - технико-экономического обоснования
(ТЭО) или проекта строительства. На стадии ТЭО уточняют параметры
проектируемого водохозяйственного объекта и его основных сооружений, их
конструкции, объемы работ, требуемых строительных материалов и оборудования,
необходимых материальных и социальных ресурсов.
На основании утвержденного в
установленном порядке ТЭО (проекта) строительства разрабатывается рабочая
документация. Проектная организация на этой стадии выполняет детальные чертежи
сооружений и их элементов с учетом возможных изменений в проекте. Эти изменения
могут вноситься, например, после вскрытия котлована под основание сооружения и
уточнения геологического строения основания.
Состав проекта. После утверждения
Обоснований инвестиций на строительство объекта на основе данных изысканий и
исследований и в соответствии с целями водохозяйственного объекта
разрабатывается его проект. Проект на строительство предприятий, зданий и
сооружений производственного назначения состоит из следующих разделов:
общая пояснительная записка;
генеральный план и транспорт;
технологические решения;
организация и условия труда
работников. Управление производством и предприятием;
архитектурно-строительные решения;
инженерное оборудование, сети и системы;
организация строительства;
охрана окружающей среды;
инженерно-технические мероприятия
гражданской обороны. Мероприятия по предупреждению чрезвычайных ситуаций;
сметная документация;
эффективность инвестиций.
В состав проекта гидротехнического
сооружения обязательно входят решения вопросов, специфичных для
гидротехнических сооружений:
) разработка будущего
гидрологического и водохозяйственного режима сооружения (установление расчетных
уровней и расходов воды в бьефах, пределов их колебаний, отметок зоны
затоплений, объема водохранилища и др.);
) гидравлические и фильтрационные
расчеты, обосновывающие формы и размеры водосбросных и противофильтрационных
устройств сооружений;
) статические и динамические расчеты
прочности и устойчивости запроектированных сооружений и их оснований;
) разработка проекта натурных
наблюдений за работой гидросооружений в процессе строительства и эксплуатации с
перечнем критериев безопасности, сценариев потенциально возможных аварий и
определение зон их влияния и др.;
) декларация безопасности
гидротехнического сооружения, утвержденная в органах надзора за безопасностью
гидротехнических сооружений.
1. Гармонизация - системная
методология проектирования гидросооружений
При проектировании гидротехнических
сооружений необходимо учитывать их сложное взаимодействие с основанием, водной
и воздушной средами; при строительстве и эксплуатации сооружений возникает
множество научно-технических, производственно-экономических и
социально-экологических проблем, рассмотрение и выбор путей, решения которых
должно находить отражение в проекте. Успешное строительство гидросооружений и
их надежная эксплуатация определяются тем, как в процессе проектирования
удалось осуществить совместимость сооружения с окружающей средой, насколько
экономичны и надежны сооружения.
В настоящее время проектирование
сложных технических систем ведется на основе системного подхода
(системотехники), базирующегося на методе дедукции (от целого к частному),
согласно которому всякая сложная техническая система рассматривается во
взаимодействии с окружающей средой, представляемой в свою очередь в виде
комплекса систем, связанных между собой и технической системой различными
видами отношений (связей).
С позиций системотехники влияние на
окружающую среду крупных гидроузлов, портов, каналов, систем орошения или
осушения, можно представить в виде систем планетарного уровня обобщения или как
схему полного окружения.
Природное окружение гидросооружений
состоит из биосферы и антропосистемы. а искусственное окружение представляет
собой техносферу. Это окружение живет под влиянием все пронизывающих и
связующих космических процессов, определяющих многие климатические,
геологические, биологические и социальные процессы.
Рисунок 1. Схема полного окружения
гидротехнического сооружения
гидротехническое сооружение
проектирование
Строительство гидросооружения
приводит к образованию новой природ-но-технической системы
«гидросооружение-человек-окружающая среда», а успешное функционирование
гидросооружения, являющегося ядром этой системы, обеспечивается, если оно
гармонично входит в существующее природное, техногенное и социальное окружение.
С учетом этого можно сформулировать следующее требование к проекту
гидросооружения: в проекте на основе социального заказа должна быть показана
гармоничность создаваемой природно-технической системы
«гидросооружение-человек-окружающая среда», т.е. показана социальная
значимость, экономическая эффективность, эстетическое совершенство,
экологическая приемлемость и техническая безопасность проектируемого
гидротехнического сооружения. Выполненный таким образом проект позволяет
наделить проектируемые гидросооружения определенными свойствами (качествами)
(рис. 2).
Рисунок 2. Обобщенные свойства гидросооружений
Гармоничность - интегральное
свойство системы «гидросооружение -человек - окружающая среда», обеспечивающее
социальную значимость, экономическую эффективность, эстетическое совершенство,
экологическую приемлемость и безопасность проектируемого гидротехнического
сооружения.
Социальная значимость - свойство
системы «гидросооружение-человек-окружающая среда» быть востребованной
обществом и необходимой для его эффективного развития. Для большинства видов
гидротехнических сооружений характерна высокая социальная значимость
(востребованность) для значительных периодов времени - десятков, сотен и даже
тысяч лет.
Экономическая эффективность выражает
свойство системы соответствовать экономическим принципам развития общества.
Применительно к гидротехническим сооружениям оценками их экономической
эффективности являются: стоимость строительства сооружения, срок его
окупаемости, ежегодные издержки эксплуатации, себестоимость продукции
(киловатт-часа электроэнергии, одного кубического метра воды) и др.
Экологическая приемлемость -
свойство системы, характеризующее экологические последствия внедрения
технического объекта в окружающую природную и социальную среду и приятие его
этой средой. Экологическая приемлемость характеризуется совокупностью
положительных и отрицательных воздействий функционирования системы на
геологическую среду и гидросферу, атмосферу и биосферу, в том числе и на
человека.
Эстетическая привлекательность -
свойство системы соответствовать идеалам прекрасного и гармоничного, принятым в
обществе, что является необходимым условием для нормального функционирования
сооружения и поддержания его социальной значимости. Рациональность и
совершенство форм гидросооружений, их эстетическая выразительность,
рекреационная привлекательность нового ландшафта являются оценками эстетической
привлекательности гидросооружений.
Безопасность - свойство
гидротехнического сооружения, позволяющее обеспечивать защиту жизни, здоровья и
законных интересов людей, окружающей среды и хозяйственных объектов.
Безопасность гидросооружения складывается из эксплуатационной надежности и
аварийной опасности.
Эксплуатационная надежность -
свойство системы «гидросооружение-человек-окружающая среда» выполнять требуемые
функции в заданных режимах и условиях эксплуатации и технического обслуживания,
а также поддерживать нормативный уровень предупреждения аварий путем контроля
состояния сооружения и проверкой соответствия нормативным и проектным
требованиям оборудования, зоны влияния, системы эксплуатации. Под зоной влияния
подразумевается та часть окружающей среды, которая оказывает влияние на
сооружение и на которую распространяется влияние сооружения.
На основе анализа нормативной и
научной литературы, опыта проектирования, строительства и эксплуатации
гидротехнических сооружений можно выделить пять основных видов проблем:
технические, экономические, технико-экономические, экологические и социальные.
Технические проблемы содержат три
группы: функциональной надежности, конструктивной надежности и живучести.
Решение проблем функциональной надежности гидросооружений позволяет наделить их
следующими качествами, обеспечивающими выполнение ими своего назначения:
геометрическим соответствием
назначению (геометрические параметры);
водонепроницаемостью;
долговечностью.
Проблемы конструктивной надежности
охватывают задачи обеспечения физической долговечности конкретного сооружения в
условиях воздействии определенной окружающей (природной и техногенной) среды.
При строительстве и эксплуатации гидротехнические сооружения должны обладать
следующими качествами конструктивной надежности:
общей и местной устойчивостью при
воздействии статических и динамических нагрузок и температурных воздействий;
общей и местной прочностью при
действии статических и динамических нагрузок и температурных воздействий;
трещиностойкостью;
жесткостью - ограничениями по
деформациям;
выносливостью - усталостной
прочностью при действии длительных динамических нагрузок;
общей и местной фильтрационной
прочностью сооружений и их оснований;
коррозионной стойкостью к
воздействию воздушной и водной сред с учетом возможных антропогенных
воздействий;
износостойкостью - стойкостью к
воздействию наносов, транспорта и т.п.;
кавитационной стойкостью;
температурной устойчивостью к
воздействию высоких и (или) низких температур, что особенно значимо для
гидросооружений, построенных в районах с суровым климатом;
биостойкостью к воздействию живых
организмов и продуктов их жизнедеятельности.
Живучесть - свойство сооружения
выполнять свои функции при действии сверхнормативных нагрузок и воздействий.
Экономические показатели
характеризуют затраты на проектирование, строительство и эксплуатацию
сооружений: стоимость строительства, стоимость ежегодной эксплуатации,
себестоимость продукции (энергии, воды) и др.
Технико-экономические проблемы
объединяют семь групп: технологичности, стандартизации и унификации,
транспортабельности, совместимости, ремонтопригодности, контролеспособности и
противоаварийные.
Задачи технологичности, помимо
традиционных вопросов технологии строительства, включают вопросы
технологичности эксплуатации, в том числе такие, как поэтапность строительства
и ввода в эксплуатацию ГЭС и водосбросов, совмещение функций отдельных
сооружений, например, здания ГЭС и водосбросов строительных и эксплуатационных
водосбросов и др.
Стандартизация и унификация
позволяют использовать стандартные и оригинальные решения в конструкции
сооружения и в технологии его возведения с применением унифицированных
материалов и изделий.
Вопросы транспортабельности
характеризуют приспособленность изделий и сооружения в целом к перемещению в
пространстве в целях удобства их изготовления, монтажа и ремонта.
Проблемы совместимости охватывают
круг вопросов, связанных с учетом влияния на гидросооружения объектов
техносферы: железных и автомобильных дорог, заводов и фабрик, промьгшленных
взрывов, добычи полезных ископаемых, освоения леса и т.д.
Ремонтнопригодностъ - свойство,
заключающееся в приспособленности сооружения к предупреждению, обнаружению и
устранению неисправности. Вопросы ремонтнопригодности характеризуют
приспособленность гидросооружения к проведению ремонта, реконструкции,
восстановлению или ликвидации сооружения после достижения им физического или
морального износа.
Контролеспособностъю называется
свойство гидросооружения обеспечивать достоверную оценку его эксплуатационного
состояния и обнаружение неисправностей и дефектов. Решение проблем
контролеспособности обеспечивает контроль состояния гидросооружения визуально и
с помощью средств измерений, и своевременное выявление потенциально опасных
процессов деформирования, фильтрации, трещинообразования, коррозии и т.п. Для
этого в проекте предусмотрено размещение на гидросооружении
контрольно-измерительной аппаратуры и организация натурных наблюдений за
работой гидросооружений в процессе строительства и эксплуатации с перечнем
критериев безопасности, сценариев потенциально возможных аварий и определением
зон их влияния и др.
Противоаварийные проблемы содержат
круг вопросов, связанных с обеспечением безопасности людей и территорий при
строительстве и эксплуатации гидросооружений при возможных авариях с прорывом
напорного фронта. Рассмотрение сценариев возможных аварий на проектируемом
сооружении и их учет позволяет предупредить или существенно снизить последствия
возможных аварий. Для снижения аварийной опасности и уменьшения последствий
аварий на гидроузлах создается аварийный запас строительных материалов и
оборудования (щебня, песка, цемента, техники инструмента и т.п.), в нижнем
бьефе возводятся дамбы обвалования для ограничения зоны затопления при
возможных гидродинамических авариях, разрабатываются планы действия
эксплуатационного персонала в условиях чрезвычайных ситуаций, создается система
аварийной связи и оповещения, система охраны и др.
2. Основные принципы инженерных
расчетов
Основные положения расчета
гидросооружений по методу предельных состояний. В настоящее время
гидротехнические сооружения, их конструкции и основания рассчитывают по методу
предельных состояний. Предельными называют состояния, при которых конструкция,
сооружения или его основание теряют способность сопротивляться внешним
нагрузкам и воздействиям или получают недопустимые повреждения или деформации,
т.е. перестают удовлетворять нормативным требованиям. Различают две группы
предельных состояний.
Первое предельное состояние -
состояние, при достижении которого происходит потеря несущей способности и
(или) полная непригодность сооружений к эксплуатации, т.е. при достижении этого
состояния сооружения становятся непригодными к эксплуатации в результате
хрупкого, усталостного или пластического разрушения материала сооружения или
основания, потери устойчивости и т. д. Для оценки этого состояния выполняют
расчеты общей прочности и устойчивости, общей фильтрационной прочности
оснований и грунтовых сооружений, прочности и перемещений таких элементов
сооружения, разрушение и перемещение которых делает невозможной эксплуатацию
сооружения в целом.
Второе предельное состояние -
состояние, при котором становится невозможной нормальная эксплуатация
сооружения, его конструкций или основания в результате развития деформаций,
нарушения местной фильтрационной прочности или прочности отдельных элементов
сооружения, не рассмотренных при расчетах по предельным состояниям первой
группы. По второй группе ведут расчеты оснований на местную прочность, на
местную фильтрационную прочность оснований и фунтовых сооружений, расчеты
перемещений и деформаций, образования и раскрытия трещин и строительных швов,
расчеты прочности отдельных элементов сооружения.
Гидротехнические сооружения
рассчитывают на действие основного и особого сочетания нагрузок и воздействие.
Основное сочетание включает
постоянные, временные длительные и кратковременные нагрузки и воздействия.
Особое сочетание включает
постоянные, временные длительные, кратковременные и одну (или одно) из особых
нагрузок или воздействий, предполагая, что одновременно две особых нагрузки
практически не могут совпасть во времени, например, землетрясение и шторм.
Сочетания нагрузок и воздействий
учитывается в расчетах с помощью коэффициента сочетания нагрузок пс, который
принимают равным 1,0 при расчетах по второму предельному состоянию и по первому
предельному состоянию при основном сочетании нагрузок. Для особого сочетания
нагрузок и воздействий при расчете по первому предельному состоянию nс=0,9, а
при расчетах сооружения в период строительства и ремонта nс=0,95.
. Вероятностный метод расчета
гидросооружений
Логическим развитием методов расчета
конструкций и сооружений от детерминистических (по допускаемым нагрузкам и
коэффициентам запаса) к полувероятностному методу предельных состояний является
переход к вероятностному методу расчета, учитывающего случайный характер
нагрузок и воздействий, свойств строительных материалов и условий их
эксплуатации. Вероятностный метод расчета развивается в рамках теории
надежности инженерных конструкций и базируется на методах математической
статистики и теории вероятности.
Обозначим N любую из нагрузок и
воздействий на сооружение, a S - сопротивляемость, т.е. ту характеристику
конструкции или свойства строительного материала, которая обеспечивает
восприятие нагрузки N. Вероятностный расчет сооружения заключается в
определении вероятности безотказной работы Р, т.е. вероятности того, что
параметр сопротивляемости S всегда больше параметра нагрузки N, и сравнение ее
с нормативным значением вероятности Р":
(S>N)>PHилиP(S-N> О)≥
РH.
При выполнении этого условия можно
считать, что сооружение или конструкция отвечает требованиям надежности по
рассматриваемому параметру.
В общем случае нагрузка и
сопротивляемость являются независимыми случайными функциями времени, но в
большинстве расчетов задачу удается упростить путем исключения из расчетов
времени и представления S и N независимыми случайными величинами с
определенными законами распределения.
Следует также отметить, что невыполнение
этого условия) представляет собой отказ - несоответствие нормативным
требованиям, что в конкретных условиях влечет различные последствия: от просто
невыполнения неравенства без внешних проявлений и нарушений работоспособности
до разрушений в форме происшествия (с необходимостью небольшого ремонта) или
аварии, катастрофы, бедствия в зависимости от последствий.
. Решение гидротехнических задач в
вероятностной подстановке
Прочность бетона. Вследствие влияния
различных технологических и эксплуатационных факторов прочность бетона имеет
случайный характер, как правило, с нормальным законом распределения, который
характеризуется средним арифметическим значением прочности и средним
квадратическим отклонением. Эксплуатационные нагрузки в виде напряжений также
носят случайный характер в зависимости от условий эксплуатации и доминирующих
нагрузок могут отвечать различным законам распределения: нормальному,
логарифмически нормальному, экспоненциальному и др.
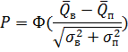
Пропускная способность водосбросов.
Так как пропускная способность водосброса QВ и паводковый расход QП формируются
совокупностью влияния большого числа факторов, то в большинстве практических
случаев можно принять, что они являются случайными величинами, имеющими
нормальное распределение. Тогда вероятность безотказной работы водосброса может
быть определена по формуле:
При оценке пропускной способности
водосбросов необходимо иметь в виду следующее. Среднее квадратическое
отклонение σп
определения паводкового расхода Qn. является по сути погрешностью его прогноза
и составляет не менее 10-15% от его значения.
Устойчивость бетонной водосливной
плотины на нескальном основании. Сдвиг плотины по подошве происходит под
действием равнодействующей гидростатического давлением воды, действующего со
стороны верхнего и нижнего бьефов, а устойчивость обеспечивается силой
сопротивления, которая складывается из сил трения и сцепления по подошве
плотины.
. Нормативная вероятность
безотказной работы и ее связь с коэффициентом запаса
Во многих инженерных расчетах широко
используется понятие коэффициента запаса как отношение расчетной
сопротивляемости S к расчетной нагрузке N.
Если принять коэффициент
запаса как отношение средних арифметических значений сопротивляемости и
нагрузки, т. е. 
,то легко можно показать
связь между вероятностью безотказной работы и коэффициентом запаса.
Для гидротехнических
сооружений основная нагрузка на них обусловлена действием водного потока,
поэтому можно связать выбор нормативной вероятности безотказной работы
гидросооружений с классом сооружений для основного и поверочного расчетных
случаев и с вероятностью превышения расчетных максимальных расходов воды. Тогда
нормативные вероятности и соответствующие нормативные риски будут иметь
величины.
Переход к назначению
расчетных паводков по методу максимального вероятного паводка приведет к
снижению риска по крайней мере до 0,00001, т.е. к повышению нормативной
вероятности безотказной работы гидросооружений до 0,99999.