Гидродинамически совершенная скважина. Способы эксплуатации нефтяных и газовых скважин

  • Вид работы:
    Контрольная работа
  • Предмет:
    Геология
  • Язык:
    Русский
    ,
    Формат файла:
    MS Word
    1,91 Мб
  • Опубликовано:
    2014-02-13
Вы можете узнать стоимость помощи в написании студенческой работы.
Помощь в написании работы, которую точно примут!

Гидродинамически совершенная скважина. Способы эксплуатации нефтяных и газовых скважин

Введение

Разработкой нефтяных и газовых месторождений называют осуществление научного обоснованного процесса извлечения из недр содержащихся в них углеводородов и сопутствующих им полезных ископаемых. Этот процесс включает разбуривание месторождений и выработку запасов нефти и газа.

Наука о разработке нефтяных месторождений относится к горным наукам. Горное дело - древнейший род занятий человека. Находить полезные ископаемые и пользоваться ими человек начал в каменном и бронзовых веках.

В более позднее время (в конце XIX в.) для добычи нефти стали сооружать скважины.

1. Схема эксплуатационной скважины. Понятие - гидродинамически совершенная скважина. Понятие и виды работ, проводимые при освоении скважин

Рисунок 1 - Схема добывающей системы

Рпл. и Рзаб. - соответственно пластовое и забойное давления; Рпр - давление на приеме погружного оборудования; Рвых - давление на выходе из погружного оборудования; Рур - давление на динамическом уровне в затрубном пространстве; Ру - давление на устье скважины в НКТ; Рзатр - давление на устье скважины в затрубном пространстве; Lc - длина (глубина) скважины; Нсп - глубина спуска погружного оборудования; Ндин - динамический уровень; 1 - пласт (призабойная зона); 2 - скважина; 3 - область приема погружного оборудования; 4 - погружное оборудование (насос); 5 - подъемник; 6 - затрубное пространство, заполненное газожидкостной смесью; 7 - затрубное пространство, заполненное газом.

В эксплуатационную скважину спускают насосно-компрессорные (подъемные) трубы (НКТ), диаметр которых меньше диаметра эксплуатационной колонны. В большинстве случаев по этим трубам происходит подъем жидкости с забоя скважины на поверхность. В пластовых условиях жидкость и газ, насыщающие поровое пространство коллекторов, как и сами коллекторы, находятся под давлением, которое называется пластовым (рис.1). Забойное давление - это давление, под которым находятся нефть и газ на забое скважины. Для притока продукции из пласта в скважину необходимо, чтобы забойное давление было меньше пластового. Если скважина не эксплуатируется, эти давления равны. Разница между пластовым и забойным давлениями называется депрессией. Давление, замеряемое на устье скважины в подземных трубах, называется устьевым или буферным. Давление, замеряемое на устье скважины в затрубном пространстве между НКТ и эксплуатационной колонной, называется затрубным.

В наиболее элементарном смысле гидродинамически совершенной может считаться такая скважина, которая полностью вскрыла пласт от кровли до подошвы и в которой забой полностью открыт по боковой поверхности, против пласта нет перфорированной колонны или сетки, т.е. приток жидкости в скважину происходит через всю боковую поверхность забоя, не испытывая никаких искусственных сопротивлений.

Такой могла бы быть скважина, проведенная на пласт, представленный несыпучей породой, например доломитом. Если изменить радиус гидродинамически совершенной скважины в практически возможных пределах, то дебит ее будет меняться мало, так как радиус скважины входит в формулу дебита под знаком логарифма . Практически гидродинамически совершенных скважин не бывает. Лишь в теоретических расчетах иногда рассматривают гидродинамически совершенные скважины.

Рисунок 2 -Гидродинамически несовершенная скважина: а - по степени вскрытия пласта; б - по качеству вскрытия

Различают скважины, гидродинамически несовершенные по степени вскрытия пласта (рис. 2, а) и по качеству (характеру) вскрытия (рис. 2, б).

Скважины могут быть также совершенными по степени вскрытия пласта и несовершенными по качеству вскрытия и наоборот.

Несовершенная по степени вскрытия скважина вскрывает не весь пласт, а лишь какую-то его часть. Несовершенная по качеству вскрытия скважина сообщается с пластом не полностью, не через всю боковую поверхность ствола, а лишь через перфорационные или фильтровые отверстия.

Все перфорационные отверстия принимаются круглыми. Совершенство скважины будет тем полнее, чем больше диаметр отверстий и их суммарная площадь, т. е. чем больше площади отверстий приходится на каждый метр фильтра и чем равномернее располагаются отверстия по колонне.

Отношение дебита гидродинамически несовершенной скважины к дебиту совершенной скважины при прочих равных условиях дает величину коэффициента несовершенства скважины. Дебит несовершенной скважины при одинаковых прочих условиях меньше дебита совершенной скважины, поэтому коэффициент несовершенства всегда меньше единицы.

Под освоением скважины понимают проведение различных мероприятий по вызову притока жидкости или газа из пласта к забою скважины с суточным дебитом, близким к ее потенциальному дебиту.

Приток жидкости из пласта к забою скважины происходит, когда пластовое давление больше забойного

рпл > рзаб + рдоп,

где рпл - пластовое давление; рзаб - забойное давление; рдоп - дополнительное давление, необходимое для преодоления гидравлических сопротивлений, которые возникают в перфорационных отверстиях и в фильтрационных каналах в результате закупоривания порового пространства призабойной зоны пласта. Если скважина заполнена жидкостью плотностью р, а высота столба жидкости Н неравенство можно записать в виде рпл > Hpg + рдоп.

Следовательно, для удовлетворения этого неравенства нужно уменьшать Н, р или рдоп. На практике для освоения скважин обычно уменьшают рзаб путем снижения уровня жидкости или ее плотности одним из описанных ниже способов.

Один из первых способов освоения скважин - понижение столба жидкости в скважине при помощи желонки, называемый тартанием. Освоение тартанием применимо в скважинах, в которых не ожидается фонтанного притока нефти. Тартание в обсадной колонне производят до тех пор, пока буровой раствор в скважине полностью не заменится на нефть.

В скважинах, где ожидается фонтанный приток нефти, а также газа, можно снизить уровень жидкости при помощи поршневания. В случае использования этого способа освоения обсадную колонну после ее перфорации опускают до фильтра НКТ. Торцы НКТ до их спуска в скважину райбируют для устранения заусенцев и острых кромок, которые могут повредить поршень. После спуска НКТ устье скважины оборудуют фонтанной арматурой и выкидными линиями. Затем с арматуры снимают буфер и в НКТ опускают поршень на тартальном канате.

В практике освоения скважин наиболее широко используется замена бурового раствора (задавочной жидкости после подземного ремонта) на жидкость меньшей плотности. При этом давление на пласт снижается, и если давление пластовых флюидов в скважине будет больше давления столба жидкости, то начинается приток из пласта, т. е. скважина начинает фонтанировать.

Получение больших депрессий с помощью сжатого воздуха с целью вызов притока из пласта является одним из наиболее распространенных способов освоения глубоких скважин. При применении этого способа процесс осуществляется при оборудованном устье скважины, а депрессия может быть создана плавно или резко, в соответствии с программой процесса.

В зависимости от глубины скважины, прочности обсадной колонны и характеристики компрессора давление на пласт можно снизить вытеснением части жидкости из скважины сжатым воздухом, переключением нагнетания из труб в затрубное пространство, использованием пусковых клапанов, нагнетанием в скважину «воздушных пачек» и аэрацией жидкости.

1.1 Источники пластовой энергии и режимы дренирования (работы) газового пласта

Источниками энергии, обеспечивающей движение жидкостей и газов в продуктивных пластах, являются собственная пластовая энергия системы и энергия, подаваемая извне, главным образом путем нагнетания в пласты под высоким давлением жидкостей и газов.

Под режимом газовой залежи или режимом работы пласта понимают проявления доминирующей формы пластовой энергии, вызывающей движение газа в пласте и обусловливающей приток газа к скважинам в процессе разработки залежи.

Режим существенно влияет на разработку залежи и наряду с другими факторами определяет основные условия эксплуатации, к которым, например, относятся темп падения давления и дебитов газа, обводнение скважин и т. п.

Режим работы залежи зависит от геологического строения залежи; гидрогеологических условий и протяженности водонапорной системы; физических свойств газовых коллекторов; темпа отбора газа из залежи; используемых методов поддержания пластового давления (для газоконденсатных месторождений).

В практике эксплуатации газовых месторождений различают газовый и водонапорный режимы. Водонапорный режим подразделяется на упругий и жесткий.

При газовом режиме или режиме расширяющегося газа единственной силой, определяющей движение газа в пласте, является энергия давления газа. Этот режим проявляется в том случае, если отсутствуют пластовые воды или если они не продвигаются в газовую залежь при снижении давления в процессе разработки.

Жесткий водонапорный режим газовой залежи связан с наличием активных пластовых вод и характеризуется тем, что при эксплуатации в газовую залежь поступают подошвенные или краевые воды, в результате чего не только уменьшается объем пласта, занятого газом, но и полностью восстанавливается пластовое давление.

Иногда водонапорный режим называют газоводонапорным, так как в этом случае газ в пласте продвигается в результате его расширения и действия напора воды. Причем количество воды, внедряющейся за счет расширения газа, значительно меньше того количества, которое необходимо для полного восстановления давления. Главным условием продвижения воды в залежь является связь ее газовой части с водоносной. Продвижение воды может привести к обводнению скважин. Это следует учитывать при расположении скважин по площади и при проектировании глубины забоя новых эксплуатационных скважин.

При упруго-водонапорном режиме вода внедряется в разрабатываемую газовую залежь за счет падения давления в системе и связанного с этим расширения пород пласта, а также самой воды. Такое продвижение воды можно наблюдать на Ленинградском месторождении в Краснодарском крае и Коробковском в Волгоградской области.

Газовые залежи с водонапорным режимом, в которых полностью восстанавливается давление при эксплуатации, встречаются довольно редко. Обычно при водонапорном режиме давление восстанавливается частично, т.е. пластовое давление при эксплуатации понижается, но темп понижения более медленный, чем при газовом режиме.

В большинстве своем газовые месторождения в начальный период разрабатываются по газовому режиму.

Проявление водонапорного режима обычно замечается не сразу, а после отбора из залежи 20 - 50% запасов газа. На практике встречаются также исключения из этого правила, например для ряда мелких газовых месторождений Саратовской области, по данным В. П. Савченко, водонапорный режим начал проявляться практически сразу после начала эксплуатации и окончание разработки их проводилось при высоком давлении в пласте.

При эксплуатации газоконденсатных месторождений с целью получения наибольшего количества конденсата путем закачки в пласт сухого газа, воздуха или воды иногда создают искусственный газонапорный или водонапорный режим.

В некоторых случаях на режим работы залежи в многопластовом месторождении могут влиять условия разработки выше или нижележащих горизонтов, например при перетоках газа.

До начала разработки газового месторождения можно высказать только общие соображения о возможности проявления того или иного режима. Характер режима устанавливается по данным, полученным при эксплуатации месторождения.

.2 Задача

По формуле Дюпюи определить величину секундного притока (объемную скорость) нефти в вертикальную гидродинамически совершенную скважину. Полученный результат пересчитать в суточный дебит в поверхностных условиях. Сделать расчет распределения давления в пласте вокруг этой скважины. Результаты расчетов свести в таблицу и нанести на график в координатах «давление-расстояние». Величину шага в расчетах принять:

м в диапазоне изменения радиуса до 10 м;

м в диапазоне изменения радиуса от 10 до 100 м;

м в диапазоне изменения радиуса более 100 м.

Значения параметров по вариантам приведены в табл.1.

Таблица 1 - Исходные данные

Параметры

Значение

Проницаемость пласта - k, мкм2

0,1

Толщина пласта - h, м

15

Пластовое давление - Рпл, МПа

30

Забойное давление - Рзаб, МПа

20

Динамическая вязкость нефти - µ, МПа* с

1,57

Радиус контура питания - Rк, м

150

Радиус скважины - Rc, м

0,1

Объемный коэффициент нефти, bн

1,1


Решение:



 м3/с

) Найдем суточный дебит:

Q cyт =Q·3600·24

Q cyт = 0,0075 · 3600 ·24 = 648 м3 / сут

3) Расчет распределения давления вокруг скважины проводится по формуле:


Определяем давление при R=1 м.

 МПа

Результаты дальнейших расчетов сведены в таблицу 2, по результатам которых построен график распределения давления (рис. З).

Таблица 2 - Результаты расчета

R,м

P(RC), МПа

R, м

P(RC), МПа

R, м

P(RC), МПа

1

23,15

9

26,15

80

29,14

2

24,10

10

26,30

90

29,30

3

24,65

20

27,24

100

29,45

4

25,04

30

27,80

150

30,00

5

25,35

40

28,19



6

25,60

50

28,50



7

25,81

60

28,75



8

25,99

70

28,96




Рисунок 3 - Распределение давления вокруг скважины

2. Общая характеристика способов эксплуатации нефтяных и газовых (газоконденсатных) скважин. Факторы, определяющие выбор способа эксплуатации скважины Статистические данные по эксплуатационному фонду скважин России. Средние дебиты по способам эксплуатации скважин

Движение нефти от забоя скважины до устья производится как за счет естественного фонтанирования, так и с помощью механизированных способов. При естественном фонтанировании нефть изливается на поверхность под давлением пластовой энергии. Фонтанная добыча применяется на первом этапе эксплуатации скважины; по мере снижения пластового давления фонтанирование ослабляется, и скважину переводят на механизированную добычу.

К механизированным способам добычи нефти относятся газлифтный и глубиннонасосный. При газлифтном методе в скважину нагнетают компрессорами углеводородный газ, который, смешиваясь с нефтью, способствует ее подъему на поверхность. При глубиннонасосном методе используются погружаемые в скважину штанговые, электроцентробежные или винтовые насосы. В России 59,4% всех эксплуатируемых скважин составляют штанговые глубиннонасосные, 8,8% - фонтанные, 27,4% - скважины с погружными электронасосами, 4,3 % - скважины газлифтного типа (табл. 3).

Таблица 3 - Распределение числа скважин и добычи нефти в зависимости от способа эксплуатации

Способ эксплуатации

Число скважин, %

Средний дебит, т/сут

Добыча, % от общей



нефти

жидкости

нефти

Фонтанный

8,8

31,1

51,9

19,5

9,3

Газлифтный

4,3

35,4

154,7

11,6

14,6

УЭЦН

27,4

28,5

118,4

52,8

63,0

ШСН

59,4

3,9

11,0

16,1

13,1

Прочие

0,1

-

-

-

-



Газ, поступающий к забою добывающей скважины, под действием градиентов давления в пласте за счет своей потенциальной энергии поднимается на устье скважины, поэтому практически в течение всего срока разработки газового месторождения скважины эксплуатируются фонтанным способом. Однако в некоторых особых случаях применяют и механизированные способы добычи.

В зависимости от геолого-промысловых условий, физико-химических свойств флюидов и параметров пласта различают эксплуатацию газовых скважин по фонтанным трубам и раздельную эксплуатацию нескольких продуктивных горизонтов одной скважиной.

Выбор способа эксплуатации газовой скважины зависит от пластового давления и дебита скважины, содержания в газе влаги, конденсата, агрессивных компонентов, свойств продуктивного пласта, термодинамических условий работы ствола скважины (наличие или отсутствие слоя многолетнемерзлых пород и пр.), давления на устье скважины и других факторов.

2.1 Эксплуатация нефтяных скважин штанговыми скважинными насосами. Погружное и поверхностное оборудование, условия применения ШСН

Эксплуатация нефтяных скважин штанговыми глубинными насосами является наиболее распространенным способом добычи нефти. На нефтедобывающих площадях России около 60% всего действующего фонда скважин эксплуатируются глубинными насосами. Такому широкому внедрению глубиннонасосного способа добычи нефти благоприятствуют небольшие затраты при его осуществлении, позволяющие экономически выгодно эксплуатировать даже очень малодебитные скважины (с дебитом менее 1 т/сут), а также простота оборудования и обслуживания скважин.

Отличительная особенность штанговой скважинно-насосной установки (ШСНУ) состоит в том, что в скважине устанавливают плунжерный (поршневой) насос, который приводится в действие поверхностным приводом посредством колонны штанг.

Схема ШСНУ включает оборудование:

а) наземное - станок-качалку (СК), оборудование устья;

б) подземное-насосно-компрессорные трубы (НКТ), штанги насосные (ШН), штанговый скважинный насос (ШСН) и различные защитные устройства, улучшающие работу установки в осложненных условиях.

Основные элементы СК (рис.4) - это стойка 17 с балансиром 16, два кривошипа 21 с двумя шатунами 19, редуктор 22, клиноременная передача 24, электродвигатель 25 и блок управления 28, который подключается к промысловой линии силовой электропередачи. ШСН состоит из цилиндра 3, плунжера 4, всасывающего 2 и нагнетательного 5 клапанов. Цилиндр ШСН крепится к НКТ 6. На нижнем конце цилиндра установлен неподвижный всасывающий шариковый клапан, открывающийся при ходе плунжера вверх. Плунжер пустотелый (со сквозным каналом), имеет нагнетательный шариковый клапан, открывающийся при ходе плунжера вниз. Электродвигатель 25 через клиноременную передачу 24 и редуктор 22 придает двум массивным кривошипам 21, расположенным с двух сторон редуктора, круговое движение. Кривошипно-шатунный механизм в целом превращает круговое движение в возвратно-поступательное движение балансира 16, который качается на опорной оси, укрепленной на стойке 17. Балансир сообщает возвратно-поступательное движение штангам 7 и через них плунжеру ШСН.

Рисунок 4 - Схема штанговой скважинно-насосной установки: 1 - эксплуатационная колонна; 2 - всасывающий клапан; 3 - цилиндр насоса; 4 - плунжер; 5 - нагнетательный клапан; 6 - насосно-компрессорные трубы; 7 - насосные штанги; 8 - крестовина; 9 - устьевой патрубок; 10 - обратный клапан для перепуска газа; 11- тройник; 12 - устьевой сальник; 13 - устьевой шток; 14 - канатная подвеска; 15 - головка балансира; 16 - балансир; 17 - стойка; 18 - балансирный груз; 19 - шатун; 20 - кривошипный груз; 21 - кривошип; 22 - редуктор; 23 - ведомый шкив (с противоположной стороны тормозной шкив); 24 - клиноременная передача; 25 - электродвигатель на поворотной салазке; 26 - ведущий шкив; 27 - рама; 28 - блок управления

При ходе плунжера вверх нагнетательный клапан под действием жидкости закрывается и вся жидкость, находящаяся над плунжером, поднимается вверх на высоту, равную длине хода плунжера. В это время скважинная жидкость через всасывающий клапан заполняет цилиндр насоса. При ходе плунжера вниз всасывающий клапан закрывается, жидкость под плунжером сжимается и открывается нагнетательный клапан. В цилиндр погружаются штанги, связанные с плунжером. Таким образом, ШСН - поршневой насос одинарного действия, а в целом комплекс из насоса и штанг - двойного действия. Жидкость из НКТ вытесняется через тройник 11 в нефтесборный трубопровод.

В целом скважинные штанговые насосы обеспечивают откачку продукции с обводненностью до 99%, абсолютной вязкостью до 100 мПа*с, содержанием твердых механических примесей до 0,5%, свободного газа на приеме до 25%, объемным содержанием сероводорода до 0,1%, минерализацией воды до 200 мг/л и температурой до 130°С.

скважина нефть газ кондиция

2.3 Задача

Определить коэффициент подачи λ и фактическую суточную производительность Qфакт установки штангового скважинного насоса при следующих условиях (табл.4).

Таблица 4 - Исходные данные

Параметры

Значение

Условный диаметр насоса - DH, мм

68

Длина хода полированного штока - S, м

2,7

Число качаний - n, мин-1

6

Коэффициент наполнения насоса - λн

0,75

Коэффициент утечек - λут

0,84

Величина упругих деформаций колонны штанг и колонны труб под действием статических нагрузок - ΔLст, мм

54

Величина упругих деформаций колонны штанг под действием инерционных нагрузок - ΔLин, мм

12

Объемный коэффициент нефти - bн

1,3


Решение:

На коэффициент подачи λ, и, как следствие, на подачу насоса установки Q влияет много факторов: деформация штанг и труб, усадка жидкости, степень наполнения насоса жидкостью и утечки жидкости. Характеризуя влияние этих факторов соответствующими коэффициентами и, учитывая независимость их совместного действия, записываем:

λ= λ н λ ут λ пл λус,

где λ пл - коэффициент, учитывающий влияние изменения хода плунжера;

В результате удлинения штанг и труб от действия статической нагрузки, определяемой силой тяжести столба жидкости в насосных трубах и силой тяжести штанг и труб, действительный ход плунжера будет меньше на величину ΔLст.

Силы инерции движения штанг в конце хода вверх и вниз, напротив, способствуют некоторому удлинению пробега плунжера на величину ΔLин.

Таким образом, коэффициент, учитывающий влияние изменения хода плунжера определяется по формуле:


где Sn - действительный ход плунжера.

Цилиндр насоса заполняется жидкостью при температуре и давлении на приеме насоса (в скважине). На поверхности жидкость дегазируется и охлаждается, ее объем уменьшается, т.е. происходит усадка жидкости.


где Qn и Qв - дебиты нефти и воды при стандартных условиях в объемных единицах.


По определению объемная обводненность продукции:

Таким образом, коэффициент, учитывающий усадку жидкости (при условии, что n=0 (безводная продукция)):


Окончательная формула:


Найдем суточную производительность УШСН:




где Q - теоретическая подача ШСН

Q = 1440FSn,

где F - площадь сечения плунжера;


тогда окончательно формула примет вид:


3. Технологический режим работы скважины. Характеристика продукции нефтяной скважины. Характеристика продукции газовой (газоконденсатной) скважины. Характеристика товарных кондиций нефти. Характеристика товарной кондиции газа. Характеристика товарных кондиций конденсата

Под технологическим режимом эксплуатации газовых скважин подразумеваются условия, при которых обеспечиваются наибольшие дебиты газа и конденсата с учетом их ограничивающих факторов и требований правил охраны недр и техники безопасности.

Эти условия, называемые технологическим режимом скважины, различны в зависимости от геолого-эксплуатационных характеристик каждого месторождения, свойств газа, конденсата и воды, условий подачи газа и конденсата потребителям, а также от заданных кондиций газа.

Например, при слабосцементированных продуктивных пластах следует соблюдать условие постоянства допустимого градиента давления на стенке скважины. Действительно, при движении газа к забоям скважины силой, воздействующей на частицы, породы, является градиент давления. Значение его выше допустимого приводит к отрыву частиц от скелета и их перемещению на забой. Величины градиентов давлений, в соответствии с кривой его распределения вокруг ствола работающей газовой скважины, будут максимальными на ее стенке.

Устанавливая технологический режим работы газовой скважины, стремятся получить возможно больший дебит с минимальными затратами пластовой энергии.

Правильно установленный режим работы газовой скважины должен обеспечить: 1) предотвращение разрушения призабойной зоны пласта вследствие выноса частиц цементирующего материала породы; 2) недопущение преждевременного подтягивания к скважине конуса подошвенной воды; 3) предотвращение угрозы смятия колонны при малых противодавлениях на пласт; 4) устранение вибрации оборудования на устье скважины при весьма больших дебитах газа.

Поступающая из нефтяных скважин продукция не представляет собой чистую нефть. Вместе с нефтью из скважин поступают пластовая вода, попутный (нефтяной) газ, твердые частицы механических примесей (горных пород, затвердевшего цемента). В таком виде нефть транспортировать по трубопроводам на нефтеперерабатывающие заводы недопустимо. Поэтому перед подачей нефти в магистральный нефтепровод, проводят её подготовку непосредственно на нефтяных промыслах с целью ее обессоливания, обезвоживания, удаления твердых частиц, а также подвергают глубокому разгазированию (стабилизации) для доведения давления насыщенного пара не более 66,66 кПа. Характеристика товарных кондиций нефти приведена в таблице 5.

Таблица 5 - Требования к качеству товарной нефти по ГОСТ Р 51858-2002(принят и введен в действие Постановлением Госстандарта России от 08.01.2002 г. № 2-ст)

Наименование показателя

Норма для нефти группы


I

II

III

Массовая доля воды, %, не более

0,5

0,5

1,0

Концентрация хлористых солей, мг/дм5, не более

100

300

900

Массовая доля механических примесей, %, не более

0,05

0,05

0,05

Давление насыщенных паров, кПа (мм рт. ст.), не более

66,7 (500)

66,7 (500)

66,7 (500)

Содержание хлорорганических соединений, млн.'1 (ррт)

Не нормируется. Определение обязательно

Массовая доля сероводорода, млн.-1 (ррт), не более

20

50

100

Массовая доля метил- и этилмеркаптанов в сумме, млн.-1 (ррт), не более

40

60

100


В продукции газовых скважин, кроме газа, может содержаться жидкая фаза в виде капелек и паров воды, а в газоконденсатных скважинах также и жидкие углеводороды.

Природные газы, добываемые из месторождений России, должны отвечать требованиям, определяющим их транспортную кондиционность (табл.4). Эти требования установлены ОСТ 51.40-74.

Таблица 6 - Нормы ОСТ 5140-74 на природный газ, транспортируемый по магистральным газопроводам

Показатели

Для климатической зоны


умеренной и жаркой

холодной

Точка росы по влаге и тяжелым углеводородам при давлении 5,5 МПа, °С:



в зимний период (с 1/Х по 30/IV )

<-25

в летний период (с 1/V по ЗО/IХ)

<-3

<-15

Содержание механических примесей, г/100 м3

<0,1

<0,1

Содержание сероводорода, г/100 м3

<2,0

<2,0

Содержание кислорода, %

<1,0

<1,0


Товарные кондиции стабильного конденсата, транспортируемого в железнодорожных цистернах на нефтеперерабатывающие заводы, принимаются такими - температура 293 К, упругость насыщенных паров при этой температуре 0,0532 МПа (400 мм рт. ст.), содержание смол, парафина, сероводорода близко к 0.

3.1 Проблемы высокой минерализации остаточной воды в нефти. Технология обессоливания продукции нефтяных скважин

Существующие методы обезвоживания нефти на промыслах не позволяют получить товарную нефть с остаточной обводненностью ниже 0,2 %. При такой глубине обезвоживания остаточное содержание хлористых солей в зависимости от минерализации пластовых вод может колебаться от 20 до 1000 мг/л. Регламентируемое содержание солей для трех групп товарной нефти не должно превышать 100, 300 и 1800 мг/л. Поэтому при подготовке сырых нефтей с высокой минерализацией пластовых вод (плотностью 1170-1200 кг/м) после ступени глубокого обезвоживания предусматривается дополнительный процесс - обессоливание нефти. Сущность его заключается в промывке обезвоженной нефти пресной водой и последующем разделении фаз. Расход промывочной воды может колебаться от 3-5 до 10-15%. Процесс обессоливания и расход пресной воды зависят от принятой технологии смещения. Использование диафрагм, штуцеров, клапанов не всегда дает должный эффект. Перспективным направлением является использование распыленного ввода пресной воды, например, с помощью регулируемого гидродинамического диспергатора, разработанного УкргипроНИИнефтью. Последующее разделение фаз осуществляется в электродегидраторе, который называют еще электрообессоливающей установкой (ЭЛОУ).

Рисунок 5 - Схема горизонтального электродегид- ратора ЭГ-200-10: 1,2 - электроды; 3 - изоляторы; 4 - выход обезвоженной и обессоленной нефти со сборником; 5 - нефть; 6 - эмульгированная нефть; 7 - вода; 8 - сброс воды; 9 - ввод эмульсии в аппараты с распределительным коллектором

Наиболее эффективен и экономичен горизонтальный электродегидратор ЭГ-200-10 (рис.5), который представляет собой стальную цилиндрическую емкость вместимостью 200 м3, рассчитанную на рабочее давление 1 МПа. Пропускная способность составляет 500 м /ч. Как и отстойник, он оснащен распределителем эмульсии 9, сборниками нефти 4 и воды 8, выполненными из перфорированных труб. Дополнительно электродегидратор оснащен двумя электродами - верхним 2 и нижним 1, которые подвешены на изоляторах 3 горизонтально друг над другом и имеют форму прямоугольных рам, занимающих все продольное сечение электродегидратора. На электроды подается переменный ток с максимальным напряжением 44 кВ. Эмульсия подается через распределительный коллектор 9, обеспечивающий равномерное поступление ее по всему горизонтальному сечению аппарата. Она медленно движется снизу вверх через три зоны: слой отстоявшейся воды 7, уровень которой поддерживается автоматически на 20-30 см выше коллектора 9; зону слабой напряженности электрического поля между уровнем воды и нижним электродом 1; зону сильной напряженности между нижним 1 и верхним 2 электродами.

Принцип разрушения эмульсии состоит в столкновении капель воды под действием сил притяжения и их коалесценции. Диспергированные капли в результате индукции электрического поля поляризуются и вытягиваются вдоль силовых линий с образованием в вершинах капель воды электрических зарядов, противоположных зарядам на электродах.

Под действием основного и дополнительного электрических полей происходит упорядоченное движение и столкновение капель воды. В поле переменного тока капли находятся в состоянии колебания, с постоянным изменением формы и непрерывно деформируются, что способствует разрушению адсорбционных оболочек на них и слиянию этих капель.

3.2 Задача

Рассчитать секундный и суточный объемный расход (пропускную способность), приведенный к стандартным условиям, вертикального гравитационного газового сепаратора при следующих условиях (табл.7):



Решение:

Расчет секундной пропускной способности газосепаратора проведем по рекомендуемой формуле:


где vc - скорость восходящего потока газа в сепараторе.

Для эффективной сепарации необходимо, чтобы расчетная скорость движения газового потока в сепараторе была меньше скорости осаждения жидких частиц, движущихся под влиянием силы тяжести во встречном потоке газа:

vc=0,8v0.

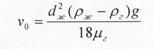
Скорость оседания частиц жидкости в газовой среде вычислим по формуле Стокса:


Тогда vc =0,8·0,0554 = 0,0443 м/с

Подставив исходные данные в выше приведенную формулу, определим секундную пропускную способность:

Далее вычислим суточную пропускную способность вертикального гравитационного газового сепаратора:


Заключение

Гидродинамически совершенная скважина - приток в которую происходит через всю боковую поверхность забоя, не испытывая никаких искусственных сопротивлений. Практически гидродинамически совершенных скважин не бывает. Различают скважины, гидродинамически несовершенные по степени вскрытия пласта и по качеству (характеру) вскрытия.

Под освоением скважины понимают проведение различных мероприятий по вызову притока жидкости или газа из пласта к забою скважины.

Источниками энергии, обеспечивающей движение жидкостей и газов в продуктивных пластах, являются собственная пластовая энергия системы и энергия, подаваемая извне, главным образом путем нагнетания в пласты под высоким давлением жидкостей и газов.

Движение нефти от забоя скважины до устья производится как за счет естественного фонтанирования, так и с помощью механизированных способов.

Список литературы

1. Бойко B.C. Разработка и эксплуатация нефтяных месторождений: Учебник для вузов. - М.: Недра, 1990.

. Муравьев В.М. Эксплуатация нефтяных и газовых скважин. М., Недра, 1973.

3. Эксплуатация нефтяных и газовых скважин: Учеб. для техникумов / А.И. Акулынин, В.С. Бойко, Ю.А. Зарубин, В.М. Дорошенко. - М.: Недра, 1989.

. Разработка нефтяных месторождений. Желтов Ю.П. - Учеб. для вузов. - 2-е изд., перераб. и доп. - М.: ОАО "Издательство "Недра", 1998.

5. Разработка нефтяных месторождений. Лысенко В.Д. - М.: Недра-Бизнесцентр, 2001.

Похожие работы на - Гидродинамически совершенная скважина. Способы эксплуатации нефтяных и газовых скважин

 

Не нашли материал для своей работы?
Поможем написать уникальную работу
Без плагиата!
Без нейросетей!