Геологические задачи, решаемы 3D сейсморазведкой при пространственном изучении структур типа плакантиклиналь
1. Плакантиклиналь: общая
характеристика
плакантиклиналь
континентальный сейсморазведка
Плакантиклиналь - пологое округлое или овальное
(часто расплывчатых очертаний) поднятие слоев осадочного чехла в пределах
континентальных платформ.
Изученной считается та структура, для которой
достоверно установлены основные черты строения, такие как размеры, структурные
особенности, наличие разрывных нарушений и т.д.
Для изучения структур типа плакантиклиналь
приходится решать структурные задачи, связанные с изучением морфологии:
· Картирование отражающих горизонтов
· Определение формы и размера
структуры
· Выделение разрывных нарушений,
определение влияния на структуру характера залегания пород в более глубоких
этажах осадочной толщи.
Чаще всего для решения поставленных задач
применяют трехмерную сейсморазведку МОВ на основе априорной информации,
полученной по ранее проведенным работам 2D.
Съемка МОВ 2D
проводится на региональном и поисковом этапах по профилям, расположенным таким
образом, чтобы наиболее детально изучить предполагаемый свод и форму структуры
в плане.
Нефтегазовая 3Dсейсморазведка
применяется для решения трех главных задач:
. Поиски месторождений залежей нефти и
газа, их оконтуривание.
. Оценка запасов углеводородов.
. Исследование динамики залежей в процессе
их разработки.
Решение главных задач базируется на решении
следующих частных задач:
. Формирование объемных изображений
среды, определяющих пространственное положение изучаемых объектов - слоев,
пластов, блоков, разломов и других геологических образов.
. Получение данных о физических свойствах
изучаемых объектов, т.е. о пространственном распределении физических параметров
в геологической среде.
. Изучение вещественного состава
геологических образований, их коллекторских свойств и нефтегазоносности.
. Получение данных о направлениях систем
пространственной упорядоченности элементов (трещин, слоев, разломов,
напряженных зон и др.), слагающих геологическую среду и количественных
характеристик этих систем.
Подсчет невязок ΔH
и вычисление сечения изогипсΔ
Рис. 1. Схема расположения профилей, с
нанесением невязок по горизонту O, в метрах
Перед непосредственным проектированием системы
пространственного наблюдения необходимо проанализировать структурные карты по
выделяющимся горизонтам.Для построения структурных карт по опорному
сейсмическому горизонту вычисляют сечение изогипс по формуле
,
ΔHср
- среднее арифметическое значение невязок в узлах пересечения профилей; р -
число профилей.
ВеличинаΔHсрвычисляется
по формуле
, где i - число узлов пересечения
профилей.
Рис. 2. Схема расположения профилей, с
нанесением невязок покровле горизонтаT
в метрах.
В каждом узле возникает невязка по глубине ΔHi=
ΔHI/II
-
ΔHII/I-
разность глубины горизонта в точке пересечения разноименных профилей. Невязка
возникает за счет случайных погрешностей измерений и обработки данных,
вследствие чего, в плане распределения ее величины носят случайный характер.
Рис. 3. Схема расположения профилей, с
нанесением невязок по подошве горизонта Т, в метрах.
Таблица со значениями невязок
Вычисление сечения изогипс:
1) для
горизонта О:
∆Hср=
=5,56
м;
=3*5,56 *
=12,06
м.
Шаг между изогипсами для горизонта О примем 15
м.
) для горизонта Ткр:
∆Hср=
=10,73
м;
=3*10,73 *
=23,3
м.
Шаг между изогипсами для горизонта Tкр
примем 25 м.
) для горизонта Tпод:
∆Hср=
=21,58
м;
=3*21,58 *
=46,84
м.
Шаг между изогипсами для горизонта Tподпримем
50м.
2.Карты изогипс
Рис. 4. Карта изогипс по горизонту O.
Рис. 5. Карта изогипс по кровле горизонта T.
Рис. 6. Карта изогипс по подошве горизонта T.
Рис. 7. Стратиграфическая колонка.
3.Сопоставление верхнего и нижнего
горизонтов
Горизонт O.
Амплитуда: 270 м.
Глубина до свода: -770 м.
Свод попадает под пересечение сразу нескольких
профилей. На юге виден резкий наклон крыльев складки, а насевере крылья имеют
более пологий наклон.
Размер: длина - 7000 м, ширина - 4000 м.
Горизонт T.
Амплитуда: 270 м.
Глубина до свода: - 1217 м.
На юге виден резкий наклон крыльев складки, а на
севере крылья имеют более пологий наклон. Карта по подошве отражения горизонта
Т в основном сопоставима с картой по кровле отражения горизонта Т.
Размер: длина 8100 м, ширина 7500 м.
Сопоставив структурные карты по горизонту Oи
горизонту T, сделаем следующие
вывод, что в целом структура, образованная горизонтом Т повторяет структуру по
горизонту О. Обе структуры имеют примерно одинаковые координаты свода, а так же
одинаковое поведение крыльев на юге и севере площади. Амплитуда и углы наклона
на крыльях с глубиной практически не изменяются.
Осадочная толща имеет антиклинальное строение,
предположительно унаследованная от структуры фундамента. По стратиграфической
колонке видно, над нижним горизонтом залегает слой глин, а сам горизонт состоит
из песчаника. Таким образом образуется хорошая ловушка, состоящая из коллектора
и флюидоупора. Так как выявлена структура перспективная на нефть и газ, то для
ее уточнения требуется проведение детализационных работ сейсморазведкой 3D.
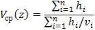
Расчет оптимальной системы наблюдений для прослеживания горизонтов. Расчет
параметров, необходимых для проектирования съемки 3D. Нахождение средних
скоростей. Для нахождения средних скоростей воспользуемся формулой

Рис.
Нахождение
Для нахождения
пользуемся
формулой
глубина залегания целевого
горизонта.
Желаемая разрешающая способность по вертикали
Желаемая вертикальная разреженность равна
примерно 20 метрам, так как согласно априорной информации минимальная мощность
пропластов Туронского горизонта составляет 15-20 метров.
Желаемая разрешающая способность по горизонтали
На практике горизонтальная разрешающая
способность выбирается согласно формуле
,
причем максимальный угол падения обычно
выбирается не меньше 40
градусов.
Желаемая доминирующая частота
Базовые параметры для проектирования съемки 3D
Таблица с данными для проектирования съемки 3D
|
Параметры
геологической модели
|
Целевые
горизонты
|
|
Горизонт
О
|
Горизонт
Т кровля
|
Горизонт
Т подошва
|
|
Мин
|
Средн
|
Макс
|
Мин
|
Средн
|
Макс
|
Мин
|
Средн
|
Макс
|
|
Стратиграфическая
приуроченность
|
Олигоценские
отложения, Палеоген (Р)
|
кровляТуронских
отложений, поздний Мел (K)
|
подошваТуронских
отложений поздний Мел (K)
|
|
Глубина
залегания, м
|
770
|
891
|
1013
|
1217
|
1357
|
1498
|
1270
|
1402
|
1534
|
|
Средняя
скорость, м/с
|
2400
|
2700
|
3300
|
3300
|
3500
|
3800
|
3300
|
3500
|
3800
|
|
Пластовая
скорость, м/с
|
2400
|
2550
|
2700
|
3300
|
3550
|
3800
|
3300
|
3550
|
3800
|
|
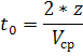
t0,
с
|
0,64
|
0,66
|
0,61
|
0,74
|
0,78
|
0,77
|
0,8
|
0,81
|
|
Угол
наклона, Гр
|
0
|
15
|
60
|
0
|
15
|
70
|
0
|
15
|
70
|
|
Доминирующая
частота, Гц
|
30
|
30
|
31
|
31
|
32
|
33
|
32
|
32
|
33
|
|
Размеры
объекта по латерали, м
|
|
|
|
|
С/Ш
на полевых сейсмограммах
|
0.8-0.9
|
0.8-0.9
|
0.8-0.9
|
|
Желаемая
вертикальная разрешенность, м
|
15
|
15
|
15
|
|
Желаемая
доминирующая частота, Гц
|
30
|
45
|
62
|
30
|
45
|
66
|
30
|
45
|
66
|
|
Желаемая
горизонтальная разрешенность, м
|
100
|
100
|
100
|
4.Контур полной кратности
Контур полной кратности шире, чем границы для
геологического изучения на величину апертуры миграции.Величина апертуры
миграции находится в промежутке между значениями радиуса 1 - й зоны Френеля и
глубины горизонта.
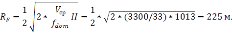
<Апертура
миграции
H,
Где RF
- радиус первой зоны Френеля,
- доминантная длина волны.
225
<500
м
1013м.
Апертура миграции = 500 м.
Максимальное удаление
Величина максимального удаления находится из
соотношения:
,8H
≤
Xmax≤ 1,5H,
,8 * 770 ≤ Xmax
≤
1,5 * 1534,
Для изучения более глубоких горизонтов следует
задаться большими максимальными удалениями. Отсюдавыбирается Xmax=2000м.По
данному параметру определяем количество линий приема и их максимальное удаление
от пункта взрыва. Максимальное значение минимальных удалений
Этот параметр характеризует диагональ ячейки
съемки.
Выбор размера бина
Методология по определению размеров бина
основывается на выполнении следующих трех условий:
Максимальная неаляйсинговая
частота:
Разрешенность по латерали:
, получаем 25
50
, то есть
Размер бина выбираем равным 12,5 м, который
будет соответствовать всем вышеуказанным критериям подбора.
Контур съемки (Зона набора кратности)
Шаг между линиями приема и взрыва
Шаг между линиями приема и взрыва определяется
исходя из значений MaxXmin. В нашем случае (предполагаем, что ∆ЛПВ
=∆ЛПП ).Возьмем минимальное значение MaxXmin≅770
м и получим ∆ЛПВ=500 м.
Принимая во внимание вышеописанное, зададимся
контуром съемки 9,7 x 11,2
километров.
5.Анализ спроектированной системы
наблюдений
Параметры системы наблюдения
Xmax=2000
м.
NЛПП=12
NПП=120
- активные каналы в одной линии БН.
NПВ=10
- количество источников в БН
Рис. 8.Расположение ПП и ПВ спроектированной
съемки
Анализ зоны набора кратности
Рис. 9. Скатерограмма кратности.
Спроектированная система наблюдений достигает
кратности 36 Анализируя скатерограмму полной кратности, приходим к выводу, что
зона набора кратности не распространяется на целевую зону геологического
изучения.
Анализ эффективной кратности для целевых
горизонтов
Рис. 10.Скатерограмма эффективной кратности по
подсеткебинов, удаления до 1000 метров
Стоит заметить, что хотя кратность для этих
удалений снизилась до 4, она распределена достаточно равномерно, что
свидетельствует об эффективности спроектированной системы наблюдения на данном
диапазоне удалений.
Распределение кратности по азимутам
Рис.
Спроектированная система наблюдений богата
средними удалениями и бедна близкими удалениями.
Распределение трасс по удалениям
Рис.
В целом данное распределение можно считать
достаточно равномерным. Распределение трасс по азимутам
Рис.
Гистограмма также характеризуется достаточно
равномерным распределением трасс от азимутов.
Литература
1.Белоусов
А. В. «Презентация к лекциям. Расчёт параметров систем наблюдений 3Д».
.Урупов
А.К. «3Dсейсморазведка - целевое назначение и системы наблюдений», Москва 2003
год.
1.