Технико-экономическое обоснование проекта субъекта малого предпринимательства, претендующего на получение финансовой помощи

  • Вид работы:
    Курсовая работа (т)
  • Предмет:
    Менеджмент
  • Язык:
    Русский
    ,
    Формат файла:
    MS Word
    83,59 Кб
  • Опубликовано:
    2013-10-25
Вы можете узнать стоимость помощи в написании студенческой работы.
Помощь в написании работы, которую точно примут!

Технико-экономическое обоснование проекта субъекта малого предпринимательства, претендующего на получение финансовой помощи















Технико-экономическое обоснование проекта субъекта малого предпринимательства, претендующего на получение финансовой помощи

РЕЗЮМЕ ПРОЕКТА

финансирование субсидия маркетинг риск

Наименование общество с ограниченной ответственностью «Юридическое Агентство «СОДЕЙСТВИЕ».

Цель проектирования получение субсидии ДТиЗН г.Москвы на открытие собственного дела в размере 312 000 рублей.

Вид деятельности оказание всех видов юридической помощи физическим и юридическим лицам, за исключением защиты в уголовном судопроизводстве.

Спрос имеет тенденцию роста.

Рынок сбыта город Москва, преимущественно южный административный округ.

Основные заказчики физические лица с небольшим уровнем дохода;

небольшие компании с ограниченным бюджетом, не имеющие штатного юриста.

Конкуренция у предприятия имеются как преимущества, так и недостатки по сравнению с конкурентами; оно способно занять свою нишу на рынке юридических услуг г.Москвы.

Продвижение рекламирование компании посредством размещения объявлений на специальных стендах, расположенных на подъездах домов, а также на «Маршрут-ТВ» в маршрутных такси в районе расположения офиса агентства; раздача рекламных листовок у близлежащих станций метрополитена; размещение рекламных объявлений в местных районных газетах.

Объемы инвестированияВсего - 330 510,04р.

В том числе: субсидия - 312 000,00р.

собственные средства - 18 510,04р.

Раздел 1.          ЮРИДИЧЕСКОЕ ОБЕСПЕЧЕНИЕ ДЕЯТЕЛЬНОСТИ ПРЕДПРИЯТИЯ

Форма собственностичастная.

Организационно-правовая формаобщество с ограниченной ответственностью.

Обязанности главного бухгалтеравозлагаются на генерального директора.

Уставный капитал10 000 рублей.

УчредительСычикова Ольга Александровна.

Доля в уставном капитале100%.

Осуществление регистрации Самостоятельно.

Код вида экономической деятельности 74.11 - Деятельность в области права.

Лицензии и специальные разрешения для осуществления данного вида деятельности не требуются.

Выбор системы налогообложения

Действующее законодательство позволяет определенным категориям юридических лиц добровольно перейти на уплату единого налога, применяя упрощенную систему налогообложения (далее - УСН). При этом организация может выбрать один из двух объектов налогообложения: «доходы» со ставкой 6% и «доходы, уменьшенные на величину расходов» со ставкой 15%.

Применение УСН имеет ряд преимуществ по сравнению с применением общей системы налогообложения. К достоинствам УСН можно отнести, во-первых, значительную экономию на налогах, поскольку организация платит только один налог (единый) вместо нескольких (НДС, налог на прибыль, на имущество организаций); во-вторых, заполнение и сдачу в налоговую инспекцию только одной декларации по единому налогу; в-третьих, право не вести бухучет (за исключением основных средств и нематериальных активов).

Предполагаемые обороты создаваемого юридического агентства в течение первых трех лет не превысят установленного законом максимума для применения УСН. Кроме того, выбранный вид деятельности не препятствует применению данной системы налогообложения; филиалы и представительства, которых не может иметь организация, применяющая УСН, также создавать не планируется. Следовательно, нет препятствий для применения в создаваемой организации упрощенной системы налогообложения.

Единственным минусом выбора данной системы налогообложения может быть то, что клиентам, которые являются плательщиками НДС, будет не выгодно работать с компанией, применяющей УСН, а, следовательно, освобожденной от уплаты этого налога. Но, ввиду того что основными клиентами нашей организации предполагаются физические лица, которые не являются плательщиками НДС, и небольшие компании, которые, как правило, имеют не большие обороты и маленький штат, и также применяют УСН, данный «минус» рассматриваемой системы налогообложения не будет являться для нас существенным.

Что же касается выбора объекта налогообложения, то мы выбираем для создаваемой компании объект «доходы, уменьшенные на величину расходов» со ставкой 15% по следующим причинам. Во-первых, все предполагаемые расходы нашей организации в соответствии с законом могут быть признаны расходами в целях их учета и уменьшения на их величину доходов компании. Во-вторых, по сделанным прогнозам, первые два-три года работы расходы компании будут составлять более 60% от ее доходов, а при такой ситуации уплата налога в размере 15% от суммы доходов, уменьшенной на величину расходов, выгоднее для компании, чем уплата налога в размере 6% от выручки.

Таким образом, для применения в создаваемой компании избрана упрощенная система налогообложения с объектом налогообложения «доходы, уменьшенные на величину расходов», поскольку это позволит законно уменьшить налоговую нагрузку на компанию, а также сэкономить денежные средства в первые годы работы компании, отказавшись от услуг бухгалтера и ведя нетрудозатратный учет доходов и расходов своими силами.

Раздел 2.          ОПИСАНИЕ УСЛУГ

.1 Миссия предприятия

Миссией создаваемого предприятия является оказание на возмездной основе всех видов юридической помощи, за исключением защиты в уголовном судопроизводстве. В первую очередь это помощь в области осуществления и защиты прав и законных интересов в сфере применения гражданского законодательства.

В условиях современного развития законодательства в Российской Федерации, провозгласившего приоритет права частной собственности и предоставившего гражданам России большое количество различных прав и свобод, а также способов их защиты и восстановления; позволившего развиваться частному предпринимательству и поддерживающего это развитие, наши сограждане часто даже не догадываются об имеющихся у них возможностях, а если и догадываются, то не знают, где уточнить эту информацию, с кем посоветоваться. Многие в своей повседневной жизни сталкиваются с проблемой, когда, даже зная о наличии у них гарантированных государством прав, они не знают, каким образом эти права реализовать, как воспользоваться теми или иными возможностями, теряются в большом количестве государственных и муниципальных органов и организаций, в которые им необходимо обратиться, и с ужасом взирают на списки документов, которые им необходимо собрать, и бланки, которые необходимо заполнить. Часто люди сталкиваются с ситуациями, когда их законные права и интересы грубо нарушаются другими людьми или организациями, и не знают, как защитить себя и свое имущество, восстановить свои нарушенные права.

В таких случаях человеку бывает просто необходима помощь кого-то, кто хорошо знает российское законодательство, разбирается в тонкостях его применения, знает имеющуюся практику судебных и иных органов, имеет большой опыт в осуществлении тех или иных действий, позволяющих реализовать или защитить свои права; того, кто выслушает, разберется в проблеме, подскажет, как правильно поступить, куда и как обратиться, а при необходимости выполнит все необходимые действия сам, избавив, тем самым, человека от необходимости тратить время, силы и нервные клетки на решение его проблемы.

К счастью, в настоящее время существует и успешно работает большое количество различных юридических консультаций, консалтинговых и агентских организаций, адвокатских кабинетов и тому подобных организаций, оказывающих юридические услуги на платной основе и помогающих людям решать свои проблемы. Однако цены на их услуги, как правило, достаточно высоки, и простая устная консультация в подобных фирмах города Москвы стоит не менее 700 рублей. Эта сумма для большинства людей, чей месячный доход согласно статистическим данным колеблется в районе отметки в 20 000 рублей, является существенной, и многие, по их собственному признанию, откладывают поход на консультацию к юристу «до лучших времен». Это приводит к тому, что человек часто обращается за помощью тогда, когда драгоценное время упущено, а ситуация запущена на столько, что, порой, даже самые опытные юристы не в силах помочь ее исправить.

Понимая это, а также то, что конкуренция на рынке предоставления юридических услуг в городе Москве чрезвычайно высока, я планирую предоставлять первичные устные консультации бесплатно, что с одной стороны сделает доступным обращение за первичной юридической помощью для той категории людей, которые сейчас не готовы платить за разговор об их проблеме с юристом, о квалификации которого они до первого разговора с ним не имеют представления, а потому обходят многочисленные юридические консультации стороной; а с другой стороны выделит создаваемое мной предприятие из числа прочих и сделает его с первых же дней его существования достаточно конкурентоспособным.

В моем агентстве первичные консультации по всем правовым вопросам будут бесплатными для всех обратившихся, а работа по оказанию правовой помощи и выполнению различных действий по поручениям клиентов будет оплачиваться ими по расценкам агентства, которые будут установлены на уровне минимальных рыночных цен на подобные услуги в городе Москве. При этом мои клиенты смогут выбрать наиболее выгодный и удобный для них вариант сотрудничества. Например, если человеку необходимо урегулировать свою жизненную ситуацию в судебном порядке, то он сможет выбрать:

либо заказать у меня полное сопровождение дела в суде и оплатить его сразу в единой сумме (например - 20000 рублей);

либо заказывать только написание процессуальных документов по мере возникновения необходимости в них, оплачивая каждый документ отдельно (например - исковое заявление - 2000 рублей, дополнительные ходатайства и заявления, если они понадобятся, - 500-1000 рублей);

либо также по мере возникновения необходимости заказывать и оплачивать отдельные услуги (например: сначала исковое заявление - 2000 рублей, через месяц представление интересов в суде - 5000 рублей, еще через месяц представление интересов в следующем судебном заседании - 5000 рублей).

Это позволит людям с любым достатком воспользоваться помощью профессиональных юристов.

Таким образом, создаваемое мной предприятие относится к числу приоритетных для города Москвы по виду деятельности (оказание услуг населению) и может существенно улучшить качество жизни малообеспеченных жителей города, поскольку в моем агентстве они смогут получить бесплатную юридическую консультацию, а также качественную юридическую помощь по доступным ценам. Кроме того, политикой моего предприятия станут внимательное отношение к проблемам клиента, индивидуальный подход к его возможностям и потребностям, ответственное отношение к взятым на себя обязательствам и максимально качественное оказание юридических услуг.

Кредо моего агентства: качество, надежность, индивидуальный подход.

.2 Примерный перечень услуг

 

Услуги для физических лиц

·        юридическая консультация (устная, письменная в виде заключения);

·        получение сведений из Единого государственного реестра прав, БТИ, ЗАГС, архивов и т.п.;

·        представление интересов граждан в судах (в т.ч. военных) всех инстанций, включая Верховный суд РФ, Конституционный суд РФ, Европейский суд по правам человека, по гражданским делам всех категорий, по делам об административных правонарушениях;

·        представление интересов граждан в любых государственных организациях, учреждениях;

·        составление исковых заявлений (заявлений), жалоб, претензий, договоров, иных документов;

·        сопровождение сделок с недвижимым имуществом (составление договоров купли-продажи, дарения, ренты, пожизненного содержания с иждивением, акта приема передачи недвижимого имущества, сбор и правовой анализ необходимых для сделки документов, регистрация договоров и права собственности на недвижимое имущество в Росреестре);

·        приватизация жилых помещений, в т.ч. признание права собственности на жилое помещение в порядке приватизации через суд;

·        оформление наследства у нотариуса, вступление в наследство через суд, восстановление сроков для принятия наследства;

·        представление интересов граждан при разводах (с разделом и без раздела имущества), взыскание алиментов, лишение родительских прав, ограничение в родительских правах, представление интересов граждан в органах опеки и попечительства;

·        взыскание долгов с физических и юридических лиц (подготовка претензии, представление интересов граждан на переговорах, подготовка искового заявления, представление интересов граждан в суде);

·        взыскание компенсации в возмещение материального ущерба, морального вреда;

·        защита нарушенных прав военнослужащих, проходящих военную службу по контракту и граждан, уволенных с военной службы (взыскание денежного довольствия, иных дополнительных выплат, получение удостоверения «Ветеран боевых действий», жилищное обеспечение, обеспечение другими положенными видами довольствия, восстановление на военной службе);

·        защита нарушенных прав граждан, подлежащих призыву на военную службу (военные сборы) (консультация и представление интересов граждан в различных органах и суде по вопросам освобождения от призыва, предоставления отсрочки от призыва, оспаривания решений призывных комиссий в вышестоящую призывную комиссию или в суд, освобождения от военных сборов и др. вопросы, связанные с прохождением военной службы по призыву);

·        представление интересов граждан в исполнительном производстве (подготовка и подача заявления о возбуждении исполнительного производства, работа с судебным приставом-исполнителем, обжалование действий (бездействия) судебного пристава-исполнителя);

·        консультирование граждан по вопросам трудового законодательства, представление их интересов в комиссиях по трудовым спорам, трудовых инспекциях, в судах (взыскание заработной платы, восстановление на работе после незаконного увольнения, взыскание компенсации за вынужденные прогулы);

·        регистрация граждан в качестве индивидуальных предпринимателей.

Услуги для юридических лиц

·        юридическая консультация (устная, письменная в виде заключения);

·        регистрация юридических лиц (подготовка документов для регистрации, подача и получение документов в регистрирующем органе, сопровождение открытия расчетного счета организации в банке, получение информационного письма Росстата, постановка организации на учет во внебюджетных фондах, внесение организации в Реестр малых предприятий);

·        разработка кадровой документации и локальных нормативных актов организации;

·        разработка и правовая экспертиза договоров, иных документов, сопровождающих деятельность организации;

·        работа с дебиторской задолженностью (досудебная работа с дебиторами, взыскание долгов в суде, сопровождение исполнительного производства);

·        получение сведений из Единого государственного реестра юридических лиц (индивидуальных предпринимателей), копий уставов и учредительных договоров организаций в налоговых инспекциях;

·        представление интересов организаций в арбитражных судах и судах общей юрисдикции всех инстанций;

·        представление интересов организаций в любых государственных организациях, учреждениях.

Раздел 3.          ВНЕШНЯЯ СРЕДА ПРЕДПРИЯТИЯ

.1 Сегментация потребителей. Выбор целевого сегмента

Сегментацию потребителей на рынке юридических услуг можно провести по их потребностям и возможностям. В первую очередь всех потребителей можно разделить на две основные группы:

физические лица;

юридические лица.

В свою очередь группу физических лиц можно разделить на следующие сегменты:

физические лица, которых интересует юридическая помощь в, так называемых, житейских делах (наследственные, жилищные дела, споры между супругами о детях и разделе имущества, регистрация прав на имущество, трудовые споры и т.п.);

физические лица, желающие заняться предпринимательской деятельностью, и нуждающиеся в помощи при регистрации юридического лица.

Группа юридических лиц также делится на сегменты:

небольшие организации, не имеющие возможности и необходимости нанимать штатного юриста, которым иногда нужна разовая правовая помощь;

крупные компании, которые имеют в штате юриста, который занят текущей работой, а для разовых нестандартных ситуаций (сделок, переговоров, консультаций) нанимают специалистов из юридических компаний.

Все эти группы дополнительно можно разделить также на сегменты по величине бюджета, который они готовы выделить для оплаты юридических услуг.

Выходя на рынок юридических услуг, я выбрала в качестве целевой аудитории своего юридического агентства физических лиц с небольшим достатком, испытывающих потребность в юридической помощи, но не имеющих возможности оплатить дорогостоящие услуги крупных юридических фирм и адвокатов, а также небольшие компании, которые обращаются к юристам за разовыми услугами и выделяют на эти цели небольшой бюджет. Этот сегмент потребителей самый объемный, поэтому, несмотря на невысокие цены, которые я планирую применять, я рассчитываю на хорошую прибыль за счет большого числа клиентов.

.2 Описание и анализ потенциальных конкурентов. Конкурентный анализ

Конкуренция на рынке юридических услуг города Москвы очень высока. В одном только южном административном округе города на каждый микрорайон приходится 3-4 компании, предоставляющие юридические услуги. Все они имеют свои преимущества и недостатки.

Рассмотрим несколько потенциальных конкурентов, существующих на протяжении 3-х лет и работающих в районе станций метро Орехово и Домодедовская.

1) МГКА «АДВОКАТ ХХI ВЕК», 115551, г. Москва, Ореховый бульвар, дом 7 корп. 1.

Достоинства: компания предлагает широкий спектр юридических услуг, существует уже несколько лет, осуществила широкую рекламу в сети Интернет, сотрудники имеют статус адвокатов, что позволяет использовать возможности адвокатского запроса и оказывать услуги по представлению интересов в уголовном процессе.

Недостатки: очень высокие цены на услуги, расчет на разовые заказы на большую сумму (компания не заинтересована в клиентах, которые не могут заплатить много и сразу).

) Городская правовая компания Москва

Каширское шоссе, д. 61, стр. 3, Автомобильный ТЦ "Москва", этаж 6, офис 6А-05

Достоинства: компания несколько лет работает на рынке, рекламируется в сети Интернет, предоставляет наряду с юридическими и бухгалтерские услуги.

Недостатки: компания работает только с юридическими лицами, цены на уровне среднерыночных.

) Компания «Кайзен Консалтинг» (ЗАО)

, Россия, г. Москва, Борисовский проезд, 38

Достоинства: компания существует несколько лет, имеет сайт в сети Интернет, предоставляет услуги по налоговому консультированию и помощь в налоговых спорах, использует проведение акций для привлечения клиентов.

Недостатки: узкая направленность услуг для физических лиц, цены на уровне среднерыночных.

) Аутсорсинговая компания ООО "КонсалтПлюс"

Бухгалтерские и юридические услуги, г.Москва, ул.Борисовские пруды, д. 16 кор. 3

Достоинства: компания работает несколько лет, имеет сайт в сети Интернет, имеет постоянных клиентов, предоставляет широкий спектр бухгалтерских услуг.

Недостатки: компания работает только с юридическими лицами и предоставляет узкий спектр юридических услуг.

В создаваемом юридическом агентстве я планирую предоставление широкого спектра юридических услуг как юридическим, так и физическим лицам, при этом уровень цен, которые будут предложены потребителям, будет соответствовать нижней границе рыночных цен. Кроме того, я планирую предлагать своим клиентам возможность расплачиваться небольшими суммами по итогам каждого этапа выполнения поручения. Учитывая, что временные промежутки между такими этапами часто составляют месяц и больше, потенциальному клиенту будет удобно и не накладно расплачиваться с юристом, при этом получая квалифицированную помощь.

Таким образом, я рассчитываю, что создаваемая мной организация займет свою нишу на рынке юридических услуг и привлечет, прежде всего, внимание малообеспеченных граждан и малобюджетных компаний, которые нуждаются в правовой помощи, но часто бывают ее лишены в силу того, что основная часть существующих юридических компаний не заинтересованы в привлечении таких клиентов и не предлагают им хороших условий и доступных цен.

Раздел 4.          ПЛАН ПО МАРКЕТИНГУ И СБЫТУ УСЛУГ

.1 Оценка востребованности предлагаемых услуг

В настоящее время интерес населения к юридическим услугам значительно возрос и продолжает увеличиваться. Такой вывод можно сделать, наблюдая значительное количество различного рода организаций, предоставляющих подобные услуги, которое продолжает стабильно расти. В частности, это характерно для рынка юридических услуг в городе Москве, который, по различным публикуемым данным, составляет более 1200 участников - юридических лиц, не говоря уже о частнопрактикующих юристах, количество которых невозможно подсчитать, поскольку многие из них ведут свою деятельность без ее регистрации в государственных органах.

Также об имеющемся интересе к услугам юристов говорит большое количество различных передач на телевидении, которые своей целью ставят обсуждение жизненных ситуаций и возможных правовых способов их разрешения. Существование таких телевизионных передач говорит с одной стороны о значительном количестве обращений на телевидение граждан, столкнувшихся с ситуациями, с которыми они не могут справиться самостоятельно по причине правовой неграмотности и неумения решать подобные проблемы правовыми способами, а с другой стороны о большом интересе к этой тематике в обществе, поскольку трудно представить, что телеканалы будут запускать телевизионные проекты, не изучив предварительно перспективу спроса на них среди зрителей и возможный интерес к конкретному формату телепередачи.

Помимо перечисленного, о спросе на юридические услуги говорит развитие предпринимательской деятельности граждан. В значительной степени этому способствует государственное стимулирование интереса населения к предпринимательству, обращенные к гражданам призывы попробовать свои силы в бизнесе, звучащие с телеэкранов из уст, в том числе, первых лиц государства, активное информирование населения о мерах государственной поддержки малого предпринимательства и лиц, решивших обеспечить самозанятость путем создания собственного дела. Развитие интереса к предпринимательской деятельности влечет за собой рост обращений в юридические компании за консультациями, услугами по регистрации собственного дела, по разработке документов, необходимых в хозяйственной деятельности организации или индивидуального предпринимателя.

В конечном итоге, осознавая, что в настоящее время все сферы жизнедеятельности человека в той или иной мере регулируются законом, с большой долей уверенности можно сделать вывод о том, что каждый человек на протяжении своей жизни не раз испытывает потребность в правовых знаниях и опыте профессионального юриста. Это означает, что число потенциальных клиентов на рынке юридических услуг в любом регионе примерно соответствует населению данного региона.

.2 Текущая ситуация на рынке

В ответ на все возрастающий спрос на юридические услуги растет и количество предложений таких услуг. В настоящий момент конкуренция на рынке юридических услуг, особенно в городе Москве, чрезвычайно велика. Спектр предлагаемых услуг также широк и отвечает интересам клиентов. Сегодня можно нанять юридическую фирму или специалиста для выполнения практически любых действий. Однако, при большом количестве предложений, качество оказываемых услуг не всегда высоко.

Существенной проблемой является то, что сама по себе услуга как вид продукции - неосязаема, бестелесна, и ее качество, как правило, определяется соответствием ее результата ожиданиям заказчика. Однако, с юридическими услугами ситуация обстоит сложнее, поскольку их результат далеко не всегда может быть предсказуем в силу объективных причин. С другой стороны, качество юридической услуги напрямую зависит от профессионализма, полноты, своевременности и продуманности действий ее исполнителя, оценить которые заказчику услуги, не обладающему необходимыми знаниями, не представляется возможным.

Такая особенность юридической услуги дает возможность участникам рынка предлагать услуги, не имея достаточного опыта и не заботясь о качестве своей работы, что делает данный вид предпринимательской деятельности особенно привлекательным для лиц, стремящихся обогатиться за счет доверчивых граждан, не прилагая больших усилий. В этом состоит причина того, что в настоящее время при большом количестве организаций и отдельных юристов, готовых взяться за выполнение любых заказов клиентов, потребности потребителей таких услуг не удовлетворены в достаточной степени по причине несоответствия качества оказания услуг интересам заказчиков.

Думается, что в дальнейшем такая ситуация на рассматриваемом рынке существенно не измениться, поскольку нынешнему положению вещей способствуют непрекращающаяся потребность населения в юридической помощи в силу существенного регулирования законодательством всех сфер жизни человека, а также низкий уровень правовой грамотности населения.

Создавая свое юридическое агентство, я стремлюсь предложить людям качественные юридические услуги, реальную правовую помощь за доступную плату и на приемлемых условиях.

.3 Факторы, влияющие на рынок

Основными факторами, влияющими на рынок юридических услуг, являются политика и экономика государства, выражающиеся в его законотворчестве. Постоянные изменения в законодательстве, внесение поправок в существующие законы и издание новых, изменение моделей регулирования хозяйственных отношений отражаются на жизни людей и их предпринимательской деятельности в целом и на их юридическом обеспечении в частности.

Помимо того, что законодательство само по себе чрезвычайно объемно, сложно в понимании и применении и требует специальной подготовки и многолетнего опыта работы, оно никогда не работает идеально, как часовой механизм, на всех уровнях его применения. Причиной этому является так называемый человеческий фактор. С одной стороны, законы не проработаны с такой степенью чистоты и четкости, которые обеспечили бы защиту интересов всех людей во всех ситуациях и не оставили бы ни одного «пробела», ни одного не урегулированного вопроса. Это позволяет многим предприимчивым и не всегда добропорядочным гражданам пользоваться «лазейками» и «белыми пятнами» в законодательстве в своих интересах. С другой стороны, даже при имеющихся четких (или не очень) указаниях закона в отношении какого-либо вопроса всегда находятся не достаточно законопослушные члены общества, с легкостью поддающиеся искушению не выполнить требование закона опять же в своих интересах.

.4 Тенденции развития рынка

Учитывая постоянную потребность населения в правовой помощи, очевидные тенденции роста обращений за такой помощью, несмотря на подчас явно завышенные цены, можно уверенно предположить, что рынок юридических услуг в ближайшее время будет устойчиво расти.

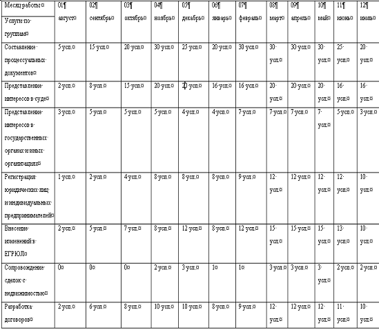
4.5 План реализации (оказания услуг) на первый год работы предприятия (в количественных показателях, единица измерения - услуга (усл.))


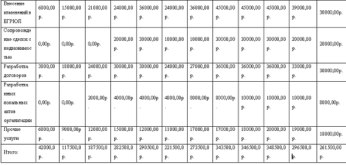
4.6 Прогноз продаж (оказания услуг) на первый год работы предприятия (единица измерения - рубль)


4.7 Ценообразование

.7.1 Диапазон цен на ключевые виды юридических услуг

Вид услуги

Мин. цена, руб.

Средняя цена, руб.

Макс. цена, руб.

Мой выбор цены, руб.

Устная консультация

от 700,00

от 1000,00

0

Письменная консультация

от 1500,00

от 2000,00

от 3000,00

от 1500,00

Подготовка иска

от 2000,00

от 3000,00

от 5000,00

от 2000,00

Участие в судебном заседании

от 5000,00

от 10000,00

от 15000,00

от 5000,00

Регистрация юридического лица

от 4000,00

от 5000,00

от 7000,00

от 4000,00

Внесение организации в реестр малых предприятий

от 2500,00

от 5000,00

от 1000,00

от 2000,00

Разработка договора

от 3000,00

от 5000,00

от 8000,00

от 3000,00

Ведение дела в суде

от 20000,00

от 40000,00

от 60000,00

от 20000,00

Сопровождение исполнительного производства

от 15000,00

от 20000,00

от 30000,00

от 15000,00


4.7.2 Определение себестоимости услуг

Ежемесячные расходы на работу агентства (средн.):

- аренда помещения - 25000,00р.

телефон - 1000,00 р.

интернет - 2700,00р.

проездной на 4 вида транспорта - 2380,00р.

картридж-тонер для МФУ - 1900,00р.

канцтовары (бумага и проч.) - 500,00р.

ведение счета в банке - 350,00р.

заработная плата/страховые взносы (34,2%):

ген.директор (выполняющий функции юриста) - 30000,00р./10260,00р.

старший юрист - 25000,00р./8550,00р.

помощник юриста - 22000,00р./7524,00р.

итого - 77000,00р./26334,00р.

вложения в рекламу - 10000,00р.

Итого: 187164,00р. в месяц.

Себестоимость работы агентства в день - 6238,80р. (187164,00р./30дней)

Себестоимость работы агентства в час - 259,95р. (6238,80р./24 часа)

Себестоимость работы одного сотрудника в час - 86,65р. (259,95р./3)

Ежемесячные расходы на работу агентства

Вид услуги

Затраты рабочего времени одного юриста, час.

Себестоимость, руб.

Наценка, руб.

Стоимость, руб.

Устная консультация

0,3

26,00

0

Письменная консультация

1,5

130,00

1370,00

1500,00

Подготовка иска

3

260,00

1740,00

2000,00

Участие в судебном заседании

4

347,00

4653,00

5000,00

Регистрация юридического лица

10

867,00

3133,00

4000,00

Внесение организации в реестр малых предприятий

5

433,00

1567,00

2000,00

Разработка договора

5

433,00

2567,00

3000,00


.7.3 Изменение цен в перспективе

В течение первого года работы изменение цен на услуги не планируется. Со второго года работы цены будут ежегодно пересматриваться в сторону увеличения с учетом официального уровня инфляции в стране.

Раздел 5.          ОРГАНИЗАЦИОННЫЙ ПЛАН

.1 Описание организационно-правовой формы и кадровой структуры предприятия

Наше юридическое агентство будет создано в форме общества с ограниченной ответственностью со всеми правами и обязанностями, предусмотренными действующим законодательством.

В организации в первый год работы планируется следующая организационная структура:






5.2 Штатное расписание

Структурное под-е

Должность (специальность, профессия), разряд, класс (категория) квалификации

Кол-во штатных единиц

Тарифная ставка (оклад) и пр., руб

Надбавки, руб

Всего, руб (гр.5 + гр.6 + гр.7 + гр.8)

Прим

наименова

код









1

2

3

4

5

6

7

8

9

10

---

---

Генеральный директор

1

30000,00

---

---

---

30000,00


---

---

Старший юрист

1

25000,00

---

---

25000,00


---

---

Помощник юриста

1

22000,00

---

---

---

22000,00




Итого

3

77000,00

---

---

---

77000,00



5.3 Описание квалификации трудовых ресурсов

Сведения об учредителе предприятия

ФИО Сычикова Ольга Александровна

Дата рождения16 января 1982г.

Паспорт серия 4509 № 178780 выдан 24.07.2007г.

Отделением по району Орехово-Борисово Северное

ОУФМС России по гор. Москве в ЮАО

Адрес115569, г. Москва, ул. Шипиловская, д. 10, кв.35

Образование высшее юридическое, 2004 год окончания

Опыт работы общий стаж работы 8 лет, стаж работы по юридической

специальности - 6 лет;

Имею опыт работы секретарем в Департаменте консульской службы Министерства иностранных дел РФ, секретарем судебного заседания в суде общей юрисдикции, помощником юриста в юридической компании, юристом в компании, управляющей крупными объектами коммерческой недвижимости, юристом в компании-поставщике строительных материалов, инспектором по кадрам в бюджетной организации. Занималась договорной работой, разрабатывала проекты договоров аренды, поставки, купли продажи, возмездного оказания услуг и др.; проводила переговоры с контрагентами по заключению договоров, занималась взысканием дебиторской задолженности через суд, ведением исполнительного производства; осуществляла представление в судах интересов физических и юридических лиц; составляла различные процессуальные документы; сопровождала сделки с недвижимостью; занималась созданием кадровой службы с нуля в бюджетной организации со штатом 150 человек, разрабатывала локальные нормативные документы организации, трудовые договоры, дополнительные соглашения к ним.

Постоянно повышаю свою профессиональную квалификацию, изучаю смежные профессиональные области, регулируемые законодательством (бухгалтерию, кадровое дело).

Мой гражданский муж, Сычиков Александр Владимирович, с которым мы вместе задумали создание своего юридического агентства, родился 10.08.1982г., окончил Военный университет Министерства обороны РФ по специальности «юриспруденция», с июля 2004 года работал в должности «помощник командира части по правовой работе», одновременно с этим занимался консультированием граждан в сети Интернет на сайте виртуальной юридической консультации, оказывал правовую помощь физическим лицам, составлял процессуальные документы, представлял интересы в суде, сопровождал сделки по купле продаже имущества. В настоящее время его должность сокращена, и он находится в процессе увольнения с военной службы.

5.4 План приема работников

Я планирую работать в организации в должности генерального директора и полностью осуществлять всю организационную работу в компании. Одновременно с этим я буду консультировать клиентов и выполнять работу по их заказам. Обязанности главного бухгалтера я также возложу на себя. При этом в работе по ведению бухгалтерского и налогового учета и подготовке отчетности мне будет помогать моя мама, Бондаренко Татьяна Афанасьевна, работающий пенсионер, которая много лет работала в должностях бухгалтер, заместитель главного бухгалтера и главный бухгалтер.

Кроме того, в моей компании будет работать мой гражданский муж, Сычиков Александр Владимирович, 1982 г.р., имеющий высшее юридическое образование, стаж работы юристом 7 лет, увольняемый с военной службы по контракту в связи с сокращением его должности - «помощник командира части по правовой работе». Он также как и я будет консультировать клиентов и оказывать юридические услуги. При этом он будет специализироваться в основном на оказании услуг физическим лицам, а я в основном буду специализироваться на работе с юридическими лицами (регистрация, внесение изменений в ЕГРЮЛ, разработка договоров, внутренних документов компании, сопровождение сделок и др.). Первые два месяца Сычиков А.В. будет работать в компании на безвозмездной основе, а начиная с третьего месяца работы компании, он будет принят на должность старшего юриста.

С середины второго месяца работы предприятия я начну поиск сотрудника на должность помощника юриста. Для этого я планирую обратиться в центр занятости населения по месту нахождения офиса моей компании. При этом требованиями к соискателю на должность будут наличие высшего юридического образование, отличное владение персональным компьютером на уровне пользователя и желание развиваться и расти в профессии, овладевать знаниями и навыками. Опыт работы на данную позицию не обязателен. Всему, что нужно знать, я научу сама, лишь бы человек хотел работать. Таким образом, на данную должность мне подойдет любой выпускник ВУЗа, прошедший обучение по юридической специальности.

Начиная с третьего месяца работы, в мое агентство на должность помощника юриста будет принят работник из числа безработных граждан, испытывающих трудности при поиске работы (выпускник ВУЗа не достигший возраста 30 лет).

Таким образом, в первый год работы я планирую трудоустроить помимо самой себя еще двоих граждан, один из которых будет из числа безработных граждан, испытывающих трудности при поиске работы.

Таблица приема работников

№ п/п

Месяц работы предприятия

Должность

Категория работника

Заработная плата, руб.

1

01август

Генеральный директор

Учредитель проекта / Безработный гражданин, испытывающий трудности в поиске работы

30 000,00

2

03 октябрь

Старший юрист

---

25 000,00

3

03 октябрь

Помощник юриста

Безработный гражданин, испытывающий трудности в поиске работы

22 000,00


Раздел 6.          ПРОИЗВОДСТВЕННЫЙ ПЛАН

.1 Структура задач стартового периода

№ п/п

Наименование работ

Сроки выполнения

Ответственное лицо

Стоимость, руб.

1

Регистрация юридического лица, постановка на учет во внебюджетных фондах и т.д.

15 дней (с 01 по 15 июля)

15600,00

2

Изготовление печати


Сычикова О.А.

960,00

3

Открытие расчетного счета в банке


Сычикова О.А.

1200,00

4

Подбор помещения для офиса

15 дней (с 01 по 15 июля)

Сычикова О.А.

25000,00

5

Заключение договора аренды офиса, оформление всех документов

3 дня (с 18 по 20 июля)

Сычикова О.А.

50000,00

6

Покупка компьютеров, оргтехники, мебели, сейфа, канцелярских товаров и т.д.

5 дней (с 18 по 22 июля)

Сычикова О.А.

139616,17

7

Заказ средств индивидуализации

5 дней (с 25 по 29 июля)

Сычикова О.А.

9647,00

8

Заключение договоров на рекламу

5 дней (с 25 по 29 июля)

Сычикова О.А.

84436,87

9

Оплата услуг телефонного оператора и интернет-провайдера

в течение августа

Сычикова О.А.

3700,00

10

Оплата услуг кредитной организации по ведению счета

конец августа

Сычикова О.А.

350,00


6.2 Описание рабочего процесса

Для организации работы юридического агентства я планирую взять в аренду нежилое помещение площадью 25 кв.м. по ставке 12000 рублей за кв.м. в год. Офис будет располагаться в южном административном округе г. Москвы в одном из «спальных» районов.

Похожие работы на - Технико-экономическое обоснование проекта субъекта малого предпринимательства, претендующего на получение финансовой помощи

 

Не нашли материал для своей работы?
Поможем написать уникальную работу
Без плагиата!
Без нейросетей!