Специфика оценки эффективности капиталовложений в условиях международной компании

  • Вид работы:
    Курсовая работа (т)
  • Предмет:
    Менеджмент
  • Язык:
    Русский
    ,
    Формат файла:
    MS Word
    339,5 Кб
  • Опубликовано:
    2014-01-21
Вы можете узнать стоимость помощи в написании студенческой работы.
Помощь в написании работы, которую точно примут!

Специфика оценки эффективности капиталовложений в условиях международной компании

Введение

На современном этапе - этапе развития рыночной экономики одним из наиболее важных элементов организации и развития бизнеса является система управления финансами. Как мы знаем «Деньги делают деньги», поэтому наиболее разумный способ применения, появившейся свободной наличности, это их вложение. Инвестируют чаще всего в физические активы - это строительство новых производств, реконструкция уже действующих; в портфельные ценные бумаги и другие финансовые активы, в изобретения, патенты, лицензии и ноу-хау (know- how), в образование и многое другое лишь бы имелись свободные денежные средства. Однако каждое такое вложение связанно с определенной долей риска и неопределенности конечного результата, особенно это касается инвестиций в иностранные проекты. Каждый такой проект требует особого подхода и тщательного изучения, так как никто не хочет остаться ни с чем в конечном итоге. Поэтому разрабатываются различные инвестиционные стратегии, в которых учитывается рейтинг и инвестиционная привлекательность страны, привлекательность самого проекта, возможные риски и в итоге какой будет доход. Что касается стран, то оценкой их кредитоспособности и благосостояния для ведения бизнеса занимаются специальные рейтинговые агентства такие как Standard & Poor’s (S&P’s) и Moody’s Investors Service (Moody’s), а также Fitch. Также существуют специально разработанные методы оценки самих проектов, которые позволяют определить доходность, рассчитать срок окупаемости проекта и издержки. Однако необходимо учитывать не только выше перечисленные аспекты, не маловажными являются темпы инфляции, риск законодательных изменений, селективный риск и др. Необходимо также понимать с какой целью ты инвестируешь, так как в масштабах компаний вложение денег возможно не только ради получения прибыли, но и для обновления материально-технической базы, наращивания объемов производства, либо для освоения новых видов деятельности. Некоторые проекты в экономическом смысле могут быть убыточны сами по себе, но не смотря на это они будут приносить косвенный доход за счет обретения стабильности в обеспечении сырьем и полуфабрикатами, выхода на новые рынки сырья и сбыта продукции, достижения некоторого социального эффекта, снижения затрат по другим проектам и производствам и др.

Подводя небольшой итог сказанному, отметим, что на сегодняшний день инвестиции являются необходимым факторов развития как отдельного региона, так и страны в целом, они дают возможность развиваться и полноценно функционировать организации. На данный момент развивающиеся страны теперь более интересны для инвесторов, чем развитые государства. Не смотря на то, что Россия считается развивающейся страной, зарубежные инвесторы не спешат вкладывать в неё свои деньги, причина тому плохой инвестиционный климат. Но это не мешает российским компаниям вкладывать свои денежные средства в развитие других стран. Так в 2010 году из России за рубеж поступило 96 222 млн.долл.США, наиболее привлекательными оказались следующие страны: Швейцария - 40 761 млн.долл.США, Австрия - 13 806 млн.долл.США и Нидерланды - 7 759 млн.долл.США. В связи с приведенными данными возникает вопрос, почему именно данные направления выбирают наши инвесторы и как оценивают эффективность своих вложений в зарубежных странах. Поэтому в своей курсовой работе я рассмотрю наиболее часто используемые критерии оценки инвестиционных проектов и есть ли какие-то особенности при оценке зарубежных проектов. Методы по оценке проектов делятся на статистические и динамические, в которых используется ставка дисконтирования. Статистические методы имеют больше историческое значение, но на практике широко используются динамические методы, которые стандартизированные на международном уровне и рассчитываются при помощи специальных компьютерных программ.

1. Динамические методы оценки

Динамические методы основываются на использовании формул со сложными процентами и коэффициентом дисконтирования, которые используют в анализе доходности проекта. Для инвестора любое вложение средств в проект, ценные бумаги или банковские депозиты требует оценки их прибыльности. Однако со временем деньги имеют свойство обесцениваться, поэтому сегодняшние сто рублей через год будут стоить уже больше чем сто. При выборе лучшего проекта необходимо сравнение денежных потоков в одно время, поэтому их необходимо привести к одному времени. К динамическим критериям относят следующие показатели: чистый приведенный эффект, индекс рентабельности инвестиций, внутренняя норма прибыли и дисконтированный срок окупаемости инвестиций.

 

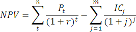
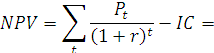
1.1 Метод расчета чистого приведенного эффекта (Net Present Value)


Самая распространенная методика оценки проектов является анализ текущей стоимости. Данный показатель представляет собой разницу между величиной дисконтированного дохода (Present Value,PV) и величиной исходных инвестиций (Initial Capital,IC). Он показывает какую прибыль получит инвестор, после того как его затраты полностью окупятся, так же значение показателя трактуется как величина, на которую увеличится стоимость компании. Так как приток денежных средств от инвестиций распределен во времени, то он дисконтируется на коэффициент (r), который устанавливается непосредственно самим инвестором. Размер ставки определяется исходя из того какой доход хочет получить инвестор на вложенный капитал. Формула расчета чистого приведенного эффекта выглядит следующим образом (1):

- годовой доход (Р1, Р2, Р3… Рn),- сумма исходных инвестиций,- дисконтированная ставка.

Логично предположить, что если: NPV > 0, то проект целесообразно принять, так как в данном случае ценность и благосостояние самого владельца увеличатся;

NPV< 0, то проект принимать не стоит, поскольку компания понесет убыток;

NPV= 0, то данный проект можно принять в рассмотрение, благосостояние фирмы от этого не пострадает. Данный проект не следует отклонять, если основной целью компании не является получение прибыли, поскольку в случае его реализации возрастут объемы производства, что позволит увеличить масштаб компании. Однако не всегда инвестиции носят разовый характер, возможно, что необходимость во вложении средств может возникать неоднократно. В этом случае представленная выше формула немного видоизменяется и принимает следующий вид (2):


где j- прогнозируемый средний уровень инфляции.

Расчет вручную по данным формулам является процессом трудоемким, поэтому для облегчения вычислений, связанных с дисконтированными оценками, созданы специальные финансовые таблицы, в которых уже заданы значения величин. Однако в данной формуле используется постоянная ставка дисконтирования, что затрудняет её использование при изменении коэффициента дисконтирования по годам. Положительной стороной данной формулы заключается в том, что она позволяет суммировать NPV различных проектов, что позволяет применять данный показатель при анализе оптимальности инвестиционного портфеля.

Рассмотрим применение данной формуле на примерах.

Чтобы лучше понять применение метода NPV, попробуем оценить два проекта- Проект А и Проект В со ставкой дисконтирования 14%.

 

Проект А

Проект В

Год, t

Сумма, P

Ставка дисконтирования

NPV,

Сумма

Ставка дисконтирования

NPV

0

-450

1

-450

-450

1

-450

1

70

0,87719

61,404

280

0,87719

245,614

2

90

0,76947

69,252

160

0,76947

123,115

3

160

0,67497

107,995

90

0,67497

60,747

4

280

0,59208

165,782

70

0,59208

41,446









 

NPV

-45,566

 

NPV

20,922


Сравнив эти два проекта, мы видим, что Проект В предпочтительнее, чем Проект А. Во-первых, доход по первому проекту не покрывает вложенные в него инвестиции - он убыточен; выбрав проект В мы получим прибыль в размере 20,922. Во-вторых, есть ещё одно преимущество у второго проекта - в первый и второй год мы получаем сумму, большую, чем по Проекту А. Это важно, так как рубль, полученный сегодня, имеет совершенно другую стоимость, чем тот, которой получен через год.

Данный пример рассматривал ситуацию, при которой ставка дисконтирования оставалась неизменной. Теперь рассмотрим пример, в котором она будет меняться по годам. Проанализируем проект, имеющий следующие характеристики (млн. руб.): -150, 20, 70,80, 45. Рассмотрим следующие случаи:

а) если коэффициент дисконтирования 12%. Воспользуемся формулой (1)


Согласно получившемуся результату по первой формуле проект является приемлемым.

б) если коэффициент дисконтирования меняется следующим образом: 12%, 13%, 14%, 14%. В данном случае воспользуемся прямым подсчетом.

При данном расчете проект неприемлем.

Таким образом, можно сделать вывод, что метод расчета чистого приведенного эффекта основывается на показателе дисконтирования, поэтому важно учитывать будет ли этот показатель постоянным или будет меняться со временем. Также ещё одним недостатком данного метода является то, что значение данного показатель надо рассматривать только в сравнении с другим проект, а не в отдельности. Как уже было сказано, инвестор стремится получить прибыль от своих вложений как можно быстрее, поэтому ему важно располагать информацией о сроках окупаемости проекта, но данный коэффициент не предоставляет такой информации.


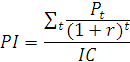
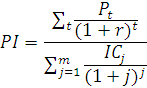
1.2 Метод расчета индекса рентабельности инвестиций (Profitability Index)

инвестиция риск управление

Метод расчета индекса рентабельности инвестиций является следствием предыдущего метода (чистого приведенного эффекта). Данный индекс - это отношение величины дисконтирования дохода (PV) к вложенным инвестициям (IC). Формула индекса рентабельности имеет следующий вид (3):

или (4)


Данный индекс является относительным показателем, который показывает уровень доходов инвестора на единицу затрат. Из этого следует, что чем больше значение этого показателя, тем выше отдача от каждого вложенного рубля, тем выше эффективность вложений. Индекс рентабельность целесообразно использовать, чтобы выбрать один из нескольких проектов значение NPV которых равно нулю, либо для того чтобы сформировать портфель инвестиций для максимизации суммарного значения NPV. Таким образом, если два проекта имеют примерно одинаковые значения NPV, но значения инвестиций разные, то выгоднее тот проект, который обеспечит наибольшую эффективность вложений.

Рассмотрим следующий пример. Нам даны два альтернативным проекта А и В с исходными данными, приведенными в таблице:


Проект

Исходные инвестиции (тыс. руб.), IC

Годовой доход в течение 4х лет (тыс. руб.), Р

NPV из расчета 13% (тыс. руб.)

PI

А

-600000

200000

39142,05

1,065

В

-100000

50000

4475,78

1,045



Если проекты А и В рассматривать изолированно друг от друга, то они оба должны быть одобрены, так как NPV каждого из них больше нуля. Однако если рассматривать оба этих проекта в сравнении, то предпочтительнее будет проект А, поскольку значение индекса рентабельности инвестиций у этого проекта больше, чем у проекта В.

1.3 Метод расчета внутренней нормы прибыли инвестиций (Internal Rate of Return)


Метод расчета внутренней нормы прибыли инвестиций является наиболее сложным показателем для оценки эффективности реальных проектов. Внутренняя норма прибыли инвестиций или как её ещё называют внутренняя доходность, внутренняя окупаемость или предельная капиталоотдача (IRR) характеризует уровень прибыльности проекта, который выражается дисконтной ставкой (r), при которой внутренняя норма доходности (NPV) равна нулю. Другими словами внутренняя норма доходности это ставка дисконтирования, при которой сумма дисконтированных денежных потоков по проекту равна объему вложенных в данный проект инвестиций. Таким образом, для потока платежей CF (Cash Flow), где CFt- платеж через t лет (t= 1, 2,…,n) и начальных инвестиций в размере IC=-CF применяется следующая формула:


Если IRR= r, NPV=0, то


Чтобы более наглядно понять сущность значения IRR, рассмотрим график, используя следующую функцию:




Сразу видно, что данная функция не является линейной, что сразу определяет то, что её значение можно будет подсчитать лишь приблизительно, точное значение подсчитать будет сложно. Так как функция нелинейная, тона не исключает различных комбинаций знаков элементов денежного потока, поэтому функция может иметь не одну, а несколько точек пересечения функции с осью абсцисс. Если r = 0, то правая часть уравнения преобразуется в сумму элементов исходного денежного потока и график y=f(r) пересекает ось ординат в точке равной сумме всех элементов недисконтированного денежного потока, включая величину исходных инвестиций. Взаимосвязь между показателями NPV и IRR будет обратной, т.е. чем больше будет значение внутренней доходности, тем меньше будет показатель чистого дисконтированного дохода и наоборот. Также показатель IRR не обладает свойством аддитивности из-за нелинейности самой функции.

Расчет внутренней нормы прибыли инвестиций показывает ожидаемую доходность проекта, что позволяет инвестору контролировать свои затраты - свой максимальный уровень расходов, которые могут быть связаны с данным проектом. Не всегда проект финансируется лишь за средства самого инвестора, для инвестирования в крупные проекты нередко пользуются банковскими ссудами. Тогда наш значение IRR будет показывать верхнюю границу допустимого уровня банковской процентной ставки, выше которой проект уже будет убыточным.

Не всегда компании обходится только собственными средствами для финансирования собственной деятельности или различных инвестиционных проектов, поэтому она прибегает к помощи различных источников. А в качестве платы за пользование финансовыми ресурсами, авансированными в деятельность организации, она выплачивает проценты, дивиденды и вознаграждения. Показатель, который характеризует относительный уровень расходов в отношении долгосрочных источников средств, называется средневзвешенной ценой капитала (Weighted Average Cost of Capital, WACC). Данный показатель отражает минимальный возврат средств предприятия на вложенный в его деятельность капитал или его рентабельность. Рассчитывается по следующей формуле:


Re - доходность собственного капитала,

Rd - доходность заемного капитала,

Tc - ставка налога на прибыль компании,

E - рыночная стоимость собственного капитала компании,

D - рыночная стоимость заемного капитала компании,

V=D+E (

Экономическое значение показателя IRR состоит в том, что организация может принимать любые решения инвестиционного характера, уровень которых находится не ниже текущего значения «стоимости капитала» (Cost of Capital, CC), а точнее значения WACC. Поэтому в основном эти два значения сравниваются между собой, но не зависимо от этого очевидно, что проект принимается, если значение его IRR больше некоторой пороговой величины и, как правило, большее значение данного показателя является предпочтительным. Если IRR>CC, то проект рентабелен и его можно принять; IRR< CC, то затраты инвестора по данному проекту превысят отдачу от него, т.е. инвестор понесет убытки, поэтому такой проект стоит отклонить; IRR=CC, такой проект самоокупаемый и он не принесет ни прибыли не убытков.

На практике значение IRR рассчитывается с помощью таблиц, в которых выбираются два значения коэффициента дисконтирования r1 < r2 таким образом, что бы значения функции NPV=f(r) меняли значение с «+» на «-» или наоборот (экстремум функции). Используется следующая формула:


где r1 (r2) - значение табулированного коэффициента дисконтирования, при котором . По данной формуле точность вычислений обратно пропорциональна длине интервала (r1,r2), а наилучшее приближенное значение вычисленное с использованием табулированных значений достигается, когда длинна интервала равна 1%, т.е. когда значения r1 и r2 являются ближайшими друг к другу значениями.

Данный метод позволяет оценить рентабельность проекта, а также позволяет сравнивать значения показателя с нормой доходности по альтернативным видам инвестирования, со средней нормой доходности по предприятию в целом и с рентабельностью самих активов предприятия. Также при вычислении данного показателя не возникает необходимости задавать определенную жестко фиксированную ставку дисконтирования. Недостатками же данного метода является то, что появляется трудность вычисления значения показателя при нерегулярных денежных потоках, а также измерение во времени ценности денег для каждого проекта с разными ставками дисконтирования.

Теперь рассмотрим пример1: Компании предложили проинвестировать £50,000 с ежегодной получаемой прибылью в £34,321 в течение двух лет. В данном случае компания воспользовалась аннуитетом, поэтому должна будет выплачивать проценты за его использование. Компания принимает проекты с NPV˃15%. Для принятия окончательного решения рассчитаем IRR для данного проекта. Для начала мы определяем процент, ниже которого наш проект будет убыточным, £50,000/£34,321= 1,456834-т.е., чтобы проект был принят, его показатель должен быть выше данного значения. Построим таблицу с возможными ставками дисконтирования:

r%

PV за 1 год

PV за 2 год

PV общее

20

0,83333

0,69444

1,52778

22

0,81967

0,67186

1,49153

24

0,80645

0,65036

1,45682

26

0,79365

0,62988

1,42353

28

0,78125

0,61035

1,39160

30

0,76923

0,59172

1,36095


Год

Займ

Ставка дисконтирования 24%

Итог

Выплаты

Итог

0

50000

12000

62000

34321

27679

1

27679

6642,96

34321,96

34321

-0,96


Итак, мы видим, что нашему значению удовлетворяет ставка в 24%, это та ставка дисконта, при которой наши расходы будут полностью покрыты, и мы не понесем ни прибыли, ни убытков. Мы можем проверить это следующим образом:

Данный способ расчета не подходит для ситуаций, когда денежные потоки от операций поступают не равномерно. Если, например, проект прогнозирует денежные поступления в размере £20,000 в первый год и £52,000 во второй год, то вычислить значение IRR будет немного сложнее, но можно получить приближенное значение этого коэффициента следующим способом:

.        Среднее значение денежных потоков (20,000+50,000)/2=35,000

.        Оценка аннуитета: 50,000/35,000=1,4285714

.        Ставку дисконтирования для данного значения находим аналогично, как делали это для первой таблицы. Она равна 26%.


 

23%

24%

25%

26%

27%

1год

0,81301

0,80645

0,80000

0,79365

0,78740

2год

0,66098

0,65036

0,64000

0,62988

0,62000

 

1,47399

1,45682

1,44000

1,42353

1,40740


Теперь рассчитаем NPV для данной ставки

Год

Денежный поток

Ставка дисконтирования 26%

NPV

0

-50000

1

-50000

1

20000

0,79365

15873,02

2

52000

0,62988

32753,84

 



-1373,14


Теперь найдем NPV для более низкой ставки дисконтирования, например для 20%, тогда:

Год

Денежный поток

Ставка дисконтирования 20%

NPV

0

-50000

1

-50000

1

20000

0,83333

16666,67

2

52000

0,69444

36111,11

 



2777,778


Найдем разницу этих двух значений r1=20%, r2=26%, f(r1)=2777,778, f(r2)=-1373,14:

Пример 2:Требуется рассчитать значение показателя IRR для проекта, который рассчитан на три года и требует инвестиций в размере 10 млн.руб. Предполагающий денежные поступления в размере 3 млн. руб., 4 млн. руб., 7 млн. руб. произвольные коэффициенты дисконтирования равны r = 10%, r = 20%.

Год

Поток

Расчет1

Расчет2



r = 10%

PV

r = 20%

PV

0

-10

1

-10

1

-10

1

3

0,9

2,73

0,8

2,50

2

4

0,8

3,31

0,6

2,78

3

7

0,9

5,26

0,4

4,05

 

 

 

1,29

 

-0,67


Согласно данной таблицы значение IRR будет следующим:

Полученное значение можно уточнить, допустив, что ближайшие целые значения коэффициента дисконтирования, при которых NPV меняет знак следующие: при r = 16%, NPV= +0,05, а при r = 17%, NPV=-0,14, тогда IRR будет равно:




2. Статистические методы оценки

Динамические методы наиболее распространены при оценке инвестиционных проектов. Каждый из методов не очень сложен в вычислениях, особенно если у компании имеются специально разработанные программы, но дать адекватную оценку проекта, руководствуясь только одним из них нельзя, поскольку, ни один из них по отдельности не дает полной и достаточной информации о проекте. В связи с чем, эти методы используют только в совокупности.

 

2.1 Метод определения срока окупаемости инвестиций (Payback Period, PP)


Метод определения срока окупаемости инвестиций является одним из наиболее простых методов и широко используемых в мировой учетно-аналитической практике, который не предполагает упорядоченного поступления денежных средств. Процесс расчета показателя срока окупаемости (PP) от равномерности распределения прогнозируемых доходов или инвестиций. При условии, что доход распределен равномерно по годам, то срок окупаемости рассчитывается делением единовременных затрат на величину годового дохода, обусловленного ими. Если получается дробное число, то в этом случае его значение округляется в сторону ближайшего целого. При условии, что прибыль распределена во времени не равномерно, то срок окупаемости рассчитывается непосредственно подсчетом числа лет, в течение которых инвестиция будет погашена кумулятивным подходом. Другими словами срок окупаемости является периодов, по прошествии которого сумма будущих доходов будет равна сумме вложенных инвестиций. Формула данного показателя выглядит следующим образом:


Иногда, если требуется точно определить период окупаемости инвестиций, то рассматривается и дробная часть года, при этом делается предположение, что денежные равномерно распределены в течение года. Некоторые специалисты при расчете данного показателя рекомендуют не забывать и о временном аспекте. То в этом случае дисконтированные денежные потоки принимаются по показателю WACC, соответственно формула для расчета дисконтированного срока окупаемости имеет вид:


Совершенно очевидно, что показатель, подсчитанный по первой формуле, будет меньше второго показателя (PP < DPP). Таким образом, проект, который будет приемлемым по первому показателю, может не подходить по второму. В отношении сроков окупаемости могут быть установлены следующие требования: чтобы проект вообще имел срок окупаемости или чтобы проект окупился за определенный период. Данный метод широко применяется в тех отраслях, где уровень риска достаточно высок, поскольку, чем меньше срок окупаемости проекта, тем менее рискованным является проект. Плюсами такого метода является его наглядность и простота применения. В качестве отрицательных можно назвать то, что он не учитывает денежные средства, поступающие после того как проект полностью окупился, также данный метод не учитывает различия между проектами с одинаковой суммой доходов, но различными их распределением по годам. Предпочтительнее являются те проекты, которые обеспечивают большую сумму доходов в первые несколько лет, так как полученная сумма может быть пущена в оборот, направлена на какие-либо другие проекты, что в свою принесет новую прибыль.

Рассмотрим пример (1):

Год

 

 

 

£000

0

Инвестиции



-400

1

Продажи


300

 

 

Денежные затраты



-150

 

Задолженность

 

 

-250

2

Продажи


480

 

 

Денежные затраты

 

 

-220

 

 



10


Таким образом, мы видим, что проект окупается за 2 года точно. Для более точного расчета воспользуемся формулой:


Проект окупится за 1 год и 2 недели.

Пример (2): Компания рассматривает проект со следующим денежным потоком: -130, 30,40,50,50, 20. Цена капитала компании 14%. Условие данной компании к проектам следующее - не принимаются проекты со сроком окупаемости более 4 лет.

 

Денежный поток (млн. руб)

Дисконтирующий множитель r=14%

Дисконтированный денежный поток (млн. руб)

Кумулятивное возмещение(млн. руб)

Год




поток дисконтированный

поток исходный

0

-130

1

-130

-130

-130

1

30

0,8772

26,3158

-103,6842

-100

40

0,7695

30,7787

-72,9055

-60

3

50

0,6750

33,7486

-39,1569

-10

4

50

0,5921

29,6040

-9,5529

40

5

20

0,5194

10,3874

0,8345

60



Из данного примера можно сделать вывод о том, что если оценивать денежные потоки по исходному способу, то данный проект может быть принят компанией, так как срок окупаемости составляет РР=3 года 2 месяца. А если рассчитывать тот же самый проект используя коэффициент дисконтирования, то данный проект не будет удовлетворять требования компании и срок окупаемости превысит требуемые 4 года (DPP=4,9>4).

II.2. Метод расчета коэффициента эффективности инвестиций (Accounting Rate of Return, ARR)

Ещё одним статистическим способом оценки инвестиционных проектов является расчет коэффициента эффективности инвестиций. Данный показатель имеет ряд особенностей: не предполагает использование коэффициента дисконтирования, и доход определяется показателем чистой прибыли (Net Profit, PN). Этот метод называют методом бухгалтерской рентабельности или учетной нормой прибыли (ARR), потому что он основан на использовании бухгалтерской отчетности. Широкое применение этого метода обусловлено простой техникой его расчета: показатель рассчитывается делением среднегодовой прибыли PN на среднюю величину инвестиций (в процентах). В свою очередь средняя величина инвестиций находится делением исходной суммы капитальных вложений на два, при условии что все капитальные затраты списываются по истечении срока реализации проекта, если же это условие не выполняется и на конец периода остается остаточная или ликвидационная стоимость (Residual Value, RV), то это значение учитывается в расчетах. Формула для вычислений используется чаще всего следующая:


Несмотря на свою простоту и широкое применение расчет коэффициента эффективности инвестиций имеет и недостатки. Данный показатель не учитывает временной компоненты денежных потоков, также сложности возникают при выборе между несколькими альтернативными проектами с различными инвестициями и сроками реализации.

Рассмотрим следующие примеры:

.        От вложенных инвестиций в размере $600,000 поступают следующие денежные средства: в 1ый год $50,000, во 2ой год $150,000, в 3ий $80,000, в 4ый год $20,000. Требуется найти коэффициент рентабельности инвестиций.

.        Western Ltd выбирают из проектов А и В, которые требуют одинаковые начальные капиталовложения в размере $100,000. По проектам ожидаются следующие денежные потоки: Проект А: 1-й год ($10,000), 2-й год ($5,000), 3-й год ($15,000); Проект В: 1-й год ($12,000), 2-й год ($11,000), 3-й год ($4,000).

Ориентировочная стоимость при перепродаже обоих проектов в конце третьего года составляет $ 22000. Рассчитать ARR для каждого проекта.

В данном примере в качестве реализации должен быть выбран проект А, так как он обладает более высоким ARR, чем проект В.

 




3. Риски


Ни для кого не секрет, что одной из составляющей успеха предпринимателя, менеджера и инвестора - это то, насколько правильно и адекватно они умеют оценить степень риска предстоящего проекта. В настоящее время не существует единого мнения и подхода к проблеме рисков, поскольку данное явление носит сложный характер, что порождает множество разных, а порой и противоположных точек зрения на данную проблему. Управление риском подразумевает анализ и оценку, имеющихся и возможных рисков, принятие или уклонение от них и прогноз результатов, принятых решений. Существуют методы, учитывающие либо субъективную, либо объективную природу риска, либо сразу обе. Наиболее полным является субъективно-объективный подход, так как возникающая неопределенность может быть как следствием деятельности людей, так и сил, явлений природы.

 

3.1 Инвестиционные риски

commodum, ejus periculum.

Любая деятельность, а в особенности инвестиционная сопряжена с определенными рисками, а если брать во внимание инвестиции за рубеж, то количество этих рисков увеличивается в несколько раз. Инвестируя за рубеж необходимо учитывать не только состояние и перспективы иностранной компании, также важно принять во внимание то, какое воздействие может оказать правительственное и законодательное регулирование, валютные, политические и другие риски. Так как именно от того насколько тщательно просчитаны и учтены инвестором все возможные опасности, зависит точность прогноза ожидаемой прибыли. Полностью избежать рисков не удастся никогда, однако, можно научиться ими правильно управлять. Разные источники по-разному классифицируют инвестиционные риски, мне показалась более систематизированной классификация по источникам возникновения:

·        Систематические или рыночные, диверсифицируемые риски (процентный, валютный, инфляционный и политический);

·        Несистематические или специфические, диверсифицируемые риски (предпринимательский, финансовый, законодательный риск, риск потери ликвидности, риск невыполнения обязательств)

Более подробно хотелось бы остановиться на следующем виде риска, а именно на валютном риске. Так как именно с данным видом риска наиболее часто сталкиваются инвесторы при выходе на зарубежные рынки. В основу данного риска входят по крайне мере три составляющие - это риск девальвации или обесценивания; риск конвертируемости валюты и риск перевода. Риск девальвации возникает в связи с обесцениванием местной валюты по отношению к твердой валюте. Основными твердыми валютами принято считать доллар США, евро, британский фунт стерлингов, японская иена и другие (всего в мире их насчитывается 17).  Валютный курс играет важную роль во внешнеэкономической деятельности страны, в связи с чем, заниженный курс местной валюты к твердой позволяет получить определенные выгоды при экспорте товара(наш товар при вывозе будет стоить дешевле при пересчете из местной валюты в твердую) и способствует притоку иностранного капитала, однако при этом страдает и импорт. Например, текущий курс 1€=30руб, себестоимость партии нашей продукции составляет 100 руб. Через некоторое время правительство решает понизить курс местной валюты и 1€=40руб (таким образом, за 1€ мы отдаем уже больше денег, чем раньше). Поэтому, если раньше наша продукция на зарубежном рынке стоила 3,3€ (=100/30), то после понижения курса она стала стоить дешевле 2,5€ (=100/40), что сделало её более конкурентоспособной. Данная ситуация рассмотрена с позиции местного экспортера. Однако для импортеров ситуация складывается абсолютно противоположным образом, так как ввозимая ими продукция стала стоить значительно дороже. Ещё один компонент валютного риска - это риск конвертируемости валюты. Данный риск зависит от того насколько просто можно обменять валюту одной страны на валюту другой в процессе осуществления внешнеэкономических операций. На данный момент свободно конвертируется валюта, которая считается твердой. Уровень конвертируемости валют также является одним из показателей внешнеэкономической деятельности государства, так как чем больше стран, в которых конвертируется валюта определенного государства, тем большим авторитетом оно обладает. Например, на международном валютном рынке Форех операции осуществляются исключительно в свободно конвертируемой валюте, однако российские резиденты вынуждены осуществлять трейдинг в евро, поскольку рубль не является свободно конвертируемой валютой. Российский рубль также как и болгарский лев, шведская крона, литовский лит, а также валюта большинства стран Европы является частично конвертируемой валютой. Неконвертируемой валютой считается белорусский рубль. И последней составляющей валютного риска является риск переводов, который заключается в том, что правительство страны, в которую поступили вложения, запрещает вывоз денег за её пределы. Таким образом, деньги остаются в стране, что укрепляет её экономику, и данная мера является попыткой заставить деньги работать внутри страны. Запрет на вывоз капитала из страны был установлен в Японии в послевоенный период (1945-1950 г.г.), также данная мера действовала в ФРГ и Испании для восстановления экономики. В настоящее время запрет установлен в таких странах как Черногория, а в Алжире разрешен свободный вывоз капитала не более 50%, оставшиеся 50% регулируются нормативно правовыми актами государственных органов, а в Египте ещё более жесткие ограничения, там разрешенный вывоз капитала составляет лишь 10%. По сообщению сайта Росбалт в России на конец 2011 года отток капитала составил $85 млрд., при этом около $60 млрд. из этой суммы составили инвестиции российских компаний за границу.

3.2 Управление рисками


Итак, мы выяснили, что рисков избежать не удастся, однако можно правильно ими управлять. У инвесторов, подверженные валютному риску, есть несколько способов как можно их избежать. Первый и самый легкий подход- это подход ничего неделания по отношению к возникшим рискам и принять последствия изменений стоимости валют, либо надеяться на протекционистские меры государства: ограничение на доступность или перевод капитала. Однако данный подход не рекомендуется при значительной подверженности риску. Второй наиболее распространенный способ избежать риска это частичное или полное хеджирование рисков. Валютное хеджирование это заключение срочных сделок на покупку или продажу валюты по фиксированной цене во избежание колебания валютных курсов. Однако данный вид ухода от риска является наиболее дорогим и, как показывает практика, сложным способом. Так как данный вид услуги доступен не во всех странах. На данный момент известно множество инструментов, которые используются также и в России, с помощью которых хеджируют валютный риск:

·        Фьючерсы и форвардные контракты - соглашения, которые заключены для обмена или продажи иностранной валюты. Фьючерс рассматривается как разновидность форварда, главное различие между ними заключается в том, что форвардный контракт представляет собой разовую биржевую сделку между продавцом и покупателем, а фьючерсный контракт - это многократные предложения. Обращение валютных фьючерсов в России организованно на площадках ММВБ и FORTS;

·        Своп - это операция одновременной продажи или обмена определенной суммы иностранной валюты на определенный период времени, таким образом, это две противоположные сделки на одну и ту же сумму, но с разными датами исполнения. В России данный вид хеджирования практически не распространен;

·        Опцион - это сделка, предоставляющая право выбора (но не обязанность) купить (опцион покупателя call) или продать (опцион продавца put) иностранную валюту в будущем, при достижении заведомо оговоренной страйк-цены. Данный вид хеджирования наиболее дорогостоящий инструмент и чем длиннее срок опциона, тем он будет дороже.

Хеджирование имеет как свои преимущества так и недостатки. В качестве преимуществ можно назвать то, что хеджирование устраняет риск потери капитала в результате обесценивания местной валюты; также устраняет риск конвертируемости или перевода с помощью своп-операций; обеспечивает доступ к капиталу, который может быть недоступен на местном уровне, или доступ к нему на более выгодных гибких условиях. Недостатками данного метода можно выделить следующие: данные инструменты присутствуют не на всех финансовых рынках стран. Например, на рынках таких стран как Корея, Индия, Польша, Бразилия, Таиланд инструменты хеджирования присутствуют в той или иной мере. Также в качестве отрицательной черты хеджирования можно назвать непомерно высокий процент за использование данных инструментов, поэтому не каждая компания может позволить себе воспользоваться данным способом. Чтобы лучше понять какую выгоду получает инвестор от использования хеджирования, рассмотрим пример: инвестиции в безрисковые облигации правительства А, по которым выплачивается ежегодно 10% в британских фунтах. Для резидента страны А данные инвестиции будут безрисковыми, а вот для резидента другой страны В данные инвестиции будут сопряжены с валютным риском (валюта страны В доллар США). Предположим, что текущий валютный курс £1=$2. Инвестор В намерен вложить в ценные бумаги страны А $20 000. На настоящий момент по текущему курсу данную сумму можно обменять на £10 000 и инвестировать в облигации по безрисковой ставке, которая равна 10%, и через год получить £11 000. Однако такое развитие событий возможно лишь в том случае, если валютный курс за год не изменится, но что случится с доходом инвестора В, если валютный курс все-таки изменится в ту или иную сторону. Если скажем, за год фунт подешевеет относительно доллара, и к концу года £1=$1,80, то в итоге по данному курсу полученные нами £11 000 превращаются, лишь в $19 800. В итоге по отношению к вложенным инвестициям наш убыток составит $20 000-$19 800=$200. Однако что если через год курс будет равен £1=$2, то в таком случае инвестор В получит прибыль в размере $20 000- (£11 000×$2/£) = $2000. Инвестор В мог бы хеджировать риск изменения валютного курса, используя валютный фьючерс либо форвардный контракт. В этом случае он должен был заключить контракт на покупку долларов за фунты по фиксированному валютному курсу, таким образом, огородив себя от риска изменения валютного курса при конвертировании вложений. Предположим, что в выше приведенном примере инвестор В момент инвестирования заключил фьючерсный контракт валютный курс по которому равен £1=$1,93, тем самым он обеспечит себе доход в долларах не зависимо от изменения курса валют. Таким образом, в конце года наш инвестор В получит $ 21 230, прибыль составит $ 1 230, а безрисковая доходность в этом случае будет равна 6,15%. В данном случае инвестор страхую себя от возможного падения курса валюты, однако ситуация может быть и противоположной - курс валют может и возрасти, в связи с чем и возможная прибыль тоже увеличится. Но стоит ли гнаться за возможной прибылью или же лучше получить гарантированную, решает сам инвестор.

 

3.3 Оценка инвестиционных проектов в условиях риска


До этого мы рассматривали оценку показателей проектов, так скажем, в «тепличных» условиях, то есть мы имели все и точно установленные данные для расчета и без учета каких-либо рисков. В реальной же действительности мы часто сталкиваемся с условиями неопределенности, никто точно не скажет, что произойдет через год, а уж тем более лет через пять. Наличие риска вынуждает предпринимателей рассматривать как можно больше вариантов возможных развитий событий, выбирая из них наиболее рентабельные и менее рискованные. В настоящее время существует технология управления рисками - риск менеджмент, который представляет собой систему управления различными рисками. В начале этого процесса мы выявляем и даем оценку существующему риску, насколько сильное влияние он может оказать на результат нашей деятельности или он незначительный. Существует четыре метода реагирования на риски: уклонение от риска (изменение плана управления проектом для исключения угрозы); передача риска (передача рисков третей стороне); снижение рисков и принятие риска. Анализ в условиях риска немногом отличается от уже рассматриваемых нами оценок, учет риска рассматривается поправкой одного из параметров. Методика анализа, связанная с корректировкой денежного потока проходит следующим образом: по каждому проекту строится три прогноза - оптимистический (NPVo), наиболее вероятный (NPVml) и пессимистический (NPVp); далее рассчитывается для каждого проекта три значения NPV (оптимистический, наиболее вероятный и пессимистический); затем считается размах вариации по следующей формуле и из сравниваемых проектов, рискованным будет тот, у которого размах NPV будет больше.


Поскольку не существует абсолютно идентичных проектов осуществляемых в одинаковых условиях, то существуют различные модификации рассмотренного выше метода с использованием соответствующих вероятностных оценок. Данный подход можно отнести к статистическому методу принятия решений, так как он основан на составлении вероятностного прогноза на будущее. Поскольку статистика основана на показателях прошлых периодов, а оценка риска относится к будущему периоду, то данный метод в быстро меняющихся условиях становится не совсем пригодным для применения. Также наряду со статистическими методами используются экономико-математические как, например, использование теории игр и полезности. Допустим, инвестору требуется выбрать один из двух проектов (млн.руб.)

С позиции ожидаемого годового дохода проекты равны:


С позиции доходности, как мы убедились, оба проекта равны, однако с позиции риска проект В оказался рискованнее проекта А, поскольку у него размах вариации больше, и при прочих равных условиях менее предпочтителен. С точки зрения ожидаемой полезности проекты также отличаются и в этом случает проект А предпочтительнее проекта В. таким образом, с точки зрении инвестора наиболее предпочтительным проектом будет первый.


4. Проект инвестиций в создание транспортной компании в Тайланде


Рассмотрим следующий инвестиционный проект, который был опубликован на сайте для инвесторов со следующим содержанием: Тайланд - динамичная, развивающаяся страна, одной из сфер экономики которой является туризм в частности туристические перевозки. В этом направлении есть достаточно предложения и также существует большой выбор новых направлений. Потребность в этом объясняется все возрастающим потоком туристов.  Была проделана большая работа, в результате которой, было выявлено пустующее направление1). Острова Пхи Пхи - Острова Ко Яу ной Ко яу яй - Пхукет, в оба направления. 2). Пхи Пхи - пхукет и в обратном направлении (вечером). Транспортная компания в Таиланде это надёжный ликвидный бизнес, который как приносит доход так и не требует оперативного управления. Сумма инвестиций в данный проект составляет €250,000 (10 186 750Бат). Ежемесячные расходы составляют 1 145 000 бат, выручка 1 800 000 бат/месяц, а прибыль соответственно составляет 655 000 бат/мес. Ставка дисконтирования в 1год составит 10%, 2 год- 20%. Надо оценить данный проект с точки зрения привлекательности для инвестора.

)        Для начала сделаем некоторые оговорки. Компания рассматривает данный проект с учетом того, что у компании есть свободные деньги, а в портфеле рассматриваемых проектов только данный - нет альтернатив.


0

-10 186 750

1

-10186750

1

-10186750

1

-10186750

1

-10186750

1

7 860 000

0,90

7074000

0,85

6681000

0,80

6288000

0,75

5895000

2

7 860 000

0,80

6288000

0,83

6504150

0,60

4716000

0,50

3930000

 

 

 

3175250

 

2998400

 

817250

 

-361750

 


10%

 

15%

 

20%

 

25%




Год

Денежный поток

Дисконтир.ден.поток

Возмещение

0

-10 186 750

-10 186 750

-10 186 750

1

7 860 000

7145454,545

-3 041 295

2

7 860 000

8574545,455

5 533 250


Окупаемость проекта займет 1год и 4 месяца.

В данных условиях проект является приемлемым: срок окупаемости составил всего год и четыре месяца, по критерию NPV, что тоже характеризует проект как прибыльный, рентабельность проекта также положительна PI как и его внутренняя доходность =, эффективность проекта высокая и составляет 77%. Однако стоит напомнить, что данный сюжет возможет при отсутствии альтернативных проектов у компании.

)        Теперь рассмотрим вариант, если в портфеле компании есть несколько альтернативных проектов и один из них стоит по приоритету выше, чем Тайский, однако он рассматривается как проект для участия. При этом очевидно, что основные средства компании заняты, так как вложены уже в прибыльный проект. В связи с чем мы прибегнем к использованию кредита на следующих условиях: кредит в евро под 18% годовых, льготный период 2 года, залогом будет право требования прибыли с другого контракта по проекту. Теперь посмотрим, будет ли этот контракт в совокупности с другими конкурентоспособным.


Год

Денежный поток

Дисконтир.ден.поток

Возмещение

0

 

-10186750

-10186750

-10186750

1

7860000

 

7145455

-3041295

 

 

-1833615

 

-4874910

2

7860000

 

5954545

1079635

 

 

-1833615

 

-753980

3

7860000

 

4580420

3826440


Срок окупаемости составит 2 года и 2 месяца.

0

-10186750

1

-10186750

1

-10186750

1

6026385

0,9

5423747

0,85

5122427

2

6026385

0,8

4821108

0,8275

4986834

 

 

 

58105

 

-77489

 

 

10%

 

15%

 


Таким образом, мы видим, что если компания воспользуется кредитом, то данный проект будет не прибыльным, что подтверждают полученные показатели. Также в качестве возможных рисков стоит отметить такой как риск конвертируемости валюты. Так как мы берм кредит в евро, то и отдавать тоже будем в этой валюте, а прибыль мы получаем в валюте Таиланда - баттах. Как один из вариантов застраховать себя от данного риска это заключить срочный контракт с местным банкам по продаже полученных батов по фиксированной цене в Таиланде.

При оценке инвестиционных проектов за рубежом, необходимо учитывать какие цели преследует компания - получение прибыли или расширение самой компании, каким финансовым потенциалом она обладает и есть ли ещё какие-либо аналогичные проекты, необходимо их тщательное сравнение, какие риски при вложениях существуют, возможно ли их избежать и чем компания может пренебречь.


Заключение

Оценка инвестиционных проектов это трудоемкий процесс, который требует наличие большого количества информации, непосредственного участия различных отделов компании. Необходимо учитывать также различные риски, которые могут быть сопряжены с реализацией проектов, особенно если это инвестиции в зарубежные проекты. В качестве рисков можно выделить следующие: не совершенство рынка и экономическая нестабильность, инфляция, валютные риски, коммерческие риски и многие другие. Существующие методы оценки, конечно, дают некоторое представление о характере и прибыльности инвестиционного проекта, но только в совокупности, а не по отдельности. Каждый коэффициент в отдельности не дает полного представления о проекте и не учитывает всех данных о проекте. Каждый инвестор заинтересован в качественной оценке инвестиционных проектов, так как  хочет быть уверен в том, что он вкладывает деньги в действительно прибыльный проект.  Грамотная оценка инвестиционного проекта позволяет выявить реальную его экономическую эффективность, а значит и соответствие инвестиционного проекта целям и интересам его участников. При оценке проектов проводится анализ по множеству экономических показателей, проверяется достоверность и реальность бизнес планов, если в портфеле компании несколько проектов, то они сравниваются между собой и выбирается наиболее эффективный и приемлемый для компании. Также данные показатели позволяют определить ключевые показатели и проследить за тем, как они влияют на эффективность проекта, при необходимости есть возможность отрегулировать показатели и что-то изменить, таким образом, чтобы проект был максимально прибыльным и эффективным. При оценке инвестиционного проекта, как уже было сказано, надо учитывать целый ряд экономических, социальных и даже политических факторов, что зависит от глобальности проекта. Ещё стоит сказать что, так как все проекты индивидуальны и не похожи один на другой, то универсального метода и подхода к оценке инвестиционных проектов не существуют, каждый из них требует отдельного рассмотрения и подхода. Огромное влияние на оценку инвестиционных проектов оказывают риски, связанный стой или иной долей неопределенности, особенно, если проект осуществляется за рубежом, так как в данном случае уровень рисков увеличивается. Можно сказать, что неопределенность, риск и прибыль являются неотъемлемыми составляющими динамично развивающейся экономики. Прибыль же инвестора будет его вознаграждение за принятие имеющего риска. Однако идти на риск надо сознательно, оценив все возможные развития событий. Но можно и хеджировать свои риски, тем самым обеспечив себе определенный доход в будущем. Наличие разнообразных методов и подходов к данной проблеме дает возможность для инвестора выбрать тот путь, который будет наиболее подходящим для него.


Список используемой литературы

инвестиция риск управление

1.      Бочаров В.В. Ивестиции - СПб: Питер, 2004

.        Иванов Г.И. Инвестиции сущность, виды, механизм функционирования / Серия «Учебники, учебные пособия», Ростов н/Д: Феникс, 2002

.        Ковалев В.В. Методы оценки инвестиционных проектов. - М.: Финансы и статистика, 1998

.        Корчагин Ю.А., Маличенко И.П. Инвестиции и инвестиционный анализ: учебник. - Ростов н/Д: Феникс, 2010

.        Павлов В.В., Хоминич И.П. Кредитование внешнеэкономической деятельности: Учебное пособие - М. ФБК-ПРЕСС, 1998

.        Шапкин А.С. Экономические и финансовые риски. Оценка, управление, портфель инвестиций: Монография-М: Издательско-торговая корпорация «Дашков и Ко», 2003

.        Шимко П.Д. Международный финансовый менеджмент.- Высшая школа, 2007

.        Янковский К.П. Инвестиции. - СПб.: Питер, 2008

9.      Ray Fitzgerald A handbook of practical business finance.- Kogan page, 1990

Интернет источники:

.        http://www.investopedia.com/terms/w/wacc.asp#axzz1sTLtrIZm

.        http://financelearners.blogspot.com/2011/06/accounting-rate-of-return-arr-examples.html

.        http://www.vedomosti.ru/glossary

.        http://www.gks.ru/wps/wcm/connect/rosstat/rosstatsite/main/

. http://institutiones.com/investments/918-sovershenstvovanie-ocenki-effektivnosti-investicij.html

.        http://www.niec.ru/Articles/016.htm

. http://lookinvestment.ru/project/please-contacts-with-administration-support-lookinvestment-com-508

Похожие работы на - Специфика оценки эффективности капиталовложений в условиях международной компании

 

Не нашли материал для своей работы?
Поможем написать уникальную работу
Без плагиата!
Без нейросетей!