Производство таблеток клофелина

  • Вид работы:
    Курсовая работа (т)
  • Предмет:
    Медицина, физкультура, здравоохранение
  • Язык:
    Русский
    ,
    Формат файла:
    MS Word
    1015,91 Кб
  • Опубликовано:
    2014-02-24
Вы можете узнать стоимость помощи в написании студенческой работы.
Помощь в написании работы, которую точно примут!

Производство таблеток клофелина

Содержание

Введение

1. Вещество Клофелина гидрохлорид (формула)

2. Характеристика фармацевтической субстанции

3. Свойства порошкообразных фармацевтических субстанций

4. Характеристика таблеток клофелина (механизм действия, фарм.группа, применение и т.д.)

. Получение клофелина

6. Технологический процесс производства таблеток

Заключение

Литература

Введение

Лекарственные формы как один из необходимых элементов врачевания прошли сложный и длительный путь развития, в течение которого одни исчезали или видоизменялись, другие - появлялись. Рационально подобранные лекарственные формы позволяют максимально использовать лечебное действие препаратов при минимальных побочных эффектах.

Лекарственная форма (ЛФ) - придаваемое лекарственному средству рациональное с фармакологической точки зрения, удобное для применения и хранения состояние при котором достигается необходимый лечебный эффект при минимуме побочного действия.

Действие лекарственного средства зависит не только от его фармакологических свойств, но и от способности проникать к месту действия вещества - к его специфическому рецептору или пораженному органу, то есть оно зависит от биологической доступности препарата.

Роль ЛФ:

·        ЛФ обусловлена целью назначения лекарственного вещества

·        ЛФ определяет путь введения лекарственного вещества, и возможность его изменения

·        ЛФ влияет на время нахождения лекарственного вещества в организме

·        обеспечение стабильности лекарственного вещества

Общие требования к Лекарственной форме:

1)      соответствие лечебному назначению - биодоступность лекарственного вещества в данной лекарственной форме и определенная фармакокинетика

2)      равномерность распределения лекарственного вещества (точность дозирования)

)        стабильность (химическая, физическая, микробиологическая) в процессе хранения: нормы микробиологической чистоты лекарственного препарата:

для внутреннего применения - не более 1000 бактерий и 100 дрожжевых и плесневых грибов в 1 мл или г лекарственного препарата

для наружного применения - не более 100 микроорганизмов в том числе дрожжевых и плесневых грибов суммарно в 1 мл или г при отсутствии бактерий семейства Enterobacteriaceae, Ps. aeruginosa, St. aureus

) удобство приема

) технологичность в процессе производства

) наличие отечественных ресурсов

Все сложные ЛФ по своей природе являются разнообразными дисперсными системами. Распределенное вещество составляет дисперсную фазу системы, а носитель - непрерывную дисперсионную среду.

Значение лекарственной формы:

Лекарственное лечение неразрывно связано с вопросом выбора рациональной формы, в которой лекарственное вещество или комплекс веществ должны дать лечебный (или профилактический) эффект. Очевидно, что одновременно с расширением и изменением каталога лекарственных веществ и совершенствованием методов лечения расширялась номенклатура лекарственных форм и совершенствовалась их технология.

Очевидно, что чем большим преимуществом обладает та или иная лекарственная форма, тем большую ценность она представляет как структурная единица фармакотерапии и как промышленная единица [2].

Лекарственная форма - это материальная форма проявления диалектического единства действующих и вспомогательных веществ и соответствующих технологических операций. Биофармация обосновав научную трактовку лекарственной формы, требует тщательного исследования соответствия указанных компонентов (действующие и вспомогательные вещества, методы приготовления) в лекарственной форме для обеспечения оптимального действия препарата, иными словами, получения для нужд клиник наиболее рациональных лекарственных форм. В настоящее время не подлежат сомнению, что оптимальная активность лекарственного вещества достигается только назначением его в рациональной, научно обоснованной лекарственной форме.

Выбор лекарственной формы одновременно определяет и способ (путь) введения лекарства в организм.

Основные проблемы технологии лекарственных форм:

) разработка теоретических обоснований существующих методов изготовления лекарственных форм

) совершенствование старых способов изготовления лекарственных форм и cоздание новых лекарственных форм, в которых максимально проявляется лечебный эффект, минимальное побочное действие и которые удобны при использовании больными.

Основными путями решения проблем технологии лекарственных форм являются:

·        механизация производства лекарственных форм,

·        расширение ассортимента вспомогательных веществ, концентратов для производства лекарственных форм в условиях аптек,

·        введение физико-химических методов оценки качества лекарственных форм, использование современных упаковочных материалов.

Реализация этих проблем позволит значительно повысить качество лекарственных препаратов и тем самым уровень лекарственного лечения.

1. Вещество Клофелина гидрохлорид (формула)

Клофелина гидрохлорид

2-(2,6-дихлорфениламино) имидазолина гидрохлорид


Брутто-формула (система Хилла): C9H10Cl3N3

2. Характеристика фармацевтической субстанции

Содержит не менее 99,0 % C9H9CI2N3 • НС1 в пересчете на сухое вещество.

Описание: Белый или почти белый кристаллический порошок.

Вкус - горький, запах - без запаха.

Молекулярная масса (в а.е.м.): 266,57

Температура плавления (в °C): 314

Температура разложения (в °C): 316

Растворимость (в г/100 г):

вода: 7 (20°C) вода: 50 (100°C) хлороформ: мало растворим этанол: 20 (78°C)

Растворим в воде, спирте 96 %, практически нерастворим в хлороформе.

3. Свойства порошкообразных лекарственных субстанций

Исходные материалы:

§  порошкообразные (размер частиц 0,2 мм)

§  гранулированные (размер частиц от 0,2 до 3 мм)

Свойства:

ü  физические - плотность, форма, размер и характер поверхности частиц, удельная поверхность частиц, силы адгезии (слипание на поверхности) и когезии (слипание частиц внутри тела), поверхностная активность, температура плавления и др.;

ü  химические - растворимость, реакционная способность и др.;

ü  технологические - насыпная (объемная) плотность, степень уплотнения, сыпучесть, влажность, фракционный состав, дисперсность, пористость, прессуемость и др.;

ü  структурно-механические - пластичность, прочность, упругость, вязкость кристаллической решетки и др.

Прибор для определения максимальной насыпной плотности порошков

- измерительный цилиндр; 2 - шкала; 3 - тумблер; 4 - регулировочный винт; 5 - контргайка

Сыпучесть определяют на вибрационном устройстве для снятия характеристик сыпучих материалов ВП-12А.

а - измерение сыпучести: 1 - воронка; 2 - крышка; 5 - электромагнит; 6 - якорь; 7 - амортизатор; 8 - тяга; 9 - шарнир; 10 - приемный стакан;         б - измерение угла естественного откоса: 3 - тумблер; 4 - заслонка; 11 - горка; 12 - кольцо; 13 - угломер

4. Характеристика таблеток клофелина (механизм действия, фарм.группа, применение и т.д.)

Фармакотерапевтическая группа

Альфа-адреномиметик, гипотензивное средство.

Применение:

Сердечно-сосудистые расстройства, гипертоническая болезнь во всех формах и для купирования гипертонических кризов; в офтальмологии: первичная открытоугольная глаукома с умеренно повышенным или высоким внутриглазным давлением и стабилизированными зрительными функциями.

Состав и форма выпуска:

Клофелин

Таблетки

1 табл.

клонидин

0,075 мг

 

0,15 мг

вспомогательные вещества: крахмал картофельный; лактоза (сахар молочный); магния стеарат

 


в контурной ячейковой упаковке 10 шт. или в стеклянных банках по 50 шт.; в пачке картонной 5 упаковок или в картонной коробке 1 стеклянная банка соответственно.

Клофелина раствор для инъекций 0,01%

Раствор для инъекций 0,01%

1 мл

клонидин

0,1 мг


в ампулах по 1 мл, в комплекте с ножом ампульным; в пачке картонной 10 ампул.

Механизм действия Клофелина

Способен стимулировать как а1-, так и а2-адренорецепторы, но действие на вторые более выражено.

Антигипертензивный эффект клофелина связан прежде всего с его центральным действием: возбуждая постсинаптические а2-адренорецепторы на мембранах тормозных нейронов продолговатого мозга, а также стволовых и гипоталамических структур, препарат уменьшает поток симпатической импульсации по преганглионарным симпатическим нервам. Предполагается, что в основе этого явления лежит стимуляция клофелином центров мозга, которые выполняют депрессорную функцию. Существенным в механизме действия клофелина является то, что он повышает чувствительность прессорных центров мозга к угнетающим их рефлекторным влияниям с барорецепторов сосудов (возрастает и их чувствительность к повышению артериального давления), повышает тонус парасимпатических нервов, чем обусловлено, в частности, брадикардическое действие препарата.

Антигипертензивный эффект клофелина связан также с седативным действием препарата.


Синонимы

гемитон (рус.) катапресан (рус.) клонидин (рус.) клофелин (рус.) нормопрессан (рус.) хлофазолин (рус.)

Состав препарата

Активное вещество- клонидина гидрохлорид 0,075; 0,15 мг.

Вспомогательные вещества: крахмал картофельный; лактоза (сахар молочный); магния стеарат

*Состав вспомогательных веществ у разных производителей варьируется.

Средняя доза отравления

Средняя доза клофелина, вызывающая отравление у детей составляет 0.509 мг, у взрослых - 2,096 мг. Резко выраженное токсическое действие проявлялось у детей вследствие однократного приема 0,4-4 мг, а у взрослых - 4,5-11,25 мг клофелина.

Лечение

Назначают промывание желудка, активированный уголь внутрь, вазелиновое масло - по 1 - 2 мл/кг массы тела, атропина сульфат - по 1 - 2 мл 0,1 % раствора подкожно, изадрин, алупент (для устранения брадикардии).

При неэффективности этих мероприятий показана кардиостимуляция. Форсированный диурез малоэффективен из-за прочной связи клофелина с белками плазмы крови. При тяжелом отравлении применяют гемосорбцию.

Роль вспомогательных веществ

Вспомогательные вещества в таблеточном производстве предназначены придать таблеточной массе необходимые технологические свойства, обеспечивающие точность дозирования, механическую прочность, распадаемость и стабильность таблеток в процессе хранения.

К вспомогательным веществам предъявляются следующие требования:

Ø  должны быть химически индифферентными;

Ø  не должны оказывать отрицательного воздействия на организм больного, а также на качество таблеток при их приготовлении, транспортировке и хранении.

Группы вспомогательных веществ

ü  Наполнители (разбавители): добавляются для получения определенной массы таблеток. Определяют технологические свойства массы для таблетирования и физико-механические свойства готовых таблеток.

ü  Связывающие вещества: применяются для достижения необходимой силы сцепления при сравнительно небольшом давлении; заполняют межчастичное пространство, увеличивают контактную поверхность частиц и когезионную способность.

ü  Разрыхляющие вещества: улучшают распадаемость или растворение, обеспечивают механическое разрушение таблеток.

•      Набухающие

•        Газообразующие

•        Улучшающие смачиваемость и водопроницаемость

ü  Антифрикционные вещества: применяются для получения хорошей текучести.

•        Скользящие

•        Смазывающие

•          Противоприлипающие

•        Пленкообразователи

ü  Корригирующие вещества: добавляют в состав таблеток с целью улучшения их вкуса, цвета (красители, пигменты) и запаха.

Видимый спектр радуги состоит из семи цветов, причем цвета расположены в строгой последовательности: красный, оранжевый, желтый, зеленый, голубой, синий, фиолетовый. Для лучшей ориентации с целью получения любого цвета из двух соседних цветов существует правило в виде диаграммы:

лекарственный клофелин фармацевтический таблетка


. Получение Клофелина


Технологическая схема (основные процессы):

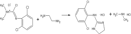
К 120 мл этиленгликоля, охлажденного до 5 С, прибавляют 116,6 г N,N-диметил-N'-(2,6-дихлорфенил)-С-хлорформамидина гидрохлорида. К суспензии при 5-10 С постепенно приливают 68 мл 72,8% этилендиамина, перемешивают при 18-23°С в течение 3 ч, поддерживая температуру охлаждением массы холодной водой, нагревают при 100-105°С 3 ч., охлаждают до 40-50°С и вакууме 10-20 мм.рт.ст. отгоняют смесь этиленгликоля и 2,6-дихлоранилина. Остаток охлаждают до 40-50°С, разбавляют 60 мл воды, перемешивают 15-20 мин, приливают конц. соляную кислоту (около 28 мл) до рН 4, перемешивают 1 ч при 18-23°С, поддерживая рН 4 прибавлением HCl, фильтруют, осадок промывают 3 раза по 12 мл воды, затем 3 раза по 40 мл ацетона и сушат сначала на воздухе, а затем при 60-80°С. Получают 71,9 г клофелина, который кристаллизуют из 165 мл кипящей дистиллированной воды с обесцвечиванием углем. Выход 57 г (56,6%).

Получают из тетраметил- или тетраэтилтиурамдисульфида по схеме:


Подлинность. Инфракрасный спектр субстанции, снятый в диске с калия бромидом, в области от 4000 до 400 см-1 по положению полос поглощения должен соответствовать спектру стандартного образца клофелина гидрохлорида.

Ультрафиолетовый спектр поглощения 0,03 % раствора субстанции в 0,1 М растворе хлористоводородной кислоты в области от 240 до 300 нм должен иметь максимумы при 272 нм и 280 нм и плечо в интервале от 263 до 267 нм.

Прозрачность раствора. Раствор 0,5 г субстанции в 10 мл воды должен быть прозрачным или выдерживать сравнение с эталоном I.

Цветность раствора. Раствор, полученный в испытании на Прозрачность раствора, должен выдерживать сравнение с эталоном Y7. рН. От 4,5 до 5,5 (5 % раствор).

,6-Дихлоранилин. Испытуемый раствор. 0,05 г субстанции растворяют в 1 мл смеси хлороформ - спирт 96 % (1:1).

Раствор сравнения. 0,05 г 2,6-дихлоранилина растворяют в 100 мл спирта 96 %. 1 мл полученного раствора разбавляют спиртом 96 % до 10 мл.

Приготовление камеры для диазотирования. В камеру с притертой крышкой помещают бюкс с 10-15 мл хлористоводородной кислоты концентрированной.

Перед помещением пластинки в кислоту вносят 3-5 г натрия нитрита.

На линию старта пластинки со слоем силикагеля 60 F254 наносят 10 мкл (500 мкг) испытуемого раствора и 10 мкл (0,5 мкг) раствора сравнения. Пластинку с нанесенными пробами сушат на воздухе в течение 5 мин, помещают в камеру со смесью углерода тетрахлорид - метанол (1:1) и хроматографируют восходящим методом. Когда фронт подвижной фазы дойдет до конца пластинки, ее вынимают из камеры, сушат на воздухе в течение 5 мин, просматривают в УФ-свете при 254 нм и отмечают пятно субстанции. Затем пластинку помещают на 5 мин в камеру для диазотирования, сушат в вытяжном шкафу в течение 15 мин и опрыскивают 2 % щелочным раствором |3-нафтола.

Пятно посторонней примеси на хроматограмме испытуемого раствора, находящееся на уровне пятна 2,6-дихлоранилина, по совокупности величины и интенсивности окрашивания не должно превышать пятно на хроматограмме раствора сравнения (не более 0,1 %).

Потеря в массе при высушивании. Около 0,5 г (точная навеска) субстанции сушат при температуре от 100 до 105 °С до постоянной массы. Потеря в массе не должна превышать 0,5 %.

Сульфатная зола и тяжелые металлы. Сульфатная зола из 1 г (точная навеска) субстанции не должна превышать 0,1 % и должна выдерживать испытание на тяжелые металлы (не более 0,001 % в субстанции).

Пирогенность. Тест-доза 50 мг субстанции в 2 мл раствора натрия хлорида 0,9 % для инъекций на 1 кг массы животного. Скорость введения - 1 мл/мин.

Испытание проводят для субстанции, предназначенной для приготовления инъекционных лекарственных форм.

Микробиологическая чистота. В соответствии с требованиями ОФС "Микробиологическая чистота".

Количественное определение. Около 0,2 г (точная навеска) субстанции растворяют в 0,5 мл муравьиной кислоты, прибавляют 25 мл уксусного ангидрида и титруют 0,1 М раствором хлорной кислоты до появления зеленого окрашивания (индикатор - 0,15 мл 0,1 % раствора кристаллического фиолетового).

Параллельно проводят контрольный опыт.

мл 0,1 М раствора хлорной кислоты соответствует 26,66 мгH9C12N3 • НС1.

Хранение. Список А. В защищенном от света месте.

. Технологический процесс производства таблеток

Выбор оптимальной технологической схемы производства таблеток зависит от физико-химических и технологических свойств лекарственных веществ, их количества в составе таблетки, устойчивости к воздействию факторов внешней среды и др.

Известно 2 основных метода получения таблеток:

Ø  прямое прессование веществ

Ø  через гранулирование.


Прямое прессование

это совокупность различных технологических приемов, позволяющих улучшить основные технологические свойства таблетируемого материала: сыпучесть и прессуемость и получить из него таблетки, минуя стадию грануляции.

Прямое прессование дает возможность получить таблетки из влаго-, термолабильных и несовместимых веществ.

Свойства лекарственных веществ, обеспечивающие непосредственное их прессование:

-        изодиаметрическая форма кристаллов,

-        хорошая сыпучесть (текучесть) и прессуемость,

         низкая адгезионная способность к пресс-инструменту таблеточной машины.

Из-за этих свойств методом прямого прессования получают менее 20 наименований таблеток

Таблетирование без грануляции (прямое прессование) осуществляется по следующим направлениям:

1)      с добавлением вспомогательных веществ, улучшающих технологические свойства материала;

2)      путем принудительной подачи таблетируемого материала из загрузочной воронки таблеточной машины в матрицу;

)        с предварительной направленной кристаллизацией прессуемого вещества.

Гранулирование

…- направленное укрупнение частиц, т.е. - это процесс превращения порошкообразного материала в зерна определенной величины.

Грануляция необходима для улучшения сыпучести таблетируемой массы.

Методы грануляции:

1.      сухая грануляция;

2.      влажная грануляция или гранулирование продавливанием;

.        структурная грануляция.

Метод сухого гранулирования

•        Перемешивание порошков, увлажнение растворами склеивающих веществ в эмалированных смесителях с последующим высушиванием до комковатой массы.

•        Массу с помощью вальцов или мельницы "Эксцельсиор" превращают в крупный порошок.

•        Грануляция размолом используется, если увлажненный материал реагирует с материалом при протирке.

•        Если лекарственные вещества разлагаются в присутствии воды, во время сушки вступают в химические реакции взаимодействия или подвергаются физическим изменения (плавление, размягчение, изменение цвета) - их подвергают брикетированию.

•        Полученные брикеты измельчают на валках или мельнице "Эксцельсиор", фракционируют с помощью сит и прессуют на таблеточных машинах таблетки заданной массы и диаметра.

При сухом методе гранулирования в состав таблетируемой массы порошков вводят сухие склеивающие вещества (например, микрокристаллическую целлюлозу, полиэтиленоксид), обеспечивающие под давлением сцепление частиц, как гидрофильных так и гидрофобных веществ.

Метод влажного гранулирования

Влажная грануляция является основным видом грануляции в производстве таблеток

Стадии влажного гранулирования:

. смешивание порошков;

Применяются смесители различных конструкций:

- с вращающимися лопастями;

шнековые;

смесовые барабаны.

. овлажнение порошков раствором связывающих веществ и перемешивание;

. гранулирование влажной массы;

. сушка влажных гранул;

. обработка сухих гранул.

Гранулятор вертикальный

- цилиндр с отверстиями; 2 - протирающие лопасти; 3 - электродвигатель; 4 - коническая передача; 5 - приемник гранул.

Сушилка с псевдоожиженным слоем

- тележка продуктового резервуара; 2 - ворошители; 3 - рукавный фильтр; 4 - вентилятор; 5 - электродвигатель; 6 - калорифер; 7 - фильтр.

Структурная грануляция

Существуют 3 способа грануляции данного типа:

1.      грануляция в дражировочном котле;

.        структурная грануляция.

Аппарат с псевдоожиженным слоем

- тележка; 2 - пневмоцилиндр подъема продуктового резервуара; 3 - продуктовый резервуар; 4 - обечайка распылителя; 5 - обечайка рукавных фильтров; 6 - встряхивающее устройство; 7 - предохранительный клапан; 8 - вентилятор; 9 - шибер; 10 - механизм управления заслонкой; 11 - корпус; 12 - фильтр воздушный; 13 - насос дозирующий; 14 - емкость для гранулирующей жидкости; 15 - распыливающий сжатый воздух; 16 - паровой калорифер

Заключение

Лекарственное лечение неразрывно связано с вопросом выбора рациональной формы, в которой лекарственное вещество или комплекс веществ должны дать лечебный (или профилактический) эффект.

Очевидно, что с расширением и изменением каталога лекарственных веществ и совершенствованием методов лечения расширялась номенклатура лекарственных форм и совершенствовалась их технология.

Чем большими преимуществами обладает та или иная лекарственная форма, тем большую ценность она представляет как структурная единица фармакотерапии и как промышленная единица.

Лекарственная форма - это материальная форма проявления диалектического единства действующих и вспомогательных веществ и соответствующих технологических операций.

Биофармация, обосновав научную трактовку лекарственной формы, требует тщательного исследования соответствия указанных компонентов (действующие и вспомогательные вещества, методы приготовления) в лекарственной форме для обеспечения оптимального действия препарата, т.е получение для нужд клиник наиболее рациональных лекарственных форм.

В настоящее время не подлежит сомнению, что оптимальная активность лекарственного вещества достигается только назначением его в рациональной, научно обоснованной лекарственной форме.

Выбор лекарственной формы одновременно определяет и способ (путь) введения лекарства в организм. Скорость действия лекарственного вещества зависит от того, какой путь для его применения избран. Например, при ректальном способе лекарственное вещество может всосаться примерно через 7 минут, а при пероральном только через 30 минут (в среднем). Если же это вещество ввести внутривенно, то его действие проявится уже через 1-2 минуты. Эффективность лекарственного вещества зависит от того, какой путь совершит лекарство до того, как оно попадет в кровь. При ректальном способе введения часть лекарственных веществ проникает в кровяное русло, минуя печень, и не подвергается химическому воздействию ее ферментов, а также желудочного сока, желчи, сока поджелудочной железы. Следовательно, сила воздействия лекарственного вещества в этом случае больше, чем при пероральном применении.

При выборе пути введения учитывается также, какой характер действия ожидается от лекарственного вещества (преимущественно местное или общее, на весь организм).

При изучении введения цистамина гидрохлорида в организм в таблетках и суппозиториях оказалось, что препарат из суппозиториев всасывается быстрее и полнее, чем из таблеток. Было установлено, что через час после введения цистамина гидрохлорида животным из суппозиториев всасывается 85,3%, а из таблеток только 58% препарата.

Несомненно, что все предложенные системы классификации ценны (каждая в своем роде), поскольку отражают отдельные стороны тории и практики лекарствоведения. Однако целесообразнее было бы использовать эти системы в сочетании друг с другом и на основе их создать новую - интегрированную классификацию, которая была бы одновременно научной, простой, неразрывно связанной с практической деятельностью аптек. Очевидно, что все лекарственные формы, приготавливаемые в условиях стерильности, выделяются в особый раздел. Стерильными могут быть лекарства разных агрегатных состояний.

Интегрированная классификация лекарственных форм позволяет при изучении той или иной лекарственной формы вначале рассмотреть все теоретические вопросы, а затем последовательно изложить основы технологии сначала мелкосерийного ее производства (аптека), а затем - промышленного (заводы, фабрики).

Литература

1.       Промышленная технология лекарств: Учебник. В 2-х томах. Том 2/ Под редакцией профессора В.И.Чуешова. - Х.: МТК-Книга; Издательство НФАУ, 2002.

2.      "Химическая энциклопедия". - Т.2. - М.: Советская энциклопедия, 1990

3.      Kleemann A. "Pharmaceutical Substances". - 2000. - С. 523

4.      Вартанян Р.С. "Синтез основных лекарственных средств". - М.: МИА, 2004. - С. 218-219

.        Токсикологический вестник. - 1999. - №5. - С. 35-36

.        Яхонтов Л.Н., Глушков Р.Г. "Синтетические лекарственные средства". - М.: Медицина, 1983. - С. 208-211

.        Промышленная технология лекарств: Учебник. В 2-х томах. Том 2/ Под редакцией профессора В.И.Чуешова. - Х.: МТК-Книга; Издательство НФАУ

.        Яхонтов Л.Н., Глушков Р.Г. "Синтетические лекарственные средства" М.:Медицина, 1983

9. Кондратьева Т. С, Л. А. Иванова, Ю. И. Зеликсон Технология лекарственных форм: Учебник в 2 томах. Том 1; под редакцией Т. С. Кондратьевой. - М.: Медицина, 1991. - 496 с.

. Муравьев И. А. Технология лекарств. Изд. 3-е, перераб. и доп. Т1, М., "Медицина", 1980, 704 с.

. Чуешов В. И. Промышленная технология лекарств: [Учебник. В 2-х т. Том 2 / В. И. Чуешов, М. Ю. Чернов, Л. М. Хохлова и др.]; Под редакцией профессора В. И. Чуешова. - Х.: МТК-Книга; Издательство НФАУ, 2002

1.      www.biofactory.com

2.      www.capsulator.ru

3.      www.lekform.ru

Похожие работы на - Производство таблеток клофелина

 

Не нашли материал для своей работы?
Поможем написать уникальную работу
Без плагиата!
Без нейросетей!