Роль международных инвестиционных компаний в развитии международного бизнеса

  • Вид работы:
    Курсовая работа (т)
  • Предмет:
    Финансы, деньги, кредит
  • Язык:
    Русский
    ,
    Формат файла:
    MS Word
    184,84 Кб
  • Опубликовано:
    2013-11-30
Вы можете узнать стоимость помощи в написании студенческой работы.
Помощь в написании работы, которую точно примут!

Роль международных инвестиционных компаний в развитии международного бизнеса

Содержание


Введение

Глава 1. Теоретические основы международного инвестирования

.1 Структура и принципы международных инвестиций

.2 Международные инвестиционные компании

Глава 2. Влияние международных инвестиционных компаний на уровень инвестиций в мировой экономике

.1 Динамика глобальных прямых инвестиций

.2 Основы инвестиционной политики международных инвестиционных компаний для устойчивого развития

Заключение

Список использованной литературы

Введение


Актуальность темы исследования можно обосновать следующими теоретическими положениями.

Инвестиции обеспечивают долгосрочный рост предприятий и имеют значительное влияние на осуществление стратегии, выбранной предприятием. Важным элементом инвестиций являются капитальные вложения - затраты на создание нового, реконструкцию и расширение действующего основного капитала. Исследование капитальных вложений компании чрезвычайно важно по нескольким причинам. На макроэкономическом уровне капитальные вложения - важная составляющая совокупного спроса и валового национального продукта. Уровень капитальных вложений во многом определяет экономический рост. На микроэкономическом уровне капитальные вложения во многом определяют стратегию компании.

Сегодня рост прямых инвестиций в производственный сектор в России сдерживается неблагоприятным инвестиционным климатом. В настоящее время развитие российской экономики в частности и мировой экономики в целом происходит в сложнейших условиях, обусловленных финансовым и платежным кризисами, банкротствами, политической нестабильностью. К основным проблемам современного этапа развития экономических процессов можно отнести спад производства, рост безработицы, нестабильные курсы валют, инфляцию, падение уровня жизни населения со многими негативными последствиями.

В условиях кризиса международные инвесторы с нарастающим интересом присматриваются к вложениям в компании реального сектора. Положительным результатом финансового кризиса можно считать переток денежной массы как раз в фонды прямых инвестиций, а через них - в реальный сектор экономики. Международные инвесторы, давно присутствующие на российском рынке, привлекают дополнительные средства и активизируют работу по скупке долей в предприятиях среднего бизнеса, имеющих хорошие перспективы роста. Более того, создаются новые фонды прямых инвестиций. Прямые инвестиции предполагают тщательный анализ бизнеса, в который вкладываются средства. В настоящее время отсутствуют модели, позволяющие дать адекватную оценку инвестиционной привлекательности субъекта инвестиций, и возможность спрогнозировать сценарии ее развития. В связи с этим важна работа по построению экономико-математических моделей формирования инвестиционной привлекательности предприятий.

Все это подчеркивает актуальность выбранной мною темы.

Целью проводимого в работе исследования является раскрытие роли международных инвестиционных компаний в развитии международного бизнеса. денежный финансовый инвестиционный вложение

Данная цель требует раскрытия следующих задач:

раскрыть структуру и принципы международных инвестиций;

изучить сущность международных инвестиционных компаний;

проанализировать динамику прямых иностранных инвестиций;

выявить перспективы инвестиционной политики международных инвестиционных компаний для устойчивого развития.

Объектом проводимого в работе исследования являются прямые иностранные инвестиции.

Предметом исследования выступают международные инвестиционные компании.

Теоретическую и информационную основу проводимого исследования составили труды отечественных ученых в области мировой экономики и международных отношений.

Глава 1. Теоретические основы международного инвестирования


1.1 Структура и принципы международных инвестиций


Состав корпоративных инвестиций можно представить двумя способами: в виде срочной структуры и "слоеного пирога" активов.

Для иллюстрации срочной структуры корпоративных инвестиций преобразуем и агрегируем левую часть баланса фирмы. Срочная структура корпоративных инвестиций приведена ниже.

Таблица 1. Срочная структура международных инвестиций

Экономическое представление

Бухгалтерское представление

Инвестиции

Активы

1. Краткосрочные инвестиции (STI)

1. Текущие активы (оборотный капитал)

2. Долгосрочные инвестиции (LTI)

2. Долгосрочные финансовые активы (портфельные инвестиции) 3. Фиксированные активы (прямые инвестиции, основной капитал)


Инвестиции фирмы (TI), отражаемые на балансе суммарными активами (TA), состоят из краткосрочных инвестиций (STI), представленных текущими активами (CA) или оборотным капиталом (WC), и долгосрочных инвестиций (LTI), представленных долгосрочными активами (LTA):

= CA(WC) + LTA  TI = STI + LTI. (1)

Оборотный капитал нефинансовой фирмы представлен денежными средствами (Cash), краткосрочными финансовыми вложениями (STFI), счетами к получению (AR), запасами (Ivr), предоплатой в пользу поставщиков (PP):

(WC) = Cash + STFI + AR + Ivr + PP. (2)

Позиция Cash (соответствует разделу № 5 "Денежные средства" в плане счетов РСБУ) - это по преимуществу остатки на текущих счетах фирмы в банках (C/A). Краткосрочные финансовые инвестиции состоят из депозитов [срочных, сберегательных (накопительных)] в банках (Dep) и краткосрочных бумаг(STSec). Последние представлены казначейскими (TB), муниципальными (MB), чужими коммерческими (CP*) простыми векселями (обязательствами), депозитными сертификатами (CD). Крупные (оптовые) депозитные сертификаты называют также (в том числе в России) банковскими векселями (BB). К этой категории активов относят также приобретенные фирмой обращаемые переводные векселя (требования) - банковские акцепты (BA):

= Dep + STSec = (TD + SD) + (TB + MB + CP * + CD(BB) + BA)

Денежные средства и краткосрочные финансовые вложения ("эквиваленты денежных средств") называют также "ликвидностью" (Lq):

Lq = Cash + STFI. (4)

Счета к получению - это счета-фактуры (инвойсы), акцептованные покупателями, но пока не оплаченные, т.е. это задолженность дебиторов перед фирмой по товарам, проданным в рассрочку. Эту позицию определяют как торговый кредит, предоставленный покупателям в товарной форме. Предоплата сделанная - это торговый кредит, предоставленный поставщикам в денежной форме. Запасы - это реальные текущие активы (сырье, материалы, полуфабрикаты, незавершенное производство, готовая продукция на складе).

Внеоборотные активы (в терминах РСБУ) представлены долгосрочными финансовыми вложениями (LTFI) и фиксированными активами (FA). Первые [портфельные инвестиции (LTPI)] состоят из вложений в инструменты капитального рынка, т.е. в чужие акции (St*), облигации (Bd*)

Фиксированные активы (прямые инвестиции DI) - это капиталовложения в долгосрочные реальные активы (основной капитал, иммобилизованные активы). Они состоят из "осязаемых" (TFA) и "неосязаемых" активов (IFA) (материальных и нематериальных - в терминах РСБУ). Первые представлены недвижимостью, заводами, оборудованием, машинами; вторые - лицензиями (на экспорт, импорт, разведку полезных ископаемых), патентами, торговыми марками, брендами, компьютерными программами, капитализированными затратами на рекламу.

Состав корпоративных инвестиций представляют также в виде "слоеного пирога" активов фирмы (рис. 1). Инвестиции делят на три категории: а) нижний (базовый, "тяжелый") слой - прямые капиталовложения в основной капитал; б) верхний ("легкий") слой - инвестиции в оборотный капитал; в) средний слой между ними - портфельные инвестиции.

Рис. 1. Слоеный пирог" международных корпоративных инвестиций

Прямые инвестиции являются своеобразной несущей конструкцией бизнеса, обусловливая основные направления операций.

Одна из функций финансового менеджмента - наилучшее распределение ресурсов фирмы среди различных инвестиционных позиций. Принятие инвестиционных решений опирается на:

бухгалтерские (аккаунтинговые);

экономические (финансовые) оценки;

метод суждения (комбинирующий два предыдущие ряда оценок и мнения экспертов).

Бухгалтерская оценка инвестиций представлена коэффициентами менеджмента активов и коэффициентами прибыльности.

Коэффициенты менеджмента активов включают коэффициенты оборота фиксированных, валовых активов, запасов, счетов к получению (дебиторской задолженности).

Цифры по инвестициям в недвижимость, оборудование подвержены воздействию таких факторов, как:

затраты на приобретение;

срок с момента приобретения;

методы амортизации.

1.2 Международные инвестиционные компании


По единодушному мнению большинства зарубежных и отечественных специалистов, наиболее динамичным сектором финансового рынка в последние годы выступают различные формы коллективного инвестирования. Инструменты коллективного инвестирования становятся все более важным элементом роста международных рынков капитала. Этот процесс находит свое отражение в мобилизации частных сбережений в различного рода коллективных инвестиционных схемах с одновременным уменьшением числа вкладов на депозитных счетах в коммерческих банках.

Международные банки осуществляют долгосрочное финансирование посредством инвестиций, обеспечивая своих клиентов капиталами для успешной международной деятельности. Инвестиционные банки оформляют также сделки по приобретению или слиянию отечественных и зарубежных компаний и оформляют документы на размещение долгосрочных долговых бумаг и акций.

Интернационализация банковской деятельности, растущий вал инвестиций и банковских услуг, а также зарубежных филиалов превращают национальные банки в финансовые ТНК (транснациональные банки). В первой десятке крупнейших банков мира - три японских (с самыми большими в мире активами: Mizuho Holdings - 1 148 917 млн долл.), два американских, в том числе Citygroup - 1 051 450 млн долл., два германских, в том числе Deutsche Bank с активами 813 619 млн долл., а также по одному банку Швейцарии, Франции, Великобритании.

В условиях глобализации банковская деятельность становится все более универсальной. Коммерческие банки занимаются инвестиционным бизнесом; инвестиционные банки - коммерческим. Активно осваиваются нетрадиционные для банков виды деятельности, такие как консалтинг, операции с недвижимостью, страхование и др. Так, Citygroup с головным офисом и активами более 1000 млрд долл. включает в свою орбиту брокерскую фирму Salomon Smith Barney, страховую компанию Travelers Group, взаимный фонд Primerica Financial и другие компании, в которых занято более 300 тыс. человек по всему миру.

Результатом возросшей деятельности банков стало превращение банков как посредников при осуществлении финансовых операций в самостоятельный субъект предпринимательства. Международный рынок капитала в результате прогресса в сфере телекоммуникаций и информационных технологий создал гигантскую сеть своих зарубежных филиалов и отделений, осуществляет кредитные операции в любой валюте, мобилизует капитал по всему миру, отыскивает те рынки, где затраты на привлечение капитала наиболее низкие, а приносимые прибыли наиболее высокие.

Международное финансирование осуществляется с помощью иностранных и европейских кредитов на рынке евровалют. Иностранные кредиты в мировой торговле до середины XX в. предоставлялись лондонскими банками в фунтах стерлингов. В 1950-1960-е гг. эти позиции заняли нью-йоркские банки, предоставляя для этих целей долларовое обеспечение. Лондонские банки, не желая терять клиентуру из-за запрета фунтового обеспечения торговых операций (для противодействия дефициту платежного баланса), стали финансировать внешнюю торговлю посредством евродолларов.

Потребность в долларах для расчета по внешнеторговым операциям возникла и у стран Центральной и Восточной Европы. Европейские банки стали открывать для них долларовые счета. Возник еврорынок - международный кредитный рынок, операции на котором осуществляются в евровалютах и который включает в себя евроденежный рынок, рынок еврокредитов, рынок еврооблигаций.

Международные финансовые центры (МФЦ) - это особая форма финансово-экономической структуры, открывающая доступ в глобальную экономику, определяющая "правила игры" ее субъектов, регулирующая и контролирующая их действия. "Деньги, - говорил Рокфеллер, - для меня регулятор материальных ресурсов. Контролируя потоки и соотношения стоимости валют разных стран, можно обеспечить перекачку ресурсов из одной страны в другую, не прикладывая никакого труда на их создание. Для этого надо сидеть на перекрестке, где сливаются потоки золота, и делать так, чтобы большая часть потекла в твою сторону". Глобальные МФЦ действуют по этому старому мудрому правилу.

Международные финансовые центры - неотъемлемая часть мировой финансовой системы. В своей деятельности они объединяют функции рынков валют и капитала, обслуживают страховые, аудиторские, юридические и управленческие услуги, участвуют в перераспределении мирового финансового дохода, взимая глобальную ренту.

МФЦ способствуют значительному притоку капиталов в страну своего пребывания, влияют на состояние национальной валюты, приносят значительные поступления по статьям платежного баланса, а также существенные средства в виде налогов и облагаемых налогом доходов высокооплачиваемых сотрудников. МФЦ обеспечивают рост занятости и улучшение инвестиционного климата.

МФЦ включают в себя три составляющие:

концентрацию инвестиционного предложения с набором инструментов, гарантирующих разнообразие выборов вариантов, обеспечивающих необходимые прибыли, защиту от рисков, соблюдение установленных сроков освоения инвестиционных средств и т.п.;

концентрацию финансового посредничества с предоставлением разнообразных финансовых услуг, становясь мощными информационно-аналитическими и организационно-управленческими комплексами.

МФЦ формируются и функционируют в странах с развитой правовой системой и защитой прав собственности, судебной системой, пользующейся доверием участников рынка, либеральным валютным законодательством и умеренным налогообложением.

Для усиленной деятельности МФЦ необходима развитая инфраструктура: наличие разветвленной кредитной системы, современной фондовой биржи с высокой капитализацией, электронных международных коммуникационных систем, квалифицированных кадров. Не последнюю роль играет и географическое расположение МФЦ.

Роль МФЦ выполняют "глобальные города" - глобальные мировые центры, обладающие этими условиями, сосредоточивающие развитие услуги информационные потоки со всего мира. В настоящее время к ним относятся Токио с 35 млн жителей, Дели, Мехико, Сан-Пауло, Джакарта, Лагос, где проживают в каждом более 20 млн человек. Ведущими глобальными МФЦ являются Нью-Йорк, Лондон, Токио; к ним приближаются Сингапур, Гонконг и другие региональные центры развивающихся стран. Эти мегаполисы, являясь локомотивами глобальной экономики, эффективно соединяют потоки товаров, капитала, информации. Они - лидеры в предоставлении кредитов и других финансовых услуг. А на долю 10 наиболее развитых мегаполисов мира приходится 20% мирового ВВП.

МФЦ становятся бизнес-площадками, предлагающими финансовые и информационные услуги. Становясь полюсами информационной экономики, они являются транснациональными рынками, где покупаются и продаются высокотехнологичные инновации, осуществляется международная торговля, организуются научные центры. Таким образом, происходит тесное взаимодействие между наукой, инновациями и финансовой деятельностью, что придает МФЦ универсальный характер глобального регулирующего инструмента мировой экономики.

Усиливающаяся конкуренция на мировых рынках, финансовая нестабильность и ослабление американского доллара, необходимость усиления интеграционных процессов в рамках СНГ остро ставят проблему о создании МФЦ в Российской Федерации, в Москве. Для этого у Москвы есть определенные базовые предпосылки: 12-е место в мире по капитализации рынка акций (1,3 трлн долл.), 40-е место в рейтинге финансовых центров мира, составленном Всемирным экономическим форумом (WEF) в 2010 г. (табл. 6.2). Москва - одна из крупнейших столиц мира, важный коммуникационный узел в системе международных хозяйственных связей, динамично развивающийся политический, транспортный, торговый и информационный центр.

Решение проблемы создания МФЦ в Москве займет одно-два десятилетия. В течение этого времени необходимо построить единую вертикально интегрированную инфраструктуру фондового рынка с консолидированной биржевой структурой и высокопрофессиональными инфраструктурными финансовыми институтами. Необходимо обеспечить упрощенный доступ иностранных инвесторов к национальному финансовому рынку посредством налогового стимулирования. В частности, рекомендуется освободить от налогообложения доходы физических лиц, получаемые от реализации ценных бумаги от дивидендов на акции. Предполагается создание в Российской Федерации крупных инвестиционных банков, открытие дочерних отделений иностранных инвестбанков. Кроме того, требуется совершенствование законодательства, облегчающего деятельность МФЦ.

Создание МФЦ в Москве требует превращение рубля в конвертируемую валюту. Этот процесс, как указывалось выше, займет одно-два десятилетия. Одним из этапов этого процесса должно стать превращение Москвы, в рамках интеграции со странами СНГ, в регионального лидера в сфере финансов и создание регионального МФЦ в Москве. Это отвечает интересам как стран СНГ, так и РФ последовательно осуществлять интеграцию своих стран в единое экономическое пространство. В противном случае Россия станет частью другого финансового центра, что будет означать лишение ее тех конкурентных преимуществ, которыми располагают МФЦ.

Глава 2. Влияние международных инвестиционных компаний на уровень инвестиций в мировой экономике


2.1 Динамика глобальных прямых инвестиций


В ежегодном анализе динамики развития инвестиций, выполненном по заказу ЮНКТАД, отмечается рост объема глобальных прямых иностранных инвестиций (ПИИ) на 16% в 2011 году. Стоит отметить, что объем ПИИ впервые превысил докризисные показатели 2005-2007 гг., несмотря на непрекращающееся влияние мирового финансового и экономического кризиса и долговой кризис в Европе.

Доклад о мировых инвестициях 2012 (ДМИ-12) - "На пути к новому поколению инвестиционной политики".

В Докладе отмечается, что "возобновление экономической неопределённости и возможность снижения темпов роста на основных развивающихся рынках могут сократить ПИИ в 2012 году. По оценкам ЮНКТАД, темпы роста объема ПИИ в 2012 году будут снижаться и составят приблизительно $1,6 трлн. Эту тенденцию подтверждают опережающие индикаторы: по итогам первых пяти месяцев 2012 года показатели по транснациональным слияниям и поглощениям (СП) и инвестициям в новые проекты демонстрировали снижение".

Среднесрочные прогнозы ЮНКТАД по основным макроэкономическим показателям по-прежнему предсказывают умеренный, но устойчивый рост ПИИ с объемами в $1,8 трлн. в 2013 году и $1,9 трлн. в 2014 году при условии отсутствия каких-либо макроэкономических потрясений. "Неуверенность инвесторов в направлении развития экономики на этот период всё ещё высока. Результаты ежегодного опроса ЮНКТАД, проведенного среди руководителей высшего звена транснациональных корпораций (ТНК), продемонстрировали, что практически половина респондентов либо нейтрально настроены, либо не определились со своими ожиданиями относительно состояния глобального инвестиционного климата на 2012 год.

Поток ПИИ из развитых стран в 2011 году резко вырос (на 25:) и составил $1,24 трлн. Такому подъему способствовали все три основных инвестиционных блока развитых стран: Европейский Союз (ЕС), Северная Америка и Япония".

ПИИ из США обусловлены рекордным уровнем реинвестированной прибыли, так как ТНК наращивали запасы зарубежной денежной наличности. Транснациональные СП способствовали увеличению объемов ПИИ из стран ЕС. Рост курса иены благоприятно сказался на покупательской способности японских ТНК, в результате чего объем ПИИ из страны удвоился; основная доля вливаний пришлась на сделки по СП в Северной Америке.

Так, по данным Бюро экономического анализа Департамента торговли США, за период 2000-2010 гг. зарубежные прямые инвестиции американских ТНК увеличились почти в 3 раза, с 1 316 до 3 908 млрд дол. США (в текущих ценах). При этом в 2010 г. 39,4% ПИИ приходилось на холдинговые небанковские компании, на сферу финансов и страхования - 20,5%, на производственную сферу - 15%, оптовую торговлю - 5%, добывающую отрасль - 4,5%, химическую отрасль - 3,6%. В целом по международной инвестиционной позиции американского капитала общие прямые инвестиции за границу в 2010 г. американскими экспертами оцениваются в объеме 4 429 426 млн дол. США, что на 8,9% превышает соответствующий показатель 2009 г. (4 067 501 млн дол.) и на 50,2% показатель 2006 г. (2 948 172 млн дол.).

Среди 2 000 крупнейших компаний по итогам 2011 г. (по версии журнала Forbes) по-прежнему доминируют США - 524 компании (26,2% от включенных в рейтинг компаний), однако, число компаний США в данном рейтинге в последние годы поступательно сокращается: в 2004 г. в рейтинг были включены 751 американская компания (37,6%), в 2008 г. - 551 (27,6%), в 2010 г. - 536 (26,8%). Сокращение количества американских компаний в мировых рейтингах происходит на фоне увеличения количества компаний из азиатских стран - Китая, Ю. Кореи, Индии, Бразилии. Так, в 2004 г. в топ-2000 компаний по версии Forbes входили компании из 51 страны, а в 2009 г. - из 62 стран, в 2011 г. - из 66 стран.

Значительным является влияние американских ТНК на собственную экономику США. Так, в 2009 г. (в последнем году, по которому имеются полные аналитические данные) насчитывалось 2 226 американских ТНК приблизительно из 30 млн компаний, работающих в США. ТНК Америки, как правило, крупные, капиталоемкие, наукоемкие и торговоемкие, они ответственны за существенную и непропорционально большую долю экономической активности США. На долю американских ТНК приходилось 23% добавленной стоимости частного сектора (небанковского) американской экономики, 30% капиталовложений, 69% исследований и разработок, 25% выплат сотрудникам, 20% занятости, 51% экспорта и 42% импорта. На деятельность ТНК в США приходилось 63% их мировых продаж, 68% их общей занятости, 70% их глобальных капиталовложений, 77% их общих выплат сотрудникам и 84% их глобальных исследований и разработок [4].

Другие тенденции глобальных ПИИ в 2011 году:

• Объем инвестиций в новые проекты, снижавшийся в стоимостном выражении на протяжении двух лет подряд, в 2011 году закрепился на отметке $904 млрд. Общая стоимость сделок по транснациональным СП за 2011 год выросла на 53% и составила $526 млрд. благодаря увеличению количества крупных финансовых сделок (стоимостью более $3 млрд.) до 62 в 2011 году, для сравнения, в 2010 году их было 44.

• Объем ПИИ в добывающий сектор и сектор услуг воспрянул после двухлетнего спада. ПИИ в сектор услуг в 2011 году составили $570 млрд; увеличение инвестиций вызвано возросшей активностью в сфере коммунальных услуг (электричество, газ и водоснабжение), транспорта и связи. Вливания в добывающий сектор, составившие $200 млрд., обусловлены стабильностью цен на сырьевые товары и укреплением отрасли.

В первую десятку классификации ЮНКТАД по индексу привлечения ПИИ, который измеряет успех экономик в привлечении ПИИ (общем объеме и притоке по отношению к ВВП), входит 8 стран с развивающейся и переходной экономикой, для сравнения, 10 лет назад только 4 страны входили в десятку. Новичками в этом списке в 2011 году стали Ирландия и Монголия. Ряд стран, не вошедших в десятку, значительно улучшили свои позиции, среди них Перу и Гана, демонстрирующие рост на протяжении последних шести лет".

2.2 Основы инвестиционной политики международных инвестиционных компаний для устойчивого развития


В Докладе о мировых инвестициях 2012 (ДМИ-12) "На пути к новому поколению инвестиционной политики" описывается стратегия использования инвестиций для стимуляции интегрирующего роста. После двухлетнего периода застоя вливания прямых иностранных инвестиций (ПИИ) в страны с переходной экономикой юго-восточной Европы, Содружества независимых государств (СНГ) и Грузии в 2011 году стали постепенно расти. Рост ПИИ в значительной мере обусловлен сделками по транснациональным слияниям и поглощениям (СП). В странах юго-восточной Европы увеличивается объем ПИИ в производственный сектор за счет конкурентоспособных производственных затрат и свободного доступа на рынки ЕС, а в странах СНГ иностранные инвестиции концентрируются в секторе добычи природных ресурсов. Развитые страны, в основном члены ЕС, оставались самым важным источником ПИИ в переходные экономики, на их долю приходилась наибольшая доля финансовых вливаний (транснациональные СП и инвестиции в новые проекты), хотя проекты, инициированные инвесторами из развивающихся стран и стран с переходными экономиками, приобретают все большую значимость.

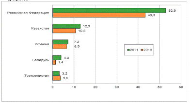
Рис. 2. Рейтинг 5 стран с наибольшим притоком ПИИ в 2010 - 2011 гг.

Рис. 3. Рейтинг 5 стран с наибольшим оттоком ПИИ в 2010 - 2011 гг.

В Докладе о мировых инвестициях 2012 отмечаются меры, предпринимаемые государствами для защиты ведущих отраслей промышленности, приводится критика некоторых положений международных инвестиционных соглашений, а также отражаются вопросы соблюдения поставщиками требований корпоративной социальной ответственности.

В связи с текущими экономическим и финансовым кризисами многие правительства продолжают стимулировать и привлекать иностранные инвестиции как источник роста. Прямые иностранные инвестиции (ПИИ) в некоторые ведущие отрасли промышленности сталкиваются с более строгими нормами и ограничениями. Кроме того, сообщается о растущем недовольстве некоторыми из основных положений международных инвестиционных соглашений (МИС). Поставщикам из развивающихся стран необходима поддержка по вопросам соблюдения сложных стандартов корпоративной социальной ответственности в глобальной системе поставок.

В свете текущих кризисов правительства изменили свою политику в отношении ПИИ с целью достижения более оптимального соотношения между либерализацией инвестиций и регулированием в некоторых ведущих отраслях промышленности. Такая тенденция подразумевает более критический подход в отношении внешних ПИИ, отражающий опасения "экспорта" рабочих мест. Аналогичным образом политика правительств в отношении международных инвестиций стремилась к более уравновешенному подходу между защитой вложений и устойчивым развитием.

Отчет предупреждает о возможном нестабильном положении и негативных последствиях для привлечения инвестиций, вызванных противоречивыми изменениями в курсе политики и поправками в законодательстве. До тех пор, пока продолжается экономический кризис, существует повышенный риск протекционистских мер в отношении инвестиций. Исследование призывает к более тесному международному сотрудничеству по данному вопросу.

Либерализация и поощрение инвестиций остаются основными задачами, но многие страны считают необходимым пересмотреть политику "открытых дверей".

ДМИ-12 приводит 67 мер, повлиявших на иностранные инвестиции, принятых в течение 2011 года в 44 странах. Из них 52 меры относятся к либерализации, поощрению и упрощению инвестиционного режима. Вместе с тем, 15 мер ввели новые ограничения или нормативные требования. По сравнению с 2010 годом процентное соотношение ограничительных мер в инвестиционной политике значительно сократилось: с почти 32 % до 22 %. Но было бы преждевременно интерпретировать данный факт как признак существенного изменения тенденции к более ограничительному климату в отношении инвестиций, преобладавшей на протяжении последних лет.

Региональные подходы, вопросы устойчивого развития и реформы международного арбитража привлекают растущее внимание в сфере международной инвестиционной политики.

С учетом заключенных в 2011 году 47 новых МИС общее число международных инвестиционных соглашений на конец 2011 года составило 3 164 договора.

Так как переговорный процесс по двусторонним инвестиционным соглашениям идет на спад, ситуация постепенно уравновешивается заключением договоров о региональных инвестициях, что приводит к системным преобразованиям в режиме МИС, говорится в ДМИ-12. Кроме того, возрастающая степень значимости устойчивого развития является составным элементом МИС и проводимой правительствами политики по международным инвестициям.

Поставщикам в развивающихся странах необходима поддержка в вопросах соблюдения многочисленных стандартов корпоративной социальной ответственности (КСО) транснациональных корпораций. Значимость стандартов КСО постоянно растет. Эти стандарты оказывают влияние на глобальную систему поставок. Транснациональные компании (ТНК) требуют от своих поставщиков в различных отраслях промышленности соблюдения стандартов КСО, включающих в себя сложные социальные и экологические показатели. Соблюдение таких требований предоставляет новые возможности для бизнеса, но в то же время является нелегкой задачей особенно для небольших компаний поставщиков в развивающихся странах. Подобные международные стандарты зачастую выходят за рамки внутренних требований и практики общего рынка принимающей страны. Также встречаются случаи противоречащих друг другу требований и стандартов, что ведет к ограничению конкурентоспособности. Помимо этого необходимо принимать во внимание возрастающие запросы потребителей и гражданского общества. Правительства, как и ТНК, могут оказать помощь поставщикам в решении этих вопросов посредством различных инициатив по наращиванию потенциала, направленных на повышение предпринимательских и управленческих навыков, укрепления существующих национальных институтов и сотрудничества с ТНК для согласования стандартов и упрощения процедуры проверки на соответствие.

Заключение


Международный финансовый бизнес - предпринимательская деятельность по покупке и продаже финансовых активов (валюты, акций, облигаций). Ареной деятельности международного финансового бизнеса выступают финансовые рынки валют и капитала.

В условиях глобальной экономики важная роль принадлежит международным финансовым организациям (МФО), деятельность которых способствует укреплению мирохозяйственных связей, экономическому росту, активизации торговых и валютно-кредитных отношений. Являясь ключевым элементом международной институциональной системы, МФО обеспечивают решение острых проблем, являются площадками для обмена мнений, установления международных норм, создания новых институциональных единиц и управления ими.

Международные финансовые центры (МФЦ) - это особая форма финансово-экономической структуры, открывающая доступ в глобальную экономику, определяющая "правила игры" ее субъектов, регулирующая и контролирующая их действия.

По единодушному мнению большинства зарубежных и отечественных специалистов, наиболее динамичным сектором финансового рынка в последние годы выступают различные формы коллективного инвестирования. Инструменты коллективного инвестирования становятся все более важным элементом роста международных рынков капитала. Этот процесс находит свое отражение в мобилизации частных сбережений в различного рода коллективных инвестиционных схемах с одновременным уменьшением числа вкладов на депозитных счетах в коммерческих банках.

Международный рынок капитала функционирует посредством банковской системы. Международные банки - коммерческие, инвестиционные - универсализуют свою деятельность, одновременно занимаясь инвестиционной и коммерческой деятельностью, а также предоставлением многообразных банковских услуг. Основные международные банки функционируют в крупных финансовых центрах мира (Лондон, Франкфурт, Токио, Нью-Йорк), превращаются в ТНБ, имеющие обширную сеть международных филиалов.

Рынок капиталов функционирует в виде рынков евровалют, еврокредитов, облигаций, акций, офшорных финансовых центров.

Важная роль в условиях глобальной экономики принадлежит международным финансовым организациям, в первую очередь МВФ, ВБ, а также региональным банкам развития.

Особое значение в реорганизации мировой финансовой системы принадлежит международным финансовым центрам (МФЦ), разрабатывающим "правила игры" на финансовых рынках, создающим социально-правовую систему деятельности финансовых учреждений для облегчения максимально возможного доступа к рынкам финансовых услуг.

Список использованной литературы


.        Бюро экономического анализа. Bureau of Economic Analysis. U.S.Department of Commerce. Официальный сайт [Электронный ресурс]. - URL:http://www.bea.gov/iTable/index_MNC.cfm/ (дата обращения 25 апр. 2013 г.).

.        Котелкин С. В. Международный финансовый менеджмент: Учебное пособие / С.В. Котелкин. - М.: Магистр: ИНФРА-М, 2010. - 605 с.

.        Кудров В. М. Мировая экономика: социально-экономические модели развития: Учебное пособие / В.М. Кудров; Государственный университет - Высшая школа экономики. - М.: Магистр: ИНФРА-М, 2011. - 399 с.

.        Международный маркетинг и бизнес: Учебное пособие / Н.К. Моисеева. - М.: КУРС: НИЦ Инфра-М, 2013. - 272 с.

.        Мировая экономика и международные экономические отношения: Учеб. / МГИМО (университет) МИД России; Под ред. А.С. Булатова, Н.Н. Ливенцева - Изд. с обновл. - М.: Магистр: НИЦ ИНФРА-М, 2013. - 654 с.

.        Мировая экономика и международные экономические отношения: Учебник / МГИМО (университет) МИД России; Под ред. А.С. Булатова, Н.Н. Ливенцева. - М.: Магистр, 2008. - 654 с.

.        Мировая экономика: Учебное пособие / В.М. Кудров. - М.: Магистр: НИЦ ИНФРА-М, 2013. - 416 с.

.        Михалкин В. А. Международный бизнес: Учебное пособие / В.А. Михалкин. - М.: Магистр: НИЦ Инфра-М, 2012. - 320 с.

.        Раджабова З. К. Мировая экономика: Учебник / З.К. Раджабова. - 3-e изд., перераб. и доп. - М.: ИНФРА-М, 2010. - 304 с.

.        Спиридонов И. А. Мировая экономика: Учеб. пособие / И.А. Спиридонов. - М.: ИЦ РИОР: ИНФРА-М, 2010. - 128 с.

.        Стрелкова И. А. Мировая экономика: Учебное пособие / И.А. Стрелкова. - М.: ИЦ РИОР: ИНФРА-М, 2011. - 267 с.

12.     World Investment report 2012: Towards a New Generation of Investment Policies, United Nations, New York and Geneva. 2012.

Похожие работы на - Роль международных инвестиционных компаний в развитии международного бизнеса

 

Не нашли материал для своей работы?
Поможем написать уникальную работу
Без плагиата!
Без нейросетей!