Перспективы и резервы развития лесной отрасли в Приморском крае на примере деятельности ООО 'Кировсклес'
Содержание
Введение
1. Современное состояние лесной отрасли Приморского края
1.1 Состояние лесного фонда Приморского края
1.2 Перспективы и резервы развития лесной отрасли в Приморском крае
2. Комплексная характеристика хозяйственной деятельности ООО
"Кировсклес"
2.1 Общая характеристика предприятия
2.2 Характеристика технологических процессов
2.3 Анализ производства и реализации продукции
2.4 Анализ использования основных средств
2.5 Анализ трудовых ресурсов
2.6 Анализ результатов производственно-хозяйственной деятельности
предприятия
3. Разработка мероприятий по повышению эффективности
производственно-хозяйственной деятельности ООО "Кировсклес"
3.1 Мероприятия по организации сортиментной заготовки древесины
3.2 Мероприятия по организации переработки отходов от лесозаготовок
на технологическую щепу
4. Технико-экономическое обоснование проектных решений
4.1 Оценка экономической эффективности проектных мероприятий
Заключение
Список использованных источников
Введение
Лесной сектор занимает важное место в мировой экономике.
Российская Федерация богата лесными ресурсами, площадь,
покрытая лесами, занимает 70% всей территории страны, общий запас древесины
превышает 80 млрд. м3. Производство и реализация продукции
лесопромышленного комплекса РФ увеличивается, но существует ряд проблем,
тормозящих ее развитие.
На сегодняшний день, лесная отрасль является одной из
приоритетных отраслей российской экономики, развитие которой требует внедрения
новых методов хозяйствования и инвестиционных вложений. В настоящее время особенностью
лесного комплекса является то, что предприятия ориентированы на заготовку
круглого леса. Причем примерно 95% от всего объема идет на экспорт. Такая
тенденция не способствует эффективному развитию отрасли. Опыт мирового ЛПК
показывает, что лесной бизнес высокоэффективен лишь при условии обеспечения
комплексной и, прежде всего, глубокой переработки сырья.
При используемых в России технологиях заготовки и переработки
древесины образуется большое количество отходов, что отрицательно сказывается
на эффективности производственной системы отрасли.
На сегодняшний день у лесной промышленности нет современной,
технически совершенной производительной системы, обеспечивающей возможность
преимущественного выпуска конкурентоспособной продукции.
Для того, чтобы изменить ситуацию, необходимо осознать, что,
опираясь на старые технологии производства, предприятие сталкивается с
множеством проблем, которых можно избежать при переходе на путь освоения
эффективных производительных инноваций.
Техническое перевооружение лесозаготовительной промышленности
должно быть направлено на улучшение результатов производства. При этом
необходимо помнить, что увеличение объемов заготовительной древесины и
повышение уровня рентабельности предприятий может считаться улучшением результатов
только в том случае, если все это достигнуто в соответствии с природоохранными
требованиями и не связано с чрезмерными затратами.
Реализовывая круглые лесоматериалы на мировом рынке,
значительно сократилось поступление круглого леса в деревообрабатывающую
промышленность. В настоящее время сократились районы лесозаготовок из-за
нехватки древесины.
В последние годы дискуссия среди ученых и специалистов по
вопросам эффективности развития лесопромышленного комплекса сильно обострилась,
особенно в связи с разработкой новой редакции "Лесного кодекса".
Важнейшие проблемы: форма собственности на лес, субъекты лесопользования,
длительность лесопользования, размер платы за него, источники финансирования
лесохозяйственных мероприятий. Экономические условия эффективного
лесопользования основываются на заинтересованности лесопользователя в полном и
рациональном использовании лесного фонда, приносящем ему прибыль.
Предприятие, начиная свою деятельность на внешнем рынке,
сталкивается с проблемами, возникающими из-за отсутствия опыта работы на рынке,
неумения вести дела с торгово-посредническими организациями; недостаточной
готовности руководителей предприятий к решению возникающих трудностей. При
выходе на внешний рынок предприятие попадает в условия жесткой международной
конкуренции. Поэтому, предприятие, планируя выход на внешний рынок, должно
разрабатывать собственную экспортную стратегию.
Основной целью дипломной работы является разработка
мероприятий по повышению эффективности лесозаготовительного производства в ООО
"Кировсклес".
В соответствии с целью ставятся следующие задачи:
лесная отрасль лесозаготовка щепа
- оценить состояние перспектив и резервов
лесной промышленности Приморского края;
- дать общую характеристику исследуемого
предприятия и провести анализ его финансово-хозяйственной деятельности;
- разработать мероприятия, повышающие
эффективность лесозаготовительного производства и производственно-хозяйственной
деятельности, и оценить их экономическую эффективность.
Отсюда объектом исследования является общество с ограниченной
ответственностью "Кировсклес", основными видами деятельности которого
являются лесозаготовка, первичная переработка древесины, лесовосстановительная
деятельность, внешнеэкономическая деятельность.
Предметом исследования является производственно-хозяйственная
деятельность предприятия и ее эффективность.
В качестве инструмента исследования использовались следующие
научные методы: изучение и анализ литературы по экономическому состоянию
предприятия, анализ практики функционирования предприятия, наблюдения,
сравнительный анализ, метод расчетно-графических показателей. Также в процессе
исследования использован динамический метод экономического анализа, различные
экономико-статистические приемы и способы, а именно: группировки, цепных
подстановок, математический, использование абсолютных и относительных величин.
1.
Современное состояние лесной отрасли Приморского края
1.1 Состояние
лесного фонда Приморского края
В Приморском крае земли лесного фонда занимают 73% (11856,7
тыс. га).
Активное освоение юга Дальнего Востока (в границах
современного Приморья) началось с середины девятнадцатого века. В результате
применения неурегулированных промышленных рубок, особенно условно-сплошных и
подневольно-выборочных, были существенно подорваны лесные ресурсы, прежде
всего, в густонаселенных районах. Особый урон нанесен ценным в хозяйственном
отношении и наиболее богатым по биологическому разнообразию флоры и фауны
кедрово-широколиственным лесам. Только за последние 40 лет площадь
кедрово-широколиственных лесов уменьшилось на 12 %.
Вырублены все лучшие кедровые леса, особенно спелые и
перестойные. Если площадь спелых и перестойных кедровников составляла в 1966 г.
91,8 %, то в 2007 г. этот показатель оказался всего 6,7%. За это время
существенно возросла площадь вторичных или производных лесов с преобладанием
малоценных пород - осины, ольхи, тополя, и др. [11, с. 5].
В результате деятельности человека существенным образом
снизилась продуктивность лесов, размер снижения древесного запаса определяется
в основном изменением состава лесов - существенным возрастанием малоценных
лиственных лесов вторичного происхождения на месте кедрово-широколиственных,
пихтово-еловых и лиственных лесов. Лесистость края составляет 77% с колебаниями
от 92% в северных до 6% в юго-западных районах. Существенной мерой
регулирования состояния лесного фонда является распределение его по группам и
категориям защитности. Наибольшую площадь занимают леса 3 группы,
лесопромышленного значения - 65,6 %, значительно меньше лесов 1 группы - 26,2%,
выполняющих защитные функции и еще меньше лесов 2 группы также в основном
защитного значения, но более доступные для лесопользования - 8,3% [11, с.8].
На лесообразовательный процесс также существенно влияют
лесные пожары, возникновение которых в большинстве случаев связано с влиянием
человека. При этом ущерб от лесных пожаров сопоставим со всеми другими
негативными факторами из - за высокой горимости лесов. Огромный урон лесным
ресурсам наносит лесное браконьерство и, прежде всего, в виде несанкционированных
рубок леса. Ежегодно в сопредельные страны переправляются тысячи кубометров
древесины ясеня, дуба, запрещенного к рубке кедра и других ценных пород.
Негативно сказывается на лесном комплексе массовое усыхание пихтово-еловых
лесов. Ежегодные потери древесины для народного хозяйства в результате усыхания
древостоев составляют около 2 %, незаконные рубки, к которым, прежде всего,
относятся рубки без разрешительных документов (так называемые самоволки). Их
объем по неофициальным данным достигает 5% от легального. С начала 1990-х годов
большая часть от общего объема заготавливаемой в крае древесины идет на экспорт
в круглом виде более 2,5 млн. м3 [32, с.47]. В последние годы
увеличивается число предприятий по переработке древесины, в том числе
комплексной, где лидером выступают предприятия группы ОАО
"Тернейлес". В целях обеспечения устойчивого лесопользования и
снижения негативного влияния рубок в Приморском крае по инициативе и при
поддержке Всемирного фонда дикой природы России начался процесс сертификации предприятий
лесного комплекса и выделение лесов высокой природоохранной ценности.
1.2
Перспективы и резервы развития лесной отрасли в Приморском крае
Лесопромышленный комплекс - многоотраслевое хозяйство.
Специалисты каждой отрасли хорошо знают ее проблемы. При благоприятном
инвестиционном климате решение этих проблем вызвало бы гармоничное развитие
всего ЛПК. Однако инвестиционный климат в стране пока неудовлетворителен. В
этой ситуации необходима концепция сил и средств на ключевых направлениях,
вложение средств, в которые даст наибольшую отдачу всему комплексу. Фактическое
освоение лесосечного фонда (главное и промежуточное пользование) в Приморском
крае в последние годы сложилось на уровне 4 млн. м3.
Имеющиеся резервы по запасам древесины в крае позволяют при
вложении соответствующих инвестиций в развитие лесодобывающей отрасли и
внедрении прогрессивных технологий добычи древесины на крутосклонах реально
увеличить объем лесозаготовок, на 1,5-2 млн. куб. За время промышленной
эксплуатации лесов в крае накопилось значительное количество молодняков, в том
числе под пологом древостоев, а также средневозрастных насаждений. Общая
площадь таких насаждений составляет более 3,8 млн. га. При проведении
лесоводственных мер ухода в этих насаждениях можно существенно ускорить
восстановление лесов с преобладанием ценных пород (кедра, ясеня, ели и др.), а
древесину, полученную от рубок ухода в объеме 1 млн. куб. в год, направить на
промышленную переработку (лесопиление, производство технологической щепы,
получение товаров народного потребления) [23, с.101]. Таким образом, для
развития лесозаготовительных мощностей, развития лесных промыслов края имеется
определенный резерв, а существующая правовая база, регламентирующая
предоставление участков лесного фонда в пользование, позволяет обеспечить
вовлечение этого резерва в хозяйственное освоение. В этом числе с привлечением
к освоению лесных ресурсов иностранного капитала.
Сдерживающим фактором в развитии объемов лесозаготовок в крае
является слабое экономическое развитие северной части, где отсутствует или
только начинает создаваться транспортная инфраструктура и соответственно нет
мощностей по переработке древесины. Перспективы развития здесь лесной
промышленности во многом зависят от развития, в том числе других отраслей производства,
от решения транспортных, энергетических проблем.
Основой развития лесной отрасли, прежде всего, видится
интенсификация лесохозяйственного производства, расширение мощностей по
глубокой переработке древесины и выпуску готовой продукции.
Для этого необходима модернизация, перепрофилирование
имеющихся лесоперерабатывающих предприятий и создание новых современных
производств по высококачественной, глубокой переработке древесины, в том числе
низкосортной, низкотоварной.
Очевидно, что сохранение только лесосырьевой специализации
края во внешнеэкономической деятельности в ближайшее десятилетие не лучший
вариант развития событий. И в рамках развития межрегиональной интеграции
первостепенной задачей должно стать восстановление и наращивание мощностей, увеличение
объемов глубокой комплексной переработки сырья, расширение ассортимента
выпускаемой продукции, как для внешнего, так и внутреннего рынка [31, c.57].
В развитии лесной и особенно лесоперерабатывающей
промышленности заложены большие возможности для достижения целей, повышения
занятости трудовых ресурсов лесных районов, без чего формирование постоянного
населения края, и соответственно, усиление позиций России на Востоке,
проблематично.
Реализация установки на глубокую переработку древесины и
расширение использования ресурсов не древесного сырья, на производство
высококачественной продукции повлечет за собой потребность в рабочей силе
высокой квалификации, даст толчок для развития специализированных заведений по
подготовке кадров, позволит задействовать научный потенциал края и
машиностроительные мощности, даст толчок для развития транспортной
инфраструктуры [30, c.5].
При стабилизации работы лесопромышленного комплекса края
экономической интеграции и выработке единой лесоэкспортной политики с
лесоэкспортерами сопредельных регионов Дальнего Востока и Восточной Сибири
возможно поведение политики стабилизации экспортных цен на лесопродукцию и
существенное усиление позиций России на лесных рынках стран. Вложение
инвестиций в лесную отрасль Приморского края желает лучшего. Даже ближайший
сосед Китай экономические проблемы Дальнего Востока, и в частности Приморья,
решать не будет. Единственный для России инвестор - это пока сама Россия с ее
внутренними резервами. Главной целью лесной политики на прогнозируемый период
является восстановление и поддержание устойчивого развития лесного комплекса
края для обеспечения лесными продуктами и услугами социальной, экологической и
экономической сфер жизни населения края.
Дополнительной целью лесной политики является обеспечение
устойчивой деятельности и развития всех составляющих лесного комплекса края,
что выражается в:
- стабильной и прибыльной производственной
деятельности всех отраслей лесного комплекса, диверсификации его продукции и
услуг, выпуске преимущественно конечных продуктов;
- получении максимального объема добавленной
стоимости из каждой единицы лесных ресурсов;
- неистощенном использовании лесов,
поддержании ее целевого состояния и динамики, как основного капитала комплекса;
- поддержание окружающей природной среды в
пределах норм, обеспечивающих природную комфортность существования населения
края и сохранение биоразнообразия.
В соответствии с названными целями лесная политика выражается
в виде нескольких основных задач: прекращение бесхозяйственной эксплуатации
лесных ресурсов; решение проблемы лесных пожаров как основа надежной и
устойчивой работы лесного комплекса; непрерывное сохранение экологической роли
лесного покрова края и его отдельных территорий в любых ситуациях и режимах как
обязательнейшее условие сохранения среды для жизни; обеспечение достоверной и
своевременной информации о лесных ресурсах, их состоянии и динамике;
использование недревесного лесного сырья; лесовосстановление через
способствование или устранение помех естественным лесовосстановительным силам
природы, как основной принцип воспроизводства лесных ресурсов в крае;
восстановление и развитие деревоперерабатывающих отраслей, включая мебельную
промышленность и выработку столярных изделий; поддержка процессов по
объединению в технологические цепочки, промышленно-финансовые группы и иные
формы производственных комплексов, малых и средних лесопромышленных
предприятий; масштабное вовлечение в деревообработку ресурсов древесины
лиственных пород, а также сопутствующей дровяной, малоценной и тонкомерной
древесины; создание четкой, взаимоувязанной и полной законодательно-нормативной
базы, составляющей фундамент последовательной реализации всех положений лесной
политики; всемирное усиление штата лесной инспекции за счет увеличения
численности инспекторов, повышения их квалификации, создания нормативных
социальных условий и усовершенствования структурно функциональной организации
деятельности контролирующих органов, в т. ч в направлении создания структур по
типу военизированных формирований; широкое сотрудничество со странами АТР во
всех взаимоприемлемых и взаимовыгодных формах. Оно должно увеличиться по
объему, расширяться по количеству партнеров, но обязательно сочетаться с
расширением деятельности ленного комплекса края на внутри-региональном и внутрироссийском
рынках; введение мер государственного регулирования экспорта древесины ценных
хвойных и твердолиственных пород в круглом виде [33, c.74].
Лесной комплекс Приморского края располагает значительными
ресурсами саморазвития, которые в настоящее время не вовлекаются в
производство, а служат источником деструктивных тенденций. Поэтому необходима
система созидательных действий по реализации имеющихся резервов со стороны
работников лесного комплекса всех уровней и всех форм собственности.
В качестве одного из путей повышения эффективности и развития
лесопромышленного комплекса предлагается увеличить объем заготовок в 1,5-2
раза, а также ограничить права мелких лесопользователей в части аренды лесов,
так как их деятельность ведет к снижению экспортных цен на круглый лес. В связи
с истощением лесного фонда необходимо внедрять в лесокультурное производство
быстрорастущие древесные породы (лиственницу, пихту, ясень).
2.
Комплексная характеристика хозяйственной деятельности ООО
"Кировсклес"
2.1 Общая
характеристика предприятия
Общество с ограниченной ответственностью
"Кировсклес" создано на основании решения учредителей 26.10.1996 г. и
зарегистрировано постановлением главы администрации Кировского района
12.11.1996 г. Полное фирменное наименование Общества: Общество с ограниченной
ответственностью "Кировсклес". Сокращенное ООО
"Кировсклес". Учредителем с 25.02.2008 г. является юридическое лицо
ООО "Лесозаводский лесоперерабатывающий комплекс" (ООО "ЛЛПК).
Местонахождение почтовый адрес Общества: Российская Федерация,
Приморский край, Кировский район, п. Кировский, ул. Колхозная, 14.
Целью деятельности общества является получение прибыли.
Предметом деятельности Общества является предпринимательская деятельность. Для
достижения поставленной цели Общество осуществляет следующие виды деятельности:
лесозаготовка, первичная переработка древесины, лесовосстановительная
деятельность, внешнеэкономическая деятельность.
Все выше перечисленные виды деятельности осуществляются в
соответствии с действующим законодательством Российской Федерации. Отдельными
видами деятельности Общество может заниматься только при получении специального
разрешения (лицензии).
Рабочим языком Общества является русский язык. Все документы,
связанные с деятельностью общества составляются на рабочем языке.
Общество имеет в собственности обособленное имущество,
учитываемое на его самостоятельном балансе, может от своего имени приобретать и
осуществлять имущественные и личные неимущественные права, нести обязанности,
быть истцом и ответчиком в суде.
Имущество Общества состоит из оплаченного уставного капитала,
полученных доходов, а также иного имущества приобретенного по всем основаниям,
допускаемым правовыми актами Российской Федерации и настоящим уставом.
Органами управления в обществе являются: Общее собрание
участников Общества; Наблюдательный совет; Генеральный директор (единоличный
исполнительный орган Общества).
Органами контроля за финансово-хозяйственной и правовой
деятельностью Общества является ревизионная комиссия.
В пределах основной деятельности, связанной с заготовкой
древесины, предприятие выполняет лесозаготовительные и лесохозяйственные
работы. Лесозаготовительный процесс включает весь комплекс работ, связанный с
заготовкой и первичной переработкой древесины - лесосечные работы, разделка
хлыстов на сортименты, транспортировка и отгрузка круглых лесоматериалов. В
данное время ООО "Кировсклес" работает на базе дорог, существующих в
пределах арендованного участка. ООО "Кировсклес" технически и
организационно подготовлен к освоению лесосырьевых ресурсов, имеет
квалифицированных специалистов, серьезно относящихся к решению вопросов,
связанных с охраной окружающей среды и, в частности, сохранению подроста, к
освоению лесосырьевых ресурсов, а также к проведению лесовоспитательных и
противопожарных мероприятий на арендуемой территории. Органами управления
лесным фондом является Кировский лесхоз и Кокшаровский лесхоз.
Участок лесного фонда ООО "Кировсклес" находится в
принятом составе кварталов Заветнинского лесничества, бывшего Окраинского
лесничества Кокшаровского лесхоза, на общей площади 10523 га, представленной в
аренду на основании договора № 24 от 07.04.2006 г., заключенного с Кокшаровским
леспромхозом. Арендуемый участок лесного фонда предоставлен в аренду ООО
"Кировсклес" на 5 лет. А также участок лесного фонда ООО
"Кировсклес" в принятом составе кварталов Ключевского лесничества,
Марьяновского лесничества Кировского лесхоза на общей площади 66259 га,
представленного в аренду на основании лицензии №3 от 26.12.1997 г., выданной лесхозом
и утвержденной администрацией Приморского края. Арендуемый участок лесного
фонда предоставляется в пользование ООО "Кировсклес" на срок 25 лет.
Срок действия настоящего плана рубок - 5 лет. Лесоустроительные работы на
арендуемой территории выполнены в соответствии с требованиями "Инструкции
по проведению лесоустройства в лесном фонде Росси" с использованием
аэрофотоснимков масштаба 1: 15 000.
Один арендуемый участок лесного фонда находится в Кировском
районе и предоставлен лесами I, II и III групп.
Леса I группы предоставлены категорией защитности - запретные
полосы лесов по берегам рек, леса II группы - эксплуатируемые леса и леса III
группы - освоенные леса.
Основное назначение лесов I группы - создание и сохранение
оптимальных условий водного режима рек и защита берегов от разлива. Основное
назначение лесов II и III группы - удовлетворение народного хозяйства в
древесине, кроме того, они также выполняют защитные и климаторегулирующие
функции, являются местом сбора пищевого и лекарственного сырья, охотничьего промысла.
Приведенное разделение лесов на группы и категории защитности
позволяет организовать лесное хозяйство на арендуемой территории на
научно-обоснованных принципах, обеспечивающих всестороннее использование
полезных свойств леса, повышения производительности лесов для удовлетворения
потребности в древесине. Рубки главного пользования в лесах I, II и III группы,
исходя из возраста, структуры строения, народного состава, полноты древостоев и
крутизны склонов, предусматриваются выборочными сплошнолесочными способами в
соответствии с организационно - техническими параметрами элементов лесосек.
Второй арендуемый участок находиться на территории
Чугуевского района и предоставлен лесами III группы. В лесах III группы в
пределах арендуемого участка образованны следующие хозяйственные секции:
- елово-пихтовая;
- лиственничная;
- кедровая;
- широколиственная;
- мягколиственная.
В лесах III группы предусмотрены выборочные и сплошные рубки.
Все леса арендуемой территории отнесены к горным. При всех способах рубок отчистка
мест рубок производится одновременно с рубкой леса способами, исключающими
повреждения и уничтожения сохраненного в процессе лесозаготовок подроста,
порубочные остатки укладываются на волока и укатываются трелевочными
тракторами.
Арендуемая территория характеризуется высокой лесистостью
(97,5%). Нелесные земли занимают 2% площади арендуемой территории. По данным
учета лесного фонда среди древесных пород преобладает кедр - 34 % и далее
следует: ясень - 22%, липа - 20%, 10% занимает береза желтая, 6% - ель, дуб - 4
% и береза белая - 4 % [5, c.4-7]. На рисунке 2.1 показано, что в лесном фонде
преобладают хвойные породы.
Рисунок 2.1 - Структура древесных пород лесного фонда ООО
"Кировсклес"
Среди возможных для эксплуатации преобладают твердолиственные
породы - 62 %, среди которых 57 % спелых и перестойных. На долю хвойных пород
приходится 21%, среди которых 60 % спелых и перестойных. Среди спелых
насаждений, возможных для эксплуатации, наибольшая концентрация запасов
древесины на 1 га сосредоточены в лесах с преобладанием твердолиственных пород,
в среднем 144 м3 с преобладанием хвойных пород 141 м3.
Заготовка древесины ведется от рубок главного пользования,
рубок ухода, санитарных рубок и прочих рубок.
Лесоводственные требования к организации и технологии
лесосечных работ, установленные для конкретных участков рубки главного
пользования, должны осуществляться с применением технологии и технических
средств, лесосечных работ, прошедших в установленном порядке, государственную
экологическую экспертизу, обеспечивающую сохранение подроста или последующее
восстановление леса, сохранение лесорастительных условий, исключение или
ограничение отрицательных последствий рубки леса.
2.2
Характеристика технологических процессов
Стадии технологического процесса переработки древесины
представлены на рисунке 2.2.
Рисунок 2.2 - Технологический процесс заготовки древесины
На основе схемы технологического процесса рассмотрим
содержание каждого этапа.
) Лесозаготовка. Лесосеки отводятся в соответствии с
"Наставлениями по отводу и таксации лесосек в лесах Российской Федерации".
В натуре они ограничиваются визирами и закрепляются на местности постановкой
столбов. Перед разработкой лесосек для каждой лесосеки разрабатываются
технологическая карта, в которой в соответствии с данными, полученными в
результате осмотра, предусматривается технологическая схема лесосечных работ,
наиболее отвечающая лесоводственным и эксплуатационным требованиям, включая
расположение волоков, верхних склонов.
Подготовительные работы по лесосеке проводятся в соответствии
с инструкцией по подготовке лесосек. Подготовительная бригада устраивает
верхний склад (погрузочную площадку), прорубает магистральный валок и
прокладывает лесовозные усы. При работе на деляне прокладка волоков и уборка
опасных деревьев производится в процессе выполнения основных операций.
Перед началом разработки лесосека разбивается на пасеки с
направлением вдоль склона шириной 30-40 метров в зависимости от средней высоты
древостоя, с прокладкой пасечных волоков посередине. Валка деревьев
осуществляется с ближнего от верхнего склада конца пасеки. На валке
задействовано 2 человека: вальщик и помощник вальщика. Деревья валятся под
углом 3000 к направлению трелевки. Трелевка деревьев производится за
вершины. После завершения валки вальщик обрезает вершины. Трелевочный трактор
ТТ-4 заезжает на волок на расстояние, необходимое для комплектования пачки.
Сбор пачки осуществляется при движении трактора в направлении к погрузочной
площадке строго по волоку с периодическими остановками, когда череновщик
укрепляет деревья чокером за вершины, после чего тракторист затаскивает их на
щит. При этой технологии сохраняется 70% подроста (в зимнее время). Если
подрост отсутствует, что бывает крайне редко, то трелевка может проводиться и
за комли [26, c.57-59].
) Вывозка леса из верхнего склада. Вывозка хлыстов с верхнего
склада производится лесовозами Мицубиси.
Погрузка леса в лесовозы производится погрузчиком М-65 на
базе трелевочного трактора. Затем с верхнего склада лес доставляется на нижний
склад.
) Технологический процесс нижнего склада. После того, как
лесовозы привезли лес на нижний склад, его разгружают челюстным погрузчиком
ЛТ-65, затем раскладывают на ленты для дальнейшей распиловки. Раскряжевка леса
производиться бензопилой Хускварна. Сначала разметчик размечает лес на
сортимент (3 или 4 метра), затем раскряжевщик распиливает его и обрезает сучки.
Выборка сортимента с лент производится автомашиной Фискарс и раскладывается в
штабеля по породам и сортам. Отгрузка леса с нижнего склада производится также
автомашиной Фискарс на сортиментовозы КАМАЗ и вывозится на ст. Шмаковка для
дальнейшей отгрузки на экспорт.
) Технологический процесс отгрузки леса на экспорт. Отгрузка
леса на экспорт производится автомашиной Фискарс, оборудованной установкой
СФ-65 в полувагоны или платформы. Мастер по погрузке ведет учет погруженного
леса в вагон, смотрит, чтобы загрузка производилась согласно технических
условий. ООО "Кировсклес" работает по ВПД (Временное предварительное
декларирование).
Так как ООО "Кировсклес" занимается отгрузкой леса,
оно имеет лицензию на погрузочно-разгрузочную деятельность. В целях контроля
поступающей и отправленной продукции мастер погрузки ведет компьютерный учет
леса по каждой в отдельности. В конце месяца мастер предоставляет отчет в
бухгалтерию, таможню и управление лесами.
2.3 Анализ производства
и реализации продукции
Основными задачами анализа являются:
- оценка выполнения плана производства и
реализации продукции;
- оценка динамики производства и реализации
продукции;
- определение влияния факторов на изменение
величины этих показателей.
Объем реализации продукции определяется по отгрузке продукции
покупателям. От того, как продается продукция, имеет она спрос или нет, зависит
объем производства продукции. Наличие объема производства, повышение качества
продукции и ее реализация влияют на прибыль и рентабельность предприятия [1, c.63].
Анализ выполнения плана по производству и реализации
продукции приведен в таблице 2.1.
Таблица 2.1 - Анализ выполнения плана по производству и
реализации продукции
|
Показатель
|
2007 г.
|
2008 г.
|
Изменение
|
|
план, м3
|
факт, м3
|
% к плану
|
план, м3
|
факт, м3
|
% к плану
|
м3
|
%
|
|
Товарная
продукция
|
52208
|
74246
|
+42,2
|
58756
|
78912
|
+34
|
4666
|
6,3
|
|
Объем заготовки
|
35000
|
43855
|
+25,3
|
35000
|
43877
|
+25,4
|
22
|
0,1
|
|
Объем вывозки
|
35000
|
42775
|
+22,2
|
35000
|
45050
|
+28,7
|
2275
|
5,3
|
|
Объем разделки
|
35000
|
44364
|
+26,8
|
35000
|
44121
|
+26
|
-243
|
-0,5
|
|
Круглый
лесоматериал
|
24100
|
33814
|
+ 40,3
|
24460
|
36896
|
+50,8
|
3082
|
9,1
|
|
Объем погрузки
|
21700
|
31965
|
+47
|
22060
|
34007
|
+54
|
2042
|
6,4
|
|
Пиловочник
хвойный
|
9300
|
8544
|
-8,1
|
11700
|
9817
|
-16,1
|
1273,1
|
14,9
|
|
Пиловочник лиственный
|
12000
|
23421
|
+95,2
|
12760
|
26250
|
+106
|
2829
|
12,1
|
|
Балансы
|
400
|
-
|
-
|
-
|
-
|
-
|
0
|
|
Из таблицы видно, что товарная продукция за 2007-2008 гг.
увеличилась на 6,3 %, на что повлияло увеличение объема заготовки. Объем
заготовок увеличился на 0,1%, это произошло из-за увеличения лесосечного фонда.
Пиловочник хвойный увеличился на 14,9%, это произошло из-за выделенного
лесосечного фонда, на котором присутствует в большом количестве пиловочник
лиственных пород. Анализ динамики производства и реализации продукции приведен
в таблице 2.2.
Таблица 2.2 - Анализ динамики производства и реализации
продукции
|
Показатель
|
2007 г.
|
2008 г.
|
Изменение
|
|
|
|
абсолютное
|
относительное
|
|
Лесоматериалы
круглые, м3
|
33814
|
36896
|
3082
|
9,1%
|
|
Товарная
продукция, м3
|
74245,5
|
78912,1
|
4666
|
6,3%
|
|
Средняя цена
реализации за 1 м3, руб.
|
1707
|
1801,9
|
94,9
|
5,6%
|
Из таблицы видно, что на предприятии происходит рост объемов
производства и реализации продукции, а также увеличение средней цены
реализации. На результаты хозяйственной деятельности большое влияние оказывает
структура производства реализации продукции; на увеличение цены влияет как
увеличение качества продукции, так и заготовка древесины более ценных пород,
таких как ясень, дуб. Цена на эту древесину выше, чем у других пород.
ООО "Кировсклес" само заготавливает древесину, но
помимо этого закупает лес у Кировского лесхоза. Покупателями лесопродукции ООО
"Кировсклес" являются две китайские компании: ООО "Синьда"
и Суньфеньхескал ВЭТК "Хен Я". С этими компаниями ООО
"Кировсклес" работает более 10 лет.
2.4 Анализ
использования основных средств
Одним из важнейших факторов увеличения объема производства
продукции на предприятии является обеспеченность его основными средствами в
необходимом количестве и ассортименте и эффективное их использование. Основными
задачами анализа являются:
- определение обеспеченности предприятия
основными средствами и уровня их использования;
- выявление причин изменения их уровня;
- расчет влияния основных средств на объем
продукции и другие показатели;
- изучение степени использования
производственной мощности предприятия и оборудования;
- установление резервов повышения
эффективности использования основных средств [27, c.79].
Анализ начинается с изучения объема основных средств их
динамики и структуры по данным бухгалтерской отчетности. Анализ проведен в
таблице 2.4.
Таблица 2.4 - Анализ структуры основных средств
|
Показатель
|
2007 г.
|
2008 г.
|
Изменение
|
|
тыс. руб.
|
удельная доля,
%
|
тыс. руб.
|
удельная доля,
%
|
тыс. руб.
|
%
|
|
Сооружения и
передаточные устройства
|
2674
|
42,29
|
2674
|
32,36
|
0,00
|
0
|
|
Здания
|
375
|
5,93
|
375
|
4,54
|
0,00
|
0
|
|
Машины и
оборудование
|
3000
|
47,45
|
4940
|
59,78
|
1940,00
|
65
|
|
Транспортные
средства
|
274
|
4,33
|
274
|
3,32
|
0,00
|
0
|
|
Всего
|
3184
|
100
|
2810
|
100
|
1940,00
|
65
|
Графически структура основных фондов изображена на рисунке
2.3.
Рисунок 2.3 - Структура основных фондов на конец 2008 г.
Из таблицы 2.4 видно, что за 2008 год происходит увеличение
стоимости машин и оборудования на 1940 тыс. руб., что привело к увеличению их
удельного веса в общей структуре основных производственных фондов в с 47% до
60%.
Данные о движении и техническом состоянии основных средств
отражены в таблице 2.5.
Таблица 2.5 - Данные о движении и техническом состоянии
основных средств
|
Показатель
|
2007 г.
|
2008 г.
|
Изменение
|
|
Степень
обновления, %
|
0,007
|
0,31
|
0,24
|
|
Срок
обновления, лет
|
14,2
|
2,45
|
-11,75
|
|
Коэффициент
выбытия
|
0,003
|
0,10
|
0,097
|
|
Коэффициент
прироста
|
0,067
|
0,31
|
0,243
|
|
Коэффициент
износа
|
0,56
|
0,49
|
-0,07
|
|
Коэффициент
годности
|
0,44
|
0,51
|
0,07
|
Схематически рассчитанные показатели изображены на рисунке
2.4.
Рисунок 2.4 - Динамика коэффициентов движения и технического
состояния основных фондов
Расчеты показывают, что за 2007-2008 гг. произошло снижение
коэффициента износа на 0,07% и срока обновления на 12%. При этом увеличились
коэффициенты выбытия, прироста и годности соответственно на 0,1%, 0,2% и 0,07%.
Обобщающими показателями, характеризующими уровень
обеспеченности предприятия основными производственными фондами, являются фондовооруженность
и техническая вооруженность труда.
Показатель общей фондовооруженности труда рассчитывается
отношением среднегодовой стоимости промышленно - производственных фондов к
среднесписочной численности рабочих.
Фондоовооруженность (Фвоор.),
вычисляется по формуле:
(1),
где ОПФ - основные производственные фонды, руб;
Чппп - численность промышленно-производственного персонала, чел.
Для обобщающей характеристики эффективности и интенсивности
использования основных производственных фондов используем следующие показатели.
Фондорентабельность (RОПФ) - отношение прибыли от основной
деятельности к среднегодовой стоимости основных средств, вычисляется по
формуле:
(2),
где П - прибыль от основной деятельности, руб;
Фондоотдача (ФО) - отношение
стоимости произведенной продукции к среднегодовой стоимости ОПФ:
(3),
где ТП - товарная продукция, руб.
Фондоемкость (Фем) - отношение среднегодовой стоимости ОПФ к
стоимости произведенной продукции [3, c.59-63]:
(4).
Исходную информацию для анализа показателей фондоотдачи и
фондорентабельности, приведем в таблице 2.6.
Таблица 2.6 - Анализ фондоотдачи и фондорентабельности
|
Показатель
|
2007 г.
|
2008 г.
|
Изменение
|
|
|
|
абсолютное
|
относительное
|
|
Товарная
продукция, тыс. руб.
|
74246
|
78912,1
|
4667
|
6,3%
|
|
Среднегодовая
стоимость ОПФ, тыс. руб.
|
3184
|
2810
|
-374
|
-11,7%
|
|
Фондорентабельность,
%
|
1,76
|
-0,04
|
-2,2%
|
|
Фондоотдача
ОПФ, руб.
|
23,3
|
28,1
|
4,8
|
20,6%
|
|
Фондоемкость
|
0,04
|
0,035
|
-0,005
|
-12,5%
|
Из таблицы видно, что увеличение товарной продукции в 2008
году по сравнению с 2007 годом повлекло за собой увеличение фондоотдачи на 21%
и снижение фондоемкости на 12,5%. На снижение фондорентабельности повлияло
снижение прибыли и стоимости основных фондов.
2.5 Анализ
трудовых ресурсов
От обеспеченности предприятия трудовыми ресурсами и
эффективности их использования зависят объем и своевременность выполнения всех
работ, степень использования оборудования, машин и механизмов, а также объем
производства продукции, ее себестоимость и ряд других экономических
показателей.
Основными задачами анализа являются:
- изучение обеспеченности предприятия
персоналом;
- оценка экстенсивности, интенсивности и
эффективности использования персонала;
- выявление резервов более полного и
эффективного использования персонала.
Обеспеченность предприятия трудовыми ресурсами определяется
путем сравнения фактического количества работников по категориям с плановой потребностью
[21,
c.37-40].
Данный анализ проведем в таблице 2.7.
Таблица 2.7 - Обеспеченность предприятия трудовыми ресурсами
|
Категория
работников
|
2007 г.
|
Отклонение,
чел.
|
2008 г.
|
Отклонение,
чел.
|
|
план, чел.
|
факт, чел.
|
|
план, чел.
|
факт, чел.
|
|
|
Численность
рабочих: основной персонал неосновная деятельность
|
126 18
|
126 56
|
+38
|
125 40
|
125 47
|
+7
|
|
Специалисты
|
9
|
9
|
-
|
9
|
9
|
-
|
|
Служащие
|
4
|
4
|
-
|
4
|
4
|
-
|
|
Всего
|
157
|
195
|
+38
|
178
|
185
|
+7
|
Из таблицы 2.7 видно, что в 2007 году переизбыток людей,
занятых неосновной деятельностью, составлял 38 человек, а в 2008 году данный
показатель значительно сократился до 7 человек.
Анализ движения персонала проведен в таблице 2.8.
Таблица 2.8 - Анализ движения кадров
|
Показатель
|
2007 г.
|
2008 г.
|
Изменение
|
|
|
|
абсолютное
|
относительное
|
|
Среднесписочная
численность
|
195
|
185
|
-10
|
-5,1%
|
|
Принято на
работу
|
17
|
20
|
3
|
17,6%
|
|
Уволено: по
собственному желанию за нарушение дисциплины по уходу на пенсию по призыву в
Вооруженные силы
|
16 1
|
25
|
9 1
|
56,3% 100%
|
|
Коэффициент
оборота по приему
|
0,09
|
0,11
|
0,02
|
22%
|
|
Коэффициент
оборота по выбытию
|
0,09
|
0,14
|
0,05
|
56%
|
|
Коэффициент
общего оборота
|
0,17
|
0,24
|
0,07
|
41%
|
|
Коэффициент
текучести кадров
|
0,08
|
0,14
|
0,05
|
62%
|
По данным таблицы 2.8 видно, что на предприятии текучесть
кадров за 2007-2008 гг. увеличилась на 62%. Это может происходить из-за низкой
заработной платы и сложных условий труда.
Для оценки уровня интенсивности использования персонала
применяется система показателей производительности труда. Анализ
производительности труда произведем в таблице 2.9.
Таблица 2.9 - Анализ производительности труда
|
Показатель
|
2007 г.
|
2008 г.
|
Изменение
|
|
|
|
абсолютное
|
относительное
|
|
Товарная
продукция, тыс. руб.
|
74245,5
|
78912,1
|
4666,6
|
6,3%
|
|
Объем
лесозаготовок, м3
|
43855
|
43877
|
22
|
0,1%
|
|
Численность,
чел. в том числе:
|
195
|
185
|
-10
|
-5,1%
|
|
рабочих
|
163
|
159
|
-4
|
-2,5%
|
|
На
лесозаготовках
|
126
|
125
|
-1
|
-0,8%
|
|
Выработка на
одного работающего, тыс. руб.
|
380,75
|
426,6
|
45,85
|
12,0%
|
|
Выработка на
одного рабочего, тыс. руб.
|
455,49
|
496,3
|
40,81
|
9,0%
|
|
Комплексная
выработка, м3
|
348,06
|
351,02
|
2,96
|
0,9%
|
Из таблицы 2.9 видно, что в 2008 году по сравнению с 2007 г.
выработка на одного работника уменьшилась на 45,85 тыс. руб., а комплексная
выработка увеличилась на 2,96 м3 - это произошло из-за уменьшения
численности.
Анализ заработной платы проведен в таблице 2.10.
Таблица 2.10 - Анализ заработной платы
|
Показатель
|
2007 г.
|
2008 г.
|
Изменение
|
|
|
|
абсолютное
|
относительное
|
|
Фонд заработной
платы, тыс. руб.
|
13356
|
16751
|
3395
|
25,4%
|
|
Численность
ППП, чел.
|
195
|
185
|
-10
|
-5,1%
|
|
Среднегодовая
заработная плата, тыс. руб.
|
68,5
|
90,55
|
22,05
|
32,2%
|
|
Среднемесячная
заработная плата, руб.
|
5708
|
7545
|
1837
|
32,2%
|
Из таблицы видно, что в 2008 году происходит рост заработной
платы: среднемесячной на 1837 руб. или на 32,2%, среднегодовой - на 22,05 тыс.
руб. или на 32,2%. В то же время произошло уменьшение численности на 10
человек.
В процессе анализа установим соотношение между темпами роста
заработной платы и производительностью труда. Для получения необходимой прибыли
и рентабельности необходимо, чтобы темпы роста производительности труда
опережали темпы роста его оплаты. Темпы прироста производительности труда за
2007-2008 гг. составили 1,12, фонда заработной платы - 1,25. При этом сумма
экономии (перерасхода) фонда заработной платы за счет изменения данных
соотношений за 2007-2008 гг. рассчитывается по формуле:

(5),
где Э - сумма экономии (перерасхода) фонда оплаты труда, тыс. руб;

- фонд заработной платы в отчетном периоде, тыс. руб.;

- индекс изменения фонда заработной платы;

- индекс изменения производительности труда [4, c.85].
То есть перерасход фонда заработной платы составил 1389,02 тыс.
руб.
2.6 Анализ
результатов производственно-хозяйственной деятельности предприятия
Необходимым условием для наращивания объемов производства
продукции, снижения ее себестоимости, роста прибыли, рентабельности является
полное и своевременное обеспечение предприятия материальными ресурсами. Для
характеристики эффективности материальных ресурсов применим систему
показателей: прибыль на рубль материальных затрат, материалоотдача,
материалоемкость, удельный вес материальных затрат в себестоимости продукции,
коэффициент материальных затрат [10, c.53].
Анализ себестоимости продукции начнем с изучения общей суммы
затрат в целом и по основным элементам. Анализ проведен в таблице 2.11.
Таблица 2.11 - Анализ структуры себестоимости по элементам
затрат
|
Элементы затрат
|
2007 г.
|
2008 г.
|
Изменение
|
|
тыс. руб
|
удельная доля,
%
|
тыс. руб
|
удельная доля,
%
|
|
|
|
|
|
|
абсолютное
|
относительное,
%
|
|
Материальные
затраты
|
47527
|
67,94
|
47506
|
61,81
|
-21
|
-0,04
|
|
Затраты на
оплату труда
|
13319
|
19,04
|
18784
|
24,44
|
5465
|
41,0
|
|
Отчисления на
оплату труда
|
4911
|
7,02
|
5611
|
7,3
|
700
|
14,3
|
|
Амортизация
|
770
|
1,1
|
922
|
1,2
|
152
|
19,7
|
|
Прочие затраты
|
3428
|
4,9
|
3997
|
5,2
|
569
|
16,6
|
|
Итого
|
69955
|
100
|
76858
|
100
|
6903
|
9,9
|
Схематически динамика структуры издержек показана на рисунке
2.5.
Рисунок 2.5 - Структура издержек ООО "Кировсклес"
Проанализировав данные таблицы 2.11 и рисунка 2.5 видно, что
в 2008 году происходит увеличение себестоимости продукции на 6903 тыс. руб. На
данный рост повлияло увеличение сумм затрат по следующим элементам: затрат на
оплату труда - 5465 тыс. руб., отчислений на заработную плату - 700 тыс. руб.,
амортизации - 152 тыс. руб., прочих затрат на 569 тыс. руб. Наибольший удельный
вес в структуре себестоимости занимают материальные затраты, по сравнению с
2007 годом, в 2008 году происходит их снижение в структуре себестоимости. На
основании приведенных данных можно сделать вывод, что материалоемкость
продукции на анализируемом предприятии снизилась.
Финансовые результаты деятельности предприятия
характеризуются суммой полученной прибыли и уровнем рентабельности. Чем больше
величина прибыли и выше уровень рентабельности, тем эффективнее работает
предприятие и устойчивее его финансовое состояние.
Рентабельность продукции (коэффициент окупаемости
затрат) исчисляется путем отношения прибыли от реализации до выплаты налогов к
сумме затрат на продукцию. Показывает, сколько предприятие имеет прибыли с
каждого рубля, затраченного на производство и реализацию продукции.
Рентабельность продаж рассчитывается делением
прибыли от реализации продукции до выплаты процентов на сумму полученной
выручки. Характеризует эффективность производственной и коммерческой
деятельности: сколько прибыли имеет предприятие с рубля продаж.
Рентабельность оборотных активов - это отношение суммы
чистой прибыли к величине оборотных активов.
Рентабельность внеоборотных активов - это отношение суммы
чистой прибыли к величине внеоборотных активов [22, c.46-49].
Анализ показателей рентабельности проведем в таблице 2.12.
Таблица 2.12 - Расчет показателей рентабельности
|
Показатель
|
2007 г.
|
2008 г.
|
Изменение
|
|
|
|
абсолютное
|
относительное
|
|
Выручка от
реализации, тыс. руб.
|
75741
|
81845
|
6104
|
8,1%
|
|
Себестоимость
продукции, тыс. руб.
|
69973
|
76858
|
6885
|
9,8%
|
|
Валовая
прибыль, тыс. руб.
|
5768
|
4970
|
-798
|
-13,8%
|
|
Чистая прибыль,
тыс. руб.
|
2802
|
1565
|
-1237
|
-44,1%
|
|
Сумма оборотных
активов, тыс. руб.
|
9514
|
7940
|
-1574
|
-16,5%
|
|
Сумма
внеоборотных активов, тыс. руб.
|
3430
|
4810
|
1380
|
40,2%
|
|
Рентабельность,
%: продукции
|
8,2
|
6,5
|
-1,7
|
-20,7%
|
|
- продаж
|
7,6
|
6,1
|
-1,5
|
-19,7%
|
|
- оборотных
активов
|
29,5
|
19,7
|
-9,8
|
-33,2
|
|
- внеоборотных
активов
|
81,7
|
32,5
|
-49,2
|
-60,2%
|
Из данных таблицы видно, что происходит снижение
рентабельности продукции и продаж, что свидетельствует об опережении темпов
роста себестоимости темпов роста прибыли. Также произошло незначительное
рентабельности оборотных и внеоборотных активов (на 33% и 60% соответственно),
что связано со снижением чистой прибыли на 44% и увеличением внеоборотных
активов на 40%.
Сведенные технико-экономические показатели деятельности ООО
"Кировсклес" показаны в таблице 2.13.
Таблица 2.13 - Основные технико-экономические показатели ООО
"Кировсклес"
|
Показатель
|
2007 г.
|
2008 г.
|
Изменение
|
|
|
|
абсолютное
|
относительное,
%
|
|
Заготовка, м3
|
43855
|
43877
|
22
|
0,1
|
|
Объем вывозки,
м3
|
42775
|
45050
|
2275
|
5,3
|
|
Разделка, м3
|
44364
|
44121
|
-243
|
-0,5
|
|
Погрузка, м3
|
31965
|
36067
|
4102
|
12,8
|
|
Выручка от
реализации, тыс. руб.
|
75741
|
81845
|
6104
|
8,1
|
|
Среднегодовая
стоимость ОПФ, тыс. руб.
|
3184
|
2810
|
-374
|
-11,7
|
195 126
|
185 125
|
-10 1
|
-5,1 0,8
|
|
Фондоотдача
|
23,3
|
28,1
|
4,8
|
20,6
|
|
Выработка на
одного рабочего, тыс. руб. /чел
|
380,75
|
426,60
|
45,9
|
12,0
|
|
Комплексная
выработка, тыс. руб. /чел
|
348,06
|
351,02
|
3,0
|
0,9
|
|
Себестоимость
реализованной продукции, тыс. руб.
|
69973
|
76858
|
6885
|
9,8
|
|
Затраты на 1
рубль
|
0,92
|
0,94
|
0,02
|
2,2
|
|
Прибыль от
продаж, тыс. руб.
|
5768
|
4970
|
-798
|
-13,8
|
|
Чистая прибыль,
тыс. руб.
|
2802
|
1565
|
-1237
|
-44,1
|
|
Рентабельность
продаж, %
|
7,6
|
6,1
|
-1,5
|
-19,7
|
|
Рентабельность
продукции, %
|
8,2
|
6,5
|
-1,7
|
-20,7
|
Анализируя основные технико-экономические показатели
деятельности ООО "Кировсклес" за 2007-2008 гг. можно сделать
следующие выводы:
- объем продаж увеличивается за счет повышения
качества продукции и естественного роста цен;
- несмотря на увеличение выручки от
реализации на 8% происходит снижение чистой прибыли на 44% за счет опережающих
темпов роста издержек на предприятии (10%);
- в связи с сокращением численности персонала
произошло незначительное увеличение выработки на одного рабочего;
- рентабельность продукции и продаж
снизилась соответственно на 21% и 20%.
Финансовое состояние предприятия характеризуется размещением
и использованием средств и источниками их формирования.
Анализ финансового состояния предприятия начинается с
изучения актива и пассива баланса, его отдельных разделов, ликвидности баланса.
Основными источниками информации для анализа финансового
состояния предприятия служат бухгалтерский баланс, отчеты о прибылях и убытках,
о движении капитала, о движении денежных средств [2, c.10].
Анализ состава и структуры статей актива баланса и его
динамики проведем в Приложении А.
В составе статей актива баланса происходит снижение общей
суммы на 194 тыс. руб. На данное снижение повлияло уменьшение суммы оборотных
активов на 1574 тыс. руб. В разделе 1 "Внеоборотные активы"
происходит рост на 1380 тыс. руб. Основную часть в данном увеличении занимает
рост незавершенного строительства на 1754 тыс. руб [6, c.356-360].
Анализ состава и структуры статей пассива баланса и его
динамики проведем в Приложении Б.
Снижение общей суммы пассива баланса составляет 194 тыс. руб.
В пассиве баланса наблюдается рост заемных средств на 1172 тыс. руб. Также
отмечено снижение общей кредиторской задолженности предприятия на 1520 тыс.
руб. В составе кредиторской задолженности наибольшее снижение произошло по
задолженности перед персоналом на 816 тыс. руб., и прочих кредиторов на 1497
тыс. руб. В то же время происходит рост задолженности перед поставщиками и
подрядчиками на 532 тыс. руб. Сумма уставного капитала в общей сумме остается
неизменной.
Проведем сравнение раздела баланса "Капитал и
резервы", в котором отражены собственные источники предприятия, с разделом
"Внеоборотные активы". Из полученных результатов можно сделать вывод,
что собственных источников достаточно для формирования внеоборотных активов [9,
c.47].
Одним из показателей, характеризующих финансовое положение
предприятия, является его платежеспособность, т.е. возможность своевременно
погашать свои платежные обязательства наличными денежными ресурсами.
Предприятие считается платежеспособным, если его общие активы больше, чем
долгосрочные и краткосрочные обязательства [7, c.465-468]. Оценка
платежеспособности по балансу осуществляется на основе характеристики
ликвидности оборотных активов, которая определяется временем, необходимым для
превращения их в денежные средства. Предприятие ликвидное, если его текущие
активы больше, чем краткосрочные обязательства. Ликвидность баланса - степень
покрытия долговых обязательств предприятия его активами, срок погашения которых
в денежную наличность соответствует сроку погашения платежных обязательств.
Анализ ликвидности баланса заключается в сравнении средств по
активу, сгруппированных по степени убывающей ликвидности, с краткосрочными
обязательствами по пассиву, которые группируются по степени срочности их
погашения.
Первая группа (А1) включает в себя
абсолютно ликвидные активы, такие как: денежная наличность и краткосрочные
финансовые вложения.
Вторая группа (А2) - быстро реализуемые
активы: товары отгруженные, дебиторская задолженность, налоги по приобретенным
ценностям.
Третья группа (А3) - это медленно
реализуемые активы (производственные запасы, незавершенное производство,
готовая продукция).
Четвертая группа (А4) - труднореализуемые
активы, куда входят основные средства, нематериальные активы, долгосрочные
финансовые вложения, незавершенное строительство, расходы будущих периодов,
долгосрочная дебиторская задолженность с отсрочкой платежа на год и более.
Обязательства предприятия также разбиваются на четыре группы.
П1 - наиболее срочные обязательства, которые
должны быть погашены в течение месяца (кредиторская задолженность и кредиты
банка, сроки возврата которых наступили, просроченные платежи).
П2 - среднесрочные обязательства со сроком
погашения до одного года (краткосрочные кредиты банка).
П3 - долгосрочные кредиты банка и займы.
П4 - собственный (акционерный) капитал,
находящийся постоянно в распоряжении предприятия.
Баланс считается ликвидным при выполнении условий [28, c. 200-204]:
Динамику соответствующих группировок проведем в Приложении В.
Из таблицы видно, что не выполняется одно условие, (А1>П1) как в 2007 году, так и в 2008. То есть у
предприятия не хватает наиболее ликвидных активов на погашение наиболее срочных
обязательств.
Для наиболее полного анализа ликвидности используются
следующие показатели.
Коэффициент абсолютной ликвидности (норма денежных
резервов) определяется отношением денежных средств и краткосрочных финансовых
вложений ко всей сумме краткосрочных обязательств предприятия. Он показывает,
какая часть краткосрочных обязательств может быть погашена за счет имеющейся
денежной наличности. Чем выше показатель, тем больше гарантия погашения долгов.
Значение коэффициента признается достаточным, если составляет от 0,2 до 0,5.
Коэффициент текущей ликвидности (общий коэффициент
покрытия долгов) - отношение всей суммы оборотных активов, включая запасы, к
общей сумме краткосрочных обязательств. Показывает степень покрытия оборотными
активами краткосрочных обязательств. Превышение оборотных активов над
краткосрочными финансовыми обязательствами обеспечивают резервный запас для
компенсации убытков, которые может понести предприятие при размещении и
ликвидации всех оборотных активов, кроме наличности. Обычно коэффициент
удовлетворяет больше 2.
Коэффициент быстрой ликвидности - отношение совокупности
денежных средств, краткосрочных финансовых вложений и краткосрочной дебиторской
задолженности, платежи по которой ожидаются в течение 12 месяцев после отчетной
даты, к сумме краткосрочных финансовых обязательств. Удовлетворяет соотношение
0,7-1 [29, 279-281].
Величина собственных оборотных средств (функционирующий
капитал) определяется как сумма собственного капитала и долгосрочных
обязательств за минусом внеоборотных активов или как разница между оборотными
активами и краткосрочными пассивами.
Доля запасов в оборотных активах определяется отношением
стоимости запасов к сумме оборотных активов.
Коэффициент критической оценки отражает ту часть
краткосрочных обязательств, которая может быть погашена за счет наличных
средств (в кассе, на расчетном счете), а также за счет поступлений по расчетам.
Допустимое значение данного показателя - 1,5 [3, c.302].
Данные показатели сведем в таблицу 2.14.
Таблица 2.14 - Оценка показателей ликвидности
|
Показатель
|
2007 г.
|
2008 г.
|
|
Начало года
|
Конец года
|
Начало года
|
Конец года
|
|
Коэффициент
абсолютной ликвидности
|
1,3
|
0,03
|
0,03
|
-
|
|
Коэффициент
текущей ликвидности
|
1,33
|
1,17
|
1,17
|
0,88
|
|
Коэффициент
быстрой ликвидности
|
0,77
|
0,37
|
0,37
|
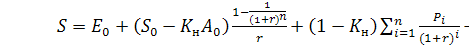
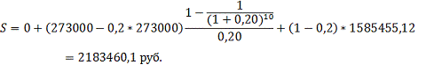
0,25
|
|
Доля оборотных
средств в активах
|
0,74
|
0,62
|
0,74
|
0,62
|
|
Собственные
оборотные средства
|
2450
|
1224
|
1224
|
-1282
|
|
Доля запасов в
оборотных активах
|
0,26
|
0,28
|
0,28
|
0,24
|
|
Коэффициент
критической оценки
|
1
|
0,85
|
0,85
|
0,68
|
|
|
|
|
|
|
|
|
|
Из таблицы видно, что на предприятии происходит снижение
показателей характеризующих ликвидность баланса. Коэффициент абсолютной
ликвидности на начало 2007 г превышал свой норматив, а на конец 2008 г равен
нулю. Это говорит о том, что предприятие не может погасить долги. Также
отмечается снижение текущей ликвидности, что говорит о том, что предприятие не
может полностью погасить задолженность по обязательствам, кредитам и займам.
Данное предприятие испытывает недостаток в собственных оборотных средствах.
Анализ финансовой устойчивости проведем при помощи ряда
показателей.
Коэффициент маневренности собственного капитала определяется как
отношение собственных оборотных средств к величине собственного капитала.
Данный коэффициент показывает, какая часть собственных средств находится в
мобильной форме, позволяющей относительно свободно ими манипулировать.
Оптимальное значение показателя больше либо равно 0,5.
Коэффициент финансовой устойчивости - это часть актива,
финансируемого за счет устойчивых источников (собственный капитал);
определяется как отношение разницы между величиной собственного капитала и
долгосрочными финансовыми средствами к итогу баланса.
Коэффициент концентрации заемного капитала определяется отношением
суммы заемного капитала к общей сумме хозяйственных средств.
Коэффициент соотношения заемных и собственных
средств определяется отношением заемного капитала к величине собственного
капитала. Показывает сколько заемных средств привлечено предприятием на 1 руб.
вложенных в активы собственных средств. Нормальное значение данного
коэффициента меньше либо равно 1.
Коэффициент обеспеченности собственными
средствами должен быть не меньше 0,1. Данные показатели сведены в таблицу
2.15 [4, c.268-270].
Таблица 2.15 - Оценка показателей финансовой устойчивости
|
Показатель
|
2007 г.
|
2008 г.
|
|
Начало года
|
Конец года
|
Начало года
|
Конец года
|
|
Коэффициент
автономии
|
0,45
|
0,47
|
0,47
|
0,24
|
|
Коэффициент
финансовой зависимости
|
2,2
|
2,11
|
2,11
|
4,2
|
|
Коэффициент
маневренности
|
0,42
|
0,2
|
0, 20
|
-0,35
|
|
Коэффициент
финансовой устойчивости
|
0,45
|
0,47
|
0,47
|
0,24
|
|
Коэффициент
концентрации заемного капитала
|
0,55
|
0,53
|
0,53
|
0,76
|
|
Коэффициент
соотношения заемных и собственных средств
|
1,2
|
1,1
|
1,1
|
3,2
|
|
Коэффициент
обеспеченности собственными средствами
|
0,25
|
0,14
|
0,14
|
-0,12
|
Из таблицы 17 видно, что происходит уменьшение ряда
показателей, характеризующих финансовую устойчивость предприятия. Снижение
коэффициента автономии говорит о недостаточности возможности предприятия
покрывать свои обязательства своими же собственными средствами. Уменьшение
данного показателя свидетельствует о снижении финансовой независимости.
Коэффициент финансовой зависимости по сравнению с началом года увеличился в два
раза. Снижение коэффициента маневренности говорит о том, что на предприятии не
хватает собственных средств.
По результатам проведенного анализа финансового состояния
предприятия можно сделать вывод, что у данного предприятия среднее финансовое
положение, слабость отдельных финансовых показателей, проблемная
платежеспособность на границе допустимого. Для стабилизации работы предприятию
необходимо снижать издержки на производство и реализацию своей продукции. Для
улучшения финансового состояния предприятию также необходимо проводить
мероприятия по увеличению рентабельности деятельности.
3. Разработка
мероприятий по повышению эффективности производственно-хозяйственной
деятельности ООО "Кировсклес"
3.1
Мероприятия по организации сортиментной заготовки древесины
В результате анализа производственно-хозяйственной
деятельности ООО "Кировсклес" было выявлено, что за последние годы
происходит снижение чистой прибыли из-за роста издержек. Поэтому для повышения
эффективности своей производственно-хозяйственной деятельности предприятию
необходимо увеличивать рентабельность как продукции, так и продаж.
Основа проектных мероприятий заключается в переходе от
хлыстовой заготовки древесины к сортиментной. ООО "Кировсклес"
заготавливает лес хлыстами и затем вывозит его на промежуточный нижний склад
для дальнейшей его распиловки на сортименты. Такая заготовка неэффективна,
требуется много затрат на содержание техники, на приобретение горюче-смазочных
материалов, заработную плату рабочим. Чтобы сократить затраты и соответственно
снизить себестоимость заготавливаемой древесины нужно уходить от хлыстовой
заготовки к сортиментной непосредственно на лесосеке. Преимущество сортиментной
заготовки заключается в том, что не нужно тратить средства на содержание
нижнего склада, сокращается количество техники, людей, расход ГСМ, заработной
платы, сокращаются затраты и тем самым снижается себестоимость заготавливаемой
древесины. Для обоснования данного проекта необходимо сравнить базовое и
внедряемое мероприятие [13, c.69].
При хлыстовой заготовке плановый объем заготовок составляет
35000 м3. Число рабочих дней в году принимается равным 240 дням.
Производительность в смену - 146 м3, среднее расстояние вывозки -
100 км, при этом нагрузка на рейс составляет 28 м3.
В таблице 3.1 указано списочное количество механизмов и
технико-экономические показатели при хлыстовой заготовке.
Таблица 3.1 - Списочное количество механизмов и ТЭП при
хлыстовой заготовке
|
Наименование
оборудования
|
Норма
выработки, м3
|
Производительность
плановая, м3
|
Трудозатраты,
чел. - дн.
|
Списочное число
машин, ед.
|
Коэффициент
техни-ческой готовности
|
Коэффициент
выпол-нения нормы
|
Кол-во
потребных машин
|
|
Хускварна
(валка)
|
52
|
55,64
|
629
|
4
|
0,9
|
1,07
|
3
|
|
ТТ-4 (трелевка)
|
73
|
78,11
|
448
|
6
|
0,85
|
1,07
|
2
|
|
ЛТ-65
(штабелевка)
|
73
|
78,11
|
448
|
1
|
0,85
|
1,07
|
1
|
|
ЛТ-65
(погрузка)
|
164
|
175,5
|
199
|
1
|
0,87
|
1,07
|
1
|
|
Мицубиси
(вывозка)
|
36
|
38,52
|
909
|
10
|
0,9
|
1,07
|
4
|
|
Всего
|
-
|
-
|
-
|
22
|
-
|
-
|
9
|
Из таблицы 3.1 видно, что при заготовке хлыстами списочное
количество машин составляет 22 единицы. Излишки техники наблюдаются на трелевке
и вывозке.
Составим списочное количество механизмов и технико-экономических
показателей на нижнем складе. При распиловке на нижнем складе плановый объем
заготовок также составляет 35000 м3. Среднее расстояние вывозки - 30
км, производительность в смену 140 м3, нагрузка на рейс - 18 м3.
В таблице 3.2 указано списочное количество механизмов и
технико-экономические показатели на нижнем складе.
Таблица 3.2 - Списочное количество механизмов на нижнем
складе
|
Наименование
оборудования
|
Норма
выработки, м3
|
Коэффициент
перевыполнения плана
|
Трудозатраты,
чел. - дн.
|
Списочное число
машин, ед.
|
Производительность
плановая, м3
|
Коэффициент
технической готов-ности
|
Кол-во
потреб-ных машин
|
|
Хускварна
(раскряжевка)
|
45
|
1,07
|
727
|
4
|
48,15
|
0,9
|
3
|
|
ЛТ-65
(разгрузка)
|
133
|
1,07
|
246
|
1
|
142,3
|
0,87
|
1
|
|
ЛТ-65
(раскладка)
|
160
|
1,07
|
204
|
1
|
171,2
|
0,87
|
1
|
|
Фискарс
(сборка, сортировка)
|
75
|
1,07
|
436
|
2
|
80,25
|
0,75
|
2
|
|
Фискарс
(погрузка)
|
153
|
1,07
|
214
|
-
|
163,7
|
-
|
1
|
|
КАМАЗ (вывозка)
|
26
|
1,07
|
1258
|
4
|
27,82
|
0,7
|
5
|
|
Всего
|
-
|
-
|
-
|
12
|
-
|
-
|
12
|
Из таблицы видно, что списочное и потребное количество
механизмов одинаковое. На раскряжевке списочное количество четыре, а потребное
три - один механизм резервный. На вывозке списочное количество составляет
четыре единицы, а потребное - пять. Это говорит о том, что на вывозке не
хватает техники.
При сортиментной заготовке объем составляет 35000 м3,
среднее расстояние вывозки 130 м3, нагрузка на рейс - 20 м3.
В таблице 3.3 показано списочное количество механизмов при сортиментной
заготовке.
Таблица 3.3 - Списочное количество механизмов при
сортиментной заготовке
|
Оборудование
|
Норма
выработки, м3
|
Коэффициент
перевыполнения плана
|
Плановая
производительность, м3
|
Трудозатраты,
чел. - дн.
|
Списочное
кол-во механизмов
|
Коэффициент
техни-ческой готовности
|
Кол-во
потребных машин
|
|
Хускварна
(валка)
|
52
|
1,07
|
55,64
|
629
|
4
|
0,9
|
3
|
|
ТТ-4 (трелевка)
|
75
|
1,07
|
78,11
|
448
|
6
|
0,85
|
2
|
|
Хускварна
(раскряжевка)
|
45
|
1,07
|
48,15
|
727
|
4
|
0,9
|
3
|
|
Фискарс
(сборка, сортировка)
|
75
|
1,07
|
80,25
|
436
|
2
|
2
|
|
Фискарс
(погрузка)
|
153
|
1,07
|
163,71
|
214
|
2
|
0,75
|
1
|
|
КАМАЗ (вывозка)
|
26
|
1,07
|
27,82
|
1258
|
4
|
0,7
|
5
|
|
Всего
|
-
|
-
|
-
|
-
|
22
|
-
|
16
|
По данным таблицы видно, что при сортиментной заготовке
списочное количество машин составляет 22, а потребное - 16.
Потребность в ГСМ при хлыстовой заготовке рассчитана в
таблице 3.4.
Таблица 3.4 - Потребность топлива и ГСМ при хлыстовой
заготовке
|
Оборудование
|
Количество
механизмов
|
Норма расхода
на 1 м3
|
Объем работ,
тыс. м3
|
Цена, руб.
/литр
|
Количество, л
|
Сумма, тыс.
руб.
|
|
Хускварна
бензин масло
|
4
|
0,17 0,04
|
35
|
24 90
|
5950 1400
|
142,80 126,00
|
|
ТТ-4 диз.
топливо масло
|
6
|
5,00 1,25
|
35
|
26 90
|
175000 43750
|
4550,00
3937,50
|
|
ЛТ-65 диз.
топливо масло
|
1
|
4,00 1,00
|
35
|
26 90
|
140000 35000
|
3640,00
3150,00
|
|
Мицубиси диз.
топливо масло
|
10
|
10,00 2,50
|
35
|
26 90
|
350000 87500
|
9100,00
7875,00
|
|
Хускварна
бензин масло
|
4
|
0,095 0,023
|
35
|
24 90
|
3325 805
|
79,80 72,45
|
|
ЛТ-65 диз.
топливо масло
|
1
|
4,00 1,00
|
35
|
26 90
|
140000 35000
|
3640,00
3150,00
|
|
Фискарс диз.
топливо масло
|
1
|
0,16 0,04
|
35
|
26 90
|
5600 1400
|
145,60 126,00
|
|
Фискарс диз.
топливо масло
|
1
|
0,44 0,11
|
35
|
26 90
|
15400 3850
|
400,40 346,50
|
|
КАМАЗ диз.
топливо масло
|
4
|
5,00 1,25
|
35
|
26 90
|
175000 43750
|
4550,00
3937,50
|
|
Всего
|
32
|
-
|
-
|
-
|
-
|
48969,55
|
Потребность в ГСМ при сортиментной заготовке рассчитана в
таблице 3.5.
Таблица 3.5 - Потребность топлива при сортиментной заготовке
|
Оборудование
Количество механизмовНорма расхода на 1 м3Объем работ, тыс. м3Цена,
руб. /литрКоличество, лСумма, тыс. руб.
|
|
|
|
|
|
|
|
Хускварна
бензин масло
|
4
|
0,17 0,04
|
35
|
24 90
|
5950 1400
|
142,80 126,00
|
|
ТТ-4 диз.
топливо масло
|
6
|
5,00 1,25
|
35
|
26 90
|
175000 43750
|
4550,00
3937,50
|
|
Хускварна бензин
масло
|
4
|
0,095 0,023
|
35
|
24 90
|
3325 805
|
79,80 72,45
|
|
Фискарс диз.
топливо масло
|
2
|
0,16 0,04
|
35
|
26 90
|
5600 1400
|
145,60 126,00
|
|
Фискарс диз.
топливо масло
|
2
|
0,44 0,11
|
35
|
26 90
|
15400 3850
|
400,40 346,50
|
|
КАМАЗ диз.
топливо масло
|
4
|
5,00 1,25
|
35
|
26 90
|
175000 43750
|
4550,00
3937,50
|
|
Всего
|
22
|
-
|
-
|
-
|
-
|
18414,55
|
Сравнение данных таблиц показывает, что расход топлива при
переходе к сортиментной заготовке снижается на 62%. Расчет фонда заработной
платы при хлыстовой заготовке проведен в таблице 3.6.
Таблица 3.6 - Расчет фонда заработной платы при хлыстовой
заготовке
|
Виды работ
|
Трудозатраты,
чел. - дн.
|
Тарифная
ставка, руб. /день
|
Тарифный фонд
заработной платы, тыс. руб.
|
Основной фонд
заработной платы, тыс. руб.
|
Общий фонд
заработной платы, тыс. руб.
|
|
Валка
|
629
|
491
|
308,84
|
185,30
|
494,14
|
|
Трелевка
|
448
|
491
|
219,97
|
131,98
|
351,95
|
|
Погрузка
|
199
|
491
|
97,71
|
58,63
|
156,33
|
|
Вывозка
|
909
|
491
|
446,32
|
267,79
|
714,11
|
|
Раскряжевка
|
727
|
367
|
266,81
|
160,09
|
426,89
|
|
Разгрузка
|
246
|
491
|
120,79
|
72,47
|
193,26
|
|
Раскладка
|
204
|
491
|
100,16
|
60,10
|
160,26
|
|
Сборка.
Сортировка
|
436
|
491
|
214,08
|
128,45
|
342,52
|
|
Погрузка
|
214
|
491
|
105,07
|
63,04
|
168,12
|
|
Вывозка
|
1258
|
419
|
527,10
|
316,26
|
843,36
|
|
Всего
|
-
|
-
|
2406,85
|
1444,11
|
3850,95
|
Расчет фонда заработной платы при сортиментной заготовке
проведен в таблице 3.7.
Таблица 3.7 - Расчет фонда заработной платы при сортиментной
заготовке
|
Виды
работТрудозатраты, чел. - дн. Тарифная ставка, руб. /деньТарифный фонд
заработной платы, тыс. руб. Основной фонд заработной платы, тыс. руб. Общий
фонд заработной платы, тыс. руб.
|
|
|
|
|
|
|
Валка
|
629
|
491
|
308,84
|
185,30
|
494,14
|
|
Трелевка
|
448
|
491
|
219,97
|
131,98
|
351,95
|
|
Раскряжевка
|
727
|
367
|
266,81
|
160,09
|
426,89
|
|
Сборка.
Сортировка
|
436
|
491
|
214,08
|
128,45
|
342,52
|
|
Погрузка
|
214
|
491
|
105,07
|
63,04
|
168,12
|
|
Вывозка
|
1258
|
419
|
527,10
|
316,26
|
843,36
|
|
Всего
|
|
|
1641,87
|
985,12
|
2626,99
|
Общий фонд заработной платы при сортиментной заготовке
снижается на 32%.
Расчет амортизационных отчислений при хлыстовой заготовке
проведен в таблице 3.8.
Таблица 3.8 - Амортизационные отчисления при хлыстовой заготовке
|
Оборудование
|
Количество, ед.
|
Цена, руб. /ед.
|
Стоимость, тыс.
руб.
|
Норма
амортизации, %
|
Сумма
амортизации, тыс. руб.
|
|
Хускварна
|
4
|
19500
|
78,00
|
70
|
54,60
|
|
ТТ-4
|
6
|
600000
|
3600,00
|
40
|
1440,00
|
|
ЛТ-65
|
2
|
580000
|
1160,00
|
40
|
464,00
|
|
Мицубиси
|
10
|
300000
|
3000,00
|
20
|
600,00
|
|
Хускварна
|
4
|
19500
|
78,00
|
70
|
54,60
|
|
Фискарс
|
2
|
150000
|
3000,00
|
20
|
600,00
|
|
КАМАЗ
|
4
|
200000
|
800,00
|
20
|
160,00
|
|
Всего
|
32
|
|
11716,00
|
|
3373, 20
|
Амортизационные отчисления при сортиментной заготовке
рассчитаны в таблице 3.9.
Таблица 3.9 - Амортизационные отчисления при сортиментной
заготовке
|
Оборудование
|
Количество, ед.
|
Цена, руб. /ед.
|
Стоимость, тыс.
руб.
|
Норма
амортизации, %
|
Сумма
амортизации, тыс. руб.
|
|
Хускварна
|
4
|
19500
|
78,00
|
70
|
54,60
|
|
ТТ-4
|
6
|
600000
|
3600,00
|
40
|
1440,00
|
|
ЛТ-65
|
580000
|
1160,00
|
40
|
464,00
|
|
Хускварна
|
4
|
19500
|
78,00
|
70
|
54,60
|
|
Фискарс
|
2
|
150000
|
3000,00
|
20
|
600,00
|
|
КАМАЗ
|
4
|
200000
|
800,00
|
20
|
160,00
|
|
Всего
|
22
|
|
8716,00
|
|
2773, 20
|
Годовые амортизационные отчисления при сортиментной заготовке
снижаются на 18%.
В таблице 3.10 покажем сравнение необходимых затрат при
хлыстовой и сортиментной заготовке древесины.
Таблица 3.10 - Сравнительный анализ затрат при хлыстовой и
сортиментной заготовке древесины
|
Показатели
|
Хлыстовая
заготовка
|
Сортиментная
заготовка
|
Относительная
разница, %
|
|
Фонд оплаты
труда, тыс. руб.
|
3850,95
|
2626,99
|
-31,78
|
|
ЕСН, тыс. руб.
|
1008,95
|
688,27
|
-31,78
|
|
ГСМ
|
48969,55
|
18414,55
|
-62,40
|
|
Амортизация,
тыс. руб.
|
3373, 20
|
2773, 20
|
-17,79
|
|
Всего
|
57202,65
|
24503,01
|
-57,16
|
Таким образом, для сортиментной заготовки древесины топлива
требуется на 62,4% меньше, чем для хлыстовой заготовки, годовой общий фонд
заработной платы на 32% меньше, а амортизационные отчисления составят на 18%
меньше. Совокупные эксплуатационные затраты снижаются на 57%. Данные выводы
делают сортиментную заготовку более эффективной, так как снизится себестоимость
продукции, увеличится прибыль, а, следовательно, повысится рентабельность
деятельности предприятия.
Хотя многие специалисты сегодня придерживаются
технологического процесса, основанного на использовании систем
высокопроизводительных надежных однооперационных машин с созданием
межоперационных запасов деревьев и хлыстов, обеспечивающих бесперебойную и
ритмичную работу всей технологической цепочки от валки до погрузки леса, то
новая технология, в которой есть комплекс лесосечных и транспортных операций
выполняется всего тремя машинами: харвестером, форвардером и лесовозным
автопоездом с манипулятором для самозагрузки, сегодня является экономически
более эффективной [17, c.258].
При традиционной технологии механизированной разработки
лесосеки валочно-пакетирующая машина незначительно повреждает почву и
растительный покров, так как проходит по ленте только один раз. Для решения
проблемы сохранения подроста и снижения воздействия на почвенный покров до установленных
нормативов увеличивают вылет гидроманипулятора, что значительно снижает
устойчивость машин и усложняет работу оператора. При этом создаются пачки
увеличенного объема, позволяющие увеличить рейсовую нагрузку трелевочного
трактора. Но в большей степени лесную среду повреждает многократными проходами
по волоку трелевочный трактор. Растительный покров полностью сдирается пачкой
при первом трелевочном рейсе, а колея максимальной глубины образуется при
проходе машины по одному следу 5 - 11 раз. Транспортировка древесины или
хлыстов в полупогруженном положении, при котором на порядок выше сопротивление
движению, к древесине прилипает песок и грязь, отрицательно влияющая на ее
дальнейшую обработку: в процессе обрезки сучьев и раскряжевки хлыстов быстро тупится
и выходит из строя режущий инструмент. Поэтому для выполнения лесоводственных и
экологических требований необходимо выполнять весь комплекс лесосечных работ за
один проход машины [17, c.271].
Для решения рассмотренных проблем предложено новое техническое
решение, заявленное в патенте Российской Федерации № 2202877 от 27 апреля 2003
года. Это многооперационная лесозаготовительная машина - харвестер, -
выполняющая весь комплекс технологических операций на лесосеке: валку, обрезку
сучьев, раскряжевку и пакетирование сортиментов.
Установленный в кабине оператора компьютер позволяет
управлять работой харвестерной головки и задавать длины кряжуемых сортиментов.
Программа имеет автоматический режим для достижения максимального выхода
деловой древесины при раскрое, ведет учет количества заготовленной древесины и
ее породного состава.
Ось вращения колонны манипулятора наклонена в продольной
плоскости на 450 к вертикали, что позволяет при повороте манипулятора на 1800
из переднего положения назад через правую сторону машины, перевести дерево из
вертикального положения в горизонтальное и в то же время развернуть его в
плане. Техническое решение перевода срезанного дерева из вертикального
положения в горизонтальное для обработки позволяет на порядок уменьшить материало
- и энергозатраты по технологическому оборудованию, что позволяет увеличить
грузоподъемность машины и уменьшить вредное воздействие машины на окружающую
среду [20, c.3-6].
Для условий работы ООО "Кировсклес" наиболее
подходящим является харвестер Valmet 911.1 с харвестерной головкой модели
Valmet 960, 2003 года выпуска, поставщиком которого является ЗАО
"Лесотехника-Сервис" в г. Санкт-Петербург.
Для реализации данного проекта необходимо рассчитать
потребность оборудования, которая показана в таблице 3.11.
Таблица 3.11 - Расчет количества потребного оборудования
|
Показатель
|
Значение
|
|
Объем работ, м3/год
|
35000
|
|
Число рабочих
дней в году, дн.
|
240
|
|
Производительность
в смену, м3
|
200
|
|
Режим работы,
смен
|
1
|
|
Потребность в
оборудовании, ед.
|
1
|
Таким образом, при производительности оборудования в смену до
200 метров кубических, потребность при односменном режиме работы составит 1
харвестер.
Стоимость харвестера составляет 2730000 рублей. Ввиду
отсутствия такого размера собственных средств, данное оборудование можно взять
в лизинг по цене 3276000 рублей. Практикой доказано, что лизинг более выгоден
по сравнению с кредитом, если приобретается дорогостоящее оборудование.
По договору лизинга арендодатель обязуется приобрести в
собственность указанное арендатором имущество у определенного им продавца и
предоставить арендатору это имущество за плату во временное владение и
пользование для предпринимательских целей [14, c.157].
Лизинг освобождает пользователя от необходимости
инвестирования крупной единовременной суммы, а временно высвобожденные суммы
денежных средств могут использоваться на пополнение собственного оборотного
капитала, что повышает его финансовую устойчивость.
Деньги, заплаченные за аренду, учитываются как текущие
расходы, включаемые в себестоимость продукции, в результате чего на данную
сумму уменьшается налогооблагаемая прибыль.
Арендатор получает гарантийное обслуживание оборудования на
весь срок аренды [24, c.295].
Поставщиком харвестера в лизинг выбирается лизинговая
компания "Дельта-лизинг", расположенная в г. Владивосток. Условия
предоставления оборудования в лизинг следующие:
- срок заключения договора лизинга 10 лет;
- аванс 10%.
Для обоснования преимущества лизинга, сравним чистую
приведенную стоимость посленалоговых платежей в случае лизинга и в случае
покупки кредита. При условии, что периодические лизинговые платежи постоянны,
то получаем простую ренту постнумерандо

(6),
где L - чистая приведенная стоимость
посленалоговых платежей в случае лизинга;
Е0
- предоплата;
r - процентная ставка по кредиту;
L0 - периодический лизинговый платеж [24, c.296].
Тогда при процентной ставке по кредиту 20%, и периодическом
лизинговом платеже 294840 рублей, получим:
При условии, что возврат основного долга по кредиту осуществляется
равными платежами, проценты начисляются от остатка долга, используется
равномерное начисление износа, получим

(7),
где S - чистая приведенная стоимость
посленалоговых платежей в случае кредита;
А0
- амортизационные начисления;
Рi -
проценты по кредиту в соответствующем периоде;
Q - остаточная стоимость объекта [24, c.296].
В кредит оборудование покупается по цене 2730000 рублей. Определим
график погашения кредита при покупке оборудования. Заполним таблицу 3.12.
Таблица 3.12 - График погашения кредита
|
Показатели,
тыс. руб.
|
Год 0
|
1
|
2
|
3
|
4
|
5
|
6
|
7
|
8
|
9
|
10
|
|
Возврат кредита
|
0
|
273
|
273
|
273
|
273
|
273
|
273
|
273
|
273
|
273
|
273
|
|
Остаток долга
|
2730
|
2457
|
2184
|
1911
|
1638
|
1365
|
1092
|
819
|
546
|
273
|
0
|
|
Проценты
|
0
|
409,5
|
368,55
|
327,6
|
286,65
|
245,7
|
204,75
|
163,8
|
122,85
|
81,9
|
40,95
|
Таким образом, приобретение оборудования в лизинг выгоднее,
так как чистая приведенная стоимость посленалоговых платежей на 40% меньше
платежей по кредиту.
Далее рассчитываются эксплуатационные расходы в таблице 3.13.
Работу харвестера обеспечивает оператор и 2 рабочих. Удельный расход топлива
составляет 0,6 л/м3 при производительности 200 м3 в
8-часовую рабочую смену.
Таблица 3.13 - Расчет ежегодных эксплуатационных расходов на
харвестер
|
Показатель
|
Значение
|
|
Потребность в
персонале, чел.: оператор рабочий
|
2 4
|
|
Среднемесячная
заработная плата, руб.: оператор рабочий
|
15000 8000
|
|
ЕСН, руб. /
мес., руб.: оператор рабочий
|
3930 2096
|
|
Годовой ФОТ,
тыс. руб.
|
744,00
|
|
ЕСН, тыс. руб.
/год
|
194,93
|
|
Лизинговые
платежи, тыс. руб. /год
|
294,84
|
|
Годовая
потребность в ГСМ, тыс. руб.
|
483,00
|
|
Всего
|
1749,53
|
Таким образом, внедрение харвестера на сортиментной заготовке
заменит оборудование, осуществляющее валку, обрезку сучьев, раскряжевку и
пакетирование сортиментов. Высвобожденное оборудование списывается и остается в
резерве.
В эксплуатационные расходы на сортиментную заготовку
древесины теперь будут включаться только расходы на эксплуатацию харвестера,
сборку, сортировку и погрузку, на вывозку сортиментов. Для вывозки у предприятия
уже имеется транспорт КАМАЗ. Для сборки, сортировки и погрузки будет
использоваться имеющийся Фискарс. Эксплуатационные расходы при сортиментной
заготовке древесины с применением харвестера рассчитаны в таблице 3.14.
Таблица 3.14 - Эксплуатационные расходы при сортиментной
заготовке с применением харвестера
|
Показатель
|
Значение, тыс.
руб.
|
|
Валка, обрезка,
раскряжевка, пакетирование (Харвестер)
|
|
Фонд оплаты
труда
|
744,00
|
|
Начисления на
заработную плату
|
194,93
|
|
ГСМ
|
483,00
|
|
Лизинговые
платежи
|
327,60
|
|
Сборка,
сортировка, погрузка (Фискарс)
|
|
Фонд оплаты
труда
|
510,64
|
|
Начисления на
заработную плату
|
132,77
|
|
ГСМ
|
645,05
|
|
Амортизационные
отчисления
|
900,00
|
|
Вывозка (КАМАЗ)
|
|
Фонд оплаты
труда
|
843,36
|
|
Начисления на
заработную плату
|
219,27
|
|
ГСМ
|
10609,38
|
|
Амортизационные
отчисления
|
200,00
|
|
Всего
|
15810,00
|
|
|
|
Графическое сравнение эксплуатационных затрат показано на
рисунке 3.1.
Рисунок 3.1 - Сравнение эксплуатационных затрат при различных
технологиях заготовки древесины
Таким образом, введение харвестера приведет к снижению
эксплуатационных затрат на 35%, а по сравнению с хлыстовой заготовкой древесины
- на 72% [20, c.7].
3.2
Мероприятия по организации переработки отходов от лесозаготовок на
технологическую щепу
При сплошных рубках после механизированной заготовки
древесины на лесосеках остается значительное количество древесной биомассы (от
30 до 60 м3 на 1 га).
В России лесозаготовительные предприятия почти не используют
эту биомассу и рассматривают ее, как отходы. Действующими правилами
предусматривается обязательная очистка лесозаготовителями мест рубок от отходов
лесозаготовок одновременно с заготовкой древесины. Затраты на очистку
вырубленных лесосек достаточно высоки и включаются в себестоимость
заготовляемой древесины.
Сегодня основным потребителем древесной биомассы, остающейся
после лесозаготовок, в развитых лесных странах становится биоэнергетика.
Древесная биомасса потребляется, в основном, в виде технологической щепы.
Количество необходимой энергии для получения биотоплива не превышает 3% от его
теплотворной способности [34, c. 205].
Главным оборудованием при существующих технологиях освоения
лесосечных отходов является рубительная машина. Рубительная машина для
производства топливной щепы это, как правило, машины барабанного типа. Барабан
большого диаметра имеет несколько рубительных ножей, обеспечивающих измельчение
даже целых деревьев диаметром до 60-70 см [17, c.169].
Основным потенциальным потребителем технологической щепы
является Спасский цементный завод, который использует ее для получения энергии
и производства арболитовых плит.
Потребность в рубительных машинах рассчитана в таблице 3.15.
Таблица 3.15 - Расчет потребности в рубительных машинах
|
Показатель
|
Значение
|
|
Объем работ, м3/год
|
3500
|
|
Число рабочих
дней в году, дн.
|
240
|
|
Выход готовой
продукции, м3
|
2800
|
|
Производительность
в смену, м3
|
15
|
|
Режим работы,
смен
|
1
|
|
Потребность в
оборудовании, ед.
|
1
|
Объем переработки берем 40% от заготавливаемой древесины.
Выход готовой продукции 80% от объема переработки. По результатам произведенных
расчетов потребуется одна рубительная машина.
Стоимость рубительной машины составляет 1200000 рублей.
Приобретая ее в лизинг, получим ежегодные лизинговые платежи 108000 рублей, а
чистая приведенная стоимость всех платежей равна:
Работу машины обеспечивает оператор и лесоруб. Рассчитаем
заработную плату в таблице 3.16.
Таблица 3.16 - Расчет заработной платы
|
Показатель
|
Значение
|
|
Потребность в
персонале, чел.: оператор рабочий
|
1 1
|
|
Среднемесячная
заработная плата, руб.: оператор рабочий
|
12000 8000
|
|
ЕСН, руб. /
мес., руб.: оператор рабочий
|
3144 2096
|
|
Годовой фонд
оплаты труда, тыс. руб.
|
240,00
|
|
ЕСН, тыс. руб.
/год
|
62,88
|
При потребности топлива 5л/час, продолжительности смены 8
часов и фонде рабочего времени 1920 ч/год годовая потребность в топливе
составит 9600 л или 249,60 тысяч рублей.
Эксплуатационные расходы по вывозке щепы Мицубиси рассчитаны
в таблице 3.17.
Таблица 3.17 - Эксплуатационные затраты по вывозке
технологической щепы
|
Показатель
|
Значение
|
|
Объем работ, м3/смена
|
15
|
|
Нагрузка на
рейс, м3
|
36
|
|
Количество
потребных механизмов, ед.
|
1
|
|
Стоимость
машины, тыс. руб.
|
300,00
|
|
Амортизационные
отчисления (20%), тыс. руб.
|
60,00
|
|
Оплата труда,
тыс. руб.
|
71,41
|
|
ЕСН, тыс. руб.
|
18,71
|
|
ГСМ, тыс. руб.
|
135,80
|
|
Всего
|
285,92
|
Произведенная технологическая щепа сразу же по мере
производства вывозится покупателю. Таким образом, отсутствуют затраты на
хранение щепы. Так как производство щепы будет осуществляться у дороги, то
уплотнения и пакетирования отходов не требуется.
4.
Технико-экономическое обоснование проектных решений
4.1 Оценка
экономической эффективности проектных мероприятий
Учитывая будущий объем производства технологической щепы в
размере 2800 м3 и продажной цене 600 руб. / м3, получим
ежегодную дополнительную выручку от реализации технологической щепы в размере
1680 тыс. руб.
Для стоимостной оценки результатов и затрат будут
использоваться текущие (базисные) цены, т.е. сложившиеся на определенный момент
времени. Текущая цена на любую продукцию или ресурсы считается неизменной в
течение всего периода и закладывается в проекте без учета инфляции.
Денежные потоки инвестиционного проекта формируются на
протяжении всего расчетного периода (жизненного цикла).
Продолжительность расчетного периода (горизонт расчета)
принимается с учетом:
- продолжительности создания, эксплуатации и
(при необходимости) ликвидации объекта;
- средневзвешенного нормативного срока
службы основного технологического оборудования;
- требований инвестора.
Шагом расчета является отрезок времени, в пределах которого
производится агрегирование данных, используемых для оценки финансовых
показателей (для расчетов в проекте принимается равной году) [12, c.218].
Значение денежного потока на каждом шаге расчетного периода
характеризуется:
- притоком, равным размеру денежных
поступлений на каждом шаге;
- оттоком, равным размеру денежных платежей
на этом же шаге;
- чистым потоком (сальдо), равным разности
между притоком и оттоком.
Денежный поток состоит из трех частных потоков:
- денежного потока от инвестиционной
деятельности;
- денежного потока от операционной
деятельности;
- денежного потока от финансовой
деятельности [15, c.2].
Денежный поток от инвестиционной деятельности:
- оттоки - вложения в основные средства в
соответствии с инвестиционным планом для соответствующих шагов расчетного
периода, увеличение оборотного капитала и пр.;
- притоки - доходы от реализации имущества и
нематериальных активов, уменьшение оборотного капитала (если предусмотрено
сокращение производства в отдельные периоды деятельности) и пр.
Чистый поток средств от инвестиционной деятельности
преимущественно имеет отрицательное значение, поскольку характеризует вложение
средств в развитие предприятия [18, c.443].
Денежный поток от операционной деятельности формируется на
основании расчетов доходов и затрат. Основным притоком денежных средств от
операционной деятельности является выручка от продажи продукции (работ или
услуг), а также прочие и внереализационные доходы.
Денежный поток от финансовой деятельности формируется на
основании принимаемых решений по финансированию проекта, при этом притоки
формируются в соответствующем периоде (шаге) за счет средств, поступающих в
распоряжение предприятия при:
- увеличении уставного (акционерного)
капитала;
- полученного кредита или займа;
- целевого (бюджетного либо спонсорского)
финансирования и т.д.
Оттоки от финансовой деятельности это:
- возврат кредитов и займов;
- выплата дивидендов;
- выкуп собственных акций у акционеров [16, c.168].
Принятие решения о финансировании производится при создании
предприятия и финансовом планировании первого года его деятельности. На всех последующих
этапах принятие решений о дополнительных финансовых ресурсах производится
исходя из условия, что суммарный денежный поток от операционной, инвестиционной
и финансовой деятельности, рассчитанный нарастающим итогом для каждого шага
расчетного периода должен быть положительным. Таким образом, принятие решения о
необходимости финансирования и объемы недостающих финансовых ресурсов могут
быть определены для соответствующих этапов (шагов) расчетного периода
последовательно путем расчета нарастающего итога суммарного значения потоков от
инвестиционной и операционной деятельности.
В таблице 4.1 показано влияние предлагаемых мероприятий на
показатели финансово-хозяйственной деятельности ООО "Кировсклес".
Таблица 4.1 - Основные технико-экономические показатели
деятельности ООО "Кировсклес" после реализации проекта
|
Показатель
|
Значение
показателей
|
|
До внедрения
проекта
|
При
сортиментной заготовке
|
С выпуском
технологической щепы
|
|
Заготовка, м3
|
43877
|
35000
|
35000
|
|
Объем вывозки,
м3
|
45050
|
28000
|
28000
|
|
Разделка, м3
|
44121
|
28000
|
28000
|
|
Погрузка, м3
|
36067
|
28000
|
28000
|
|
Выручка от
реализации, тыс. руб.
|
81845
|
63539,00
|
65219,00
|
|
Себестоимость
реализованной продукции, тыс. руб.
|
76858
|
35465,00
|
36423,40
|
|
Прибыль до
налогообложения, тыс. руб.
|
4970
|
28074,00
|
35300,00
|
|
Налог на
прибыль, тыс. руб.
|
1565
|
5614,80
|
7060,00
|
|
Чистая прибыль,
тыс. руб.
|
3405
|
22459, 20
|
28240,00
|
|
Рентабельность
продаж, %
|
6,1
|
44,2
|
54,1
|
|
Рентабельность
продукции, %
|
6,5
|
79,2
|
97
- снижения издержек производства продукции
на 40434,60 тыс. руб.;
- дополнительной выручки от реализации
технологической щепы 1680 тыс. руб.;
- списания основных средств, использующихся
при хлыстовой заготовке древесины;
- высвобождения персонала после перехода на
сортиментную заготовку и внедрения харвестера;
- снижения с 2009 г. налога на прибыль до
20%.
В основу оценки эффективности проекта положены следующие
принципы:
- рассмотрение проекта на протяжении всего
жизненного цикла (расчетного периода);
- моделирование денежных потоков;
- учет фактора времени;
- учет влияния инфляции [16, c. 203].
При оценке эффективности соизмерение разновременных
показателей осуществляется путем приведения (дисконтирования) их к ценности в
начальном периоде. Для приведения разновременных затрат, результатов и эффектов
используется норма дисконта (Е), равная приемлемой для инвестора норме
дохода на капитал. При принятии решения по значению нормы дисконта можно
ориентироваться на банковскую ставку дохода по депозитам, уровень годовой
инфляции, среднюю рентабельность вложения средств по отрасли.
Приведение к базисному году затрат, результатов и эффектов,
имеющих место на t-ом шаге реализации проекта, результатов и эффектов, производится
путем умножения на коэффициент дисконтирования, определяемый для постоянной
нормы дисконта.
Оценка эффективности инвестиций осуществляется посредством
расчета следующих показателей:
Чистый дисконтированный доход или интегральный эффект (NPV), который определяется
как сумма дисконтированных эффектов (денежных потоков), приведенных к
настоящему времени. Проект считается эффективным с точки зрения инвестора,
когда NPV проекта положительный. В дипломной работе NPV рассчитывается без учета
внешнего финансирования, только по дисконтированным денежным потокам от
инвестиционной и операционной деятельности.
Внутренняя норма доходности или внутренняя норма
рентабельности (IRR) представляет собой ту норму доходности (норму дисконта), при
которой чистый дисконтированный доход (NPV) равен нулю. Проект
эффективен, когда IRR>Е [25, 275].
Срок окупаемости простой и дисконтированный. Простой срок
окупаемости - продолжительность периода от начального момента до момента
окупаемости (наиболее раннего момента времени в расчетном периоде), после которого
накопленный чистый доход становится и в дальнейшем остается неотрицательным.
Дисконтированный срок окупаемости определяется с учетом дисконтирования
денежных потоков.
Индекс доходности инвестиций - отношение суммы простых или
дисконтированных элементов денежного потока от операционной деятельности к
абсолютной величине суммы простых или дисконтированных элементов денежного
потока от инвестиционной деятельности. Проект эффективен, если индекс
доходности (простой или дисконтированный) превышает 1 [19, c.147-152].
Расчет эффективности проекта приводится в таблице 4.2.
Таблица 4.2 - Расчет чистого дисконтированного дохода от
реализации проекта
|
Номер шага (t)
|
Денежный поток,
тыс. руб.
|
Накопленный ДП,
тыс. руб.
|
Коэффициент
дисконтирования
|
Дисконти-рованный
денежный поток, тыс. руб.
|
Интегральный
эффект (NPV) по шагам расчета, тыс. руб.
|
|
0
|
-447,60
|
-447,60
|
0
|
-447,60
|
-447,60
|
|
1
|
28240,00
|
27792,40
|
0,83
|
23533,33
|
23085,73
|
|
2
|
28240,00
|
56032,40
|
0,69
|
19611,11
|
42696,84
|
|
3
|
28240,00
|
84272,40
|
0,58
|
16342,59
|
59039,44
|
|
4
|
28240,00
|
112512,40
|
0,48
|
13618,83
|
72658,26
|
|
5
|
28240,00
|
140752,40
|
0,40
|
11349,02
|
84007,29
|
|
6
|
28240,00
|
168992,40
|
0,33
|
9457,52
|
93464,81
|
|
7
|
28240,00
|
197232,40
|
0,28
|
7881,27
|
101346,07
|
|
8
|
28240,00
|
225472,40
|
0,23
|
6567,72
|
107913,79
|
|
9
|
28240,00
|
253712,40
|
0, 19
|
5473,10
|
113386,89
|
|
10
|
28240,00
|
281952,40
|
0,16
|
4560,92
|
117947,81
|
Интегральный эффект (чистый приведенный денежный доход) от
реализации проекта за 10 лет составит 117947,81 тыс. руб.
График дисконтированных денежных потоков и интегрального
эффекта по шагам расчета изображен на рисунке 4.1.
Рисунок 4.1 - Поступление дисконтированного денежного потока
и интегральный эффект по шагам расчета
По результатам расчета внутренняя норма доходности проекта
составит 63%. Данный показатель больше применяемой в расчетах нормы доходности
20%.
Индекс доходности составил 264, что значительно превышает
единицу.
Простой и дисконтированный сроки окупаемости составляют один
год.
Такие высокие показатели эффективности проекта получится
достичь за счет незначительных инвестиционных единовременных вложений по схеме
лизингового финансирования.
Так как разрабатываемый проект будет приносить ежегодно
стабильную прибыль, чистый дисконтированный доход положительный, внутренняя
норма рентабельности больше 20%, индекс доходности больше 1, то переход к
сортиментной заготовке древесины и реализация технологической щепы являются
экономически эффективным.
В результате проведенных расчетов было доказано, что
предлагаемые мероприятия повысят эффективность деятельности ООО
"Кировсклес", его платежеспособность, увеличат наличные средства,
которые могут быть вложены в развитие предприятия или использованы для
получения дополнительных доходов.
Заключение
На сегодняшний день, лесная отрасль является одной из
приоритетных отраслей российской экономики, развитие которой требует внедрения
новых методов хозяйствования и инвестиционных вложений. В настоящее время
особенностью лесного комплекса является то, что предприятия ориентированы на
заготовку круглого леса. Такая тенденция не способствует эффективному развитию
отрасли. Опыт мирового ЛПК показывает, что лесной бизнес высокоэффективен лишь
при условии обеспечения комплексной и, прежде всего, глубокой переработки
сырья.
Объектом исследования данной дипломной работы было предприятие,
занимающееся лесозаготовкой, первичной переработкой древесины,
лесовосстановительной деятельностью, внешнеэкономической деятельностью - ООО
"Кировсклес".
Арендуемая территория ООО "Кировсклес"
характеризуется высокой лесистостью (97,5%). По данным учета лесного фонда
среди древесных пород преобладает кедр - 34 % и далее следует: ясень - 22%,
липа - 20%, 10% занимает береза желтая, 6% - ель, дуб - 4 % и береза белая - 4
%. Среди возможных для эксплуатации преобладают твердолиственные породы - 62 %,
среди которых 57 % спелых и перестойных. На долю хвойных пород приходится 21%,
среди которых 60 % спелых и перестойных. Общий запас насаждений определяется в
размере 9 782,0 тыс. куб.
В результате анализа финансово-хозяйственной деятельности ООО
"Кировсклес" было отмечено снижение доли оборотных средств в активах
в 2008 году по отношению к 2007 году. У данного предприятия наблюдается
недостаток собственных оборотных средств. При этом наблюдается тенденция
данного недостатка, что свидетельствует об ухудшении финансового положения.
Можно сделать вывод, что у данного предприятия среднее
финансовое положение, слабость отдельных финансовых показателей, проблемная
платежеспособность на границе допустимого. Для стабилизации работы предприятию
необходимо увеличить долю собственных оборотных средств в мобильной форме. Для
улучшения финансового состояния предприятия также необходимо изменить политику
расходования прибыли и использовать ее не только на потребление, но и создавать
различные фонды (накопление).
Основа данного проекта заключается в переходе от хлыстовой
заготовки древесины к сортиментной. ООО "Кировсклес" заготавливает
лес хлыстами и затем вывозит его на промежуточный нижний склад для дальнейшей
его распиловки на сортименты. Такая заготовка неэффективна, требуется много
затрат на содержание техники, на приобретение горюче-смазочных материалов,
заработную плату рабочим. Преимущество сортиментной заготовки заключается в
том, что ненужно тратить средства на содержание нижнего склада, сокращается
количество техники, людей, расход ГСМ, заработной платы, сокращаются затраты и
тем самым снижается себестоимость заготавливаемой древесины.
Технико-экономическое обоснование обоих вариантов показал, что при сортиментной
заготовке древесины себестоимость снижается на 35%.
Для еще большего снижения себестоимости сортиментной
заготовки в данном проекте предлагается внедрение харвестера, который будет
осуществлять валку, обрезку, раскряжевку и пакетирование сортиментов. Для
сборки, сортировки и погрузки остается Фискарс во избежание перегрузки
харвестера. Для транспортировки используются КАМАЗ.
Во втором варианте проектных мероприятий предлагается начать
производство и реализацию технологической щепы. Главным оборудованием при
существующих технологиях освоения лесосечных отходов является рубительная
машина. Производство щепы также будет осуществляться на верхнем складе и по
мере накопления отвозиться основному потенциальному покупателю
Спасск-цементному заводу. Так как в структуре себестоимости технологической
щепы отсутствуют материальные затраты, ее производство является
высокоэффективным и рентабельным. Данное мероприятие обеспечит предприятие ООО
"Кировсклес" дополнительной прибылью.
Оценка экономического обоснования реализации проектных
мероприятий показала, что проект эффективен, так как за 10 лет принесет 117948
тыс. рублей чистого дисконтированного денежного потока. Внутренняя норма
рентабельности составит 63%. Вложенные инвестиционные средства окупятся в
течении первого года реализации проекта.
Основными преимуществами предлагаемых мероприятий является
приобретение необходимого оборудования в лизинг, что освобождает предприятие от
единовременного вложения больших денежных средств и оплаты процентов по
кредиту; списание с баланса старого оборудования, что повысит фондоотдачу.
При анализе влияния всего проекта на исходные показатели ООО
"Кировсклес" себестоимость продукции снизится на 53%, прибыль
увеличится на 30330 тыс. руб. ежегодно, а рентабельность продаж и продукции
увеличится соответственно в 8 и в 15 раз.
Таким образом, предлагаемый проект считается применимым на
практике и может использоваться предприятием при планировании стратегии на
ближайшие 10 лет.
Список
использованных источников
1.
Абрютина М.С. Экономический анализ торговой деятельности: Учебное пособие - М.:
Дело и Сервис, 2000. - 512 с.
.
Анализ бухгалтерской (финансовой) отчетности для принятия управленческих
решений / Под общ. ред. Т.Г. Вакуленко - СПб.: Вещторгиздат, 2001 г. - 288 с.
.
Анализ финансово-хозяйственной деятельности предприятия: учеб. пособие / Под
общ. ред. Н.П. Любушина - М.: Экономика, 2000. - 471 с.
.
Анализ хозяйственной деятельности предприятия / Под общ. ред.В. В. Ковалева -
М.: Финансы и статистика, 2000. - 424 с.
.
Бланк И.А. Управление активами - Киев: МАУП, 2002. - 720 с.
.
Бланк И.А. Финансовый менеджмент: Учебный курс - Киев: МАУП, 2004 - 653 с.
.
Бойдейл Т. Как улучшить управление организацией: пособие для руководителей -
М.: Интерэксперт, 1995. - 204 с.
.
Бухгалтерский анализ / Под ред. М.А. Гольдберга. - Киев: МАУП, 2001. - 263 с.
.
Ефимова О.В. Как анализировать финансовое положение предприятия - М.:
Информэлектро, 2001. - 175 с.
.
Забровская Л.В. Китайская "философия" лесозаготовок в России //
Леспром Дальний Восток. - 2005. - №4. - С.5-8.
.
Завалин П.Н. Инновации - современный подход к управлению производством - Киев:
МАУП, 1999. - 327 с.
.
Захиров Н.М. Эффективность лесного комплекса: проблемы, решения. Лесная
промышленность - М.: КНОРУС, 2003. - 352 с.
.
Инвестиции / Под общ. ред.А.Ю. Андрианова - М.: Проспект, 2007. - 584 с.
.
Инвестиционный анализ. Теория выбора // Инвестиции в России. - 1997. - №1-2.
С.14-15.
.
Как рассчитать эффективность инвестиционного проекта / Под общ. ред. П.Л.
Виленского - М.: Информэлектро, 1996. - 386 с.
.
Коротков В.И. Деревообрабатывающие станки: Учебник для нач. проф. Образования -
М.: Омега Л, 2006. - 304 с.
.
Мазур И.И. Управление проектами: Учеб. пособие / И.И. Мазур, В.Д. Шапиро, Н.Г.
Ольдерогге. - М.: Омега-Л, 2006. - 664 с.
.
Методические рекомендации по оценке эффективности инвестиционных проектов. -
М.: Инвест-пресс, 2000. - 284 с.
.
Муратшин Г.М. Результаты производственных испытаний технологии и комплекта
машин при малообъемных лесозаготовках // Наука и производство. - 2005. - №9. -
С.3-7.
.
Низовкина Н.Г. Анализ и диагностика финансово-хозяйственной деятельности
предприятия: учебное пособие - Новосибирск: Академия, 2002. - 120 с.
.
Ольшанский И.С. Анализ хозяйственной деятельности предприятий лесной
промышленности и лесного хозяйства - М.: Экономика, 2001. - 185 с.
.
Петров А.П. Организация комплексного использования лесных ресурсов - М.:
Омега-Л, 1999. - 352 с.
.
Просветов Г.И. Управление рисками: задачи и решения - М.: Альфа-Персс, 2008. -
416 с.
.
Руководство пользователя Project Expert 6 Professional - М.: ЮНИТИ-ДАНА, 1999.
- 437 с.
.
Рыкунин С.Н. Технология деревообработки: Учебник для нач. проф. образования -
М.: Перспектива, 2006 - 352 с.
.
Савицкая Г.В. Анализ хозяйственной деятельности предприятия: Учебник. - М.:
Финансы и статистика, 2006. - 425с.
.
Сергеев И.В. Экономика предприятия - М.: ИНФРА - М, 2000. - 304 с.
.
Стоянова Е.С. Финансовый менеджмент: теория и практика. - М.: Перспектива,
2003. - 489с.
.
Суханов В.С. Развитие энергоэффективных ресурсосберегающих технологий в
лесопромышленном комплексе // Леспром Дальний Восток. - 2005. - №3. - С.4-6.
.
Технология и лесная деятельность: Учеб. пособие / Под общ. ред. Ю.А. Елагина -
Екатеринбург: Промиздат, 2000. - 207 с.
.
Формирование лесных экосистем в условиях интенсивной лесоэксплуатации / Под
общ. ред. Р.М. Бабинцевой - Новосибирск: Академия 1998. - 184 с.
.
Экономика и организация деятельности лесоперерабатывающего предприятия: Учебное
пособие / Под общ. ред.А.Н. Соломатина. - М.: ИНФРА-М, 2000. - 295 с.
.
Янкелевич М.Н. Анализ хозяйственной деятельности лесозаготовительного
предприятия - М.: Экономика, 1998. - 322 с.
Похожие работы на - Перспективы и резервы развития лесной отрасли в Приморском крае на примере деятельности ООО 'Кировсклес'
|