Спектрально-кинетические исследования оптической керамики ZnS, ZnSe

  • Вид работы:
    Дипломная (ВКР)
  • Предмет:
    Физика
  • Язык:
    Русский
    ,
    Формат файла:
    MS Word
    2,14 Мб
  • Опубликовано:
    2013-11-02
Вы можете узнать стоимость помощи в написании студенческой работы.
Помощь в написании работы, которую точно примут!

Спектрально-кинетические исследования оптической керамики ZnS, ZnSe

МИНИСТЕРСТВО ОБРАЗОВАНИЯ И НАУКИ РОССИЙСКОЙ ФЕДЕРАЦИИ

Федеральное государственное бюджетное образовательное учреждение

высшего профессионального образования

«КУБАНСКИЙ ГОСУДАРСТВЕННЫЙ УНИВЕРСИТЕТ»

(ФГБОУ ВПО «КубГУ»)

Физико-технический факультет

Кафедра оптоэлектроники



ДИПЛОМНАЯ РАБОТА

СПЕКТРАЛЬНО-КИНЕТИЧЕСКИЕ ИССЛЕДОВАНИЯ ОПТИЧЕСКОЙ КЕРАМИКИ ZnS, ZnSe

Специальность 010801 - Радиофизика и электроника

Работу выполнил Кусачёв Иван Владимирович

Научный руководитель

канд. физ.-мат. наук, доцент Е.В. Строганова

Нормоконтролер инженер И.А. Прохорова




Краснодар 2013

РЕФЕРАТ

СУЛЬФИДНАЯ КЕРАМИКА, МЕТОДЫ СИНТЕЗА,СПЕКТРАЛЬНЫЕ СВОЙСТВА, ЛЮМИНЕСЦЕНТНЫЕ СВОЙСТВА, СПОСОБЫ КОНСОЛИДАЦИИ

Целью данной дипломной работы являлось рассмотрение основных особенностей методов получения нового лазерного материала - керамики для разработки мощных твердотельных лазеров нового поколения на основе селенида и сульфида цинка с примесью хрома и исследование спектрально-кинетических свойств полученных образцов.

В работе также рассматриваются основные методы синтеза прекурсоров для лазерной керамики и примеры технологической реализации этих методов.

На основе экспериментальных спектрально-кинетических исследований был сделан вывод о том, что в образце ZnS:Cr присутствует оптический центр переходного металла Сr. В спектре кинетик люминесценции участвует единственный возбужденный энергетический уровень оптического центра, среднее время жизни которого в неотоженном образце ZnS составляет 330 мкс, что соответствует характерному времени жизни хрома.

Спектральные исследования лабораторных образцов керамики в ТГц частотном диапазоне показывают, что зернистая структура образца неоднородная. Это приводит к изменениям в спектрах поглощения в ТГц диапазоне и в расчетных спектральных амплитудах ТГц импульсов.

керамика селенид сульфид

СОДЕРЖАНИЕ

Введение

1. Методы получения нанопорошков для лазерной керамики

1.1 Специфика оптической керамики

1.2 Требования к исходным материалам для синтеза лазерной керамики

1.2.1 Размер частиц

1.2.2 Распределение частиц по размерам

1.2.3 Однородность формы

1.2.4 Агломерация частиц

1.2.5 Примеси

1.2.6 Фазовая однородность

1.2.7 Максимальная плотность исходного образца

1.2.8 Минимальная потеря веса в процессе спекания

1.3 Методы синтеза нанопорошков и подготовки шихты для лазерной керамики

1.3.1 Получение сульфида цинка методом сублимации

1.3.2 Метод химического осаждения из газовой фазы

1.3.3 Лазерное получение нанопорошков

2. Способы консолидации наноразмерных порошков

3. Оптические и люминесцентные свойства ZnS наночастиц легированных Cr

3.1 Влияние температуры отжига на оптические свойства ZnS наночастиц легированных Cr

Заключение

Список использованных источников

ВВЕДЕНИЕ


В последние годы ведутся интенсивные исследования в области создания материалов с использованием нанотехнологий. Одним из важных направлений на этом пути является создание оптической керамики для активных сред твердотельных лазеров. Преимущества лазерных керамик перед монокристаллами очевидны: это возможность получения многослойных элементов с размерами, превышающими размеры монокристаллов, большая концентрация активных центров, меньшее время и стоимость изготовления. Таким образом, разработка технологии синтеза лазерной керамики позволит решить проблему создания, как дешевых компактных технологических лазеров, так и мощных лазерных систем.

Основными этапами в технологии синтеза оптической керамики являются: 1) получение слабоагломерированных нанопорошков заданного состава, 2) приготовление из них образцов высокой плотности (далее - компактов) и 3) спекание из компактов беспористой керамики. Технологические условия каждого последующего этапа зависят от качества продукции предыдущего этапа.

С материаловедческой точки зрения лазерная керамика является разновидностью специальной керамики, оптические свойства которой удовлетворяют требованиям, предъявляемым к лазерным материалам.

Поликристаллическая керамика состоит из мелких случайно ориентированных кристаллов размером от сотен нанометров до нескольких десятков микрометров. Считается, что поликристаллическая прозрачная керамика была получена впервые в начале 60-х годов прошлого века, хотя известно, что еще древний китайский фарфор был достаточно прозрачен в тонких слоях. Первым материалом, имеющим техническое значение, был пропускающий оксид алюминия. С тех пор были получены образцы прозрачной керамики из самых разных материалов - оксидов, фторидов, нитридов, сульфидов.

С развитием электроники и оптоэлектроники оксидная керамика нашла применение в качестве электроизоляторов, диэлектрических деталей конденсаторов, активных сред лазеров и т.д. Однако низкие теплопроводность термостойкость в сочетании с высокими значениями коэффициентов термического расширения резко ограничивают возможности применения оксидной керамики как конструкционного материала. Более стабильными физико-химическими свойствами обладают бескислородные керамические материалы, в частности ZnS и ZnSe, которые в последнее время используют для создания оптически прозрачной керамики, керамики с плотностью, близкой к теоретической, с повышенной механической прочностью, термо- и кислото- стойкостью. Под прозрачной понимают керамику, способную пропускать электромагнитное излучение. Если керамика пропускает инфракрасные (ИК) лучи, которые являются тепловыми и составляют небольшую часть всего спектра электромагнитных волн, то говорят, что она оптически прозрачна в ИК-диапазоне. Так называемая фундаментальная или аналитически полезная ИК-область длин волн начинается с 2,8 мкм и распространяется до 33 мкм. Следует заметить, что сам термин "прозрачная керамика" несколько условен, поскольку степень пропускания волн различной длины может быть разной. Тот диапазон длин волн, которые способна пропускать керамика, называется окном прозрачности и является одной из важнейших характеристик оптического материала, а сам материал - ИК-окном. Получение таких ИК-окон -сложный и трудоемкий процесс, в котором необходимо контролировать несколько параметров, таких, как форма и размер частиц, наличие посторонних примесей, химический и стехиометрический состав исходного порошка. Поэтому для получения керамики с заданными свойствами требуется дальнейшее развитие химических методов подготовки активных к спеканию порошков, а также методов их прессования в керамические изделия.

1. Методы получения нанопорошков для лазерной керамики


1.1  Специфика оптической керамики


В наиболее общем виде технологический процесс изготовления любого керамического изделия состоит из последовательности стадий, показанных на рисунке 1. Первая специфическая особенность лазерной керамики заключается в необходимости получения в конечном итоге беспористого образца с плотностью, равной плотности монокристалла того же состава. Для этого на каждой стадии процесса необходимо обеспечивать как можно более плотную упаковку частиц, высокую диффузионную подвижность атомов в процессе спекания и максимально использовать внутреннее сжимающее давление, являющееся движущей силой удаления пор при спекании керамики. Наиболее распространенным способом уплотнения исходных материалов и спеченной керамики является дополнительное использование внешнего давления - одноосного, изостатического или магнитоимпульсного.

Из этих трех методов изостатическое прессование является наиболее сложным и дорогостоящим, но в то же время наиболее эффективным процессом. Ниже приведены примеры того, что при рациональном методе подготовки шихты при синтезе лазерной керамики можно избежать стадии горячего или холодного изостатического прессования.

Вторая специфическая особенность оптической керамики состоит в том, что границы между зернами должны быть оптически совершенны - не содержать посторонних примесей и иметь как можно более узкую область неупорядоченности.

Рисунок 1 - Схема технологического процесса получения специальной керамики

1.2  Требования к исходным материалам для синтеза лазерной керамики


При синтезе прозрачной керамики состав и качество исходных материалов относятся к критическим факторам, определяющим качество получаемого продукта. Ниже перечислены основные факторы, влияющие на качество оптической керамики.

1.2.1 Размер частиц

Движущая сила и время спекания для получения образца плотной керамики определяются кривизной поверхности частиц.

Согласно правилу Herring’a, если при одинаковых условиях эксперимента спекаются порошки одинаковой формы, но разного размера, то времена, необходимые для получения образцов одинаковой плотности, относятся друг к другу как

 , (1)

где  - отношение радиусов частиц, а  - показатель степени, который, например, для случая скорости диффузии атомов в решетке, как лимитирующей стадии процесса спекания, равен 3 [1]. Использование нанопорошков, с одной стороны, позволяет улучшить спекаемость керамики, а с другой - создать лучшие условия для схлопывания пор.

Частицы очень малого размера (менее 10 нм) неудобны для работы, в частности для прессования, и поэтому предпочтительный размер частиц для изготовления прозрачной керамики лежит в пределах от 10 до 100 нм.

1.2.2 Распределение частиц по размерам

Оно должно быть по возможности узким, для того чтобы не происходило разной усадки вокруг разных частиц при их спекании, с другой стороны, монодисперсные частицы образуют более рыхлую упаковку, чем порошки, приготовленные из частиц разного, но контролируемого размера, чтобы заполнить промежуточное пространство.

1.2.3 Однородность формы

Она необходима для достижения плотной упаковки. Более плотная упаковка частиц уменьшает расстояние, необходимое для переноса вещества при спекании, и, соответственно, увеличивает скорость уплотнения керамики. Если частицы имеют при этом одинаковую ориентацию кристаллографических осей относительно формы частиц, то усадка таких композиций во время сушки и спекания будет изохронной. Эти представления были применены к описанию процесса спекания кубических нанокристаллов [2]. Углы при вершине, образованной границами трех зерен в керамике, равны примерно 120°. Данная величина угла характерна для контакта двойников в направлении на грани исходного кубического кристалла. Аналогичные двойники образуются при росте кубических кристаллов. Согласно «двойниковой» модели строения керамики ориентация зерен и уменьшение пор происходят в процессе пластической деформации образца. Этот процесс протекает в основном на стадии холодного прессования заготовки при давлении 100-200 МПа перед последующим вакуумным спеканием. Схема процесса представлена на рисунке 2.

Рисунок 2 - Модель уплотнения керамики из кристаллов с кубической структурой [2]

Эта модель противоречит наиболее широко распространенному мнению, что для получения беспористой керамики следует использовать сферические частицы и стремиться к их плотнейшей упаковке при формовании. Предполагается, что на самом деле сферические частицы образованы кубами, вписанными в сферу. Первоначальная нагрузка при прессовании достаточна для пластической деформации даже таких малопластичных кристаллов, как . Залечивание пор происходит путем переноса вещества, сопровождаемого вращением решетки. Таким образом, ответственным за образования беспористой керамики является процесс, аналогичный «двойникованию» кристаллов.

Напрашивается вывод, что для достижения плотной упаковки, согласно «двойниковой» модели строения керамики , лучше использовать кристаллы кубической формы.

1.2.4
Агломерация частиц

Агломерация приводит к неоднородной упаковке и последующему неоднородному спеканию. В результате в керамическом образце образуются внутренние поры и трещиноподобные пустоты [3]. Характер агломерации можно разделить на два типа. При мягкой агломерации частицы удерживаются вместе слабыми вандерваальсовыми силами. При сильной агломерации частицы связаны между собой мостиками из сильных химических связей. Порошки для спекания должны обладать минимальной степенью агломерации, по возможности избегая сильной. Для демонстрации влияния агломерации на пористость керамики на рисунке 3 приведена зависимость плотности керамики на основе стабилизированного диоксида циркония от температуры спекания [4].

1 - неагломерированный порошок, 2 - агломерированный порошок

Рисунок 3 - Плотность спеченной керамики на основе диоксида циркония, стабилизированного оксидом иттрия, относительно плотности монокристалла в зависимости от температуры спекания в течение 1 ч [16]


1.2.5 Примеси

Некоторые примеси часто ответственны за процессы переноса возбуждения и изменение силы поля лигандов вокруг центра люминесценции. Поэтому таких примесей следует избегать, и это общее правило применимо к любым лазерным материалам. Применительно к керамике влияние примесей этим не ограничивается. Большинство примесей или растворяются в основном веществе, или образуют нерастворимые включения. Растворенные примеси меняют концентрацию собственных дефектов в матрице и, соответственно, изменяют, например, коэффициенты диффузии основных компонентов. Величины последних важны для процесса спекания. Хорошо известным примером является добавление к оксиду алюминия небольших количеств (порядка 100 ppm)  или , которые способствуют получению прозрачной керамики [5]. Объяснение роли добавок иновалентных оксидов на кинетику спекания сводится или к увеличению коэффициента самодиффузии, при введении примеси, или к уменьшению поверхностной энергии зерен - в присутствии посторонней фазы. Введение добавок в виде примеси замещения приводит также к генерации дефектов. Например, при введении примеси диоксида кремния в подрешетку оксида алюминия происходит реакция, согласно которой на каждые три введенных атома кремния в подрешетке алюминия образуется одна вакансия, т. е.

 . (2)

Примесь , вводимая в керамику при спекании, при последующем ее медленном охлаждении может выделяться в виде стекла на границах зерен и играть роль центров рассеяния, ухудшающих прозрачность керамики [6].

Влияние примеси на процесс спекания керамики на основе алюмоиттриевого граната может быть понято при рассмотрении «дорожной карты спекания», приведенной на рисунке 4 [7, 8]. Траектория размер зерна -плотность керамики характеризует отношение скорости уплотнения керамики к скорости роста зерна.

Рисунок 4 - “Дорожная карта” спекания ИАГ-керамики

По мнению авторов [7], в зависимости от условий эксперимента и содержания  наблюдаются три типа микроструктуры: пористый материал (относительная плотность от 60 до 90%) с субмикронным зерном, керамика с закрытыми порами, плотностью от 90 до 97% с микронными зернами (в среднем порядка 2 мкм) и полностью уплотненная керамика со средним размером зерна более 3 мкм. При 1973К средний размер зерна в керамике, легированной , остается порядка 5 мкм, в то время как в чистой керамике он возрастает до 11 мкм. Это означает, что легирующая добавка  повышает скорость уплотнения керамики относительно скорости роста зерна, являясь ингибитором роста зерна и способствуя получению более однородной микроструктуры, необходимой для получения прозрачной керамики. Скорость уплотнения нелегированной керамики лимитируется процессом диффузии редкоземельных ионов по границам зерен. При добавлении к шихте  рост кристаллов и уплотнение керамики, по мнению авторов, происходят по механизму жидкофазного спекания. Скорость спекания увеличивается с ростом концентрации примеси, как результат увеличения скорости переноса вещества через жидкую фазу и уменьшения площади контактов зерен по типу твердое - твердое.

1.2.6
Фазовая однородность

Порошок должен быть однофазным и состоять из той фазы, которая ожидается быть полученной при спекании керамики. В применении к лазерной керамике следует добиваться также равномерного распределения примеси редкоземельных материалов (РЗМ) по исходным наночастицам, с тем чтобы избежать влияния сегрегации ионов РЗМ на лазерные свойства керамики [9].

1.2.7 Максимальная плотность исходного образца

Образец, приготовленный из исходного порошка, должен содержать минимальное число пор. Макро- и мезопоры, если они присутствуют в образце, создадут проблемы, такие как структурное несовершенство и снижение прозрачности керамики.

1.2.8 Минимальная потеря веса в процессе спекания

В процессе нагревания керамического материала до высокой температуры непрерывная дегазация поверхности порошка происходит до тех пор, пока не произойдет полное закрытие пор. Давление газа, захваченного порами, направлено против сжимающего давления спекания и потому препятствует полному исчезновению пор. Природа и состав захваченных газов зависят от способа получения и термической предыстории порошка. Например, метан, образующийся при использовании в качестве смачивающей среды в шаровой мельнице метанола, присутствует в порошке при его спекании вплоть до температуры 1000 °С [10]. Так как оксиды алюминия, иттрия, неодима и др. склонны к гидратации и карбонизации поверхности, вода и углекислый газ могут быть полностью удалены только при прогреве до 1200 °С. Процессы адсорбции и десорбции существенны для нанопорошков с высокоразвитой поверхностью. Для них важно соблюдение высокой чистоты, как реактивов, так и окружающей среды, а также контролируемые условия хранения [11]. Дополнительная стадия отжига для удаления летучих примесей перед проведением завершающей стадии спекания нанопорошков существенно улучшает качество оптической керамики.

1.3  Методы синтеза нанопорошков и подготовки шихты для лазерной керамики


Как известно качество функционального керамического материала предопределяется вероятностью соответствия его технологически равновесному состоянию, а именно - максимально возможной гомогенности химического состава и степени однородности его конечной микроструктуры с минимальным уровнем остаточных механических напряжений. Достижение

технологически равновесного состояния керамического материала особенно для случая твердых растворов представляет собой достаточно сложную технологическую задачу, которая, как правило, в рамках классической керамической технологии не реализуется.

Связано это с тем компромиссом, который существует между получением химически однородного состава керамического порошка, отвечающего за свойства конечного продукта и его монодисперсностью, определяющей конечную микроструктуру функциональной керамики в целом. В связи с этим предлагаемые рынком оксидные материалы имеют сегодня, как правило, удельную поверхность порядка 5000 см2/г со средним размером исходной частицы 2-1,5 мкм, т.е. не удовлетворяющим требованиям производства высококачественной керамики и химическим составом исходных частиц керамического порошка заметно отличающимся от его среднего химического состава [12]. В итоге реально достигаемый результат не отвечает в полной мере ни экономической целесообразности керамического производства, ни требованиям заказчика.

Практическое решение этих задач реализуется в рамках таких разработанных технологий как - непрерывный твердофазный синтез (НС) и скоростные методы спекания (СКС).

Традиционные методы получения порошков включают в себя операции

смешения исходных оксидов, прокаливания при температурах, необходимых

для протекания твердофазного синтеза, и помола полученного спекла до достижения нужной степени дисперсности. При этом последовательность реакций при образовании твердых растворов существенно зависит от условий процесса и от исходных материалов.

Для приготовления порошков, из которых можно приготовить оптически прозрачную керамику или специальную керамику, чувствительную к отклонению от стехиометрии состава и к включениям посторонних фаз, применяют различные методы, которые можно разделить на три группы: а) получение порошков из раствора, б) из паровой фазы, в)путем разложения солей в твердой фазе.

Достоинства методов с использованием растворов заключается в возможности получения почти любого состава при высокой точности контроля однородности и равномерного распределения небольших прибавок.

К этой группе относятся методы, включающие удаление растворителя путем испарения, осаждение твердого вещества с последующим фильтрованием и без фильтрования, если осадок «схватывает» при осаждении весь объем раствора, экстрагирование растворителя с последующим фильтрованием, а в

некоторых случаях, выжигание растворителя. Обычно для поддержания однородности раствора его распыляют на мелкие капли и быстро высушивают. Сушку распылением используют для получения порошков бета-оксида алюминия, ферритов и др.. Применяют также высушивание в ожиженном слое, разложение распыленного раствора в горячей печи, эмульсионное высушивание, сушку вымораживанием и др. Методами осаждения с фильтрованием получают, как правило, агрегированные порошки.

К числу методов, основанных на использовании паровой фазы, относятся методы, связанные с испарением и конденсацией, разложением в паровой фазе, реакциями в паровой фазе, реакциями между паром и твердым

веществом. Размер частиц получаемого порошка находится в пределах 2-200 нм и поддается регулированию технологическими средствами.

Соосаждение солей применяют для производства мягких и жестких ферритов. Однородные порошки могут быть получены в результате реакций с использованием расплавленных солей, при этом температура образования, например, марганцевого феррита снижается до 400-600 0С, однако образующийся порошок спекается плохо. Однородность порошков, приготовленных термическим разложением твердых растворов совместно осажденных солей, недостаточна и при этом методе трудно регулировать концентрацию малых добавок. Более однородные и лучше спекающиеся порошки, образующиеся при разложении комплексных соединений или металлорганических соединений.

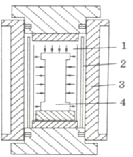
1.3.1 Получение сульфида цинка методом сублимации

Метод вакуумной сублимации предполагает использование мелкодисперсного порошка сульфида цинка в качестве исходного материала, нагреваемого в нижней части замкнутого объема и конденсирующегося в виде монолитного материала в верхней части. На рисунке 5 представлена типичная схема аппарата, используемого для получения ZnS методом сублимации.

- исходная шихта, 2 - нижняя камера, 3 -графитизированная сетка,

- кольцо из графита, 5 - верхняя камера, 6 - подложка, 7 -крышка.

Рисунок 5 - Схема аппарата для сублимации ZnS

Конденсация, как правило, происходит через фильтры, где осаждаются частицы пыли, а также летучие примеси. В такой конструкционно простой системе основной технологической задачей является обеспечение необходимого градиента температуры и исходного состава сырья. Первый фактор, по-видимому, является определяющим в возникновении оптической неоднородности материала. Так, по данным [13-16] для ZnS, полученного методом вакуумной сублимации, наблюдается изменение показателя преломления заготовки: радиальная разность - (0.4- 1.5)-10"3, что, возможно, является следствием кривизны температурного фронта кристаллизации и градиента температуры заготовки во время охлаждения. Кроме того, для образцов ZnS характерна высокая светорассеивающая способность. Второй фактор - влияние состава исходного порошка - также является объектом изучения, т.к. наличие примесей предопределяет структурное и оптическое качество получаемого поликристалла.

1.3.2
Метод химического осаждения из газовой фазы

Метод промышленного получения заготовок сульфида цинка из газовой фазы (CVD) основан на реакции:

 . (3)

Основное преимущество этого процесса - относительно низкие температуры осаждения, что является следствием больших значений теплового эффекта реакции и отрицательной величины свободной энергии. Скорость процесса осаждения ZnS определяется в основном концентрацией цинка и сероводорода. Необходимая концентрация первого достигается регулированием скорости массопереноса цинка, что в свою очередь, задается

температурой испарителя и давлением в реакторе. Как правило, при давлении 10-40 тор и Т = 630-670 °С [17] достигается необходимое пересыщение по цинку, обеспечивающее заданную скорость роста ZnS. При этом одно из основных условий формирования структурно однородного осадка состоит в поддержании температуры всегда несколько более высокой, чем температура испарителя цинка, чтобы избежать конденсации пара цинка в зоне осаждения ZnS. Одной из особенностей процессов, протекающих в реакционной зоне, является возможность в условиях низких давлений термораспада сероводорода по реакции:

 . (4)

В [7] приведены данные по степени диссоциации H2S при различных значениях температуры и давлении. Из них следует, что при Р и Т, обычно реализуемых в процессе осаждения ZnS-CVD, в газовой фазе находится сероводород, на 6 - 12 % диссоциированный на Н2 и S2 . Таким образом, осаждение ZnS протекает как по реакции Zn с H2S, так и реакции Zn с S2. Это, возможно, влияет на морфологию осаждаемых слоев. Н2 как продукт реакции подавляет диссоциацию H2S, что обеспечивает преимущественный путь реакции по уравнению (3).

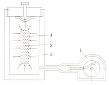
Рисунок 6 - Схема реактора для осаждения ZnS-CVD

В немногочисленных публикациях, посвященных получению ZnS CVD-методом, приводятся различные данные об основных параметрах процесса, наиболее оптимально обеспечивающих заданные свойства материала. Обобщая эти данные, можно привести интервал значений давления в реакторе 5-8 мбар, температуры в зоне осаждения 500-750 °С, концентраций Zn и H2S 2-0.5, соотношение потока газа носителя к потоку реагентов 4-10. Процесс осаждения ZnS по реакции (3) проводят на установке горизонтального или вертикального типа, схематично представленной на рисунке 6.

Внутри реактора размещены графитовые подложки, на внутренних сторонах которых осаждаются слои ZnS. Сероводород в смеси с инертным газом подается по трубопроводу, расположенному в центральной части основания реактора. Пары цинка над поверхностью расплава в резервуаре подаются в реактор с помощью потока газа-носителя, в качестве которого в основном используют аргон. Нагрев реактора и резервуара с цинком осуществляется с помощью внешних резистивных нагревателей. Снаружи реактора - теплоизоляционный кожух. Вверху установки - выхлопной трубопровод, соединенный с вакуумным насосом. Выхлопная система включает фильтрационные ловушки, где оседают твердофазные продукты реакции в виде частиц, и скруббер, где происходит нейтрализация непрореагировавшего сероводорода и других токсичных продуктов процесса. Продолжительность процесса осаждения ZnS может достигать 1100 часов. Оптимальная скорость осаждения поликристаллических слоев - 50 мкм/ч.

1.3.3 Лазерное получение нанопорошков

Основой для создания керамик являются нанопорошки состоящие из слабоагломерированных частиц с узким распределением по размерам и малым средним размером. В случае оптической керамики, нанопорошки должны быть химически чистыми. Кроме того, технология получения наночастиц должна обеспечивать получение химически чистых нанопорошков в количествах достаточных для проведения исследований и опытно-конструкторских разработок (~1кг). Анализ методов получения наночастиц показал, что в наибольшей степени этими качествами обладают нанопорошки, полученные лазерным методом, который заключается в испарении твердого вещества лазерным излучением и в последующей конденсации паров в потоке несущего газа. Впервые конкурентоспособность лазерного метода была продемонстрирована в работах немецких ученых под руководством Мюллера [16], которые использовали мощный непрерывный СО2-лазер для получения с высокой производительностью наночастиц Al2O3, ZrO2, ZrO2:MgO, ZrO2:CaO, ZrO2:Y2O3. При мощности излучения ≈4кВт и плотности мощности на мишени 4*105 Вт/см2 они получили нанопорошки ZrO2 с производительностью до 130 г/час, которые содержали слабоагломерированные сферические наночастицы со средним размером dBET≈60нм. Однако в непрерывном режиме лазерного излучения достаточно большими оказываются потери энергии на нагрев мишени [15]. Переход к импульсно-периодическому режиму излучения за счет модуляции добротности резонатора непрерывного СО2-лазера позволил их снизить. При средней мощности излучения 500 Вт (tи=45мкс) производительность получения нанопочастиц ZrO2 увеличилась до 7 г/час, что вдвое выше, чем в непрерывном режиме с той же мощностью излучения. При этом средний размер наночастиц dBET уменьшился до 20 нм. Однако в режиме модуляции добротности резонатора КПД лазера и максимальная средняя мощность излучения снизились в 4 раза. Поэтому общие удельные затраты электроэнергии при получении нанопорошка только увеличились, что сделало нецелесообразным применение СО2-лазера с модулированием добротности резонатора для наработки наночастиц.

В полной мере реализовать преимущества использования импульсного режима испарения мишени можно только с помощью мощного импульсно-периодического СО2-лазера с высоким КПД. Остались неисследованными фракционный состав получаемых с помощью импульсно-периодического СО2-лазера нанопорошков, зависимость среднего размера наночастиц от материала мишени и условий синтеза, динамика и характеристики лазерного факела, возникающего при испарении оксидных мишеней в атмосфере буферного газа.

В работе [19] предложено использование для получения оксидных наночастиц газофазным способом мощного импульсно-периодического СО2-лазера с высоким КПД (~8%). При получении нанопорошков тугоплавких оксидов (типа ZrO2) это позволило при одинаковой средней мощности излучения (≈500Вт) снизить затраты электроэнергии до 0,9 (кВт⋅ г)/час, что в два раза меньше, чем при использовании непрерывного СО2-лазера и в четыре раза меньше, чем в случае СО2-лазера с модуляцией добротности резонатора. Было показано, что при атмосферном давлении воздуха в испарительной камере и неизменной скорости его прокачки над поверхностью мишени средний размер наночастиц YSZ и Се1-xGdxO2-δ, Nd:Y2O3 оказывается почти одинаковым и равным 10÷14нм. В то же время, средний размер наночастиц уменьшается с ростом скорости прокачки газа над поверхностью мишени. Наиболее эффективным способом увеличения среднего размера наночастиц (типа Nd:Y2O3) является создание избыточного, по сравнению с атмосферным, давления воздуха в испарительной камере. Причиной наблюдаемых зависимостей размеров наночастиц от условий синтеза является то, что давление и концентрация пара в лазерном факеле перед началом конденсации определяется давлением воздуха, а скорость его прокачки влияет на скорость охлаждения паров.

Существенным результатом работы [16] было доказательство того, что испарение мишеней из простых или сложных оксидов происходит в виде радикалов (типа YO, ZrO), а образование наночастиц в лазерном факеле при его разлете в атмосферный воздух начинается на расстоянии нескольких миллиметров от мишени и сопровождается интенсивным турбулентным перемешиванием пара и наночастиц с воздухом. Крупные осколки, имеющиеся в нанопорошке, образуются в момент кристаллизации остывающего расплава в кратере после окончания испарения мишени импульсом лазерного излучения. Сублимации на начальном этапе конденсации пара, а окончательное образование наночастиц происходит в вихревых облаках, которые формируются при турбулентном перемешивании

пара с воздухом.

Для получения наночастиц использовался СО2-лазер, который обладает

следующими характеристиками [16]:

Средняя мощность излучения ___________до 800Вт

Пиковая мощность излучения ___________до 11кВт

Энергия импульса излучения ____________до 1,3Дж

Частота следования импульсов __________до 800Гц

Апертура лазерного пучка ______________20×30мм

КПД _________________________________8%

Производительность получения нанопорошка определяется удельной энергией испарения вещества и энергетическими характеристиками лазерного луча. При увеличении средней мощности лазерного излучения и сохранении формы импульса лазерного излучения и частоты их следования производительность получения нанопорошков линейно увеличивается. При средней мощности излучения 500Вт производительность получения нанопорошка YSZ достигла величины ≈20г/час, а при испарении более легкоплавкого CeGdO - 70г/час. Это обусловило удельные затраты электроэнергии при получении этих порошков ≈300 (Вт⋅ час)/г и ≈90 (Вт⋅час)/г, соответственно. Производительность получения нанопорошка

чистого оксида циркония при средней мощности излучения 500 Вт составила величину 7 г/час. При этом удельные затраты электроэнергии оказались равными ≈0,9 (кВт⋅ час)/г, что в два раза меньше, чем при испарении ZrO2 излучением непрерывного СО2-лазера и в 4 раза меньше, чем в случае использования импульсно-периодического СО2-лазера с модулированием добротности резонатора при равных средних мощностях излучения [16]. Другим параметром, от которого зависят размеры наночастиц, является скорость прокачки воздуха над поверхностью мишени, т.к. прокачка холодного по сравнению с лазерной плазмой воздуха через область ее конденсации способствует быстрому переохлаждению паров и увеличение ее

скорости должно привести к уменьшению среднего размера наночастиц.

С ростом скорости прокачки воздуха от 2м/с до 20м/с удельная поверхность этого нанопорошка линейно увеличивалась с 44м2/г до 72м2/г, а средний размер наночастиц, соответственно уменьшался.

Полученные в работе [16] нанопорошки содержали в себе частицы двух фракций. Первая фракция состоит из наночастиц округлой формы (или с огранкой), которые образуются при конденсации пара и при атмосферном давлении воздуха в испарительной камере имеют средний размер - 11÷14нм. Вторая фракция состоит из разбрызганных из расплава сферических частиц с

размерами 0,2÷2мкм и бесформенных осколков мишени с размерами 1÷50мкм, образующихся в результате разрушения оплавленного вещества в кратере в момент кристаллизации.

2. Способы консолидации наноразмерных порошков


Во многих методах получения наноматериалов конечным продуктом являются порошки. В некоторых материалах трудно, а порой и невозможно создать наноструктуры в большом объеме. Для получения объемных материалов из нанопорошков в первую очередь используются различные варианты процесса прессования. Однако для практических целей в большом количестве случаев востребованы компактные изделия, состоящие из наноразмерных морфологических элементов. Поэтому возникает необходимость «второго предела» для получения консолидированных изделий из нанопорошков. Это возможно осуществить с помощью различных

технологических процессов: прессования, спекания, прокатки, экструзии.

Как показывает практика, увеличение дисперсности порошков сопровождается заметным снижением их уплотняемости при прессовании. Это связанно с повышением адгезионной, аутогезионной активности, склонности к агрегированию с уменьшением размера частиц.

Прессуемость нанопорошков существенным образом зависит также от распределения частиц по размерам, величины удельной поверхности, состояния поверхности, наличия адсорбентов, дефектности, агломерации.

Из вышеизложенного ясно, что получение из нанопорошков массивных материалов с наноструктурой выделяется в самостоятельную задачу.

Все многообразие методов прессования можно разделить на две группы: статические и динамические. В свою очередь, в каждой из этих групп имеются варианты методов, различающиеся:

По температуре проведения процесса: холодное и горячее прессование;

По характеру прилагаемой нагрузки: одноосная, двухосная, всесторонняя (изостатическая).

В случае необходимости совместно с прессованием применяют другие виды обработки. Например, изостатическое холодное прессование часто сочетают со спеканием, которое, в свою очередь, может быть изотермическим и неизотермическим.

В большинстве случаев практический интерес представляет нанокерамика с плотностью 98-100% от теоретической, которую возможно получить только путем спекания. Однако в этом случае возникает проблема подавления роста зерен (рекристаллизации). Ингибирование рекристаллизации возможно при высокой плотности прессовок (не менее 0,7 от рентгеновской), когда процессы спекания протекают достаточно быстро, и при относительно низкой температуре T ≤ 0,5Tm (Tm - температура плавления).

Для образования нанокристаллитов в керамике необходимо перед спеканием сохранить наноструктурное состояние в спрессованном порошке, предотвращая пластическую деформацию частиц НП в процессе прессования, и предотвращать рост зёрен при спекании. Для подавления роста зёрен спекаемых НП пригодны только высокоэнергетические методы консолидации, связанные с использованием статических и динамических высоких давлений, электроимпульсных нагрузок и т.д. Кроме размера зёрен, критерием качественного изготовления изделий технической керамики часто является высокая плотность. Например, при оптимизации зависимости плотности от давления прессования, для достижения максимальной плотности, минимизации упругого последействия и расслаивания прессовки делают упор на определение характеристик и контроль общего (макроскопического) состояния порошкового компакта.

Характер и поведение гранул (агломератов), которые образуют порошок, имеют основное влияние на микроструктуру компакта. Как начальный пример, рассматриваются различия в реакциях на воздействие между металлической частицей, керамической гранулой при температуре выше температуры затвердевания её связующего (Tg), и керамической гранулой при температуре ниже Tg ее связующего. Керамические частицы, напротив, будут деформироваться под воздействием относительно малой величины силы. По существу, уже под небольшим одноосным напряжением керамические агломераты хорошо компактируются (за счёт их разрушения), в то время как металлические частицы и их агломераты только начинают деформироваться.

Но кроме нагрузки, деформация керамических агломератов также зависит от наличия связующего материала и температуры. При температурах ниже Tg связующего материала разрушение агломератов отражает комбинацию упругих и пластических свойств частиц порошка. Пластическая деформация агломератов будет преобладать при температурах выше температуры Tg связующего.

Очевидно, различия в поведении деформации частиц (на микроскопическом уровне) для этих трех различных случаев будут приводить к различиям макроскопических свойств соответствующих компактов. В процессе прессования твердых (прочных и жёстких) частиц керамического порошка должно быть оптимизировано их течение при заполнении пресс-формы и перераспределение на начальной стадии компактирования. Для изготовления гомогенного, высокоплотного компакта требуются деформируемые (слабые и мягкие) агломераты. Оптимизация для обоих случаев в данном порошке потребовала бы наличия агломератов, которые имеют различные характеристики деформации на различных стадиях обработки. Так как свойства керамических частиц в грануле фиксированы, поведение гранулы и управление этим поведением должны, в значительной степени определяться пластифицирующими органическими добавками в систему.

Однако применение органических пластификаторов не обеспечивает полное разрушение агломератов и тем самым в прессовке не создаётся континуум из наночастиц как зародышей формирования нанозёрен керамики, что является одним из основных условий в технологии изготовления нанокерамики. Кроме того, пластификаторы являются потенциальными примесями и причиной дополнительной пористости в спекаемой керамике.

Изменяющаяся внутренняя структура керамических агломератов, распределение примесей и пластификатора в них (например, сегрегированного на шейке частицы в сравнении с однородно распределенным в виде пленки вокруг отдельных частиц) являются усложняющими факторами, которые делают предсказания поведения и влияния пластификаторов при прессовании и спекании затруднительными.

В этой связи актуальным является процесс компактирования нанопорошков без применения пластификаторов. Одним из таких методов является метод ультразвукового компактирования, рассматриваемый далее. Модели уплотнения обычного порошка нельзя успешно применить примоделировании уплотнения наночастиц по нескольким причинам, обсуждаемым ниже, которые возникают из-за резкого уменьшения размера частиц.

) Возможность новых или различных механизмов уплотнения. Предполагается, что выраженная поверхностная диффузия в наноразмерных компактах будет увеличивать зерно/межчастичное скольжение и диффузию вакансий.

) Агломерация нанопорошков в кластеры. Высокая межчастичная адгезионная способность (по сравнению с обычным порошком) ведет к различным уровням агломерации. Эта тенденция к агломерации может сильно влиять на кинетику уплотнения. Адгезионная способность ведет к различным уровням межчастичного и межагломератного трения.

) Ансамбли наночастиц имеют большие площади поверхности, делающие их очень восприимчивыми к примесям по сравнению с крупноразмерным порошком. И поверхностные и объемные примеси играют важную роль в уплотнении. Атомы примеси увеличивают межчастичное трение, примеси стабилизируют нанопоры и предотвращают их схлопывание, примеси сегрегируют предпочтительно к границам и препятствуют массопереносу. Влияние внутреннего давления, вызванного адсорбированными газами, могут быть еще больше выражены в системах наночастиц из-за резкого увеличения площади поверхности.

) Низкая плотность дислокаций, и низкая стабильность дислокаций из-за малого размера наночастиц. Так как наночастицы могут быть свободны от дислокаций и источников дислокаций, их пластическая деформация может быть низкой и для не спеченных компактов могут требоваться более высокие давления. Различная структура дислокаций и их поведение могут также проявляться в изменении механизма ползучести. Ползучесть - это доминирующий механизм уплотнения во многих материальных системах.

) Другие факторы, такие как диффузионно-стимулированная зернограничная миграция, и вращение, стимулированное энергией границ, могут изменять механизмы уплотнения.

Литературные данные относительно характера и механизмов уплотнения во многих случаях противоречат друг другу и показывают явную зависимость от материала, синтеза и различий обработки намного большую, чем в случае обычного порошка.

Холодное статическое прессование в закрытых пресс-формах является относительно простым по технологической реализации и универсальным для прессования изделий различной формы из порошков любых составов, позволяющим реализовать многоместную схему прессования в условиях массового производства. Поэтому метод достаточно широко распространен. Недостатки всех модификаций этого способа связаны с неравномерным распределением свойств формуемого изделия по объёму. Трение прессуемого материала о стенки пресс-формы приводит к анизотропии и неравномерности свойств изделия в различных направлениях, что может являться источником макродефектов в спекаемых изделиях.

Уменьшить влияние сил трения в порошке можно применением смазок и пластификаторов. Применение пластификаторов значительно улучшает равноплотность изделия и увеличивает срок службы пресс-форм, однако является источником загрязнения материала или остаточной пористости при спекании, усложняет технологию производства. Причиной возникновения перепада плотности прессовок по высоте являются потери усилия прессования на преодоление сил пристенного трения, которые весьма существенны для нанопорошков с развитой удельной поверхностью (порядка 10-100 м2/г). Эффективным способом, позволяющим снизить силы трения без внесения посторонних веществ в прессуемый материал, является применение колебаний. Кроме повышения равномерности распределения плотности по объёму прессовки и, соответственно, уменьшения внутренних перенапряжений микроструктуры, приложение колебаний позволяет механоактивировать частицы прессуемого НП по механизму акустопластического эффекта и дезагрегировать агломераты, подобно интенсивномуизмельчению в высокоэнергетических активаторах. Однако, вследствие интенсивного затухания колебаний (особенно ультразвукового диапазона) в порошковом теле, существенной нелинейности эффектов распространения ультразвука различной мощности в порошковой среде переменной плотности, теория и практика сухого прессования порошков под ультразвуковым (УЗ) воздействием была развита недостаточно.

Для повышения эффективности процесса, при уплотнении нанопорошков используется наложение различных высокоэнергетических воздействий: ультразвукового, микроволнового, электроимпульсного, плазменного, лазерного, радиационного. Например, динамическое прессование может быть магнитно-импульсным, взрывным, электрогидравлическим.

Статическое одноосное прессование схематично изображено на рисунке 7. Порошок помещается в пресс-форму, которая в случае работы с наноматериалами обычно располагается в вакуумной камере. После откачки в вакууме проводится прессование.

В случае компактирования изделий с отношением высоты к поперечному размеру более единицы используются пресс-формы двухосного прессования. В этом случае усилие прикладывается либо к верхнему и нижнему пуансону, либо конструкция подразумевает подвижность матрицы.

Способ изостатического формования заключается в уплотнении нанопорошка в условия всестороннего сжатия. Разработано несколько разновидностей этого метода. В качестве примера можно привести способ гидростатического прессования (рисунок 8). Для проведения процесса порошок засыпают в эластичную (например, резиновую) оболочку, которую помещают в рабочую камеру. Аппарат герметически закрывается для создания в камере требуемого давления. Жидкость (масло, вода, глицерин) всесторонне и равномерно сжимает порошок, обеспечивая формование изделия.

- верхний пуансон; 2 - матрица; 3 - прессуемый порошок;

- нижний пуансон

Рисунок 7 - Схема пресс-формы

- нагреватель; 2 - теплоизоляционный слой; 3 - рабочая камера;

- оболочка с порошком или заготовка

Рисунок 8 - Схема установки для гидростатического формования порошка

Газостатическое прессование является другим вариантом формования при всестороннем сжатии, в котором воздействие создается газом (гелием, аргоном и др.) (рисунок 9). Как правило, такому прессованию подвергают не порошок, а предварительно полученную тем или иным способом заготовку.

Прессование в эластичных оболочках является еще одним вариантом изостатического прессования. В методе исходный порошок помещается в эластичные оболочки, расположенные в пресс-форме, к которой приложено одностороннее или двустороннее давление (рисунок 10). Материалом для изготовления оболочек являются парафин, воск, желатин, эпоксидные смолы, резиновая масса.

- насос высокого давления; 2 - теплоизоляционный слой; 3 - порошок; 4 - эластичная оболочка

Рисунок 9 - Рабочая камера установки для газостатического формования наноматериалов

- прессующий пуансон; 2 - порошок; 3 - эластичная оболочка; 4 - матрица пресс-формы; 5 - нижний пунсон

Рисунок 10 - Схема изостатического прессования в эластичной оболочке, помещенной в пресс-форму

Ударные волны применяются для уплотнения в динамическом прессовании. Источником ударных волн могут быть электрогидравлический разряд батареи высоковольтных конденсаторов через зазор в воде между двумя электродами, импульсное магнитное поле, сжатые и горючие газы и жидкости, а также взрывчатые вещества.

Динамические методы прессования нанопорошков позволяют эффективно преодолевать силы адгезионного сцепления частиц за счет быстрого движения порошковой среды, с помощью чего достигаются более высокие плотности конечного материала, чем при стационарных методах с одинаковым уровнем давлений [19-21]. Также, при импульсном нагружении реализуются более высокие давления, что дает возможность использовать менее дорогостоящее оборудование в сравнении со статическими методами.

Кроме того, применение мягких волн сжатия с плавным нарастанием и спадом давления позволяет исключить микротрещины и достигнуть максимальной однородности упаковки частиц.

В магнитно-импульсном прессовании используется известный диамагнитный эффект выталкивания проводника из области импульсного магнитного поля. Принцип метода можно описать следующим образом. Механический импульс силы в пресс-форме генерируется в результате взаимодействия импульсного магнитного поля индуктора с проводящей поверхностью, так называемого концентратора. Индуктор представляет собой плоскую спираль, изготовленную из медной ленты и включенную в цепь генератора импульсных токов. При замыкании электрической цепи концентратор выталкивается из зоны магнитного поля и прессует порошок. Продолжительность импульса несколько микросекунд, давление 1-2 ГПа.

На рисунке 11 приведена схема магнитно-импульсного прессования. В этом месте пресс-форма помещается в вакуумную камеру. Вакуумирование производится до остаточного давления 1 Па. Высота укладки порошка 3-15 мм при исходной относительной плотности 0,2-0,4. В случае необходимости,  осуществляется прогрев порошка до 300-600 0С в течение 1,5 часа или холодное прессование при комнатной температуре.

Данный вид прессования перспективен для получения твердых материалов. Например, керамика, полученная применением импульсных методов сжатия, обладает высокими механическими свойствами.

При использовании жидкой передающей среды в так называемых гидродинамических способах генерируемые импульсы давления ограничены по амплитуде значением порядка 0,5 ГПа из-за жестких условий работы взрывных камер.

- индуктор; 2 - концентратор; 3 - вакуумная камера;

- образец; 5 - опора

Рисунок 11 - Схема установки для магнитно-импульсного прессования нанопорошков

Использование энергии взрыва в ударно-волновом компактировании порошков успешно применяется для получения металлических, аморфных и композиционных материалов.

Опыт показывает, что для получения компактных наноматериалов, в особенности керамических, перспективно сочетать прессование с последующим высокотемпературным спеканием.

Спекание нанопорошков необходимо проводить при условиях, когда увеличение размера зерен материала минимально или вообще не происходит. При высокой плотности прессовок, порядка 0,7 от рентгеновской, это возможно, когда процессы спекания протекают достаточно быстро, а рабочая температура менее 0,5Тпл.

Методом спекания получены наносистемы Ni-Al, Al2O3-ZrO2. Прессование с последующим спеканием позволило консолидировать наноалмазные композиты, металлы - Nb, W, Ta, Mo, Ni, Co; карбиды - TiC, NbC, NiC, WC; композиции карбид-металл, оксид алюминия.

Необходимо отметить также, что не только спекание нанопорошков, но и малые их присадки в традиционные смеси позволяют существенно изменить свойства конечного продукта. Так, добавление небольшого количества наноматериала к смеси микронных порошков повышает уровень механических свойств высоконагруженных деталей. Этот эффект достигается на основе технологии однократного холодного прессования и спекания без каких-либо дополнительных способов упрочнения.

Горячее прессование - метод компактирования в условиях повышенных температур, получивший в настоящее время широкое распространение.

В данном процессе прессование и спекание совмещаются в одной операции, что снижает давление прессования в несколько десятков раз по сравнению с холодным прессованием, поскольку с увеличением температуры сопротивление материалов деформированию значительно уменьшается. При этом время выдержки под давлением значительно увеличивается, что необходимо для прохождения процесса спекания. Однако общая продолжительность процесса, благодаря наличию внешнего давления заметно сокращается. Температуры горячего прессования выбирают в зависимости от природы спекаемого материала. Обычно они составляют (0,5-0,9)Тпл основного компонента.

В первую очередь горячее прессование применено для компактирования изделий из нанопорошков тугоплавких металлов. Полученные прессовки из Ta и Nb имеют пористость менее 1%, а прочность на растяжение в 2-2,5 раза лучше по сравнению с литым материалом.

Также горячим прессованием получены компактные заготовки из карбида бора, композиций WC-Co нескольких составов. Микротвердость и предел текучести этих прессовок превышали соответствующие значения для материалов из традиционных твердых сплавов. Плотность полученных образцов составляла 97-99% от теоретической.

Вибрационное воздействие, применяемое при засыпке и утряске нанопорошка в пресс-форме или в процессе формования, позволяет значительно уменьшить давления прессования и повысить плотность деталей сложной формы. Наложение вибрации приносит наибольшие результаты в случае уплотнения малопластичных материалов, например карбидов и боридов металлов. Прежде всего, положительное воздействие вибрации на процесс уплотнения связано с разрушением начальных межчастичных связей. Кроме того, вибрационное воздействие, придавая частицам порошка высокую подвижность, способствует их наиболее плотной укладке, а небольшое давление обеспечивает заклинивание частиц в этом положении. Вибрационное воздействие может совмещаться с одноосным, изостатическим, холодным и горячим прессованием.

Для получения высокой плотности нанопорошков также применяется ультразвуковое воздействие [19, 22-25]. Использование ультразвука позволяет разрушить агломераты частиц, что обеспечивает эффективное уплотнение материала на ранних стадиях прессования, снижает межчастичное и пристенное трение, а также уменьшает упругое последействие в прессовке в 3-4 раза. В итоге снижаются внутренние напряжения в прессовке, повышаться ее прочность, смещается граница начала пластической деформации в область больших давлений, обеспечивается более равномерная плотность компакта, уменьшается размер зерна, повышаются микротвердость и ударная вязкость.

Ультразвуковое воздействие наиболее эффективно при прессовании изделий из нанопорошков оксидной керамики.

В ходе компактирования изделий одновременно с механическим давлением на порошковую шихту возможно приложение импульсного термического воздействия. Импульсный нагрев осуществляется с помощью электрического тока, малая длительность которого, порядка 10-4 с, обеспечивает небольшое время нахождения в нагретом состоянии формируемого изделия и практически исключает рост его структурных составляющих.

Сочетанием компактирования с электроимпульсным воздействием получены объемные изделия из нанопорошков меди, которые имели твердость в 10 раз выше, чем при прессовании микронных частиц. При этом обнаружено, что твердость материалов, сформованных из нанопорошков меди, увеличивается со временем выдержки при комнатной температуре на воздухе.

Процесс прокатки нанопорошков во многом отличается от такой же обработки компактных материалов, хотя и имеет ряд общих черт. Схема прокатки порошка приведена на рисунке 8. Исходный материал из загрузочного устройства направляется в область между двумя вращающимися навстречу друг другу валами. Силами трения порошок увлекается в зазор и уплотняется в полосу. Консолидация возможна благодаря наличию пор между отдельными частицами, что способствует сближению частиц и их взаимной фиксации в уплотненном состоянии.

Данным методом из нанопорошков получают так называемые промежуточные слои для диффузионной сварки разнородных материалов. В качестве исходных используются нанопорошки Fe, Co, Ni, Cu, Mo, W и их совместные композиции.

- вал; 2 - порошок в загрузочном устройстве;

- получаемая заготовка

Рисунок 12 - Схема прокатки нанопорошков

Для получения консолидированных наноматериалов в ряде случаев можно использовать экструзию [19, 26]. Различают следующие виды экструзии: мундштучное прессование, гидроэкструзия, газовая экструзия.

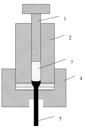
Мундштучным формованием называется метод прессования, заключающийся в продавливании порошка через отверстие, определяющее форму и размеры поперечного сечения получаемой заготовки. Пресс-форма для мундштучного формования показана на рисунке 13. Пористость материала, получаемого после данного прессования, зачастую близка к нулю.

Мундштучным прессованием получают изделия из плохо прессуемых материалов: тугоплавких металлов и соединений, твердых сплавов и др. Этим методом получены прутки нанокристаллического никеля и железа с повышенными прочностными свойствами.

- пунсон; 2 - стальной стакан; 3 - порошок;

Рисунок 13 - Схема мундштучного формования нанопорошков

3. Оптические и люминесцентные свойства ZnS наночастиц легированных Cr


3.1 Влияние температуры отжига на оптические свойства ZnS наночастиц легированных Cr


В работе [27] авторы исследовали влияние температуры отжига в диапозоне 200-700 oC на люминесцентные свойства ZnS:Cr (3% Cr) наночастиц, синтезированных методом химического соосаждения с использованием ацетата цинка, сульфида натрия и окиси хрома в качестве источника материалов.

Изменение химического состава ZnS: Cr наночастиц при различных температурах отжига детектировали с использованием EDS. На рисунке 14 представлены типичные спектры EDS неотожженных и отожженных образцов ZnS: Cr при 600 °С. EDS спектры указывают на наличие Zn, S и Cr элементов в неотожженном ZnS:Cr образце. В отожженном образце наблюдается пик кислорода, интенсивность которого возрастает с увеличением температуры отжига. Это происходит потому, что в процессе отжига Zn вступает в реакцию с кислородом в атмосфере, что приводит к образованию оксида цинка.

Уменьшение ширины запрещенной зоны образцов ZnS:Cr с увеличением температуры отжига представлено на рисунке 15.

Спектры фотолюминесценции, полученные при комнатной температуре, для отожженных и не отожженных ZnS:Cr наночастиц представлены на рисунке 10. Для не отожженных частиц ZnS: Cr наночастиц наблюдается пик ФЛ на длине волны около 445 нм, который может быть отнесен, возможно, к рекомбинации электронов донорного уровня серы с дырками акцепторного уровня цинка на поверхности наночастиц. В отожженных при 200 ° C образцах положение пика ФЛ сдвигается в сторону увеличения длины волны (460 нм) по сравнению с не отожженными образцами (445 нм). Сдвиг пика ФЛ был связан с изменением ширины

Рисунок 14 - EDS спектры неотожженных и отожженных при 600 °C образцах ZnS: Cr

запрещенной зоны при увеличении температуры отжига. Пик ФЛ с максимумом около 460 нм может быть связан с присутствием небольшого количества атомов кислорода на поверхности наночастиц, где они могут выступать в качестве центров люминесценции. Другой особенностью является то, что в образцах, отожженных при 200 ° C , наблюдается заметное гашение люминесценции по сравнению с не отожженными образцами. Это может быть связано с оксигенацией связей серы. Отжиг при 300 и 400 ° C

Рисунок 15 - Изменение ширины запрещенной зоны с ростом темрератры

приводит к дальнейшему небольшому красному смещению пика ФЛ при 492 нм с последующим падением интенсивности. Это может быть связано с уменьшенным количеством элементарной серы в образце. Таким образом, при переход электронов с вакантных энергетических уровней серы на промежуточные сопровождается зеленым излучением.

Для образцов, отожженных при 500-700 °C, ФЛ пик состоит из зеленой полосы около 500 нм и слабой красной полосы около 664 нм. Зеленая полоса может быть связана с излучательной рекомбинацией дырок с электронами однократно ионизованного кислорода в ZnO. Красная полоса связана с внутренними дефектами, а именно с внедренными атомами кислорода в решетке ZnO.

Рисунок 16 - ФЛ спектры ZnS наночастиц легированных Cr при различных температурах отжига

Зеленая полоса излучения становится очень интенсивной при повышении температуры от 500 до 600 °C, а затем до 700 °C. Это означает, что концентрация кислородных вакансий в легированных хромом ZnS наночастицах увеличивается после отжига при более высоких температурах. При увеличении температуры отжига улучшается кристалличность и устраняются все дефекты подобные вакансиям цинка, вакансиям и оборванным связям серы на поверхности кристаллов, что в результате приводит к увеличению интенсивности зеленого излучения. Уширение пика ФЛ с увеличением температуры отжига может быть связано с дефектами различия энергии вокруг максимума излучения при 500 нм. Тушение люминесценции объясняется многократными возбуждениями в переделах участков с Cr, а также тепловыми переходами носителей заряда с узких уровней на другие уровни. Из этих результатов можно сделать вывод о том, что границы зерен поликристаллов и поверхности монокристаллов выступают в качестве центров безызлучательной рекомбинации возбужденных электронов и дырок. Кроме того, можно сделать вывод о том, что решающая роль отжига заключается в уменьшении таких центров рекомбинации путем содействия перекристаллизации каждой частицы.

Экспериментальная часть

Блок-схема экспериментальной установки для спектрально-кинетических исследований ZnS: Cr керамики представлена на рисунке 17.

- компьютер, 2 - монохроматор МДР-204, 3 - держатель с исследуемым образцом, 4 - лазер на основе Y3Al5O12:Nd3+ , 5 - осциллограф двухканальный цифровой запоминающий АСК-2043, 6 - лавинный фотоприемник

Рисунок 17 - Блок-схема экспериментальной установки

Для возбуждения люминесценции использовался ИАГ:Nd лазер с энергией в импульсе 250 мДж на длине волны 532 нм и длительностью импульса 15 нс. Ширина входной щели монохроматора составляла 0,25 мм, что обеспечивало разрешающую способность порядка 5 нм. В эксперименте также использовался лавинный фотоприемник с областью спектральной чувствительности 700-1700 нм.

В ходе эксперимента были получены спектры кинетик люминесценции ZnS: Cr керамики в диапозоне от 700 до 1000 нм, которые представляю собой зависимость интенсивности излучения от длины волны (рисунки 18-19). Эти спектры хорошо коррелируют со спектрами Cr.

Рисунок 18 - Спектр кинетик люминесценции ZnS:Cr керамики (шаг 10 нм)

Рисунок 19 - Спектр кинетик люминесценции ZnS:Cr керамики (шаг 5 нм)

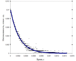
Были обработаны кинетики люминесценции в пяти точках - 730, 780, 840, 900 и 925 нм (таблица 1) с целью определения количества возбужденных уровней одного оптического центра ( 2E, 4T2) и колличества оптических центров в исследуемом образце. На рисунке 20 показана кинетика в точке максимума интенсивности (925нм).

Рисунок 20 - Кинетика люминесценции ZnS:Cr керамики в точке 925 нм

Аппроксимация экспериментальных данных проводилась в рамках модели излучения одного оптического центра . Для керамики ZnS:Cr τ0 составило приблизительно 330 мкс.

Таблица 1 - Время жизни возбужденного состояния в пяти точках

Длина волны, нм

Интенсивность, относ. ед.

τ0,мкс

730

0,0086

320

780

0,0088

330

840

0,0092

330

900

0,0110

330

925

0,0124

320


На основе экспериментальных данных был сделан вывод о том, что в образце ZnS:Cr присутствует один тип оптических центров переходного металла Cr. Одинаковое время излучения во всем спектральном диапозоне оптического центра, говорит о наличии одного возбужденного состояния.

С помощью экспериментальной установки, которая изображена на рисунке 21 были получены спектры пропускания образцов лазерной керамики в диапазоне 2 - 13 мкм и спектры поглощения Cr в области 2 мкм. Экспериментальная установка состояла из монохроматора-спектрографа MSDD 1000 с двойной дисперсией, лампы, модулятора, криогенного фотодетектора MCT20-020-E-LN6N и узла сопряжения. Нужный рабочий диапазон определялся выбором дифракционных решеток. В частности использовались решетки 300 штрихов на мм работающие в диапазоне 2.1- 5.7 и 5.7-13.6 мкм. Для того чтобы проверить отъюстированы ли приборы вначале были сняты спектры поглощения ниобата лития. Полученные спектры поглощения полностью соответствовали известным заранее спектрам ниобата лития. Полученный спектр пропускания керамики ZnS представлен на рис. 22, а спектр поглощения ZnS: Cr - на рисунке 23.

Рисунок 21 - Схема экспериментальной установки

Рисунок 22 - Спектр пропускания лазерной керамики ZnS

Рисунок 23 - Спектр поглощения керамики ZnS: Cr в области 2-13 мкм

Образцы ZnS:Cr были также исследованы в терагерцовом диапозоне ( до 4 ТГц) на терагерцовом спектрометре TERA K15 ( рисунок 24) с целью изучения их структуры.

Рисунок 24 - Внешний вид ТГц спекторметра TERA K15

Измерения проводились в двух точках образца. Малое количество реперных точек определялось размерами лабораторного образца керамики ZnS:Cr. Полученные спектры представлены на рисунках 25-26.

Рисунок 25 -Изменение показателей преломления керамики ZnS в различных точках

Различия в изменениях спектров показателей преломления относительно координат керамического образца хорошо коррелируются со спектрами расчетных амплитуд ТГц импульсов, измеренных в тех же точках керамики ZnS. Результат проведенного эксперимента предстиавлен на рисунке 25.

Рисунок 26 - Расчетные спектральные амплитуды ТГц импульсов в различных точках керамики ZnS:Cr.

На рисунке 27 представлены результаты исследований керамики на изменение спектральной фазы преобразования Фурье сигнала. Как видно из приведенных исследований, разность фаз между реперными точками керамики ZnS:Cr составляет 2,802 на частоте 2,5 ТГц.

Рисунок 27 - Спектральные фазы преобразования Фурье сигнала в различных точках образца керамики

Отсутствие разности фаз сигналов в различных точках свидетельствует о том, что образец имеет целостную структуру, без воздушных полостей и свилей. Можно с уверенностью сказать, что исследуемый материал имеет только в составе ZnS.

Таким образом, проведенные исследования подтверждают, что в полученных образцах керамики ZnS:Cr присутствует оптический центр Cr с максимумом поглощения в области 1,8 мкм и характерным временем жизни 0,3 мс.

Полученные результаты хорошо согласуются и подтверждаются микрофотографиями поверхности керамики ZnS, представленных на рис.28.

Рисунок 28 - Микрофотография поверхности лазерной керамики ZnS:Cr (включения в поверхности).

ЗАКЛЮЧЕНИЕ

Лазерная керамика - новый класс активных лазерных сред, промышленно реализованный в последние 10-15 лет, который аккумулирует в одном материале преимущества как лазерных кристаллов, так и лазерных стекол. Технология производства лазерной керамики является результатом внедрения новых методов синтеза прекурсоров и спекания в технологию оптической керамики. Использование нанокристаллических прекурсоров с узким распределением по размерам и высокой фазовой однородностью для получения лазерной керамики является критическим фактором успеха технологии. Для лазерной керамики отсутствуют принципиальные технологические ограничения на получение активных элементов большого размера с составом и концентрацией активаторов, меняющихся по сечению активного элемента. Отсутствуют также принципиальные ограничения получения лазерной керамики на основе высокотемпературных кубических лазерных материалов. Это открывает широкие возможности для синтеза новых лазерных сред с улучшенными генерационными характеристиками.

На основе экспериментальных спектрально-кинетических исследований был сделан вывод о том, что в образце ZnS:Cr присутствует оптический центр переходного металла Сr. В спектре кинетик люминесценции участвует единственный возбужденный энергетический уровень оптического центра, среднее время жизни которого в неотоженном образце ZnS составляет 330 мкс, что соответствует характерному времени жизни хрома.

Спектральные исследования лабораторных образцов керамики в ТГц частотном диапазоне показывают, что зернистая структура образца неоднородная. Это приводит к изменениям в спектрах поглощения в ТГц диапазоне и в расчетных спектральных амплитудах ТГц импульсов.

СПИСОК ИСПОЛЬЗОВАННЫХ ИСТОЧНИКОВ

1 Herring C. Effect of change of scale on sintering phenomena/ C. Herring // J. Appl. Phys. 1950. Vol. 21. P. 301-303.

Модель залечивания пор при получении оптических керамик / М.Ш. Акчурин , Р.В.Гайнутдинов , Р.М.Закалюкин , А.А. Каминский // ДАН. 2007. T. 415. № 3. C. 322-324.

Lange F.F. Sinterability of Agglomerated Powders / F.F. Lange // J. Am. Ceram. Soc. 1984. Vol. 67. P. 83-89.

Barsoum M.W. Fundamentals of Ceramics. Bristol and Philadelphia: IOP Publishing Ltd., 2003. 603 p.

Peelan J.G.J. Influence of MgO on the Evolution of the Microstructure of Al2O3 / J.G.J. Peelan // Mater. Sci. Res. 1975. Vol. 10. P. 443-453.

Optical Scattering Centers in Polycrystalline Nd:YAG Laser / A. Ikesue, K.Yoshida, T. Yamamoto, I. Yamaga et al. //J. Am. Ceram. Soc. 1997. Vol. 80. P. 1517-1522.

Effect of Silica on the Reactive Sintering of Polycrystalline Nd:YAG Ceramics /A. Maotre, C.Salle, R. Boulesteix et al. // J. Am. Ceram. Soc. 2008. Vol. 91. P. 406-413.

Mechanism of the liquid-phase sintering for Nd:YAG ceramics / A. Maotre, C.Salle, R. Boulesteix et al. // Optical Materials. 2009. Vol. 31. P. 711-715.

High-resolution optical spectroscopy of Nd:YAG: a test for structural and distribution models / V. Lupei, A. Lupei, C. Tiseanu et al. // Phys. Rev. B. 1995. Vol. 51. P. 8-17.

Key powder characteristics in sintered optical ceramics / W.H. Rhodes, E.Q. Trickett, D.J. Sordelet et al. // Ceram. Trans. 1990. Vol. 12. P. 677-690.

Mouzon J. Synthesis of ytterbium-doped yttrium oxide nanoparticles and transparent ceramics/ J. Mouzon // PhD Thesis. Luleе University of Technology. Department of Applied Physics and Mechanical Engineering. Division of Engineering Materials. 2006. 173 p.

Гусев. А. И. Наноматериалы, наноструктуры, нанотехнологии. Изд.

-е // -М.: Наука-Физматлит. - 2007. - 416 с.

13 Bulk glasses and ultrahard nanoceramics based on alumina and rare-earth oxides/A. Rosenflanz, M. Frey, B. Endres, T. Anderson, E. Richards & C. Schardt// Nature. - 2004. Vol.430. - P. 761-764.

Moskalev I. S. Multiwavelength mid-IR spatially-dispersive CW laser based on polycrystalline Cr2+:ZnSe2/ S. Moskalev, V. V. Fedorov and S. B. Mirov// Optics express. - 2004. - Vol.12. - №20. - P. 4986-4992.

15 Алюмооксидная композиция, алюмооксидное формованное изделие, алюмооксидная керамика и способ получения керамики/ Заявка на изобретение №94026254/33 от 25.07.1994, Дата публикации заявки: 27.06.1996, Заявитель:Сумитомо Кемикал Компани, Лимитед (JP), МПК 6 C04B35/10.

Механизмы образования и свойства лазерных нанокристаллических керамик на основе кубических оксидов Y2O3и Y3Al5O12 / М. Ш. Акчурин, Р. В. Гайнутдинов, А. А. Каминский и др. // Поверхность. Рентген. синхротрон. и нейтрон. исслед. - 2006. - № 9. - С.78-82.

Андриевский Р. А. Наноструктурные материалы / Р. А. Андриевский , А. В. Рагуля //- М.: Изд. Центр «Академия», 2005.- 192 с.

Высокопрозрачная керамика на основе Nd3+:Y2O3. / С. Н. Багаев, В. В. Осипов, М. Г. Иванов, В. И. Соломонов, В. В. Платонов, А. Н. Орлов, А. В. Расулева, С. М. Ватник, И. А. Ведин, А. П. Майоров, Е. В. Пестряков, А. В. Шестаков, А. В. Салков // Фотоника. -2007. -№5. - С.24-29.

Рыжонков Д. И. Наноматериалы/ Д. И. Рыжонков, В.В. Левина, Э. Л. Дзидзигури. - М.: БИНОМ, Лаборатория знаний, 2008. - 365 с.

Эффективность методов прессования корундо-циркониевых порошков различной дисперсности / Анненков Ю. М., Иванов В. В., Ивашутенко А. С., Кондратюк А. А. // Известия Томского политехнического университета. - 2005. - Т. 308. - № 7. - С. 39-42.

21 Moskalev I. S. 10-Watt, pure continuous-wave, polycrystalline Cr2+:ZnS laser/ I. S. Moskalev, V. V. Fedorov, S. B. Mirov // Opt. Express. - 2009. - Vol. 17. - P. 2048.

Влияние режимов электроимпульсного плазменного спекания на структуру и физико-механические свойства нанодисперсного карбида вольфрама/ Чувильдеев В. Н., Москвичева А. В., Лопатин Ю. Г., Котков Д. Н., Сахаров Н.В., Шотин С. В., Благовещенский Ю. В., Исаева Н. В. // IV Всероссийская конференция по наноматериалам. Москва. 01-04 марта 2011г./ Сборник материалов. - М.: ИМЕТ РАН, 2011, 574 с.

Properties of nanocrystalline ceramic powders prepared by laser evaporation and recondensation. / U. Popp, R. Herbig, G. Michel, E. Muller, Ch. Oestreich // Journal of European Ceramic Society. -1998. - Vol.18. -P.1153-1160.

Использование импульсного электронного пучка для получения нанопорошков оксидов. / В.Г. Ильвес, Ю. А. Котов, С. Ю. Соковнин, С. К. Rhee // Российские нанотехнологии. -2007. -Т. 2, №9-10. С.96-102.

Yu.A. Kotov. Electric explosion of wires as a method for preperation of nanopowders. / Yu. A. Kotov // Journal of Nanoparticle Research. -2003. - Vol.5. P.539-550.

110W ceramic Nd3+:Y3Al5012 laser. / Lu J., Yagi H., Takaichi K., Uematsu T., Bisson J.-F., Feng Y., Shirakawa A., Ueda K.-I., Yanagitani T., Kaminskii A.A.// Appl. Phys. B. -2004. - Vol. 79. -P.25-28.

Effect of annealing temperature on optical and magnetic properties of Cr doped ZnS nanoparticles / D. Amaranatha Reddy, G. Murali, B. Poornaprakash et al. // Solid State Communications. - 2012. - № 152. - P. 596-602.

Похожие работы на - Спектрально-кинетические исследования оптической керамики ZnS, ZnSe

 

Не нашли материал для своей работы?
Поможем написать уникальную работу
Без плагиата!
Без нейросетей!