Создание периодической структуры из ферритов и исследование прохождения звуковой волны через такую структуру
РЕФЕРАТ
Объект исследования: акустические кристаллы.
Цель работы: создание периодической структуры из
ферритов и исследовать прохождение звуковой волны через такую структуру.
Исследован образец фононного кристалла,
собранного на ферритовых пластинах, для выявления гашения, ускорения и задержки
звука при прохождении сквозь кристалл.
Область применения научные исследования,
технология акустических материалов.
АКУСТИЧЕСКИЕ КРИСТАЛЛЫ, ФОНОННЫЕ КРИСТАЛЛЫ,
АКУСТИЧЕСКИЕ МЕТАМАТЕРИАЛЫ, ФОНОННЫЕ МЕТАМАТЕРИАЛЫ, ФЕРРИТЫ.
СОДЕРЖАНИЕ
ПЕРЕЧЕНЬ УСЛОВНЫХ ОБОЗНАЧЕНИЙ
ВВЕДЕНИЕ
ГЛАВА 1. АКУСТИЧЕСКИЕ МЕТАМАТЕРИАЛЫ
.1 Метаматериалы
.1.1 Понятие метаматериалов
.1.2 Классификация метаматериалов
.1.3 Фотонные кристаллы
.1.4 Метаматериалы нескольких
волновых сред
.2 Фононные кристаллы
.2.1 Фононы
.2.2 История фононных кристаллов
.2.3 ФНК
.2.4 Прохождение звука через
фононный кристалл
.3 Явление отрицательного
преломления
ГЛАВА 2. ИССЛЕДУЕМЫЕ ОБРАЗЦЫ И ЛАБ.
УСТАНОВКА
.1 Ферриты
.2 Используемые образцы
.3 Изготовление фононных кристаллов
.4 Лабораторная установка
ГЛАВА 3. ИССЛЕДОВАНИЕ ПРОХОЖД. ЗВУКА
ЧЕРЕЗ ФНК
.1 Прохождение и отражение звука от
фононного кристалла
.1.1 Нахождение нуля градусов
.1.2 Прямое прохождение звука через
ФНК
.2 Прохождение звука под прямым
углом
.3 Теоретические расчёты
ЗАКЛЮЧЕНИЕ
СПИСОК ИСПОЛЬЗОВАННЫХ ИСТОЧНИКОВ
ПЕРЕЧЕНЬ УСЛОВНЫХ ОБОЗНАЧЕНИЙ
ФН Фонон
ФНК Фононный кристалл (акустический
кристалл)
ФТК Фотонный кристалл (оптический
кристалл)
СВЧ Сверхвысокочастотный
МСВ Магнитостатические спиновые
волны
РАН Российская Академия Наук
ЖИГ Железоиттриевый гранат
RHM Right-hander
materialsLeft-hander materials
ОЛП Отрицательное лучепреломление
ВВЕДЕНИЕ
никель
феррит звуковой импульс
Фононный кристалл - это искусственно
изготовленные материалы, разработанные, чтобы контролировать, направлять звук и
манипулировать им в форме звуковых, инфразвуковых, или сверхзвуковых
(ультразвуковых) волн, которые распространяются в газах, жидкостях и твердых
телах [1].
Стоит пояснить употребление термина «кристалл»
по отношению к макроскопическим объектам.
Кристаллами называют твёрдые тела, в которых
атомы расположены закономерно образуя трёхмерную периодическую пространственную
укладку - кристаллическую решётку. То есть кристалл - это упорядоченная
структура микроскопических объектов.
Однако структура ФНК может быть создана из
макроскопических элементов. Что может быть объяснено следующим:
Фононными кристаллами называют такие
искусственные среды, в которых благодаря периодическому изменению
диэлектрических параметров (имеется ввиду показатель преломления) свойства
распространяющихся акустических волн (звука) становится аналогичным свойствам
электронов, распространяющихся в реальных кристаллах. Квантование свойств
фононов приводит к тому, что в спектре акустической волны, распространяющейся в
акустическом кристалле, могут возникать запрещённые зоны, в которых плотность
состояний фононов равна нулю [2-4].
ФНК являются очень перспективным направлением в
изучении метаматериалов. С их помощью можно делать звуковые среды с
отрицательным коэффициентом преломления, материалы полностью или частично
поглощающие или отражающие звук, что может быть полезно в проектировании
звуконепроницаемых поверхностей в строительстве или сонарных стелс-маскировок в
военной промышленности. Так же акустические материалы могут широко применяться
в медицине: от детализированных снимков органов человека без рентгеновского
облучения, до операций над внутренними органами без хирургического
вмешательства.
В данной работе фононный кристалл будет собран
из пластин ферритов. Ферриты - неметаллические твердые магнитные материалы
(ферримагнетики) - химические соединения оксидов главным образом переходных
металлов с оксидом железа. Этот материал был взят потому, что в ферритах
магнитоупорядоченное взаимодействие приводит к изменению скорости звука в
данной среде. То есть при помощи данного метаматериала можно управлять
скоростью звука, подведя к нему магнитное поле, допустим, с помощью катушки с
током.
ГЛАВА 1. АКУСТИЧЕСКИЕ МЕТАМАТЕРИАЛЫ
.1 Метаматериалы
.1.1 Понятие метаматериалов
Термин “метаматериалы” появился сравнительно
недавно (в 2000 г.). Происходит от греческого слова (μετα),
что означает «вне, выше, за пределами». Метаматериалы - это структуры с
необычными макроскопическими электромагнитными свойствами, недостижимыми при
использовании обычных материалов [5]. В это определение вполне вписываются
фононные (фотонные, магнонные) кристаллы.
Рис. 1.1. Фотография
метаматериала с отрицательным показателем преломления для микроволнового
излучения
Метаматериалы - неоднородные среды, состоящие из
поляризуемых частиц, расположенных регулярным или хаотическим образом в
матрице, которая обеспечивает механическую целостность системы. Отклик
метаматериалов на воздействие электромагнитной волны можно представить как
отклик однородной среды (с помощью эффективных проницаемостей), если размеры
поляризуемых частиц и расстояния между ними существенно меньше, чем длина
волны. Эффективные проницаемости метаматериала могут принимать значения, неосуществимые
в природных однородных веществах (например, «левые среды»). Если частицы
образуют регулярную решетку, а их размеры и расстояния между ними сравнимы с
длиной волны, такие (мета)материалы называют фотонными (фононными, магнонными)
кристаллами. Отличительной особенностью фононных кристаллов является наличие
чередующихся спектральных полос прозрачности и непропускания [7-8].
Рис. 1.2. Согласно Закону Брэгга каждая точка
(или отражение) в этой дифракционной картине формируется конструктивной
интерференцией рентгеновских лучей, проходящих через кристалл
Но в некоторых источниках можно найти
информацию, что метаматериалы принципиально отличаются от фононных кристаллов -
другого класса периодичных структур. Здесь составляющие материалы в основном
диэлектрики и характерные длины порядка длины волны. Следовательно, в фононных
кристаллах брэгговская дифракция играет наиболее важную роль, а магнитные
диполи не существенны. И, наоборот, в метаматериалах, брэгговская дифракция несущественна,
длина падающего света больше характерных размеров структуры. Таким образом,
любая структура, чьи свойства определяются брэгговской дифракцией, не может
считаться метаматериалом [5].
.1.2 Классификация метаматериалов
Метаматериалы по характеру изменения
коэффициента преломления можно разделить на три основных класса [2]:
. Одномерные, в которых коэффициент преломления
периодически изменяется в одном пространственном направлении. Такие
метаматериалы состоят из параллельных друг другу слоев различных материалов с
разными коэффициентами преломления и могут проявлять свои свойства в одном
пространственном направлении, перпендикулярном слоям.
. Двухмерные, в которых коэффициент преломления
периодически изменяется в двух пространственных направлениях. Метаматериал
может быть создан прямоугольными областями с коэффициентом преломления n1,
которые находятся в среде с коэффициентом преломления n1.
При этом области с коэффициентом преломления n1
упорядочены в двумерной кубической решетке. Такие метаматериалы могут проявлять
свои свойства в двух пространственных направлениях. И форма областей с
коэффициентом преломления n1
не ограничивается прямоугольниками, как на рис 1.3., а может быть любой
(окружности, эллипсы, произвольная и т.д.). Кристаллическая решётка, в которой
упорядочены эти области, также может быть другой, а не только кубической, как
на приведённом рисунке.
. Трёхмерные, в которых коэффициент преломления
периодически изменяется в трёх пространственных направлениях. Такие
метаматериалы могут проявлять свои свойства в трёх пространственных
направлениях, и можно их представить как массив объёмных областей (сфер, кубов
и т. д.), упорядоченных в трёхмерной кристаллической решётке.
Рис.1.3. 1D, 2D, 3D метаматериалы
Проводники - способные проводить квазичастицы на
большие расстояния с малыми потерями;
Диэлектрики - практически идеальные зеркала;
Полупроводники - вещества способные, например,
выборочно отражать квазичастицы определённой длины волны;
Сверхпроводники, в которых благодаря
коллективным явлениям квазичастицы способны распространяться практически на
неограниченные расстояния.
Также различают резонансные и нерезонансные
метаматериалы [9]. Резонансные метаматериалы отличаются от нерезонансных тем,
что в них используются материалы, у которых диэлектрическая проницаемость (или
коэффициент преломления) как функция частоты имеет полюс на некоторой резонансной
частоте.
Любая неоднородность в метаматериале (например,
отсутствие одного или нескольких квадратов на Рис.1.3., их разный размер и т.
д.) называются дефектом метаматериала. В таких областях часто сосредотачивается
электромагнитное поле, что используется в микрорезонаторах и волноводах,
построенных на основе метаматериалов.
.1.3 Фотонные кристаллы
Одни из самых известных и первых метаматериалов
- фотонные (оптические) кристаллы. Фотонный кристалл (англ. photonic
crystal) - материал,
структура которого характеризуется периодическим изменением показателя
преломления в 1-м, 2-х или 3-х пространственных направлениях [10]. Это
справедливо и для фононных кристаллов.
Рис.1.4. Полудрагоценный камень опал
ФТК, благодаря периодическому изменению
коэффициента преломления, позволяют получить разрешённые и запрещённые зоны для
энергий фононов, аналогично полупроводниковым материалам, в которых наблюдаются
разрешённые и запрещённые зоны для энергий носителей заряда [6]. Практически,
это значит, что если на ФТК падает фотон, обладающий энергией (длиной волны,
частотой), которая соответствует запрещённой зоне данного ФТК, то он не может
распространяться в ФТК и отражается обратно. И наоборот, это значит, что если
на ФТК падает фотон, обладающий энергией (длиной волны, частотой), которая
соответствует разрешённой зоне данного ФТК, то он может распространяться в ФТК.
Другими словами, фотонный кристалл выполняет функцию оптического фильтра, и
именно его свойствами обусловлены яркие и красочные цвета опала. [11].
.1.4 Метаматериалы нескольких волновых сред
Можно создать метаматериалы, которые будут
одновременно изменять свойства нескольких типов волн (акустических, оптических,
магнитных). Первый в мире фотонно-фононный кристалл, способный заключать в
ловушку свет и механические вибрации одновременно, создала команда
исследователей под руководством Оскара Пейнтера (Oskar Painter) из
Калифорнийского технологического института [12].
Новинка представляет собой очень тонкую полоску
кремния длиной порядка 20 микрометров и шириной 1,4 мкм. Путём травления в
полоске проделан ряд прямоугольных отверстий, превративших её в подобие
железнодорожной колеи со шпалами (с шагом 362 нанометра).
Полоска эта подвешена в пространстве, словно
мостик. Он служит волноводом как для оптического излучения, так и для звуковых
колебаний, распространяющихся вдоль «пути». При этом свойства полоски позволяют
ей проделывать с волнами любопытные вещи, поскольку она одновременно является и
ФНК и ФТК.
На сходство между ФНК и ФТК обратил внимание
Пейнтер. «Если вы сделаете один тип кристаллов, вы почти автоматически
получаете и другой тип», - говорит учёный. По его словам, эта особенность не
использовалась ранее, поскольку механические вибрации в фотонных кристаллах, широко
использующихся в оптических устройствах, чрезвычайно малы и их трудно
обнаружить.
Рис.1.5. Общий вид устройства (a) и увеличенный
его фрагмент (b)
Однако при определённой конфигурации кристалла и
точно подобранных размерах элементов возникает интересный эффект. Интерференция
световых волн, отражённых и пропущенных дальше каждой «шпалой», создаёт
условия, при которых волны с определённой длиной оказываются пойманными в
центре «мостика». И точно так же в его центре «запираются» высокочастотные
звуковые колебания, при этом «шпалы» колеблются взад-вперёд.
Авторы нового устройства назвали его
оптомеханическим кристаллом. Опыт показал, что первый образец такого материала
одновременно может заключить в ловушку фотоны с частотой 200 терагерц и фононы
с частотой 2 гигагерца. При этом оба вида волн благодаря свойствам кристалла
сильно взаимодействуют между собой: механические колебания в «шпалах» приводят
к крохотным изменениям в геометрии «пути», а она, в свою очередь, мощно влияет
на сложную картину взаимодействия пропускаемых и отражаемых каждой ячейкой
световых волн.
Способность одновременно работать со световыми и
звуковыми волнами авторы кристалла предлагают использовать в
ультрачувствительных биологических и химических сенсорах, определяющих едва ли
не единичные молекулы. Такие кристаллы могут пригодиться и при построении
квантовых компьютерных сетей (так как новичок умеет «перекодировать» световую
информацию в механические колебания и обратно, но на иных частотах), а ещё - в
опытах по обнаружению квантовых эффектов на макроуровне (поскольку на основе
данного кристалла можно создать прекрасную систему охлаждения, избавляющую
микроскопические элементы установки от теплового шума) [12].
1.2 Фононные кристаллы
.2.1 Фононы
Фонон - квазичастица; квант энергии акустической
волны (механического колебания) в кристаллах [13-14].
Понятие фонона вводится при рассмотрении
физических свойств кристалла (теплоемкости, теплопроводности,
электросопротивления и др.) как энергия одного из возможных нормальных
колебаний кристаллической решетки. Квантовые свойства звуковых волн в
кристаллах проявляются в том, что существует наименьшая порция энергии
колебаний кристалла с данной частотой [13].
Концепция фонона оказалась очень плодотворной в
физике твёрдого тела. В кристаллических материалах атомы активно
взаимодействуют между собой, и рассматривать в них такие термодинамические
явления, как колебания отдельных атомов, затруднительно - получаются огромные
системы из триллионов связанных между собой линейных дифференциальных
уравнений, аналитическое решение которых невозможно. Колебания атомов кристалла
заменяются распространением в веществе системы звуковых волн, квантами которых
и являются фононы. Спин фонона равен нулю (в единицах ћ). Фонон принадлежит к
числу бозонов и описывается статистикой Бозе-Эйнштейна. Фононы и их
взаимодействие с электронами играют фундаментальную роль в современных
представлениях о физике сверхпроводников, процессах теплопроводности, процессах
рассеяния в твердых телах. Модель кристалла металла можно представить как
совокупность гармонически взаимодействующих осцилляторов, причем наибольший
вклад в их среднюю энергию дают колебания низких частот, соответствующие
упругим волнам, квантами которых и являются фононы [14].
Энергия и импульс ФН соответственно равны:

, (1.1)

, (1.2)
где ћ - постоянная Планка, ω - угловая
частота, k - волновой
вектор, b - вектор
обратной кристаллической решётки [13].
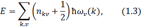
Плотность полной колебательной
энергии атомов кристалла определяется суммой энергий всех ФН:
где n = 1, 2, …,
3r - индекс
поляризации ФН, характеризующий направление колебаний и позволяющий различать
продольные и поперечные ФН, r - число атомов в элементарной
ячейке кристалла, nkv - число ФН с данным волновым
вектором k и
поляризацией n в единице
объема, определяемое формулой Планка:

, (1.4)
где Т - абсолютная температура, kB -
постоянная Больцмана.
Нижняя граница частотного спектра ФН
определяется размерами кристалла и скоростью звука, верхняя - периодом
кристаллической решетки.
Колебания кристаллической решетки
разделяются на акустические и оптические. Акустические ФН - это кванты обычного
звука в кристалле. Оптические ФН лежат в диапазоне более высоких частот,
сравнимых с оптическими, и существуют в кристаллах со сложной структурой элементарной
ячейки. В области высоких частот акустические ФН обладают дисперсией скорости,
т.е. их фазовая скорость зависит от частоты.
Рис.1.6. Дисперсионные
характеристики фононного спектра
Обозначения:
- акустические ветви, 2 - оптические
ветви,
ω’m, ω’’m, ω’’’m -
предельные частоты акустических фононов.
ФН взаимодействуют как между собой,
так и с другими частицами (электронами проводимости, магнонами и т.п.),
полностью или частично передавая им свою энергию; при этом возникают новые ФН,
импульс и направление распространения которых отличаются от направления
первичных ФН, т.е. имеет место рассеяние ФН. Спектром ФН и их взаимодействием
определяются тепловые свойства кристаллов: теплоемкость, теплопроводность,
тепловое расширение и др. Следствием взаимодействия с тепловыми ФН является
рассеяние когерентных ФН, от которого зависит поглощение звука в кристалле. Ряд
эффектов отмечен при взаимодействии акустических ФН с электронами; в частности
в пьезополупроводниках может происходить усиление ультразвука. Рассеяние
электронов проводимости при взаимодействии с ФН - основной механизм
электросопротивления. Способность электронов излучать или поглощать ФН приводит
к притяжению электронов друг к другу, что при низких температурах является
причиной перехода металлов в сверхпроводящее состояние. ФН также
взаимодействуют с различными дефектами кристалла - вакансиями, дислокациями,
инородными примесями, границами кристаллитов и поверхностью всего образца.
Дефекты увеличивают поглощение и рассеяние ФН в кристалле.
Тепловые ФН существуют в кристалле
всегда. Наряду с ними могут быть возбуждены т.н. когерентные ФН - гиперзвуковые
волны. Если тепловые ФН имеют широкий спектр частот, то гиперзвуковые волны,
являющиеся потоком когерентных ФН, могут иметь лишь одну определенную частоту.
Для искусственного генерирования гиперзвука могут быть использованы резонансные
электроакустические преобразователи, размеры которых должны быть очень малы
ввиду малости длины волны гиперзвука. Такие преобразователи получают, например,
путем вакуумного напыления пленок из пьезоэлектрических материалов (CdS, ZnS,
ZnO и др.) на торец звукопровода в виде монокристаллического стержня из кварца,
сапфира, рубина и др.
Исследования ФН (фононного газа)
проводят прямыми или косвенными методами. Последние связаны с измерениями
тепловых свойств вещества, а также с изучением рассеяния частиц (нейтронов,
фотонов) на тепловых ФН. Прямые методы - это акустические эксперименты,
например, измерения поглощения и скорости звука на гиперзвуковых частотах [13].
Исследования тепловых импульсов
позволяют определять скорость тепловых ФН, их рассеяние и времена релаксации в
кристалле. Общая схема экспериментов показана на рисунке:
Рис.1.7. Схема эксперимента с
тепловыми фононами
Обозначения:
- генератор импульсов тока, 2 -
пленочный проводник, 3 - образец,
- детектор, 5 - усилитель, 6 -
осциллограф.
1.2.2 История фононных кристаллов
Направление акустических
метаматериалов развилось благодаря изучению электромагнитных метаматериалов и
строительства материалов для управления электромагнитной радиацией [15-16].
Уравнения Максвелла объединили все
проделанные наблюдения, эксперименты и уравнения электричества, магнетизма и
даже оптики в последовательную теорию. Они продемонстрировали, что
электричество, магнетизм и даже свет - это проявления одного и того же самого
явления, а именно: электромагнитного поля. Впоследствии все другие классические
законы или уравнения в этой области стали упрощенными случаями уравнений
Максвелла. Достижения Максвелла в электромагнетизме назвали "вторым
большим обобщением в физике", после первого, полученного Исааком Ньютоном
[17].
Значительное развитие микроволной
теории, достигнутое только в 20-м столетии, связано с цилиндрическим
параболическим отражателем, диэлектрическими линзами, микроволновыми
поглотителями, полым излучатем, излучающей диафрагмой и электромагнитным
пирамидальным рупорным излучателем. Наука, содержащая микроволны, включает
также круглые, квадратные и прямоугольные волноводы, результаты исследований
которых опубликовал сэр Рейли в 1896. Микроволновая оптика, связанная с
фокусировкой микроволн, ввела квазиоптические компоненты. Результаты обработки
микроволновой оптики была опубликована в 1897 году [16].
В начале двадцатого века Карл
Фердинанд Линдмен изучил взаимодействие волны с набором металлических спиралей,
как искусственные киральные среды.
В. Э. Кок в конце 1940-ых разработал
материалы, у которых были схожие с метаматериалами характеристики, так же как и
Уинклер (1956 г.), Тиноко и Фримен (1957 г.), В. Пикеринг в 1960-ых, и
несколько других групп в 1980-ых и 1990-ых годах в Соединенных Штатах Америки.
Современная форма метаматериалов
первоначально была предложена Виктором Г. Веселаго в 1967. В 2000 году звуковые
(с резиново-кремниевым покрытием) кристаллы в жидкости были впервые получены с
помощью резонирующего звукового материала [15].
Исследование в области акустических
метаматериалов началось в 2000 году с изготовления и демонстрации звуковых
кристаллов в жидкости [15]. За этим последовали перестановки в режиме
сплит-кольцевого резонатора для исследования акустических метаматериалов. После
этого двойные отрицательные параметры (отрицательный объемный модуль сжатия βeff и
отрицательная плотность ρeff)
были
произведены в этом типе среды. Тогда группа исследователей представила
конструкцию и проверила результаты ультразвуковой метаматериальной линзы для
фокусировки 60 кГц.
Более ранние исследования акустики в
технологии, которую называют акустической инженерией, как правило, были
озабочены тем, как уменьшить нежелательные звуки (шумовой контроль), как
создать полезные звуки для медицинского диагностирования, гидролокатора и
звукового воспроизводства и как измерить некоторые другие физические свойства,
используя звук.
Используя акустические метаматериалы
можно управлять коэффициентом преломления, таким образом традиционные
акустические технологии распространяются на управление звуковой волной и даже
могут скрывать определенные вещества от акустического обнаружения.
.2.3 ФНК
Более молодым направлением,
относительно фотонных кристаллов, являются фононные кристаллы. Для композитных
материалов, в которых имеется периодическая система акустических
неоднородностей, по аналогии с названием фотонные кристаллы появился термин
«фононные кристаллы» [18]. В настоящее время проводятся интенсивные
исследования характеристик распространения акустических волн различных типов,
как объёмных, так и поверхностных в искусственных двумерных и трехмерных
композитных материалах [19, 20].
Рис.1.8. Макет двумерного фононного
кристалла
В отличие от ФТК, ФНК бывают только
искусственными. Но во многом они очень схожи.
На свойства упругих (твердых) тел
влияет взаимное смещение атомов друг относительно друга. Коллективные смещения
приводят к образованию упругих волн в твердых телах. В зависимости от частоты
возбуждаемых колебаний волны называются ультразвуком (частота при этом лежит в
интервале от нескольких килогерц до гигагерц) или гиперзвуком (для частот выше
гигагерца, т.е. при более чем 109 колебаний в секунду) [21].
Если длина звуковой волны в твердом
теле сравнивается с периодом упругой системы кристалла (межатомным
расстоянием), в таком кристалле могут возникнуть эффекты, аналогичные
рассмотренным для ФТК, в частности, появятся запрещенные зоны для акустических
волн. Однако при таком масштабе периодичности соответствующие частоты окажутся
в диапазоне частот видимого света! Акустические волны подобных частот из-за
сильного затухания распространяться фактически не смогут.
Для практических же приложений,
например в СВЧ-электронике, нужны совсем другие частоты - мегагерцы и
гигагерцы, поэтому ФНК тоже приходится создавать искусственно. Роль
периодически расположенных элементов в них играют объемы вещества с заданными
упругими параметрами, т.е. в среде регулярно чередуются области с различными
характеристиками. Простейший вариант - организация в материале соответствующим
образом расположенных пустот. Типичные скорости упругих волн в самых
распространенных кристаллах (кварца, ниобата лития, кремния и т.д.) порядка 105
см/с, так что обычные длины упругих волн в диапазоне СВЧ-частот - миллиметры и
сотни или десятки микрометров. ФНК для подобных применений должны иметь
характерный период этого же порядка.
Чтобы создать ФНК, подходящие для
уже упоминавшихся применений в СВЧ-электронике, необходим на порядки меньший
период структур. Здесь не обойтись без «продвинутых» технологий литографии и
осаждения слоев различных веществ. А именно технологии молекулярно-лучевой эпитаксии,
магнетронного распыления и др. Ультразвук и гиперзвук легко возбуждаются в
частотном диапазоне от сотен килогерц до единиц гигагерц, при этом типичные
скорости его в наиболее распространенных кристаллах кварца, ниобата лития,
кремния и т.д. порядка 105 см/сек, так что типичные длины волн - это миллиметры
и сотни или десятки микрометров. Кроме того, учитывая, что фононные структуры
могут создаваться, в частности, в кремнии, такие структуры можно легко
интегрировать в полупроводниковые интегральные схемы, тем самым, создавая новые
типы интегральных устройств. ФНК другого типа можно создавать в кварцевом
оптическом волокне, при этом в нем возможно одновременно возбуждать и свет, и
ультразвук, так что такое волокно одновременно будет и фотонным, и фононным
кристаллом. Изменяя частоту одной из волн, можно добиться существенного
преобразования другой волны при ее рассеянии на первой волне, и наоборот.
Необходимо отметить, что устройства, создаваемые на основе фононных кристаллов,
в частности, фильтры СВЧ сигналов абсолютно неотъемлемые элементы мобильных
телефонов, FM радиоприемников и многих других приборов [21].
Научное исследование показало, что у
акустических метаматериалов есть аналоги среди электромагнитных метаматериалов,
которые содержат следующие особенности:
В определенных диапазонах частот
эффективная плотность и объёмные модули сжатия могут стать отрицательными. Это
приводит к отрицательному показателю преломления Плоское сосредоточение плиты
может привести к сверхразрешению, подобно электромагнитным метаматериалам.
Двойные отрицательные параметры - результат низкочастотных резонансов. В
сочетании с четко определённой поляризацией во время распространения волны; k =
|n |ω
- уравнение
для показателя преломления
В отрицательных преломляющих,
электромагнитных метаматериалах, отрицательная диэлектрическая постоянная может
содержаться в естественных материалах. Однако отрицательная диэлектрическая
постоянная должна быть заранее создана в искусственной среде пропускания.
Получение отрицательного показателя преломления в акустических материалах
отличается от электромагнитных. Ни отрицательный ρ, ни
отрицательный β
не
найдены в естественных материалах; они получены из резонансных частот
искусственно изготовленной среды пропускания (метаматериала), и такие
отрицательные величины - аномальная реакция. Отрицательный ρ или β означают,
что в определенных частотах среда расширяется, испытывая сжатие (отрицательный
коэффициент) и ускоряется налево, будучи движимым направо (отрицательная
плотность).
Электромагнитный спектр простирается
от низких частот, используемых для современного радио- и гамма-излучения в
конце коротковолнового диапазона, охватывающего длины волн от долей размеров
атома до тысяч километров. Это было бы длинами волн от 103 до 10−15
километров. Верхний предел длины волны - это размер самой вселенной, в то время
как нижний предел - около длины Планка, хотя в принципе спектр бесконечен и
непрерывен.
Воображаемая демонстрация:
гипотетическая твердая структура решетки (твёрдое тело) составлена из 1023
атомов. Однако в реальном твёрдом теле эти частицы могут так же с легкостью
быть ионами. В твердой структуре решетки атомы оказывают давление или силу друг
на друга, чтобы поддержать равновесие. Атомные силы поддерживают твердую
структуру решетки. Большинство из них, такие как ковалентные или ионные связи,
имеют электрическую природу. Магнитная сила и сила тяжести незначительны. Из-за
связи между атомами, смещение одного или более атомов от первоначального положения
равновесия даст начало ряду волн вибрации, размножающихся через решетку. Одна
такая волна показана на рис.1.9. Амплитуда волны дана смещениями атомов от их
положений равновесия. λ
- Длина
волны.
Рис.1.9. Движение фонона
.3 Явление отрицательного
преломления
Одно из возможных свойств
метаматериалов - отрицательный (или левосторонний) коэффициент преломления,
который проявляется при одновременной отрицательности диэлектрической и
магнитной проницаемостей [5].
Более 30-ти лет назад В. Веселаго
обратил внимание на то, что в изотропной среде, обладающей отрицательными
значениями диэлектрической и магнитной проницаемостей ε<0,
μ<0, распространение
электромагнитных волн характеризуется весьма необычными свойствами.
Рис.1.10. Гипотетическое отрицательное
преломление в жидкости (справа) в сравнении с действием обычной воды
(иллюстрация TU Wien)
Поскольку в таких средах волновой вектор k,
электрическое поле E и магнитное поле H образуют в волне левую тройку векторов
в противоположность правой тройке векторов, которая имеет место в обычных
средах, такого рода материалы называются "left-hander
materials", в отличие
от обычных материалов, которые называются соответственно "right-hander materials".
Среди многих необычных свойств распространения волн в подобных средах
интересным является тот факт, что в них направления волнового вектора k и
вектора Пойтинга S антипараллельны. Кроме того, на границе RHM/LHM преломлённый
луч оказывается расположеным по ту сторону от нормали к поверхности, что т луч
падающий (отрицательное преломление), так что LHM также называют материалами с
отрицательной рефракцией [5,22].
Уравнение распространения электромагнитных волн
в изотропной среде имеет вид:

, (1.4)
где k - волновой
вектор, ω
- частота
волны, c - скорость
света, n2 = єμ - квадрат
показателя преломления.
Из этих уравнений очевидно, что
одновременная смена знаков у диэлектрической и магнитной восприимчивости среды
никак не отразится на этих соотношениях. Уравнение (1.4) получено на основе
теории Максвелла. Для сред, у которых диэлектрическая є и магнитная μ
восприимчивости среды одновременно положительные, три вектора электромагнитного
поля - электрический 
, магнитный 
и волновой 
образуют систему т. н. правых
векторов:

, (1.5)

, (1.6)
Такие среды, соответственно,
называют «правыми». Среды, у которых є, μ одновременно отрицательные,
называют «левыми». У таких сред электрический, магнитный и волновой вектора
образуют систему левых векторов.
Рис.1.11а. Прохождение света через
границу сред, у которых оба показателя преломления положительны n1>0, n2>0
Рис. 1.11б. Прохождение света через
границу сред у одной из которых показатель преломления положителен n1>0, а у
другой - отрицателен n2<0
Поток энергии, переносимой волной,
определяется вектором Пойнтинга 
, который равен:

(1.7)
Вектор 
всегда образует с векторами 
правую тройку. Таким образом, для
правых веществ 
и 
направлены в одну сторону, а для
левых - в разные. Так как вектор 
совпадает по направлению с фазовой
скоростью, то ясно, что левые вещества являются веществами с так называемой
отрицательной фазовой скоростью. Иными словами, в левых веществах фазовая
скорость противоположна потоку энергии. В таких веществах, например,
наблюдается обращенный допплер-эффект.
Рис.1.12. Допплер-эффект
Источник волн перемещается налево.
Тогда слева частота волн становится выше (больше), а справа - ниже (меньше)
Рис.1.13. Двояковыпуклая линза,
сделанная из материала с отрицательным показателем преломления, расфокусирует
свет, а двояковогнутая - фокусирует.
Существование отрицательного показателя среды
возможно при наличии у неё частотной дисперсии. Если одновременно є>0, μ>0,
то
энергия волны будет отрицательной:

, (1.8)
Единственная возможность избежать
этого противоречия будет наличие у среды частотной дисперсии 
и 
[10].
ГЛАВА 2. ИССЛЕДУЕМЫЕ ОБРАЗЦЫ И ЛАБ. УСТАНОВКА
.1 Ферриты
Ферриты (оксиферы) - химические соединения
оксида железа Fe2O3 с оксидами других металлов, обладающие особыми магнитными
(ферримагнетики) свойствами. Они сочетают высокую намагниченность и
полупроводниковые или диэлектрические свойства, благодаря чему они получили
широкое применение как магнитные материалы в радиотехнике, радиоэлектронике,
вычислительной технике.
В состав феррита входят анионы кислорода O2−,
образующие остов их кристаллической решётки; в промежутках между ионами
кислорода располагаются катионы Fe3+, имеющие меньший радиус, чем анионы O2−,
и катионы Mek+-металлов, которые могут иметь радиусы различной величины и
разные валентности k. Существующее между катионами и анионами кулоновское
(электростатическое) взаимодействие приводит к формированию определённой
кристаллической решётки и к определённому расположению в ней катионов. В
результате упорядоченного расположения катионов Fe3+ и Mek+ ферриты обладают
ферримагнетизмом и для них характерны достаточно высокие значения
намагниченности и точек Кюри. Различают Ф.-шпинели, Ф.-гранаты, ортоферриты и
гексаферриты.
Ферриты-шпинели имеют структуру минерала шпинели
с общей формулой MeFe2O4. Где Me - Ni2+, Co2+, Fe2+, Mn2+, Mg2+, Li+, Cu2+.
Элементарная ячейка Ф.-шпинели представляет собой куб, образуемый 8 молекулами
MeOFe2O3 и состоящий из 32 анионов O2−, между которыми имеется 64
тетраэдрических (А) и 32 октаэдрических (В) промежутков, частично заселённых
катионами Fe3+ и Me2+. В зависимости от того, какие ионы и в каком порядке
занимают промежутки А и В, различают прямые шпинели (немагнитные) и обращенные
шпинели (ферримагнитные). В обращенных шпинелях половина ионов Fe3+ находится в
тетраэдрических промежутках, а в октаэдрических промежутках - 2-я половина
ионов Fe3+ и ионы Me2+. При этом намагниченность октаэдрической подрешётки больше
тетраэдрической, что приводит к возникновению ферримагнетизма.
Рис.2.1. Элементарная ячейка ферритов-шпинелей
Ферриты-гранаты редкоземельных элементов R3+
(Gd3+, Tb3+, Dy3+, Ho3+, Er3+, Sm3+, Eu3+) и иттрия Y3+ имеют кубическую
структуру граната с общей формулой R3Fe5O12. Элементарная ячейка
ферритов-гранатов содержит 8 молекул R3Fe5O12; в неё входит 96 ионов O2−,
24 иона R3+ и 40 ионов Fe3+. В Феррит-гранатах имеется три типа промежутков, в
которых размещаются катионы: большая часть ионов Fe3+ занимает тетраэдрические
(d), меньшая часть ионов Fe3+ - октаэдрические (a)
и ионы R3+ - додекаэдрические места (с). Соотношение величин и направлений
намагниченностей катионов, занимающих промежутки d, а, с, показано на рис. 2.2.
Рис. 2.2. Проекция одного октанта элементарной
ячейки феррита-граната на грань куба а (рис. а) и схема расположения октантов в
элементарной ячейке (рис. б)
Ортоферритами называют группу Ферритов с
орторомбической кристаллической структурой. Их образуют редкоземельные элементы
или иттрий по общей формуле RFeO3. Ортоферриты изоморфны минералу перовскиту.
По сравнению с Ферритами-гранатами они имеют небольшую намагниченность, так как
обладают неколлинеарным антиферромагнетизмом (слабым ферромагнетизмом) и только
при очень низких температурах (порядка нескольких К и ниже) - ферримагнетизмом.
Ферриты гексагональной структуры (гексаферриты)
М-типа имеют общую формулу MeO 6(Fe2O3), где Me - ионы Ba, Sr или Pb.
Элементарная ячейка кристаллической решётки гексаферритов состоит из 38 анионов
O2−, 24 катионов Fe3+и 2 катионов Me2+ (Ba2+, Sr2+ или Pb2+). Ячейка
построена из двух шпинельных блоков, разделённых между собой ионами Pb2+ (Ba2+
или Sr2+), O2− и Fe3+. Если окиси железа и бария спекать совместно с
соответствующими количествами следующих металлов: Mn, Cr, Со, Ni, Zn, то можно
получить ряд новых оксидных ферримагнетиков.
Некоторые гексаферриты обладают высокой
коэрцитивной силой и применяются для изготовления постоянных магнитов.
Большинство Ф. со структурой шпинели, феррит-гранат иттрия и некоторые
гексаферриты используются как магнитомягкие материалы. При введении примесей и
создании нестехеометричности состава (переменности состава как по катионам, так
и по кислороду) электрическое сопротивление Ф. изменяется в широких пределах.
Ф. в полупроводниковой технике не применяются из-за низкой подвижности
носителей тока. Помимо описанных, известны ферриты и др. составов и структур,
например для щелочных металлов Ме+FeO2, для щелочноземельных Ме2+Fe2O5и т. д.
Многие ферриты входят в состав шлаков, спец. цементов и т. п. [23, 24]
.2 Используемые образцы
В данной работе будут использованы магнитомягкие
ферриты. Магнитомягкие ферриты применяются:
для магнитопроводов, работающих в слабых,
сильных магнитных полях до 100 МГц и в импульсном режиме;
для изготовления магнитных усилителей,
сердечников трансформаторов, катушек индуктивности, статоров и роторов
высокочастотных двигателей, термомагнитных компенсаторов и так далее.
Они обладают механическими свойствами такими же,
как и у керамики - твердость, хрупкость, недопустимость обработки резанием. При
спекании - усадка от 10 до 20%. Хорошо шлифуются и полируются абразивными
материалами, режутся алмазным инструментом. Наиболее широко в качестве
магнитомягких ферритов применяют никель-цинковые (NiZn) и марганец-цинковые
(MnZn) ферриты, представляющие собой твердые растворы замещения, образованные
простыми ферритами NiFe2O4 и MnFe2O4, являющиеся ферромагнетиками, с
немагнитным ZnFe2O4.
А именно использованы никель-цинковые ферриты
маркировки М400НН1.
Рис. 2.3. Пример пластинчатого феррита марки
М400НН1
Таблица 2.1. Основные характеристики
магнитомягких ферритов марки М400НН1
|
Начальная
магнитная проницаемость µн
|
400
|
Частота
измерений f, МГц
|
0,1
|
|
(tgdм/μн)*106,
при напряженности Hm=0,8, А/м
|
12
|
fкр, МГц, при tgmd=0,1
|
6
|
|
mmax
|
1400
|
H0, А/м при mmax
|
100
|
|
B, Тл
|
Br,
Тл
|
0,16
|
|
Hc, А/м
|
48
|
dh/(mH)*2*109,
при f=1МГц
|
3,8
|
|
r,
Ом*м
|
103
|
qк,
°С
|
≥300
|
.3 Изготовление фононных кристаллов
Для построения двумерного фононного кристалла
понадобятся весьма простые вещи: стержни или трубы, пила, рулетка, дрель,
молоток, гвозди, две доски (для фиксирования стержней).
. Сбор стержней или труб (в роли них может
использоваться любой материал: металл, пластмасса или древесина; пустота или
вещество). Необходимо выбрать диапазон частот, которые надо заблокировать. Чем
шире трубы, тем более широкий диапазон частот кристалл может поглотить. Высота
стержня также влияет на частоты, которые можно заблокировать. Это можно
вычислить по формуле:
где а - сечение стержней, Vs
- скорость звука в среде, f
- частота звука.
. Стержень режется на куски равной длины. Для
большей эффективности стержни должны быть как можно длиннее. Кристалл должен
состоять, по меньшей мере, из пяти стержней.
. На опорной плите (одной из досок) нужно
обозначить сетку положения стержней в кристалле при помощи уравнения разделения
стержней: (2).
Например, если Вы хотите ослабить низкие частоты
в районе 440 Гц, Вы должны использовать цилиндры, отделенные расстоянием 39 см,
и диаметр каждого цилиндра должен будет составить 26 см. Эта конструкция будет
очень большой!
. Приложите стержни к опорной плите. Если
используются прочные стержни, самым простым вариантом будет прибить их сзади к
пластине. В зависимости от используемых стержней, можно также использовать
клей, винты или прочие способы крепления.
. Если стержни шатаются, добавьте верхнюю плиту,
чтобы сохранять конструкцию прочной.
. Лучший способ проверить кристалл -
использовать звук одной частоты. Чтобы создать испытательный тон, можно
использовать генератор тона, который можно найти в интернете, для создания
звукового файла с определенной частотой и продолжительностью.
. Необходимо поместить динамик со звуком по одну
сторону кристалла в центре решётки на расстоянии примерно 30 см от стержней.
Затем прислушаться к звуку с противоположной стороны кристалла. Если фононный
кристалл работает, то звук будет приглушён. [26]
В данной курсовой работе используется не
двумерный, а одномерный фононный кристалл. Потому стержни были заменены на
пластины.
.4 Лабораторная установка
Для данной курсовой работы была собрана
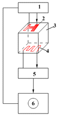
лабораторная установка, блок-схему которой можно увидеть на рис.2.4.
В данной работе были использованы цифровой
генератор и осциллограф (рис.2.5), представленные внутренними платами ЭВМ.
Генератор импульсов Г5-56 (рис.2.6) подаёт на входы синхронизации цифровых
генератора и осциллографа сигнал, который синхронизирует их между собой и
создаёт нужный интервал в подаче импульсов. Форма сигнала задаётся в цифровом
генераторе. Затем получившийся сигнал поступает на усилитель Г3-112/1
(рис.2.8). И уже усиленный сигнал поступает на пьезо излучатель (рис.2.7),
проходит через экспериментальную установку (рис.2.9), в которой находятся
ферритовые пластины (рис.2.10), и улавливается пьезо приёмник (рис2.7). Откуда
поступает на цифровой осциллограф для дальнейших исследований.
Рис.2.4. Блок-схема лабораторной установки.
Условные обозначения:
B221 - цифровой
осциллограф Bordo
B-221;
B230 - цифровой
генератор Agent
B-230;
Генератор Г5-56 - генератор импульсов Г5-56;
Г3-112/1 - усилитель Г3-112/1;
И, П - пьезо излучатель и приёмник на 1,76 МГц;
ФНК - исследуемый фононный кристалл;
T1 - вход
синхронизации; In,
I1, I2
- входы сигналов;
Out - выходы
сигналов
Рис.2.5-6. Цифровой генератор и осциллограф;
генератор импульсов
Рис.2.7-8. Пьезо излучатели/приёмники; усилитель
Г3-112/1
Рис.2.9-10. Экспериментальная установка;
фононный кристалл
Экспериментальная установка включает в себя
пластиковую ёмкость. Для лучшего прохождения звука ёмкость была залита водой.
Фононный кристалл погружается в воду. При этом ферритовые пластины подвешены с
помощью деревянного манипулятора - эта часть экспериментальной установки
позволяет перемещать фононный кристалл по всем трём осям внутри пластиковой
ёмкости и вращать по оси z.
Сверху на этот манипулятор приклеен лимб, с помощью которого можно наглядно
считывать угловую зависимость.
ГЛАВА 3. ИССЛЕДОВАНИЕ ПРОХОЖД. ЗВУКА ЧЕРЕЗ ФНК
.1 Прохождение звука через фононный кристалл
.1.1 Нахождение нуля градусов
В данной установке использованы пьезоэлементы
эхо-энцефалографа, которые могут являться как излучателями, так и приёмниками,
в зависимости от подключения. И даже одновременно. Данное их свойство помогает
определить точное положение ферритов в установке, когда они находятся
перпендикулярно источнику звука.
Т.к. звук способен отражаться от поверхностей,
от перпендикулярной поверхности он отразиться ровно в обратную сторону - в
излучатель. И таким образом на канале осциллографа, отвечающем за излучатель,
появится пик, изменяющий своё положение при приближении/отдалении помехи -
ферритов.
Рис.3.1. Результат нахождения отражения от
ферритов
Данное положение ферритов было принято считать
за 0 градусов на лимбе измерений. Следовательно, ещё одно отражение можно будет
наблюдать на 180°. Что и наблюдалось.
.1.2 Прямое прохождение звука через ФНК
Было произведено исследование прямого
прохождения звука через ФНК. Для этого приёмник и излучатель ставились друг
напротив друга (под 180°) и на излучатель подавался звуковой импульс частотой
1,76 МГц. Данная частота была выбрана потому, что это частота при которой
пьезоэлементы начинают резонировать и испускать звук.
Между излучателем и приёмником ставился ФНК на
расстоянии 10 см от излучателя. В результате в среднем было выявлено уменьшение
задержки звука с 1,48*10-4 c
(в воде) до 1,4661*10-4 c.
Рис.3.2а. Угловая зависимость задержки звука от
положения ФНК
Рис.3.2б. Угловая зависимость задержки звука с
учётом амплитуды сигналов
Уменьшение задержки звукового импульса,
показанное на рис.3.2., вызвано большей скоростью звука в феррите по сравнению
с водой.
Скорость звука в воде: Vw
= 1510 м/с.
Предполагаемая скорость звука в феррите: Vf
= 3840 м/с.
Уменьшение амплитуды звукового импульса вызвано
затуханием звука на феррите (его дефектах) и его отражением от феррита в иную
от приёмника сторону.
Так же на некоторых углах наблюдается
расщепление звукового пучка на несколько. При постановке ФНК вдоль звуковой
волны (90°, 270°), наблюдаются появление гармоник со значительно меньшей
задержкой (до 1,07*10-4 c).
Это объясняется тем, что в таком положении ФНК работает, как волновод. Часть
звука проходит через всю толщу ферритовой пластины. В то время как другая часть
звука огибает ферриты и проходит в зазорах между ними. Потому время прохождения
большей гармоники тут немного больше, чем через ФНК в общем (~1,47*10-4 c)
- звук почти не ускоряется в феррите, т.к. не проходит через него.
Рис.3.3. Зависимость амплитуды от времени
задержки при 270°
Рис.3.4. Зависимость амплитуды от времени
задержки при 30°
Так же была замечена закономерность в районе 30°
и 330° (-30°), заключающаяся в расхождении звукового пучка. При этом выделяется
небольшой сигнал, опережающий обычное прохождение через феррит. Возможно,
наблюдается дифракция на ФНК. Это доказывает, что данный кристалл является ФНК
и имеет периодическую структуру.
Прочие отклонения времени задержки не выявляют
периодичности и пока считаются дефектами, до дальнейших исследований.
.2 Прохождение звука под прямым углом
На расстоянии 10,5 см от излучателя и приёмника
ставился ФНК. Данная постановка позволяет найти и сигналы отражения (90-180°,
270-360°), и сигналы отрицательного преломления (0-90°, 180-270°).
Рис.3.5а. Угловая зависимость задержки звука от
положения ФНК
Рис.3.5б. Угловая зависимость задержки звука с
учётом амплитуды сигн
В целом в отличие от прямого прохождения,
звуковой пучок постоянно разделяется на множество гармоник. На графике их можно
было бы изобразить значительно больше, но тогда бы картина получилась
загромождённой и ненаглядной. Потому было решено брать максимум три самых
больших пучка. Так же на данном графике отсутствует прямая прохождения через
воду, т.к. при таком положении пьезоэлементов звук не может отразиться в
приёмник при помощи одной лишь воды.
На графике 3.5. можно наблюдать угловую
зависимость для отражения и преломления звука. Как видно, сигналы отражения
намного мощнее и приходят быстрее. Отражение происходит с задержкой
примерно 1,338*10-4 с. Преломление происходит с
задержкой примерно 1,622*10-4 с. Значительно ускоренные пучки в диапазоне
преломления (~25,5°, ~250,5°) скорее всего являются следствием дефектов
ферритов и отражением от частей манипулятора.
Чтобы исключить возможность отражения от стенок
ёмкости, во-первых, сама ёмкость была взята большого размера, чтобы
отразившийся от стенки сигнал не попадал в используемый диапазон временной
задержи; во-вторых, стенки сосуда динамически экранировались дюралюминием. При
этом отражённый от стенок сигнал менял бы своё положение. Чего не наблюдалось.
Следовательно, наблюдались эффекты отражения и преломления именно от ферритов.
Приведённый выше способ проверки даёт все
основания полагать, что в диапазонах 0-90°, 180-270° наблюдается обратное
лучепреломление.
Пики амплитуды отражения находятся в 135° и
315°. Около этих пиков с периодичностью в ~5° наблюдается собирание и распад
звукового пучка на несколько. Это ещё раз показывает периодичность данной
структуры.
.3 Теоретические расчёты
В эксперименте использовалась ёмкость из
пищевого пластика. Для лучшей проходимости звука, пьезоэлементы крепко
прижимались к этой ёмкости, немного деформируя её. Ширина ёмкости составляет
~23 см. Именно вдоль её ширины и было произведено измерение прямого прохождения
звука через ФНК.
Имея время задержки звука в воде и зная
общеизвестную скорость звука в воде, можно определить точный путь, который
проходил звук:

(3.1)
Теперь можно проверить фактическую скорость
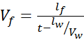
звука в феррите Vf:
lf = 0,006 м -
толщина всех ферритов;
lw = 0,22348 -
0,006 = 0,21748 м - толщина слоя воды;
Vw = 1510 м/с
- скорость звука в воде;
t =
1,4661*10-4 c - время, за
которое звук доходит до приёмника через ФНК.

, (3.2)
Vf = 2331,4
м/с.
В данной работе необходимо было
показать зависимость скорости звука от приложенного к ферриту магнитного поля.
Однако таковой зависимости пока обнаружено не было. Это может быть связано с
малыми размерами ферритов. В частности толщиной. Звук проходит в ферритах
слишком малое расстояние, чтобы можно было обнаружить ощутимые изменения в
приходящем импульсе.
Решим следующую задачу: какой
толщины должен быть феррит, чтобы при изменении скорости звука на 30%,
изменение задержки было равно погрешности измерения (то есть ширине пика)?
Изменение скорости звука в 30% взято
для наглядности. Реально такое увеличение маловероятно. Необходимо найти
временную задержку звука t’ при наложении поля:

, (3.3)
где V’f = Vf *1,3 -
скорость звука в феррите при наложении магнитного поля.
t’ =
1,46*10-4 с.
Теперь можно найти искомую толщину
феррита:

, (3.4)
где Δt = t - t’ -
временная разница между задержкой без поля и с полем.
l’f = 0,0046 м.
То есть при изменении скорости звука
в феррите на 30%, можно было бы видеть изменение в приходящем импульсе уже при
почти 5 см общей толщины ферритов. Но имеющийся феррит изменяет скорость звука
меньше. Так что и 6 см не достаточно. Будет наращиваться толщина общего слоя
ферритов.
Для наблюдения дифракции необходимо,
чтобы ширина ферритов была равна целому числу полуволн длины волны звука.
Потому будет полезно определить толщину феррита, на котором при изменении
скорости звука на 30% при приложении магнитного поля, изменение составляло
половину длины волны. Эта длина составила: l’f = 0,000861
м.
ЗАКЛЮЧЕНИЕ
Была изготовлена периодическая
структура из никель-цинковых ферритов маркировки М400НН1. Так же была
изготовлена экспериментальная установка для изучения этой периодической
структуры. Структура находилась в воде для лучшей проводимости звука, чем в
воздухе.
Исследовалось время прохождения
сигнала (звукового импульса на частоте 1,76 МГц).
В общем случае прохождение через
структуру уменьшает время похождение на 0,0139*10-4 с. Это обусловлено тем, что
скорость звука в феррите выше, чем в воде.
Для некоторых углов (например: 30°,
330°) наблюдается сокращение времени прохождения сигнала, расхождение сигнала
на несколько. Работает периодическая структура, проявляется дифракция.
Следовательно, данную структуру можно назвать акустическим метаматериалом.
В пределах погрешности эксперимента,
магнитное постоянное поле не приводит к заметному изменению звука. Это может
быть связано с размерами ферритов.
СПИСОК ИСПОЛЬЗОВАННЫХ ИСТОЧНИКОВ
1. Guenneau,
Sébastien;
Alexander
Movchan, Gunnar
Pétursson,
and S.
Anantha Ramakrishna
(2007). "Acoustic metamaterials for
sound focusing and confinement". New Journal of Physics 9 (399):
1367-2630.
. Joannopoulos J.D. et al.
Photonic Crystals: Molding of Flow of Light. N.Y.: Princeton Univ. Press.,
1995.
. Photonic Bandgap Materials /
Ed. Soukoulis CM. Dordrecht: Kluwer Academic, 1996.
. Sakoda K. Optical Properties
of Photonic Crystals // Berlin: Springer, 2001.
5. Веселаго В. Г. Электродинамика
веществ с одновременно отрицательными значениями ε и
μ
// УФН.
1967. Т. 92. С.
517.
. Joannopoulos J.D. et al.
Photonic Crystals: Molding of Flow of Light. N.Y.:
Princeton
Univ. Press.,
1995.
. Радиотехника и электроника. 2007.
Т.52. № 9. (Материалы Межд. Конференции по метаматериалам BIANISOTROPICS -
2006).
. Жаров А.А., Кондратьев И.Г.,
Смирнов А.И.// Известия вузов. Радиофизика, 2005. т. 48. №10-11. С. 978-989.
. Е. Л. Ивченко, А. Н. Поддубный,
"Резонансные трёхмерные фотонные кристаллы, "Физика твёрдого тела,
2006, том 48, вып. 3, стр. 540-547
10. Yablonovitch E., Gmitter
T.J., Leung K.M. Photonic band structure: The face-centered cubic case
employing nonspherical atoms // Phys. Rev. Lett., 1991, V. 67, P. 2295.
. S. Kinoshita, S. Yoshioka and
K. Kawagoe "Mechanisms of structural colour in the Morpho butterfly:
cooperation of regularity and irregularity in an iridescent scale, " Proc.
R. Soc. Lond. B, Vol. 269, 2002, pp. 1417-1421.
. Thomas J. Watson Sr
Laboratory of Applied Physics, California Institute of Technology, Pasadena,
California 91125, USA
13. Голямина И.П. Ультразвук. - М.:
Советская Энциклопедия, 1979. С. 400.
. Давыдов А. С. Теория твердого
тела. М.:Наука, 1976.-636с.
15. Zhengyou Liu, Liu; Xixiang
Zhang, Yiwei Mao, Y. Y. Zhu,Zhiyu Yang, C. T. Chan, Ping Sheng (2000).
"Locally Resonant Sonic Materials". Science 289 (5485): 1734-1736.
. D.T., Emerson (1997-12).
"The work of Jagadis Chandra Bose: 100 years of millimeter-wave
research" (A facility of the NSF provides added material to the original
paper - The work of Jagadish Chandra Bose: 100 years of milmeter wave
research.). Microwave Theory
and Techniques,
IEEE Transactions
45 (12): 2267.
. Никитов С.А. Кристаллы нового
поколения // Институт радиотехники и электроники им. В.А.
Котельникова
РАН,
2012
. Kushwaha M.S., Halevi P.,
Martinez G., Dobrzynski L., Djafari-Rouhani B. Theory of band structure of
periodic elastic composites // Phys.Rev. B, 1994 V. 49, P. 2313.
19. Богомолов В.Н., Парфеньева Л.С.,
Смирнов И.А., Мисиорек Х., Ежовский А. Прохождение фононов через фотонные
кристаллы - среды с пространственной модуляцией акустических свойств // ФТТ,
2002, Т. 44. Вып.1. C. 175-179.
. Qiu C., Zhang X., Liu Z.,
Far-field imaging of acoustic waves by a two-dimensional sonic crystal // Phys.
Rev. B, 71, 2005, P. 054302-1.
. "James Clerk
Maxwell" IEEE Global History Network. 2011. Retrieved 2011-06-21.
. Smith D.R. Kroll N Phys. Rev.
Lett. 85 2933 (2000)
.Михайлова М., Филиппов В., Муслаков
В. Магнитомягкие ферриты для радиоэлектронной аппаратуры. Справочник.- М. Радио
и связь, 1983.
. Куневич А. В., Подольский А. В.
Сидоров И. Н. «Ферриты: Энциклопедический справочник. Магниты и магнитные
системы. Том 1» издательство Лик, 2004 г.
25.
<http://www.newscientist.com/article/dn20186-how-to-build-a-sonic-crystal.html>