Розробка проекту електричної мережі району
Зміст
1.
Завдання
.
Вступ
.
Розроблення конфігурацій електричних мереж
.
Розрахунок електричної мережі схеми А
.1
Визначення довжин ліній
.2
Розрахунок струмів та напруг на ділянках без урахування втрат та вибір проводів
.3
Вибір трансформаторів
.4
Розрахунок потужності та падіння напруги на ділянках мережі
.
Розрахунок електричної мережі схеми Б
.1
Визначення довжин ліній
.2
Розрахунок струмів та напруг на ділянках без урахування втрат та вибір проводів
.3
Вибір трансформаторів
.4.Розрахунок
потужності та падіння напруги на ділянках мережі
.
Техніко-економічне порівняння двох схем електричної мережі
.1
Визначення капітальних витрат
.
Аварійний режим роботи електричної схеми Б
.
Режим мінімального навантаження електричної мережі схеми Б
Висновки
Список
використаних джерел
1. Завдання
електрична мережа струм навантаження
Завданням передбачено виконання
курсового проекту на тему «Розробка проекту електричної мережі району».
Необхідно виконати електропостачання споживачів від потужного джерела
електроенергії. Чотири споживачі характеризується чималою потужністю, для цієї
групи споживачів доставлена електроенергія повинна бути перетворена на напругу
10 кВ. Два споживачі мають відносно невелику потужність і розташовані недалеко
від одного з крупних споживачів. Ними можуть бути невеликі промислові
сільськогосподарські і житлові райони і населені пункти. Електропостачання цих
споживачів передбачається здійснити від підстанцій відповідних крупних
споживачів і забезпечити напругою 380 В.
Вихідні дані:
Вихідні дані, що характеризують
споживачів приведені в таблиці 1.1.
Таблиця 1.1.
|
Параметр
|
1-й спож.
|
2-й спож.
|
3-спож.
|
4-й спож.
|
5-й спож.
|
6-й спож.
|
|
Х, мм
|
23
|
16
|
43
|
-38
|
-13
|
13
|
|
Y, мм
|
16
|
21
|
0
|
5
|
0
|
2
|
|
Рм,МВт
|
58
|
33
|
49
|
39
|
0,53
|
0,385
|
|
cos f
|
0,85
|
0,95
|
0,9
|
0,95
|
0,78
|
0,78
|
|
Тм, ч
|
3730
|
3530
|
4340
|
4890
|
5250
|
3560
|
|
Категорія
|
І
|
ІІІ
|
ІІ
|
ІІІ
|
І
|
ІІІ
|
Додаткова початкова інформація про
споживачів та їх розміщення
Таблиця 1.2.
|
Характеристика споживачів
|
|
|
Масштаб для споживачів 1-4, км/мм
|
2
|
|
Масштаб для споживачів 5 і 6 по відношенню до
точки прив’язки, км/мм
|
0,1
|
|
Споживач, до якого прив’язані споживач 5 і 6
|
1
|
|
Частка всіх навантажень в номінальному режимі
Рмін. по відношенню до мінімального Рм
|
0,50
|
2. Вступ
Даним проектом передбачена розробка
декількох електричних мереж та вибір оптимальної, що забезпечує електроенергією
споживачів розташованих по відповідним координатам. Також здійснюється вибір
елементів енергосистеми, ліній електропередач, проводів, елементів розподільчих
пристроїв, трансформаторів, компенсуючих пристроїв у відповідності з діючими
правилами та нормативними документами.
За техніко-економічними підрахунками
вибирається одна з найкращих конфігурацій електричної мережі.
Виконується перевірка надійності
мережі, у випадку аварійної ситуації, мережа повинна забезпечувати безперебійне
постачання електроенергією споживачів відповідних категорій, що підтверджується
розрахунками. Всі розрахунки оформлені у вигляді таблиць.
3. Розроблення конфігурацій
електричних мереж
Розраховуємо дійсні відстані
враховуючи масштаби, та повну потужність споживачів за формулою [1],
(3.1)
маємо наступні характеристики
споживачів табл. 3.1.
Таблиця 3.1.
|
Параметр
|
1-й спож.
|
2-й спож.
|
3-спож.
|
4-й спож.
|
5-й спож.
|
6-й спож.
|
|
Х, км
|
46
|
32
|
86
|
-76
|
-1,3
|
1,3
|
|
Y, км
|
32
|
42
|
0
|
10
|
0
|
0,2
|
|
S, МВА
|
58+j35,94
|
33+j10,84
|
49+j23,73
|
39+j12,8
|
0,53+j0,425
|
0,385+j0.31
|
|
Тм, ч
|
3730
|
3530
|
4340
|
4890
|
5250
|
3560
|
|
Категорія
|
І
|
ІІІ
|
ІІ
|
ІІІ
|
І
|
ІІІ
|
За даними, що характеризують
споживачів, побудуємо дві найоптимальніші географічні схеми електричної мережі.
Рис. 3.1. Схема А.
Рис. 3.2. Схема Б.
Умовні позначення:
джерело живлення;
споживач ІІІ категорії;
споживач ІІ категорії;
споживач І категорії.
При розробці конфігурацій
електричних мереж необхідно враховувати наступне:
доцільно виділити підстанції,
споживачі яких вимагає 100 % резерву по мережі і розглянути шляхи виконання
цієї вимоги;
замкнутою мережею доцільно
зв'язувати споживачів приблизно однакової потужності;
по можливості необхідно виключити
потоки потужності до джерела живлення;
не слід допускати мало завантажених
ліній в замкнутих мережах;
необхідно прагнути до передачі
електроенергії споживачам найкоротшим шляхом.
4. Розрахунок електричної мережі
схеми А
.1 Визначення довжин
ліній
Розраховуємо довжини ліній
враховуючи коефіцієнт перерахунку довжин ділянок мережі
(4.1.1)
де: l - довжина ділянки мережі
виміряна на плані, км;
kL - коефіцієнт збільшення довжини
мережі по відношенню з повітряною прямою [3, ст. 9], kL
.
Для двохланцюгових ліній
враховується коефіцієнт kцеп
, для ВЛ 110 кВ на
двохланцюгових залізобетонних опорах[3, ст. 9].
Таблиця 4.1.1. Дійсні довжини ліній.
|
Ділянка
|
А-1
|
А-3
|
А-4
|
1-2
|
1-3
|
1-5
|
1-6
|
|
Довжина, км
|
70
|
107,5
|
95,75
|
21,75
|
63,5
|
1,88
|
1,644
|
.2
Розрахунок
струмів та напруг на ділянках без урахування втрат та вибір проводів
Розриваємо замкнуте коло мережі від
джерела живлення (рис.4.2.1).
Рис. 4.2.1 Схема замкнутого кола
А-1-3.
Розраховуємо потужності на ділянках
А-1, 1-3, 3-В, за формулами
Розраховуємо напруги та струми на
всіх ділянках мережі. Виходячи із довжин ліній і потужностей яка йде по них
визначаємо напругу по емпіричній формулі Ілларіонова[1]:
(4.2.1)
Також визначаємо струм в лініях за
формулою:
(4.2.2)
Згідно методу економічної густини
струму, економічний переріз розраховуємо за формулою:
(4.2.3)
де: Ім - струм в лінії в режимі
максимальних навантажень, що відповідає нормальному режиму роботи мережі;
jе - економічна густина струму [2,
табл. 1.3.36], за умовами завдання проекту jе = 1,1.
Таблиця 4.2.1. Результати
розрахунків пункту 4.2.
|
Ділянка
|
А-1
|
А-3
|
А-4
|
1-2
|
1-3
|
1-5
|
1-6
|
|
S, МВА
|
87,1+j44,3
|
53,8+j26,95
|
39+j12,819
|
33+j10,847
|
33,234+j17,357
|
0,53+j0,425
|
0,385+j0,309
|
|
U, кВ
|
167
|
140
|
122
|
100,6
|
110
|
14,1
|
12,1
|
|
Uн, кВ
|
220
|
220
|
220
|
110
|
220
|
10
|
10
|
|
I, А
|
256
|
158
|
108
|
182
|
98
|
39
|
35
|
|
Fе ,А/мм2
|
233
|
144
|
98
|
166
|
89
|
36
|
32
|
|
Марка проводу
|
АС240/32
|
АС240/32
|
АС240/32
|
АС70/11
|
АС240/32
|
АС16/2,7
|
АС16/2,7
|
|
Допустимий струм проводу, А
|
605
|
605
|
605
|
265
|
605
|
105
|
105
|
.3
Вибір
трансформаторів
Визначаємо потужність кожного із
трансформаторів. При цьому на однотрансформаторній підстанції потужність
трансформатора Sт повинна бути не менше потужності споживачів Sм, що
постачається від нього Sт ≥ Sм. А коефіцієнт навантаження трансформатора
повинен бути порядку 0,9 (kз=Sм / Sн.т) [3]. Потужність трансформаторів на
двухтрансформаторній підстанції повинна забезпечити навантаження споживачів у
випадку аварії одного з них. Тому потужність кожного трансформатора вибирається
з обліком його перевантажувальної здатності за умовою Sт ≥ Sм /1,4. У
результаті коефіцієнт завантаження трансфоматорів у нормальному режимі
становить 0,65 - 0,75 (kз=Sм / 2Sн.т). Для споживачів І та ІІ категорії
необхідно встановити по 2 трансформатори на підстанцію.
Таблиця 4.3.1. Вибір
трансформаторів.
|
Номер підстанції
|
Підстанції
МВА
|
Категорія споживача
|
Кількість трансформаторів
|
Розрахункова
МВА
|
Марка трансформатора
|
Коефіцієнт навантаження
|
|
1
|
103,47
|
I
|
2
|
74
|
АТДЦТН -125000/220
|
0.41
|
|
2
|
34,73
|
III
|
1
|
40
|
ТД-40000/110
|
0.85
|
|
3
|
54,44
|
II
|
2
|
38.88
|
ТРДЦН-63000/220
|
0.43
|
|
4
|
41
|
IІІ
|
1
|
63
|
ТРДЦН-63000/220
|
0.65
|
|
5
|
0,679
|
I
|
2
|
0,485
|
ТМ-630/10
|
0.538
|
|
6
|
0,494
|
IІІ
|
1
|
0,630
|
ТМ-630/10
|
0,784
|
Запас потужності дозволить в
майбутньому розширити мережу та підключити нових споживачів.
Параметри вибраних трансформаторів
[4].
Трифазний трьохобмоточний
трансформатор 220 кВ.
Таблиця 4.3.2. Параметри
автотрансформатора АТДЦТН-125000/220/110.
|
Тип
|
SНОМ, МВА
|
Межі регулю-вання
|
Каталожні дані
|
|
|
|
UНОМ обмоток, кВ
|
UК, %
|
ΔРК, кВт
|
ΔРХ, кВт
|
IХ, %
|
|
|
|
ВН
|
СН
|
НН
|
ВС
|
ВН
|
СН
|
ВС
|
ВН
|
СН
|
|
|
|
АТДЦТН-125000/220/110
|
125
|
±6*2%
|
230
|
121
|
6,6;11;38,5
|
11
|
45
|
28
|
305
|
-
|
-
|
65
|
0,5
|
|
Тип
|
Розрахункові дані
|
|
Rт , Ом
|
ΔQХ, кВАр
|
|
ВН
|
СН
|
НН
|
ВС
|
ВН
|
СН
|
|
|
АТДЦТН-125000/220/110
|
0,55
|
0,48
|
3,2
|
59,2
|
0
|
131
|
625
|
Примітка.
Регулювання напруги здійснюється за
рахунок РПН в нейтралі ВН або зі сторони СН.
Трифазний двохобмоточний
трансформатор 220 кВ.
Таблиця 4.3.3. Параметри
трансформатора ТРДЦН-63000/220.
|
Тип
|
SНОМ, МВА
|
Межі регулю-вання
|
Каталожні дані
|
Розрахункові дані
|
|
|
|
UНОМ обмоток, кВ
|
UК, %
|
ΔРК, кВт
|
ΔРХ, кВт
|
IХ, %
|
RТ, Ом
|
ХТ, Ом
|
ΔQХ, кВАр
|
|
|
|
ВН
|
НН
|
|
|
|
|
|
|
|
|
ТРДЦН-63000/220
|
63
|
±8*1,5
|
230
|
11/11 ; 6,6/6,6
|
12
|
300
|
82
|
0,8
|
3,9
|
100,7
|
504
|
Примітка.
Регулювання напруги здійснюється за
рахунок РПН в нейтралі ВН.
Трифазний двохобмоточний
трансформатор 110 кВ.
Таблиця 4.3.4. Параметри
трансформатора ТД-40000/110.
|
Тип
|
SНОМ, МВА
|
Межі регулю-вання
|
Каталожні дані
|
Розрахункові дані
|
|
|
|
UНОМ обмоток, кв
|
UК, %
|
ΔРК, кВт
|
ΔРХ, кВт
|
IХ, %
|
RТ, Ом
|
ХТ, Ом
|
ΔQХ, кВАр
|
|
|
|
ВН
|
НН
|
|
|
|
|
|
|
|
|
ТД-40000/110
|
40
|
±2*2,5%
|
121
|
3,15;6,3;10,5
|
10,5
|
160
|
50
|
0,65
|
1,46
|
38,4
|
260
|
Примітка.
Регулювання напруги здійснюється за
рахунок РПН в нейтралі на стороні ВН.
Трифазний двохобмоточний
трансформатор 10 кВ.
Таблиця 4.3.5. Параметри
трансформатора ТМ-630/10.
|
Тип трансформатора
|
SНОМ, кВА
|
Каталожні дані
|
|
|
UНОМ, кВ
|
Uк,%
|
DPк, кВт
|
DPх, кВт
|
Iх,%
|
ΔQХ, кВАр
|
|
|
ВН
|
НН
|
|
|
|
|
|
|
ТМ-630/10
|
630
|
10
|
0,4
|
5,5
|
7,6
|
1,42
|
2,0
|
12,6
|
.4 Розрахунок потужності та падіння
напруги на ділянках мережі
Розрахунок виконуємо на основі схеми
заміщення рис. 4.4.1.
Розрахунок активного, реактивного
опору ліній та зарядної потужності [1] .
Активний опір лінії, Ом:
(4.4.1)
де l- довжина лінії (км), r0-
питомий опір (Ом/км).
Реактивний опір лінії, Ом:
(4.4.2)
де l- довжина лінії (км), х0-
питомий реактивний опір (Ом/км).
Реактивна провідність лінії,
См:
(4.4.3)
де l- довжина лінії ( км),
b0- питома ємнісна провідність (См/км).
Зарядна потужність лінії:
(4.4.4)
Для ліній 10 кВ зарядна
потужність має незначне значення, тому нею нехтують. Результати розрахунків
фіксуємо в таблиці 4.4.1.
Таблиця 4.4.1. Параметри
ліній.
|
Ділянка
|
А-1
|
А-3
|
А-4
|
1-2
|
1-3
|
1-5
|
1-6
|
|
Довжина, км
|
70
|
107,5
|
95,75
|
21,75
|
63,5
|
1,88
|
1,644
|
|
Марка проводу
|
АС240/32
|
АС240/32
|
АС240/32
|
АС70/11
|
АС240/32
|
АС16/2,7
|
АС16/2,7
|
|
r0 Ом/км
|
0,118
|
0,118
|
0,118
|
0,422
|
0,118
|
1,782
|
1,782
|
|
x0, Ом/км
|
0,435
|
0,435
|
0,435
|
0,444
|
0,435
|
-
|
-
|
|
b0 ´10-6
См/км
|
2,60
|
2,60
|
2,60
|
2,55
|
2,60
|
-
|
-
|
|
QЛ, МВАр
|
8,809
|
13,528
|
12,049
|
0,671
|
7.99
|
-
|
-
|
|
ZЛ , Ом
|
8,26+j30,24
|
12.68+j46.44
|
11.29+j41.36
|
9.17+j9.65
|
7.49+j27.43
|
1,68
|
2,929
|
Розрахунок втрат потужності [1] в
лініях виконуємо з кінця, також враховуємо втрати холостого ходу у
трансформаторах (наведені у таблицях 4.3.2-4.3.5 даного документу), при цьому
на підстанціях з двома трансформаторами втрати холостого ходу збільшуються
вдвоє, а опір обмоток зменшується.:
(4.4.5)
де: P - активна потужність на
ділянці, МВА;
Q - реактивна потужність на
ділянці, МВАр;
Z - опір ділянки, Ом.
Розрахунок падіння напруги виконуємо
із джерела живлення, при цьому напруга у споживача не повинна відрізнятись
більш ніж на 5% від номінальної, у відповідності з правилами [2].
Напруга розраховується,
використовуючи дані формули[]:
( кВ ), (4.4.6)
де: P- активна потужність на
ділянці, МВА;
Q - реактивна потужність на
ділянці, МВАр;
R - активний опір, Ом;
X - реактивний опір, Ом.
( кВ ), (4.4.7)
Модуль напруги:
( кВ ),
(4.4.8)
Процентне відхилення напруги
в кінці лінії від номінального значення розраховуємо за формулою, %:
(4.4.9)
Розрахунок замкнутої колової
мережі А-1-3 рис. 4.4.1. Розрахунок починаємо з находження точки потокорозподілу,
без урахування втрат рис. 4.4.2.
Рис. 4.4.2. Схема заміщення
колової мережі розімкнута від джерела живлення.
Вузол 1 точка потокорозподілу
активної та реактивної потужності.
Перевірка балансу
потужностей:
Розрахунок колової мережі з
урахуванням втрат рис. 4.4.3.
Рис. 4.4.3. Схема заміщення колової
мережі представлена у вигляді розімкнутої.
Результати розрахунків фіксуємо у
таблиці 4.4.2, номера вузлів вказані у відповідністю з рис. 4.4.1.
Результати розрахунків замкнутої
колової мережі фіксуємо у таблиці 4.4.3, номера вузлів вказані у відповідністю
з рис. 4.4.3.
Таблиця 4.4.2. Результати
розрахунків у відповідністю з рис. 4.4.1.
|
Вузол
|
S, МВА
|
Uн , кВ
|
Uвузл, кВ
|
Процентне відхилення від Uн у споживача, %
|
|
10
|
33+j10,847
|
10
|
9,7
|
-3
|
|
9
|
33,166+j14,274
|
110
|
111,5
|
-
|
|
2
|
34,171+j14,66
|
110
|
115,46
|
-
|
|
11
|
0,53+j0,425
|
0,4
|
0,41
|
2,4
|
|
6
|
0,537+j0,471
|
10
|
10,3
|
-
|
|
13
|
0,385+j0,309
|
0,4
|
0,41
|
2,4
|
|
12
|
0,391+j0,343
|
10
|
10,3
|
-
|
|
5
|
58,945+j36,758
|
10
|
10,4
|
3,8
|
|
0
|
93,2+j59,584
|
-
|
-
|
-
|
|
1
|
93,455+j71,232
|
220
|
219,4
|
-
|
|
7
|
39+j12,819
|
10
|
10,091
|
0,9
|
|
4
|
39,361+j20,34
|
220
|
224,5
|
-
|
|
А1
|
39,819+j9,968
|
220
|
230
|
-
|
|
8
|
49+j23,732
|
10
|
9,952
|
-0,5
|
|
3
|
49,388+j30,386
|
220
|
221,3
|
-
|
Примітки: 1 - у відповідності з
табл. 4.3.3. увімкнено РПН на ступені -4·1,5%.
- у відповідності з табл. 4.3.3.
увімкнено РПН на ступені -4·1,5%.
Таблиця 4.4.3. Результати
розрахунків колової мережі у відповідністю з рис. 4.4.3.
|
Вузол
|
S, МВА
|
Uн , кВ
|
Uвузл, кВ
|
|
А
|
90,374+ j62,73
|
220
|
230
|
|
1
|
88,34+j64,096
|
220
|
218,6
|
|
1'
|
5,11+j7,136
|
220
|
220.2
|
|
3
|
54,515+j29,575
|
220
|
221,3
|
|
В
|
55,523+j19,738
|
220
|
230
|
Сумарну потужність джерела енергії
визначемо із суми трьох відомих потужностей у вузлах А1 (табл. 4.4.2), А та В
(табл. 4.4.3)
5. Розрахунок
електричної мережі схеми Б
.1 Визначення довжин
ліній
Розраховуємо довжини ліній
враховуючи коефіцієнт перерахунку довжин ділянок мережі за формулою (4.1.1).
Для всіх споживачів І та ІІ
категорії виконуємо двохланцюгові лінії.
Таблиця 5.1.1. Дійсні довжини ліній.
|
Ділянка
|
А-1
|
А-3
|
А-4
|
1-2
|
1-5
|
1-6
|
|
Довжина, км
|
81,2
|
124,7
|
95,75
|
21,75
|
1,88
|
1,644
|
.2 Розрахунок струмів та напруг на
ділянках без урахування втрат та вибір проводів
Розраховуємо напруги та струми на
всіх ділянках мережі. Виходячи із довжин ліній і потужностей яка йде по них
визначаємо напругу по емпіричній формулі Ілларіонова (4.2.1). Також визначаємо
струм в лініях за формулою (4.2.2).
Згідно методу економічної густини
струму, економічний переріз розраховуємо за формулою (4.2.3).
Таблиця 5.2.1. Результати
розрахунків.
|
Ділянка
|
А-1
|
А-3
|
А-4
|
1-5
|
1-6
|
|
S, МВА
|
91,915+j47,526
|
49+j23,732
|
39+j12,819
|
33+j10,847
|
0,53+j0,425
|
0,385+j0,309
|
|
Uн, кВ
|
110
|
110
|
110
|
110
|
10
|
10
|
|
I, А
|
543
|
286
|
215
|
182
|
39
|
35
|
|
Fе ,А/мм2
|
494
|
260
|
196
|
166
|
36
|
32
|
|
Марка проводу
|
АС240/32
|
АС240/32
|
АС150/24
|
АС70/11
|
АС16/2,7
|
АС16/2,7
|
|
Допустимий струм проводу, А
|
605
|
605
|
450
|
265
|
105
|
105
|
5.3 Вибір трансформаторів
Визначаємо потужність кожного із
трансформаторів. При цьому на однотрансформаторній підстанції потужність
трансформатора Sт повинна бути не менше потужності споживачів Sм, що
постачається від нього Sт ≥ Sм. А коефіцієнт навантаження трансформатора
повинен бути порядку 0,9 (kз=Sм / Sн.т). Потужність трансформаторів на
двухтрансформаторній підстанції повинна забезпечити навантаження споживачів у
випадку аварії одного з них. Тому потужність кожного трансформатора вибирається
з обліком його перевантажувальної здатності за умовою Sт ≥ Sм /1,4. У
результаті коефіцієнт завантаження трансфоматорів у нормальному режимі
становить 0,65 - 0,75 (kз=Sм / 2Sн.т). Для споживачів І та ІІ категорії
необхідно встановити по 2 трансформатори на підстанцію.
Таблиця 5.3.1. Вибір
трансформаторів.
|
Номер підстанції
|
Підстанції
МВА
|
Категорія споживача
|
Кількість трансформаторів
|
Розрахункова
МВА
|
Марка трансформатора
|
Коефіцієнт навантаження
|
|
1
|
103,47
|
I
|
2
|
73,5
|
ТРДЦН-80000/110
|
0,65
|
|
2
|
34,73
|
III
|
1
|
40
|
ТД-40000/110
|
0.85
|
|
3
|
54,44
|
II
|
2
|
38.88
|
ТРДЦН-63000/110
|
0.43
|
|
4
|
41
|
IІІ
|
1
|
63
|
ТРДЦН-63000/110
|
0.65
|
|
5
|
0,679
|
I
|
2
|
0,485
|
ТМ-630/10
|
0.538
|
|
6
|
0,494
|
IІІ
|
1
|
0,630
|
ТМ-630/10
|
0,784
|
Запас потужності дозволить в
майбутньому розширити мережу та підключити нових споживачів.
Параметри вибраних трансформаторів
[4].
Трифазні двохобмоточні
трансформатори 110 кВ.
Таблиця 5.3.2. Параметри
трансформаторів.
|
Тип
|
SНОМ, МВА
|
Межі регулювання
|
Каталожні дані
|
Розрахункові дані
|
|
|
|
UНОМ обмоток, кВ
|
UК, %
|
ΔРК, кВт
|
ΔРХ, кВт
|
IХ, %
|
Rт , Ом
|
Xт , Ом
|
ΔQХ, кВАр
|
|
|
|
ВН
|
НН
|
|
|
|
|
|
|
|
|
ТРДЦН-80000/110
|
80
|
±9*1,78%
|
115
|
10,5/10,5
|
10,5
|
310
|
70
|
0,6
|
0,6
|
17,4
|
480
|
|
ТД-40000/110
|
40
|
±2*2,5%
|
121
|
3,15;6,3;10,5
|
10,5
|
160
|
50
|
0,65
|
1,46
|
38,4
|
260
|
|
ТРДЦН-63000/110
|
63
|
±9*1,78%
|
115
|
10,5/10,5
|
10,5
|
260
|
59
|
0,6
|
0,87
|
22
|
410
|
Примітка.
Регулювання напруги здійснюється за
рахунок РПН в нейтралі зі сторони ВН.
Трифазний двохобмоточний
трансформатор 10 кВ
Таблиця 5.3.3. Параметри
трансформатора ТМ-630/10.
|
Тип трансформатора
|
SНОМ, кВА
|
Каталожні дані
|
|
|
UНОМ, кВ
|
Uк,%
|
DPк, кВт
|
DPх, кВт
|
Iх,%
|
ΔQХ, кВАр
|
|
|
ВН
|
НН
|
|
|
|
|
|
|
ТМ-630/10
|
630
|
10
|
0,4
|
5,5
|
7,6
|
1,42
|
2,0
|
12,6
|
.4
Розрахунок
потужності та падіння напруги на ділянках мережі
Розрахунок виконуємо на основі схеми
заміщення рис. 5.4.1.
Розрахунок активного, реактивного
опору ліній та зарядної потужності [1] виконуємо аналогічно пункту 4.4 даного
документу.
Для ліній 10 кВ зарядна потужність
має незначне значення, тому нею нехтують. Результати розрахунків фіксуємо в
таблиці 5.4.1.
Таблиця 5.4.1. Параметри ліній.
|
Ділянка
|
А-1
|
А-3
|
А-4
|
1-2
|
1-5
|
1-6
|
|
Довжина, км
|
81,2
|
124,7
|
95,75
|
21,75
|
1,88
|
1,644
|
|
Марка проводу
|
АС240/32
|
АС240/32
|
АС150/24
|
АС70/11
|
АС16/2,7
|
АС16/2,7
|
|
r0 Ом/км
|
0,118
|
0,118
|
0,118
|
0,422
|
1,782
|
1,782
|
|
x0, Ом/км
|
0,435
|
0,435
|
0,435
|
0,444
|
-
|
-
|
|
b0 ´10-6
См/км
|
2,60
|
2,60
|
2,60
|
2,55
|
-
|
-
|
|
QЛ, МВАр
|
5,522
|
8,48
|
3,36
|
0,671
|
-
|
-
|
|
ZЛ , Ом
|
4,791+j16,443
|
7,357+j25,252
|
18,57+j40.21
|
9,178+j9,657
|
1,68
|
2,929
|
Рис. 5.4.1. Схема заміщення
проектуючої мережі Б.
Розрахунок втрат потужності [1] в
лініях виконуємо з кінця, також враховуємо втрати холостого ходу у
трансформаторах (наведені у таблицях 4.3.2-4.3.5 даного документу), при цьому
на підстанціях з двома трансформаторами втрати холостого ходу збільшуються
вдвоє, а опір обмоток зменшується, виконуємо розрахунок за формулою (4.4.5).
Розрахунок падіння напруги виконуємо із джерела живлення, при цьому напруга у
споживача не повинна відрізнятись більш ніж на 5% від номінальної у
відповідності з правилами [2], виконуємо розрахунок за формулами (4.4.5-4.4.8).
Процентне відхилення напруги у
споживача від номінального значення розраховуємо за формулою, %:
(5.4.1)
Таблиця 4.4.2. Результати розрахунків
у відповідністю з рис. 5.4.1.
|
Вузол
|
S, МВА
|
Uн , кВ
|
Uвузл, кВ
|
Процентне відхилення від Uн у споживача, %
|
|
8
|
0,53+j0,425
|
0,4
|
0,399
|
-0,315
|
|
7
|
0,537+j0,471
|
10
|
9,969
|
-
|
|
10
|
0,385+j0,309
|
0,4
|
0,398
|
-0,557
|
|
9
|
0,391+j0,343
|
10
|
9,945
|
-
|
|
6
|
58,945+j36,758
|
10
|
10,058
|
0,577
|
|
2
|
39+j12,819
|
10
|
9,837
|
-1,661
|
|
1
|
39,17+j16,032
|
110
|
107,734
|
-
|
|
4
|
49+j23,732
|
10
|
10,27
|
2,632
|
|
3
|
49,216+j28,031
|
110
|
112,484
|
-
|
|
12
|
33+j10,847
|
10
|
9,693
|
-3,163
|
|
11
|
33,164+j14,273
|
110
|
106,2
|
-
|
|
5
|
93,374+j56,234
|
110
|
110,159
|
-
|
|
А
|
191,135+j111,627
|
110
|
121
|
-
|
6. Техніко-економічне
порівняння двох схем електричної мережі
Завданням техніко-економічного
порівняння є вибір найкращого з двох що розглядаються. Критерієм цього є
мінімум приведених витрат, що визначаються за формулою [3] :
(6.1)
де: Рн - нормативний коефіцієнт
ефективності капітальних вкладень, що приймається рівним 0,12 [3];
К - капітальні витрати на
спорудження мережі;
І - річні експлуатаційні витрати.
6.1 Визначення капітальних витрат
У капітальні витрати на спорудження
мережі входять вартість ліній і підстанцій. До складу останніх включається
вартість трансформаторів, ВРУ і постійні витрати. При виконанні проекту всі
вони визначаються за укрупненими показниками вартості [6].
Вартість ліній визначається їх
довжиною, номінальною напругою, матеріалом і типом опор, районом по ожеледі і
перетином проводів. Вартість трансформаторів залежить від їх якості, типу,
потужності і напруги [3].
В даному проекті вартість РУ
напругою нижче 110 кВ не враховуються.
Таблиця 6.1.1. Капітальні та річні
експлуатаційні витрати ЛЕП схеми А.
|
Визначуваний показник
|
Ділянка мережі
|
|
|
А-1
|
1-2
|
А-3
|
1-3
|
А-4
|
|
|
Номінальна напруга, кВ
|
220
|
110
|
220
|
220
|
220
|
|
|
Марка проводу
|
АС240/32
|
АС70/11
|
АС240/32
|
АС240/32
|
АС240/32
|
|
|
Кількість ліній і довжина ділянки, км.
|
70
|
21,75
|
107,5
|
63,5
|
95,75
|
23,0
|
14,5
|
23,0
|
23,0
|
23,0
|
|
|
Всього капітальних витрат, у.од.
|
1750
|
315,3
|
2687,5
|
1587,5
|
2393,7
|
8734
|
|
Річні експлуатаційні витрати на амортизацію та
обслуговування.
|
%
|
2,8
|
2,8
|
2,8
|
2,8
|
2,8
|
|
|
у.од.
|
49
|
8,82
|
75,2
|
44,45
|
67
|
244,4
|
Таблиця 6.1.2. Капітальні та річні
експлуатаційні витрати підстанцій схеми А.
|
Визначуваний показник
|
Номер підстанції
|
|
|
1
|
2
|
3
|
4
|
|
|
Марка трансформатору
|
АТДЦТН -125000/220
|
ТД-40000/110
|
ТРДЦН-63000/220
|
ТРДЦН-63000/220
|
|
|
Вартість трансформаторів, у.од.
|
2×253
|
109
|
2×193
|
193
|
|
|
Постійні витрати, у.од.
|
360
|
130
|
240
|
240
|
|
|
Вартість ВРУ, у.од.
|
180
|
75,0
|
180
|
180
|
|
|
Всього капітальних витрат, у.од.
|
1046
|
314
|
806
|
613
|
2779
|
|
Річні експлуатаційні витрати на амортизацію та
обслуговування.
|
%
|
8,4
|
9,4
|
8,4
|
8,4
|
|
|
у.од.
|
87,86
|
29,5
|
67,7
|
51,5
|
236,56
|
Підрахувавши значення капітальних та
експлуатаційних витрат розраховуємо мінімум приведених витрат враховуючи
нормативний коефіцієнт ефективності капітальних вкладень за формулою (6.1):
Розрахунок капітальних та річних
експлуатаційних витрат схеми Б.
Таблиця 6.1.3. Капітальні та річні
експлуатаційні витрати ЛЕП схеми Б.
|
Визначуваний показник
|
Ділянка мережі
|
|
|
А-1
|
1-2
|
А-3
|
А-4
|
|
|
Номінальна напруга, кВ
|
110
|
110
|
110
|
110
|
|
|
Марка проводу
|
АС240/32
|
АС70/11
|
АС240/32
|
АС150/24
|
|
|
Кількість ліній і довжина ділянки, км.
|
81,2
|
21,75
|
124,7
|
95,75
|
|
|
Вартість 1 км. лінії, у.од.
|
30,6
|
14,5
|
30,6
|
16,0
|
|
|
Всього капітальних витрат, у.од.
|
2484,7
|
315,3
|
3815,8
|
1532
|
8147,8
|
|
Річні експлуатаційні витрати на амортизацію та
обслуговування.
|
%
|
2,8
|
2,8
|
2,8
|
2,8
|
|
|
у.од.
|
69,5
|
8,8
|
106,8
|
42,8
|
227,9
|
Таблиця 6.1.4. Капітальні та річні
експлуатаційні витрати підстанцій схеми Б.
|
Визначуваний показник
|
Номер підстанції
|
|
|
1
|
2
|
3
|
4
|
|
|
Марка трансформатору
|
ТРДЦН-80000/110
|
ТД-40000/110
|
ТРДЦН-63000/110
|
ТРДЦН-63000/110
|
|
|
Вартість трансформаторів, у.од.
|
2×126
|
109
|
2×110
|
110
|
|
|
Постійні витрати, у.од.
|
210
|
130
|
210
|
210
|
|
|
Вартість ВРУ, у.од.
|
75,0
|
36,3
|
75,0
|
75,0
|
|
|
Всього капітальних витрат, у.од.
|
537
|
275,6
|
505
|
395
|
1712,6
|
|
Річні експлуатаційні витрати на амортизацію та
обслуговування.
|
%
|
9,4
|
9,4
|
9,4
|
9,4
|
|
|
у.од.
|
50,3
|
25,9
|
47,4
|
37,1
|
160,7
|
Підрахувавши значення капітальних та
експлуатаційних витрат розраховуємо мінімум приведених витрат враховуючи
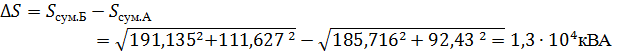
нормативний коефіцієнт ефективності капітальних вкладень. Також враховуємо
різницю потужності ΔS джерела
живлення між мережею А та Б за формулою:
Розраховуємо втрати потужності
ΔР у кВт·год. з тарифу на електроенергію [7, ст.
317], який визначаємо на підставі середнього значення показників Тм табл. 1.1.
пікового та непікового часів навантаження .
Розраховуємо мінімум приведених
витрат, включаючи ΔР
до річних експлуатаційних витрат
(6.1.1)
Найменші приведені затрати будуть
для схеми Б, тому вибираємо її як основну і проводимо подальший розрахунок.
7. Аварійний режим
роботи електричної схеми Б
Обрив одного з дротів двохланцюгової
лінії на ділянці А-5 рис. 5.4.1.
При аварійному режимі допустиме
відключення споживачів ІІІ категорії, у відповідності з ПУЕ, але не більше ніж
на 24 години. За цей час повинні бути виконані ремонтні роботи.
В аварійному режимі електричної
схеми Б опір проводів де виникла аварія збільшиться вдвічі, що спричинює втрату
потужності, а також значне відхилення напруги, що компенсується регулювальними
пристроями трансформаторів. У післяаварійному режимі напруга на джерелі
живлення приймається рівною режиму максимальних навантажень.
У аварійному режимі у відповідності
з правилами [2] дозволяється відхилення від номінальної напруги ±10%.
Розрахунок виконуємо аналогічно
пункту 4.4.
Таблиця 7.1 Результати розрахунків
аварійного режиму у відповідністю з рис. 5.4.1.
|
Вузол
|
S, МВА
|
Uн , кВ
|
Uвузл, кВ
|
Процентне відхилення від Uн у споживача, %
|
|
8
|
0,53+j0,425
|
0,4
|
0,396
|
-0,95
|
|
7
|
0,537+j0,471
|
10
|
9,905
|
-
|
|
10
|
0,385+j0,309
|
0,4
|
0,395
|
-1,204
|
|
9
|
0,391+j0,343
|
10
|
9,88
|
-
|
|
6
|
58,945+j36,758
|
10
|
9,992
|
-0,04
|
|
2
|
39+j12,819
|
10
|
9,837
|
-1,66
|
|
1
|
39,17+j16,032
|
110
|
107,734
|
-
|
|
4
|
49+j23,732
|
10
|
9,5
|
-4,5
|
|
3
|
49,216+j28,031
|
110
|
104,7
|
-
|
|
12
|
33+j10,847
|
10
|
9,21
|
-8,4
|
|
11
|
33,164+j14,273
|
110
|
106,2
|
-
|
|
5
|
93,374+j56,234
|
110
|
100,5
|
-
|
|
А
|
197,819+j141,57
|
110
|
121
|
-
|
Примітки: 1 - у відповідності з
табл. 5.3.2. увімкнено РПН на ступені +2·2,5%.
- у відповідності з табл. 5.3.1.
увімкнено РПН на ступені +5·1,78%.
Трансформатори з РПН, встановлені на
підстанціях 1-4, практично дозволяють для кожного характерного режиму вибрати
найбільш прийнятне регулювальне відгалуження. Трансформатори на підстанціях 5 і
6, які, як правило, не мають пристроїв РПН, але вони знаходиться на невеликій
відстані, що зменшує втрати напруги в лінії, і практично не потребує
регулювання.
8. Режим мінімального
навантаження електричної мережі схеми Б
Мінімальний режим, у відповідності
із завданням табл. 1.2 потужність споживачів дорівнює половині потужності
номінального режиму.
Розрахунок виконуємо аналогічно пункту
4.4.
Для забезпечення економічного режиму
роботи мережі рівень напруги в режимі мінімальних навантажень має бути нижче
[3, ст. 25], ніж в режимі максимальних навантажень.
Таблиця 8.1 Результати розрахунків
мінімального режиму у відповідністю з рис. 5.4.1.
|
Вузол
|
S, МВА
|
Uн , кВ
|
Uвузл, кВ
|
Процентне відхилення від Uн у споживача, %
|
|
8
|
0,265+j0,213
|
0,4
|
0,396
|
-0,933
|
|
7
|
0,269+j0,243
|
10
|
9,908
|
-
|
|
10
|
0,193+j0,154
|
0,4
|
0,396
|
-1,053
|
|
9
|
0,195+j0,172
|
10
|
9,896
|
-
|
|
6
|
29,468+j18,388
|
10
|
9,953
|
-0,471
|
|
2
|
19,5+j6,409
|
10
|
9,984
|
-0,157
|
|
1
|
19,587+j7,52
|
110
|
109,3
|
-
|
|
4
|
24,5+j11,866
|
10
|
10,099
|
0,983
|
|
3
|
24,598+j13,248
|
110
|
110,6
|
-
|
|
12
|
16,5+j5,423
|
10
|
9,774
|
-2,315
|
|
11
|
16,568+j6,475
|
110
|
107,045
|
-
|
|
5
|
46,553+j29,278
|
110
|
109,01
|
-
|
|
А
|
93,086+j39,887
|
110
|
115
|
-
|
Оскільки, з економічних розумінь,
напруга в режимі мінімальних навантажень знижена до 115 В, то необхідності у
використанні регулювальних пристроїв не виникло, відхилення напруги не
перевищує граничне допустиме значення.
Висновки
В процесі виконання курсового
проекту були досягнуті описані у вступі цілі і вирішені поставлені завдання.
Були знайдені потоки потужностей в
мережі при наступних випадках: максимальний, мінімальний і аварійний режим
роботи (при відключенні однієї з двох ліній ділянки А-5). Знайдені також
падіння потужностей в елементах мережі. Розглянуті величини напруги у вузлах
мережі з урахуванням подовжніх і поперечних складових падінь напруги на
ділянках мережі.
Значення напруги у вузлових точках
електричної системи мають допустимі відхилення у всіх трьох режимах роботи, що
відповідає правилам, та нормативним документам проектування. Ці відхилення
визначаються конфігурацією мережі, навантаженням та іншими чинниками, від яких
залежить падіння напруги. Тому компенсація реактивної потужності за допомогою
компенсуючих пристроїв для регулювання напруги не потрібна.
Доцільно зробити висновок, що всі
поставлені завдання вирішені повною мірою і робота задовольняє вимогам описаним
в [3].
Список використаних джерел
1.
Идельчик В. И. Электрические системы и сети. - Учебник для вузов. М.
Энергоатомиздат 1989, 592 с.
.
Правила устройства электроустановок. -М.: Энергоатомиздат, 1986.
.
Методические указания к курсовому проекту по курсу “Электрические системы и
сети”. Составитель - Лебединский И.Л. Сумы, СумГУ, 2005 г.
.
Ананичева С. С., А. Л. Мызин. Справочные материалы для курсового и дипломного
проектирования. Екатеринбург 2005.
.
Силовые трансформаторы. Технические сведения. Сумы СумГУ 2005. Составил
Лебединский И.Л.
.
Справочник по проектированию электроэнергетических систем./Под ред. И.М.
Шапиро, С.С. Рокотяна. -М.: Энергоатомиздат, 1986.
.
Конспект лекций по курсу «Электрические системы и сети». Преподаватель -
Лебединский И.Л. Сумы, СумГУ 2008 г.
.
Блок В.М. Электрические сети и системы. -М.: Высшая школа, 1986.