электромагнитный поле цилиндр волновод
Введение
Электромагнитное
поле - это вид материи, связанный с изменением и непрерывным взаимным
превращением магнитного и электрического полей и характеризующийся способностью
распространяться в вакууме со скоростью, близкой к
м/сек, способностью силового воздействия на заряженные
частицы, токи и на определенным образом ориентированную поверхность вещества.
Электромагнитное поле в одних случаях характеризуется непрерывным
распределением в пространстве, а в других случаях обнаруживает дискретность
своей структуры.
Теория электромагнитного поля представляет собой учение об электрических
и магнитных явлениях, о теоретических положениях и законах, которым подчиняются
эти явления, и о вытекающих из них методах расчета.
Изучение видов полей (электростатическое поле, электрическое поле
постоянного тока в проводящей среде, магнитное поле постоянного тока,
переменное электромагнитное поле) расширяет физические представления о поле,
известные из курса физики, способствует более глубокому пониманию процессов,
происходящих в электротехнических установках, а также важно с прикладной точки
зрения, поскольку оно дает возможность решать многие задачи, имеющие
существенное значение не только для теории электрических цепей.
При изучении переменного электромагнитного поля рассматриваются вопросы
излучения электромагнитной энергии, распространения электромагнитных волн в
идеальном диэлектрике, в проводящей и полупроводящих средах.
1. Расчет структуры осесимметричных стационарных электромагнитных полей
Общее задание.
Осесимметричное
тело радиуса R находится в однородном внешнем магнитном поле H0,
перпендикулярном к его оси. Заданы материальные характеристики окружающей
среды. Получить аналитические выражения для потенциалов
и
и полей
Hi и He, соответственно внутри и вне тела. Для заданных
численных значений параметров задачи построить семейство эквипотенциальных
линий (10 линий) в плоскости, перпендикулярной оси симметрии тела.
Найти
вектор магнитной индукции B в точке М.
Параметры
задачи
Бесконечный
проводящий цилиндр в магнитной среде,=3см=0,03м, H0=25
,
і=1,5*102,
е=4
Координаты
точки M: r=4см=0,04м,
=120°
Решение
Решение проводится в цилиндрических координатах, связанных с центром
основания цилиндра, r - радиус-вектор точки наблюдения, ось x направлена вдоль
приложенного магнитного поля (рис. 1.1).
При таком расположении цилиндра, потенциал поля не будет зависеть от
координаты z. Учитывая это, запишем уравнение Лапласа:
(1.1)
Как
внутри, так и вне цилиндра сторонних зарядов нет, поэтому следует решать
уравнение Лапласа
с соответствующими граничными условиями на
поверхности r=R.
(1.2)
После
подстановки выражения (1.2) в (1.1) получается
Помножая
на
получим:
Это
равенство не должно нарушаться, если одну из независимых переменных r или a произвольно менять, а другой придать произвольное, но постоянное
значение:
(1.3)
(1.4)
Этим самым решение уравнения (1.1) с частными производными сведено к
решению обыкновенных дифференциальных уравнений.
Прежде всего надо найти частные решения уравнений (1.3) и (1.4) для p=0.
Обозначим их M0 и N0, и в результате получим:
Т.
к. потенциал является четной функцией относительно a, т. е.:
то необходимо принять
Если
взять, согласно равенству (1.2), произведение функций
и
и
изменить обозначение постоянных, то можно получить частное решение уравнения
Лапласа в виде:
(1.5)
Пусть теперь постоянная разделения p в уравнениях (1.3) и (1.4) отлична
от нуля.
Для
решения уравнения (1.3) применим подстановку Эйлера
Первая и вторая производные соответственно будут
равны:
Подставим
производные в уравнение
или
(1.6)
Значение
p определим при интегрировании уравнения (1.4):
(1.6`)
Решение
его можно записать в виде
.
Убедимся
в этом путем подстановки и одновременно найдем значение p:
Следовательно,
p = 1.
После
нахождения числа p подставим его в (1.6) и найдем n:
и
Таким
образом, совместное решение уравнений (1.3) и (1.4) при p, не равном нулю, дает
следующее выражение для
(1.7)
Полное решение:
(1.8)
Найдем значения С1, С2, С3 и С4.
Величины, служащие для описания поля внутри цилиндра, обозначим с индексом i, а
величины, с помощью которых записывается потенциал во внешней по отношению к
цилиндру области, - с индексом e. Таким образом, для внутренней области:
(1.9)
Для внешней области:
(1.10)
Для визначення сталих інтегрування необхідно врахувати не лише граничні
умови на поверхні циліндра, а й поведінку потенціалу на нескінченності.
Потенціал
на нескінченності в цьому випадку має вигляд [4]:
Зіставимо останній вираз з (1.10):
Отже,
(1.11)
Розглянемо вираз потенціала
для внутрішньої області. Він повинен давати кінцеве значення для всіх точок всередині циліндра. Це можливо
лише тоді, коли
и
. Стала
, з точністю до якої
визначається потенціал, дорівнює
аналогічній константі
для зовнішньої
области.
Таким чином, для внутрішньої області:
(1.12)
Дві сталі
та
, що залишилися невідомими, будуть знайдені з
граничних умов. Із рівності
потенциалів
та
при r = R (тобто
) випливає, що
З рівності нормальних складових вектора
на
межі поділу випливає, що
,
тобто
.
,
Потенціал внутрішньої області дорівнює
, (1.13)
.
А потенціал зовнішньої
(1.14)
Напруженість поля всередині циліндра [1]
напрямлена вздовж осі x та не залежить від координат точки. Це значить,
що поле всередині циліндра однорідне.
Напруженість поля поза циліндром дорівнює [1]
Вектор
магнитной индукции в точке М (r=0,04м,
=120°):
.
Расчет структуры переменных электромагнитных полей в волноводе
Общее
задание
Для
заданного типа волны с начальной амплитудой поля E0 = 5кВ/см, распространяющейся в прямоугольном волноводе
сечением a´b,
получить аналитические выражения продольной и поперечных компонент полей в
комплексной форме записи и для мгновенных значений. Для численных параметров
задачи построить эпюры полей по осям x, y, z, а
также картину распределения полей в плоскостях xy и xz.
Рассчитать заданные характеристики полей и построить их зависимости от частоты.
Параметры
задачи
Волна
E45, a´b = 110´55 мм; ll = 20 мм; диэлектрическая проницаемость ee =
7. Рассчитать nф и nгр.
Решение
Оси координат расположим в соответствии с рис. 2.1.

Полость
волновода заполнена диэлектриком, электрическая проницаемость которого ee.
Длина волновода в направлении оси z не ограничена. Процесс распространения
электромагнитных волн в полости прямоугольного волновода рассматриваем,
полагая, что стенки волновода выполнены из сверхпроводящего материала (gg =
ҐҐ). При этом условии напряженность электрического поля на стенках волновода
будет равна нулю (плотность тока на стенках волновода dd = = ggE есть величина
конечная, поэтому при gg®®ҐҐ, E®®00).[2]
Электромагнитное
поле в волноводе описывается волновым уравнением:
(2.1)
где w - круговая
частота, eа и mа - абсолютные электрическая и магнитная проницаемости.
Для заданного типа волны выполняется следующее условие:
Ez ¹ 0, Hz = 0, m = 4,
n = 5.
Распространяющиеся в волноводе электромагнитные волны являются волнами,
бегущими вдоль оси волновода (оси z) и стоячими в двух остальных направлениях.
Тот факт, что волны являются бегущими вдоль оси z, в формально
математическом отношении находит свое выражение в том, что каждая из
составляющих волн, при записи ее имеет множитель exp(w*t-kp*z), где kp - коэффициент
распространения.
Если подставить в уравнение (2.1), то последнее разобьется на три
уравнения для проекций. Для проекции на ось z будем иметь следующее уравнение:
(2.2)
Упростим уравнение (2.3) путем подстановки решения вида:
, (2.3)
справедливого для гармонических процессов в волноводах [2], где
- продольный коэффициент распространения в волноводе, L ¹ l -
длина волны в волноводе. Множитель
выражает собой то обстоятельство, что
вдоль оси z движется бегущая волна.
Подставляем (2.3) в (2.2):
Заменим
и поделим на
. Получим:
(2.4)
Воспользуемся методом разделения переменных и искомую функцию представим
в виде:
(2.5)
и подставим в (2.4), получаем:
Разделим это уравнение на XY, получим:
(2.6)
Сумма двух функций
и
, из которых одна является функцией только x, а другая -
функцией только y, может равняться постоянному числу только в том случае, если
каждая из этих функций есть постоянное число. Перейдем от частных производных к
обыкновенным и положим:
Здесь через kx и ky обозначены постоянные разделения
(поперечные волновые числа), удовлетворяющие равенствам:
,
.
Исходя из соотношения (2.5), имеем выражение для амплитуды (волновой
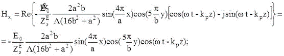
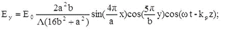
множитель опускаем) продольной составляющей электрического поля:
(2.7)
где
- начальная
комплексная амплитуда; kx, ky, jx и jy -
постоянные интегрирования.
Для нахождения поперечных компонент поля воспользуемся уравнениями
Максвелла в проекциях на оси координат[1,2]:
(2.8)
(2.11)
(2.9)
(2.12)
(2.10)
(2.13)
В силу того, что для E-волны
, то уравнения (2.8), (2.9),
(2.13) можно упростить,
убрав выражения, содержащие
:


Поскольку характер изменения полей по оси z задается выражением (2.4), то
в (2.8)-(2.13) примем, что:
.
Рассмотрим теперь уравнения (2.8) и (2.12)
как систему для
и
, а уравнения (2.9) и (2.11) -
и
:



(2.14)
Подставляя в (2.14) значение
,
получаем выражения для поперечных составляющих поля:
(2.15)
В соответствии с граничными условиями на стенках волновода
= 0 при x=0 и x=a, а
= 0 при y=0 и y=b. Тогда:
,
где n = 0, 1,
2, …
,
где m = 0, 1,
2, …
Окончательное выражение для составляющих
поля после подстановки найденных постоянных, а также после подстановки
, примет
вид:
Заменим wea:
,
где
-
эквивалентное сопротивление волновода для Е-волны [3];
-
волновое сопротивление неограниченной среды; fкр -
критическая частота.
Тогда:
Аналитические выражения для составляющих поля волны Е41
получаем из (2.16) при m = 4
и n = 5:
(2.16)
Для восстановления действительных значений необходимо компоненты полей
домножить на опущенный ранее волновой множитель
, перейти по формуле Эйлера [4] к
тригонометрической форме записи и взять действительную часть полученного
выражения:
Получили:
(2.17)
Длина волны в волноводе и эквивалентное сопротивление волновода для
Е-волны в общем случае определяются следующими соотношениями [1, 2]:
,
,
где
-
волновое сопротивление неограниченной среды; lакр -
критическая длина волны, которая равна:
Подставив значения, получаем:
Фазовая и групповая скорости в общем случае определяются следующими
соотношениями:
nф =
nгр = n
(2.18)
n ф=
= 32,2 ٠
107(м/с)
nгр =
=27,9 ٠
107 (м/с)
Для соотношений (2.17), (2.18) составляем блок-схему и программу расчета зависимостей компонент поля от координат
волновода и значений n ф и nгр от l.
Âûâîäû
1.
Ïðè
âûïîëíåíèè êóðñîâîé
ðàáîòû áûëè ïðèîáðåòåíû
íàâûêè ïî ðàñ÷åòó
ñòðóêòóðû ñòàöèîíàðíûõ
ïîòåíöèàëüíûõ
ïîëåé è ïåðåìåííûõ
ýëåêòðîìàãíèòíûõ
ïîëåé â íàïðàâëÿþùèõ
ñèñòåìàõ, à òàêæå
çàêðåïëåíû íàâûêè
îñíîâ ïðîãðàììèðîâàíèÿ
è ðàáîòû íà ïåðñîíàëüíûõ
êîìïüþòåðàõ.
 ñîîòâåòñòâèè
ñ çàäàíèåì íà
êóðñîâóþ ðàáîòó
áûëè âûâåäåíû
âûðàæåíèÿ äëÿ
ïîòåíöèàëà è
íàïðÿæåííîñòè
ïîëåé, ðàññ÷èòàíû
(ñ ïîìîùüþ ÝÂÌ)
ñåìåéñòâî ýêâèïîòåíöèàëüíûõ
ëèíèé äëÿ ïðîâîäÿùèé
öèëèíäð â ìàãíèòíîé
ñðåäå.
.  ñëó÷àå ïåðåìåííîãî
ýëåêòðîìàãíèòíîãî
ïîëÿ â ïðÿìîóãîëüíîì
âîëíîâîäå ïîëó÷åíû
àíàëèòè÷åñêèå
âûðàæåíèÿ äëÿ
ýëåêòðè÷åñêèõ
è ìàãíèòíûõ
êîìïîíåíò ïîëÿ,
ïîñòðîåíû èõ
ðàñïðåäåëåíèÿ
â ïîïåðå÷íîì è
ïðîäîëüíîì ñå÷åíèÿõ.
 ïîïåðå÷íûõ ñå÷åíèÿõ
âîëíîâîäà âäîëü
îñåé x, y îáðàçóþòñÿ
ñòîÿ÷èå âîëíû
â ðåçóëüòàòå
íàëîæåíèÿ ìíîãîêðàòíûõ
îòðàæåíèé îò
ñòåíîê âîëíîâîäà
ýëåêòðîìàãíèòíîãî
ïîëÿ. Äëèíà âîëíû
â âîëíîâîäå áîëüøå
äëèíû âîëíû â
ñâîáîäíîì ïðîñòðàíñòâå.
Ïðè òàêîì óñëîâèè
âîçìîæíî íîðìàëüíîå
ðàñïðîñòðàíåíèå
ýëåêòðîìàãíèòíûõ
âîëí (áåç çàòóõàíèÿ).
Ëèòåðàòóðà
1. Áåññîíîâ
Ë.À. Òåîðåòè÷åñêèå
îñíîâû ýëåêòðîòåõíèêè.
Ýëåêòðîìàãíèòíîå
ïîëå. Ì.: Âûñøàÿ
øêîëà, 1978.
. Äàðåâñêèé
À.È., Êóõàðêèí
Å.Ñ. Òåîðåòè÷åñêèå
îñíîâû ýëåêòðîòåõíèêè.
×.2. - Ì.: Âûñøàÿ øêîëà,
1965.
. Òàòóð
Ò.À. Îñíîâû òåîðèè
ýëåêòðîìàãíèòíîãî
ïîëÿ. Ñïðàâî÷íîå
ïîñîáèå. Ì.: Âûñøàÿ
øêîëà, 1989.
4. Ìåòîäè÷åñêèå
óêàçàíèÿ ê âûïîëíåíèþ
êóðñîâîé ðàáîòû.
Ñóìû: Ðèçîöåíòð
ÑóìÃÓ, 1998.
Ïðèëîæåíèå À
. Ïðîãðàììà äëÿ
ðàñ÷¸òà è ïîñòðîåíèÿ
ýêâèïîòåíöèàëüíûõ
ëèíèé è ïîëåé.
#include <iostream.h>
#include <math.h>
#include <graphics.h>
#include <conio.h>double eps0 = 8.85e-12;E0 = 350000;R
= 0.1;eps = 50;tau = 1e-8;r = 0.1;alpha =
60;Er();Ea();Calc_E();InitGr();DrawGr(int, int);DrawShape();Ponetial(int,
int);main()
{ int x = -100, y;();<<Calc_E();();();();(int
i=0;i<10;i++)
{ y = i*10;(x, y);}();();}Calc_E()
{ return sqrt(Er()*Er() + Ea()*Ea());}Er()
{ return
E0*(r*r/(R*R)+1)*cos(alpha)-tau/(2*M_PI*eps0*eps*R);}Ea()
{ return E0*(r*r/(R*R)-1)*sin(alpha);}Potential(int x, int y)
{ double r, x1, y1;= double(x);= double(y);=sqrt(x1*x1 +
y1*y1);= r;= asin(x1/R);Calc_E();}DrawGr(int x, int y)
{ double a1 = -1.57;Pot, Pot0;epsilon;= Potential(x, y);
{ x+=cos(a1);+=sin(a1);+=0.001;= Potential(x, y);(300 + x,300
- x,2);= Pot/10;} while(fabs(Pot - Pot0)>epsilon);}DrawShape()
{ setbkcolor(BLUE);(RED);(300, 300,
50);(150,300,450,300);(300,100,300,400);(WHITE);(0,0,getmaxx(),getmaxy());}InitGr()
{ int gdriver = DETECT, gmode, errorcode;
initgraph(&gdriver, &gmode, "");}
. Ïðîãðàììà äëÿ
ðàñ÷¸òà ýïþð
ýëåêòðîìàãíèòíûõ
ïîëåé.
#include <iostream.h>
#include <math.h>
#include <conio.h>
#include <fstream.h>f_cs(double, double);f_sc(double,
double);f_c(double);double Zc = 377;double c = 300000000;double step = 0.01;a,
b, E0;Ex, Ey, Hx, Hy, Ez, vf, vg;AA, BB, lambda_kr, lambda, Lamb;EHx, EHy, x,
y, i, kp, d, Ze;m, n;main()
{ clrscr();<<"Ââåäèòå E0: ";
cin>>E0;<<"Ââåäèòå lambda: ";
cin>>lambda;
cout<<"Ââåäèòå m:
"; cin>>m;
{ Ex = EHx*f_cs(i,b/4);= EHx*f_cs(i,b/4)/Ze;= EHy*f_sc(i,b);=
- EHy*f_sc(i,b)/Ze;<<i<<Ex<<Ey<<Hx<<Hy;+=step;}=
0;
{ Ex = EHx*f_cs(a,i);= EHx*f_cs(a,i)/Ze;= EHy*f_sc(a/4,i);= -
EHy*f_sc(a/4,i)/Ze;<<i<<Ex<<Ey<<Hx<<Hy;+=step;
} while(i>b);= 2*M_PI/Lamb;= 0;
{ Ex = EHx*f_c(i);= EHx*f_c(i)/Ze;= EHy*f_s(i);= -
EHy*f_s(i)/Ze;=
E0*sin(-kp*i);<<i<<Ex<<Ey<<Hx<<Hy<<Ez;+=step;
} while(i>50);= 0;
{ d = sqrt(1-i*i/(lambda_kr*lambda_kr));= 3/d;=
3*d;<<i<<vf<<vg;+=step;
} while(i>lambda_kr);0;}f_cs(double xx, double yy)
{ return cos(AA*xx)*sin(BB*yy);}f_sc(double xx, double yy)
{ return sin(AA*xx)*cos(BB*yy);}f_c(double xx)
{ return cos(-kp*xx);}
Áëîê-ñõåìà
Áëîê-ñõåìà äëÿ
ïðîãðàììû ðàñ÷åòà
ýêâèïîòåíöèàëüíûõ
ëèíèé è ïîëåé
Áëîê-ñõåìà äëÿ
ïðîãðàììû ðàñ÷åòà
ýïþð ýëåêòðîìàãíèòíûõ
ïîëåé
Ðàçìåùåíî
íà Allbest.ru