Особенности функционирования хозяйственных обществ
1. Организация как основной субъект
хозяйствования
1.1 Понятие и сущность организации. Её цели и
задачи
Организация - сознательно
координируемое социальное образование с определенными границами, которое
функционирует на постоянной основе для достижения общих целей. Организация -
активный, относительно независимый элемент общественной системы, через который
преломляются интересы индивида и общества.
Организация - образование
группы или отдельных лиц, взаимодействующих между собой и работающих для
достижения определенной цели.
Для организации
характерны следующие признаки:
комплексность, определяющая
степень разделения труда в организации, уровень специализации, количество
уровней иерархии;
формализация -
разработанные правила и процедуры, определяющие поведение работников; (что
можно и нельзя делать);
соотношение централизации
и децентрализации - уровни, на которых принимаются решения. Соотношение
централизации и децентрализации определяет тип и характер организационной
структуры управления.
Каждая организация имеет
миссию. Миссия - сформулированное утверждение относительно того, для чего и по
какой причине существует организация. Разработка миссии необходима для
выявления основной задачи фирмы, разработки на ее основе целей и критериев
принятия решений.
Для организации миссия
является точкой отсчета для принятия плановых решений (определить, для чего
существует компания); придает ясность цели, к которой движется организация (в
чем отличие данной компании от уже работающих на рынке); помогает
концентрировать усилия работников на достижение цели (согласованность интересов
всех лиц организации); вызывает понимание и поддержку внешних участников
организации, способствует созданию корпоративного духа организации.
В обобщенном виде миссия
представляет собой определение предлагаемых продуктов (услуг), место и роль
организации на рынке; цели организации; технологию, базовые взгляды и ценности,
сильные стороны, конкурентоспособность, ответственность перед партнерами и
потребителями, имидж и внешний вид. То, что компания собирается делать, куда
двигаться, и чем она хочет стать, и является миссией фирмы.
В зависимости от критерия
классификации выделяю следующие группы целей:
) период установления:
стратегические, тактические; оперативные;
) содержание:
экономические, организационные, научные; социальные, технические, политические;
) структурные:
маркетинговые, инновационные, кадровые; производственные, финансовые,
административные;
) среда: внутренние и
внешние;
) приоритетность: особо
приоритетные, приоритетные, внешние;
) измеримость
количественные и качественные;
) повторяемость: разовые
и постоянно повторяющиеся;
) иерархия: цели
организации, подразделения;
) стадии жизненного
цикла: проектирование и создание объекта, рост объекта; зрелость объекта;
завершение жизненного цикла объекта.
Миссия не изменяется на
протяжении всего цикла жизнедеятельности организации. Формирование новой миссии
ведет к формированию нового предприятия. Осуществляя свою миссию, предприятие
движется к достижению определенных целей (выживания, роста, доходности). Оно
выпускает продукцию (оказывает услуги), обретает знания, используют новые
технологии, что влечет за собой новый виток развития.
Задачи организации
традиционно делятся на три категории. Это работа с людьми, предметами
(машинами, сырьем, инструментами), информацией. Например, на обычном заводском
конвейере работа людей состоит из работы с предметами. Задача же мастера - это,
в основном, работа с людьми. В то же время, задачи казначея корпорации, в
основном, связаны с информацией.
Два других важных момента
в работе - это частота повторения данной задачи и время, необходимое для ее
выполнения. Машинная операция, например, может состоять в выполнении задачи по
сверлению отверстий тысячу раз в день. Чтобы выполнить каждую операцию,
требуется всего лишь несколько секунд. Исследователь выполняет разнообразные и
сложные задачи, и они могут вовсе не повторяться ни разу в течение дня, недели
или года. Для того чтобы выполнить некоторые из задач, исследователю требуется
несколько часов или даже дней. В общем, можно сказать, что управленческая
работа носит менее монотонный, повторяющийся характер, и время выполнения
каждого вида работы увеличивается по мере перехода управленческой работы от
низшего уровня к высшему.
1.2 Классификация организаций
Классификация организаций позволяет сгруппировать
их по сходным признакам или параметрам для выработки общих методов анализа
хозяйственной деятельности, совершенствования управления и регулирования.
Классификация и типология организаций необходима также для определения
государственной политики по отношению к различных типам предприятий (например,
налоговая политика, кредитная политика, политика государственной поддержки
бизнеса и пр.). По правовой форме можно выделить четыре типа организаций:
1. Юридическое лицо - это организация,
которая имеет печать, расчетный счет в банке, имеет в собственности
обособленное имущество, отвечает по своим обязательствам этим имуществом, может
от своего имени осуществлять имущественные и личные неимущественные права,
выполняет возложенные обязанности, имеет самостоятельный баланс, может быть
истцом и ответчиком в суде, зарегистрирована в государственных органах власти.
2. Неюридическое лицо - подразделения
организации - юридического лица (не зарегистрировано).
. Неюридическое лицо - предприниматель без
организации юридического лица (зарегистрировано).
. Неформальная организация граждан - это
объединение людей, не связанных между собой формальными договоренностями о
правах и обязанностях, они не регистрируются в государственных органах.
Всем формам организаций присущи общие черты:
˗ наличие хотя бы
одного сотрудника; наличие хотя бы одной общей цели, направленной на
удовлетворение потребностей и интересов человека или общества;
˗ получение
прибавочного продукта в разных формах (материалы, услуги, информация, духовная
пища);
˗ преобразование
ресурсов в ходе деятельности (финансы, сырье, оборудование, знания,
информация).
Классификация организаций проводится по самым
разным признакам: по размеру, по форме собственности, по источникам финансирования,
по признаку формализации, по отношению к прибыли, по организационно-правовой
форме и др.
Перечислим основные признаки классификации
организаций:
˗ по отношению к власти -
правительственные и неправительственные;
˗ по отношению к главной цели - общественные
и хозяйственные;
˗ по отношению к прибыли -
коммерческие и некоммерческие;
˗ по отношению к бюджету - бюджетные
и внебюджетные;
˗ по форме собственности -
государственные, муниципальные, общественные, частные и организации со
смешанной формой собственности;
˗ по уровню формализации - формальные
и неформальные;
˗ по отраслевой принадлежности -
промышленные, транспортные, сельскохозяйственные, торговые и пр.;
˗ по самостоятельности принятия
решений - головные, дочерние, зависимые;
˗ по размеру и численности членов
организации - крупные, средние, малые.
Наверное, существует еще много признаков, по
которым можно классифицировать организации, например, по территориальной
принадлежности, по политической ориентации и т.п. Общественные организации
создаются для удовлетворения социальных потребностей и интересов членов
общества: политические партии, союзы, блоки, правозащитные организации и др.
Осуществляют добровольно общественную деятельность, например, «Экология и мир»,
«Столичное собаководство», «Гринпис», «Союз потребителей» и пр. Хозяйственные
организации удовлетворяют потребности индивидуума и общества путем
хозяйственно-производительной деятельности. В свою очередь они подразделяются
на производственные, научно-производственные, посреднические и др.
Правительственная организация (ПО) - такой статус
дается официальными органами власти федерального или местного уровней. К
правительственным организациям относятся организации, зафиксированные в
Конституции, указах Президента, например, министерства, государственные
комитеты, Администрация Президента, префектуры, районные управы и пр. На эти
организации распространяются различные привилегии и определенные жесткие
требования (привилегии - финансирование, льготы, социальное обеспечение;
требования - государственный чиновник не имеет права возглавлять коммерческие
структуры, не имеет права использовать привилегии в целях собственной выгоды
либо личной выгоды своих сотрудников. Неправительственные организации - это те,
которые не имеют статуса ПО.
Коммерческие организации - организации, ставящие
своей целью получение прибыли в интересах учредителей или акционеров.
Некоммерческие организации - ставят целью удовлетворение общественных
потребностей. Несмотря на то что цели их носят некоммерческий характер, они могут
заниматься предпринимательством и получать прибыль, идущую на текущие расходы.
Полученная прибыль идет не учредителям, а используется на развитие организации,
прибыль не облагается налогом. Бюджетные организации - источником
финансирования таких организаций является государственный бюджет или бюджет
государственного органа. Бюджетные организации освобождаются от многих налогов,
в том числе от НДС.
Небюджетные организации - сами изыскивают
источники финансирования, в том числе источником финансирования может быть
бюджет, а инвестором - бюджетная организация.
По форме собственности различают государственные,
общественные организации и организации со смешанной формой собственности.
Государственные организации полностью или
частично находятся под контролем государственных органов власти.
Частные организации - это организации, созданные
индивидуальными предпринимателями: товарищества, кооперативы, фермерские
хозяйства, а также созданные за счет взносов акционеров: акционерные общества,
хозяйственные товарищества и др.
Организации со смешанной собственностью
образуются на основе сочетания различных форм собственности: государственной,
частной, иностранной.
По уровню формализации различают формальные и
неформальные организации.
Формальные организации - это зарегистрированные в
установленном порядке общественные и хозяйственные организации. Это объединение
людей, связанных договором о своих правах и обязанностях. Формальные
организации могут иметь статус юридического или неюридического лица.
Неформальные организации - незарегистрированные в государственных органах
власти. Это объединение людей, не связанных между собой формальными
договоренностями о правах и обязанностях, они не регистрируются в
государственных органах, создаются на базе общих интересов в области культуры,
быта, спорта и пр. (группа туристов, объединение друзей бега и т.п.). Признак
формирования неформальной организации - появление неформального лидера.
Появление сильного лидера увеличивает шансы перерастания неформальной
организации в формальную.
2.
Особенности функционирования организаций в РБ
2.1 Особенности
функционирования государственных организаций
Государственным унитарным
предприятием признается коммерческая организация, не наделенная правом
собственности на закрепленное за ней собственником имущество. Имущество
унитарного предприятия является неделимым и не может быть распределено по
вкладам (долям, паям), в том числе между работниками предприятия.
Устав унитарного
предприятия должен содержать следующие сведения: наименование юридического
лица, место его нахождения, цели деятельности, порядок управления деятельностью
юридического, предмет деятельности юридического лица.
В учредительном договоре
учредители обязуются создать государственное унитарное предприятие, определяют
порядок совместной деятельности по его созданию, условия передачи ему своего
имущества и участия в его деятельности. Договором определяются также условия и
порядок распределения между участниками прибыли и убытков, управления
деятельностью юридического лица, выхода учредителей (участников) из его
состава. В учредительный договор по согласию учредителей могут быть включены и
другие условия, сведения о предмете и целях деятельности предприятия, а также о
размере уставного фонда предприятия, порядке и источниках его формирования.
Государственные
предприятия, как и предприятия других организационно-правовых форм, вступают в
экономические отношения, как с другими хозяйствующими субъектами рынка, так и с
государством (муниципальными органами).
При этом с первыми они
строятся на принципах товарного обмена, единых для всех типов производств, и
подчиняются законам рынка.
Взаимоотношения
государственных предприятий с государством, имеющие в своей основе отношения по
использованию общественной собственности, регулируются иными нормами и
законами. В результате государство вводит определенные ограничения на поведение
государственных и муниципальных предприятий как хозяйствующих субъектов рынка.
Тем самым ослаблено
воздействие рыночных рычагов и требуется иной механизм его обеспечения, учитывающий
особенности функционирования государственных муниципальных предприятий,
обусловленные общественным характером потребления произведенного ими продукта.
Такой механизм можно
построить, рассматривая деятельность данного предприятия как результат взаимодействия
трех подсистем: государства как собственника, самого предприятия как
хозяйствующего субъекта и государства как представителя общества, потребляющего
продукт предприятия (в лице муниципальных органов).
Это, в свою очередь,
требует четкого разделения понятий «субъект собственности», «субъект
хозяйствования» и «субъект общественного потребления», определения их целей,
функций и полномочий в сфере деятельности государственных муниципальных
предприятий, определения факторов их взаимодействия и прямого и косвенного
влияния на результаты работы предприятия.
2.2 Хозяйственные
товарищества
Хозяйственные товарищества могут
создаваться в форме «полного товарищества» и «товарищества на вере» (иначе -
«коммандитные товарищества»). Число участников не может быть менее двух.
Участниками полных и коммандитных товариществ могут быть как индивидуальные
предприниматели, так и коммерческие организации. Имущество таких товариществ
создается за счет разделенных на доли вкладов участников, а капитал,
необходимый для ведения дела, называется «складочным капиталом».
Полное товарищество предусматривает очень
тесную взаимосвязь объединяющихся. От того, как действует каждый из них,
зависит общее благополучие. Имущество товарищества, а также его приращение
является собственностью товарищества. Вкладом в складочный капитал могут быть
деньги, ценные бумаги, вещи, а также имущественные права, имеющие денежную
оценку. Управление таким товариществом осуществляется по общему согласию
«участников-товарищей». Но учредительным договором о создании товарищества
может быть предусмотрен и другой принцип принятия решения - например, с учетом
весомости сделанного в товарищество вклада. Распределение прибыли и убытков в
полных товариществах производится пропорционально долям в складочном капитале.
Ответственность за результаты хозяйственной деятельности товарищи несут
«солидарную» и «субсидиарную».
Солидарная ответственность означает единую
для всех, т.е. независимо от того, к кому обращено требование.
Субсидиарная ответственность означает дополнительную
ответственность всех «товарищей», пропорционально размеру их вклада. Так, если
имущества товарищества недостаточно для погашения долгов, «товарищи» отвечают
лично принадлежащим им имуществом пропорционально сделанным в организацию
товарищества вкладам.
Вторая группа организационно-правовых
форм, в которых выступает коллективное предпринимательство, - «хозяйственные
общества», они подразделяются на:
общества с ограниченной ответственностью;
общества с дополнительной
ответственностью;
акционерные общества.
2.3 Особенности
функционирования хозяйственных обществ
Одной из самых востребованных в экономическом обороте
правовых форм коммерческих организаций является хозяйственное общество, которым
признается коммерческая организация, создаваемая двумя или более лицами путем
объединения их имущества для ведения предпринимательской деятельности.
Хозяйственное общество - это коммерческая организация,
уставный фонд которой формируется одним или несколькими физическими или
юридическими лицами путем внесения своих долей (или полной величины уставного
капитала, если в качестве учредителя выступает одно лицо). В качестве долей
могут рассматриваться денежные или материальные средства, интеллектуальный
капитал, ценные бумаги или имущественные права, имеющие денежную оценку.
Учредителями
хозяйственного имущества могут быть физические лица, коммерческие и
некоммерческие организации. Участниками общества являются также лица, получившие право
собственности на долю в уставном фонде (акции) уже созданного хозяйственного
общества.
В соответствии с
закрепленными в нормативных правовых актах основными правами, являющимися по
своей природе либо имущественными, либо неимущественными, но связанными с
имущественными и сопутствующими им, участники хозяйственного общества имеют
право:
˗ участвовать
в управлении деятельностью хозяйственного общества лично либо выдать в
порядке, установленном нормами законодательных актов (стст. 186-190 ГК)
доверенность другим лицам на участие в управлении деятельностью хозяйственного
общества, за исключением случаев, предусмотренных нормой ч. 3 ст. 71 Закона о
хозяйственных обществах (имеется в виду случаи участия владельцев
привилегированных акций в общем собрании акционерного общества при принятии
решений: 1) о реорганизации и ликвидации акционерного общества; 2) о внесении в
устав акционерного общества изменений и (или) дополнений, ограничивающих их права)
˗ получать
информацию о деятельности хозяйственного общества и знакомится с его
бухгалтерскими книгамии иной документацией в объеме и порядке, установленных
учредительными документами;
˗ принимать
участие в распределении прибыли хозяйственного общества;
˗ получать в
случае ликвидации хозяйственного общества часть имущества, оставшегося после
расчетов с кредиторами, или его стоимость;
˗ осуществлять
иные права, закрепленные в Законе о хозяйственных обществах, иных нормативных
правовых актов и учредительных документах хозяйственного общества.
Участники хозяйственного
общества обязаны:
) вносить в уставный фонд
хозяйственного общества вклады в порядке, размерах, способами и в сроки,
предусмотренные учредительными документами;
) не разглашать
конфиденциальную информацию о деятельности хозяйственного общества, полученную
в связи с участием в хозяйственном обществе;
) выполнять иные
обязанности, связанные с участием в хозяйственном обществе, предусмотренные
нормами Закона о хозяйственных обществах, иных законодательных актов и
учредительных документов хозяйственного общества.
Действующие нормы
гражданского права предусматривают возможность создания трех видов
хозяйственных обществ: общества с ограниченной ответственностью (ООО), общества
с дополнительной ответственностью (ОДО) и акционерных обществ (закрытого и
открытого типа).
3.
Расчётная часть
3.1 Трудовые
ресурсы организации
Основными показателями эффективности использования трудовых
ресурсов являются следующие показатели:
1. Среднегодовая выработка в стоимостном выражении,
которая рассчитывается по формуле:


;
где ВП - объём выпущенной продукции в стоимостном выражении,
млн. руб.;
Чппп - численность промышленно - производственного персонала,
чел.
. Среднедневная выработка, которая определяется по
формуле:

где
- число рабочих дней, дни.
3. Среднечасовая выработка, рассчитываемая по формуле:

где ВП - объём выпущенной продукции в стоимостном выражении, тыс.
руб.;

- продолжительность рабочей смены, часы.
Полученные данные сводим в таблицу 3.1.
Таблица 3.1 - Показатели использования производительности
труда
|
Показатели
|
Значение
|
|
Среднегодовая
выработка,  0,69
|
|
|
Среднегодовая
выработка, шт./чел
|
12,94
|
|
Среднедневная
выработка,  0,0029
|
|
|
Среднедневная
выработка, шт./чел.-дн.
|
0,0539
|
|
Среднечасовая
выработка,  0,0003
|
|
|
Среднечасовая
выработка, шт./чел.-час.
|
0,0067
|
.2 Основные фонды предприятия
Понятие и состав основных фондов
При начислении амортизации, расчете показателей эффективности
использования основных фондов, расчете показателей движения основных фондов
используется среднегодовая стоимость основных фондов.
Для расчёта среднегодовой стоимости основных фондов
необходимо заполнить таблицу 3.2.
Таблица 3.2 - среднегодовая стоимость основных фондов в
миллионах рублей
|
Стоимость
основных фондов на начало периода
|
Стоимость
вводимых основных фондов
|
Стоимость
выбывших основных фондов
|
Стоимость
основных фондов на конец периода
|
Средне годовая
стоимость основных фондов
|
|
650
|
15
|
5
|
660
|
663,3333
|
. Среднегодовую стоимость основных фондов рассчитать
по формуле:

где 
- стоимость основных фондов на начало года, млн. руб.;

- стоимость вводимых основных фондов, млн. руб.;

- стоимость выбывших основных фондов, млн. руб.;

- число полных месяцев до конца года, когда основные фонды не
работают.
Основными показателями эффективности использования основных
фондов являются следующие показатели:
1. Фондоотдача

где ВП - объём выпущенной продукции, млн. руб.
2. Фондоёмкость

. Фондовооруженность
где Ч - численность работников, чел.
К показателям движения основных фондов относят:
. Коэффициент ввода

где 
- стоимость основных фондов на конец года.
. Коэффициент выбытия
где 
- стоимость основных фондов на начало года.
. Коэффициент износа

где И- износ основных фондов.
. Коэффициент прироста
Полученные данные сводим в таблицу 3.3.
Таблица 3.3 - Показатели использования основных фондов
|
Показатели
|
Значения
|
|
Фондоотдача  0,2080
|
|
|
Фондоёмкость  4,8067
|
|
|
Фондовооружённость
 
|
|
|
Коэффициент
ввода
|
0,0227
|
|
Коэффициент
выбытия
|
0,0077
|
|
Коэффициент
износа
|
|
|
Коэффициент
прироста
|
0,0151
|
Расчет амортизационных отчислений линейным
методом.
Линейный способ - заключается в равномерном начислении
амортизации на протяжении срока полезного использования основных фондов. При
этом способе годовая сумма амортизационных отчислений определяется путем умножения
амортизируемой стоимости на годовую норму амортизации
. Норма амортизации рассчитывается по формуле:

где СПИ - срок полезного использования, лет.
Срок полезного использования (СПИ) - период времени, на протяжении
которого предприятие предполагает использовать объект основных средств.
2. Амортизационные отчисления рассчитываются по
формуле:

А
где 
- среднегодовая стоимость основных фондов, млн. руб.
Полученные в результате расчетов данные сводим в таблицу 3.4.
Таблица 3.4 - Ежегодные амортизационные отчисления линейным
методом
|
Амортизационная
стоимость основных фондов, млн. руб.
|
Норма
амортизации, %.
|
Сумма
амортизационных отчислений, млн. руб.
|
|
663,33
|
11,11
|
|
3.3 Оборотные
средства предприятия
Основными показателями эффективности использования оборотных
средств являются следующие показатели:
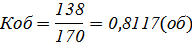
. Коэффициент оборачиваемости рассчитать по формуле:

где ВП - выпуск продукции, млн. руб.;
Со - средний остаток оборотных средств, руб.
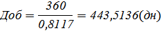
2. Длительность одного оборота рассчитать по формуле:
где Д - продолжительность планового расчетного периода.
. Материалоемкость продукции рассчитывается по
формуле:
где МЗ - материальные затраты, руб.;
ВП - объём выпущенной продукции в стоимостном выражении, млн.
руб.
Полученные данные сводим в таблицу 3.5.
Таблица 3.5 - Показатели использования оборотных средств
|
Показатели
|
Значение
|
|
Коэффициент
оборачиваемости, об.
|
0,8117
|
|
Длительность
одного оборота, дни
|
443,5136
|
|
Материалоёмкость,
руб./руб.
|
1,7391
|
3.4 Себестоимость продукции
Классификация затрат по экономическим элементам
служит
для определения заданий по снижению себестоимости продукции, расчета
потребностей в оборотных средствах, расчета сметы затрат, а также для
экономического обоснования инвестиций.
Группировка затрат по экономическим элементам определяет
абсолютные суммы затрат на производственную деятельность предприятия, но она не
дает возможность определить себестоимость единицы продукции конкретного вида.
Расчёт себестоимости продукции оформляем в виде таблицы 3.6.
Таблица 3.6 - Себестоимость продукции в миллионах рублей
|
Наименование
экономических элементов
|
Показатель
|
|
Материальные
затраты, млн. руб.
|
240
|
|
Расходы на
оплату труда, млн. руб.
|
196,8
|
|
Отчисления в
ФСЗН, млн. руб.
|
6,6912
|
|
Отчисления в
БГС, млн. руб.
|
1,1808
|
|
Амортизация
основных фондов и нематериальных активов, млн. руб.
|

|
|
Прочие затраты,
млн. руб
|
165
|
|
Итого
|
518,3683
|
. Рассчитать отчисления в фонд социальной защиты населения по
формуле:

где ФЗП - фонд заработной платы работников, млн. руб.;

- ставка отчислений в фонд социальной защиты населения, %.
1. Рассчитать отчисления в Белгосстрах по формуле:

Где Сбгс - ставка отчислений в Белгосстрах, %.
2. Рассчитать структуру себестоимости в процентах.
Таблица 3.7 - Структура себестоимости в процентах.
|
Наименование
экономических элементов
|
%
|
|
Материальные
затраты, млн. руб.
|
35,12
|
|
Расходы на
оплату труда, млн. руб.
|
28,80
|
|
Отчисления в
ФСЗН, млн. руб.
|
0,17
|
|
Отчисления В
БГС, млн. руб.
|
0,98
|
|
Амортизация
основных фондов и нематериальных активов, млн. руб.
|
10,78
|
|
Прочие затраты,
млн. руб.
|
24,15
|
|
Итого
|
100
|
Для анализа необходимо построить круговую диаграмму структуры
себестоимости.
Расчет себестоимости продукции методом
калькуляции.
Для внутрипроизводственного планирования и выявления резервов
снижения себестоимости продукции необходимо знать не только общую сумму затрат
каждого предприятия по тому или иному экономическому элементу, но и величину
расходов в зависимости от места их возникновения. Такую возможность дает классификация
затрат по калькуляционным статьям.
Для исчисления себестоимости отдельных видов продукции
затраты предприятия группируются по статьям калькуляции.
Выделяют 12 статей калькуляции. Итог первых 8 статей образует
цеховую себестоимость.
Расчёт себестоимости продукции необходимо оформить в виде
таблицы 3.8.
Таблица 3.8 - Себестоимость продукции в миллионах рублей
|
Наименование
статей калькуляции
|
Показатели,
млн. руб.
|
|
Затраты на
сырье и материалы
|
20
|
|
Возвратные
отходы
|
0
|
|
Покупные
изделия и полуфабрикаты
|
0
|
|
Затраты на
топливо и электроэнергию
|
13
|
|
Основная
заработная плата
|
160
|
|
Дополнительная
заработная плата
|
36,8
|
|
Отчисления в
ФСЗН
|
|
|
Отчисления в
БГС
|
|
|
Общепроизводственные
расходы
|
124,8
|
|
Общехозяйственные
расходы
|
|
|
Потери от брака
|
0
|
|
Производственная
себестоимость
|
421,0928
|
|
Коммерческие
расходы
|
31,6951
|
|
Полная
себестоимость
|
|
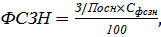
. Определить размер дополнительной заработной платы:
З / Пдоп = 
(3.19)
Где З / Посн - основная заработная плата производственных
рабочих, млн. руб.
Сдопз/п - процент дополнительной заработной платы.
. Рассчитать отчисления в фонд социальной защиты
населения по формуле:

где ФЗП - фонд заработной платы работников, млн. руб.;

- ставка отчислений в фонд социальной защиты населения, %.
3. Рассчитать отчисления в белгосстрах по формуле:
Где Сбгс - ставка отчислений в Белгосстрах, %.
. Определить размер общепроизводственных расходов:
ОПР = 
(3.22)
Где Сопр - процент распределения общепроизводственных
расходов.
. Определить размер общехозяйственных расходов.
ОХР = 
(3.23)
Где Сохр - процент распределения общехозяйственных расходов.
. Определить размер коммерческих расходов.
КР = 
(3.24)
Где С / Спр - производственная себестоимость продукции.
Скр - процент распределения коммерческих расходов.
Производственная себестоимость определяется как сумма 11
статей калькуляции за вычетом возвратных отходов.
. Определить полную себестоимость продукции.
С / Спл = С / Спр + КР (3.25)
Заключение
В условиях рыночной системы хозяйствования в отличие от
плановой, предприятие стремится производить те товары и оказывать те услуги, которые
приносят ему наибольшую прибыль. Последнее зависит, с одной стороны, от
правильности установления спроса на те товары, которые может производить
предприятие, а с другой - от его производительности в целом, НТП, уровня
организации производства и труда, степени конкуренции и т.д. На практике это
означает, что каждое предприятие в силу объективных и субъективных причин
должно искать свой путь развития, свою организацию и свои формы хозяйствования.
А это во многом зависит от организационных сторон владения и распоряжения
производственными факторами. Ведь именно с последними связано присвоение
результатов производства, характер которого определяется формами собственности
на средства производства, т.е. возможностью распоряжаться ими по собственному
усмотрению. Как показывает практика, здесь возможны следующие варианты:
˗ Субъект организации
одновременно является производителем и владельцем факторов производства;
˗ Субъект владеет
материальными условиями производства, не является производителем, но трудится как
организатор производства;
˗ Субъект владеет
средствами производства, но передаёт другому лицу возможность быть его
организатором.
Определяющим в их экономическом поведении является степень
оперирования своими возможностями, чтобы производить товары и оказывать услуги
и на этой основе получать доход.
Список источников
1. Гражданский кодекс Республики Беларусь от 7.12.1998 г.,
№327 (в ред. от 08.07.2008 г. №366-З).
. Конституция Республики Беларусь 1994 года (с изменениями и
дополнениями). Принята на республиканском референдуме 24 ноября 1996 года.
. Альбеков, А.У. Экономика коммерческого предприятия. Серия
«Учебники, учебные пособия»/ А.У. Албеков, С.А. Сагомонян - Ростов н/Д: Феникс,
2008.
. Байнев, В.Ф. Экономика предприятия и организация
производства: Учеб. пособие./В.Ф. Байнев-Мн.: БГУ, 2006.
. Горфинкель, В.Я. Экономика предприятия/ В.Я. Горфинкель,
В.А. Швандар ред. - ЮНИТИ, 2007.
. Руденко, А.И. Экономика организации / А.И. Руденко, Я.А.
Александрович, А.П. Дубинина - Мн.: БГЭУ, 1996.
8.
Интернет-портал Национальной библиотеки РБ/ [Электронный ресурс] http://www.nlb.by - Дата доступа:
20.04.2013.
организация
амортизационный себестоимость государственный