Обґрунтування виробничої програми підприємства

  • Вид работы:
    Курсовая работа (т)
  • Предмет:
    Эктеория
  • Язык:
    Украинский
    ,
    Формат файла:
    MS Word
    381,41 Кб
  • Опубликовано:
    2013-10-14
Вы можете узнать стоимость помощи в написании студенческой работы.
Помощь в написании работы, которую точно примут!

Обґрунтування виробничої програми підприємства

МІНІСТЕРСТВО ОСВІТИ І НАУКИ МОЛОДІ ТА СПОРТУ УКРАЇНИ

ДОНБАСЬКИЙ ДЕРЖАВНИЙ ТЕХНІЧНИЙ УНІВЕРСИТЕТ

Кафедра економіки і управління








КУРСОВА РОБОТА

з дисципліни «Економіка підприємства»

на тему: «Обґрунтування виробничої програми підприємства»

Варіант №9

Виконала: ст. гр. ЕП-10-2

Марченко І.О.

Перевірила: Уляницька О.Ю.






м. Алчевськ, 2012

Зміст

Вступ

І. Теоретична частина

Обґрунтування виробничої програми підприємства

. Поняття виробничої програми підприємства

. Особливості формування виробничої програми підприємства в умовах ринку

. Елементи формування виробничої програми підприємства

. Показники виробничої програми підприємства

. Ресурсне обґрунтування виробничої програми підприємства

. Місце виробничої програми у системі планів господарсько-фінансового розвитку підприємства

. Задачі розроблення виробничої програми

ІІ. Розрахункова частина

2.1 Складання кошторису витрат на виробництво і реалізацію продукції

2.1.1 Розрахунок вартості основних матеріалів

.1.2 Розрахунок паливно-енергетичних витрат

2.1.3 Розрахунок фонду оплати праці основних робітників

.1.4 Розрахунок відрахувань на соціальні заходи

2.1.5 Розрахунок вартості основних виробничих фондів і фонду

амортизаційних відрахувань

2.1.6 Розрахунок кошторису витрат на утримання і експлуатацію

обладнання

.1.7 Розрахунок кошторису цехових витрат

2.1.8 Розрахунок кошторису загальновиробничих витрат

2.2 Складання калькуляції собівартості продукції

2.3 Ціноутворення

.4 Формування прибутку

.5 Капіталовкладення у розвиток виробництва

.6 Зниження собівартості виробів

.7 Річна економія від зниження собівартості виробів

.8 Розрахунок строку окупності капіталовкладень

2.9 Визначення точки беззбитковості при виборі інвестиційної стратегії підприємства

Висновок

Список використаної літератури

Додатки

Вступ

виробнича програма кошторис беззбитковість

Виробнича програма підприємства (план виробництва і реалізації продукції) - це заздалегідь запланований підприємством певний обсяг випуску продукції визначеного асортименту і якості.

Асортимент продукції - це набір різновидів продукції (послуг), яку виготовляє (надає) підприємство.

При плануванні виробництва і реалізації продукції використовують натуральні, умовно-натуральні, вартісні та трудові (нормативну трудомісткість) показники вимірювання обсягу виробництва.

Система вартісних показників застосовується для визначення обсягів реалізованої, товарної і валової продукції.

Реалізована продукція - це вартість готових виробів і напівфабрикатів власного виробництва, а також робіт промислового характеру, за які одержано оплату.

Згідно з договором підприємство може встановлювати порядок, за яким виторг від реалізації продукції (робіт, послуг) визначається за вартістю відвантаженої продукції (виконаних робіт, послуг), вказаної в оформлених для оплати покупцем (замовником) розрахункових документах.

Товарна продукція - вартість виготовлених для продажу (відпуску) на сторону готових виробів, напівфабрикатів і послуг промислового характеру. Валова продукція - це вартість всієї готової і незакінченої продукції, незалежно від ступеня її готовності.

В процесі планування виробничої програми підприємство керується трьома найважливішими критеріями, які визначають економічну ефективність вибраного асортименту продукції. Це динаміка обсягу збуту продукції на ринку, ступінь стабільності обсягу реалізації і рівень норми маси прибутку, який передбачається одержати підприємством.

Отже, досить актуальною є тема курсової роботи:

“Виробнича програма підприємства, вади і переваги використаних показників”.

Мета курсової роботи - визначити доцільність виробничої програми підприємства, а також вади та переваги використаних показників.

Предмет дослідження - виробнича програма підприємства.

Завдання курсової роботи:

надати загальну характеристику виробничій програмі підприємства;

визначити поняття виробничої програми;

з’ясувати структуру виробничої програми;

обчислити основні економічні показники виробничої програми підприємства;

проаналізувати ефективність використання основних засобів згідно до діючої виробничої програми підприємства.

І. Теоретична частина

Обґрунтування виробничої програми підприємства

1. Поняття виробничої програми підприємства

Виробництво і реалізація продукції для забезпечення потреб населення є метою діяльності підприємства, за умови, що підприємство одержує прибуток. Тому планування виробництва і реалізації продукції є основним розділом тактичного плану, на основі якого складається виробнича програма підприємства.

Отже, виробнича програма - це система адресних завдань з виробництва і доставки продукції споживачам у розгорнутій номенклатурі, асортименті, відповідної якості і у встановлені терміни згідно з договорами поставок.

Основним завданням виробничої програми є максимальне задоволення потреб споживачів у високоякісній продукції, яка випускається підприємствами при найкращому використанні їх ресурсів та отриманні максимального прибутку. З метою вирішення цього завдання в процесі розробки виробничої програми на всіх рівнях потрібно дотримуватися таких вимог:

правильного визначення потреби в продукції, що випускається, і обґрунтування обсягу її виробництва попитом споживача;

повного ув'язування натуральних і вартісних показників обсягів виробництва і реалізації продукції;

обґрунтування плану виробництва продукції ресурсами і, насамперед, виробничою потужністю.

Виробнича програма включає в себе:

план виробництва продукції (за номенклатурою, асортиментом, кількістю та терміном постачань);

план збуту продукції;

розрахунок виробничої потужності.

В основу розробки виробничої програми має бути покладена реальна потреба в конкретній продукції. На рівні промислового підприємства конкретизація потреби в продукції забезпечується за допомогою попиту споживачів і господарських договорів за розгорнутою номенклатурою виробів.

Виробнича програма є основою для складання наступних розділів плану підприємства:

технічного розвитку й організації виробництва;

підвищення економічної ефективності виробництва;

капітальних вкладень;

капітального будівництва;

матеріально-технічного забезпечення;

праці та кадрах;

собівартості, прибутку та рентабельності;

фондів економічного стимулювання;

соціального розвитку;

заходів з охорони природи;

фінансового.

Для обґрунтування і правильного формування виробничої програми підприємства у бізнес-плані необхідно надати таку інформацію:

характеристика пропонованої продукції;

оцінка можливих ринків збуту та конкурентів;

стратегія маркетингу.

Формування виробничої програми підприємства базується на таких елементах:

на основі вивчення, аналізу та перспективи розвитку ринкового попиту підприємством укладаються зі споживачами-покупцями (торговельними підприємствами, посередниками, біржами) угоди на постачання певних видів продукції;

державні контракти є засобом забезпечення потреб споживачів, що фінансуються за рахунок Державного бюджету, та поновлення державного резерву (при цьому держава гарантує оплату поставок продукції та забезпечує її виробництво найважливішими ресурсами);

державні замовлення є засобом стимулювання збільшення виробництва у пріоритетних галузях, впровадження нових технологій, випуску дефіцитних видів продукції, державної підтримки важливих наукових досліджень (держава може надавати пільги підприємствам-виробникам, але не забезпечує їх фінансовими ресурсами);

портфель замовлень на продукцію інших споживачів формується на основі контрактів між підприємствами-виробниками і підприємствами-споживачами та відображає його постійні прямі господарські зв'язки (такі контракти періодично переглядаються та поновлюються);

частина продукції підприємства може споживатися безпосередньо ним самим (у виробничій програмі повинні враховуватися потреби підприємства, які визначаються на основі балансів матеріальних ресурсів, що відображають потребу у них та джерела її покриття).

При розробці виробничої програми передбачається досягнення необхідних темпів зростання виробництва; освоєння нових видів продукції; раціональний розподіл продукції, що випускається, по календарних термінах. Основна увага приділяється підвищенню ефективності виробництва, досягненню беззбитковості по збитковій частині номенклатури. Передбачається відновлення фондів і впровадження нової техніки, підвищення використання виробничої потужності, зростання продуктивності праці.

2. Особливості формування виробничої програми підприємства в умовах ринку

В умовах ринкової економіки виробничий план спрямован як на задоволення потреб споживачів у товарах, послугах, так і на отримання прибутку, зростання рентабельності. Останнє сприяє забезпеченню платоспроможності підприємства.

Виробничий план - це система адресних завдань по випуску продукції певної номенклатури, асортименту, відповідної кількості й якості в певні терміни з оптимальним виробничим циклом, що забезпечує зростання виробництва.

Бізнес-план як документ для внутрішньо фірмового користування має бути детальним планом виробничої діяльності. Це дає змогу розв'язати багато проблем фірми заздалегідь, на папері, раніше, ніж підприємець перейде до конкретних практичних дій.

Невід'ємною складовою бізнесу, орієнтованого на виробничу діяльність, є оцінка того, як фірма вироблятиме свою продукцію. Основне завдання виробничого плану - довести, що фірма:

    реально спроможна організувати виробництво;

-        здатна виготовляти необхідну кількість товарів відповідної якості;

         має можливості придбати необхідні для цього ресурси.

Отже, виробничий план має дати відповіді на такі запитання:

Які виробничі операції будуть застосовуватись фірмою в процесі виготовлення продукції (надання послуг)?

Які конкретно матеріально-технічні ресурси потрібні для виготовлення продукції (надання послуг)?

Які зовнішні фактори впливатимуть (або можуть вплинути) на виробничий процес?

Виробничий план доцільно розпочинати з короткої характеристики виробничого процесу, тобто з опису основних виробничих операцій у їх послідовності.

У виробничому плані необхідно також вказати і на зовнішні фактори, які впливатимуть на виробничий процес або обмежуватимуть виробничі можливості фірми.

Отже, у виробничому плані, як правило, виділяють такі блоки (підрозділи):

    основні виробничі операції;

-        машини та устаткування;

         сировина, матеріали і комплектуючі вироби;

         виробничі та невиробничі приміщення;

         вплив зовнішніх факторів.

Обсяг і ґрунтовність виробничого плану залежать від характеру бізнесу фірми та сфери, до якої він належить. Зрозуміло, що цей розділ бізнес-плану буде найдокладнішим для виробничого підприємства. Більше того, у певних випадках саме виробничий процес (особливості його технологій, унікальність обладнання тощо) може бути одним із найпривабливіших факторів для зовнішніх інвесторів. Навпаки, фірми, які займаються, наприклад, оптовою або роздрібною торгівлею, можуть взагалі обійтися без цього розділу.

Для підвищення ефективності виробничого плану при її розробці доцільно скористатись досвідом зарубіжних економістів і бізнесменів, які рекомендують перед складанням такої програми проводити маркетинговий аналіз ринку, поведінки й потреб споживачів, дій конкурентів і інше.

Виробничий план як завдання з випуску продукції в якому відображені обсяг і асортимент продукції її рівень якості та ціна, є основою виробничого процесу, функціонування підприємства швейної галузі. Від вдалого формування та виконання виробничого плану залежать економічні результати виробництва.

Причому, одні автори, комплексність зводять до поєднання всіх видів планів, інші включають такі ранги, як організацію і планування. Я вважаю, що у даному випадку комплексність розглядається неповно і дотримуємося думки авторів Афанасьєвої В. А., Шершньова З. Е. про те, що процес формування та виконання виробничого плану має включати 5 рангів:

    організацію;

-        планування;

         облік;

         контроль та аналіз;

         регулювання.

На практиці виробничу програму формують з використанням:

    результатів аналізу виконання плану за звітний період;

-        даних про виробничі потужності, рівня їх використання;

         даних про можливості матеріально-технічного забезпечення;

         даних договорів і держзамовлень;

         даних про зміни залишків готової продукції на складі підприємства.

Практика формування виробничого плану підприємств в умовах ринку дозволила нам виявити і аргументувати деякі особливості даного процесу. В основному вони зводяться до наступного:

    орієнтація планів на ринок;

-        на конкретного споживача;

         на врахування змін кон'юнктури ринку;

         на своєчасне і якісне виконання договірних зобов'язань.

Таким чином первинну роль у формуванні виробничого плану мають відігравати маркетингові дослідження.

Процес формування виробничого плану є складною проблемою. Труднощі складають насамперед два аспекти: велике число критеріїв оцінки, неоднозначність результатів, які отримуємо, через вплив факторів невизначеності.

При появі багатьох критеріїв невизначеності у виборі найкращого рішення є наступні особливості:

    відсутні статистичні дані, що дають можливість обґрунтувати співвідношення між різними критеріями;

-        на момент прийняття рішення немає інформації, яка б дозволила об’єктивно оцінити можливі наслідки вибору того чи іншого варіанту;

         нестачу об’єктивної інформації неможливо поповнити на момент прийняття рішення.

Відповідно формування виробничого плану не може бути визначено тільки на основі об’єктивних розрахунків. Повна оцінка цього процесу можлива лише на основі поєднання кількісних та якісних показників.

У теорії прийняття рішень, завдання, які пов’язанні з вибором найкращого варіанту формування виробничого плану з широкого числа альтернатив є слабоструктуризованими. Розгляд особливостей таких завдань показує, що рішення тут приймаються відносно майбутнього, крім того вони вимагають вкладень фінансових ресурсів і мають елементи ризику.

Формування виробничого плану є однією із функцій керівництва. Однак виникає необхідність відокремлення адміністративного акту прийняття рішення відносно формування виробничого плану від аналітичної її підготовки.

Головна мета формування виробничого плану - це встановлення асортименту продукції в такому обсязі, таких якостей і вартості, які б забезпечили її збут і отримання виробником запланованого прибутку. Таким чином, формування виробничого плану є важливим і специфічним видом управлінської діяльності на швейному підприємстві від якого залежать основні результати його діяльності на ринку й який повинен забезпечити єдність, взаємозв'язок і цілеспрямування зусиль окремих структурних підрозділів та всього колективу. Від ефективного вирішення цих питань залежить конкурентна позиція підприємства на ринку.

У нових умовах, які мають місце в Україні, виникає ще один важливий фактор, який визначає межі й структуру виробничого плану підприємства. Це фінансові ресурси підприємства, які забезпечують реалізацію запланованої виробничого плану. Тут існує в першу чергу проблема належних розмірів оборотних коштів підприємства, які визначають можливості доступу до сировинних та паливно-енергетичних ресурсів. Хоча необхідна величина оборотних коштів визначається з одного боку технологією руху матеріальних ресурсів на підприємстві та ринку, а також загальним станом економіки країни, їх розміри не можуть суб'єктивно змінюватись в залежності від позиції апарату управління і тому можуть суттєво коригувати виробничу програму підприємства.

3. Елементи формування виробничої програми підприємства

Виробнича програма підрозділів основного виробництва це сукупність продукції певної номенклатури й асортименту, яка має бути виготовлена в плановому періоді у визначених обсягах згідно зі спеціалізацією і виробничою потужністю цих підрозділів. Виробнича програма є надзвичайно важливим розділом плану роботи підприємства і його виробничих підрозділів, оскільки вона виражає зміст їх основної діяльності та засоби досягнення стратегічної мети.

Порядок розроблення виробничої програми підрозділів підприємства значною мірою залежить від призначення їх продукції та економічного статусу. Передусім тут має значення технологічний зв'язок між підрозділами, ступінь завершеності в них циклу виготовлення продукції, спрямування її на подальшу обробку, внутрішньокоопераційні потреби чи на ринок, за межі підприємства.

Загальна схема розроблення виробничої програми за умов наявності в складі підприємства підрозділів внутрішньої кооперації та підрозділів, що мають замкнений виробничий цикл і виготовляють продукцію безпосередньо на ринок. У другому випадку розроблення планів виробництва підрозділів ґрунтується на їх планах продажу (поставки) продукції. Причому останні можуть випливати із плану продажу продукції підприємства (централізоване розроблення плану “зверху-вниз”) або остаточно його формувати (метод “знизу-вверх”), що передбачає самостійне формування підрозділами - центрами прибутку портфеля продажу продукції. Цей варіант планування близький до планування виробництва продукції самостійним підприємством і детального розгляду тут не потребує.

Коротко зупинимось на розробленні виробничої програми підрозділів, продукція яких не є кінцевою з позиції підприємства, тобто вони виготовляють окремі частини продукту (предметна спеціалізація) або виконують частину загального технологічного процесу (технологічна спеціалізація).

План виробництва охоплює виготовлення продукції за номенклатурою і загальним обсягом у певному вимірі. Завдання за номенклатурою на плановий період (рік, квартал, місяць) складається з переліку найменувань продукції, яку слід виготовити, та її обсяг у натуральному виразі. Це завдання конкретизується за часом виконання в оперативно-каледарних планах (планах-графіках).

При визначенні номенклатури й обсягу виробництва продукції підрозділами підприємства важливе значення має вирішення питання про співвідношення власного виробництва і купівлі на ринку окремих частин виробів (заготовок, деталей, вузлів, приладів тощо).

Ця проблема розв'язується з урахуванням таких чинників, як можливість власного виробництва (наявні виробничі потужності й кадри), якість виробів і їх вартість.

Планово-облікові одиниці (номенклатурні позиції), у яких установлюється завдання цехам, мають різний ступінь деталізації для різних цехів і типів виробництва. Виробнича програма випускних (складальних) цехів визначає найменування й обсяг готових виробів згідно з планом виробництва підприємства. В одиничному та серійному виробництвах для заготівельних та обробних цехів випуск продукції у номенклатурі встановлюється, як правило, у комплектах деталей на замовлення, виріб, складальну одиницю (вузол, агрегат). За масового виробництва цим цехам планується випуск заготівок і деталей за окремими найменуваннями.

З метою чіткого взаємоузгодження виробничі завдання цехам у натуральному виразі розробляються у порядку, зворотному до послідовності технологічного процесу, тобто від випускних цехів до заготівельних. У плановому завданні кожного цеху враховуються поставки продукції (заготівок, деталей, комплектів тощо) цехам-споживачам, на склад готової продукції і можлива зміна незавершеного виробництва з метою підтримання його величини на нормативному рівні. Цей загальний порядок розроблення виробничої програми цехів можна подати так:

в=Nп+Nс+Nн-Nф, (1.1)

де Nв - плановий випуск виробів у натуральному виразі в певному цеху;п - поставка виробів наступним за технологічним маршрутом цехам-споживачам;- поставка виробів на склад готової продукції (як запчастини для сервісних центрів, продажу);н, Nф - відповідно нормативний і фактичний міжцеховий запас цього виробу (для комплектації, у вигляді оборотного запасу та ін.).

У випадку тривалого виробничого циклу виготовлення продукції завдання встановлюються з випуску і запуску виробів. При цьому може виникнути потреба в корекції внутрішньоцехового незавершеного, виробництва. Покажемо це на простому прикладі виготовлення деталі - корпуса редуктора машини - заготівельним і механічним цехами для складального цеху. Планом заводу передбачено виготовити за квартал 500 машин. На одну машину потрібний один корпус редуктора. Крім цього, слід поставити 10 корпусів у свій сервісний центр і є замовлення іншого заводу на 50 заготівок корпусів. Оскільки машина випускається постійно, незавершене виробництво періодично коригується і підтримується на нормативному рівні. Складемо плани виробництва корпуса редуктора для цих цехів.

4. Показники виробничої програми підприємства

Виробнича програма у вартісному виразі розробляється підприємством по товарній продукції в порівнювальних цінах. Для планування інших показників (прибутку, собівартості) товарна продукція визначається в діючих цінах підприємства. Отже, в основу планування виробничої програми покладена система показників обсягу виробництва, яка включає натуральні і вартісні показники.

Натуральними показниками виробничої програми є обсяг продукції в натуральних одиницях за номенклатурою й асортиментом.

Номенклатура - це перелік назв окремих видів продукції.

Асортимент - це різновидність виробів у межах даної номенклатури.

Номенклатура виробів підприємства може бути централізованою і децентралізованою.

Централізована номенклатура формується шляхом укладання державних контрактів і державних замовлень.

Децентралізована номенклатура формується підприємством самостійно на основі вивчення ринкового попиту на свою продукцію та встановлення прямих контактів зі споживачами шляхом укладання договорів поставок.

Натуральні показники, зазвичай, представляються у фізичних одиницях виміру (метри, штуки, тони і т. д.). Значення натуральних показників виробничої програми в умовах ринку зростає, оскільки саме вони дають можливість оцінити ступінь задоволення потреб споживачів у певних товарах з урахуванням якісної характеристики товарів.

На основі виробничої програми в натуральному виразі визначають вартісні показники: товарну, валову продукцію у порівнюваних цінах, товарну і реалізовану продукцію у діючих цінах підприємства.

Отже, обсяг виробництва продукції в натуральних вимірниках встановлюють на основі обсягу поставок:


де ОВ - обсяг виробництва продукції в натуральних одиницях;

ОП - обсяг поставок у натуральних одиницях;

Зп - запаси продукції на складі на початок планового року у натуральних одиницях;

Зк - запаси продукції на складі на кінець планового року у натуральних одиницях.

Вартісними показниками виробничої програми є обсяги товарної, валової, реалізованої, чистої, умовно-чистої продукції, нормативної вартості обробітку, валового і внутрішньозаводського обороту, обсяг незавершеного виробництва.

Найважливішим показником виробничої програми є товарна продукція. Вона включає до свого складу всю виготовлену в плановому або попередньому періодах продукцію, що відповідає стандартам, технічним умовам, прийнята у ВТК, упакована і підготовлена до реалізації:


де ТП - товарна продукція; ГП - готова продукція;

Н - напівфабрикати, які поставляються на сторону;

Пп.х - послуги промислового характеру;

Тн.с - товари народного споживання;

Рк.б - роботи з капітального будівництва, які виконуються власниками;

Пд.г- продукція допоміжних господарств, призначена для реалізації "на сторону";

Рс.к.- середні та капітальні ремонти, що виконуються власними силами.

Товарна продукція оцінюється в діючих оптових цінах, по собівартості, в натуральних показниках, у трудових показниках (для внутрізаводського планування).

Наступним показником виробничої програми є валова продукція, що включає до свого складу всю продукцію у вартісному виразі, незалежно від ступеня її готовності:


де ВП - валова продукція;

НЗВп - вартість залишків незавершеного виробництва на початок планового періоду;

НЗВк- вартість залишків незавершеного виробництва на кінець планового періоду;

Іп - вартість інструменту для власних потреб на початок планового періоду;

Ік - вартість інструменту для власних потреб на кінець планового періоду.

Це найбільш загальний показник, який відображає всю роботу підприємства.

Валову продукцію можна також обчислити за такою формулою:


де ВО - валовий оборот підприємства;

ВЗО - внутрішньозаводський оборот підприємства.

Валовий оборот підприємства - це обсяг валової продукції незалежно від того, де вона буде використана: чи в межах підприємства, чи поза ним.

Внутрішньозаводський оборот - це та кількість продукції підприємства, яка використовується всередині його для подальшої переробки.

Вимірюється валова продукція в діючих оптових цінах, за собівартістю та в нормо-годинах. За показником валової продукції визначається потреба в матеріальних, трудових і фінансових ресурсах, необхідних для виконання виробничої програми. Валові показники мають істотний недолік, що спотворює об'єктивну оцінку роботи підприємства: у них враховуються витрати минулої праці (матеріальні витрати й амортизація), що призводить до повторного розрахунку.

Важливе значення для аналізу виробничої програми має показник незавершеного виробництва у вартісному виразі:


де НЗВ - величина незавершеного виробництва;

Кв - кількість виробів;

С - собівартість одного виробу;

Тц - тривалість циклу виготовлення одного виробу;

Кн. в - коефіцієнт наростання витрат при виготовленні виробу;

Д - кількість робочих днів у розрахунковому періоді.

Коефіцієнт наростання витрат при виготовлені виробу розраховується:


де М - сума матеріальних витрат на виробництво одного виробу;

С - собівартість одиниці виробу без матеріальних витрат;

Со - одноразові витрати на початку циклу виготовлення продукції;

Сі - поточні витрати на виготовлення продукції.

Незавершене виробництво - це продукція, яка перебуває на різних проміжних стадіях виробничого циклу. Вона включає надходження матеріалів зі складу в цех та їх перебування у виробничому процесі до моменту здачі виробів на склад готової продукції. Значить, до незавершеного виробництва належать предмети праці, які знаходяться в процесі транспортування, а також напівфабрикати на цехових складах. Розміри незавершеного виробництва залежать від обсягів виробництва продукції, тривалості виробничого циклу тощо.

Обсяг реалізованої продукції включає вартість усіх готових виробів, що були поставлені покупцям і оплачені ними, та вартість інших виконаних робіт, котрі входять в товарну продукцію:


де РП - реалізована продукція;

Злп - залишки нереалізованої продукції на початок планового періоду;

Злк - залишки нереалізованої продукції на кінець планового періоду;

ВЗлп - залишки продукції відвантаженої, за яку термін оплати не настав на початок планового року;

ЗЗлк - залишки продукції на відповідальному зберіганні у покупців на кінець планового року.

Вартість робіт непромислового характеру до обсягу реалізації не входить. Обсяг реалізованої продукції вимірюється в діючих оптових цінах підприємства, а при розрахунку прибутку від реалізації - також за собівартістю. Цей показник враховує результати реалізаційної діяльності. Тому він мас особливе значення в умовах ринку і є основним при визначенні показників фінансового плану (прибутку, потреби в оборотних засобах).

Обсяг реалізованої продукції з урахуванням виконання плану поставок розраховують, як вартість реалізованої продукції за вирахуванням вартості недопоставленої продукції.

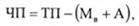
Обсяг чистої продукції підприємства обчислюють за формулою:

де ЧП - чиста продукція підприємства;

Мв - матеріальні витрати на виробництво продукції;

А - сума амортизаційних відрахувань за відповідний період.

Отже, чиста продукція - це вартість, створена на підприємстві, або додана вартість.

Чиста продукція може бути обчислена як сума основної та додаткової заробітної плати підприємства з відрахуваннями на соціальні заходи і прибутку.

Ще одним показником, близьким за своїм значенням до чистої продукції, є умовно чиста продукція:


де А - сума амортизаційних відрахувань за відповідний період.

Отже, на відміну від чистої продукції, умовно чиста продукція включає амортизаційні відрахування.

Інколи застосовуються при розробці виробничої програми наступні показники:

нормативна вартість обробки;

нормативна заробітна платня;

нормативна чиста продукція.

Найбільший інтерес серед цих додаткових показників представляє нормативна вартість обробітку, яка одержується як добуток показника нормативної вартості обробітку одного виробу і-го виду і кількості виготовлених виробів і-го виду.

Аналіз виробничої програми проводиться за динамікою обсягу випуску продукції, за номенклатурою й асортиментом, ритмічністю роботи підприємства, якістю продукції, резервах росту виробництва.

Найбільш важливими та узагальнюючими показниками серед виїдена ведених є показники обсягу випуску та реалізації продукції. За динамікою обсягу випуску продукції аналіз здійснюється так:


де ОВф - фактичний обсяг випуску продукції;

ОВп - плановий обсяг випуску продукції.

Аналогічно аналізується обсяг реалізованої продукції:


де ОРф - фактичний обсяг реалізації продукції;

ОРп - плановий обсяг реалізації продукції.

Взагалі, за вищенаведеними показниками аналіз проводиться зіставленням їх фактичних і планових величин.

5. Ресурсне обґрунтування виробничої програми підприємства

Запроектовану й відображену в плані підприємства виробничу програму треба економічно обґрунтувати, тобто узгодити з необхідними виробничими потужностями цього підприємства, трудовими, матеріальними та інвестиційними ресурсами.

Ступінь забезпеченості трудовими ресурсами оцінюється шляхом розрахунку чисельності персоналу, для цього попередньо складають баланс робочого часу одного облікового працівника, виходячи з графіка його роботи, тобто розраховують ефективний фонд роботи одного облікового працівника (Теф) за формулою (4.1):

Теф = (Дк - Дс - Дв - Двідп - Дхв - Ддо - Дцп - Дхв) x Тзм, (4.1)

де Дк - календарний період, днів;

Дс - кількість часу, який припадає на святкові;

Дв - кількість часу, який припадає на вихідні дні;

Двідп - тривалість відпустки працівника;

Дхв - відсутність працівника через хворобу;

Ддо - виконання державних обов’язків;

Дцп - цілодобові простої;

Дув - період навчальної відпустки.

Вихідні дані для розрахунку робочого часу наступні: Дк = 366 днів; Дс = 9 днів; Дв = 104 днів; Двідп = 27 днів; Дхв = 2 дня; Ддо = 3 день; Дцп = 1 день; Дхв = 2 год.

З цього випливає, що:

Теф = (366 - 9 - 104 - 27 - 2 - 3 - 1 - 2) x 7,9 = 1722,2.

6. Місце виробничої програми у системі планів господарсько-фінансового розвитку підприємства

Діяльність підприємства головним чином залежить від планування його діяльності. Оскільки виробнича програма один з найголовніших аспектів планування діяльності підприємства, то саме від умілої розробки виробничої програми залежить ефективність діяльності підприємства.

Розробка і складання виробничої програми повинне обов'язково опиратися на цілі, які переслідує підприємство на майбутнє.

Згідно з сучасною економічною теорією розробка виробничної програми повинна відповідати вимогам: комплексності, узгодженості, результативності. Виробниче проектування передбачає:

формування набору областей господарської діяльності, які максимізують досягнення цілей, виходячи з профілю організаційних можливостей і стану зовнішнього середовища (практична стратегія);

синтез організаційних одиниць на основі однорідності господарського потенціалу;

До методів проектування виробничої програми потрібно віднести такі, як структуризація цілей, аналогій, організаційного моделювання, (в тому числі імітаційного), блоковий, експертно-аналітичний, нормативний, параметричний, аналітично розрахунковий, графоаналітичний, математико-статистичний.

Підприємствам доцільно оцінювати міру адекватності організаційно-економічного механізму управління підприємством до умов внутрішньої і зовнішньої середи, а результати цієї оцінки використати при прийнятті рішень по вибору організаційних структур. Вибір оптимальної структури управління підприємством залежить від глибини аналізу і оцінки динаміки господарської ситуації в ході прийняття рішень по зміні організаційно-економічного механізму його функціонування в максимально можливому реальному масштабі часу в рамках функціонування автоматизованих систем управління н використання економіко-математичних методів і моделей.

У економічних дослідженнях застосовуються наступні групи економіко-математичних методів:

    оптимального програмування для визначення оптимальних варіантів господарських рішень;

-        мережевого планування н управління для виявлення н мобілізації резервів часу в ресурсів при оперативному плануванні і управлінні.

         кореляційного н регресійного аналізу для визначення кількісної характеристики зв'язку, залежності і економічної обумовленості показників.

У ході аналізу і оцінки виходять з того, що сукупність початкових і розрахункових даних господарської діяльності підприємства і його підрозділів являє собою інформаційне поле (матрицю ефективності). Важливою характеристикою обґрунтування виробничої програми є фінансове становище, при якому забезпечується розвиток виробництва і інших сфер діяльності, зростання прибутку і активів при збереженні платоспроможності і кредитоспроможності. При відборі початкових даних для оцінки фінансового становища потрібно враховувати: тривалість циклу і швидкість обороту оборотних коштів, співвідношення власних і позикових (орендованих) коштів, питома вага запасів в складі оборотних коштів, можливості залучення для формування фінансових ресурсів довгострокових і короткострокових кредитів банку.

7. Задачі розроблення виробничої програми

Задачі розроблення виробничої програми:

. Підвищення якості, надійності, поліпшення дизайну виробу з урахуванням попиту, а також дії конкурентів;

. Забезпечення високих і стійких темпів зростання випуску продукції як у вартісних, так і у натуральних показниках;

. Формування номенклатури та асортименту виробів відповідно до стадій їх життєвого циклу;

. Найбільш повне використання виробничих потужностей та ресурсного потенціалу підприємства.

ІІ. Розрахункова частина

Досліджуване підприємство (це може бути підприємство важкого машинобудування) випускає два види деталей: А (матеріал сталь А12, Æ 38) і Б (матеріал латунь ЛС59-1, Æ 16). Верстатний парк підприємства включає наступні агрегати: - токарний верстат; - фрезерний верстат; - шліфувальний верстат.

Етапи рішення

2.1 Складання кошторису витрат на виготовлення продукції

2.1.1 Розрахунок вартості основних матеріалів

Розрахунок витрат на матеріали за вирахуванням відходів на кожну випущену деталь виконаємо, використовуючи формулу:

, грн.,(2.1)

де k - коефіцієнт, який враховує додаткові витрати на транспортно-заготівельні роботи, приймемо на рівні 1,05;

Ц1 - ціна 1 т. матеріалу, тис. грн.;

m1 - маса заготовки, т.;

Ц2 - ціна 1 т. відходів, тис. грн.,;

m2 - маса відходів, т.

Норма витрат і ціна матеріалів наведено в табл. 2.1.

Таблиця 2.1- Норма витрат і ціна матеріалів

Деталь

Матеріал (мірка)

Маса заготовки, т.

Ціна 1 т., тис. грн.



Чорнової

чистової

матеріалу

відходів

А

Сталь А12, Æ 38

1,8

1,65

15,9

1,59

Б

Латунь ЛС59-1, Æ 16

2,0

1,6

73,3

7,33


Визначимо витрати на матеріали за вирахуванням відходів на річний випуск деталей:


2.1.2 Розрахунок паливно-енергетичних витрат

Розрахунок прямих поточних витрат на паливо та електроенергію визначимо, використовуючи формулу:

 грн.,(2.2)

де n - витрата ресурсу (палива або енергії) на одиницю продукції, т, кг, кВт-год.;

Ц - вартісне значення одиниці ресурсу, грн.

В табл. 2.2 представлені норми витрат і ціни на паливно-енергетичні ресурси.

Таблиця 2.2 - Норми витрат і ціни на паливно-енергетичні ресурси

Деталь

Витратний коефіцієнт на од. продукції

Ціна од. ресурсу, грн.

1

2

3

4

А

Паливо технологічне, т.

0,529

4950

А

Електроенергія на технологічні потреби, кВт-год

1600

 1,14

Б

Паливо технологічне,т.

0,613

4950


Електроенергія на технологічні потреби, кВт-год

 2000

 1,14

Витрати на паливо технологічне на один виріб:


Витрати на паливо технологічне на річний випуск деталей:


Витрати на електроенергію на технологічні потреби на один виріб:


Витрати на електроенергію на технологічні потреби на річний випуск деталей:


2.1.3 Розрахунок фонду оплати праці основних робітників

Вихідні дані для розрахунку фонду оплати праці представлені в табл. 2.3.

Таблиця 2.3

Операція

Норма часу на операцію, хв.

Розряд роботи

Годинна тарифна ставка, грн.



Деталь А

Деталь Б



1

Токарна

2350

2700

3

9,18

2

Фрезерування шліців

8650

9850

3

9,18

3

Фрезерування зубців

17300

18300

3

9,18

4

Шліфування шліців

5300

7400

4

10,2

5

Шліфування зубців

18730

20050

4

10,2


Фонд тарифної заробітної плати визначимо, використовуючи формулу:

, грн.,(2.3)

де W - кількість виготовлених деталей, шт.;

Ті - норма часу на операцію, год.;

- часова тарифна ставка, грн.


Розрахунок премії з фонду оплати праці виконаємо, використовуючи формулу:

, грн.,(2.4)


Основний фонд оплати праці визначимо, використовуючи формулу:

, грн., (2.5)


Основний фонд оплати праці на один виріб:


Розрахунок додаткової заробітної плати визначимо, використовуючи формулу:

, грн.,(2.6)


Додаткова заробітна плата на один виріб:


Річний фонд оплати праці визначимо, використовуючи формулу:

, грн.(2.7)


2.1.4 Розрахунок відрахувань на соціальні заходи

Відрахування на соціальні заходи здійснюються у формі єдиного соціального внеску на обов’язкове державне соціальне страхування до органів Пенсійного фонду України.

Розрахунок виконаємо для кожного виду деталей за формулою (єдиний соціальний внесок для підприємства важкого машинобудування складає 38,54%):

, грн.(2.8)


Відрахування на соціальні заходи на один виріб:


2.1.5 Розрахунок вартості основних виробничих фондів і фонду амортизаційних відрахувань

Вартість будівлі укрупнено становить 750-790 грн. за 1 м3. Об'єм будівлі прийняти 180000 м3.

Загальна вартість обладнання та робочих машин підприємства визначається як добуток кількості верстатів та вартості верстата. Розрахунки виконаємо в табл. 2.4.

Таблиця 2.4

Найменування верстата

Кількість верстатів шт.

Оптова ціна верстата, грн.

Транспортно-монтажні витрати (15 % оптової ціни)

Вартість одиниці обладнання, грн.

Загальна вартість верстатів, грн.

Токарний

6

108010

16201,5

124211,5

745269

Фрезерний

3

85000

12750

97750

293250

Шліфувальний

3

111500

16725

128225

384675

Разом

12

304510

45676,5

350186,5

1423194


Загальна вартість токарного верстата:


Вартість силового обладнання підприємства становить 8% вартості робочих машин та обладнання.


Вартість вимірювальних і регулюючих приладів і пристроїв становить укрупнено 2% вартості робочих машин та обладнання.


Вартість транспортних засобів цеху укрупнено складає 3% вартості робочих машин та обладнання.


Вартість інструменту укрупнено становить 6% вартості робочих машин і устаткування.


Вартість виробничого та господарського інвентарю становить 1% вартості робочих машин та обладнання.


Амортизаційні відрахування визначимо, використовуючи формулу:

, грн.,(2.9)

де ПВ - первісна балансова вартість основних фондів, грн.;

ЛВ - ліквідаційна вартість основних фондів, грн. (1% від первісної вартості);

п - термін служби основних фондів (амортизаційний період), років.

Розрахунок фонду амортизаційних відрахувань виконаємо в табл. 2.5.

Таблиця 2.5

Найменування основних фондів

Вартість основних фондів, грн.

Ліквідаційна вартість, грн.

Строки корисного використання, років

Сума амортизаційних відрахувань, грн.

Будівля

135000000

1350000

20

6682500

Робочі машини й устаткування

1423194

14231,94

5

281792,41

Силове обладнання

113855,52

1138,55

5

22543,39

4. Вимірювальні і регулюючі прилади та пристрої

28463,88

284,64

2

14089,62

5. Транспортні засоби

42695,82

426,96

5

8453,77

6. Інструменти

85391,64

853,92

4

21134,43

7. Господарський і виробничий інвентар

14231,94

142,32

4

3522,41

Разом

136707832,83

1367078,33

45

7034036,03


) Сума амортизаційних відрахувань на будівлі:


) Сума амортизаційних відрахувань на робочі машини й устаткування:


) Сума амортизаційних відрахувань на силове обладнання:


) Сума амортизаційних відрахувань на вимірювальні і регулюючі прилади та пристрої:


) Сума амортизаційних відрахувань на транспортні засоби:


) Сума амортизаційних відрахувань на інструменти:


) Сума амортизаційних відрахувань на господарський і виробничий інвентар:


2.1.6 Розрахунок кошторису витрат на утримання і експлуатацію обладнання

Розрахунок виконаємо за формою, представленою в табл. 2.6.

Таблиця 2.6

Статті витрат

Визначення витрат (нормативи)

Сума річних витрат

1

2

3

1. Витрати на допоміжні матеріали

5000 грн. за рік на один станок

60000

2. Витрати на силову електроенергію, стиснене повітря, воду і пар на виробничо-господарські потреби

7000 грн. за рік на один станок

84000

3.Заробітна плата допоміжних робітників (основна, додаткова, відрахування на соціальні заходи)

20 % от суми (Зг+Остр) основних робочих

8180711,23

4. Амортизаційні відрахування (крім відрахувань на будівлі)

З табл. 2.5

351536,03

5. Утримання, ремонт і відновлення малоцінного інструменту і пристроїв, обладнання, транспорту.

10 % від їх первісної вартості

27040,69

6. Інші витрати

3% від суми (1-5) статей даної таблиці

245421,34

Всього витрати з утримання та експлуатації устаткування

-

8570132,57


Витрати на утримання і експлуатацію обладнання розподілимо пропорційно основній заробітній платі основних робітників:

а) Загальний фонд основної оплати праці основних робітників - Зо за двома деталями розрахований за формулою 2.5.


б) Витрати на утримання і експлуатацію обладнання припадають на 1 грн. основної заробітної плати основних робітників.


в) Витрати на утримання та експлуатацію на річний випуск деталей.


г) Витрати на утримання і експлуатацію обладнання, що припадають на один виріб.

2.1.7 Розрахунок кошторису цехових витрат

У табл. 2.7 представлений розрахунок кошторису цехових витрат.

Таблиця 2.7

Найменування статей витрат

Визначення витрат (нормативи)

Сума річних витрат

1. Заробітна плата спеціалістів, службовців, МОП

30 % від основної заробітної плати основних робочих по 2-м деталям

8052198,15

2. Відрахування на соціальні заходи

38,54% заробітної плати п.1

3103317,2

3. Витрати на утримання будівель і господарського інвентарю

5 % від їх вартості

6750711,6

4. Утримання, ремонт, відновлення оснащення, пристроїв

0,5 % від вартості обладнання і робочих машин

7685,25

5. Амортизація будівель

З табл. 2.5

6682500

6. Витрати на охорону праці

5 % від суми основної заробітної плати основних та допоміжних робітників

1795458,07

7. Інші невраховані витрати

1% від суми затрат за статтями  (1-6) даної табл.

263918,70

 Всього цехових витрат

-

26655788,97



Суму цехових витрат розподілимо пропорційно основній заробітній платі основних робітників.

а) Загальний фонд основної оплати праці основних робітників - Зо за двома деталями розрахований за формулою 2.5.

б) Цехові витрати припадають на 1 грн. основної заробітної плати основних робітників.


в) Цехові витрати на річний випуск деталей.


г) Цехові витрати, що припадають на один виріб.


2.1.8 Розрахунок кошторису загальновиробничих витрат

Відомо, що на даному підприємстві загальновиробничі витрати становлять 80% основної заробітної плати основних робітників.


У таблиці 2.8 представлений кошторис загальновиробничих витрат.

Таблиця 2.8

Найменування статей

Сума, грн.

% до підсумку

1. Заробітна плата апарату управління

5368132,1

25,0

2. Витрати на службові відрядження

214725,28

1,0

3.Заробітна плата пожежно-сторожової охорони

751538,5

3,5

4. Інші адміністративно-управлінські витрати

214725,28

1,0

5. Витрати на утримання заводського (адміністративно-управлінського) персоналу

1610439,63

7,5

6. Амортизація основних засобів

1717802,27

8,0

7. Витрати на утримання і поточний  ремонт будівлі, споруд та інвентарю  загальнозаводського призначення

8589011,36

40

8. Витрати на проведення випробувань, дослідів, досліджень і утримання загальнозаводських лабораторій.

1073626,4

5,0

9. Витрати на охорону праці та підготовку кадрів

1503076,98

7,0

10. Інші загальногосподарські витрати

1,0

11. Витрати на обслуговування  виробничого процесу

214725,28

1,0

Загальновиробничих витрат всього

21472528,4

100


Визначивши загальну суму загальновиробничих витрат, рознесли їх по місцю обліку:

Змінна частина - 20% від загальної суми загальновиробничих витрат - включена в калькуляцію собівартості відповідних деталей.


Розподілимо цю суму пропорційно основній заробітній платі основних робітників.

а) Загальний фонд основної оплати праці основних робітників - Зо за двома деталями розрахований за формулою 2.5.


б) Загальновиробничі витрати припадають на 1 грн. основної заробітної плати основних робітників.


в) Загальновиробничі витрати на річний випуск деталей.


г) Загальновиробничі витрати, що припадають на один виріб.


Постійна частина - 80% від загальної суми загальновиробничих витрат - використовується в п. 2.4-е.


2.2 Складання калькуляції собівартості продукції

Розрахунок калькуляції собівартості одиниці продукції виконаємо в табл. 2.9.

Таблиця 2.9 -Калькуляція собівартості продукції

Найменування статей калькуляції

Виріб А

Виріб Б


Сума витрат всього по статті, грн.

Сума витрат на виріб, грн.

Сума витрат всього по статті, грн.

Сума витрат на виріб, грн.

1.Основні матеріали за вирахуванням відходів

28918125

29812,5

200827340

150998

2. Паливо технологічне

2539993,5

2618,55

4035685,5

3034,35

3.Електроенергія на технологічні потреби

1769280

1824

3032400

2280

4. Основна заробітна плата основних робітників

10611315

10939,5

16229345,5

12202,52

5. Додаткова заробітна плата основних робітників

1061131,5

1093,95

16229934,55

1220,25

6. Відрахування на соціальні заходи (єдиний соціальний внесок)

4498560,88

4637,69

6880268,73

5173,13

7. Витрати на утримання і експлуатацію обладнання

3395620,8

3500,64

5193390,56

3904,8

8. Цехові витрати

10505201,85

10830,1

16067052,04

12080,5

Разом цехова собівартість

63299228,53

65256,93

251224513,8

190893,55

9. Загальновиробничі витрати

1697810,4

1750,32

2596695,28

1952,4

Разом виробнича собівартість

65187932,48

67007,25

253821209,08

192845,95

10. Позавиробничі (комерційні) витрати (3% виробничої собівартості)

1955637,97

2010,22

7614636,27

5785,38

Відсоток за банківський кредит (0,1% виробничої собівартості)

65187,93

67,01

253821,2

192,9

 Разом повна собівартість

67208757,38

69084,48

261689666,55

198824,23


2.3 Ціноутворення

Оптову ціну виробів підприємств визначаємо, використовуючи формулу:

, грн./шт., (2.10)

де Р - рентабельність виробу, %;

С - собівартість виробу грн./шт.


Відпускну ціну виробів визначаємо, використовуючи формулу:

, грн., (2.11)

де ПДВ - податок на додану вартість (прийняти згідно з податковим кодексом України, додаток Б).

 


Об’єм реалізації у відпускних цінах підприємства визначимо, використовуючи формулу:

, грн., (2.12)

де VA і VБ - об’єм реалізації в натуральному виразі.


2.4 Формування прибутку

а) виручка (валовий дохід) від реалізації продукції, товарів, робіт і послуг визначимо за даними Vр і коефіцієнта збільшення Vр, рівному 1,2 (тобто вважається, що підприємство не тільки реалізовувало вироби А і Б, але і виконувало роботи і послуги промислового характеру стороннім організаціям):

;

б) визначимо чистий дохід (виручку) від реалізації продукції (товарів, робіт, послуг) без урахування суми ПДВ:

;

в) собівартість реалізованої продукції (товарів, робіт, послуг) приймемо з табл. 2.9 (разом «повна собівартість» по деталям А і Б - у тис. грн.):

;

г) валовий прибуток визначимо як різницю між чистим доходом і собівартістю реалізованої продукції:

;

д) інші операційні доходи (доходи від реалізації деякої частини виробничих запасів; від операційної оренди активів; від відшкодування раніше списаних активів і т.д.) - приймемо в сумі 20500 тис. грн.;

е) адміністративні витрати (постійна частина загальновиробничих витрат) визначені в п.2.1.8 і становлять 80% від загальної суми загальновиробничих витрат:

;

ж) витрати на збут приймемо в сумі - 3200 тис. грн.;

з) інші операційні витрати (витрати на відрядження, на послуги зв'язку, на виплату матеріальної допомоги, плата за розрахунково-касове обслуговування тощо) - 18500 тис. грн.;

і) визначимо фінансові результати від операційної діяльності:


ї) інші витрати від операційної діяльності - 8300 тис. грн.;

к) визначимо фінансові результати від звичайної діяльності до оподаткування:

;

л) податок на прибуток від звичайної діяльності (приймемо згідно з податковим кодексом України, додаток Б):

;

м) розрахуємо фінансові результати від звичайної діяльності або чистий прибуток:


2.5 Капіталовкладення у розвиток виробництва

На підприємстві передбачається впровадження нової техніки, використання якої дозволить поліпшити техніко-економічні показники його діяльності. Складові капіталовкладень в нову техніку:

вартість впроваджуваних машин, апаратів, приладів (Ц):

;

витрати на транспортування техніки до місця експлуатації (Ст):

;

витрати на придбання комплекту дорогого інструменту (И) нової техніки:

;

вартість будівельно-монтажних робіт (См):

;

сума оборотних коштів, пов'язаних з впровадженням нової техніки (Со) нової техніки:


Загальна сума капіталовкладень складе:

, грн.(2.13)


2.6 Зниження собівартості виробів

З впровадженням нової техніки виробництво виробів А збільшиться на 10%. Зниження собівартості продукції при цьому складе:

економія по металу

, грн.,(2.14)

де А2 - новий об’єм виробництва виробів, шт.;

М1 і М2 - витратний коефіцієнт металу до і після впровадження нової техніки (для виробу А приймемо скорочення витратного коефіцієнта металу на 5%);

Ц - ціна одиниці металу, грн.


економія по заробітній платі виробничих робітників (основної та додаткової з відрахуваннями):

, грн.,(2.15)

де З1 і З2 - витрати в собівартості виробу А на заробітну плату (основну та додаткову з відрахуваннями) виробничих робітників. Врахуємо зниження З2 на 3% від З1.


-   економія на умовно-постійних витратах

Приймемо, що умовно-постійні витрати становлять 50% від витрат на 1 одиницю виробу за такими статтями калькуляції: таблиця 2.9 - номери статей 7,8.9,10.


Тоді економія на умовно-постійних витратах складе:

, грн. (2.17)

де С - умовно-постійна частина витрат в собівартості виробу, грн.;

К - коефіцієнт, що враховує зростання об’єму виробництва виробів.


Сумарне зниження собівартості виробу А складе:

, грн.(2.18)

Аналогічні розрахунки виконаємо і для виробу Б.

зростання обсягу виробництва виробу Б - на 3%;

зниження витратного коефіцієнта металу на 1 виріб - 4%.

Зниження собівартості продукції при цьому складе:

економія по металу


економія по заробітній платі виробничих робітників (основної та додаткової з відрахуваннями). Врахуємо зниження З2 на 3% від З1:


економія на умовно-постійних витратах

Приймемо, що умовно-постійні витрати становлять 50% від витрат на 1 одиницю виробу за такими статтями калькуляції: таблиця 2.9 - номери статей 7,8.9,10.


Тоді економія на умовно-постійних витратах складе:

Сумарне зниження собівартості виробу Б складе:


2.7 Річна економія від зниження собівартості виробів

Річну економію від зниження собівартості виробів визначимо як суму зниження собівартості виробу А та виробу Б.


2.8 Термін окупності капіталовкладень

Термін окупності капіталовкладень визначимо по формулі:

, років(2.19)


Отриманий результат порівняємо з нормативним значенням Тн - 5 років.

Тк < Тн - капіталовкладення економічно вигідні.

2.9 Визначення точки беззбитковості при виборі інвестиційної стратегії підприємства

Для розрахунку точки беззбитковості використовуємо аналітичний і графічний методи. Вихідні дані для розрахунку представимо у табл. 2.10.

Таблиця 2.10

Показники

Виріб А

Виріб Б

Обсяг виробництва виробів, шт.

970

1330

Ціна реалізації однієї штуки, тис. грн.

104,04

317,32

Змінні витрати, тис. грн./од.

60,2

184,83

Постійні витрати, тис. грн.

8809,73

15862,8


Приймемо, що постійні витрати в калькуляції собівартості одного виробу складають 50% від статей 7, 8, 9, 10 табл. 2.9. Розрахуємо постійні витрати для виробів А, Б на весь обсяг.


Розрахуємо змінні витрати як різниця між повною собівартістю і постійними витратами (табл.2.9).

 


Визначимо змінні витрати на одиницю продукції відповідно для виробів А, Б.


Виходячи з умови рівності валового доходу від реалізації та валових витрат розрахуємо обсяг виробництва, відповідний точці беззбитковості за формулою:

, шт.,(2.20)

де Ао - обсяг виробництва, відповідних точці беззбитковості, шт.;

Зпост - постійні витрати на весь об’єм, тис. грн.;

Ц - ціна реалізації одиниці виробу, тис. грн.;

Ззм - питомі змінні витрати, тис. грн./од.

 

Постійні витрати для виробів А і Б на весь обсяг становлять відповідно 8809,73 тис. грн. та 15862,8 тис. грн. Змінні витрати на одиницю продукції для виробів А і Б відповідно становлять 60,2 тис. грн./од. та 184,83 тис. грн./од.

Для деталей А точка беззбитковості становить - 201 шт., а для деталей Б - 120 шт., а значить з виготовлення 202 деталі А і 121 деталі Б підприємством буде отримано прибуток.

Обсяг виготовлення деталей А в 5 разів, а деталей Б в 10 разів більше точки беззбитковості, тому цей проект вигідний для підприємства.

Висновок

У процесі виконання курсової роботи була розрахована повна собівартість одиниці виробів А і Б, яка складає відповідно 69084,48 грн. та 198824,263 грн. на кожну випущену деталь.

На основі отриманої повної собівартості, розраховано оптову ціну виробів підприємств, яка для виробу А складає 86701,02 грн./шт., а для виробу Б - 264436,23 грн./шт. Відпускна ціна для виробів А і Б складає відповідно 104041,22 грн. та 317323,48 грн. Об’єм реалізації у відпускних цінах підприємства - 522960211 грн.

Для формування прибутку розрахували: виручку від реалізації продукції, товарів, робіт і послуг, яка складає 627552,26 тис. грн.; чистий дохід від реалізації продукції без урахування суми ПДВ - 522960,22 тис. грн.; валовий прибуток - 194061,8 тис. грн.; фінансові результати від операційної діяльності - 175683,78 тис. грн.; фінансові результати від звичайної діяльності до оподаткування - 167383,78 тис. грн., а також чистий прибуток, який складає 132233,19 тис. грн.

З впровадження на підприємстві нової техніки, загальна сума капіталовкладень складає 9758400 грн., а зниження собівартості виробу А і Б складе відповідно 2262584,2 грн. та 6261616,6 грн. Річна економія від зниження собівартості виробів А і Б - 8524200,8 грн.

Нормативне значення окупності капіталовкладення - 5 років, а отриманий термін окупності - 1,15 років, тому капіталовкладення економічно вигідні.

Для деталей А точка беззбитковості складає - 201 шт., а для деталей Б - 120 шт., тому з виготовлення 202 деталі А і 121 деталі Б підприємством буде отримано прибуток.

Так як обсяг виготовлення деталей А в 5 разів, а деталей Б в 11 разів більше точки беззбитковості, то цей проект вигідний для підприємства.

Список використанної літератури

1. Бойчик, І.М. Економіка підприємства : навч. посібник для студ. екон. спец. вищих навч. закладів / І.М. Бойчик. ─ К.: Атіка, 2007. ─ 528 с.

. Зайцев, Н.Л. Экономика промышленного предприятия : учебник для студ. вузов, обуч. по направлению и спец. "Менеджмент" /Н.Л. Зайцев ─ М.:ИНФРА-М, 2002. ─ 383 с.

. Круш П.В. Капітал, основні та оборотні засоби підприємства : навч. посібник для студ. вищих навч. закладів / П.В. Круш, О.В. Клименко, В.І. Подвігіна, В.О. Гулевич ─ К.: Центр учбової літератури, 2008. ─ 328 с.

. Манів, З.О. Економіка підприємства : навч. посібник / З.О. Манів, І.М. Луцький ─ К.: Знання, 2004. ─ 581 с.

. Тюріна Н.М. Економіка промислового підприємства : підручник для студ. неекон. спец. /Н.М. Тюріна, М.Д. Ведерніков, Г.І. Капінос та ін. ; за ред. Н.М. Тюріної. ─ Львів : Новий Світ-2000, 2008. ─ 312 с.

. Шваб, Л.І. Економіка підприємства : навч. посібник для студ. вищих навч. закладів / Л.І. Шваб ─ К.: Каравела, 2007. ─ 584 с.

Додаток А

Показники


Програма випуску виробів, штук: - виріб А  - виріб Б

 1000 1280

Ціна 1 т. матеріалу, тис. грн. сталь А12, Æ 38 латунь ЛС59-1, Æ16

 16,6 75,9

Витрата палива технологічного, т. виріб А виріб Б

 0,54 0,617

Оптова ціна станка, грн. токарного фрезерного шліфувального

 107100 82910 109700

Рентабельність виробів для розрахунку оптової ціни підприємства, % виріб А виріб Б

 23 24

Вартість впроваджуваних машин, апаратів, приладів, тис. грн.

7960

Збільшення випуску виробів А після впровадження нової техніки, %

12


Додаток Б

Види податку

Ставка податку

Податок на додану вартість (ПДВ)

з 01.2011 - 12.2013 20%

Податок на прибуток

з 01.2012 - 12.2012 21%


Похожие работы на - Обґрунтування виробничої програми підприємства

 

Не нашли материал для своей работы?
Поможем написать уникальную работу
Без плагиата!
Без нейросетей!