Исследование энергетических характеристик источников лазерного излучения эталона единиц средней мощности, ослабления и длины волны оптического излучения для волоконно-оптических систем связи и передачи информации
КУРСОВАЯ
РАБОТА
Исследование энергетических характеристик источников лазерного
излучения эталона единиц средней мощности, ослабления и длины волны оптического
излучения для волоконно-оптических систем связи и передачи информации
Введение
С начала развития компьютерной
техники прошло более шестидесяти лет. За это время были получены такие скорости
передачи данных, о которых раньше нельзя было и мечтать. Все началось с того,
что в 1948 году вышли книги К. Шеннона «Математическая теория связи» и Н.
Винера «Кибернетика, или управление и связь в животном и машине». Они и
определили новый вектор развития науки, в результате чего появился компьютер:
вначале ламповый гигант, затем транзисторный и на интегральных схемах, на
микропроцессорах. И вот в 1989 году появился персональный компьютер IBM, а также программа MS - DOS, а в 1990 - Windows-3.0, и далее пошло
стремительное совершенствование «железа» и программного обеспечения. 1986 год -
рождение Интернета, глобальной сети, охватившей практически все страны мира,
поставляющей каждому пользователю текущую информацию. Получив настолько быструю
обработку данных, люди пришли к выводу, что можно перестать терять время и
деньги, также на передачу этих данных, а также увеличить скорость доступа, и
скорость передачу данных. Это стало возможным благодаря использованию новых
видов связи, таких как оптическое волокно, пришедших на замену банальным
алюминиевым и медным проводам.
Тема об оптоволоконной линии связи,
является актуальной на данный момент времени, так как число людей на планете
растет, и потребности в улучшение жизни тоже увеличиваются. Ещё с древних
времён человек совершенствуется: улучшает свои знания, стремится улучшить
жизнь, создавая и моделируя предметы быта. И сейчас многие фирмы создают бытовую
технику, которая упрощают жизнь человека. Но для внедрения этих новых
технологий нужно изменять или улучшать старое. В пример этому можно привести
линии связи на коаксиальном (медном) кабеле, их скорость передачи информации
мала, а скорость передачи информации по оптической линии связи очень велика.
Плюс, низкие потери при передаче сигнала по оптоволокну, позволяет прокладывать
кабель на довольно большие расстояния без установки дополнительного
оборудования. Оптоволокно имеет широкую полосу пропускания, высокую
помехозащищенность, низкий уровень шумов, малый вес и объем высокую
защищенность от несанкционированного доступа, легкость прокладки и долгие сроки
работы кабеля практически в любых условиях. В настоящее время оптоволокно
находит свое применение преимущественно в теле - и интернет - коммуникациях.
Целью данной работы является
исследование энергетических характеристик источников лазерного излучения.
Конкретно остановимся на таких энергетических характеристиках как мощность и
стабильность лазерного излучения. А также необходимо определить длины волн
оптического излучения для волоконно-оптических систем связи и передачи
информации. Помимо этого, попытаемся выяснить преимущества и недостатки
оптического волокна.
1.
Оптическое волокно
.1 Понятие об оптическом
волокне
В физике хорошо известна
двойственная (волновая и корпускулярная) природа света, на базе изучения
свойств которой разработаны соответствующие теории, которые нельзя
противопоставлять, так как лишь в своей совокупности они позволяют объяснить
известные оптические явления. При этом волновая теория рассматривает свет как
разновидность электромагнитных колебаний очень коротких (нанометровых) длин
волн и использует при описании оптических процессов уравнения Максвелла. В то
же время по корпускулярной теории свет представляется в виде быстро движущихся
частиц, которые излучаются отдельными порциями (квантами), образуя луч света.
Такая теория часто называется лучевой, и базируется она на известных законах
геометрической оптики, позволяя наглядно и просто описывать распространение
света в той или иной оптической среде, например в оптическом волноводе.
Последний представляет собой круглый стержень из оптически прозрачного
диэлектрика, который из-за малых размеров поперечного сечения обычно называют
оптическим волокном (OB). ОВ широко используется в телекоммуникациях для передачи
оптического излучения от источника к приемнику и является основным элементом
оптического кабеля (ОК).
Оптическое волокно в настоящее время
считается самой совершенной физической средой для передачи информации, а также
самой перспективной средой для передачи больших потоков информации на
значительные расстояния. В настоящее время волоконно-оптические кабели
проложены по дну Тихого и Атлантического океанов и практически весь мир «опутан»
сетью волоконных систем связи. Человечество уже давно нашло широкое применение
волоконных систем практически во всех сферах связи, энергетики, транспорта,
науки, образования, медицины, экономики, обороны, государственно-политической и
финансовой деятельности [1].
1.2 Прохождение
светового излучения через границу раздела
сред
В геометрической оптике световые
волны изображаются лучами, которые претерпевают изменения на границах раздела
сред с разными оптическими свойствами, характеризующимися показателем
преломления n=с/х, который в общем случае показывает, во сколько раз скорость с
распространения света в вакууме больше скорости х распространения света в
рассматриваемой среде.
Рис. 1.1 - Отражение и преломление
светового луча на границе двух сред
Как известно, среда, у которой
показатель преломления больше, называется оптически более плотной, в противном
случае - менее плотной, поэтому при падении луча света (световой волны) на
границу раздела таких сред в общем случае появляются отраженная и преломленная
волны (рис. 1.1а), причем в соответствии с законом Снеллиуса углы падения цn, отражения цотр
и преломления цпр связаны следующими соотношениями:
цn = цотр, (1.1)
п1sin цn = п2sin цnp, (1.2)
Причем, если луч переходит из
оптически более плотной среды в менее плотную n1 > n2, то цпр >
цп. Путем увеличения угла падения можно достичь состояния, при
котором преломленный луч будет скользить по границе раздела сред, не переходя в
другую среду (рис. 1.1б). Угол падения, при котором имеет место данный эффект,
называется критическим углом цкр полного внутреннего отражения.
Очевидно, что для всех углов падения, больших критического (цп >
цкр), будут иметь место только отражения, а преломления будут
отсутствовать. Это явление называется полным внутренним отражением, и,
поскольку вся мощность светового луча практически полностью возвращается в
область более плотной среды, на этом эффекте основан принцип передачи
оптического излучения по ОВ [1].
1.3 Распространение
световых лучей в оптических волокнах
В общем случае оптическое волокно
(рис. 1.2) состоит из сердцевины, по которой происходит распространение
световых волн, и оболочки, предназначенной, с одной стороны, для создания
лучших условий отражения на границе раздела «сердцевина - оболочка», а с другой
- для снижения излучения энергии в окружающее пространство. С целью повышения
прочности и тем самым надежности волокна поверх оболочки, как правило,
накладывается первичное защитное упрочняющее покрытие. Такая конструкция ОВ
является типовой и используется во многих ОВ в качестве базовой.
Рис. 1.2 - Общий вид типового
оптического волокна
Как было отмечено выше, лучи света
распространяются в ОВ при выполнении условий п1>п2, в
связи с чем для характеристики волокна используется соотношение, которое
принято характеризовать относительной разностью показателей преломления ∆=(n21 - n22)/ 2n21 и которое для
большинства ОВ равно ∆=10-2…10-3. При этом если
показатель преломления оболочки имеет постоянное значение, то показатель
преломления сердцевины может быть либо постоянным, либо изменяться вдоль
радиуса по определенному закону. Характер изменения показателя преломления ОВ
вдоль радиуса называется профилем показателя преломления. Так, для произвольного
степенного изменения профиля показателя преломления закон изменения п(r) по
радиусу определяется выражением:
, (1.3)
где r - текущий радиус; R - радиус сердцевины; п1
- показатель преломления в центре сердцевины, равный примерно 1,5; q = {l,
} - показатель степени, определяющий изменение п(r); ∆=0.003 - 0.01.
Очевидно, что при q =
профиль показателя преломления определяется как
, (1.4)
и соответствует ступенчатому
волокну, а при q = 2 - волокну с наиболее распространенным параболическим профилем
показателя преломления, для которого
, (1.5)
Выбор соотношения между п1
и п2 определяется различными факторами в зависимости от назначения и
области применения ОВ.
Рис. 1.3 - Распространение излучения
по ОВ
Процесс распространения световых
лучей в оптически более плотной среде, окруженной менее плотной, в рамках
геометрической оптики, показан на рис. 1.3. При попадании светового излучения
на торец ОВ в нем могут распространяться три типа световых лучей, которые
подразделяются на направляемые, вытекающие и излучаемые лучи, причем наличие и
преобладание какого-либо типа лучей определяется углом их падения на границу
раздела «сердцевина - оболочка». Очевидно, что при некотором угле падения лучей
на торец волокна, угле ввода ив оптического излучения в ОВ и их
дальнейшем попадании на границу раздела на ней может иметь место полное
внутреннее отражение. Те лучи, которые падают на границу раздела под углом и
>икр (лучи 1, 2 и 3), отражаются от нее и вновь возвращаются в
сердцевину волокна, распространяясь в ней и не претерпевая преломления. Так как
траектории таких лучей полностью расположены внутри среды распространения -
сердцевины волокна, они распространяются на большие расстояния и называются
направляемыми, являясь основным типом лучей в сердцевине ОВ.
Лучи, падающие на границу раздела
под углами и<икр (лучи 4), носят название вытекающих лучей (лучей
оболочки). Достигая границы «сердцевина - оболочка», эти лучи отражаются и
преломляются, теряя каждый раз в оболочке волокна часть энергии, в связи с чем
исчезают вовсе на некотором расстоянии от торца волокна. Те же лучи, которые
излучаются из оболочки в окружающее пространство (лучи 5), носят название
излучаемых лучей. Они, естественно, не распространяются вдоль ОВ, а, как
правило, возникают в местах нерегулярностей волокна. Очевидно, что излучаемые и
вытекающие волны - это паразитные волны, приводящие к рассеиванию энергии и
искажению информационного сигнала [1].
оптический излучение
волокно лазерный
1.4 Типы волокна
Для передачи сигналов применяются
два вида волокна, отличающиеся диаметрами световедущей сердцевины:
· одномодовые (SM);
· многомодовые (ММ).
Многомодовое волокно, в свою
очередь, бывает двух типов:
· со ступенчатым
профилем показателя преломления по его сечению;
· с градиентным
профилем показателя преломления по его сечению [1].
Одномодовое оптическое волокно
Стандартное одномодовое оптическое
волокно имеет диаметр сердцевины 9 мкм и диаметр оболочки 125 мкм.
В таком оптоволокне при достаточно
большой длине волны света распространяется только один луч (одна мода). Одномодовый
режим в оптическом волокне реализуется в окнах прозрачности соответствующих
длинам волн л1 = 1310 нм и л2 = 1550 нм. Распространение
только одной моды устраняет межмодовую дисперсию и обеспечивает очень высокую
пропускную способность одномодового волокна в этих окнах прозрачности, что и
позволяет передавать сигналы на расстояние до 50 км. Наилучший режим
распространения с точки зрения дисперсии достигается в окрестности длины волны
1310 нм, когда хроматическая дисперсия обращается в ноль. С точки зрения потерь
это не самое лучшее окно прозрачности. В этом окне потери составляют 0,3 - 0,4
дБ/км, в то время как наименьшее затухание 0,20 - 0,25 дБ/км достигается в окне
1550 нм.
Рисунок 1.4 - Одномодовое
оптоволокно
Многомодовое ОВ со ступенчатым
показателем преломления
Если показатель преломления
сердцевина (n) одинаков по всему поперечному сечению, то говорят, что
показатель преломления имеет ступенчатый профиль. Такой волоконный световод
называется световодом со ступенчатым профилем показателя преломления.
Рисунок 1.5 - Многомодовое ОВ со
ступенчатым показателем преломления
Если диаметр сердцевины много больше
длины волны оптической несущей, то импульс света, распространяющийся в нем,
состоит из многих составляющих, направляемых в отдельных модах световода.
Каждая мода возбуждается на входе световода под своим определенным углом ввода
и направляется по сердцевине по своей траектории. Такой тип световода
называется многомодовым.
Моды проходят разное расстояние
оптического пути и поэтому приходят на выход световода в разное время.
Искажения, обусловленные дисперсией времени задержки отдельных мод называется
межмодовой дисперсией. Она обуславливает тот факт, что короткий световой импульс
уширяется (во времени) по мере прохождения по ступенчатому световоду. Это
является недостатком для оптических систем передачи информации, так как
уменьшает скорость передачи и полосу пропускания. Область применения
ступенчатых оптоволокон короткие (до 1 км) линии связи со скоростями передачи
информации до 100 Мбайт/с. Многомодовый режим со ступенчатым показателем
преломления в оптическом волокне реализуется, как правило, в окне прозрачности
соответствующем длине волны 850 нм. В настоящее время ступенчатое волокно
практически не используется.
Многомодовое ОВ с градиентным
показателем преломления
В многомодовом ступенчатом волокне
моды распространяются по траекториям различной длины и поэтому приходят к концу
световода в разное время. Эта нежелательная межмодовая дисперсия может быть
значительно уменьшена, если показатель преломления сердцевины уменьшается
параболически от максимальной величины у оси световода до величины показателя
преломления оболочки, у границы с оболочкой. Волоконный световод с таким градиентным
профилем показателя преломления, называется градиентным волоконным световодом.
Рисунок 1.6 - Многомодовое ОВ с
градиентным показателем преломления
Полоса пропускания по сравнению со
ступенчатым волокном заметно увеличивается, до 100-1000 МГц/км. Лучи света
проходят по винтообразным спиральным траекториям. Они распространяются не
зигзагообразно. Вследствие непрерывного изменения показателя преломления n(r) в
стекле сердцевины лучи непрерывно преломляются, и поэтому их направление
распространения меняется, за счет чего они распространяются по волновым
траекториям.
Лучи колеблющиеся вокруг оси
световода проходят более длинный путь, чем луч света вдоль оси световода.
Однако благодаря меньшему показателю преломления в отдалении от оси оптического
волокна эти лучи распространяются соответственно быстрее, благодаря чему более
длинные оптические пути компенсируются меньшим временем прохождения. В
результате различие временных задержек разных лучей почти полностью исчезает.
При прочих равных условиях, число распространяющихся мод уменьшается примерно в
два раза в сравнении со ступенчатым волноводом.
Для градиентных ОВ вводится понятие
локальной числовой апертуры, которая показывает, что максимальный угол ввода
оптического излучения в этом случае определяется тем, в какой точке сердцевины
волокна находится вершина конуса, иными словами, захват волокном вводимого луча
света зависит от того, в какой точке сердечника он вводится в градиентное
волокно. Для градиентного волокна с параболическим профилем показатель
преломления локальная числовая апертура определяется выражением:
, (1.6)
Градиентное оптоволокно в
соответствии со стандартами имеет диаметр сердцевины 50 мкм и 62,5 мкм, диаметр
оболочки 125 мкм. Оно применяется во внутриобъектовых линиях длиной до 5 км, со
скоростями передачи до 100 Мбайт/c на длинах волн 850 нм и 1350 нм [1,2].
1.5 Окна прозрачности
оптического волокна
По мере распространения света в
оптической среде он ослабевает, что носит название затухания среды - затухания
ОВ. Затухание зависит от длины волны излучения, вводимого в волокно, а так же
от свойств материала и от внешних воздействий. В настоящее время передача
сигналов по волокну осуществляется в трех диапазонах: 850 нм, 1300 нм, 1550 нм,
так как именно в этих диапазонах кварц имеет повышенную прозрачность. Затухание
(рис. 1.7) обычно измеряется в дБ/км и определяется потерями на поглощение и на
рассеяние излучения в оптическом волокне, где децибел - логарифмическое
выражение отношения мощности, выходящей из источника Р1, к мощности,
входящей в приемник Р2, дБ = 10*log(P1/P2).
Потеря 10 дБ означает, что только 1/10 мощности источника доходит до приемника,
потери 90%. Волоконно-оптические линии, как правило, способны нормально
функционировать при потерях в 30 дБ (прием 1/1000 мощности).
Потери волокна зависят от длины
волны оптического излучения и минимальны в диапазоне от 800 нм до 1700 нм.
Внутри этого диапазона оптические кварцевые волокна часто работают в одном или
нескольких окнах прозрачности. Первое окно расположено вблизи 850 нм, второе -
вблизи 1300 нм, и третье - 1550 нм.
Рисунок 1.7 - Окна прозрачности
оптоволокна
Потери в первом окне максимальны, в
третьем - минимальны. На графике показано три окна прозрачности - каждое
определяет область длин волн для нормальной работы волокна. Исторически,
поскольку лазерные источники и приемники стали выпускаться для длин волн вблизи
850 нм в 1979 г., первые волоконные системы работали в этом диапазоне длин волн
(первое окно прозрачности). Системы, работающие во втором окне прозрачности
(вблизи 1310 нм) начали выпускаться между 1980 и 1983 гг., а системы,
работающие в третьем окне прозрачности (вблизи 1550 нм) были внедрены в 1986 г.
Как видно из графика релеевское рассеяние ограничивает нижний предел потерь в
левой части, а инфракрасное поглощение - в правой. Здесь также даны три окна
прозрачности ОВ, из которых наименьшее затухание имеет место в третьем окне на
длине волны 1,55 мкм. 1 окно прозрачности используется в локальных
вычислительных сетях, 2 окно используется на городских и зоновых линиях, 3 окно
используется в магистральных линиях.
В настоящее время в технике связи в
основном применяются кварцевые ОВ, область эффективного использования которых
находится в диапазоне длин волн до 1,7 мкм. 4 окно прозрачности находится в
диапазоне 1565…1625 нм, а 5 окно прозрачности в диапазоне 1460…1530 нм. На
более длинных волнах в качестве материала для волокна используются галоидные,
халькогенидные и фторидные стекла. По сравнению с кварцевыми волокнами они
обладают большей прозрачностью и обеспечивают снижение потерь на несколько
порядков [1,2,3].
2.
Энергетические характеристики
Измерение
оптической мощности
Измерение оптической мощности
является метрологической основой волоконной оптики, а измерительный
преобразователь оптической мощности в той или иной форме используется
практически в каждом средстве измерения параметров световой волны.
В волоконной оптике мощность принято
измерять в дБм - это единица измерения мощности по отношению к уровню 1 мВт, а
также это удобный способ представления очень больших и очень малых значений
мощностей, дБм привязан к ватту и не зависит от полного сопротивления, служит
для измерения абсолютной мощности. С помощью формулы (2.1) мощность, выраженную
в мВт, можно перевести в дБм.
, (2.1)
Различают измерение абсолютной и
относительной мощности: первое - используется для определения характеристик источников
и приемников оптического излучения, а второе - для измерения его ослабления,
усиления, возвратных и вносимых потерь. Например, измерение абсолютной мощности
оптического передатчика или чувствительности оптического усилителя (ОУ),
позволяет определить запас мощности, а измерение относительной мощности
позволяет установить потери ОВ, коэффициента усиления ОУ и другие. Оптическая
мощность обычно определяется на основе измерений электрической мощности, так
как последняя может быть точно определена по току и напряжению. Можно выделить
две основные группы измерителей оптической мощности:
· измерители мощности
с термическими оптико-электрическими измерительными преобразователями (ТОЭИП),
основанные на измерении повышения температуры, вызванного оптическим
излучением;
· измерители мощности
с фотодиодами (ФД), основанные на использовании фотонов оптического излучения,
генерирующих связанные пары: электрон-дырка.
Хотя измерители мощности на ФД имеют
небольшой диапазон рабочих длин волн, а также нуждаются в абсолютной
калибровке, они используются чаще вследствие своей высокой чувствительности.
Измерители мощности на ТОЭИП предпочтительнее использовать в метрологических
лабораториях ввиду их высокой стабильности и независимости показаний от длины
волны оптического излучения в широком динамическом диапазоне. Кроме этого, сами
ТОЭИП могут быть непосредственно проверены при помощи измерений электрической
мощности.
Измерители мощности с термическими
оптико-электрическими измерительными преобразователям
Известны различные принципы
измерения оптической мощности с помощью ТОЭИП, наиболее распространенный из них
основан на радиометрическом методе замещения, являющемся в общем случае методом
автокалибровки. Согласно этому методу измеритель мощности сначала подвергается воздействию
оптического излучения, а затем излучение отсекается (при помощи шторки или
прерывателя) и заменяется электрическим источником, мощность которого
контролируется так, чтобы поддерживать постоянную температуру. Так как
электрическая мощность может быть измерена с высокой точностью, то
обеспечивается высокая точность данного метода измерения оптической мощности.
В этом методе поглощающий слой,
например, поверхность, покрытую черной краской, сначала облучают падающим
светом, а затем нагревают его резистором, имеющим контакт с поглощающим слоем.
Одна сторона резистора имеет изолированный слой серебра, покрытого черной
краской для уравнивания колебаний температуры. Температура измеряется при
помощи термобатареи (последовательно соединенных термоэлементов, расположенных
в непосредственной близости от серебряной пластины), вырабатывающей напряжение,
пропорциональное разности температур между поглощающим слоем и поверхностью с
достаточно большой тепловой массой. Нелинейность метода не рассматривается, так
как основой является достижение равенства температур для двух типов
возбуждения. Необходимо, однако, обеспечить следующее:
· необходимую площадь
поверхности с большой тепловой массой для поддержания постоянной температуры во
время измерения;
· блокирование фонового
и рассеянного светового излучения;
· оптимизацию
теплового потока между поглощающим слоем и нагревателем;
· высокую поглощающую
способность поверхности;
· точное измерение
электрической мощности.
Другая реализация данного метода
основана на том, что вместо последовательного оптического и электрического
воздействия, ТОЭИП непрерывно электрически нагревается, потребляя мощность
несколько большую оптической мощности, которую предстоит измерить, при этом
фиксируется напряжение на ТОЭИП. Затем он подвергается оптическому воздействию,
а электрическая мощность уменьшается посредством обратной связи до тех пор,
пока напряжение на ТОЭИП не станет таким же, как и прежде. Результат измерения
оптической мощности представляет собой разницу значений электрической мощности
в этих двух процедурах (в измерении напряжения на ТОЭИП нет необходимости).
Наибольшая трудность при
использовании ТОЭИП заключается в их низкой чувствительности и большой
продолжительности измерения (постоянная времени от нескольких секунд до нескольких
минут в зависимости от размера ТОЭИП). Лучшие результаты возможны при
использовании термочувствительных элементов, выполненных на полупроводниковых
материалах. Такие характеристики позволяют использовать тепловые измерители
мощности для проведения калибровки, для других измерений в волоконно-оптической
технике они используются довольно редко.
Особым типом теплового измерителя
мощности является криогенный радиометр, представляющий собой ТОЭИП, помещенный
в вакуум и охлажденный жидким гелием до 6° К. Криогенные радиометры являются
наиболее точными измерителями мощности благодаря тому, что:
· при 6° К энергия,
необходимая для увеличения температуры на 1° К, значительно снижается, что
уменьшает постоянную времени и, следовательно, время измерения;
· тепловые потери от
излучения существенно уменьшаются (энергия излучения пропорциональна T4);
· тепловое излучение
соединительных проводов резистора, может устранить, сделав их сверхпроводящими;
· потери от тепловой
конвекции устраняются путем эксплуатации ТОЭИП в вакууме.
На практике криогенные радиометры
при измерении мощности позволяют достичь погрешности, равной ±0,01%, однако
вследствие высокой стоимости оборудования и сложности его эксплуатации они
обычно используются только в национальных калибровочных лабораториях.
Измерители мощности с фотодиодами
Большим преимуществом ФД является
то, что они способны измерять модулируемую высокочастотную мощность уровня
менее 1 пВт (-90 дБм), однако из-за значительной зависимости от длины волны их
полоса пропускания обычно не превышает одной октавы. Тем не менее, на
сегодняшний день вследствие высокой чувствительности, малой инерционности и
простоты использования ФД является наиболее распространенным фоточувствительным
элементом. Эти элементы широко используются в большинстве измерительных
средств, применяемых в телекоммуникациях.
Исходя из функционального назначения
ФД, при их рассмотрении пользуются понятием чувствительности, так как в
результате воздействия оптического излучения на ФД он создает фототок,
интенсивность (оптическая мощность) которого пропорционально числу фотонов.
Чувствительность ФД определяется отношением фототока к оптической мощности:
, (2.2)
а при наличии усиления M выражение
(2.2) заменится на:
, (2.3)
Мгновенное значение тока фотодиода
определяется выражением:
, (2.4)
где E(t) - напряженность поля
излучения.
На практике ФД отклоняются от этой
зависимости, так как:
· существует верхняя
критическая длина волны, за пределами которой энергия фотона становится ниже
энергии запрещенной зоны п/п материала, что приводит к резкому снижению
чувствительности;
· при короткой длине
волны некоторые фотоны поглощаются за пределами i-области фотодиода;
· происходит снижение
чувствительности вследствие промежуточной рекомбинации;
· любые отражения от
поверхности или внутри фотодиода уменьшают чувствительность.
Последний фактор очень важен, так
как отражения могут создавать значительные погрешности при измерении оптической
мощности и вносимых потерь. Следует отметить, что в некоторых случаях
наблюдается периодическая структура отражений, что приводит к возникновению
трудно устранимых оптических помех.
Спектральная чувствительность
Чувствительность на единицу
интервала длин волн на данной длине волны называется спектральной
чувствительностью ФД. На рисунке 2.1 показаны нормализованные типовые
чувствительности для различных типов ФД, откуда видно, что кремниевые ФД
эффективны в диапазоне коротких волн 500-1000 нм, а в области длинных волн
эффективны германиевые и InGaAs ФД. Германий можно рекомендовать для измерения
мощности в относительно узком спектре в диапазоне длин волн 1300-1550 нм. Так в
диапазоне длин волн 1550 нм германиевый ФД имеет погрешность 1%/нм. В отличие
от них InGaAs ФД существенно меньше зависят от длины волны в районе 1550 нм
(погрешностью менее 0,1%/нм) [5].

Рисунок 2.1 - Нормализованные
типовые чувствительности для различных типов ФД
Диапазон измерения и нелинейность
Одним из серьезных ограничений
точности при измерении оптической мощности в широком динамическом диапазоне
является нелинейность функции преобразования измерителя, которая может быть
вызвана как нелинейностью ФД, так и его электронной схемы. Считается, что ФД
имеют высокую линейность в диапазоне шести и более декад оптической мощности,
однако существуют три фактора, сужающие этот диапазон - это уровень шума,
сверхлинейность на средних уровнях и насыщение на высоких уровнях мощности.
Нелинейность электронной схемы в свою очередь может быть обусловлена
нелинейностью усиления сигнала на низких и высоких уровнях мощности, а также
нарушением непрерывности диапазона измерения при переключениях диапазона
измерения, что вызвано отличием коэффициентов усиления усилителя тока ФД на
различных диапазонах измерения.
Нижняя граница диапазона измерений
мощности обычно ограничивается темновым (в отсутствие излучения) током ФД. Его
значение зависит от площади активной области и параметров п/п материала ФД. Так
ФД из InGaAs имеют значение темнового фототока в 100 раз ниже, чем германиевые
ФД. Темновой ток приводит к возникновению дробового шума, характеризуемого
средним квадратом шумового тока in, пропорциональным темновому току
Iф и эквивалентной полосе частот шума ∆fn и не
зависящим от частоты. Рассчитанное на его основе отношение сигнал/шум равно:
, (2.5)
На рисунке 2.2 приведен пример
зависимости отношения сигнал/шум от уровня измеряемой мощности, при значении
темнового тока ФД, равном 1,5 мкА (типовое значение для германиевого ФД
диаметром 5 мм при 250С) и ∆fn = 100 Гц. Как видно
из приведенной зависимости, при низких уровнях мощности отношение сигнал/шум
возрастает линейно, а при высоких уровнях мощности - нелинейно. Такой характер
объясняется ростом уровня шума с увеличением оптической мощности.
Следовательно, улучшения отношения сигнал/шум можно добиться путем уменьшения
темнового тока, что достигается охлаждением и ограничением активной области
фотодиода, а также увеличением времени усреднения [2].
Рисунок 2.2 - Зависимости отношения
сигнал/шум от уровня измеряемой мощности, при заданном значении темнового тока
ФД
2.2 Стабильность мощности
лазерного излучения
Измерение мощности лазерного
излучения наряду с измерением энергии импульса составляет основу лазерометрии.
Для лазеров непрерывного режима работы в ряде применений, таких как метрология,
передача информации, исследование оптических параметров вещества существенно
знать не только значение мощности, но и стабильность мощности лазерного
излучения.
В международном
стандарте ISO 11554 (ISO
- Международная организация по стандартизации) стабильность мощности лазерного
излучения выражается через относительные флуктуации мощности за установленный
период времени. В соответствии с этим стандартом для средневременного (1 мин) и
долговременного (1 час) периодов проводят измерения мощности соответственно
через 1/100 и 1 с, определяют средние значения мощности
и
для
данных периодов, а также стандартные отклонения
и
(в
русскоязычной терминологии - средние квадратические отклонения единичных
измерений или СКО). Стабильность мощности вычисляется по формулам:
,
(2.6)
Значение средней мощности
определяется по формуле:
, (2.7)
Cреднее квадратическое отклонение единичных измерений определяется
по формуле:
, (2.8)
Стандарт ISO предлагает также в
протоколе измерений приводить максимальное и минимальное значения мощности
излучения во время измерений [4].
По ГОСТ 25786-83 определять
стабильность средней мощности можно в процентах по формуле:
, (2.9)
где Pmax и Pmin - максимальное и
минимальное значения средней мощности, полученные при измерении [5].
3.
Экспериментальная часть
3.1 Измерение мощности
на разных длинах волн
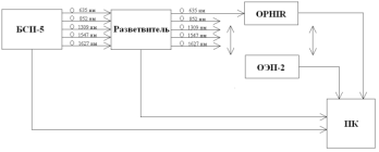
Измерения мощности на разных длинах
волн проводились с помощью измерителя Nova ЙЙ с фотодиодной головкой 3А-IS-IRG, а также с помощью
оптоэлектронного преобразователя ОЭП-2. Через USB выход измеритель
подсоединялся к ПК, что позволяло регистрировать каждое значение мощности с
частотой до 4 кГц.
В качестве детектора излучения
фотодиодной головки 3А-IS-IRG служит фотодиод на основе InGaAs. Спектральный диапазон
измерения находится в интервале 800ч1700 нм, а динамический диапазон от 3 мкВт
до 3 Вт. Фотодиодная головка имеет встроенный адаптер, позволяющий подсоединить
ОВ непосредственно к ней.
Измеритель ОЭП-2 позволяет проводить
измерения мощности лазерного излучения на длинах волн 850±20 нм, 1310±20 нм,
1550±20 нм и 1625±20 нм в динамическом диапазоне от -70 до 7 дБм. Схема данной
экспериментальной установки представлена на рисунке 3.1.
Рисунок 3.1 - Схема
экспериментальной установки
Результаты измерения максимальной и
минимальной мощности лазерного излучения блока стабилизированных лазерных
источников излучения БМИ-5, используемого в создаваемом эталоне единиц средней
мощности, ослабления и длины волны оптического излучения для
волоконно-оптических систем связи и передачи информации для различных длин волн
представлены в таблице 3.1.
|
л=655 нм
|
л=852 нм
|
л=1309 нм
|
л=1547 нм
|
л=1627 нм
|
|
Рmin, мВт
|
0,178
|
0,052
|
0,419
|
0,317
|
0,238
|
|
Pmax, мВт
|
1,701
|
1,448
|
11,51
|
12,94
|
6,90
|
|
Рmin, дБм
|
-7,50
|
-12,84
|
-3,78
|
-4,99
|
-6,23
|
|
Pmax, дБм
|
2,31
|
1,61
|
10,6
|
11,12
|
8,39
|
.2 Измерение
стабильности мощности лазерного излучения
В процессе испытания блока
стабилизированных источников БИС-5 были проведены измерения долговременной
стабильности (за 1 час) мощности лазерного излучения источников и
средневременной (за 1 минуту) без разветвителя, а также с разветвителями 50/50
и 90/10. Результаты измерений приведены в таблицах 3.2 -3.5.
Таблица 3.2. Результаты измерения
долговременной стабильности мощности
|
л=655 нм
|
л=852 нм
|
л=1309 нм
|
л=1547 нм
|
л=1627 нм
|
|
Рmin, мВт
|
1,025
|
1,028
|
0,997
|
1,021
|
1,022
|
|
Pmax, мВт
|
1,03
|
1,037
|
0,998
|
1,023
|
1,023
|
|
<Р>, мВт
|
1,026
|
1,035
|
0,998
|
1,022
|
1,022
|
|
s, мкВт
|
0,101
|
0,125
|
0,242
|
0,415
|
0,086
|
|
∆Р60(%)
|
0,020
|
0,024
|
0,048
|
0,081
|
0,017
|
|
∆Р60
(дБм)
|
0,0009
|
0,0010
|
0,0035
|
0,0007
|
|
∆Р(%)
|
0,487
|
0,872
|
0,050
|
0,196
|
0,098
|
|
∆Р(дБм)
|
0,0211
|
0,0377
|
0,0022
|
0,0085
|
0,0042
|
Таблица 3.3. Результаты измерения
средневременной стабильности мощности
|
л=655 нм
|
л=852 нм
|
л=1309 нм
|
л=1547 нм
|
л=1627 нм
|
|
Рmin, мВт
|
1,025
|
1,028
|
0,997
|
1,021
|
1,022
|
|
Pmax, мВт
|
1,027
|
1,032
|
0,998
|
1,022
|
1,023
|
|
<Р>, мВт
|
1,026
|
1,030
|
0,998
|
1,022
|
1,022
|
|
s, мкВт
|
0,061
|
0,094
|
0,182
|
0,315
|
0,056
|
|
∆Р1(%)
|
0,012
|
0,018
|
0,036
|
0,062
|
0,011
|
|
∆Р1
(дБм)
|
0,0052
|
0,0079
|
0,0016
|
0,0027
|
0,0005
|
|
∆Р(%)
|
0,195
|
0,388
|
0,050
|
0,098
|
0,098
|
|
∆Р(дБм)
|
0,0085
|
0,0168
|
0,0022
|
0,0042
|
0,0042
|
Из приведенных таблиц видно, что
источники лазерного излучения обладают высокой средневременной и долговременной
стабильностью.
В таблицах 3.4 и 3.5 приведены
результаты измерения стабильности мощности лазерного излучения источников
лазерного излучения при подключении дополнительных коммуникационных элементов.
Видно, что наличие разветвителя 90/10 незначительно ухудшает стабильность
мощности лазерного излучения. При использовании разветвителя 50/50 стабильность
мощности излучения существенно ухудшается.
|
Долговременная
|
Средневременная
|
|
л=1309 нм
|
л=1547 нм
|
л=1309 нм
|
л=1547 нм
|
|
Рmin, мВт
|
0,9020
|
1,1359
|
0,9211
|
1,1628
|
|
Pmax, мВт
|
0,9532
|
1,1938
|
0,9285
|
1,1771
|
|
<Р>, мВт
|
0,923857
|
1,159050
|
0,923506
|
1,168515
|
|
s, мкВт
|
4,716
|
5,488
|
2,363
|
3,298
|
|
∆Р60,1(%)
|
5,524799
|
4,970597
|
0,8059
|
1,222274
|
|
∆Р60,1
(дБм)
|
0,233545
|
0,21067667
|
0,03485951
|
0,0527609
|
|
∆Р(%)
|
1,021010
|
0,946925
|
0,511668
|
0,564553
|
|
∆Р(дБм)
|
0,044117
|
0,04093094
|
0,0221648
|
0,02444928
|
Таблица 3.5. Результаты измерения
долговременной и средневременной стабильности мощности лазерного излучения на
выходе оптоволокна с разветвителем 90/10
|
Долговременная
|
Средневременная
|
|
л=1309 нм
|
л=1547 нм
|
л=1627 нм
|
л=1309 нм
|
л=1547 нм
|
л=1627 нм
|
|
Рmin, мВт
|
1,0223
|
1,0164
|
1,0388
|
1,0223
|
1,0164
|
1,0389
|
|
Pmax, мВт
|
1,0228
|
1,0173
|
1,0393
|
1,0225
|
1,0167
|
1,0390
|
|
<Р>, мВт
|
1,016847
|
1,039064
|
1,0224
|
1,01665
|
1,0389
|
|
s, мкВт
|
0,100
|
0,197
|
0,108
|
0,0599
|
0,11266
|
0,05064
|
|
∆Р60,1(%)
|
0,048897
|
0,088509
|
0,048121
|
0,01956182
|
0,02951158
|
0,00962510
|
|
∆Р60,1
(дБм)
|
0,002123
|
0,0038422
|
0,00208937
|
0,00084948
|
0,00128148
|
0,00041799
|
|
∆Р(%)
|
0,019647
|
0,038706
|
0,020787
|
0,01171948
|
0,02216511
|
0,00974761
|
|
∆Р(дБм)
|
0,000853
|
0,00168065
|
0,00090267
|
0,00050894
|
0,00096251
|
0,00042331
|
Заключение
Проведенное исследование позволяет
сделать следующие выводы:
. Оптическое волокно - это
совершенная физическая среда для передачи информации, а также самая
перспективной среда для передачи больших потоков информации на значительные
расстояния.
2. Для одномодового
оптического волокна характерно распространение только одной моды, что позволяет
устранить межмодовую дисперсию и обеспечить высокую пропускную способность
оптоволокна с длинами волн 1310 нм и 1550 нм. Причем, окрестность с длиной
волны 1310 нм - наилучший режим распространения с точки зрения дисперсии, а с
точки зрения потерь это не самое лучшее окно прозрачности. Потери в окрестности
длины волны 1550 нм порядком меньше потерь в окрестности длины волны 1310 нм.
. В настоящее время передача
сигналов по волокну осуществляется в 3 диапазонах: 850 нм, 1300 нм, 1550 нм. В
технике связи в основном применяются кварцевые ОВ, область эффективного
использования которых находится в диапазоне длин волн до 1,7 мкм.
. Для измерения мощности
лазерного излучения в метрологических лабораториях предпочтительнее
использовать измерители мощности на ТОЭИП ввиду их высокой стабильности и
независимости показаний от длины волны оптического излучения в широком
динамическом диапазоне.
. Для измерения мощности
лазерного излучения в качестве рабочих средств измерений в телекоммуникациях
предпочтительнее использовать измерители мощности на ФД вследствие высокой
чувствительности, малой инерционности и простоты использования.
. Исследуя результаты
измерений долговременной и средневременной стабильности мощности, можно сделать
вывод о том, что испытываемые источники лазерного излучения блока
стабилизированных источников БИС-5 обладают высокой стабильностью мощности
излучения не превышающей 0,1%.
. Как видно из результатов
измерений, представленных в таблицах 3.4 и 3.5, наличие разветвителя 90/10
незначительно влияет на стабильность мощности лазерного излучения, разветвитель
50/50 существенно ухудшает стабильность мощности излучения.
Список используемых
источников
1. Иванов. А.Б.
Волоконная оптика: компоненты, системы передачи, измерения. М.: Компания Сайрус
Системс, 1999 г.
2. Официальный
сайт компании Волоконно-оптическая техника,
http://www.fot-company.ru/articles/book/6-1.html
Дата доступа 18.05.2012
г.
3. Дональд Дж.
Стерлинг, младший. Волоконная оптика. М.: Лори, 1998 г.
4. ГОСТ ISO
11554:2006. Методы испытаний лазеров и измерений мощности, энергии и временных
характеристик лазерного пучка. М.: Стандартинформ, 2008 г.
. ГОСТ 25786-83.
Лазеры. Методы измерений средней мощности, средней мощности импульса,
относительной нестабильности средней мощности лазерного излучения. М.:
Государственный комитет СССР по стандартам, 1984 г.