Измерение длины световой волны с помощью бипризмы Френеля
Министерство
образования и науки Российской Федерации
Национальный
минерально-сырьевой университет («Горный»)
Кафедра
Общей и технической физики
Отчет по
лабораторной работе
«Измерение
длины световой волны с помощью бипризмы Френеля»
мнимый источник свет интерференционная полоса
Выполнил:
студент гр. ОНГ-12-1 /Мартыненко
А.Н./
Проверил:
доцент /Прошкин С.С./
Санкт-Петербург
2013
Цель работы:
измерить длину световой волны с помощью бипризмы Френеля, расстояние между
мнимыми источниками, расстояние от мнимых источников до фокальной плоскости
микроскопа, ширину интерференционных полос.
Краткое теоретическое содержание
Рис. 1.
Ход световых лучей
Рассмотрим интерференцию света от двух
когерентных источников S1 и S2, расстояние
между которыми равно d (рис.1).
Проведем перпендикулярно отрезку S1 S2
через его середину прямую OA. Возьмем точку P на прямой АВ,
параллельной S1 S2 и обозначим OA
через а, а АР - через х. Тогда по теореме Пифагора:
, (1)
где
и
- пути, которые пройдут лучи света
от источников
и
до точки
, в которой
наблюдается интерференция. Из уравнений (1) следует
, или
(2)
откуда:
, (3)
где
- разность хода между
интерферирующими лучами.
Если
и
малы по сравнению с
, то
приближенно
и
. (4)
Если величина
равна
нечетному числу полуволн, то световые волны придут в точку
в
противофазе и погасят друг друга, интенсивность в этой точке будет минимальной.
Если же
равна
четному числу полуволн, то световые волны придут в точку
в
одинаковых фазах и усилят друг друга - интенсивность будет максимальной.
Условие минимума и, соответственно, максимума интенсивности будет:
, (5)
где
;
- длина волны.
В точках
(6)
будут светлые участки интерференционной картины,
а в точках
- (7)
- темные участки интерференционной картины. В
результате в плоскости АВ будут наблюдаться светлые и темные полосы.
Расстояние
между
центрами соседних
-й и
-й светлых
полос составит
. (8)
Такое же расстояние будет и между центрами
темных полос.
Схема установки
Рис. 2. Схема опытной установки
На рис. 2 обозначены: 1- осветитель, 2 - щель, 3
- светофильтр, 4 - бипризма Френеля, 5 - измерительный микроскоп, L - линза.
Ход работы
Опыт 1 заключается в измерении ширины
интерференционной полосы.
Таблица 1. Результаты измерений опыта 1
|
№
изм.
|
отсчет
слева, мм
|
отсчет
справа, мм
|
разность
отсчетов, мм
|
число
полос
|
b
ширина полосы, мм
|
|
|
|
|
|
|
|
1
|
21,98
|
23,22
|
1,24
|
7
|
0,177
|
|
2
|
21,75
|
23,20
|
1,45
|
|
0,207
|
|
3
|
22,03
|
23,17
|
1,14
|
|
0,163
|
|
4
|
21,93
|
23,20
|
1,27
|
|
0,181
|
21,9
|
23,15
|
1,25
|
|
0,179
|
|
|
|
|
bср
=
|
0,181
|
Пример вычислений
b4 =
Опыт 2 заключается в измерении расстояния между
мнимыми источниками d, расстояния от мнимых источников до фокальной
плоскости микроскопа а, и величина измеренной длины волны l.
Таблица 2. Результаты измерений опыта 2
|
№
изм.
|
z1,
мм
|
Отсчет
положения изображений мнимых источников
|
С1,
мм
|
z2,
мм
|
Отсчет
положения изображений мнимых источников
|
С2,
мм
|
p
= |z1-z2|, мм
|
|
|
|
|
|
|
|
|
|
|
левого
|
правого
|
|
|
левого
|
правого
|
|
|
|
1
|
370
|
23,40
|
24,80
|
1,40
|
430
|
22,76
|
23,36
|
0,60
|
60
|
|
2
|
|
23,57
|
24,97
|
1,40
|
|
23,00
|
23,6
|
0,60
|
|
|
3
|
|
23,43
|
24,89
|
1,46
|
|
23,05
|
23,65
|
0,60
|
|
|
4
|
|
23,47
|
24,91
|
1,44
|
|
22,97
|
23,76
|
0,79
|
|
|
5
|
|
23,34
|
24,87
|
1,53
|
|
23,01
|
23,64
|
0,63
|
|
|
|
|
С1ср
=
|
1,45
|
|
|
С2ср
=
|
0,64
|
|
Пример вычислений
C4 = 24,91 - 23,47 = 1,44 мм
Из полученных данных найдем величину расстояния
между мнимыми источниками d и расстояние от мнимых источников до
фокальной плоскости микроскопа a:

Расчет погрешностей
1. Рассчитаем
погрешность измерений ширины интерференционной полосы b:
мм - средняя абсолютная ошибка.
Таким образом, ширина полосы b =
=
0,18
0,05
мм
2. Рассчитаем
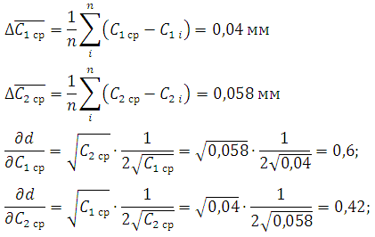
погрешность измерений расстояния между мнимыми источниками d:
, т.е. d
зависит от
и
,
тогда
, где
и
-
средние абсолютные ошибки величин
и
.
Имеем:
мм;
Таким образом:
мм.
3. Рассчитаем
погрешность измерений расстояния от мнимых источников до фокальной плоскости
микроскопа а:
, т.к. цена
деления линейки рейтера 0,5 мм и p = |z1-z2|,
тогда
мм.
Таким образом,
мм.
4.
Рассчитаем погрешность измерений длины волны l:
, тогда средняя
абсолютная ошибка
Таким образом,
нм.
Вывод:
в данной лабораторной работе я освоил метод измерения длины волны с помощью
бипризмы Френеля, расстояния между мнимыми источниками, расстояния от мнимых
источников до фокальной плоскости микроскопа, ширины интерференционных полос.
Окончательный результат проведенной практической работы представлены ниже:
- Длина волны
нм;
- Расстояние между мнимыми источниками
мм;
- Расстояние от мнимых источников до
фокальной плоскости микроскопа
мм;
- Ширина интерференционных полос b
= 0,18
0,05 мм.