Издержки производства

  • Вид работы:
    Курсовая работа (т)
  • Предмет:
    Эктеория
  • Язык:
    Русский
    ,
    Формат файла:
    MS Word
    602,9 Кб
  • Опубликовано:
    2014-01-27
Вы можете узнать стоимость помощи в написании студенческой работы.
Помощь в написании работы, которую точно примут!

Издержки производства

Негосударственное образовательное учреждение

высшего профессионального образования

Московский технологический институт «ВТУ»





КУРСОВАЯ РАБОТА

по дисциплине Микроэкономика

на тему:

«Издержки производства»

 

 

Выполнила:

Колганова

Анна Владимировна

 

 

 

 

 

 

Москва 2013

Содержание

Введение

. Виды издержек

. Издержки производства в краткосрочном и долгосрочном периоде

. Кривые издержек в краткосрочном периоде

. Кривые издержек в долгосрочном периоде

Заключение

Список использованной литературы

Введение

Производство - основная область деятельности предприятия. От того, какая именно продукция создается, какие средства производства используются, каково сочетание производственных факторов на данном предприятии, зависит объем производства продукции, ее качество и, следовательно, достижение цели деятельности.

Производственные факторы можно подразделить на три крупные категории - труд, материалы и капитал. Совокупность затрат живого и овеществленного труда представляет собой издержки производства, которые являются необходимым условием осуществления хозяйственной деятельности

Понятие «затраты» является одной из наиболее общих экономических категорий, которая может использоваться для разных способов производства в любых условиях хозяйственной деятельности. Производство требует затрат, затраты стоят денег. Однако понятие экономических издержек гораздо более сложно, чем простая калькуляция денежных расходов, соответствующих определенному объему производства. При рассмотрении вопроса подразумевается, что фирма не только способна посчитать собственные издержки, соответствующие любому объему выпуска, но и избрать лучший или, по крайней мере, наименее дорогостоящий метод производства данного объема продукции. Так, если для производства 100 ед. продукции следует затратить 600 р., то предполагается, что эти 100 ед. выпуска производятся при самой оптимальной комбинации факторов производства.

Чтобы определить оптимальное соотношение затрат на выпуск продукции необходимо учитывать: (1) природу производственной функции; (2) цены факторов производства; (3) принцип минимизации издержек.

Главная конечная цель работы любой фирмы в рыночных условиях - максимизация прибыли. Возможность реализации этой стратегической цели во всех случаях ограничены и издержками производства и спросом на выпускаемую фирмой продукцию. В конкретных случаях фирма может идти на временное снижение прибыли, и даже убытки. Но длительное время существовать без прибыли фирма не может, т.к. она не выстоит в при конкуренции. Поскольку издержки - это основной ограничитель прибыли и одновременно главный фактор, влияющий на объем предложения, то принятие решений руководством фирмы невозможно без анализа уже имеющихся издержек производства и их величины на перспективу. Это относится к выпуску уже освоенной продукции и к переходу на новые изделия. Каждый производитель должен стремиться к сокращению издержек производства, снижению себестоимости продукции. При стабильной цене на реализуемую продукцию и прочих равных условиях, сокращение издержек приводит к росту прибыли, приходящейся на единицу продукции.

Целью работы является изучение издержек производства.

Задачами работы являются:

рассмотреть виды издержек (альтернативные, частные и общественные издержки);

проанализировать издержки в краткосрочном и долгосрочном периоде;

изучить кривые издержек в краткосрочном периоде;

провести анализ кривых долгосрочных издержек.

Предметом исследования работы являются издержки производства.

Характеризуя степень научной разработанности проблематики, следует учесть, что данная тема уже анализировалась у различных авторов в различных изданиях: учебниках, монографиях, периодических изданиях.

Теоретико-методологическую базу исследования составили три группы источников: авторские издания по исследуемой проблематике, учебная литература (учебники и учебные пособия, справочная и энциклопедическая литература, комментарии к законодательству) и научные статьи в периодических журналах по исследуемой проблематике.

1. Виды издержек

К издержкам (затратам) относят те блага, которых вынужден лишится производитель, чтобы получить данный объем продукции. [21, с.156].

Выделяют постоянные издержки (которые не связаны с величиной выпуска) и переменные издержки.

Постоянными называются такие издержки, величина которых не меняется в зависимости от изменения объема производства [9, с.50].

Переменными называются такие издержки, величина которых меняется в зависимости от изменения объема производства.[9, с.50].

Общие (совокупные) издержки (ТС, ИЛИ С): это совокупность постоянных и переменных издержек при каждом данном объеме производства.

Тем самым мы можем представить первое уравнение:

=TFC+TVC (1)

К постоянным издержкам относят издержки, связанные с использованием зданий, сооружений, машин, производственного оборудования, арендой, капитальным ремонтом, административные расходы и т. п. График постоянных издержек изображен на рис. 1.

График постоянных издержек представляет собой прямую, параллельную оси абсцисс. Она иллюстрирует важное свойство постоянных издержек (FC): независимость от объема выпускаемой продукции (Q).

При исследовании природы издержек возникают сложности, которые связаны с тем, что фирма является лишь первичным звеном, ячейкой в экономической системе[10, с.118].

Если экономическая система функционирует эффективно, она должна подавать фирме адекватные ценовые сигналы. Цены должны достаточно четко отражать величину издержек производства. В противном случае фирма будет лишена возможности правильно и эффективно размещать свои ресурсы. Поэтому природу издержек следует начинать исследовать с выяснения различий между альтернативными (вмененными) издержками и бухгалтерскими издержками, а также между общественными и частными издержками.

Рис. 1. Постоянные издержки[24, с.254]

Под альтернативными издержками понимается количество одного блага, которым необходимо пожертвовать для увеличения производства другого блага. Альтернативные издержки часто характеризуются и как ценность упущенных возможностей: издержки одного блага, выраженные в другом благе, которым пришлось пожертвовать для получения первого блага.

Для того чтобы цены могли адекватно измерять альтернативные издержки, необходимо выполнение трех основных условий:

. Функционирование отрегулированной и совершенной системы прав собственности.

. Все блага должны обладать возможностью продаваться и покупаться.

. Все рынки должны быть совершенно конкурентными.

Когда речь идет о бухгалтерских издержках, то на первый план выходит финансовый баланс фирмы. Бухгалтеры склонны к ретроспективному взгляду на деятельность фирмы: они сравнивают активы и пассивы фирмы в прошлом периоде.

В отличие от бухгалтеров экономистов прежде всего интересует перспектива фирмы, а значит - альтернативные издержки, т. е. затраты, связанные с упущенными возможностями наилучшего использования потенциала фирмы.

В свои расчеты, как экономисты, так и бухгалтеры включают фактические расходы - денежные, или явные, издержки.

Денежные (явные) издержки- сумма расходов фирмы на оплату покупаемых ресурсов (сырья, материалов, топлива, рабочей силы и т. п.) [10, с.120].

Бухгалтеров интересуют только денежные, явные затраты. Однако кроме явных затрат существуют и так называемые «неявные издержки».

Неявные издержки - стоимость ресурсов, находящихся в собственности фирмы.

Для собственника капитала неявными затратами является прибыль, которую он мог бы получить, вложив свой капитал в иную сферу. Для владельца недвижимости неявными затратами является арендная плата, которую он мог бы получить, сдав свою недвижимость в аренду. Для предпринимателя в качестве неявных издержек можно рассматривать ту зарплату, которую он мог бы получить за такой же по длительности, интенсивности и характеру труд, работая по найму[20, с.204].

Неявные издержки не входят в сферу интересов бухгалтера, но очень интересуют экономиста. Рассмотрим это на конкретном примере (табл. 1).

Бухгалтер, изучая деятельность фирмы, учитывает лишь явные (денежные) издержки (800 тыс. руб.). Разница совокупного дохода фирмы (1000 тыс. руб.) и явных издержек даст величину бухгалтерской прибыли (200 тыс. руб.).

Кроме того, следует определить так называемые «издержки использования».

Издержки использования - затраты, связанные с использованием принадлежащего фирме оборудования, представляющие сумму процентного дохода на рыночную стоимость имущества в начале определенного периода и снижения его рыночной стоимости в течение данного периода.

Таблица 1

Расчет бухгалтерской и экономической прибыли

(тыс. руб.)


Затраты использованного капитала составляют 200 тыс. руб., это составляет 10% от 2000 тыс.руб.

Итак, в нашем примере фирма получила отрицательную экономическую прибыль. Это означает, что фирма должна искать лучшую сферу деятельности.

На практике может быть и нулевая экономическая прибыль. Отсутствие экономической прибыли у фирмы вовсе не означает, что дела ее обстоят неважно. Такой показатель означает лишь, что фирма использует свою альтернативу столь же хорошо, как и наилучшую другую. Поэтому фирма не будет склонна перемещать свой капитал в другую сферу. Нулевая экономическая прибыль фирмы является условием долгосрочного равновесия в конкурентной экономике.

Если же и бухгалтерская прибыль отрицательна, то крах фирмы может быть не за горами.

Наконец, мы должны отличать понятия частных, общественных и внешних издержек.

Внешние издержки - это та часть альтернативных издержек, за которые фирма не несет ответственности и которые несут другие члены общества[20, с.206].

Если, например, частное предприятие арендует государственную собственность по цене ниже рыночной, его затраты на аренду сравнительно не велики. Но для государства и общества издержки при таком нерациональном использовании государственной собственности могут быть значительными. Тем самым мы подошли к понятию частных и общественных издержек.

Общественные издержки - это когда общество рассматривается как единый производитель.

Частные издержки - это если производитель частный.

Общественные и частные издержки могут не совпадать.

В заключение сведем классификацию издержек в единую систему.

Общественные издержки = альтернативные = внешние + частные издержки.

Частные издержки - явные + неявные издержки.

Экономическая прибыль = совокупный доход - частные издержки.

Бухгалтерская прибыль = совокупный доход - явные издержки =

= экономическая прибыль + неявные издержки.

2. Издержки производства в краткосрочном и долгосрочном периоде

издержки экономический капитал

В краткосрочном периоде один из факторов производства (капитал) фиксирован и уровень производства (объем выпуска) зависит только от количества используемого переменного фактора производства (труда). В долгосрочном периоде фирма планирует свою деятельность, рассматривая оба фактора производства как переменные. Имея это в виду, рассмотрим некоторые определения. Под общими издержкам (ТС или С) понимаются совокупные денежные затраты на приобретение обоих факторов производства. Общие издержки равны величине каждого ресурса, использованного в производственном процессе, умноженного на соответствующие цены:

С - wL + rK (2)

Здесь ставка заработной платы (w) и рентная цена единицы капитала (r) представляют собой цены ресурсов. Это же отношение определяет изокостные линии.

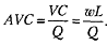
В краткосрочном периоде лишь труд является переменной величиной, поэтому назовем общие переменные издержки (ТVC) просто переменными издержками (VC):

= wL (3)

По аналогии отнесем постоянные издержки (FC) к общей величине капитала и получим:

FC = rK (4)

Изобразим классификацию краткосрочных издержек (рис. 2).

Как видно на данном рисунке, не все постоянные издержки являются капиталом, как и не все переменные - трудом.

Рис. 2. Классификация краткосрочных издержек[20, с.208]

Каждой из трех упомянутых категорий (общих, переменных и постоянных издержек) соответствует понятие средних издержек, которые являются результатом деления данных издержек на величину выпуска Q. Тем самым существуют общие средние издержки (АТС), общие переменные издержки (AVC) и средние постоянные издержки (AFC):

 (5)

 (6)

 (7)

При этом:

= AVC + AFC (8)

Рис. 3. Кривая издержек: а) постоянных, б) средних постоянных[20, с.209]

 (9)

 (10)

Построим график кривой AFC (средних постоянных издержек) на основе графика FC. Для этого вернемся к рис. 1 и изобразим его в качестве верхней части рис. 3, а. В нижней части рис. 3, б построим кривую средних постоянных издержек. Для этого на оси ординат отложим значения средних издержек C/Q. На рис. 3, а из начала осей координат проведем лучи к линии FC. Наклон каждого луча к линии постоянных издержек равен величине средних постоянных издержек. На нижнем рис. 3, б построим кривую AFC. Она представляет собой гиперболу, начинается в бесконечности и стремится к нулю по мере увеличения выпуска продукции (Q). Процесс, при котором AFC уменьшаются с увеличением выпуска продукции, называется снижением накладных расходов на возрастающий объем производства.

Также существует понятие предельных издержек (MC). Предельные издержки называются дополнительные, или добавочные, издержки, связанные с производством еще одной единицы продукции. [9, с.53]

3. Кривые издержек в краткосрочном периоде


В краткосрочном периоде фирма ограничена в своей деятельности фиксированным объемом капитала. Соответственно объем выпуска зависит только от количества труда. Рассмотрим это на конкретном примере. Первые два столбца табл. 2 представляют собой данные об общей производительности. При часовой ставке заработной плате в 10 р. Каждая единица труда представляет собой 10 р. переменных издержек. Столбец 3 табл. 2 иллюстрирует изменение переменных издержек.

Таблица 2

Данные о краткосрочных издержках (w =10 руб., г = 2 руб., К = 6)

В сущности, кривые VC и ТР имеют одинаковую природу, как это проиллюстрировано на рис. 4. В правом квадранте I поведение кривой совокупного продукта ТР подчиняется закону убывающей отдачи. В левом квадранте II кривая УС представляет собой зеркальное отражение линии ТР. Различие заключается в единицах измерения.

В квадранте I на оси абсцисс отображено количество труда (L), а в квадранте II - затраты труда (wL). Точка перегиба В кривой ТР представляет максимум предельной производительности труда (MP = max). Ей соответствует тот же объем выпуска, что и точке перегиба на кривой VC, где В' иллюстрирует минимальные предельные издержки (МС = min). Точно так же точка (А) максимума среднего дохода (АР = max) на кривой ТР совпадает с точкой (А') минимума средних переменных издержек (A VC = min) на кривой переменных издержек VC.

Приведенные сопоставления свидетельствуют о том, что издержки и производительность являются своеобразными экономическими «двойниками наоборот»: при увеличении производительности издержки снижаются.

МС* не равна AVC и АТС в их соответствующих точках минимумов (Q=13 и Q=15), так как предельные издержки вычисляются для сравнительно больших изменений в выпуске и поэтому являются плохим приближением МС при малых изменениях в выпуске.

Рис. 4. Построение кривой общих переменных издержек[20, с.212]

Для того чтобы построить кривую общих издержек (ТС) на рис. 5, а, следует сложить по вертикали постоянные издержки FC (рис. 1) с переменными издержками VC (рис. 4, квадрант II). При этом представленная на рис. 4. кривая VC повернута на 90° по часовой стрелке при изображении на рис. 5, а. Горизонтальная линия на рис. 5, а (как и на рис. 1) иллюстрирует постоянные издержки (FC). Кривая ТС является вертикальной суммой кривых VC и FC.

Природа линии (гиперболы) средних постоянных издержек (AFC) уже рассматривалась на рис. 3, б. Линия средних переменных издержек (AVC) выводится на рис. 6.

На рис. 6, а наклон любого луча из начала координат к линии переменных издержек (VC) равен средним переменным издержкам (AVC) для данного выпуска продукции. Линия AVC изображена на рис. 6, б.

Вернемся снова к рис. 5. Точка В - перегиб линии VC, находится непосредственно под точкой В" - перегибом линии ТС (рис. 5, а). Расстояние между VC и ТС равно FC. Наклоны кривых ТС и VC уменьшаются при меньших объемах выпуска и увеличиваются при больших объемах. Поскольку предельные издержки (МС) отражают наклон линии общих издержек (ТС), это означает, что кривая МС достигает минимума в точке В' (рис. 5, б).

Пунктирная касательная 0А к линии УС в точке Л (рис. 5, а) указывает, что (1) VC достигла минимума и (2) A VC = МС в точке А' (рис. 5, б). По этим же причинам пунктирная касательная ОС к кривой ТС в точке С (рис. 5, а) указывает, что средние издержки ТС достигли минимума и что АТС = МС в точке С (рис. 5, б).

Кривая предельных издержек (МС) является зеркальным отображением кривой предельного продукта (MP).

Рис. 5. Кривые общих, средних и предельных издержек[20, с.213]

Рис. 6. Кривые переменных и средних переменных издержек

Каждое из этих условий соответствует формуле «средних предельных издержек» (аналогичной формуле «среднего предельного продукта»):

 (11)

При уменьшении AVC выражение QxdAVC/dQ отрицательно, а значит, МС < AVC, и наоборот. Следует особо подчеркнуть, что кривая средних переменных издержек AVC имеет U-образную форму, что объясняется действием закона уменьшающейся отдачи. Линия AVC снижается до тех пор, пока фирма увеличивает объем производства и использует производственный процесс с относительно повышающейся средней производительностью; подъем же линии AVC свидетельствует о том, что данная производственная технология себя исчерпала и для дальнейшего увеличения выпуска созрела необходимость перехода к более совершенному процессу.

Как мы уже выяснили (рис. 3), кривая AFC представляет собой гиперболу: при увеличении выпуска постоянная величина издержек FC распространяется на все большие и большие объемы выпуска. Поэтому вертикальное расстояние между линиями АТС и AVC постепенно сокращается с ростом выпуска. Это обозначено с помощью обоюдоострых стрелок AFC1, и AFC2 на рис. 5.

Кривые АТС и A VC имеют важное свойство.

Если МС меньше средних издержек (АТС и AVC), то кривые средних издержек снижаются с увеличением производства; если МС больше средних издержек, то кривые средних издержек возрастают с увеличением производства.

Данное свойство также подтверждается формулой 11.

Построим теперь график соотношения между MP, АР, МС и AVC (рис. 7).

Рис. 7. Соотношение между MP, АР, MC и AVC[20, с.214]

В верхней части графика построено соотношение кривых среднего и предельного продуктов. Линия предельного продукта пересекает линию среднего продукта в максимальной точке. Слева от этой точки линия MP расположена выше линии АР, справа - ниже. В нижней части графика линия МС пересекает точку AVC в точке минимума. Здесь, напротив, левее от точки пересечения линия МС расположена ниже линии AVC, а правее точки - выше. Кроме того, следует обратить внимание, что по оси абсцисс нижнего графика отложена величина Q, а не L, как на верхнем графике.

4. Кривые издержек в долгосрочном периоде


В долгосрочном периоде все факторы становятся переменными в том смысле, что у предпринимателя есть достаточно времени, чтобы изменить их размер (например, построить новый завод, установить новую партию станков).[24, с.250] Поэтому здесь не существует постоянных издержек и средних постоянных издержек. Стало быть, если в краткосрочном периоде мы рассматривали семь основных линий издержек (ТС, VC, FC, ATC,AVC, AFC и МС), то в долгосрочном - только три. Для выделения долгосрочных издержек используется дополнительная буква L. Например, LTC - (общие издержки в долгосрочном периоде).

Основными тремя видами издержек в долгосрочном периоде являются: LTC (долгосрочные общие издержки), LAC (долгосрочные средние издержки) и LMC (долгосрочные предельные издержки).

Для построения линий долгосрочных издержек используется инструментарий изоквант.

Линия LTC. Важнейшим фактором, определяющим конфигурацию LTC, является характер отдачи от масштаба. При постоянной отдаче от масштаба линия LTC имеет вид прямой (рис. 8, а), так как издержки увеличиваются в той же пропорции, что и объем производства. При возрастающей отдаче линия LTC имеет вид выпуклой кривой, так как затраты возрастают медленнее, чем выпуск (рис. 8, б). При убывающей отдаче линия LTC выпукла вниз (рис. 8, в).

Кривая LTC всегда проходит через начало координат, поскольку в долгосрочном периоде фирма может ликвидировать все свои ресурсы.

Линия LMC. Мы уже рассмотрели понятие предельных издержек (МС) для краткосрочного периода (SMC). Для долгосрочного периода существует категория долгосрочных предельных издержек (LMC - long-run marginal costs).

По аналогии с краткосрочным периодом долгосрочные предельные издержки (LMC) - это наклон кривой долгосрочных валовых издержек (LTC):

 (12)

 (13)

Однако в отличие от МС предельные издержки в долгосрочном периоде (LMC) характеризуют прирост затрат при увеличении выпуска продукции на единицу, если все ресурсы являются переменными, а не только часть их.

Линия LAC. Долгосрочные средние издержки (LAC или LATC) - это отношение долговременных валовых издержек к объему выпуска продукции:

 (14)

В нижней части рис. 9 представлены кривые LAC и LMC, соответствующие кривой LTC в верхней части. Форма кривых долговременных валовых, средних и предельных издержек отражает масштаб производства.

При объеме Q2 долгосрочные средние издержки равны долгосрочным предельным издержкам.

Рис. 8. Изокванты и кривые долгосрочных издержек при различных отдачах от масштаба: а), б) - постоянная отдача; в), г) - возрастающая отдача; д), е) - убывающая отдача[20, с.217]

Сопоставление кривых LTC, LMC и LAC при разных эффектах масштаба.

Если обобщить информацию, содержащуюся в рис. 8 и 9, то можно вывести следующие зависимости между кривыми LTC, LMC и LAC.

При постоянной отдаче от масштаба (рис. 10, а и 10, б) линия LTC имеет вид прямой, а линии LAC и LMC совпадают между собой, при этом их величина равна тангенсу угла наклона к оси абсцисс линии L ТС. При возрастающем эффекте масштаба (рис. 11, а и 11, б) линия LTC склоняется к оси абсцисс. Здесь выпуск растет быстрее, чем используемые ресурсы, а значит, издержки медленнее, чем выпуск продукции.

Рис. 9. Издержки в длительном периоде

Рис. 10. Кривые LTC, LMC и LAC при постоянном эффекте масштаба

Кривые LAC и LMC не обязательно имеют линейную форму, но направлены вниз.

При убывающем эффекте масштаба (рис. 12, а и 12, б), напротив, линии LTC, LAC и LMC направлены вверх.

Сопоставление линий краткосрочных (STC) и долгосрочных (LTC) издержек. Все три пары линий долгосрочных и краткосрочных издержек внешне похожи друг на друга: линия LТС подобна STC, линия LAС подобна линии SAC, линия LMC подобна линии SMC.

Вместе с тем линии долгосрочных издержек более «вытянуты», что отражает свойство изменяемости во времени всех факторов производства. Кроме того, существуют особые различия между линиями STC и LTC (рис. 13).

О первом отличии уже говорилось: кривая LTC всегда исходит из начала осей координат. Это отражает свойство изменяемости всех факторов производства во времени. Кривая STC всегда пересекает ось ординат, что отражает свойство наличия постоянных издержек FC. А это подразумевает, что от Q = 0 и до точки касания линий LTC и STC (при Q = Q1) линия STC расположена выше, чем линия LTC. Но и правее этой точки (А) линия STC также расположена выше линии LTC. Это объясняется тем, что невозможность изменить количество постоянного ресурса в краткосрочном периоде не позволяет достичь того минимума затрат, который возможен в долгосрочном периоде. Таким образом, линия LTC всегда как бы «огибает» линию STC снизу.

Рис. 11 . Кривые LTC, LAC и LMC при возрастающем эффекте масштаба[18, с.220]

Рис. 12. Кривые LTC, LAC и LMC при убывающем эффекте масштаба

Рис. 13. Кривая долгосрочных издержек (LTC) «огибает» кривую

краткосрочных издержек (STC) снизу

Рассмотрим производственную функцию с постоянной отдачей от масштаба (рис. 14).

Допустим, фирма не знает будущего спроса на свою продукцию и рассматривает три возможных варианта размеров предприятия. Кривые средних издержек в краткосрочном периоде по трем гипотетическим вариантам изображены в виде SA C(K1), SAC(K2), SAC (К3). Так как отдача постоянна, то выпуск возрастает прямо пропорционально приросту издержек. Например, удвоение выпуска подразумевает, что затраты также выросли в два раза. При постоянном эффекте масштаба долговременные валовые издержки (LTC) прямо пропорциональны выпуску продукции. Долговременные предельные издержки постоянны и равны долговременным средним издержкам (LMC = LAC), что изображено в виде горизонтальной линии на рис. 14.

Рис. 14. Кривая долгосрочных издержек при постоянной отдаче от масштаба

Если фирма намерена производить Ql единиц продукции, то ей следует строить самое маленькое по размерам предприятие. Ее средние издержки производства составят, к примеру, 10 р. Это минимальные издержки, так как линия предельных издержек в краткосрочном периоде (5МС,) пересекает линию средних издержек в краткосрочном периоде (SAC2).

Рис. 15. Кривая долгосрочных средних издержек (LAC) при переменной отдаче масштаба

Если фирма намерена выпускать Q2 единиц продукции, то предприятие средних размеров также будет производить продукцию со средними издержками в 10 р. Если нужно производить Q3 единиц продукции, то нужно строить самое большое (из трех) предприятие.

При более высоких объемах планируемого выпуска возрастающие издержки сдвигают множество линий SAC вправо и вверх. Линия долгосрочных средних издержек LA С может быть выведена на основе множества кривых SAC (рис. 15).

Например, если фирма ожидает произвести определенный объем выпуска между Q’ и Q", она выберет размер предприятия такой, чтобы он располагался на SAC3; a SAC2 и SAC4 повлекут более крупные средние издержки. Если же фирма ожидает, что выпуск будет меньше, чем Q’, то она выберет меньший размер предприятия.

Если фирма выбирает из множества альтернативных размеров предприятий, то линия LAС принимает вид U-образной кривой (рис. 15). При этом если мощности предприятий являются дискретными, т. е. технологически жестко определенных размеров, то кривая LAC представляет собой нижние части линий множеств SAC (на рис. 15 выделено жирной темной линией). Если же мощности предприятий совершенно делимы, т. е. мощности предприятий не являются жестко определенными и их технологически легко наращивать или сокращать, то линия LAC представляет собой плавную огибающую многие SAC U-образную линию.

Таким образом, мы столкнулись с проблемой неразрывности (неделимости) мощностей.

Неразрывность: свойство факторов производства, которые технологически не могут быть увеличены или уменьшены на относительно небольшую величину (например, самолеты, танкеры и т. п.).

Неразрывность является общей проблемой для фирм, которые планируют увеличить (или уменьшить) объем производства[6, с.89].

Структура отрасли и LAC. Форма кривой LAС зависит от структуры отрасли.

Если (рис. 16) наблюдается падение LAC, то это означает существование тенденции к обслуживанию рынка одной фирмой. Если на рынок пытаются выйти две фирмы, каждая из которых производит только часть общего рыночного производства, то издержки будут более высокими, чем в случае, если бы рынок обслуживался только одной фирмой. Рынки, характеризующиеся падением кривой LAC, часто относятся к естественным монополиям

Рис. 16                                                                            Рис. 17

Естественной монополией является отрасль, в которой производство с минимальными издержками обеспечивается в случае, если оно сконцентрировано в руках одной фирмы (например городские электросети).

Если минимум кривой наблюдается при уровне производства Q0, что соответствует значительной доле выпуска продукции отрасли (например более 1/5), то в такой отрасли будет существовать небольшое количество фирм (рис. 17).

Здесь также большое количество мелких фирм не смогут обслуживать рынок, так как издержки этих фирм будут выше, чем издержки крупных фирм. Но в отличие от естественной монополии увеличение LAC за пределами Q0 затрудняет обслуживание рынка одной фирмой.

Если кривая LAС имеет форму, изображенную на рис. 18, то в отрасли могут действовать множество небольших фирм.

Рис. 18                                                      Рис. 19

Рис. 20

В случае, изображенном на рис. 19, и крупные, и мелкие фирмы имеют одинаковые издержки на единицу продукции, а потому одинаково живучи. А вот случай, изображенный на рис. 20, иллюстрирует отрасль, в которой мелкие фирмы имеют преимущества перед крупными.

Рассмотрим более подробно зависимость между издержками в краткосрочном и долгосрочном периодах. Пусть фирма решила осуществлять выпуск продукции Q1 (рис. 21).

Рис. 21. Кривая долгосрочных предельных издержек (LMC)

Если фирма строит маленькое предприятие, то кривая средних издержек в краткосрочном периоде имеет вид SAC1. При этом средние издержки производства (в точке В на кривой SAC1) составят 7 р. Выбор маленького предприятия более предпочтителен, чем выбор предприятия средних размеров со средними издержками в 9 р. (точка А на кривой SAC2). Однако точка В не является оптимальной (с минимальными издержками) на линии SAC1 так как линия SMC1 пересекает линию SAC1 в другом месте: при меньшем объеме выпуска. Но в данном случае фирма предпочла меньший объем предприятия[6, с.90].

Лишь для среднего предприятия кривые SMC и LMC пересекут линию SAC (и LAC) в одной и той же точке.

На основе изложенного попробуем теперь совместить линию спроса (D) и предельного дохода (MR) с издержками в краткосрочном периоде. В краткосрочном периоде фирма, имея установленный набор постоянных издержек, готова наладить определенный объем выпуска. Вопрос состоит в том - каким должен быть этот объем? Предположим, что фирма заинтересована в максимизации прибыли.

Найдем объем максимальной прибыли и соответствующий ей объем выпуска.

Пусть фирма начинает с очень небольшого объема выпуска. При этом каждая дополнительная единица увеличения производства оценивается по принципу: «Добавила ли дополнительная единица больше дохода, нежели издержек?». Если ответ положителен, необходимо рассмотреть следующую дополнительную единицу выпуска. На рис. 22 фирма, максимизирующая прибыль, будет наращивать выпуск до величины Q*, где MR = МС (до точки А).

Рис. 22. Модель максимизации прибыли при линейном спросе и линейных издержках

Отметим, что постоянные издержки при определении оптимального объема выпуска не играют никакой роли. При соответствующем объеме выпуска фирма способна назначить цену Р*, которая лежит на кривой спроса (вспомним, что цена превышает MR, если линия спроса направлена вниз) и которая превышает AVС при избранном фирмой объеме выпуска. Отметим, что равенство MR = МС как правило максимизации прибыли будет широко применяться в дальнейшем анализе.

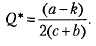
В данном примере правило максимизации прибыли MR = МС иллюстрировано с помощью линейных линий спроса и предложения. Если функция спроса имеет вид Р = а - bQ, а функция средних переменных издержек AVC = k + cQ, то соответствующие функции MR и МС могут быть получены при удвоении коэффициентов наклона линий D и AVC.

Решим нашу задачу, приравняв значения MR и МС друг к другу:

а - 2bQ = k + 2cQ, или (15)

 (16)

Мы получили оптимальный объем фирмы.

 

Заключение


«Экономическая конкуренция ведет к тому, чтобы производство осуществлялось самым рациональным способом» (Людвиг фон Мезес) [7, с.115]

Начало развития учений об издержках производства уходит далеко в прошлое. В период античной философии начали возникать первые понятия об издержках производства. Появились понятия о расходах и доходах хозяйства, о выгодности и убыточности земледелия.

Аристотель (4 в. до н.э.) дал теоретический анализ обмена, денег, стоимости и указал на необходимость возмещения издержек производства.

В 18 в. учении физиократов издержки производства представляли собой затраты капитала на рабочую силу и средства производства.

Субъективная теория издержек (19 в.), включает два основных положения: 1) под производительными благами понимаются будущие, потенциальные блага, ценность которых носит характер производный; 2) все идеи сводятся к утверждению, что предложение есть обратная сторона спроса - спроса тех, кто обладает товаром.

В буржуазном обществе издержки производства различаются как затраты капитала и общественного труда.

При производстве наукоемкой продукции традиционные издержки (сырье, топливо, рабочая сила и т. п.) имеют сравнительно небольшой удельный вес. Главные затраты заключены в дорогостоящих научных разработках. И именно на этом направлении Россия может добиться многого. Еще не до конца утерян наш научный потенциал.

Будем надеяться, что в ближайшем будущем научно - обоснованный подход, с точки зрения рыночной экономики, к проблеме издержек сможет привести к желаемым результатам в восстановлении производственной сферы как предприятия, так и в целом страны.

Список использованной литературы


1. Борисов Е.Ф. Экономическая теория. - М.: курс лекций для высших учебных заведений, 2009. - 240 с.

2. Ивашковский С. Н. Микроэкономика: Учеб. - 2-е изд., испр. и доп. - М.: Дело, 2008. - 416 с.

3. Козырев В.М. Основы современной экономики: Учебник. -М.: Финансы и статистика, 2008. - 368 с.

4. Колпакова Г. М. - Финансы, Денежное обращение, кредит, - М.: Финансы и статистика 2010. - 544 с.

5. Кудрин А. Микроэкономические проблемы российской экономики // Экон. политика. - 2008. - N 1. - С.10-22.

6. Курс микроэкономики. Учебник. /Под редакцией Р.М. Нуреева. - М.: Издательство НОРМА, - 2008. - 572 с.

7. Курс экономической теории. Учебник/ Под редакцией Чепурина М.Н., Киселевой Е.А. - 4-е дополненное и переработанное издание - Киров: «АСА», 2012 г. - 752 с.

8. Макаров В.Л. Микроэкономика знаний / Макаров В.Л., Клейнер Г.Б. - М.: Экономика, 2010. - 204с.

9. Макконнелл К.Р., Брю С.Л. Экономикс: принципы, проблемы и политика: Пер. с 14-го англ. Изд.- М.:ИНФА-М, 2009-ХХХVI, 972 с.

10. Микроэкономика: Практический подход: (Managerial economics): учебник / под ред. Грязновой А.Г., Юданова А.Ю. - 2-е изд. - М.: КНОРУС, 2008. - 660с.

11. Микро- и макроэкономика. Энциклопедический словарь. Под общей редакцией Г.С. Вечканова, 2010. - 352 с.

12. Микроэкономика. Теория и российская практика. Учебник. Под редакцией А.Г. Грязновой и А.Ю. Юданова, 2009. - 544 с.

13. Носова С.С., Экономическая теория: Учебник для вузов / М.: Гуманитарный издательский центр ВЛАДОС, 2010. - 520 с.

14. Основы микроэкономики: учеб. пособие / под ред. Николаевой И.П. - М., 2009. - 224с.

15. Полищук Л. О новой книге С.Боулза по микроэкономике // Вопросы экономики. - 2011. - N 8. - С.115-121.

16. Попов Е.В. Институты миниэкономики. - М.: Экономика, 2005. - 636с.

17. Пятьдесят лекций по микроэкономике: учебник. - СПб.: Экон. школа, 2011. Т.1. - 622с. - (Б-ка "Экономической школы").

18. Пятьдесят лекций по микроэкономике: учебник / Редкол.: Автономов В.С. и др. - СПб.: Экономическая школа, 2011. Т.2. - 770с.

19. Райзберг Б.А., Лозовский Л.Ш., Стародубцева Е.Б. Современный экономический словарь.-5-е изд., перераб. и доп.-М., 2010. - 479 с.

20. Селищев А. С. Микроэкономика. - СПб:. Питер, 2008. - 448 с.

21. Симкина Л.Г., Корнейчук Б.В. Микроэкономика/2-е изд. - СПб.:Питер, 2010. - 432 с.: ил. - (Серия «Учебное пособие»)

22. Чеканский А.Н. Микроэкономика: Промежуточный уровень: учебник / Чеканский А.Н., Фролова Н.Л. - М.: Инфра-М, 2009. - 683с. - (учебники экономического факультета МГУ им. М.В.Ломоносова).

23. Экономическая теория: Учеб. для студ. высш. учеб. заведений / Под ред. В.Д. Камаева. - М.: Гуманит. изд. центр ВЛАДОС, 2008. - 272 с.

24. Экономическая теория. Учебник/ Под общ. Ред. акад. В.И. Видяпина, А.И. Добрынина, Г.П. Журавлевой, Л.С. Тарасевича - М.: ИНФА-М,2012.-714 с. - (Серия «Высшее образование»).

25. Экономическая теория. Учебник для вузов под ред. Николаевой И.П. -М.: 2009. - 288 с.

26. Экономическая теория. Экспресс-курс: учебное пособие/кол. авторов; под ред. Грязновой А.В., Думной Н.Н., Юданова А.Ю. - 3-е изд., стер.- М. КНОРУС, 2012 - 608 с.

27. Экономика: справочник. М. Финансы и статистика. 2008. - 256 с.


Не нашли материал для своей работы?
Поможем написать уникальную работу
Без плагиата!
Без нейросетей!