Розширення асортименту борошняних кондитерських виробів спеціального призначення

  • Вид работы:
    Курсовая работа (т)
  • Предмет:
    Другое
  • Язык:
    Украинский
    ,
    Формат файла:
    MS Word
    114,78 Кб
  • Опубликовано:
    2014-02-19
Вы можете узнать стоимость помощи в написании студенческой работы.
Помощь в написании работы, которую точно примут!

Розширення асортименту борошняних кондитерських виробів спеціального призначення

Вищий навчальний заклад Укоопспілки

«Полтавський університет економіки і торгівлі»

Кафедра технологій харчових виробництв і ресторанного господарства






Курсова робота

з дисципліни «Технологія галузі»

на тему: «Розширення асортименту борошняних кондитерських виробів спеціального призначення»


Виконав студент групи ТХ-41

Попов Б.Б.

Керівник: Медведь Л.М.




Полтава 2013

Зміст

Вступ

. Аналітичний огляд літератури

.1 Характеристика продукції спеціального призначення, їх класифікація

.2 Особливості виробництва хлібобулочних виробів спеціального призначення

.3 Характеристика та хімічний склад насіння льону

.4 Особливості технології виробів з дріжджового тіста

. Організація теоретичних та експериментальних робіт

.1 Характеристика об’єкту та методи дослідження

.2 Схема системних досліджень

. Розробляння рецептури і технології кондитерських виробів спеціального призначення

.1 Аналіз рецептурного складу та технології виробу-аналога

.2 Розроблення рецептури і технології нової продукції

.3 Розроблення технологічних карток і схем. Визначення показників якості розробленої продукції

Висновки і пропозиції

Список використаної літератури

Вступ

Останніми роками погіршилися показники здоров'я населення України. Середня тривалість життя у чоловіків на сьогодні становить - 59 років, а у жінок - 72 роки. За цими показниками Україна стійко посідає одне з останніх місць серед індустріально розвинутих країн.

Стан харчування населення - один, із найважливіших факторів, що визначає здоров'я і збереження генофонду нації. Правильне харчування сприяє профілактиці захворювань, продовженню життя, створенню умов для підвищення здатності організму протидіяти несприятливому впливу навколишнього середовища.

Харчування повинно бути раціональним, тобто забезпечувати фізіологічну потребу людини в основних поживних речовинах з урахуванням вікових, професійних та інших особливостей. При цьому істотним моментом являється збереження рівноваги між енергією, яка споживається та витрачається.

Важливим моментом також є надходження для організму людини не тільки певної кількості основних харчових речовин, але і їх якість - збалансованість харчування. Під збалансованим харчуванням необхідно розуміти науково обґрунтовані співвідношення поживних речовин у раціоні.

В сучасних умовах все більшого розвитку набуває новий напрямок у харчуванні - теорія адекватного харчування.

Аналіз харчового статусу населення нашої країни виявляє деякі відхилення від формули збалансованого харчування: завищена калорійність раціону в основному за рахунок тваринних жирів і вуглеводів; дефіцит білків, вітамінів і харчових волокон, а також недостатнє споживання жирів рослинного походження. Однією з причин такого дисбалансу є виробництво харчовою промисловістю продуктів, які не відповідають сучасним вимогам за показниками харчової і біологічної цінності. Останнім часом визначилась тенденція створення і випуску спектра харчових продуктів заданої якості - малокалорійних, зі зниженим вмістом тваринного жиру, легкозасвоюваних вуглеводів і кухонної солі, збагачених білками, вітамінами, мінеральними і баластними речовинами. Необхідно зауважити, що за кількістю та набором існуючі продукти заданого складу не можуть задовольняти усіх потреб споживача, тому необхідно значно збільшити обсяги їх виробництва, а також розширити асортимент.

Хлібобулочні та кондитерські вироби традиційно користуються великим попитом у населення, проте вони є висококалорійними виробами з порівняно низьким вмістом харчових волокон, вітамінів, поліненасичених жирних кислот тощо. Причиною є використання для їх виготовлення очищеної сировини, такої, як борошно вищого сорту з низьким вмістом зольних компонентів, рафінований цукор, жири. Тому ці вироби є перспективними базовими об’єктами для створення спеціальних продуктів оздоровчого призначення, збагачених необхідними для організму людини речовинами. Саме розширення асортименту хлібобулочних виробів груп спеціалізованого призначення, які характеризуються підвищеною харчовою цінністю, збільшеним вмістом харчових волокон, вітамінів, мінеральних речовин, протеїнів, антиоксидантів є одним з основних завдань «Галузевої програми розвитку хлібопекарської галузі на період до 2015 року», затвердженої Наказом Міністерства аграрної політики України N 164 від 20.03.2008.

Тема курсової роботи: «Технології борошняно-кондитерських виробів спеціального призначення» є актуальною.

Об’єкт дослідження: виріб з дріжджового тіста «Здоба звичайна» №106.

Мета роботи: розроблення борошняно-кондитерського виробу спеціального призначення .

Предмет дослідження: технологія виробів з дріжджового тіста.

Завдання роботи:

–   дати характеристику продукції спеціального призначення, їх кваліфікацію;

–       розглянути особливості виробництва хлібобулочних виробів спеціального призначення;

–       дати характеристику та хімічний склад насіння льону;

–       розглянути особливості технології виробів з дріжджового тіста;

розглянути об’єкт та методи дослідження;

–   розробити схему системного дослідження;

–       зробити аналіз рецептурного складу та технології приготування виробу аналога;

розробити технологічні картки та схеми на нові страви;

- визначити органолептичні показники розроблених страв.

Розділ 1. Аналітичний огляд літератури

.1 Характеристика продукції спеціального призначення, їх класифікація

Теорія «здорового» харчування започаткувала своє існування у 1980-х роках у Японії, коли було визнано вигідний для здоров’я людей потенціал деяких категорій продуктів та інгредієнтів, таких, як вітаміни, антиоксиданти, ненасичені жирні кислоти. У Європейському Союзі цими питаннями опікується спеціальна комісія FUFOSE (Functional Food Science in Europe), в США значна частина цієї роботи виконується Управлінням з контролю якості харчових продуктів і лікувальних засобів FDA (Food and Drug Administration). У Росії створення оздоровчих продуктів харчування передбачається «Концепцією державної політики в галузі здорового харчування». В Україні розроблено проект «Концепції державної політики в галузі харчування населення України», одним з етапів якої є розширення виробництва продуктів оздоровчої дії. У зв’язку з тим, що теорія оздоровчого харчування знаходиться у стані розвитку, на сьогодні не розроблено єдиної класифікації спеціальних продуктів і у літературних джерелах має місце застосування різних термінів для їх означення (функціональні, лікувальні, дієтичні, лікувально-профілактичні, спеціальні, спеціальні для дієтичного споживання, оздоровчі, корисні, з бажаними властивостями).

Так, у багатьох країнах Європейського Союзу, США, Росії такі продукти мають назву «функціональні», в Японії - «продукти харчування для спеціального дієтичного споживання» (Foods for Special Dietary Uses, скорочено- FOSHU), у Нідерландах - «спеціальні продукти харчування для підтримки здоров’я» (Specific Health Promoting Foods). До них відносять продукти харчування, які містять інгредієнти, що приносять користь здоров’ю людини шляхом покращення перебігу фізіологічних процесів, посилення роботи імунної системи та сприяють подовженню активного способу життя.

В Україні, згідно із Законом «Про безпечність та якість харчових продуктів» від 06.09.2005 р., надаються два наступні означення для характеристики цієї групи продуктів: «Функціональний харчовий продукт - харчовий продукт, який містить як компонент лікарські засоби та/або пропонується для профілактики або пом’якшення перебігу хвороби людини. Харчовий продукт для спеціального дієтичного споживання - харчовий продукт, який спеціально перероблений або розроблений для задоволення конкретних дієтичних потреб, що існують через конкретний фізичний чи фізіологічний стан людини та/або специфічну хворобу або розлад, у тому числі продукти дитячого харчування, харчування спортсменів та осіб похилого віку. Склад таких продуктів повинен значною мірою відрізнятися від складу звичайних продуктів, але вони не можуть бути замінниками лікарських засобів». Наприклад, основні вимоги до виготовлення хлібобулочних виробів такого спрямування викладені у ДСТУ-П 4588:2006 «Вироби хлібобулочні для спеціального дієтичного споживання».

На основі узагальнення і систематизації даних літературних джерел було розроблено класифікацію продуктів спеціального призначення за різними ознаками (рис.1.1).

Так, залежно від призначення спеціальні продукти можна поділити на п’ять груп:

. Оздоровчі забезпечують оптимальну життєдіяльність всіх категорій людей за рахунок вмісту ессенціальних інгредієнтів.

. Профілактичні забезпечують профілактику хронічних захворювань та виникнення нових у людей, що живуть у екологічно забруднених зонах або працюють на шкідливих виробництвах.

Рис. 1.1. Класифікація продуктів спеціального призначення

. Дієтичні справляють дію, спрямовану на покращання функціонування окремого органу чи організму в цілому за рахунок внесення в продукт або вилучення з нього певних речовин.

. Лікувальні забезпечують лікування того чи іншого захворювання за рахунок вмісту лікувальних препаратів натурального чи синтетичного походження.

. Спеціальні для різних груп населення сприяють нормальній життєдіяльності організму за рахунок вмісту рекомендованих або вилучення не рекомендованих речовин, збільшують стійкість до екстремальних умов (для спортсменів, космонавтів, дітей, вагітних жінок, літніх людей).

Залежно від походження ці продукти поділяють на натуральні або природні і такі, що одержані внаслідок спеціальної технологічної обробки. Як відомо, в натуральних продуктах харчування (апіпродукти, фрукти, овочі, молоко, м'ясо, лікарські рослини) природою закладено властивість приносити користь здоров’ю людини. Проте, іноді, екологічна забрудненість довкілля, застосування у аграрній промисловості шкідливих для організму людини хімічних добрив призводить до накопичення в них шкідливих для організму людини речовин. Це не дозволяє вважати такі продукти корисними і є одною з причин використання спеціальної технологічної обробки для вилучення шкідливих інгредієнтів. Ряд дієт вимагають вилучення «проблемних» інгредієнтів із харчових продуктів. Це дієти для діабетиків, для хворих на ожиріння і серцево-судинну недостатність, гіпопротеїнові, гіпонатрієві дієти та ін.

Слід враховувати, також, традиції харчування окремих народів, особливості агрокламатичних умов територій їх проживання. Так, наприклад, в Україні - традиційно завищено вживання борошняних виробів, тваринних жирів, у Японії - у харчуванні переважають риба і морепродукти, в окремих областях у питній воді має місце недостаток йоду тощо. Все це є причинами для створення продуктів спеціального призначення шляхом застосування різних способів технологічної обробки. За походженням збагачувача спеціальні продукти класифікують на ті, що збагачені на натуральні речовини рослинного (продукти переробки злакових, плодів та овочів) та тваринного походження (молокопродукти) і на синтетичні (вітамінні комплекси, що отримані шляхом хімічного синтезу).

Але слід зазначити, що віднесення спеціального продукту до тієї чи іншої групи є досить умовним і один і той же продукт за різними ознаками може входити до різних груп.

1.2 Особливості виробництва хлібобулочних виробів спеціального призначення

Хлібобулочні вироби майже на половину задовольняє потребу людини у вуглеводах, на третину - в білках, більш ніж на половину у вітамінах групи В, солях фосфору і заліза. Водночас хімічний склад хлібобулочні вироби не досконалий і потребує збільшення кількості та досягнення збалансованості найважливіших нутрієнтів. Наприклад, він незбалансований за співвідношенням натрію й калію, оскільки 150-200 г хлібобулочних виробів задовольняє добову фізіологічну потребу натрію, тоді як у калію - тільки в межах 5-15 %.

У розв'язанні проблеми поліпшення здоров'я населення України важливу роль можуть відіграти хлібобулочні вироби спеціального призначення, оскільки вони є одним із самих масових продуктів харчування. Хлібобулочні вироби є найбільш доступним продуктом для корекції харчової й біологічної цінності раціону людини. Асортимент хлібобулочних виробів, що випускається в Україні, досить широкий, однак виробів дієтичного, лікувально-профілактичного, спеціального призначення для різних груп населення недостатньо і їх частка в загальному об'ємі виробництва не перевищує 1-2 %.

Хлібобулочні вироби можна вважати перспективним продуктом для збагачення на есенціальні інгредієнти завдяки тому, що він є загальновживаним і доступним за ціною. Надання виробам бажаних функціональних властивостей можна здійснити шляхом цілеспрямованої оптимізації їх хімічного складу на базі використання нових видів сировини й біологічно активних харчових добавок. Уже розроблено велику кількість технологій хлібобулочних виробів функціонального призначення. В їх ряду важливе місце посідають технології, що передбачають використання продуктів переробки зародків пшениці - пластівців зародку, зародкового борошна, пророщеного зародку та ін.

Поліпшити споживні властивості хлібобулочних виробів можна з використанням нетрадиційної зернової сировини та продуктів її переробки.

Основними принципами в процесі виробництва хлібобулочних виробів спеціального призначення повинні бути:

вміст білкової складової у хлібобулочних виробів має бути максимально можливим;

амінокислотний склад білків повинен максимально відповідати складу «ідеального білка»;

співвідношення окремих фракцій жирних кислот (насичених, мононенасичених, поліненасичених) у складі ліпідів має максимально наближатись до рекомендованого з позицій біологічної ефективності;

співвідношення основних мінеральних елементів: кальцію, фосфору, калію, магнію - слід наближати до оптимального.

Збагачення (фортифікація) хлібобулочних виробів мікронутрієнтами повинно зберегти традиційні органолептичні і фізико-хімічні характеристики кінцевого продукту, гарантувати фізіологічно оптимальний вміст у ньому добре засвоюваного мікронутрієнта у безпечній для здоров'я людини формі, для чого слід врахувати, як технологічні, так і медико-біологічні та економічні аспекти проблеми.

Розроблені хлібобулочні вироби для використання в дієтотерапії. В якості джерела харчових волокон і біологічно активних речовин використані пшеничне, вівсяне, гречане борошно і кукурудзяна олія. Найкращою сумішшю для приготування хлібобулочних виробів призначених для осіб, які страждають ожирінням, була суміш, яка містить пшеничне, вівсяне і гречане борошно у співвідношенні 75:50:25.

Виготовлений із неї хлібобулочні вироби був багатий вітамінами, мікро- і мікроелементами і може бути рекомендований для застосування в дієтотерапії людей, які страждають ожирінням.

З метою поліпшення складу розширено асортимент виробів з використанням висівок та дробленого зерна. Розроблено рецептури й налагоджено виробництво хлібців та рогаликів висівкових, хліба «Зернятко», житнього з висівками та пшенично-висівкового, рогаликів з висівками, хлібців з вівсяними пластівцями, «Колосок», зернових.

Розширюється виробництво зернового хлібу, який виготовляється шляхом замочування і подрібнення зерна, додавання дріжджів, інших технологічних добавок та випікання зернової маси. Деякі способи виготовлення зернового хлібу передбачають використання зерна, що проросло, в окремих випадках подрібнене зерно піддають екструзії.

Зерновий хліб містить всі біологічно активні інгредієнти зерна, а в разі необхідності одержання спеціальних дієтичних видів хлібобулочних виробів, він додатково збагачується необхідними компонентами.

Для підвищення харчової цінності хлібобулочних виробів актуальним є застосування нетрадиційних видів сировини тваринного й рослинного проходження, яка багата на цінні біологічно активні і харчові речовини. До них можна віднести вторинні молочні продукти, сою, ферментовані зернові продукти, солодові екстракти, висівки, зародки пшениці, плющене зерно, борошно з льону, топінамбур, морські водорості, лікарські трави, листові овочі та ін.

В Україні створено хлібобулочні вироби підвищеної харчової й біологічної цінності з включенням у рецептуру білка зародків пшениці, кукурудзи, сої, амаранту, продуктів переробки листових овочів, листя амаранту, гарбуза, моркви, буряку, екстрактів лікарських рослин.

1.3 Характеристика та хімічний склад насіння льону

Завдяки унікальному складу льняне насіння можна рахувати нутрицевтиком, тобто продуктом, що оздоровлює організм людини. До такого виводу прийшли учені всього світу, котрі узагальнили результати дослідження льняного насіння в лабораторіях.

Льон - одна з прадавніх культурних рослин. Його насіння споживали ще в кам'яному столітті. Навіть у Біблії є згадка про те, що ізраїльтяни використовували льняне насіння для випічки хліба і одержання масла. Авіценна, Гіппократ писали про цілющі властивості насіння льону. Зараз льняне насіння починає відігравати все більшу роль в світовому виробництві продовольства. У 60-і роки минулого століття розпочався рух за вживання натуральних харчових продуктів без консервантів, смакових добавок, фарбників і ін., в 80-х прийшли до визнання необхідності використання льняного насіння, як здорового продукту. Склад льняного насіння багатий протеїнами, жирами, клейковиною і клітковиною. Протеїни багаті незамінними амінокислотами. Переважають глобуліни з високою молекулярною масою (58-66%). Альбуміну припадає на частку 20-42%. Харчова цінність білка з насіння льону в бальній оцінці оцінюється в 92 одиниці (казеїн прийнятий за 100).

А ще льняне насіння багате жирами (41%), тому досить цінне. Унікальність льняного масла полягає в дуже високому вмісті поліненасиченої альфа-ліноленової кислоти (АЛК). АЛК - незамінна жирна кислота в раціоні людини, сприяє здійсненню важливих біологічних функцій в організмі людини, входить до складу практично всіх клітинних мембран, бере участь в регенерації серцево-судинної системи, в рості і розвитку мозку. На сьогоднішній день високий вміст АЛК в дієті людини сприяє збільшенню в'язкості крові, володіє судинорозширювальними властивостями і має антистресову і антиаритмічну дії. Таким чином, введення льняного насіння або льняного масла в дієту стає життєво необхідним.

Мікроволокна (клітковина) є оболонками кліток рослини і складається з полісахаридів, також крохмалю, які майже не перетравлюються в організмі людини. Клітковина сприяє роботі кишечника, зменшує розвиток атеросклерозу.

Льняне насіння - одне з багатющих джерел лігнанів, які наділені антиканцерогенною дією, є антиалергенами, а також мають потужну антиоксидантну дію.

Насіння льону багате мінеральними речовинами, особливо багате калієм, якого в ньому міститься приблизно в 7 разів більше, ніж в бананах в перерахунку на суху масу. Жиророзчинний токоферол, тобто вітамін E представлений в льняному насінні головним чином гамма-токоферолом, який є природним біоантиоксидантом. Льняне насіння перевершує боби сої по кількості масла майже в 2 рази і за змістом в ньому найбільш біологічно активних жирних кислот на 35%, за змістом вуглеводів - в 1,7 раза. Ці порівняльні дані відображають харчову перевагу льону над соєю, що і спонукало країни до витіснення сої з продовольчої сфери і заміни її льоном. Потреби населення землі в льняному насінні безперервно зростають і розкривають перспективи подальшого розвитку льонарства і забезпечення людей харчуванням з підвищеним вмістом біологічно активного льняного білка.

Завдяки цінному хімічному складу (табл. 1.2), насіння льону є перспективною сировиною у виробництві харчових продуктів, використовується, як функціональна добавка в продуктах хлібопекарської, кондитерської галузей. Зокрема Краусом С. та Акжигітовою Л. ведуться розробки хлібопекарських сумішей з використанням насіння льону.

Монорі Е.С. встановив, що харчова цінність хліба значно підвищується при внесенні 8-16 % борошна з насіння льону. Популярні останнім часом цереали - багатокомпонентні зернові суміші на основі пшеничного борошна, у своєму складі також містять насіння льону.

Використання льону відоме і в кондитерській промисловості. Авторами розроблено рецептуру печива «Тріо», що містить борошно з насіння льону.

Таким чином, насіння льону, як цінна білкова добавка, джерело поліненасичених жирних кислот використовується у виробництві харчових продуктів.

Таблиця 1.2

Хімічний склад та харчова цінність насіння льону

Продукт

Вода

Білки

Жири

Вуглеводи

Клітковина

Зола

Мінеральні речовини

Вітаміни

Енергетична цінність








Na

K

Ca

Mg

P

Fe

В1

В2

РР

С



грам

міліграм

міліграм

ккал

Льон

9

18,3

42,1

1,6

27,3

3,7

30

813

255

392

642

5,7

1,6

0,16

3,1

0,6

534


1.4 Особливості технології виробів з дріжджового тіста

Хлібобулочна промисловість - найбільш розвинута галузь харчової промисловості України.

Найширшим поняттям, яке об'єднує всі групи хлібних виробів (хліб, булочні і здобні вироби та ін.), є поняття «хлібобулочні вироби». Це харчові продукти, які випікають з борошна, дріжджів, солі, води та додаткової сировини.

Хлібобулочні вироби характеризуються високими споживними властивостями, які визначаються їх хімічним складом, засвоюваністю поживних речовин, енергетичною цінністю, біологічними і органолептичними показниками.

Основних факторів, які впливають на формування споживних властивостей хлібобулочних виробів, належать вид сировини та її якість, технологія виготовлення продукції.

Основною сировиною у хлібопеченні є борошно, сіль, дріжджі і вода, а допоміжною - молочні та яєчні продукти, жири, цукор, ізюм, мак, прянощі та ін.

Приготування дріжджового тіста проводиться двома способами: опарний і безопарний.

Опарний передбачає приготування тіста в 2 фази: приготування опари, приготування тіста.

Для приготування опари за звичай використовують біля половини загальної кількості борошна, 2/3 води, всю кількість дріжджів. Початкова температура 28-32°С. Тривалість бродіння 3-4,5 годин.

На готовій опарі замішують тісто. При цьому вносять залишкову частину борошна, води і сіль. У випадку коли передбачено цукор і жир, їх вносять у тісто також. Тісто може мати температуру 28-30 °С, бродіння триває 1-1,45 год. В процесі тісто обминають 1-2 рази.

Готують на густій опарі, на рідкій опарі.

По-польськи - готується опара слабка і витримується 5-8 год. Для опари беруть 5/6 води від загальної кількості. Температура тіста 28°С, час бродіння тіста, включаючи обминку 20-30 хв. Тривалість розстоювання довша ніж при попередніх способах, але вироби більші за об'ємом.

Переваги цього способу (полішем): вироби отримується з характерним запахом і смаком, скорочується час приготування тіста.

Загалом, опарний спосіб використовують в тих випадках коли:

- борошно старе або грубого помелу;

борошно містить крохмаль низької якості;

необхідно отримати тісто при повільному бродінні і тісто на яке не впливають зміни температури повітря приміщення;

випечені вироби довго не черствіють;

- рецептури містять високу кількість здоби.

Безопарний спосіб - однофазний, він передбачає внесення всієї кількості борошна, води, солі, дріжджів, які передбачені рецептурою для даної порції тіста.

Початкова температура безопарного виду тіста 28-30°С. Тривалість бродіння, в залежності від кількості дріжджів, може коливатися в межах 2-4 години. Під час бродіння також піддається 1-2 обминкам.

Безопарний спосіб використовують коли:

·   борошно має низьку підйомну силу;

·   використовується борошно вищих ґатунків;

·   тісто повільно зброджує;

- необхідно скоротити втрати тіста під час бродіння і розстоювання;

- підвищити вміст цукру в виробі тощо.

Прискорений спосіб - використовують поліпшувачі типу „Екстра", „Бік" та інші. Тісто в таких випадках готується без бродіння в масі. В тістомісильну машину кладуть борошно за нормою, поліпшувачі в сухому вигляді, та інші компоненти і змішують тісто 15-23 хв. Залишають на 10-20 хв. і розробляють. При цьому способі збільшується тривалість розстоювання 60-90 хв., норма дріжджів у 1,5...2 рази більше, солі в 1, 3...1, 5 рази.

Кількість дріжджів збільшують при:

·   підвищенні інтенсивності виробництва виробів;

·   невеликому розмірі виробів;

·   високому відсоткові цукру або жиру;

·   невеликій кількості тіста;

·   холодне тісто;

·   борошно з підвищеним вмістом клейковини.

Основна мета замішування опари є отримання однорідної по всій масі суміші відповідних кількостей борошна, води і дріжджів. Відсутність грудочок борошна свідчить про завершення процесу. Тривалість і інтенсивність замішування опари впливає на якість виробів. Але більш за все впливає заміс тіста. Цей заміс повинен забезпечити і надати тісту таких властивостей, при яких воно перед розділенням набуло б такого стану при якому протікали б найкраще процеси розділення, формування, розстоювання і випікання.

Заміс, поєднання води, дріжджів, солі починає проходити ряд процесів. Частинки борошна швидко поглинають воду, при цьому вони набухають. Злипання цих частинок в суцільну масу відбувається в результаті механічної дії на масу. Провідна роль віддається білкам борошна, які нерозчинні у воді, ці білкові речовини під механічною дією ніби витягуються в вигляді плівки або джгутиків, і в тісті утворюють губчато-сітчасту безперервну структуру. Ця структура і обумовлює спеціальні фізичні властивості тіста - його розтяжність і пружність. Цей білковий каркас називають ще клейковиннмм.

Білкові речовини поглинають до 2,5 рази більше вологи за свою масу, але основна маса борошна це крохмаль, який при помолі частково руйнується. Якщо цільі зерна крохмалю зв'язують 44 % вологи на суху речовину, та пошкоджені 200%. Але зруйновані зерна складають лише 15%, тому більша частина це цілі зерна, які збільшують не значно.

Поряд з твердою фазою у тісті є рідка до якої відносять водорозчинні речовини тіста - мінеральні і органічні (водорозчинні білки, декстрини, цукру та інші).

Поряд з цими фазами в тісті є газоподібна. За звичай рахують, що вона утворюється в процесі бродіння у вигляді пухирців вуглекислого газу. Але спеціальними дослідженнями встановлено, що під час замісу коли про виділення газу бродильною мікрофлорою ще не можна сказати, у ньому вже є ця фаза. Тобто, при нормальному замісі в об'ємі тіста може бути до 10 % газоподібної фази.

Поряд з розглянутими фізичними і колоїдними процесами у тісті починають проходити і біохімічні процеси, які викликані дією ферментів борошна і дріжджів.

Таким чином, можна сказати, що фізичні, колоїдні та біохімічні процеси проходять при замішуванні одночасно і взаємно впливають один на одного.

І так бродіння розпочинається з моменту замішування, продовжується при знаходженні тіста у діжах, при розділенні тіста на шматки, розстоюванні і навіть в перший період випікання.

Мета бродіння опари і тіста - приведення тіста в стан, при якому воно за газоутворюючою здатністю і фізичними властивостями буде найбільш придатне для розділювання і випікання. Не менш важливим є накопичення в тісті продуктів, які обумовлюють смак і аромат, що властивий тісту яке вибродило.

Розрихлювання тіста вуглекислим газом дозволяє отримати вироби з добре розрихленою пористою м'якушкою - це і є основна задача процесу бродіння.

Суму процесів, які відбуваються тісто в результаті обминок і бродіння в стан, оптимальний для розділювання і випікання називають дозріванням.

Готове до розділювання тісто повинно відповідати наступним вимогам:

газоутворення повинно проходити у сформованих шматках до початку процесу розстоювання з достатньою інтенсивністю;

- фізичні властивості тіста повинні бути оптимальними для поділення його на шматки, заокруглення ті інших операцій, а також для утримання тістом газу і зберігання форми виробу при розстоюванні і випіканні;

- в тісті повинна бути достатня кількість не-зброджених цукрів і продуктів гідролітичного розпаду білків, які необхідні для нормального забарвлення шкуринки хліба;

в тісті повинні утворюватися і міститься в необхідній кількості продукти, які обумовлюють специфічний смак і аромат виробу.

Випікання - це процес прогрівання тістових заготовок, які розстоялись, і перетворення їх із стану тіста в стан виробу.

Якщо судити про процес випічки за зовнішніми, зоровими сприйняттями, то відмічаємо, що після розміщення тіста в камеру воно починає різко зростати в об'ємі через певний час ріст призупиняється, а потім і зовсім припиняється. Цей об'єм і залишається до кінці випікання.

Поверхня шматка тіста після розміщення у пекарній шафі покривається тонкою висохлою плівкою, яка поступово переходить у скоринку. Забарвлення поступово змінюється і стає все більш темнішим, якщо розрізати через певний період шматки тіста, то можна відмітити поступове стовщення і затвердіння скоринки.

Вироби з дріжджового тіста займають майже 40 % в асортименті борошняної кондитерської продукції, що виробляються кондитерськими цехами підприємств ресторанного господарства. Відмінністю даного виду тіста є використання біологічного способу розпушення - дріжджового бродіння. Асортимент виробів із дріжджового тіста за видами і найменуваннями широкий і різноманітний. Із нього готують булочки різних видів, здоби звичайні та виборзькі, пиріжки печені, розтягаї, кулеб’яки, пироги та інші вироби. Достатньо велику групу займають дріжджові кулінарні вироби, для приготування яких використовують начинки і фарші.

Указану продукцію виготовляють за рецептурами, наведеними в збірниках рецептур блюд і кулінарних виробів, збірниках кондитерських і булочних виробів для підприємств харчування, хоча за нашого часу велика її кількість випускається за фірмовими рецептурами, розробленими підприємствами, які є їх власністю.

Способи приготування тіста

Для виготовлення дріжджового тіста використовують однофазні або двофазні способи (рис. 1.2). Однофазні передбачають приготування тіста за одну фазу із всієї кількості борошна та іншої сировини за рецептурою. До них відносять безопарний та прискорені способи. За двофазним (опарним) способом готують першу фазу (опару) з частини борошна і дріжджів, після її дозрівання - другу фазу (тісто).

Рис. 1.2. Класифікація способів приготування тіста

Спосіб приготування дріжджового тіста вибирають залежно від рецептури виробів, кількості та особливостей обладнання і цільового призначення. Якщо до складу тіста входить невелика кількість здоби, то одночасно замішують усю сировину. У рецептуру здобного тіста входить досить значна кількість цукру і жиру, що створює несприятливі умови для бродіння, бо велика концентрація цих компонентів пригнічує життєдіяльність дріжджів, підвищуючи осмотичний тиск на клітини. Для забезпечення нормальних умов для їх життєдіяльності спочатку замішують опару, до складу якої вносять частину води і борошна і всі дріжджі, а потім у виброджену опару додають здобу, а також решту води і борошна.

Тісто готують на дріжджах пресованих або сушених. Витрата цих компонентів залежить від їх якості (підйомної сили), способу приготування тіста, наявності та норми закладання солі, цукру, жиру. Дозування пресованих дріжджів становить 0,5 до 2,5 % від маси борошна. Сушені дріжджі додають у кількості в 1,5…2 рази більшій, ніж дріжджі пресовані (у перерахунку на сухі речовини).

Загальна принципова технологічна схема приготування дріжджового тіста зводиться до підготовки основної та додаткової сировини, дозування її за об’ємом або масою, замішування опари або тіста (залежно від способу), бродіння опари або тіста, формування виробів та їх випікання.

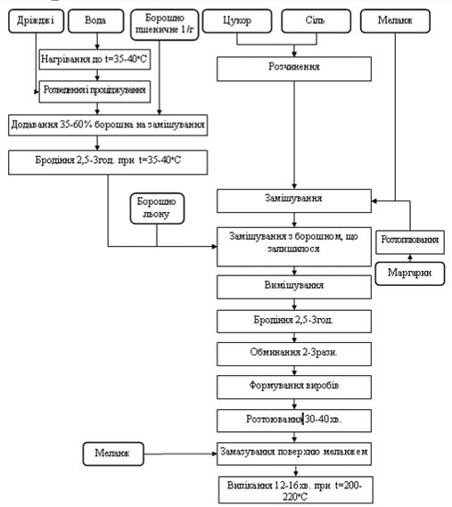
Безопарний спосіб приготування тіста. Цей спосіб передбачає замішування тіста з усієї кількості інгредієнтів за рецептурою. Функціональна схема приготування виробів з дріжджового тіста наведена на рис. 1.3.

Рис. 1.3. Технологічна схема дріжджового безопарного тіста

У діжу тістомісильної машини вливають воду, підігріту до температури 35-40 °С, додають дріжджі, які попередньо суспендовані у воді та проціджені. Цукор-пісок і сіль розчиняють у невеликій кількості води, процідивши через сито з отворами 0,5-1,5 мм, виливають також у діжу, добавляють підготовлені та проціджені яйця або меланж, а потім всипають просіяне борошно. Тісто замішують до утворення однорідної маси протягом 7-8 хвилин, після чого вводять розтоплений маргарин і продовжують замішування до однорідної консистенції та легкого відділення його від стінок діжі. Потім діжу накривають кришкою і залишають для бродіння на 3-4 години в приміщенні з температурою 35…40 °С. Коли тісто збільшиться в об’ємі в 1,5 разу, діжу підвозять до тістомісильної машини і протягом 1-2 хв обминають. У процесі подальшого бродіння тісто обминають ще один-два рази. У разі використання борошна зі слабкою клейковиною обминання тіста проводять один раз.

Готове тісто викладають на змащений олією (для смажених виробів) або посипаний борошном (для печених виробів) стіл і розробляють.

Тісто ділять на шматки відповідної маси вручну або натісторозподільнику.

При розробці вручну з тіста формують джгут, який ділять ножем або руками на порції, надають форми кульок і кладуть їх на стіл на 5-6 хв. для вистоювання, щоб створити умови для бродіння. Потім з кульок формують різні вироби, укладають їх на листи, змащені жиром, і ставлять у тепле вологе місце на 20-30 хв. для вистоювання.

У процесі розробки тіста з нього виділяється вуглекислий газ і об'єм його зменшується. Під час вистоювання об'єм знову збільшується за рахунок накопичення вуглекислого газу і вироби знову стають пористими. Якщо вироби погано вистоялися, то у процесі випікання вони ущільнюються, стають дрібними, на поверхні утворюються тріщини. Якщо вироби дуже довго вистоювалися, то вони будуть розпливчастими, без глянцю.

Для поліпшення зовнішнього вигляду виробів поверхню їх перед випіканням (за 5-10 хв) змащують яйцем, яйцем з молоком або меланжем. Найкраще змащувати вироби жовтком. Яйця або меланж перед використанням злегка збивають і проціджують крізь сито. Поверхню слід змащувати обережно, щоб не прим'яти вироби. Для цього використовують волосяні м'які щіточки. Випікають вироби при температурі 190-230°С.Час випікання залежить від розміру виробів. Температура в кондитерській печі при випіканні великих виробів повинна бути нижчою, ніж при випіканні дрібних, щоб вироби поступово пропеклися і не підгорали.

рецептурний технологія виріб тісто

Розділ 2. Організація теоретичних та експериментальних робіт

.1 Характеристика об’єкту та методи дослідження

В якості основного об’єкту досліджень обрано виріб з дріжджового тіста «Здоба звичайна» №106.

Сировина, яка використовується при приготування виробу-аналога повинна відповідати нормативним документам, а саме:

борошно пшеничне 1 ґатунку - ГСТУ 52189-2003;

цукор білий кристалічний ДСТУ 4623-2006;

масло вершкове ДСТУ 4399-2005;

яйце куряче ДСТУ 5028-2008;

сіль кухонна ДСТУ 3583-97(ГОСТ 13830-97);

дріжджі хлібопекарські ГОСТ 171-81.

В табл. 2.1 зображено методи дослідження, які використовувалися при написанні курсової роботи .

 

Таблиця 2.1

Методи дослідження, які використовуються в курсовій роботі

N п/п

Назва методу

Характеристика методів

1

Розрахунковий

- розрахунок технологічних параметрів рецептури (маса нетто, брутто) - розрахунки вмісту сухих речовин

2

Технологічний

- складання актів відпрацювання - визначення витрат при тепловому оброблянні сировини, їх порціонуванні згідно з методикою розробки рецептур на фірмові вироби

3

Дослідні

- органолептичні показники

4

Комп’ютерні технології

- мережа Інтернет - табличний процесор Ехсеl

2.2 Схема системних досліджень

Для вирішення задач створення нових борошняних виробів спеціального призначення складемо схему системних досліджень, яка подана в табл. 2.2.

 

Таблиця 2.2

Схема системних досліджень

Назва елемента системи

Характеристика

Об’єкт як система дослідження

Технологія приготування виробів з дріжджового тіста

Актуальність проблеми

Підвищення біологічної цінності виробів з дріжджового тіста

Мета дослідження

Розробка рецептури з підвищеним вмістом біологічно активних речовин

Аналіз системи

Загальна характеристика формування асортименту Аналіз технологій та рецептурного складу Перспективи підвищення біологічної цінності виробів

Проблемний елемент системи

Низька харчова та біологічна цінність виробів з дріжджового тіста

Варіанти вирішення

Використання нетрадиційної сировини

Оптимальне вирішення

Використання борошна льону

Алгоритм вирішення

Дослідження властивостей напівфабрикату Розробка проекту рецептури Визначення основних показників якості Розробка проекту технологічної документації

Оцінка реалізації рішення

Розробка технологічних карток на нову продукцію


Розділ 3. Розробляння рецептури і технології кондитерських виробів спеціального призначення

.1 Аналіз рецептурного складу та технології виробу-аналога

Як вже відомо, виріб-аналог - це продукт, який за рецептурним складом, органолептичними та фізико-хімічними показниками, особливостями технологічного процесу максимально наближається до виробу, рецептуру якого необхідно вдосконалити.

В результаті цього в якості виробу-аналогу обрано «Здобу звичайну» №106, яку виготовляють із дріжджового тіста.

Аналіз рецептурного складу і технології страв-аналогу передбачає:

–       підбір рецептури виробу-аналога, на основі яких передбачається розробляти нових виробів спеціального призначення;

–       аналіз основних компонентів, які входять в склад виробу-аналога;

–       розглянути технологію приготування виробу-аналога;

–       аналіз технологічного процесу приготування виробу-аналога.

Аналіз рецептурного складу виробу-аналога подаємо у вигляді табл. 3.1.

 

Таблиця 3.1

Аналіз рецептурного складу виробу-аналога

Сировина

Масова частка сухих речовин, %

Кількість сировини на 100 шт. виробів, г

Масова частка в % до маси н/ф

Функціональне призначення



в натурі

в сухих речовинах



1

2

3

4

5

6

Борошно пшеничне 1/г

85,5

3556

3040,4

57,9

Основна сировина

Борошно пшеничне 1/г (на підпил)

85,5

148

126,5

2,4

Допоміжна сировина

Цукор-пісок

99,85

370

369,4

6,0

Смакова добавка

Масло вершкове

84

111

93,2

1,8

Стабілізатор структури

Масло вершкове (для розділювання)

84

148

124,3

2,4

Для розділювання

Меланж (для змазування)

27

133

35,91

2,2

Для змазування поверхні

Сіль

96,5

56

54,04

0,9

Смакова добавка

Дріжджі пресовані

25

56

14

0,9

Структуроутворювач

Вода

0

1560

0

25,4

Для замісу тіста

Маса н/ф

 

6138

3857,9


 

-

5000

 




Технологія приготування

В тістомісильну машину вливають підігріту до 35-40ºС воду (60-70% загальної кількості рідини), додають підготовлені дріжджі, борошно (35-60% від загальної кількості борошна, яка передбачена рецептурою) і перемішують до отримання однорідної маси. Поверхню опари посипають борошном і залишають в приміщенні з температурою 35-40ºС на 2,5-3 год. для бродіння. Коли опара збільшується в об’ємі у 2-2,5 рази і почне осідати, до неї додають рідину, яка залишилась, з попередньо розчиненими в ній сіллю та цукром, яйцями, потім перемішують, додають борошно, що залишилося і замішують тісто. Перед закінченням замісу додають розтоплений маргарин. Тісто залишають на 2-2,5 год. для бродіння. За час бродіння тісто обминають один-два рази.

Виробам надають круглої форми.

Вироби укладають на дек, змащеним жиром, ставлять у тепле місце для розстоювання на 50-80 хв. За 15-20 хв до кінця вистоювання поверхню змащують меланжем. Випікають вироби протягом 12-16 хв при температурі 200-220 °С.

Характеристика виробу. Форма різноманітна, з чітко вираженим малюнком. Поверхня глянцева. Забарвлення від світло-коричневої до темно-коричневої, в місцях надрізів і складок світліша. М’якуш добре пропечений, пористий.

Аналіз технологічного процесу приготування «Здоби звичайної» №106 подано у табл. 3.2.

Технологічний процес приготування даної страви складається з чотирьох етапів:

. Приготування тіста;

. Розробка тіста;

. Теплове обробляння;

. Підготовка до реалізації.

 

Таблиця 3.2

Аналіз технологічного процесу приготування виробу-аналога

Етапи технологічного процесу

Технологічна операція

Параметри

Фізико-хімічні показники, що відбуваються

Мета, яка досягається

1

2

3

4

5

Приготування тіста

Замішування тіста

τ= 4-8 хв.

Білки борошна поглинають воду, утворюється клейковинний каркас

Отримання однорідної маси тіста


Бродіння тіста

t= 26-300С τ=1,5-2 год.

Накопичення речовин, які обумовлюють смак, аромат і забарвлення виробу. Відбуваються мікробіологічні процеси, біохімічні та фізичні

Розпушування тіста, надання йому еластичності


Обминання тіста

τ=1,5-2,5 хв.

Рівномірний розподіл пухирців вуглекислого газу по всій масі тіста

Отримання м’якуша з рівномірною пористістю

Розробка тіста

Розробка тіста на частини

-

-

Покращення структури тіста для одержання пористого м’якуша


Попередне розстоювання

τ= 5-7 хв.

-

Відновлення клейковинного та структурного каркасу


Формування

-

-

Надання шматкам певної форми


Остаточне розстоювання

t= 35-400С τ= 50-80 хв. W=75-85%

Поповнення вуглекислим газом

Поповнення тіста вуглекислим газом, який видалився на попередніх стадіях за рахунок процесу бродіння

Теплове обробляння

Випікання

t= 200-2200С τ= 12-16 хв

Зменшення маси на 6-14%

Доведення до стану готовності

Підготовка до реалізації

Охолодження

-

-

Для зменшення втрат, які відбуваються після випікання. Частина вологи виходить в навколішне середовище і маса виробів зменшується на 2-4%



Виходячи з аналізу технологічного процесу приготування виробу бачимо, що борошна льон краще додавати на стадії приготування тіста на стадії остаточного замішування тіста.

3.2 Розроблення рецептури і технології нової продукції

Для розробки борошняного виробу спеціального призначення пропонуємо замінити 5%, 10%, 15%, 20% пшеничного борошна на борошно льону. Для нових рецептур робимо перерахунок по сухим речовинам для правильності виходу виробів, враховуючи що масова частка сухих речовин борошна льону 93%.

Для нових рецептур робимо перерахунок по сухим речовинам, враховуючи що масова частка сухих речовин борошна льону 80%.

Для розрахунку кількості борошна пшеничного 1/г, яке потрібно замінити на борошно льону, складаємо пропорцію:

,6 - 100 %

х - 5 %

г,

де 17,8 г - кількість борошна льону для заміни.

Тоді загальна кількість борошна пшеничного буде дорівнювати:

,6 - 17,8 = 337,8 г.

Як бачимо з табл. 3.3 кількість сухих речовин у дослідному зразку зменшилась на 1 г. Завданням передбачено провести заміну компонентів без зміни загальної кількості сухих речовин. Тому необхідно збільшити закладення сировини у рецептурі, яка б відповідала вмісту сухих речовин 1 г.

Для вибору компоненту, який можливо збільшити, зупиняємося на пшеничному борошні. Таким чином, кількість пшеничного борошна в рецептурі в сухих речовинах збільшуємо на 1 г.

,8 + 1 = 289,8 г сухих речовин.

Для розрахунку кількості пшеничного борошна в натурі складаємо пропорцію:

,8 г пшеничного борошна - 288,8 г сухих речовин

х г - 289,8 г сухих речовин

г.

Розроблені рецептури показані в таблиці 3.3-3.6.

 

Таблиця 3.3

Технологічна рецептура «Здоба звичайна» з заміною 5% пшеничного борошна на борошно льону

Сировина

Масова частка сухих речовин, %

К-сть сировини на 10 шт. готового виробу, г

Перерахована к-сть сировини на 10 шт. готового виробу, г



У натурі

У сухих речовинах

У натурі

У сухих речовинах

1

2

3

4

5

6

Борошно пшеничне 1 гатунку

85,5

337,8

288,8

339,0

289,8

Борошно пшеничне 1 гатунку (на підпил)

85,5

14,8

12,7

14,8

12,7

Борошно льону

80

17,8

14,22

17,8

14,2

Цукор-пісок

99,85

37

36,9

37

36,9

Масло вершкове

84

11,1

9,3

11,1

9,3

Масло вершкове (для розділювання)

84

14,8

12,4

14,8

12,4

Меланж (для змазування)

27

13,3

3,6

13,3

3,6

Сіль

96,5

5,6

5,4

5,6

5,4

Дріжджі пресовані

25

5,6

1,4

5,6

1,4

Вода

0

156

0

156

0,0

Маса н/ф

 

613,8

384,8

614,9

385,8

Вихід

-


 

500

 

 

Таблиця 3.4

Технологічна рецептура «Здоба звичайна» з заміною 10% пшеничного борошна на борошно льону

Сировина

Масова частка сухих речовин, %

К-сть сировини на 10 шт. готового виробу, г

Перерахована к-сть сировини на 10 шт. готового виробу, г



У натурі

У сухих речовинах

У натурі

У сухих речовинах

Борошно пшеничне 1 гатунку

85,5

320,0

273,6

322,3

275,6

Борошно пшеничне 1 гатунку (на підпил)

85,5

14,8

12,7

14,8

12,7

Борошно льону

80

35,6

28,45

35,6

28,4

Цукор-пісок

99,85

37

36,9

37

36,9

Масло вершкове

84

11,1

9,3

11,1

9,3

Масло вершкове (для розділювання)

84

14,8

12,4

14,8

12,4

Меланж (для змазування)

27

13,3

3,6

13,3

3,6

Сіль

96,5

5,6

5,4

5,6

5,4

Дріжджі пресовані

25

5,6

1,4

5,6

1,4

Вода

0

156

0

156

0,0

Маса н/ф

 

613,8

383,8

616,1

385,8

Вихід

-


 

500

 

 

Таблиця 3.5

Технологічна рецептура «Здоба звичайна» з заміною 15% пшеничного борошна на борошно льону

Сировина

Масова частка сухих речовин, %

К-сть сировини на 10 шт. готового виробу, г

Перерахована к-сть сировини на 10 шт. готового виробу, г



У натурі

У сухих речовинах

У натурі

У сухих речовинах

Борошно пшеничне 1 гатунку

85,5

302,3

258,4

305,7

261,4

Борошно пшеничне 1 гатунку (на підпил)

85,5

14,8

12,7

14,8

12,7

Борошно льону

80

53,3

42,67

53,3

42,7

Цукор-пісок

99,85

37

36,9

37

36,9

Масло вершкове

84

11,1

9,3

11,1

9,3

Масло вершкове (для розділювання)

84

14,8

12,4

14,8

12,4

Меланж (для змазування)

27

13,3

3,6

13,3

3,6

Сіль

96,5

5,6

5,4

5,6

5,4

Дріжджі пресовані

25

5,6

1,4

5,6

1,4

Вода

0

156

0

156

0,0

Маса н/ф

 

613,8

382,9

617,2

385,8

Вихід

-


 

500

 

 

Таблиця 3.6

Технологічна рецептура «Здоба звичайна» з заміною 20% пшеничного борошна на борошно льону

Сировина

Масова частка сухих речовин, %

К-сть сировини на 10 шт. готового виробу, г

Перерахована к-сть сировини на 10 шт. готового виробу, г



У натурі

У сухих речовинах

У натурі

У сухих речовинах

1

3

4

5

6

Борошно пшеничне 1 гатунку

85,5

284,5

243,2

289,1

247,1

Борошно пшеничне 1 гатунку (на підпил)

85,5

14,8

12,7

14,8

12,7

Борошно льону

93

71,1

56,90

71,1

56,9

Цукор-пісок

99,85

37

36,9

37

36,9

Масло вершкове

84

11,1

9,3

11,1

9,3

Масло вершкове (для розділювання)

84

14,8

12,4

14,8

12,4

Меланж (для змазування)

27

13,3

3,6

13,3

3,6

Сіль

96,5

5,6

5,4

5,6

5,4

Дріжджі пресовані

25

5,6

1,4

5,6

1,4

Вода

0

156

0

156

0,0

Маса н/ф

 

613,8

381,9

618,4

385,8

Вихід

-


 

500

 

Технологія приготування

В миску вливають підігріту до 35-40ºС воду (60-70% загальної кількості рідини), додають підготовлені дріжджі, борошно (35-60% від загальної кількості борошна, яка передбачена рецептурою) і перемішують до отримання однорідної маси. Поверхню опари посипають борошном і залишають в приміщенні з температурою 35-40ºС на 2,5-3 год. для бродіння. Коли опара збільшується в об’ємі у 2-2,5 рази і почне осідати, до неї додають рідину, яка залишилась, з попередньо розчиненими в ній сіллю та цукром, яйцями, потім перемішують, додають борошно, що залишилося та борошно льону і замішують тісто. Перед закінченням замісу додають розтоплений маргарин. Тісто залишають на 2-2,5 год. для бродіння. За час бродіння тісто обминають один-два рази.

Виробам надають круглої форми, укладають на дек, змащеним жиром, ставлять у тепле місце для розстоювання на 50-80 хв. За 15-20 хв до кінця вистоювання поверхню змащують меланжем. Випікають вироби протягом 12-16 хв при температурі 200-220 °С.

Характеристика виробу. Форма різноманітна, з чітко вираженим малюнком. Поверхня глянцева. Забарвлення від світло-коричневої до темно-коричневої, в місцях надрізів і складок світліша. М’якуш добре пропечений, пористий.

3.3 Розроблення технологічних карток і схем. Визначення показників якості розробленої продукції

Порядок складання та затвердження технологічних карток на фірмові страви у закладах ресторанного господарства проводиться згідно з Наказом Міністерства економіки № 21 від 25.01.2008 «Про Порядок розробки та затвердження технологічної документації на фірмові страви, кулінарні та борошняні кондитерські вироби у закладах ресторанного господарства»

Технологічна документація - це сукупність документів, які визначають технологічний процес виготовлення виробів (регламентує та описує проведення технологічного процесу виготовлення кулінарної продукції, булочних і борошняних кондитерських виробів), споживання яких безпечне для життя й здоров'я людини. До неї належать збірники рецептур страв, кулінарних, борошняних кондитерських і булочних виробів, технологічні інструкції і технологічні карти.

Технологічні карти не підлягають державній реєстрації у Державному комітеті стандартизації, метрології та сертифікації України.

Фірмові страви та вироби повинні відповідати вимогам ГОСТ 30390-95 «Общественное питание. Кулинарная продукция, реализуемая населению. Общие технические условия» та іншим чинним нормативним документам на зазначені вироби.

На нові фірмові страви та вироби у сфері ресторанного господарства мають бути складені технологічні карти. У картах зазначаються: опис технологічного процесу приготування, а також перелік продуктів, продовольчої сировини, речовин і супутніх матеріалів, що застосовуються в процесі приготування, із зазначенням даних про норми їх вмісту в кінцевому харчовому продукті. Рецептура є власністю виробника.

Погоджено                                                                 Затверджую

Головний держ.сан лікар                                            Керівник

______________________                        ___________________

(назва адміністративної території)   (найменування субєкту госпо

                                                                 дарювання рест.господ.)

______________________                                  ___________________

(прізвище, ім'я, по-батькові)                   (прізвище, ім'я, по-батькові)

________________________                                ___________________

"____" _____________ 2013р.                                 _____ ________2013р.

__________                                                                            __________

підпис                                                                                       підпис

Технологічна карта №1

на «Здоба звичайна» з заміною 5% пшеничного борошна на борошно льону

  Сировина

Масова частка сухих речовин, %

К-сть сировини на 10 шт. готового виробу, г

Технологічні вимоги до якості основної сировини



У натурі

У сухих речовинах


Борошно пшеничне 1 гатунку

85,5

339,0

289,8

Без сторонніх домішків і присмаків

Борошно пшеничне 1 гатунку (на підпил)

85,5

14,8

12,7

Без сторонніх домішків і присмаків

Борошно льону

80

17,8

14,2

Без сторонніх домішків і присмаків

Цукор-пісок

99,85

37

36,9

Без сторонніх домішків і присмаків

Масло вершкове

84

11,1

9,3

Консистенція щільна, однорідна, без сторонніх присмаків і запахів

Масло вершкове (для розділювання)

84

14,8

12,4

Консистенція щільна, однорідна, без сторонніх присмаків і запахів

Меланж (для змазування)

27

13,3

3,6

Шкаралупа матова, чиста, міцна, без плям, не пошкоджена. Повітряна камера не рухома. Жовток легко відділяється від білка. Запах приємний, смак свіжий.

Сіль

96,5

5,6

5,4

Не повинна мати запаху та сторонніх механічних домішок

Дріжджі пресовані

25

5,6

1,4

Повинні мати високу бродильну активність, консистенція щільна, легко ламається, смак і запах прісний властивий дріжджам

Вода

0

156

0,0

Повинна відповідати санітарним вимогам на питну воду

Маса н/ф

 

614,9

385,8


Вихід

-

500

 


Технологія приготування

В миску вливають підігріту до 35-40ºС воду (60-70% загальної кількості рідини), додають підготовлені дріжджі, борошно (35-60% від загальної кількості борошна, яка передбачена рецептурою) і перемішують до отримання однорідної маси. Поверхню опари посипають борошном і залишають в приміщенні з температурою 35-40ºС на 2,5-3 год. для бродіння. Коли опара збільшується в об’ємі у 2-2,5 рази і почне осідати, до неї додають рідину, яка залишилась, з попередньо розчиненими в ній сіллю та цукром, яйцями, потім перемішують, додають борошно, що залишилося та борошно льону і замішують тісто. Перед закінченням замісу додають розтоплений маргарин. Тісто залишають на 2-2,5 год. для бродіння. За час бродіння тісто обминають один-два рази.

Виробам надають круглої форми, укладають на дек, змащеним жиром, ставлять у тепле місце для розстоювання на 50-80 хв. За 15-20 хв до кінця вистоювання поверхню змащують меланжем. Випікають вироби протягом 12-16 хв при температурі 200-220 °С.

Вимоги до якості готової сировини

Форма: кругла.

Колір скоринки: від світло-коричневого до коричневого.

Структура та вигляд на зламі: світло-жовтий, пропечений.

Запах та смак: притаманний даному виробу.

Мікробіологічні показники для даного виду виробу, які нормуються

Вміст токсичних речовин, мікотоксинів та пестицидів у виробах не повинні перевищувати допустимі норми, встановлені медико біологічними умовами і санітарними нормами якості продовольчої сировини та харчових продуктів.

Фізико-хімічні показники готового виробу, які формуються

Вологість м’якиша, % не більше 37; кислотність, град., не більше 2,5; масова доля цукру в не рахунку на сухі речовини % 14,5±1; масова доля жиру на сухі речовини 9±0,5%.

Автор фірмової страви   ___________________________

                                          (прізвище, ім'я та по батькові)

Карту склав:____________  _____________  _______________________

                         (посада)          (підпис) (прізвище, ім'я та по батькові)

Погоджено                                                               Затверджую

Головний держ.сан лікар                                                       Керівник

______________________                                  ___________________

(назва адміністративної території)   (найменування субєкту госпо

                                                                дарювання рест.господ.)

______________________                                 ___________________

(прізвище, ім'я, по-батькові)                      (прізвище, ім'я, по-батькові)

________________________                                 ___________________

"____" _____________ 2013р.                                  _____ ________2013р.

__________                                                                  __________

підпис                                                                                 підпис

Технологічна карта №2

на «Здоба звичайна» з заміною 10% пшеничного борошна на борошно льону

  Сировина

Масова частка сухих речовин, %

К-сть сировини на 10 шт. готового виробу, г

Технологічні вимоги до якості основної сировини



У натурі

У сухих речовинах


Борошно пшеничне 1 гатунку

85,5

322,3

275,6

Без сторонніх домішків і присмаків

Борошно пшеничне 1 гатунку (на підпил)

85,5

14,8

12,7

Без сторонніх домішків і присмаків

Борошно льону

80

35,6

28,4

Без сторонніх домішків і присмаків

Цукор-пісок

99,85

37

36,9

Без сторонніх домішків і присмаків

Масло вершкове

84

11,1

9,3

Консистенція щільна, однорідна, без сторонніх присмаків і запахів

Масло вершкове (для розділювання)

84

14,8

12,4

Консистенція щільна, однорідна, без сторонніх присмаків і запахів

Меланж (для змазування)

27

13,3

3,6

Шкаралупа матова, чиста, міцна, без плям, не пошкоджена. Повітряна камера не рухома. Жовток легко відділяється від білка. Запах приємний, смак свіжий.

Сіль

96,5

5,6

5,4

Не повинна мати запаху та сторонніх механічних домішок

Дріжджі пресовані

25

5,6

1,4

Повинні мати високу бродильну активність, консистенція щільна, легко ламається, смак і запах прісний властивий дріжджам

Вода

0

156

0,0

Повинна відповідати санітарним вимогам на питну воду

Маса н/ф

 

616,1

385,8


Вихід

-

500

 


Технологія приготування

В миску вливають підігріту до 35-40ºС воду (60-70% загальної кількості рідини), додають підготовлені дріжджі, борошно (35-60% від загальної кількості борошна, яка передбачена рецептурою) і перемішують до отримання однорідної маси. Поверхню опари посипають борошном і залишають в приміщенні з температурою 35-40ºС на 2,5-3 год. для бродіння. Коли опара збільшується в об’ємі у 2-2,5 рази і почне осідати, до неї додають рідину, яка залишилась, з попередньо розчиненими в ній сіллю та цукром, яйцями, потім перемішують, додають борошно, що залишилося та борошно льону і замішують тісто. Перед закінченням замісу додають розтоплений маргарин. Тісто залишають на 2-2,5 год. для бродіння. За час бродіння тісто обминають один-два рази.

Виробам надають круглої форми, укладають на дек, змащеним жиром, ставлять у тепле місце для розстоювання на 50-80 хв. За 15-20 хв до кінця вистоювання поверхню змащують меланжем. Випікають вироби протягом 12-16 хв при температурі 200-220 °С.

Вимоги до якості готової сировини

Форма: кругла.

Колір скоринки: від світло-коричневого до коричневого.

Структура та вигляд на зламі: світло-жовтий, пропечений.

Запах та смак: притаманний даному виробу.

Мікробіологічні показники для даного виду виробу, які нормуються

Вміст токсичних речовин, мікотоксинів та пестицидів у виробах не повинні перевищувати допустимі норми, встановлені медико біологічними умовами і санітарними нормами якості продовольчої сировини та харчових продуктів.

Фізико-хімічні показники готового виробу, які формуються

Вологість м’якиша, % не більше 37; кислотність, град., не більше 2,5; масова доля цукру в не рахунку на сухі речовини % 14,5±1; масова доля жиру на сухі речовини 9±0,5%.

Автор фірмової страви   ___________________________

                                          (прізвище, ім'я та по батькові)

Карту склав:____________  _____________  _______________________

                         (посада)          (підпис) (прізвище, ім'я та по батькові)

Погоджено                                                                 Затверджую

Головний держ.сан лікар                                                   Керівник

______________________                              ___________________

(назва адміністративної території)     (найменування субєкту госпо

                                                              дарювання рест.господ.)

______________________                               ___________________

(прізвище, ім'я, по-батькові)                    (прізвище, ім'я, по-батькові)

________________________                            ___________________

"____" _____________ 2013р.                          _____ ________2013р.

__________                                                                 __________

підпис                                                                           підпис

Технологічна карта №3

на «Здоба звичайна» з заміною 15% пшеничного борошна на борошно льону

  Сировина

Масова частка сухих речовин, %

К-сть сировини на 10 шт. готового виробу, г

Технологічні вимоги до якості основної сировини



У натурі

У сухих речовинах


Борошно пшеничне 1 гатунку

85,5

305,7

261,4

Без сторонніх домішків і присмаків

Борошно пшеничне 1 гатунку (на підпил)

85,5

14,8

12,7

Без сторонніх домішків і присмаків

Борошно льону

80

53,3

42,7

Без сторонніх домішків і присмаків

Цукор-пісок

99,85

37

36,9

Без сторонніх домішків і присмаків

Масло вершкове

84

11,1

9,3

Консистенція щільна, однорідна, без сторонніх присмаків і запахів

Масло вершкове (для розділювання)

84

14,8

12,4

Консистенція щільна, однорідна, без сторонніх присмаків і запахів

Меланж (для змазування)

27

13,3

3,6

Шкаралупа матова, чиста, міцна, без плям, не пошкоджена. Повітряна камера не рухома. Жовток легко відділяється від білка. Запах приємний, смак свіжий.

Сіль

96,5

5,6

5,4

Не повинна мати запаху та сторонніх механічних домішок

Дріжджі пресовані

25

5,6

1,4

Повинні мати високу бродильну активність, консистенція щільна, легко ламається, смак і запах прісний властивий дріжджам

Вода

0

156

0,0

Повинна відповідати санітарним вимогам на питну воду

Маса н/ф

 

617,2

385,8


Вихід

-

500

 


Технологія приготування

В миску вливають підігріту до 35-40ºС воду (60-70% загальної кількості рідини), додають підготовлені дріжджі, борошно (35-60% від загальної кількості борошна, яка передбачена рецептурою) і перемішують до отримання однорідної маси. Поверхню опари посипають борошном і залишають в приміщенні з температурою 35-40ºС на 2,5-3 год. для бродіння. Коли опара збільшується в об’ємі у 2-2,5 рази і почне осідати, до неї додають рідину, яка залишилась, з попередньо розчиненими в ній сіллю та цукром, яйцями, потім перемішують, додають борошно, що залишилося та борошно льону і замішують тісто. Перед закінченням замісу додають розтоплений маргарин. Тісто залишають на 2-2,5 год. для бродіння. За час бродіння тісто обминають один-два рази.

Вимоги до якості готової сировини

Форма: кругла.

Колір скоринки: від світло-коричневого до коричневого.

Структура та вигляд на зламі: світло-жовтий, пропечений.

Запах та смак: притаманний даному виробу.

Мікробіологічні показники для даного виду виробу, які нормуються

Вміст токсичних речовин, мікотоксинів та пестицидів у виробах не повинні перевищувати допустимі норми, встановлені медико біологічними умовами і санітарними нормами якості продовольчої сировини та харчових продуктів.

Фізико-хімічні показники готового виробу, які формуються

Вологість м’якиша, % не більше 37; кислотність, град., не більше 2,5; масова доля цукру в не рахунку на сухі речовини % 14,5±1; масова доля жиру на сухі речовини 9±0,5%.

Автор фірмової страви   ___________________________

                                          (прізвище, ім'я та по батькові)

Карту склав:____________  _____________  _______________________

                         (посада)          (підпис) (прізвище, ім'я та по батькові)

Погоджено                                                                          Затверджую

Головний держ.сан лікар                                                        Керівник

______________________                                      ___________________

(назва адміністративної території)          (найменування субєкту госпо

                                                                          дарювання рест.господ.)

______________________                                        ___________________

(прізвище, ім'я, по-батькові)                       (прізвище, ім'я, по-батькові)

________________________                                     ___________________

"____" _____________ 2013р.                                _____ ________2013р.

__________                                                                               __________

підпис                                                                                      підпис

Технологічна карта №4

на «Здоба звичайна» з заміною 20% пшеничного борошна на борошно льону

  Сировина

Масова частка сухих речовин, %

К-сть сировини на 10 шт. готового виробу, г

Технологічні вимоги до якості основної сировини



У натурі

У сухих речовинах


Борошно пшеничне 1 гатунку

85,5

289,1

247,1

Без сторонніх домішків і присмаків

Борошно пшеничне 1 гатунку (на підпил)

85,5

14,8

12,7

Без сторонніх домішків і присмаків

Борошно льону

80

71,1

56,9

Без сторонніх домішків і присмаків

Цукор-пісок

99,85

37

36,9

Без сторонніх домішків і присмаків

Масло вершкове

84

11,1

9,3

Консистенція щільна, однорідна, без сторонніх присмаків і запахів

Масло вершкове (для розділювання)

84

14,8

12,4

Консистенція щільна, однорідна, без сторонніх присмаків і запахів

Меланж (для змазування)

27

13,3

3,6

Шкаралупа матова, чиста, міцна, без плям, не пошкоджена. Повітряна камера не рухома. Жовток легко відділяється від білка. Запах приємний, смак свіжий.

Сіль

96,5

5,6

5,4

Не повинна мати запаху та сторонніх механічних домішок

Дріжджі пресовані

25

5,6

1,4

Повинні мати високу бродильну активність, консистенція щільна, легко ламається, смак і запах прісний властивий дріжджам

Вода

0

156

0,0

Повинна відповідати санітарним вимогам на питну воду

Маса н/ф

 

618,4

385,8


Вихід

-

500

 


Технологія приготування

В миску вливають підігріту до 35-40ºС воду (60-70% загальної кількості рідини), додають підготовлені дріжджі, борошно (35-60% від загальної кількості борошна, яка передбачена рецептурою) і перемішують до отримання однорідної маси. Поверхню опари посипають борошном і залишають в приміщенні з температурою 35-40ºС на 2,5-3 год. для бродіння. Коли опара збільшується в об’ємі у 2-2,5 рази і почне осідати, до неї додають рідину, яка залишилась, з попередньо розчиненими в ній сіллю та цукром, яйцями, потім перемішують, додають борошно, що залишилося та борошно льону і замішують тісто. Перед закінченням замісу додають розтоплений маргарин. Тісто залишають на 2-2,5 год. для бродіння. За час бродіння тісто обминають один-два рази.

Виробам надають круглої форми, укладають на дек, змащеним жиром, ставлять у тепле місце для розстоювання на 50-80 хв. За 15-20 хв до кінця вистоювання поверхню змащують меланжем. Випікають вироби протягом 12-16 хв при температурі 200-220 °С.

Вимоги до якості готової сировини

Форма: кругла.

Колір скоринки: від світло-коричневого до коричневого.

Структура та вигляд на зламі: світло-жовтий, пропечений.

Запах та смак: притаманний даному виробу.

Мікробіологічні показники для даного виду виробу, які нормуються

Вміст токсичних речовин, мікотоксинів та пестицидів у виробах не повинні перевищувати допустимі норми, встановлені медико біологічними умовами і санітарними нормами якості продовольчої сировини та харчових продуктів.

Фізико-хімічні показники готового виробу, які формуються

Вологість м’якиша, % не більше 37; кислотність, град., не більше 2,5; масова доля цукру в не рахунку на сухі речовини % 14,5±1; масова доля жиру на сухі речовини 9±0,5%.

Автор фірмової страви   ___________________________

                                          (прізвище, ім'я та по батькові)

Карту склав:____________  _____________  _______________________

                         (посада)          (підпис) (прізвище, ім'я та по батькові)

Технологічна схема виготовлення виробів наведена на рис. 3.1.

Рис. 3.1. Технологічна схема приготування «Здоба звичайна» з заміною частини пшеничного борошна на борошно льону

Органолептична оцінка розроблених виробів оцінюється 5-тибальною шкалою за такими критеріями: смак і запах, форма, структура та вигляд на розломі, колір скоринки. Шкала бальної оцінка показана в табл. 3.7.

 

Таблиця 3.7

Шкала бальної оцінки якості розроблених виробів

Показники якості

Відмінно(5)

Добре (4)

Задовільно(3)

Незадовільно (2)

Смак та запах

Запах приємний властивий виробу з приємним присмаком льону

Запах приємний властивий виробу з присмаком льону

Запах властивий для виробу з неприємним присмаком

Специфічний неприємний запах підгорілості, смак неприємний

Форма

Кругла, глянцева рівна

Кругла, глянцева рівна

Не круглої форми, з пухирцями

Розпливчаста, з вираженими тріщинами та пухирцями

Структура та вигляд на зломі

світло-жовтий, пропечений

світло-жовтий, не дуже пропечений

темно-жовтий, не пропечений

темно-жовтий, не пропечений, глевкий

Колір скоринки

від світло-коричневого до коричневого

темно коричневого кольору

Темно коричневого кольору, місцями з підгорілостями

Темно-коричневий, підгорілий


Результати органолептичної оцінки наведені в табл. 3.8.

 

Таблиця 3.8

Органолептичної оцінка розроблених виробів

Показники

Смак і запах

Форма

Структура

Колір скоринки

Середня оцінка

Зразок №1






Зразок №2






Зразок №3






Зразок №4







Зразок №1 - «Здоба звичайна» з заміною 5% пшеничного борошна на борошно льону;

Зразок №2 - «Здоба звичайна» з заміною 10% пшеничного борошна на борошно льону;

Зразок №3 - «Здоба звичайна» з заміною 15% пшеничного борошна на борошно льону;

Зразок №4 - «Здоба звичайна» з заміною 20% пшеничного борошна на борошно льону.

Як бачимо з табл. 3.8 найкращі органолептичні оцінки мають зразки №1, 2 і 3, тобто «Здоба звичайна» з заміною 5%, 10% і 15% пшеничного борошна на борошно льону.

Висновки і пропозиції

Кондитерські вироби являють собою велику групу висококалорійних харчових продуктів, що користуються підвищеним попитом у споживачів Кондитерським відведено важливе місце у сучасному харчуванні. Вони чудово доповнюють наше щоденне меню і особливо прикрашають святковий стіл.

Крім приємного смаку харчові переваги кондитерських виробів обумовлює кількість енергомістких та цінних у харчовому відношенні продуктів, насамперед білки тваринного й рослинного походження (яйця, вершки, жири тощо). Але переважають у цих виробах все-таки вуглеводи (глюкоза та глікоген), які з фізіологічної точки зору мають особливе значення, бо є основними джерелами енергії, що її використовує організм.

Основний істотний недолік кондитерських виробів полягає в їх низькій фізіологічній цінності - вони практично позбавлені важливих біологічно активних речовин.

В даній курсовій роботі були проведенні дослідження з метою підвищення харчової та біологічної цінності борошняних кондитерських виробів за рахунок додавання борошна льону.

Склад льняного насіння багатий протеїнами, жирами, клейковиною і клітковиною. Харчова цінність білка з насіння льону в бальній оцінці оцінюється в 92 одиниці (казеїн прийнятий за 100), ще льняне насіння багате жирами (41%), особливо високий вміст поліненасиченої альфа-ліноленової кислоти (АЛК), яка сприяє здійсненню важливих біологічних функцій в організмі людини, входить до складу практично всіх клітинних мембран, бере участь в регенерації серцево-судинної системи, в рості і розвитку мозку.

Льняне насіння - одне з багатющих джерел лігнанів, які наділені антиканцерогенною дією, є антиалергенами, а також мають потужну антиоксидантну дію.

Завдяки цінному хімічному складу, насіння льону є перспективною сировиною у виробництві харчових продуктів, використовується, як функціональна добавка в продуктах хлібопекарської, кондитерської галузей.

За виріб-аналог обрано рецептуру №106 «Здоба звичайна». На її основі розроблено нові вироби в яких заміняли 5%, 10, 15% і 20% пшеничного борошна на борошно льону.

Розроблені вироби з заміною 5%, 10% і 15% пшеничного борошна на борошно льону мають за результатами проведеної дегустації відмінні органолептичні показники, тому їх модна використовувати в приготуванні борошняних кондитерських виробів спеціального призначення в закладах ресторанного господарства.

Список використаної літератури

1. Аннєнкова Н.Б. Лекции. Товарознавство товарів спеціального призначення. Ростов н / Д: Фенікс, 2007. - 211 с.

. Бутекис Н.Г., Жукова А.А. Технология приготовления мучних кондитерських изделий. - М.:ACADEMA,2001.-304с.

. Задорожний І.М., Сирохман І.В., Расистюк Т.М. Товарознавство продовольчих товарів. Підручник. - Львів: Коопосвіта, 2000. - 317 с.

. Л.М. Медведь, В.М. Козак. Технологія борошняних кондитерських виробів Навчально-методичний посібник для самостійного вивчення дисципліни за кредитно-модульною системою організації. Навчального процесу з напряму 6.091711 «Харчові технології та інженерія» програми професійного спрямування «Технологія харчування»

. Павлоцкая Л.Ф., Дуденко Н.В., Эйдельман М.М. Физиология питания.- М.:Высшая школа,1989.-с.123-124.

. Технологія продукції громадського харчування. Методичні рекомендації з виконання курсової роботи для студентів спеціальності 7.091711 “Технологія харчування” / М.О. Дорохіна, А. Л. Рогова, Т. В. Капліна. - 2010. -40 с.

. Харчова наука і технологія Науково-виробничий журнал. Технологічні аспекти створення хлібобулочних і кондитерських виробів спеціального призначення Лисюк Г.М., д.т.н., проф., Олійник С.Г., к.т.н, доц., Самохвалова О.В., к.т.н., доц, Кучерук З.І., к.т.н., доц. Харківський державний університет харчування та торгівлі, м.Харків.-24с.

. Химический состав пищевых продуктов. Справочные таблицы содержания основных пищевых веществ и энергетической ценности пищевых продуктов / Под ред. Академика АМН СССР А. А Покровского.- М. Пищевая промышленность 1976.-226с.

. http://www.br.com.ua/referats/Marketing/9042.htm?dl.10. http://sita/uccu.biz/Курс/Технологія борошняних кондитерських виробів.

11. http://emergency.at.ua/news/nasinnja_lonu_najkrashhij_zasib_dlja_ozdorovlennja_i_omolodzhennja_organizmu/2010-03-19-161.

Похожие работы на - Розширення асортименту борошняних кондитерських виробів спеціального призначення

 

Не нашли материал для своей работы?
Поможем написать уникальную работу
Без плагиата!
Без нейросетей!