|
АФИ
|
Активный
Фармацевтические Ингредиенты
|
|
БАВ
|
Биологически
активные вещества
|
|
БХ
|
Бумажная
хроматография
|
|
БУВ
|
н-бутиловый
спирт-уксусная кислота-вода
|
|
ВЭЖХ
|
Высокоэффективная
жидкостная хроматография
|
|
ВФС
|
Временная
Фармакопейная статья
|
|
ГФ
РК
|
Государственная
Фармакопея Республики Казахстан
|
|
ГХ
|
Газовая
хроматография
|
|
ГЖХ
|
Газожидкостная
хроматография
|
|
ДМСО
|
Диметилсульфоксид
|
|
ДзПНА
|
Диазотированный
п-нитроанилин
|
|
ЕФ
|
Европейская
Фармакопея
|
|
КВ
|
Комплекс
Включения
|
|
ЖАК
|
Железоаммониевые
квасцы
|
|
ЛРС
|
Лекарственное
растительное сырье
|
|
ЛС
|
Лекарственное
средство
|
|
ЛП
|
Лекарственный
препарат
|
|
СО
|
Стандартный
образец
|
|
ТСХ
|
Тонкослойная
хроматография
|
|
УФ-спектр
|
Ультрафиолетовый
спектр
|
|
ФП
|
Фитопрепараты
|
|
ФС
|
Фармакопейная
статья
|
|
L. - Limonium
|
(латинское
название рода кермек)
|
|
L. gmelinii
|
кермек
Гмелина
|
|
L. myrianthum
|
кермек
тысячецветковый
|
Введение
Оценка современного состояния
решаемой проблемы. Спрос здравоохранения на лекарственные препараты в
Казахстане до настоящего времени почти на 90% покрывается за счет импорта.
Уровень собственных лекарственных средств, рекомендованный ВОЗ для обеспечения
стратегической безопасности каждого государства, должен быть не ниже 20%, в то
время как доля отечественных препаратов на фармацевтическом рынке республики
составляет лишь 9-10%.
Именно поэтому фармацевтическая промышленность
РК находится в крайне сложной ситуации, что не может не вызывать обоснованную
тревогу, поскольку Государственная программа о лекарственной политике страны
предусматривает внедрение высокоэффективных, безопасных и доступных
лекарственных средств через наиболее полное использование отечественных
сырьевых ресурсов.
Создание собственной фармацевтической
промышленности, увеличение рентабельности и конкурентоспособности существующих
производств, а также скорейшее повышение доли отечественных лекарственных
препаратов до 40-50% к 2014 году обозначены в качестве первоочередных
приоритетов экономического развития страны в Постановлении Правительства
Республики Казахстан №302 от 14.04.2010 года.
Актуальность исследования. Укрепление
и охрана здоровья людей является одной из актуальных социальных программ
современного общества. Несмотря на бурное развитие различных отраслей
промышленности, в том числе фармацевтической, и появления новых
высокоэффективных синтетических лекарственных средств, в последнее время
наблюдается возврат к старым и проверенным временем методам лечения. Среди них
одно из ведущих мест занимает фитотерапия. "Фитотерапия"
- термин, отвечающий на вопрос, чем лечат. Как "гелиотерапия"
означает "лечение солнечными лучами", так "фитотерапия" -
"лечение травами". Фитотерапия при всей своей давности - неустаревший
и неустаревающий метод лечения, в полной мере соответствующий требованиям
социальной медицины, а достижения современной науки и техники открывают перед
фитотерапией невиданные возможности. Фитотерапия с лечебной и профилактической
целью использует либо растения в целом, либо их отдельные части.
Государственная программа развития фармацевтической промышленности Республики Казахстан направлена на создание новых
фармацевтических средств растительного
происхождения и организацию их промышленного производства. Флора Казахстана
включает в себя более 100 лекарственных растений, которые являются уникальной
базой для создания на их основе высокоэффективных фармацевтических средств,
обладающих широтой терапевтического действия при их малой токсичности,
отсутствии аллергических и куммулятивных реакций.
Лекарственные
растения применяют как в свежем виде, так и в виде порошков из высушенных и
измельченных растений или путем
извлечения из растений действующих веществ, подвергая их несложной обработке с
сохранением структуры природного комплекса этих веществ [1]. Около
половины видов из лекарственного растительного сырья, разрешенного в настоящее
время государственным реестром лекарственных средств для медицинского
применения, используется для приготовления настоев и отваров [2].
Огромный интерес
представляют казахстанские растения рода Limonium Mill, из них 2 вида - L. gmelinii и L. myrianthum имеют промышленные
запасы на территории Казахстана. Разнообразие конденсированных дубильных веществ
и окисленных форм флавоноидов, являющихся высокоэффективными природными
антиоксидантами в растениях рода Limonium Mill, привлекает внимание многих исследователей к их изучению, как в
химическом плане, так и фармакологическом [3,4]. Из корней L. gmelinii на
кафедре органической химии и химии природных соединений получен ряд высокоэффективных лекарственных средств, разрешенных для
применения в медицине [4]. Разработка таких же эффективных лекарственных
средств на основе надземной части этих растений представляет собой актуальную и
приоритетную задачу.
Объектом исследования являются надземная часть
растений вида Limonium
gmelinii, выделенная из неё
субстанция, её комплекс в β-циклодекстрином,
который являются действующим началом полученных таблеток.
Целью исследования явилось
изучение химического состава надземной части растения вида Limonium
gmelinii, получение на ее
основе субстанции, её стандартизация и разработка технологии производства
таблеток.
Исходя из вышесказанного, при выполнении
дипломной работы были поставлены следующие задачи:
1. Определение
показателей доброкачественности надземной части растений вида L.
gmelinii.
. Разработка АНД на
надземную часть растений вида L.
gmelinii и ее утверждение в
НЦЭЛС МЗ РК.
. Получение субстанции
по оптимальной, ресурсосберегающей и безотходной технологии из надземной части
растений вида L. gmelinii
и её наработка.
. Качественная и
количественная оценка основных групп БАВ, содержащихся в полученной субстанции,
её характеристика.
. Разработка технологии
производства твердых лекарственных форм в виде таблеток, действующим началом
которых является комплекс субстанции надземной части растений вида L.
gmelinii с β-циклодекстрином.
Степень разработанности проблемы. Наиболее
полную информацию по изучению химического состава растений рода Limonium
Mill дает первый том
многотомного справочного издания "Растительные ресурсы СССР",
опубликованный в 1985 году [5]. Из двух имеющих промышленные запасы на
территории Казахстана видов растений
рода Limonium
Mill (L.
gmelinii, L.
myrianthum) наиболее полно
изучены корни L. gmelinii.
На основе корней кермека Гмелина, введенных в настоящее время в медицину,
получен ряд лекарственных средств противовоспалительного и антивирусного
действия [4].
Новизна. Анализ литературных данных, патентных
исследований, ведущих Фармакопей мира показал, что в них содержатся лишь
сведения о корнях и корневищах растений вида L.
gmelinii. Корни кермека
Гмелина можно было бы заменить на надземную часть этих растений, но только при
условии высокой эффективности получаемых на ее основе лекарственных средств.
Необходимость исследования надземной части растений вида L.
gmelinii как в химическом
плане, так и в фармакологическом отношении диктуется возможностью ее
использования в медицине, и тем самым увеличения сырьевой базы этих
лекарственных растений и возможности создания при этом безотходного
производства. Кроме того, надземную часть этих растений заготавливать легко и
просто, что экономически выгодно, восстановление их зарослей сезонное, в то
время как при заготовке корней таковое возможно через 3-5 лет и она
предусматривает чередование площадей их произрастания.
Теоретическая значимость
исследования заключается в определении подлинности и доброкачественности
надземной части растений вида L.
gmelinii, разработке
рациональной технологической схемы выделения комплекса биологически активных
соединений (субстанции) и получение на его основе новых ЛС в виде таблеток.
Практическая значимость. Полученная субстанция
из надземной части растений вида L.
gmelinii, также как и
субстанция "Лимонидин", выделенная из корней данного растения,
представляет собой комплексные извлечения, содержащие биологически активные
соединения широкого спектра действия, в том числе и различные формы
проантоцианидинов, отличающихся высокой антиоксидантной активностью.
Сравнительное исследование антиоксидантной активности корней кермека Гмелина и
его надземной части показало их соизмеримость, что позволяет ввести надземную
часть L. gmelinii
в медицину и судить о перспективности ее использования для создания на ее
основе различных высокоэффективных лекарственных средств растительного
происхождения. Введение надземной части L.
gmelinii в практическую
медицину позволит использовать эти ценные лекарственные растения в целом, что
очень важно для увеличения их сырьевой базы.
1. Литературный обзор
.1 Сведения об объекте
исследования
Полное обеспечение населения медикаментами
отечественного производства является одним из основных приоритетов
социально-экономической политики правительства Республики Казахстан и
действующей государственной программы импортозамещения. Успешное решение этой
задачи тесно связано с освоением природных богатств страны для развития
отечественного фармацевтического производства. В Казахстане до настоящего
времени спрос здравоохранения на лекарственные препараты почти на 90-94 %
покрывается за счет импорта. В то же время обширный источник получения
лекарственных средств - дикорастущая флора Казахстана, включающая в себя свыше
5 тысяч видов, используется всего на 2%, в мировой практике этот показатель
достигает 40%.
Для решения указанной глобальной государственной
проблемы необходимо осуществлять отбор наиболее перспективных растений с учетом
их биоактивности, сырьевых ресурсов на территории Казахстана, условий
культивирования, целесообразности заготовки, степени сложности технологических
процессов получения фитопрепаратов на их основе, исходя из экономических и
экологических расчетов.
Одним из лекарственных растений, отвечающих
приведенным выше требованиям, является кермек (Limonium Mill)
семейства свинчатковых (Plumbagenaceae).
Кермек (Limonium
P. Miller)
- крупный род, охватывающий
около 300 видов, распространенных в странах Средиземноморья и Западной Азии.
Это многолетние травы, реже полукустарники. На
территории СНГ описаны около 35 видов кермека. Обычно он распространен на
засоленных почвах и сухих горных склонах, главным образом на юго-востоке
Европейской части, Кавказе и в Средней Азии. В Казахстане насчитывается 19
видов кермека, из них 3 являются эндемиками
[6-12].
В Казахстане наиболее продуктивными считаются:
Limonium gmelini
(Willd.) Ktze. (кермек
Гмелина) (до 25% таннидов, в среднем 18% на сухой вес корня), L. myrianthum
(Schrenk) Ktze.
(кермек тысячецветковый) (17-19%), L.
otolepis (Schrenk)
Ktze. (кермек ушастый)
(6-12%).
Биологические особенности кермека заключаются в
размножении, как семенами, так и вегетативным способом, быстром росте, высокой
урожайности и легкой адаптации к окружающей среде. В связи с этим
введение его в культуру может быть достаточно легким, а также экологически
благоприятным, например, на засоленных землях (опыт
Карагандинского ботанического сада, 1944-1946 и др.). [5].
Зарубежными учеными было
проведено химическое исследование растений рода Limonium Mill,
произрастающих в Китае, Египте, США, Франции и Англии [13-18].
На территории Казахстана промышленные запасы
имеют два вида этого растения: L.
gmelinii и L.
myrianthum, которые были
выявлены в результате проведения масштабных экспедиций под руководством В.А.
Прянишникова (1932 г.), Н.В. Павлова (1937 г.), О.У. Лушпо (1953 г.), В.П.
Михайловой (1968 г.) и уточнены М.К. Кукеновым (1994-1997 г.г.) и Р.А.
Егеубаевой (2000-2002 г.г.). Установлено, что производственный запас этих двух
видов в Алматинской, Жамбылской, Атырауской, Западно-Казахстанской,
Семипалатинской и Восточно-Казахстанской областях на площади свыше 160 тыс. га
превышает 54,4 тыс. тонн [3,7-9].
Таким образом, Кермек Гмелина является
перспективным растением для создания лекарственных препаратов на его основе по
ряду причин:
·
широкое
распространение на территории республики, что обусловливает его промышленные
запасы;
·
подходящий
характер растения, связанный с его неприхотливостью, выносливостью, легкой
адаптацией к окружающей среде, широкой экологической амплитудой, нормализующей содержание
натриевых и кальциевых солей в почве;
·
целесообразность
заготовки, как корней, так и надземной части растения для дальнейшего его
использования;
·
простота,
экономическая и экологическая выгодность технологии выделения из них
субстанций.
Кермек Гмелина - дикорастущее многолетнее
травянистое растение 30-80 см высотой (приложение А). Стебель - прямой,
укороченный в верхней части, с двумя немногими, обычно парными ветвями с
широкой щитковидной верхушечной метелкой. Корень толстый, плотно-деревянистый,
узловатый, темно-бурый. Нерасщепленные части корней округлой формы, снаружи
мелко- и гладко-, продольно-морщинистые, бурые, волокнистые с различными
оттенками (сероватые, коричневатые, красноватые и т.п.). Листья-розетки
многочисленные, зеленые или сизовато-зеленые, на изломах краснеющие, от
продолговато-обратнояйцевидных до широкоэлептических. Цветоносы один или
несколько, верхушечные или пазушные. Цветки в мелких, 1-3-4- цветковых
колосьях-полузавитках, образующих почти щитковидные или пирамидальные соцветия.
Колоски 4-5-6 мм длиной, чашечка 4-4,5 мм длиной, при основании и до половины
по жилкам, иногда по двум внутренним жилкам густо и довольно длинно опущенная.
Отгиб беловатый или бледно-фиолетовый, 5 реже 10 зубчатый. Лепестки
сине-фиолетовые, редко белые. Семена удлиненно-яйцевидные, 2 мм длиной, 0,6 мм
шириной, темно - пурпуро-коричневые. Цветет в июне-сентябре, плодоносит в
августе-сентябре. Наряду с кермеком Гмелина встречаются другие виды, от которых
он легко отличается по широкой щитковидной верхушечной метелке, а также по
форме листьев и цветков (приложение А) [1-3,5-10].
Из корней и корневищ кермека Гмелина получают
субстанцию "Лимонидин", которая зарегистрирована и рекомендована
Министерством Здравоохранения РК к промышленному выпуску и применению в
медицинской практике в качестве противовоспалительного и противовирусного
лекарственного средства (Фармакопейная Статья РК 42-1259-08). Корни и корневища
Кермека Гмелина введены в медицину и являются фармакопейным сырьем [10].
1.2 Показатели
качества лекарственного растительного сырья
Лекарственные средства, в том числе
лекарственное растительное сырье, применяемое в медицинской практике, должны
отвечать всем современным требованиям безопасности для человека и быть
эффективными для лечения различных заболеваний.
Для обеспечения высокого качества сырья
необходимо правильно выбрать район и место его произрастания с учетом
экологических и экономических факторов (растение должно иметь промышленные
запасы, его заготовка должна быть оправдана с экономической точки зрения, а
также занимать площадь, неиспользуемую для пастбищ и земледелия, а для
культивируемых видов район культуры. Регламентируются сроки сбора сырья и его
приемы, характер первичной его обработки, условия сушки, сортировки и упаковка.
Эти условия на каждый вид сырья описаны в единых
для всех заготовителей нормативных документах "Инструкции по сбору и сушке
лекарственного растительного сырья", которые имеют силу закона.
Условия, обеспечивающие качество лекарственного
растительного сырья - это нормы, обеспечивающие определение подлинности,
чистоты и доброкачественности сырья. Они регламентируются стандартом и
определяются при проведении полного товароведческого анализа конкретного вида
сырья [10,19-20].
О
доброкачественности и подлинности сырья судят по макроскопии, микроскопии,
влажности, зольности, количественного содержания действующих веществ, тяжелых
металлов, радионуклидов, а также по данным микробиологической чистоты [10,19-20].
Макроскопия (внешние признаки) является
важнейшим показателем подлинности и чистоты сырья. При описании данного
показателя указывается состав сырья, т.е. чем представлено сырье (листья,
стебель, корни и т.д.); характерные морфологические признаки цельного, резаного
или порошкованного сырья, его запах и вкус (для не ядовитых видов), а также
размеры.
Микроскопия. Данный показатель содержит
диагностические признаки анатомического строения сырья (для некоторых видов
приводится люминесцентная микроскопия), вид микропрепарата, на котором
проводится исследование, и относится к важнейшему методу определения
подлинности лекарственного сырья.
Идентификация сырья. В этом разделе приводятся
качественные (идентификации химических веществ с помощью специфичных реагентов)
реакции на действующие вещества, спектральные данные (ИК-, УФ-спектры), данные
различных методов хроматографии (ТСХ, БХ, ГХ, ГЖХ, ВЭЖХ) с использованием при
этом стандартных образцов, методики и условия выполнения эксперимента.
Использование тех или иных методов анализа определяется достаточностью
определения подлинности вида лекарственного растительного сырья.
Числовые показатели. В этот раздел включены
специфические показатели и их нормы - для цельного, резаного или порошкованного
сырья, которые являются стандартом для всех видов лекарственного растительного
сырья и определяют его качество: содержание действующих или экстрактивных
веществ, золы общей и золы, нерастворимой в 10 % растворе хлористоводородной
кислоты, примесей и измельченности.
Степень измельчения. ЛРС измельчается до
определенной степени в соответствии с частными статьями ГФ РК. Как правило,
листья и трава измельчаются до 7 мм; стебли, корни, корневища, кора - в
основном до 7 мм; плоды и семена - до 0,5 мм; цветки не измельчаются. Основное
правило - измельчать сырье без остатка. Здесь подразумевается то, что нужно
брать такое количество сырья и измельчать его, которое требуется для
приготовления лекарственного препарата (ЛП), т.к. при последующем хранении
измельченное сырье потеряет свои лечебные свойства.
Влажность - один из важнейших показателей доброкачественности
ЛРС, влияющий как на состояние сырья, так и на содержание в нем действующих
веществ. Под влажностью понимают потерю в массе сырья за счет удаления
гигроскопической влаги и летучих веществ, которую определяют при высушивании
сырья до постоянной массы.
Летучие вещества представлены преимущественно
компонентами эфирных масел, а также некоторыми другими соединениями, которые
при температуре определения (100-105°С) переходят в газообразное состояние и
улетучиваются из ЛРС.
Зола - один из основных показателей
доброкачественности ЛРС, под которым понимают несгораемый остаток минеральных
веществ после сжигания навески ЛРС и последующего ее прокаливания до постоянной
массы. Количество золы в растительном сырье
колеблется в определенных пределах и зависит как от специфики самого сырья, так
и способа его сбора и условий сушки. В золе чаще всего содержатся следующие
элементы: К, Na, Mg, Са, Fe, С, Si, Р, реже и в меньшем количестве Сu, Mn, Al и др.
Эти элементы находятся в золе в виде оксидов или
солей угольной, фосфорной, серной и других кислот.
Зола бывает:
Зола общая - это сумма минеральных веществ,
которые первоначально содержались в производящем растении, и минеральных
веществ, которые попали в сырье из окружающей среды (пыль, песок, земля и
т.д.).
Зола, нерастворимая в 10% растворе
хлороводородной кислоты - это, как правило, кремния оксид,
который образовался из минеральных веществ, свойственных как производящему
растению, так и попавших в ЛРС из окружающей среды (пыль).
Зола сульфатная (сульфатные шлаки) - это
показатель для определения примесей, включающих органические соединения
металлов, нерастворимых в воде [10,19-20].
Также проводят определение степени зараженности
сырья амбарными вредителями.
Исследования на наличие амбарных вредителей
проводят в обязательном порядке при приемке лекарственного растительного сырья,
а также ежегодно при хранении.
Сырье проверяют на наличие живых и мертвых
вредителей невооруженным глазом или с помощью лупы при пяти-десятикратном
увеличении при внешнем осмотре, а также при определении измельченности и
содержания примесей.
Если были обнаружены вредители, то в специальной
пробе устанавливают степень заражения. Для этого пробу сырья просеивают сквозь
сито с диаметром отверстий 0,5 мм и в отсеве проверяют наличие клещей.
Различают 3 степени заражения клещами и другими
амбарными вредителями в пересчете на 1 кг ЛРС.
При наличии клещей выделяют:
степень - до 20 клещей;
степень - больше 20, но они свободно
передвигаются по сырью;
степень - больше 20, клещи образуют сплошные войлочные
массы.
Возможность дальнейшего использования ЛРС,
зараженного амбарными вредителями, определяется степенью зараженности и видом
сырья.
Количественное определение. Приводится методика
количественного определения основных действующих веществ в виде суммарного
содержания (сумма веществ), в пересчете на какое-либо вещество, содержащееся в
данном сырье [10-11, 20-21].
Кроме этого сырье должно пройти радионуклидный
контроль и анализ на содержание тяжелых металлов, микробиологическую чистоту.
Лекарственные растения не относятся к основным
источникам поступления ксенобиотиков (ксенобиотики - условная категория
для обозначения чужеродных для живых организмов химических веществ, естественно
не входящих в биотический круговорот) в организм человека. Однако необходимо
учитывать специфику кумуляции в лекарственном растительном сырье, как отдельных
радионуклидов, так и суммарную удельную активность, потому что некоторые
лекарственные растения способны накапливать определенное количество
радионуклидов, которые в последующем переходят в человеческий организм по
экологической цепочке "почва - лекарственное растительное сырье -
лекарственная форма - человек".
Радиоактивные изотопы, находящиеся в почве, как
правило, переходят в корневые системы растений точно так же, как и стабильные
изотопы тех же элементов. В случае сходства химических свойств стабильных и
радиоактивных элементов они поступают в растение в исходных пропорциях.
Попадая из почвы в лекарственное растение,
радиоактивные элементы в зависимости от своих химических свойств проникают в
наземные части или задерживаются в корневой системе [22-31].
В настоящее время отечественная и зарубежная HТД
не регламентирует требования по предельному содержанию радиоксенобиотиков в
лекарственном растительном сырье. Отсутствие точно установленных
закономерностей процесса перехода и накопления радионуклидов в лекарственном
растительном сырье затрудняет разработку предельно допустимых уровней и ведение
контроля за качеством продукции.
До недавнего времени систематические данные об
уровнях радиоактивности и радионуклидном составе лекарственных растений и их
сырья были представлены в единичных работах. Авария на Чернобыльской АЭС,
случившаяся 26 апреля 1986 г., а также многолетние ядерные испытания на
Семипалатинском полигоне явились причиной систематизации подобных сведений,
нашедших свое отражение в концепции защиты населения и хозяйственной
деятельности на территориях, подвергшихся радиоактивному загрязнению. В
последнем случае лекарственные растения могут рассматриваться, с одной стороны,
как биогенные индикаторы радиоэкологической обстановки территории, подвергшейся
радиоактивному загрязнению в результате ядерных взрывов, а с другой стороны -
как объекты эколого-гигиенического регламентирования, требующие несколько иного
подхода по сравнению с нормированием пищевого и водного факторов.
Современные экологические условия приводят к
накоплению в лекарственных растениях различных экотоксикантов. Экологические
исследования лекарственных растений начались в 60-е годы прошлого века в Германии.
Именно в них было установлено, что содержание токсичных веществ в лекарственном
растительном сырье может достигать более высоких концентраций, чем в пищевых
продуктах, что и послужило причиной изучения этой проблемы в разных странах.
В настоящее время тяжелые металлы обнаруживаются
практически во всех элементах биосферы, а поступление их в организм человека
может нанести вред здоровью. В окружающую среду большое количество токсичных
металлов поступает вследствие сжигания угля и нефти, использования удобрений, а
также со сточными водами. В растения тяжелые металлы поступают из почв и
атмосферы в результате пылевого загрязнения. Из почвы поступают Cd, Cu, Zn,
которые аккумулируются в тканях растений; Pb преимущественно оседает на
поверхности листьев, цветков, плодов, в меньшей степени - стеблей.
В почвы тяжелые металлы могут поступать со
сточными водами (Zn, Cr, Pb, Hg и в меньшей степени Cd). Тяжелые металлы
обладают неодинаковой способностью к накоплению в растениях, например, легко
поглощаются Cd, Zn, по сравнению с ними Cu поглощается в меньшей степени; Mn,
Ni поглощаются слабо; труднодоступны растениям Fe и др. элементы. Поэтому
проблема содержания тяжелых металлов в лекарственном растительном сырье
привлекает внимание исследователей во всем мире [22-32].
Определение качества фитопрепаратов имеет свои
особенности. Это обусловлено, прежде всего, тем, что химический состав таких
препаратов, как правило, достаточно сложный, и активные компоненты зачастую
неизвестны. Кроме того, многие из них нестабильны, а сырье имеет естественное
происхождение и в химическом отношении непостоянно.
Например, зверобой продырявленный (Hypericum
perforatum) имеет широкое применение в фитотерапии - в первую очередь благодаря
своему успокаивающему и антидепрессантному действию. Содержит целый ряд
веществ, которые содействуют его фармакологическому эффекту. При применении
зверобоя или препаратов с его содержанием могут появиться признаки
фитотоксичности, особенно при взаимодействии с другими лекарственными
средствами (например, индинавир, дигоксин, теофилин, варфарин, циклоспорин,
пароксети и т.д.) [26-27].
.3 Биологически активные вещества лекарственных
растений
Целебное действие лекарственных растений на
животный организм объясняется присутствием в них различных биологически активных
веществ. Растения вырабатывают огромное количество сложных химических
соединений, не образующихся в животном организме. К настоящему времени
накоплены сведения о биологической активности около 12 000 химических
соединений с полностью или частично установленной структурой, относящихся к
различным классам природных органических веществ.
В результате совокупности химических реакций в
растениях накапливаются продукты первичного и вторичного метаболизма
(метаболиты первичные и вторичные), которые обеспечивают его веществами для
построения тела и энергией. Интенсивное развитие химии растительных веществ в
последние три десятилетия, связанное с созданием высокоразрешающих
аналитических инструментов, привело к значительному накоплению сведений о
структуре химических соединений вторичного обмена и их биологической активности
[33].
Веществами первичного биосинтеза являются белки,
витамины, липиды, нуклеиновые кислоты, углеводы и ферменты.
В современной медицине продукты вторичного
обмена применяются значительно шире и чаще, чем первичные метаболиты. Это
связано нередко с очень ярким фармакологическим эффектом и множественным
воздействием на различные системы и органы человека и животных. Синтезируются
они на основе первичных соединений и могут накапливаться либо в свободном виде,
либо в ходе реакций обмена подвергаются гликозилированию, т. е. связываются с
каким-либо сахаром. Среди БАВ, синтезируемых на основе первичных соединений,
известны такие обширные классы, как алкалоиды, изопреноиды, фенольные
соединения и их производные.
Алкалоиды - азотсодержащие органические
соединения основного характера, преимущественно растительного происхождения.
Строение молекул алкалоидов весьма разнообразно и нередко довольно сложно.
Азот, как правило, располагается в гетероциклах, но иногда находится в боковой
цепи. Многие из алкалоидов обладают специфическим, часто уникальным
физиологическим действием и широко используются в медицине. Некоторые алкалоиды
- сильные яды (например, алкалоиды кураре) [34].
Антраценпроизводные - группа природных
соединений желтой, оранжевой или красной окраски, в основе которых лежит
структура антрацена. Они могут иметь различную степень окисленности среднего
кольца (производные антрона, антранола и антрахинона) и структуру углеродного
скелета (мономерные, димерные и конденсированные соединения). Большинство из
них являются производными хризацина (1,8-дигидроксиантрахинона). Реже
встречаются производные ализарина (1,2-дигидроксиантрахинона). В растениях
производные антрацена могут находиться в свободном виде (агликоны) или в виде
гликозидов (антрагликозиды) [33].
Гликозиды - широко распространенные природные
соединения, распадающиеся под влиянием различных агентов (кислота, щелочь или
фермент) на углеводную часть и агликон (генин) [35-36].
Изопреноиды - обширный класс природных
соединений, рассматриваемых как продукт биогенного превращения изопрена. К ним
относятся различные терпены, их производные - терпеноиды и стероиды. Некоторые
изо-преноиды - структурные фрагменты антибиотиков, некоторых витаминов, алкалоидов
и гормонов животных [37].
Кардиотонические гликозиды, или сердечные
гликозиды, гетерозиды, агликоны которых являются стероидами, но отличаются от
прочих стероидов наличием в молекуле вместо боковой цепи при С17
ненасыщенного лактонного кольца: пятичленного бутенолидного (карденолиды) или
шестичленного кумалинового кольца (буфадиенолиды) [38].
Ксантоны - класс фенольных соединений, имеющих
структуру дибензо-γ-пирона. В
качестве заместителей содержат в молекуле гидрокси-, метокси-, ацетокси-,
метилендиокси- и др. радикалы. Известны соединения, содержащие пирановое
кольцо. Некоторой особенностью ксантонов является распространение
хлорсодержащих производных. Их находят в свободном виде и в составе О- и
С-гликозидов. Из ксантоновых С-гликозидов наиболее известен мангиферин, который
одним из первых введен в медицинскую практику.
Кумарины - природные соединения, в основе
строения которых лежит 9,10-бензо-α-пирон.
Их можно также рассматривать как производные орто-гидроксикоричной
(о-кумаровой) кислоты. Они классифицируются на окси- и метоксипроизводные,
фуро- и пиранокумарины, 3,4-бензокумарины и ку-местаны (куместролы).
Сапонины (сапонизиды) - гликозиды,
обладающие гемолитической и поверхностной активностью (детергенты), а также
токсичностью для холоднокровных. В зависимости от строения агликона
(сапогенина) их делят на стероидные и тритерпеновые. Углеводная часть сапонинов
может содержать от 1 до 11 моносахаридов. Наиболее часто встречаются D-глюкоза,
D-галактоза, D-ксилоза,
L-рамноза, L-арабиноза,
D-галактуроновая и D-глюкуроновая
кислоты [39].
Танниды (дубильные вещества) -
высокомолекулярные соединения со средней молекулярной массой порядка 500-5000,
иногда до 20 000, способные осаждать белки, алкалоиды и обладающие вяжущим
вкусом. Танниды подразделяют на гидролизуемые, распадающиеся в условиях
кислотного или энзиматического гидролиза на простейшие части (к ним относят
галло-таннины, эллаготаннины и несахаридные эфиры карбоновых кислот), и
конденсированные, не распадающиеся под действием кислот, а образующие при этом
продукты конденсации - флобафены. Структурно они могут рассматриваться как
производные флаван-3-олов (катехинов), флаван-3,4-диолов (лейкоантоцианидинов)
и гидроксистильбенов [40-41].
Флавоноиды относят к группе соединений со
структурой С6-С3-С6, и большинство из них
представляют собой производные 2-фенилбензопирана (флавана) или 2-фенилбензо-g-пирона
(флавона) [42].
1.4 Твердая
лекарственная форма (таблетки)
Таблетки (Tabulettae, от лат. tabula
- доска, tabela - дощечка, плитка) - дозированная лекарственная форма,
получаемая прессованием лекарственных или смеси лекарственных и вспомогательных
веществ, предназначенная для внутреннего, наружного, сублингвального,
имплантационного или парентерального применения.
Таблетки, выпускаемые химико-фармацевтической
промышленностью, составляют, примерно, 40% производства готовых лекарственных
средств. Производство таблеток во всем мире ежегодно возрастает на 10-15%. По
данным ВОЗ, такие темпы сохранятся до конца ХХ столетия [43-44].
Таблетки как лекарственная форма, получили
широкое распространение во всем мире. В настоящее время таблетированные
препараты составляют около 80% от общего объема готовых лекарственных средств.
Положительные качества таблеток обеспечивают:
· должный уровень механизации на
основных стадиях и операциях, обеспечивающий высокую производительность,
чистоту и гигиеничность производства данных лекарственных форм;
· точность дозирования вводимых в
таблетки лекарственных веществ;
· портативность таблеток,
обеспечивающая удобство их отпуска, хранение и транспортировку;
· длительная сохранность лекарственных
веществ в спрессованном состоянии;
· для веществ недостаточно устойчивых
- возможность нанесения защитных оболочек;
· возможность маскировки неприятных
органолептических свойств (вкус, запах, красящая способность), что достигается
нанесением покрытий;
· сочетание лекарственных свойств,
несовместимых по физико-химическим свойствам в других лекарственных формах;
· локализация действия лекарственного
вещества в определенном отделе желудочно-кишечного тракта - путем нанесения
оболочек, растворимых в кислой или щелочной среде;
· пролонгирование действия
лекарственных веществ (путем нанесения определенных покрытий, использованием
специальной технологии и состава таблеток-ядер);
· регулирование последовательного
всасывания нескольких лекарственных веществ из таблетки в определенные
промежутки времени (многослойные таблетки);
· предупреждение ошибок при отпуске и
приеме лекарств - благодаря нанесению на поверхности таблеток соответствующих
надписей.
Однако таблетки имеют и некоторые недостатки:
· действие лекарственных препаратов в
таблетках развивается относительно медленно;
· таблетки невозможно ввести при рвоте
и обморочном состоянии;
· при хранении таблетки могут
цементироваться, при этом увеличивается время распадаемости;
· в состав таблеток могут входить
вспомогательные вещества, не имеющие терапевтической ценности, а иногда
вызывающие некоторые побочные явления (например, тальк раздражает слизистую
оболочку желудка);
· отдельные лекарственные препараты
(например, натрия или калия бромид) образуют в зоне растворения
высококонцентрированные растворы, которые могут вызывать сильное раздражение
слизистых оболочек, (этот недостаток устраняется путем растворения таблеток в
определенном количестве воды);
· не все больные, особенно дети, могут
свободно проглатывать таблетки.
Все таблетки состоят из действующего и
вспомогательных веществ, которые характеризуются определенные свойствами и к
которым предъявляют ряд требований.
.4.1 Свойства порошкообразных лекарственных
субстанций
Свойства исходных лекарственных веществ во
многом предопределяют рациональный способ. В качестве исходных материалов
применяют сыпучие вещества в виде порошкообразных (размер частиц 0,2 мм) или
гранулированных (размер частиц от 0,2 до 3 мм) форм, которые имеют следующие
свойства:
Физические - плотность, форма, размер и
характер поверхности частиц, удельная поверхность частиц, силы адгезии
(слипание на поверхности) и когезии (слипание частиц внутри тела),
поверхностная активность, температура плавления и др.;
химические - растворимость, реакционная
способность и др.;
технологические - объемная плотность,
степень уплотнения, сыпучесть, влажность, фракционный состав, дисперсность,
пористость, прессуемость и др.;
структурно-механические - пластичность,
прочность, упругость, вязкость кристаллической решетки и др.
Эти свойства часто подразделяют на две большие
группы: физико-химические и технологические.
Физико-химические свойства.
Форма и размер частиц. Порошкообразные
лекарственные субстанции являются грубодисперсными системами и имеют частицы
различных форм и размеров. Большинство из них является кристаллическими
системами; аморфное состояние встречается реже. У многих лекарственных
препаратов частицы анизодиаметрические (несимметричные, разноосные). Они могут
быть удлиненной формы, когда длина значительно превышает поперечные размеры
(палочки, иголки и т.п.), или пластинчатыми, когда длина и ширина значительно
больше толщины (пластинки, чешуйки, таблички, листочки и т.п.). Меньшая часть
порошкообразных веществ имеет частицы изодиаметрические (симметричные,
равноосные) - это шаровидные образования, глыбки, многогранники и т.п.
Форма и размер частиц порошков зависят: у
кристаллических веществ (химико-фармацевтические препараты) - от структуры
кристаллической решетки и условий роста частиц в процессе кристаллизации, у
измельченных растительных материалов - от анатомо-морфологических особенностей
измельченных органов растений и типа измельчающей машины.
Размер частиц порошков определяют по их длине и
ширине, которые измеряют с помощью микроскопа, снабженного микрометрической
сеткой, при увеличении в 400 или 600 раз.
Форму частиц устанавливают по отношению средней
длины частиц к средней ширине. При этом методе частицы условно подразделяются
на три основные вида: удлиненные - отношение длины к ширине - более чем 3:1;
пластинчатые - длина превышает ширину и толщину но не более чем в 3 раза;
равноосные - имеют шарообразную, многогранную форму близкую к
изодиаметрической. Существует 6
кристаллических систем: кубическая, гексагональная, тетрагональная,
ромбическая, моноклиническая, триклиническая. Наибольшее количество среди
кристаллических продуктов составляют вещества моноклинической системы ~40%,
кубической ~10%, гексагональной ~7%, тетрагональной ~5%, ромбической ~28%,
триклинической ~10%. Известно, что
только вещества, принадлежащие к кубической системе, прессуются в таблетки
непосредственно, т.е. прямым прессованием, без грануляции и вспомогательных
веществ (натрия хлорид, калия бромид).
Обычно порошки, имеющие форму частиц в виде
палочек, характеризуются мелкодисперсностью, хорошей уплотняемостью и
достаточной пористостью (анальгин, норсульфазол, акрихин и др.).
Порошки с равноосной формой частиц -
крупнодисперсные, с малой степенью уплотнения, малой пористостью (лактоза,
гексаметилентетрамин, салол). Чем сложнее поверхность частиц порошка, тем
больше сцепляемость и меньше сыпучесть, и наоборот.
Физические свойства порошков определяются
удельной и контактной поверхностью и истинной плотностью.
Удельная поверхность - суммарная поверхность,
которую занимает порошкообразное вещество, а контактная поверхность -
поверхность, которая образуется при соприкосновении между собой частицами
порошка.
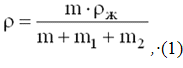
Истинная плотность порошка определяется
отношением массы препарата к его объему при нулевой пористости порошка. В
качестве сравнения используют любую жидкость, смачивающую, но не растворяющую
порошок. Определение проводят с помощью волюметра (пикнометра для
порошкообразных твердых веществ). Истинную плотность ρ
(кг/м3)
порошка определяют по формуле:
где:- масса вещества, г;
ρж
- плотность жидкости, г/см3;1 - масса волюметра с
веществом, г;2 - масса волюметра с жидкостью и веществом, г.
По коэффициенту контактного трения (f) косвенно
судят об абразивности таблетируемых масс. Чем больше его значение, тем более
стойким к износу должен быть пресс-инструмент таблеточных машин.
Химические свойства: наличие
кристаллизационной воды, растворимость, смачиваемость и гигроскопичность.
Под смачиваемостью порошкообразных лекарственных
веществ понимается их способность взаимодействовать с различными жидкостями
(лиофильность) и прежде всего с водой (гидрофильность). На поверхности твердых
частиц лекарственных субстанций содержится то или иное количество гидрофильных
групп (-ОН, -СОН, -СООН и др.) или кислородных атомов, являющихся структурными
элементами их кристаллической решетки, поэтому смачиваемость поверхности
порошков имеет разную величину в зависимости от интенсивности взаимодействия
межмолекулярных сил. Визуально склонность поверхности порошков к смачиванию
водой проявляется: а) полным смачиванием - жидкость полностью растекается по
поверхности порошка; б) частичным смачиванием - вода частично растекается на
поверхности; в) полным несмачиванием - капля воды не растекается, сохраняя
форму, близкую к сферической. Гидрофобные (не смачиваемые водой) вещества могут
прекрасно смачиваться другими жидкостями - например, органическими
растворителями.
Практическое значение смачиваемости заключается
в том, что в таблетку, полученную прессованием хорошо смачиваемых водой
веществ, легко проникает вода, что ускоряет распадаемость таблетки.
Гигроскопичность. Если упругость
паров в воздухе больше, чем их упругость на поверхности твердых частиц, тогда
порошкообразная масса, подготовленная к таблетированию, начнет поглощать пары
из воздуха и расплываться в поглощенной воде. Кинетику влагопоглощения
определяют весовым методом в нормальных (обычных) условиях, в экстремальных
(эксикаторе над водой - 100% относительная влажность), или же в климатической
камере.
Если субстанция сильно гигроскопична, это
предопределяет применение вспомогательных веществ - влагостимуляторов.
Кристаллизационная вода. Молекулы
кристаллизационной воды определяют механические (прочность, пластичность) и
термические (отношение к температуре воздушной среды) свойства кристалла и
оказывают существенное влияние на поведение кристалла под давлением. Явление
"цементации" также тесно связано с наличием кристаллизационной воды в
таблетируемых субстанциях.
Электрические свойства. Явление электризации
порошкообразных лекарственных веществ при их обработке и прессовании дают
основание сделать вывод, что при рассмотрении природы связи частиц в таблетках
наряду с деформационными необходимо принимать во внимание также диэлектрические
характеристики. При механическом воздействии будут склонны к поляризации все
ассиметрические кристаллы, содержащие полярные группы в своей структуре или в
адсорбционной водной пленке. Для неполярных веществ образование поверхностных
зарядов исключается.
Технологические свойства. Технологические
свойства порошкообразных лекарственных веществ зависят от их физико-химических
свойств.
Фракционный (гранулометрический) состав или
распределение частиц порошка по крупности, оказывает определенное влияние на
его сыпучесть, а следовательно, на ритмичную работу таблеточных машин,
стабильность массы получаемых таблеток, точность дозировки лекарственного
вещества, а также на качественные характеристики таблеток (внешний вид,
распадаемость, прочность и др).
Наиболее быстрым и удобным методом определения
дисперсности является ситовой анализ. Техника этого анализа заключается в том,
что 100,0 г исследуемого порошка просеивают через набор сит (диаметр отверстий
2,0; 1,0; 0,5; 0,25 и 0,1 мм). Навеску материала помещают на самое крупное
(верхнее) сито и весь комплект сит встряхивают (вручную или на виброустановке)
в течение 5 минут, а затем находят массу каждой фракции и ее процентное
содержание.
Исследования фракционного состава
фармацевтических порошков, подлежащих таблетированию, показали, что большинство
из них содержит в подавляющем количестве мелкую фракцию (менее 0,2 мм) и
поэтому обладают плохой сыпучестью. Они плохо дозируются по объему на
таблеточных машинах, таблетки получаются неодинаковыми по массе и прочности.
Фракционный состав порошков можно изменить с помощью направленного
гранулирования, которое позволяет получить определенное количество крупных
фракций.
Очень важно определение таких объемных
показателей порошков как: насыпная и относительная плотность и пористость.
Насыпная (объемная) плотность - масса
единицы объема свободно насыпанного порошкообразного материала. Насыпная
плотность зависит от формы, размера, плотности частиц порошка (гранул), их
влажности. По значению насыпной плотности можно прогнозировать объем матричного
канала. Определение насыпной плотности порошка проводят на приборе (приложение
Б).
Текучесть (сыпучесть) - способность
порошкообразной системы высыпаться из емкости воронки или "течь" под
силой собственной тяжести и обеспечивать равномерное заполнение матричного
канала. Материал, имеющий плохую сыпучесть в воронке, прилипает к ее стенкам,
что нарушает ритм его поступления в матрицу. Это приводит к тому, что заданная
масса и плотность таблеток будут колебаться.
Сыпучесть определяют на вибрационном устройстве
для снятия характеристик сыпучих материалов (приложение В).
С помощью прибора определяется также угол
естественного откоса - угол между образующей конуса сыпучего материала и
горизонтальной плоскостью. Угол естественного откоса изменяется в широких
пределах - от 25 до 30°С для хорошо сыпучих материалов и 60-70°С для связанных
материалов.
Сыпучесть порошков является комплексной
характеристикой, определяемой дисперсностью и формой частиц, влажностью масс,
гранулометрическим составом. Эта технологическая характеристика может быть
использована при выборе технологии таблетирования. Порошкообразные смеси,
содержащие 80-100% мелкой фракции (размер частиц меньше 0,2 мм), плохо
дозируются, поэтому необходимо проводить направленное укрупнение частиц таких
масс, т.е. гранулирование. Если мелкой фракции содержится до 15%, возможно
использование метода прессования.
Прессуемость - способность частиц порошка к
когезии под давлением, т.е. способность частиц под влиянием сил электромагнитной
природы (молекулярных, адсорбционных, электрических) и механических зацеплений
ко взаимному притяжению и сцеплению с образованием устойчивой прочной
прессовки. Непосредственных методов определения прессуемости нет. Прессуемость
характеризуется прочностью модельной таблетки после снятия давления. Чем лучше
прессуемость порошка, тем выше прочность таблетки. Если прессуемость
плохая,таблетка получается непрочной, а иногда полностью разрушается при
выталкивании из матрицы.
Установлено, что, для веществ с прочностью
таблеток выше: 7 кг/см2 применяются чистые растворители для процесса
грануляции; если же это крупнодисперсные порошки с хорошей сыпучестью, то они
прессуются непосредственно, т.е. прямым прессованием; для веществ с прочностью
таблеток 4-7 кг/см2 достаточно применение обычных связывающих
веществ; для веществ с прочностью таблеток 1-4 кг/см2 необходимо
применение высокоэффективных связывающих веществ. По результатам определения
прессуемости таблеточных масс делают заключение о технологии таблетирования.
Сила выталкивания таблеток из матрицы. Для
выталкивания запрессованной таблетки из матрицы требуется затратить силу, чтобы
преодолеть трение и сцепление между боковой поверхностью таблетки и стенкой
матрицы. С учетом величины силы выталкивания прогнозируют добавки
антифрикционных (скользящих или смазывающих) веществ.
Природа связи частиц в таблетках.
Таблетирование основано на использовании свойств порошкообразных лекарственных
веществ уплотняться и упрочняться под давлением. При этом слабоструктурный
материал превращается в связнодисперсную систему с определенной величиной
пористости. Такая система во многом близка по свойствам к компактному телу, в
котором действуют определенные силы сцепления [43-44].
.4.2 Классификация таблеток
По технологии получения различают два класса
таблеток:
. Прессованные, получаемые путем прессования
лекарственных порошков на таблеточных машинах с различной производительностью.
Этот способ является основным.
. Формованные или тритурационные таблетки,
получаемые формованием таблетируемой массы. Они составляют примерно 1-2% от
всего объема производства таблеток. Тритурационные таблетки содержат небольшие
дозы лекарственных и разбавляющих веществ: масса их может составлять до 0,05 г.
Таблетки классифицируют также по конструктивному
признаку:
. По составу: простые (однокомпонентные) и
сложные (многокомпонентные).
. По структуре строения: каркасные, однослойные
и многослойные (не менее двух слоев), с покрытием или без него.
Каркасные (или скелетные) таблетки (дурулы)
имеют нерастворимый каркас, пустоты которого заполнены лекарственным веществом.
Отдельная таблетка представляет собой как бы губку, пропитанную лекарством. При
приеме каркас ее не растворяется, сохраняя свою геометрическую форму, а
лекарственное вещество диффундирует в желудочно-кишечный тракт.
Однослойные таблетки состоят из прессованной
смеси лекарственных и вспомогательных веществ и однородны по всему объему
лекарственной формы.
В многослойных таблетках лекарственные вещества
располагаются послойно. При применении химически несовместимых веществ это
обуславливает их минимальное взаимодействие.
. По характеру покрытия: дражированное,
пленочное и прессованное сухое покрытие.
Формы таблеток, выпускаемые
химико-фармацевтической промышленностью самые разнообразные: цилиндры, шары,
кубы, треугольники, четырехугольники и др. Самой распространенной является
плоскоцилиндрическая форма с фаской и двояковыпуклая форма, удобная для
глотания. Кроме того, пуансоны и матрицы для производства таблеток более просты
и не вызывают особых затруднений при их установке на таблеточные машины.
Большинство существующих фасовочных и
упаковочных автоматов также приспособлено для работы с плоскоцилиндрическими и
двояковыпуклыми таблетками.
Плоскоцилиндрическая без фаски форма таблеток
для производства не рекомендуется, так как при расфасовке и транспортировке
наблюдается разрушение острых краев таблеток, в результате чего теряется их
товарный вид. Размер таблеток
колеблется от 4 до 25 мм в диаметре. Таблетки диаметром свыше 25 мм называются брикетами.
Наиболее распространенными являются таблетки диаметром от 4 до 12 мм. Таблетки
диаметром более 9 мм, имеют одну или две риски, нанесенные перпендикулярно одна
другой, позволяющие разделить таблетку на две или четыре части и, таким
образом, варьировать дозировку лекарственного вещества.
Масса
таблеток, в основном, составляет 0,05-0,8 г, что определяется дозировкой
лекарственного вещества и количеством входящих в их состав вспомогательных
веществ.
Таблетки
должны иметь правильную форму, быть целыми, без выщербленных краев, поверхность
их должна быть гладкой и однородной. Таблетки должны обладать достаточной
прочностью и не должны крошиться. Геометрическая форма и размеры таблеток
определяются стандартами, изложенными в монографии "Таблетки"
Государственной фармакопеи Республики Казахстан [10].
Формы таблеток отличаются большим разнообразием
(рисунок 1).
Плоскоцилиндрические таблетки выпускаются 14
типоразмеров с диаметром в диапазоне от 4,0 до 20,0 мм; двояковыпуклые таблетки
без покрытия выпускаются 10 типоразмеров - от 4,0 до 13,0 мм, таблетки с
покрытием - от 5,0 до 10,0 мм (рисунок 2). Диаметр таблеток определяется в
зависимости от их массы (таблица 1).
Рисунок 1 - Типоразмерный ряд таблеток
Примечания: 1. плоскоцилиндрическая, простая, 2.
плоскоцилиндрическая с углубленной панелью, 3. плоскоцилиндрическая с
углубленными центрами, 4. плоскоцилиндрическая с вырезанным центром, 5.
плоскоцилиндрическая с фаской, 6. плоскоцилиндрическая с фаской и углубленными
центрами, 7. плоскоцилиндрическая с фаской и вырезанным центром, 8.
плоскоцилиндрическая с усиленной фаской, 9. плоскоцилиндрическая с фаской и
одной риской, 10. плоскоцилиндрическая с усиленной фаской и одной риской, 11.
плоскоцилиндрическая с фаской и двумя рисками, 12. плоскоцилиндрическая с
усиленной фаской и двумя рисками, 13. плоскоцилиндрическая с мелкой сферой, 14.
плоскоцилиндрическая с нормальной сферой, 15. плоскоцилиндрическая с глубокой
сферой, 16. плоскоцилиндрическая шарообразная, 17. круглая с нормальной сферой
и одной риской типа "А", 18. круглая с нормальной сферой и двумя
рисками типа "А", 19. дражеобразная, простая, 20. круглая с фаской и
сферой, 21. круглая с углубленными центрами , 22. круглая плоская с ободком,
23. круглая с ободком и вырезанным центром, 24. круглая с нормальной сферой и
надписью, 25. сферическая эллипсоидная, 26. сферическая овальная, 27.
сферическая миндалевидная, 28. сферическая капсулевидная, 29. сферическая
капсулевидная с товарным знаком, 30. сферическая пулевидная, 31. плоская
прямоугольная с закругленными углами, 32. плоская прямоугольная с ромбовидными
углами, 33. плоская квадратная с закругленными углами, 34. плоская квадратная с
ромбовидными углами, 35. сферическая ромбовидная, 36. сферическая треугольная,
37. плоская пятиугольная, 38. плоская шестиугольная, 39. плоская
восьмиугольная, 40. плоская сердцевидная
Рисунок 2. Типоразмерный ряд таблеток
Таблица 1 - Шкала: масса-диаметр
Высота плоскоцилиндрических таблеток должна быть
в пределах 30-40% от диаметра. Некоторые таблетки (в странах СНГ - это
таблетки, содержащие наркотики), имеют на поверхности надписи с названием
препарата. Они делаются в виде вогнутых отпечатков, так как выпуклые буквы на
торце таблеток значительно больше подвержены истиранию и разрушению.
В зависимости от назначения и способа применения
таблетки делят на следующие группы:- таблетки, приеменяемые перорально.
Лекарственные вещества всасываются слизистой оболочкой желудка или кишечника.
Эти таблетки принимают внутрь, запивая водой. Пероральная группа таблеток
является основной.- таблетки, применяемые сублингвально; лекарственные вещества
всасываются слизистой оболочкой полости рта.- таблетки, изготовленные
асептически, применяются для имплантации. Рассчитаны на замедленное всасывание
лекарственных веществ с целью пролонгирования лечебного эффекта.- таблетки,
изготавливаемые асептически, применяются для получения инъекционных растворов
лекарственных веществ.- таблетки, используемые для приготовления растворов
различного фармацевтического назначения.bacilli, boli, uretratoria, vagitoria -
прессованные уретральные, вагинальные и ректальные лекарственные формы [43-44].
.4.3 Технология производства таблеток
Наиболее распространены три технологические
схемы получения таблеток: с применением влажного или сухого гранулирования и
прямое прессование (рисунок 3).
Рисунок 3. Технологии производства таблеток
Подготовка исходных материалов к таблетированию
сводится к их растворению и развешиванию. Взвешивание сырья осуществляется в
вытяжных шкафах с аспирацией. После взвешивания сырье поступает на просеивание
с помощью просеивателей вибрационного принципа действие.
Смешивание. Составляющие таблеточную
смесь лекарственного и вспомогательного вещества необходимо тщательно смешивать
для равномерного распределения их в общей массе. Получение однородной по
составу таблеточной смеси является очень важной и довольно сложной
технологической операцией. В связи с тем, что порошки обладают различными
физико-химическими свойствами: дисперсностью, насыпной плотностью, влажностью,
текучестью и др. На этой стадии используют смесители периодического действия
лопастного типа, форма лопастей может быть различной, но чаще всего червячная
или зетобразной.
Гранулирование. Это процесс превращения
порошкообразного материала в зерна определенной величины, что необходимо для
улучшения сыпучести таблетируемой смеси и предотвращения ее расслаивания.
Гранулирование может быть "влажным" и "сухим".
Первый вид гранулирования связан с
использованием жидкостей - растворов вспомогательных веществ; при сухом
гранулировании к помощи смачивающих жидкостей или не прибегают, или используют
их только на одной определенной стадии подготовки материала к таблетированию.
Влажное гранулирование состоит из следующих
операций:
) измельчения веществ в тонкий порошок.
Эту операцию обычно проводят в шаровых мельницах. Порошок просеивают через сито
№ 38.
) увлажнение порошка раствором
связывающих веществ. В качестве связывающих веществ рекомендуют применять воду,
спирт, сахарный сироп, раствор желатина и 5% крахмальный клейстер. Необходимое
количество связывающих веществ устанавливают опытным путем для каждой
таблетируемой массы. Для этого, чтобы порошок вообще гранулировался, он должен
быть увлажнен до определенной степени. О достаточности увлажнения судят так:
небольшое количество массы (0,5-1г) сжимают между большим и указательным
пальцем; образовавшаяся "лепешка" не должна прилипать к пальцам
(чрезмерное увлажнение) и рассыпаться при падении с высоты 15 - 20 см
(недостаточное увлажнение). Увлажнение проводят в смесителе с S (сигма) -
образными лопастями, которые вращаются с различной скоростью: передняя - со
скоростью 17- 24об/мин, а задняя - 8-11об/мин, лопасти могут вращаться в
обратную сторону. Для опорожнения смесителя корпус его опрокидывают и массу
выталкивают с помощью лопастей.
) протирание полученной массы через сито.
Гранулирование производят путем протирания полученной массы через сито 3-5мм (№
20, 40 и 50). Применяют пробивные сита из нержавеющей стали, латуни или бронзы.
Не допускается употребление тканных проволочных сит во избежание попадания в
таблеточную массу обрывков проволоки. Протирание производят с помощью
специальных протирочных машин - грануляторов. В вертикальный перфорированный
цилиндр насыпают гранулируемую массу и протирают через отверстия с помощью
пружинящих лопастей.
) высушивание и обработки гранулята.
Высушивание и обработка гранул. Полученные гранулы рассыпают тонким слоем на
поддонах и подсушивают иногда на воздухе при комнатной температуре, но чаще при
температуре 30-40єC в сушильных шкафах или сушильных помещениях. Остаточная
влажность в гранулах не должна превышать 2%.
Обычно операции смешивания и равномерного
увлажнения порошкообразной смеси различными гранулирующими растворами совмещают
и проводят в одном смесители. Иногда в одном аппарате совмещаются операции
смешивания и гранулирования (высокоскоростные смесители - грануляторы).
Смешивание обеспечивается за счет энергичного принудительного кругового
перемешивания частиц и сталкивания их друг с другом. Процесс перемешивания для
получения однородной по составу смеси длится 3 - 5'. Затем к предварительно
смешиваемому порошку в смеситель подается гранулирующая жидкость, и смесь
перемешивается еще 3-10 минут. После завершения процесса гранулирования
открывают разгрузочный клапан, и при медленном вращении скребка готовый продукт
высыпается. Другая конструкция аппарата для совмещения операций смешивания и
гранулирования - центробежный смеситель-гранулятор.
По сравнению с сушкой в сушильных шкафах,
которые являются малопроизводительными и в которых длительность сушки достигает
20-24 часа, более перспективной считается сушка гранул в кипящем
(псевдоожиженом) слое. Основными ее преимуществами являются: высокая
интенсивность процесса; уменьшение удельных энергетических затрат; возможность
полной автоматизации процесса.
Поскольку гранулы, полученные после влажной
грануляции, имеют шероховатую поверхность, что затрудняет в дальнейшем их
высыпание из загрузочной воронки в процессе таблетирования, а кроме этого,
гранулы могут прилипать к матрице и пуансонам таблетпресса, что вызывает,
помимо нарушения веса, изъяны в таблетках, прибегают к операции
"опудривания" гранулята. Эта операция осуществляется свободным
нанесением тонко измельченных веществ на поверхность гранул. Путем опудривания
в таблетмассу вводят скользящие и разрыхляющие вещества.
Сухое гранулирование. В некоторых
случаях, если лекарственное вещество разлагается в присутствии воды, прибегают
к сухому гранулированию. Для этого из порошка прессуют брикеты, которые затем
размалывают, получая крупку. После отсеивания от пыли крупку таблетируют. В
настоящее время под сухим гранулированием понимают метод, при котором
порошкообразный материал подвергают первоначальному уплотнению (прессованию) и
получают гранулят, который затем таблетируют - вторичное уплотнение. При
первоначальном уплотнении в массу вводят сухие склеивающие вещества (МЦ, КМЦ,
ПЭО), обеспечивающие под давлением сцепление частиц как гидрофильных, так и
гидрофобных веществ. Доказано пригодность для сухого гранулирования ПЭО в
сочетании с крахмалом и тальком. При использовании одного ПЭО масса прилипает к
пуансонам.
Прессование (собственно таблетирование). Это
процесс образования таблеток из гранулированного или порошкообразного материала
под действием давления. В современном фармацевтическом производстве
таблетирование осуществляется на специальных прессах - роторных таблеточных
машинах (РТМ). Прессование на таблеточных машинах осуществляется пресс -
инструментом, состоящим из матрицы и двух пуансонов.
Технологический цикл таблетирования на РТМ
складывается из ряда последовательных операций: дозирование материала,
прессование (образование таблетки), ее выталкивание и сбрасывание. Все
перечисленные операции осуществляются автоматически одна за другой при помощи
соответствующих исполнительных механизмов.
Прямое прессование. Это процесс прессования не
гранулированных порошков. Прямое прессование позволяет исключить 3-4
технологические операции и, таким образом имеет преимущество перед
таблетированием с предварительным гранулированием порошков. Однако, несмотря на
кажущиеся преимущества, прямое прессование медленно внедряется в производство.
Это объясняется тем, что для производительной работы таблеточных машин
прессуемый материал должен обладать оптимальными технологическими
характеристиками (сыпучестью, пресуемостью, влажностью и др.) Такими
характеристиками обладает лишь небольшое число не гранулированных порошков -
натрия хлорид, калия йодид, натрия и аммония бромид, гексометилентетрамин,
бромкамфара и др. вещества, имеющие изометрическую форм частиц приблизительно
одинакового гранулометрического состава, не содержащих большого количества
мелких фракций. Они хорошо прессуются.
Одним из методов подготовки лекарственных
веществ к прямому прессованию является направленная кристаллизация - добиваются
получения таблетируемого вещества в кристаллах заданной сыпучести, прессуемости
и влажности путем особых условий кристаллизации. Этим методом получают
ацетилсалициловую кислоту и аскорбиновую кислоту.
Широкое использование прямого прессования может
быть обеспечено повышением сыпучести не гранулированных порошков, качественным
смешиванием сухих лекарственных и вспомогательных веществ, уменьшением
склонности веществ к расслоению.
Обеспыливание. Для удаления с поверхности
таблеток, выходящих из пресса, пылевых фракций применяются обеспыливатели.
Таблетки проходят через вращающийся перфорированный барабан и очищаются от
пыли, которая отсасывается пылесосом [43-44].
.4.4 Показатели качества таблеток
Одним из основных условий промышленного
производства таблеток является соответствие готовой продукции требованиям
действующей нормативно-технической документации. Качество выпускаемых таблеток
определяется различными показателями, которые подразделяются на следующие
группы: органолептические, физические, химические, бактериологические,
биологические.
Определение качества таблеток начинается с
оценки их внешнего вида (органолептических свойств), на которые влияют
следующие факторы: условия прессования; адгезионные и когезионные свойства
таблетируемой массы, ее влажность; гранулометрический состав; поверхность и
точность пресс-инструмента; способ покрытия и др.
К физическим показателям качества относятся
геометрические (форма таблетки, геометрический вид поверхности, отношение
толщины таблетки к ее диаметру и т.д.) и собственные физические показатели
(масса таблетки, отклонения от заданной величины массы, показатели прочности,
пористости, объемной плотности, а также показатели внешнего вида -
окрашенность, пятнистость, целостность, наличие знаков или надписей, отсутствие
металлических включений и т.д.).
К химическим показателям относятся:
распадаемость, растворимость и постоянство химического состава, активность
лекарственного вещества, срок годности таблеток, их стабильность при хранении и
т.д.
Контроль качества готовых таблеток проводят
согласно требованиям монографии "Таблетки" ГФ РК [11] по следующим
показателям:
· органолептические свойства - ГФ РК,
т.1, 2008 г., с. 547;
· механическая прочность (устойчивость
к раздавливанию) - ГФ РК, т.1, 2008 г., с. 249;
· распадаемость - ГФ РК, т.1, 2008 г.,
с. 236;
· растворение - ГФ РК, т.1, 2008 г.,
с. 239;
· средняя масса таблеток и отклонение
в массе отдельных таблеток - ГФ РК, т.1, 2008 г., с. 244;
· содержание лекарственных веществ в
таблетках - ГФ РК, т.1, 2008 г., с. 244;
· однородность дозирования - ГФ РК,
т.1, 2008 г., с. 547;
· определение талька, аэросила - ГФ
РК, т.1, 2008 г., с. 552.
Некоторые дополнительные требования по качеству
таблеток изложены в частных фармакопейных статьях.
2. Обсуждение результатов
Растения рода кермек являются важным объектом
растительной флоры Казахстана, так как они с давних пор и до настоящего времени
широко используются в народной медицине в качестве противовоспалительного и
ранозаживляющего средства. Имеют промышленные запасы на территории Республики
Казахстан, являются галофитами, регулирующими количество кальциевых и натриевых
солей в почвах, что экологически благоприятно влияет на их состояние. В
настоящее время корни и корневища кермека Гмелина введены в медицину и в
Государственную Фармакопею Республики Казахстан [11]. На их основе получены
субстанция "Лимонидин" и ряд лекарственных средств, как на их основе
(настойка "Лимонидин"), так и на основе выделенной лекарственной
субстанции (сироп "Лимонидин", мазь "Санжар"). Все эти
лекарственные средства, равно как и субстанция, введены в медицину как
высокоэффективные лекарственные средства, обладающие широтой терапевтического
действия при малой токсичности, отсутствии аллергических и куммулятивных
реакций [4].
Однако использовать только корни кермека Гмелина
для получения различных лекарственных средств не рационально, экономически и
экологически не совсем целесообразно, так как их возобновление после заготовки
на том же участке возможно только через 3-5 лет. Именно поэтому необходимо
найти альтернативное лекарственное сырье, которое бы содержало тот же комплекс
биологически активных соединений, обуславливающих физиологическое действие
субстанции и лекарственных форм, созданных на основе корней кермека Гмелина.
Таким родственным сырьем может быть надземная часть этого же вида растений,
которая и явилась объектом данной работы. При применении растительного сырья в
медицинских целях нужно, прежде всего, убедиться в его доброкачественности и
возможности использования для получения лекарственных средств.
2.1 Определение подлинности и
доброкачественности надземной части растений L.
gmelinii. Разработка
АНД и его представление в НЦЭЛС МЗ РК
Определение подлинности, т.е.
тождественности исследуемого вида сырья достигается такими показателями как
макроскопия и микроскопия, а также некоторыми качественными реакциями на
определение классов органических соединений, преобладающих в исследуемом растении.
Макроскопия. Кермек
Гмелина представляет собой дикорастущее многолетнее травянистое растение 30-80
см высотой. Стебель - прямой, укороченный в верхней части, с двумя немногими,
обычно парными ветвями с широкой щитковидной верхушечной метелкой. Листья-розетки
многочисленные, зеленые или сизовато-зеленые, на изломах краснеющие, от
продолговато-обратнояйцевидных до широкоэлептических. Цветоносы один или
несколько, верхушечные или пазушные. Цветки в мелких, 1-3-4-цветковых
колосьях-полузавитках, образующих почти щитковидные или пирамидальные соцветия.
Колоски 4-5-6 мм длиной, чашечка 4-4,5 мм длиной, при основании и до половины
по жилкам, иногда по двум внутренним жилкам густо и довольно длинно опущенная.
Отгиб беловатый или бледно-фиолетовый, 5 реже 10 зубчатый. Лепестки
сине-фиолетовые, редко белые. Семена удлиненно-яйцевидные, 2 мм длиной, 0,6 мм
шириной, темно-пурпуро-коричневые. Цветет в июне-сентябре, плодоносит в
августе-сентябре (приложение А) [1-3, 5-10].
Микроскопия. Листовая пластинка снаружи покрыта
эпидермисом. Клетки эпидермиса плотносомкнуты, без межклетников. Клетки
верхнего и нижнего эпидермиса покрыты мелко-бугорчатой кутикулой. Лист
дорзивентральный, с 2-рядной плотно сомкнутой хорошо развитой палисадной
тканью, расположенной на верхней, адаксиальной стороне. Губчатая ткань рыхлая,
состоит из клеток разнообразной формы, вытянутых по ширине листа и лежащих в
плоскости, параллельной поверхности листа.
Рисунок 4 - Анатомическое строение листа (х 180)
- верхний эпидермис, 2 - столбчатый мезофилл, 3
-нижний эпидермис, 4 - губчатый мезофилл, 5 - проводящий пучок, 6 - паренхимная
обкладка пучка
Сосудисто-волокнистые пучки пронизывают мезофилл
листа. Тип проводящего пучка коллатеральный. Субэпидермальная уголковая
колленхима 3-рядная над жилкой, 4-рядная под ней. Эпидерма с обеих сторон имеет
почти одинаковое строение и состоит из небольших клеток, многоугольных в
очертании. Устьица многочисленны с обоих сторон, они окружены 2-3, реже 4
клетками эпидермиса. Волоски в значительном количестве по всей поверхности
листа одноклеточные, слегка изогнутые с заостренной верхушкой и
грубобородавчатой поверхностью. Часто волоски отпадают и тогда на месте
прикрепления волоска остается маленький круглый валик, окруженный розеткой
клеток эпидермиса (рисунки 5,6). Все жилки листочка имеют паренхимную обкладку.
Рисунок 5 - Верхний эпидермис листа (х 760)
- устьичный аппарат, 2 - основания трихом
Рисунок 6 - Нижний эпидермис листа (х 760)
(х
180)
- устьица, 2 - основания трихом
Стебель покрыт эпидермой, состоящей
из табличатых клеток, внешние стенки эпидермы имеют мелкобугорчатую кутикулу
(рисунки 7,8). Глубже расположен слой паренхимы первичной коры, резко
отграниченной от центрального цилиндра группами клеток склеренхимы.
Рисунок 7 - Анатомическое строение молодого
стебля (х 180)
-эпидермис, 2- первичная кора, 3- слеренхима, 4-
проводящий пучок Паренхима
Рисунок 8 - Анатомическое строение стебля генеративной
фазы (х 180)
-эпидермис, 2- первичная кора, 3- слеренхима,
4-сердцевинная паренхима, 5-ксилема, 6- флоэма
В первичной коре развиты два слоя. Первый слой
стебля состоит из ассимиляционной ткани с содержанием хлорофилла, клетки более
вытянутые и расположены перпендикулярно эпидерме (рисунок 9).
Рисунок 9 - Анатомическое строение стебля
постгенеративной фазы (х 180) 1-эпидермис,
2-ассимиляционная ткань, 3-паренхимные клетки первичной коры, 4- склеренхима,
5- флоэма, 6- ксилема
Они являются важным диагностическим признаком.
Хлорофиллоносная паренхима более развита у молодых растений. Второй слой
содержит паренхимные клетки различной формы. Склеренхимные клетки
толстостенные, в поперечном сечении округлые, с точечной полостью. В зоне
склеренхимных клеток некоторые примыкающие клетки коры содержат одиночные
кристаллы - друзы. В центральном цилиндре проводящая ткань расположена пучками.
В пучках функционирует камбий (рисунок 10).
Рисунок 10 - Анатомия сердцевинной части стебля
(х 180)
-ксилема, 2 склеренхима, 3 флоэма,
4-экстрактивные вещества в ксилемных сосудах, 5-сердцевинная паренхима
Сосуды толстостенные расположены группами.
Вокруг каждого пучка группа перициклических волокон. Сердцевинная паренхима
рассеянная. Сердцевина в поперечном сечении круглая, состоит из крупных
тонкостенных клеток. В клетках паренхимы встречаются вместилища с
биологическими активными веществами (рисунок 11).
Рисунок 11 - Внутреннее строение стебля (х 760)
-содержимое клеток, 2- склеренхима, 3-флоэма
Исследование методом оптической микроскопии
проводится с целью установления ботанической принадлежности растения, из
которого получен исследуемый объект. При этом используют оптические микроскопы.
Cвет при осмотре -
искусственный, отраженный. Увеличение - от 18 до 40 крат. В таких условиях
обычно четко выявляются анатомические признаки растений.
Таким образом, основными анатомо-морфологическими
признаками кермека Гмелина
являются следующие:
1. Частицы нижней и верхней эпидермы листьев;
2. Одноклеточные трихомы, слегка изогнутые
с заостренной верхушкой и грубобородавчатой поверхностью;
. Наличие в сердцевинной паренхиме стебля
вместилищ с биологическим активными веществами.
Ассимиляционная ткань в стебле
сохраняется даже в растениях постгенеративной фазы, а их наличие является
устойчивым диагностическим признаком растения кермека Гмелина. Совокупность
перечисленных признаков свидетельствует о том, что исследуемое вещество
представляет собой смесь надземных частей растений кермека Гмелина, т.е. траву
растений кермека Гмелина.
Качественные реакции. Для предварительной оценки
компонентов надземной части кермека Гмелина было получено 50%-ное
водно-спиртовое извлечение. Флавоноиды определяли по реакции с 2% спиртовым
раствором алюминия хлорида Р. На часовом стекле к 1 мл 50%-ных водно-спиртовых
экстрактов приливали 1 мл хлорида алюминия, появляется желтое с зеленоватым
оттенком окрашивание, свидетельствующее о наличии в сырье флавонов, флавононов,
флавонолов и их производных. От добавления 1 мл 1% водного раствора квасцов
железоаммониевых Р или 1% раствора хлорида железа Р появляется черно-синеее или
темно-серое окрашивание, свидетельствующее о наличии дубильных веществ с тремя
вицинально расположенными фенольными гидроксильными группами [36].
Доброкачественность
исследуемого вида растения была изучена по всем показателям, предъявляемым к
растительному сырью согласно требованиям ГФ РК, Европейской Фармакопеи, а также
другой литературы [11-12].
Числовые показатели. Влажность надземной
части Limonium Gmelinii определялась по методу ГФ РК, Т.1, с. 235. Содержание
влаги в образцах сырья находили в пределах от 7,15 до 8,10%, поэтому в проект
АНД предлагаем показатель влажности не более 10%.
Анализ на золу общую выполняли по ГФ РК, Т.1, с.
129, средние результаты составили от 4,89 до 4,95%, поэтому в проекте АНД общая
зола нормирована не более 6%.
Золу, нерастворимую в 10% растворе кислоты
хлороводородной Р, определяли по методике ГФ РК, Т.1, с. 226, средние
результаты составили от 0,92 до 1,0%, поэтому в проекте АНД предлагаем значение
данного показателя не более 1,5%.
Количественное определение дубильных веществ
определяли по методике (ГФ РК I,
т. 1, 2.9.12), средние результаты составили от 11,70% до 12,05%, поэтому в
проекте АНД предлагаем значение не менее 10%.
Данные, полученные
при анализировании сырья, сбора сентябрь 2012 г. (таблица 2).
Таблица 2. Показатели доброкачественности
исследуемого вида растения
|
Виды
показателей
|
Содержание
в сырье, %
|
|
Экстрактивные
вещества
|
14,73
|
|
Влажность
|
7,56
|
|
Общая
зола
|
4,91
|
|
Зола,
нерастворимая в 10 % HCl
|
0,94
|
Как видно из данных,
представленных в таблице 2, все установленные показатели свидетельствуют о
хорошем качестве сырья, так как они соответствуют фармакопейным образцам.
Следовательно, исследуемое сырье можно использовать для выделения субстанции
[45].
Микробиологическая чистота сырья проведен
специалистами РГКП "Научно-практический центр санитарно-эпидемиологической
экспертизы и мониторинга"; результаты прилагаются в приложении Д. Препарат
должен выдерживать требования к микробиологическим показателям лекарственных
средств в соответствии с ГФ РК I,
т. 1, 5.1.4, категория 4 А. В 1 г препарата допускается наличие не более 107
бактерий и 105 дрожжевых и плесневых грибов (суммарно) и не более
100 Escherichia coli (ГФ РК I,
Т. 1, 2.6.12, 2.6.13.) (приложение Г).
Радиационный контроль сырья проведен
специалистами РГКП "Научно-практический центр санитарно-эпидемиологической
экспертизы и мониторинга"; результаты прилагаются в приложении Д.
Количественное содержание тяжелых металлов
установлен специалистами РГКП "Научно-практический центр
санитарно-эпидемиологической экспертизы и мониторинга"; результаты
прилагаются в приложении Е.
Исследование влияния субстанции, выделенной из
травы кермека Гмелина (Limonium gmelinii),
на морфофункциональные особенности печени и почек мышей в условиях воздействия
четыреххлористого углерода было проведено на кафедре общей гигиены и экологии
Казахского Национального медицинского университета им. С.Д. Асфендиярова.
В опытах было использовано 50 мышей-самцов весом
28-30 г. Животные были разделены на контрольные и опытные группы (по 5 животных
в каждой): 1 - интактные животные; животные опытных групп (2-8) получали
внутрибрижелудочно: 2 - раствор cубстанции
(фитопрепарат) в дозе 10 мг/кг; 3 - раствор субстанции в дозе 100 мг/кг; 4 -
раствор субстанции в дозе 200 мг/кг; 5 - раствор субстанции в дозе 500 мг/кг; 6
- раствор CCl4 50% 1 мл/кг; 7 - CCl4 50% 1 мл/кг и
субстанцию в дозе 10 мг/кг; 8 - CCl4 50% 1мл/кг и субстанцию в дозе
100 мг/кг; 9 - CCl4 50% 1мл/кг и субстанцию в дозе 200 мг/кг; 10 -
CCl4 50% 1мл/кг и субстанцию в дозе 500 мг/кг. Фитопрепарат вводили
за 1 час до введения CCl4 в течение 6 дней. Морфофункциональные
исследования проводили по общепринятым методикам.
При проведении эксперимента были сделаны
следующие выводы:
у мышей, получавших только фитопрепарат, не
отмечались изменения функции и структуры исследуемых органов;
у мышей, интоксицированных CCl4
развивались признаки токсического поражения организма. Отмечалось увеличение
относительной массы печени и почек, возрастание уровня креатинина, АлТ, СОЭ,
лимфоцитов, моноцитов и незрелых клеточных форм в крови. Микроскопическое исследование
показало, что в печени отмечаются явления макровезикулярного стеатоза,
некробиотических изменений гепатоцитов, пролиферация клеток Купфера; в почках
развиваются атрофия канальцев, многоклеточность клубочков, интерстициальный
отек;
фитопрепарат предупреждал развитие выраженных
морфо-функциональных изменений в печени и почках у экспериментальных животных,
однако полностью не предотвращал наблюдаемые изменения, что вероятно связано с
выраженным гепато- и нефотоксическим действием последнего.
Сравнительные исследования антиоксидантной
активности надземной части кермека Гмелина и его корней, проведенные в
Институте физиологии человека и животных МОН РК, показало их соизмеримость
(рисунок 12).
Рисунок 12 - Влияние субстанции из корней и
надземной части кермека Гмелина на уровень ПОЛ в микросомах печени крыс
Кроме того, антиоксидантная активность
субстанций, выделенных из травы и корней кермека Гмелина, устанавливалась также
в Научно-исследовательском институте химии университета г. Карачи (Пакистан). В
качестве стандарта был использован пропилгаллат. Исследованные субстанции
проявляют более высокую антиоксидантную активность, чем пропилгаллат, который
был использован в качестве стандарта.
Выраженная антиоксидантная активность
субстанции, выделенной из травы кермека Гмелина, и ее соизмеримость с таковой
для корней кермека Гмелина позволяет ввести ее в медицину и судить о
перспективности использования травы для создания не ее основе новых
лекарственных средств растительного происхождения. Введение травы L.
gmelinii
в
практическую медицину позволит использовать промышленно значимое растение
кермек в целом, что очень важно для увеличения их сырьевой базы и ассортимента
лекарственных средств [46, 52].
2.2 Технологическая схема выделения субстанции
из надземной части растений вида Limonium
gmelinii и её наработка
При
производстве растительных субстанций, выделяемых в виде сухих экстрактов из
сырья, определяющими
факторами являются продолжительность экстракций и их число, обеспечивающие
полноту извлечения БАВ из сырья, а в равновесных способах равновесие в системе
твердое тело-жидкость. Продолжительность экстракций зависит от ряда факторов,
основными из которых являются размер частиц сырья, температура, природа и объём
используемого растворителя.
Размер частиц растительного сырья не должен
превышать 3,0 мм. При установлении оптимальных условий выделения субстанций из
надземной части L. gmelinii
использовалось сырье именно такой измельченности. При экстракции вначале
происходит смачивание и набухание сырья, затем извлечение экстрагируемых
веществ. Настаивание сырья с растворителем проводится до уравнивания количества
веществ, переходящих из сырья в экстрагент и из полученного извлечения в сырьё
в единицу времени, т.е. до достижения динамического равновесия между ними.
Наиболее приемлемыми растворителем,
обеспечивающим максимальное извлечение БАВ из растительного сырья, является 50%
спирт, именно поэтому этот растворитель использовался в качестве экстрагента
для получения сухой субстанции. Экстрагент 50% спирт менее токсичен для
организма, чем остальные растворители, а также не требует при стандартизации
определения остаточных количеств растворителя в субстанции, получаемого в виде
сухого экстракта.
Известно, что движущей силой массопереноса
является разность концентраций веществ внутри и вне растительной клетки. Вместе
с тем, увеличение количества экстрагента приведет к уменьшению концентрации БАВ
в экстракте, поэтому оно не может быть бесконечным. Очевидно, что при
неизменном количестве растительного материала, чем больше экстрагента будет
участвовать в экстракционном процессе, тем больше вещества будет растворено и
вынесено за пределы клетки в межклеточное пространство. На основании этого
оптимальным соотношением между сырьем и используемым экстрагентом является 1:8,
при использовании выбранного экстрагента наблюдается наибольшее извлечение
экстрактивных веществ из исследуемого объекта.
На первой стадии экстрагирование из
обезвоженного сырья с клеточной структурой начинается с проникновения
экстрагента в материал, смачивания веществ, находящихся внутри клетки,
растворения и десорбции их. Далее следует молекулярный перенос растворенных
веществ вначале в экстрагент, находящийся в межклеточном пространстве, затем в
экстрагент, заполняющий микро- и макротрещины, и, наконец, на поверхность
кусочков материала. В связи с этим было выбрано оптимальное время экстракции,
необходимое для максимального извлечения субстанции из сырья и оно являлось 72
часа.
При проведении экстракции сырья путем его
настаивания без использования факторов, интенсифицирующих этот процесс, ее
скорость обеспечивается только скоростью молекулярной диффузии внутри кусочков
растительного материала. Диффузионный поток возникает при этом за счет
кинетической энергии молекул диффундируемого вещества. Кроме того, большой слой
неподвижного экстрагента может тормозить процесс массопереноса в жидкой фазе.
Исходя из этого, был выбран температурный режим - 20-240С (комнатная
температура).
В силу своей поглощающей
способности, сырье удерживает часть экстрагента внутри клеток, на своей
поверхности и между кусочками сырья. Концентрация экстрагируемых веществ в нем
будет равна концентрации их в слитом экстракте, т.е. не все извлеченные
вещества из растения перейдут в соответствующий экстракт. В связи с этим экстракция
проводилась дважды, так как именно двухкратность способствует максимальному
извлечению комплекса БАВ из сырья [43-44, 47].
Таким образом, оптимальными
условиями извлечения субстанции в виде сухого экстракта из надземной части L.
gmelinii являются:
72-часовая двухкратная экстракция восьмикратным избытком 50% этилового спирта
при температуре 20-25°С. Полученные первый и второй
экстракты объединяли, концентрировали до сухого состояния в мягких условиях
(водяная баня, температура 30-45°С, вакуум). Для полученной в вышеуказанных
условиях субстанции проводили определение в ней качественного и количественного
содержания основных групп БАВ, их разделение на компоненты, идентификация
последних с целью установления их химического строения для стандартизации
субстанции.
Технологическая схема получения субстанции из
надземной части L.
gmelinii
представлена на рисунке 13.
За выделенное время была получена субстанция из
надземной части растений вида Limonium
gmelinii в количестве
приблизительно 980 г (таблица 3).
Рисунок 13. Технологическая
схема получения субстанции из надземной части кермека Гмелина
Таблица 3 . Получение субстанции(сухой) из
надземной части Кермека Гмелина (сырье - сентябрь 2012)
|
№
|
Дата
|
Масса
сырья, г
|
Объем
экстрагента, мл
(1
и 2 экстракции)
|
Объем
экстракта, мл
|
Масса
субстанции, г
|
|
1
|
04.01.13
|
200.304
|
1600
|
1240
|
|
|
07.01.13
|
|
1240
|
1135
|
27,000
|
|
2
|
14.01.13
|
400,038
|
3200
|
2422
|
|
|
17.01.13
|
|
2422
|
2215
|
89,240
|
|
3
|
02.02.13
|
800,026
|
6400
|
4320
|
|
|
05.02.13
|
|
4320
|
4290
|
132,422
|
|
4
|
14.02.13
|
510,91
|
4087,28
|
3040
|
|
|
17.02.13
|
|
3040
|
2670
|
95,134
|
|
5
|
04.03.13
|
1030,03
|
8060
|
5570
|
|
|
07.03.13
|
|
5570
|
5120
|
159,259
|
|
6
|
20.03.13
|
633,32
|
5067
|
3880
|
|
|
24.03.13
|
|
3880
|
3100
|
101,49
|
|
7
|
25.03.13
|
1000,06
|
8000,12
|
5680
|
|
|
28.03.13
|
|
5680
|
5220
|
145,196
|
|
8
|
29.03.13
|
520,60
|
4164
|
3620
|
|
|
01.04.13
|
|
3620
|
3490
|
102,358
|
|
9
|
04.04.13
|
1000,0
|
8000,0
|
5620
|
|
|
07.04.13
|
|
5620
|
5180
|
143,26
|
|
10
|
Итого
|
6095,288
|
83970,4
|
67812
|
989,359
|
2.3 Качественный компонентный
состав выделенной субстанции
Качественным анализом с использованием
специфических проявителей на основные группы природных соединений и
хроматографическим сравнением на бумаге с достоверными метчиками была
исследована надземная часть L.
gmelinii, в которой были
обнаружены: фенолы, фенолокислоты, аминокислоты, углеводы, флавоноиды и
дубильные и другие вещества (таблица 4).
Наиболее распространенной фенолокислотой в
растениях рода Limonium является галловая кислота. Кроме галловой кислоты, в
надземной части L. gmelinii
содержатся o-кумаровая и бензойная
кислоты.
Из углеводов в траве идентифицированы сахароза,
глюкоза, полисахариды, в субстанции найдена также сахароза [48].
Таблица 4. Качественное исследование некоторых
БАВ надземной части L. gmelinii
и субстанции, выделенной на ее основе
|
БАВ
|
Проявители
|
Трава
|
Субстанция
|
|
Дубильные
вещества
|
ЖАК
|
Темно-серо-зеленый
|
Черно-зелененый
|
|
Fе
Cl3
|
Темно-серо-зеленый
|
Темно-серо-зеленый
|
|
Углеводы
|
о-толуидин
|
Бежево-кремовый.
|
Насыщенный
бежево-кремовый
|
|
Аминокислоты
|
Нингидрин
|
Розовый
|
Темно
розовый
|
|
Флавоноиды
|
NH3
|
Светло-желтый
|
Насыщенный
желтый
|
|
AlCl3
|
Желтый
|
Темно-желтый
|
|
Алкалоиды
|
Пикриновая кислота
|
Желтый
|
Темно-желтый
|
|
Р-в
Драгендорфа
|
Кирпичный
|
Светло-
кирпичный
|
|
Каротиноиды
|
КMnO4
|
Обесцвечивание
|
Обесцвечивание
|
|
Флавоны
|
Цианидиновая
проба
|
Светло-оранжевый
|
Оранжевый
|
Анализ содержания аминокислот методом бумажной
хроматографии показал наличие в траве следующих аминокислот: аланин, лейцин,
серин, пролин, аспарагиновая кислота, глутаминовая кислота и аргинин.
Все известные в природе 20
α-аминокислот
есть в каждом растении, но в зависимости от вида и рода растения, места и
условий его произрастания, а также других факторов, содержание в них
аминокислот разное. Аминокислоты, присутствующие в исследуемых объектах в
значительном количестве, можно идентифицировать с помощью БХ или ТСХ; минорное
же их количество можно определить с помощью аминокислотного анализатора.
Содержание углеводов в L.
gmelinii минимально,
идентифицированы только глюкоза и сахароза. Это связано, по-видимому, с тем,
что растения рода Limonium
Mill растут на
засушливых, засоленных почвах.
2.4 Количественное содержание
основных групп БАВ в надземной части растений Limonium
gmelinii и в субстанции,
полученной на ее основе
Количественная оценка основных групп БАВ
проведена по известным методикам [11-12, 28-30]. Данные приведены в таблице 5.
Таблица 5. Количественное содержание основных
классов БАВ в надземной части L.
gmelinii
и
субстанции полученной на ее основе
|
Основные
группы БАВ
|
Содержание БАВ в растении, %
|
Содержание
БАВ в
субстанции, %
|
|
Дубильные
вещества
- перманганатометрия
- комплексонометрия
|
11,70
11,53
|
27,81
24,05
|
|
Полисахариды
|
7,27
|
7,41
|
|
Флавоноиды
|
7,6
|
9,4
|
|
Алкалоиды
|
0,82
|
0,98
|
|
Кумарины
|
0,19
|
0,15
|
|
Полифенолы
|
|
24,15
|
|
Кумарины
|
|
2,01
|
|
Каротиноиды
|
0,26
|
2,74
|
|
Сапонины
|
2,3
|
2,27
|
Представленные данные в таблице 5
свидетельствуют о высоком содержании дубильных веществ в исследуемой надземной
части растения и в субстанции, выделенной на его основе.
Примечательно, что в субстанции увеличивается содержание
почти всех основных групп БАВ, что показывает
достаточное извлечение из сырья.
Надземная часть кермека Гмелина
отличается большим количеством аминокислот, причем в наибольшем количестве
содержатся глутаминовая кислота (применяется для лечения
заболеваний центральной нервной системы), аспарагиновая кислота (занимает
центральное место в поддержании азотистого баланса), аланин
(источник энергии для головного мозга и центральной нервной системы;
укрепляет иммунную систему), пролин (является
источником энергии для мышц) и незаменимые аминокислоты (не синтезируются в
организме и должны поступать извне). Данные по количественному содержанию
аминокислот в растении и субстанции, полученной из нее, представлены в таблице
6.
Таблица 6. Качественный состав и количественное
содержание аминокислот (мг/100 г) в L.
gmelinii
и
в полученной субстанции
|
Название
кислоты
|
Содержание
аминокислот в растении
|
Содержание
аминокислот в субстанции
|
|
Аланин
|
1100
|
869
|
|
Глицин
|
320
|
302
|
|
Валин*
|
350
|
309
|
|
Лейцин*
|
525
|
495
|
|
Изолейцин*
|
189
|
175
|
|
Треонин*
|
310
|
288
|
|
Серин
|
520
|
486
|
|
Пролин
|
750
|
709
|
|
Метионин*
|
120
|
102
|
|
Цистеин
|
92
|
990
|
|
Аспарагиновая
кислота
|
980
|
83
|
|
Оксипролин
|
24
|
15
|
|
Фенилаланин*
|
363
|
304
|
|
Глутаминовая
кислота
|
2110
|
2126
|
|
Орнитин
|
30
|
12
|
|
Тирозин
|
350
|
309
|
|
Гистидин
|
142
|
130
|
|
Аргинин
|
420
|
460
|
|
Лизин*
|
230
|
112
|
|
Триптофан*
|
190
|
171
|
|
Σ всех аминокислот
|
9115
|
8447
|
|
Σ незаменимых аминокислот
|
2277
|
1956
|
|
Содержание
незаменимых аминокислот от их общей Σ, %
|
24,98
|
23,16
|
|
*
- незаменимые аминокислоты
|
|
Как видно из данных,
приведенных в таблице 6, субстанция, подобно исходному сырью, отличается высоким
содержанием известных 20 α-аминокислот.
Наибольшее количество незаменимых аминокислот во всех
субстанциях приходится на лейцин, примерно в равных количествах содержатся
валин и фенилаланин, затем треонин, изолейцин, лизин, триптофан и метионин.
Таким образом,
значительное количество незаменимых аминокислот в составе исследуемых
субстанций подчеркивает их ценность в качестве
лекарственных объектов, что особенно важно при регенерировании нарушенных
функций организма.
Основными липофильными компонентами большинства
растений являются липиды (неполярные и полярные), жирные кислоты, углеводороды,
стерины и их гликозиды, жирорастворимые витамины и пигменты.
Данные по жирнокислотному составу
надземной части L. gmelinii
представлены в таблице 7.
Таблица 7. Жирнокислотный состав
надземной части растения L.gmelinii и субстанции полученной на ее основе
|
Название
кислоты
|
Содержание
жирных кислот в растении
|
Содержание
жирных кислот в субстанции
|
|
Лауриновая
|
1,25
|
1.48
|
|
Миристиновая
|
1,50
|
2.44
|
|
Пальмитиновая
|
5,18
|
6.18
|
|
Пальмитолеиновая
|
1,62
|
2.18
|
|
Стеариновая
|
1,25
|
4.53
|
|
Олеиновая
|
15.74
|
20.89
|
|
Линолевая
|
58,09
|
52.22
|
|
Линоленовая
|
0,75
|
0.52
|
|
Эйкозановая
|
0,75
|
1.04
|
|
Эйкозеновая
|
1,50
|
2.09
|
|
Генэйкозановая
|
2,25
|
1.22
|
|
Эйкозадиеновая
|
2,62
|
2.61
|
|
Бегеновая
|
7,50
|
2.60
|
|
Σ
кислот,
%
насыщенных ненасыщенных моноеновых полиеновых
|
19.68 80.32
18,86 61,46
|
19.49
80.51 25.16
55.35
|
Жирнокислотный состав липидов субстанции
отличается высоким содержанием линолевой кислоты (С18:2),
относящейся к полиненасыщенным (эссенциальным) жирным кислотам. В субстанциих
наблюдается преобладание (в 4-5 раз) ненасыщенных жирных кислот по сравнению с
насыщенными.
На основании проведенных химических исследований
вполне определенно можно предположить, что наличие дубильных веществ,
аминокислот, флавоноидов - известных биологически активных групп веществ, в
сочетании с микроколичествами различных элементов, оказывающих на организм
человека также заметный эффект, - в значительной степени определяет общую
биологическую активность полученной субстанции.
.5
Физико-химико-технологические характеристики субстанции
Для выделенной субстанции из
надземной части растений вида L.gmelinii были изучены и определены ее физико-химико-технологические
свойства, которые необходимы для эксперимента при подборе режима таблетирования
(таблица 8).
Таблица 8 - Физико-химико-технологические
особенности субстанции надземной части L.gmelinii
|
Контрольные
показатели
|
Результаты
|
|
Физико-химические
параметры
|
|
Цвет
|
темно-коричневый
с темно-красным оттенком
|
|
Вкус
|
горьковатый,
вяжущий
|
|
Запах
|
сладковатый
специфический
|
|
Форма
частиц
|
анизодиаметрическая
кристаллическая структура в виде пластинок, поверхность сложная,
разнообразная
|
|
Поляризуемость
|
к
поляризации склонны лишь наимельчайшие частицы порошка
|
|
Растворимость
|
Наименование
растворителя
|
Температурные
характеристики, °С
|
|
|
25
|
40-50
|
100
|
120
|
|
Вода
очищенная
|
УР
|
Р
|
ЛР
|
ЛР
|
|
Спирт
30%
|
Р
|
ЛР
|
ЛР
|
ЛР
|
|
Спирт
50%
|
Р
|
ЛР
|
ЛР
|
ЛР
|
|
Хлороформ
|
НР
|
НР
|
НР
|
НР
|
|
Бензол
|
НР
|
НР
|
НР
|
НР
|
|
Ацетон
|
ОМР
|
ОМР
|
ОМР
|
ОМР
|
|
Примечание:
ЛР - легко растворим, Р - растворим, УР - умеренно растворим, ОМР - очень
мало растворим, НР - нерастворим.
|
|
Смачиваемость
|
Частичная
|
|
Гигроскопичность
|
Гигроскопичен
|
|
Технологические
параметры
|
|
Фракционный
состав
|
не
классифицируется
|
|
Насыпная
плотность, г/см3
|
|
|
-
До
усадки
|
0,8336
|
|
-
После
усадки
|
0,1004
|
|
Сыпучесть,
г/с
|
|
|
-
Колонка
25 мм
|
11,0-23,3
|
|
-
Колонка
15 мм
|
8,6-10,5
|
|
-
Колонка
10 мм
|
6,5-8,3
|
|
Влажность,
%
|
0,62
± 0,02
|
|
|
|
|
|
|
|
2.6 Технология производства таблеток на основе
субстанции надземной части Limonium gmelinii. Показатели качества таблеток,
полученных на основе субстанции надземной части Limonium gmelinii
Для получения таблеток были
использованы следующие компоненты: вспомогательные вещества и действующее
вещество (таблица 9). Данные компоненты являются наиболее выгодными с
экономической стороны и обладают хорошей совместимостью с субстанцией надземной
части растений вида Limonium gmelinii.
Таблица 9. Компоненты лекарственного препарата
|
№
п/п
|
Наименование
компонента и его описание
|
Структурная
формула, химическая формула, молекулярная масса
|
|
1
|
Субстанция,
выделенная в виде сухого экстракта из надземной части растений L. gmelnii.
|
Представляет
собой комплекс важнейших природных биологически активных соединений,
действующими веществами которого являются полифенолы
|
|
2
|
Бетадекс
- белый кристаллический порошок, нетоксичный, практически не имеющий вкуса.
При нагревании выше 50-60 °C комплексы обычно распадаются полностью и обычно
восстанавливают свою структуру при охлаждении. В процессе образования
комплексов меняются многие исходные свойства включаемых соединений.
Нерастворимые в воде вещества, приобретают большую растворимость, становятся
стабильными в процессах окисления и гидролиза, меняют вкус, цвет и запах.
|
Mr = 1135,0
г/моль
|
|
3
|
Целлюлоза
микрокристаллическая - энтеросорбент, сухое связывающее вещество, применяемое
в качестве наполнителя для получения определенной массы таблетки, для
регулирования технологических показателей (истираемость, распадаемость и
т.д.).
|
(C6H10O5)n.
|
|
4
|
Кроскармеллоза
натрия - порошок белого цвета, без запаха, является дезинтегрантом и
способствует распаду таблеток.
|
|
|
5
|
Аспартам
- подсластитель, заменитель сахара, не имеет запаха, хорошо растворим в воде.
|
SiO2 , М.м.
60,1
|
|
6
|
Глюкоза
- бесцветное кристаллическое вещество сладкого вкуса, растворимое в воде.
|
C6H1206
М.м.
180,2
|
|
7
|
Кремния
диоксид коллоидный безводный (аэросил) - скользящее вещество (адсорбируясь на
поверхности частиц, устраняют или уменьшают их шероховатость, повышая
сыпучесть), обеспечивающее оптимальную сыпучесть порошков, необходимую для
современного скоростного таблетирования.
|
SiO2 О=Si=О Мr =60,8 г/моль
|
|
8
|
Магния
стеарат - магниевая соль стеариновой кислоты или смесь солей стеариновой и
синтетических жирных кислот. Тонко измельченный белый порошок, слегка мыльный
на ощупь. Используется для придания смазывающего (облегчает выталкивание
таблеток из матрицы, снижает трение на контактные участки, облегчает
деформацию частиц за счет проникновения в микрощели) эффекта в количестве 1
%.
|
Mg(C18H35O2)2
Mr =591,3 г/моль
|
Для каждого производственного процесса
изготовления лекарственной формы в виде таблеток, необходимо знать полные
технологические характеристики как действующих, так и вспомогательных веществ,
так как от этого зависит режим таблетирования, а в итоге и показатели качества
таблеток (таблицы 10-11).
Таблица 10. Технологические характеристики
|
№
п/п
|
Наименование
компонента
|
Технологические
характеристики
|
|
|
плотность,
г/см3
|
сыпучесть,
г/с
|
|
|
насыпная
|
объемная
плотность
|
|
|
|
до
усадки
|
после
усадки
|
|
С10
|
С15
|
С25
|
|
1
|
Сухая
субстанция над.части Кермека Гмелина
|
0,8336
|
0,1004
|
0,830
|
11,0-23,3
|
8,6-10,5
|
6,5-8,3
|
|
2
|
Бетадекс
|
0,450
|
0,590
|
0,600
|
21,3
|
12,0
|
5,5
|
|
3
|
Старлак
|
0,57
|
0,68
|
-
|
-
|
-
|
-
|
|
4
|
Целлюлоза
микрокристаллическая
|
0,295
|
0,398
|
0,300
|
27,3
|
15,4
|
9,0
|
|
5
|
Кроскармеллоза
натрия
|
0,320
|
0,430
|
0,400
|
-
|
26,7
|
15,7
|
|
6
|
Аспартам
|
0,455
|
0,570
|
0,500
|
-
|
24,3
|
9,8
|
|
7
|
Глюкоза
|
0,350
|
0,450
|
0,600
|
-
|
25,4
|
13,6
|
|
8
|
Кремния
диоксид коллоидный безводный (аэросил)
|
0,350
|
0,455
|
0,650
|
-
|
-
|
-
|
|
9
|
Магния
стеарат
|
0,205
|
0,293
|
0,240
|
-
|
19,6
|
5,8-6,32
|
Таблица 11. Показатели качества вспомогательных
веществ
|
Наименование
|
Показатель
|
Требования
|
|
Сухая
субстанция над.части Кермека Гмелина
|
Идентификация
|
Должна
соответствовать требованиям НД [10]
|
|
Потери
в массе при высушивании, %
|
Не
более 0,5
|
|
Количественное
содержание, %
|
99,0-101,0
|
|
Бетадекс
|
Идентификация
|
Должна
соответствовать требованиям НД [20]
|
|
Потери
в массе при высушивании, %
|
Не
более 16
|
|
Количественное
содержание, %
|
98,0
- 101,0
|
|
Старлак
|
Идентификация
|
Должна
соответствовать требованиям НД [20]
|
|
Потери
в массе при высушивании, %
|
Не
более 3
|
|
Количественное
содержание, %
|
-
|
|
Целлюлоза
микрокристаллическая
|
Идентификация
|
Должна
соответствовать требованиям НД [20]
|
|
Потери
в массе при высушивании, %
|
Не
более 7
|
|
Количественное
содержание, %
|
-
|
|
Кроскармеллоза
натрия
|
Идентификация
|
Должна
соответствовать требованиям НД [20]
|
|
Потери
в массе при высушивании, %
|
Не
более 10
|
|
Количественное
содержание, %
|
-
|
|
Аспартам
|
Идентификация
|
Должна
соответствовать требованиям НД [20]
|
|
Потери
в массе при высушивании, %
|
Не
более 4,5
|
|
Количественное
содержание, %
|
98,0-102,0
|
|
Глюкоза
|
Идентификация
|
Должна
соответствовать требованиям НД [20]
|
|
Потери
в массе при высушивании, %
|
-
|
|
Количественное
содержание, %
|
-
|
|
Кремния
диоксид коллоидный безводный (аэросил)
|
Идентификация
|
Должна
соответствовать требованиям НД [20]
|
|
Потери
в массе при высушивании, %
|
Не
более 5
|
|
Количественное
содержание, %
|
99,0
- 100,5
|
|
Магния
стеарат
|
Идентификация
|
Должна
соответствовать требованиям НД [20]
|
|
Потери
в массе при высушивании, %
|
Не
более 7
|
|
Количественное
содержание, %
|
Не
менее 90
|
Образование комплекса включения субстанции
надземной части Limonium gmelinii с β-циклодекстрином
было изучено по показателям абсорбции воды чистой субстанции и образованного
комплекса включения в пределах 210-400 нм, при образовании комплекса свойство
гигроскопичности субстанции значительно снижается (приложение Ж), что
способствует лучшему таблетированию. Влажность КВ составила 4,5%, что является
высоким показателем для процесса таблетирования, при высушивании влажность
снизилась до 0,54%, что приемлемо для таблетирования прямым прессованием.
Рецептура подбиралась из совместимости вспомогательных
веществ с полученным комплексом включения субстанции надземной части Limonium
gmelinii с β-циклодекстрином.
Для пересчета состава на серию была использована
следующая формула:
Масса = (дозировкаЧмасса замеса)/масса таблетки,
(2)
Для учета влаги пересчитывали по формуле:
Масса= (масса сухого
компонентаЧ100)/(100-содержание влаги), (3)
Далее представлен состав на партию
"МКР-1" (таблица 12).
Таблица 12. Состав таблеток на
партию "МКР-1", надземная часть кермека Гмелина, 100мг
|
Компоненты
|
НД
|
Состав
на единицу лекарственной формы, мг
|
Состав
на серию 200 г в пересчете на 100 % сухое вещество
|
Состав
на серию, 200 г( с учетом влаги и к/с**)
|
|
Сухая
субстанция над.части Кермека Гмелина (влажность 1%)
|
ГФ
РК*
|
100,000
|
100,000
|
101,000
|
|
Бета-циклодекстрин
(бетадекс) (влажность 14,3%)
|
ЕФ*
|
50,000
|
50,000
|
58,34
|
|
Целлюлоза
микрокристаллическая
|
ЕФ*
|
10,000
|
10,000
|
10,000
|
|
Кроскармеллоза натрия
|
ЕФ*
|
14,000
|
14,000
|
14,000
|
|
Глюкоза
|
ЕФ*
|
20,000
|
20,000
|
20,000
|
|
Аспартам
|
ГФРК
I
т.2
|
2,000
|
2,000
|
2,000
|
ГФРК
I
т.2, ЕФ*
|
2,000
|
2,000
|
2,000
|
|
Кремния
диокид коллоидный безводный (аэросил)
|
ГФРК
I
т.2, ЕФ*
|
2,000
|
2,000
|
2,000
|
|
Масса
таблетки, мг
|
200,000
|
|
*-действующее издание
**- количественное содержание
В процессе таблетирования наблюдалось налипание
таблетируемой массы на пуансоны и матрицу таблетпресса, что осложняло процесс
таблетирования. Показатели качества получаемых таблеток соответствовали
стандарту, но из-за налипания этот состав таблетки не подходит для
промышленного производства таблеток, в связи с этим были внесены изменения в
рецептуру, а именно: было увеличено содержание наполнителя (МКЦ увеличено
вдвое, и добавлен старлак 30 г), также увеличено содержание дезинтегранта
(кроскармеллоза натрия) на одну четверть, т.е. 6 г., а остальные компоненты
остались неизмененными. Состав на партию "МКР-2"представлен в таблице
13.
При таблетировании партии "МКР-2"
налипание повторилось, но в меньшей степени. По данной причине было решено
провести влажную грануляцию комплекса включения субстанции надземной части Limonium
gmelinii с β-циклодекстрином 10%
раствором поливинилповидона в абсолютном изопропиловом спирте для получения
азеотропа (спирт-вода), который испарялся привысушивании. Сушка проводилась при
температуре 40-450С в сушильном шкафу с обдувом. После чего была
проведена грануляция через сито 1,25 мм, далее были добавлены вспомогательные
вещества, просеянные через сито 100 мкм. После этого приступили к
таблетированию. Состав на партию "МКР-3" представлен в таблице 14.
Таблица 13. Состав таблеток на партию "МКР-2",
надземная часть кермека Гмелина, 100мг
|
Компоненты
|
НД
|
Состав
на единицу лекарственной формы, мг
|
Состав
на серию 200 г в пересчете на 100 % сухое вещество
|
Состав
на серию, 200 г( с учетом влаги и к/с**)
|
|
Сухая
субстанция над.части Кермека Гмелина (влажность 1%)
|
ГФ
РК*
|
100,000
|
86,950
|
87,800
|
|
Бета-циклодекстрин
(бетадекс) (влажность 14,3%)
|
ЕФ*
|
50,000
|
43,470
|
50,720
|
|
Старлак
|
www.meggle-pharma.de
|
30,000
|
24,000
|
24,000
|
|
Целлюлоза
микрокристаллическая
|
ЕФ*
|
20,000
|
16,000
|
16,000
|
|
Кроскармеллоза
натрия
|
ЕФ
|
20,000
|
16,000
|
16,000
|
|
Аспартам
|
ГФРК
I
т.2
|
5,000
|
4,000
|
4,000
|
|
Магния
стеарат
|
ГФРК
I
т.2, ЕФ*
|
2,500
|
2,000
|
2,000
|
|
Кремния
диокид коллоидный безводный (аэросил)
|
ГФРК
I
т.2, ЕФ*
|
2,500
|
2,000
|
2,000
|
|
Масса
таблетки, мг
|
230,000
|
|
*-действующее издание
**- количественное содержание
Таблица 14. Состав таблеток на
партию "МКР-3", надземная часть кермека Гмелина, 100мг
|
Компоненты
|
НД
|
Состав
на единицу лекарственной формы, мг
|
Состав
на серию 200 г в пересчете на 100 % сухое вещество
|
Состав
на серию, 200 г( с учетом влаги и к/с**)
|
|
Сухая
субстанция над.части Кермека Гмелина (влажность 1%)
|
ГФ
РК*
|
100,000
|
76,000
|
77,000
|
|
Бета-циклодекстрин
(бетадекс) (влажность 14,3%)
|
ЕФ*
|
52,500
|
39,900
|
46,550
|
|
Старлак
|
www.meggle-pharma.de
|
30,000
|
22,800
|
22,800
|
|
Целлюлоза
микрокристаллическая
|
ЕФ*
|
20,000
|
15,200
|
15,200
|
|
Кроскармеллоза натрия
|
ЕФ
|
20,000
|
15,200
|
15,200
|
|
Аспартам
|
ГФРК
I
т.2
|
5,000
|
3,800
|
3,800
|
|
Магния
стеарат
|
ГФРК
I
т.2, ЕФ*
|
2,500
|
1,900
|
1,900
|
|
Кремния
диокид коллоидный безводный (аэросил)
|
ГФРК
I
т.2, ЕФ*
|
2,500
|
1,900
|
1,900
|
|
Масса
таблетки, мг
|
260,000
|
|
*-действующее издание
**- количественное содержание
В процессе таблетирования, получаемые таблетки
соответствоали нормам и требованиям предъявляемыми ЕФ и ГФ РК (таблица 15) [10,
20]. Но в связи с налипанием на пуансоны и матрицу таблетпресса разработанные
составы таблеток не подлежать промышленному производству, по данной причине
разработка и корректировка состава продолжается.
Таблица 15. Показатели качества таблеток.
|
Испытания
|
Проект
ВАНД РК 42-
|
|
Описание
|
Таблетки
коричнево-красного цвета, двояковыпуклой формы
|
|
Диаметр
таблетки, мм
|
8
|
|
Средняя
масса, мг
|
185
- 200.0 -215
|
|
Отклонения
т массы средней, %
|
У
18 из 20 допускается ±7.5 %, у 2 из 20 допускается ± 15%
|
|
Истираемость,
%
|
Не
более 1
|
|
Распадаемость,
мин
|
Не
более 15
|
|
Твердость,
кПа
|
Не
менее 3,5
|
|
Растворение
за 45 минут, %
|
Не
менее 75
|
|
Количественное
содержание, мг/таб
|
95,000-100,000-105,000
|
3. Экспериментальная часть
3.1 Методы исследования. Реагенты и
растворители. Вспомогательные вещества в таблетках
Объектом исследований служила собранная
в сентябре 2012 года надземная часть растения L.
gmelinii рода Limonium
Mill, произрастающего на
территории Энбекшиказахского района Алмаатинской области.
Заготовленное сырье сушили, измельчали до
размера частиц не более 3,0 мм и использовали для исследования его
доброкачественности, установления компонентного состава, количественной оценки
различных групп БАВ, определения экстрактивных веществ, выделения на его основе
субстанции в виде сухого экстракта.
Для качественного функционального анализа исследуемых
объектов применяли следующие реактивы:
1) Pb(Ac)2
(2%)
2) KMnO4
) NaNO3 (10%)
в H2SO4
(конц.)
) NaNO2 (1%) в H2SO4
(конц.)
4)
Cu(OH)2 (CuSO4 5% + NaOH 10%)
5) NH3
6) Фосфорно-молибденовая к-та
) Реактив Драгендрофа
) Пикриновая кислота
) NaOH (3%)
) Мочевина
) ЖАК
) ДЗПНА
13) AlCl3
) р-р I2
15) NH3+AlCl3
16) о-толуидин
) Ванилин 1% в НCl
) FeCl3
19) Нингидрин
Для качественного определения
состава растительных экстрактов и различных их фракций использовали следующие
методы:
одномерного и двумерного
восходящего хроматографирования на бумаге марки FN-3
(Германия) в системе растворителя н-бутиловый спирт-уксусная кислота-вода (БУВ)
(40:12,5:29);
При проявлении
хроматограмм на наличие различных классов БАВ использованы УФ-свет и
специфические реагенты:
пары аммиака,
1% раствор ванилина
в концентрированной НСl,
1% растворы хлорида
алюминия, железо-аммонийных квасцов (ЖАК),
о-толуидиновый и
нингидриновый проявители,
диазотированный n-нитроанилин (ДзПНА).
Количественное
определение некоторых БАВ проведено с использованием фотоколориметра марки
ЛМФ-72 (СССР).
УФ-спектры соединений
записывали в абсолютном этаноле и с диагностическими добавками на приборах
СФ-56 ("Ломо" Санкт-Петербург) и СФ-26 ("Ломо"
Санкт-Петербург).
Вспомогательные вещества в таблетках
Циклогептакис- (l-"4)-
(α-D-глюкопиранозил)
(цикломальтогептаоза или β-циклодекстрин)
или Бетадекс (Betadex, Betadexum),
[C6H10O5]7 , М.м. 1135
Содержание: от 98,0 до 101,0% (в
пересчете на сухое вещество). Белый или почти белый аморфный или
кристаллический порошок, умеренно растворим в воде, легко растворим в
пропиленгликоле, практически нерастворим в этаноле безводном и метиленхлориде
[12].
Целлюлоза микрокристаллическая (cellulose
microcrystalli, сellulosum
microcristallinum), C6nH10n+2O5n+1
Целлюлоза микрокристаллическая представляет
собой очищенную, частично деполимеризованную целлюлозу, полученную путем
обработки минеральной кислотой альфа-целлюлозы, используемой в виде мягкой
массы волокнистого растительного материала. Белый или почти белый, мелкий или
гранулированный порошок, практически нерастворим в воде, ацетоне, безводном
этаноле, толуоле, растворах разведенных кислот и 50% растворе натрия гидроксида
[20].
Кроскармеллоза натрия (croscarmellose
sodium, Carmellosum
natricum
conexum). Поперечно сшитая
карбоксиметилцеллюлоза натрия. Натриевая соль поперечно сшитой, частично
О-карбоксиметилированной целлюлозы. Белый или серовато-белый порошок,
практически нерастворим в ацетоне, безводном этаноле и толуоле [20].
(+)-d-Глюкопираноза
(глюкоза безводная, glucose,
anhydrous, glucosum
anhydricum). C6H1206,
М.м. 180,2.
Белый или почти белый, кристаллический
порошок.Вещество имеет сладкий вкус, легко растворим в воде, умеренно растворим
в этаноле (96%) [20].
(3S)-3-амино-4-[[(1S)-1-метокси-1-оксо-3
фенилпропан-2-ил]амино]-4-оксобутановая кислота (аспартам, метиловый
эфир α-L-аспарил-L-фенилаланина).
Содержание: 98-102% (в пересчете на сухое
вещество), белый или почти белый, слегка гигроскопичный, кристаллический
порошок, умеренно растворим или мало растворим в воде и этаноле 96%,
практически не растворим в гексане и метиленхлориде. Максимальное количество
аспартама на одну таблетку: не более 2,5% [20].
STARLAC
®
Белый или почти белого цвета порошок без запаха,
частично растворим в холодной воде. Представляет собой высушенную распылением
смесь 85 частей моногидрата лактозы и 15 частей белого нативного кукурузного
крахмала, в расчете на сухое вещество. Оба компонента не могут быть отделены
механическим способом, так что разделение во время обработки невозможно. Однако
при растворении в воде, отдельные компоненты могут быть обнаружены [49].
Кремния диоксид коллоидный безводный (silica
colloidal
anyydrous, silica
colloidalis
anhydrica). SiO2
, М.м. 60,1.
Кремния диоксид коллоидный безводный содержит не
менее 99,0% и не более 100,5% Si02
в пересчете на прокаленное вещество. Легкий, мелкий, белый или почти белый,
аморфный порошок, с размером частиц около 15 нм, практически нерастворим в воде
и в минеральных кислотах, кроме фтористоводородной. Растворим в горячих
растворах гидроксидов щелочных металлов [20].
Магния стеарат (magnesium
stearate, magnesii
stearas)
Соединение магния со смесью твердых органических
кислот, состоящее, главным образом из различных соотношений магния стеарата и
магния стеарата, полученное из продуктов растительного или животного
происхождения. Содержание:
магний (Mg;
А.м. 24,305): от4,0% до.5,0% (в пересчете на сухое вещество);
стеариновая кислота во фракции жирных кислот не:
менее 40,0%;
сумма стеариновой и пальмитиновой кислот во фракции
жирных кислот:. не менее 90,0%
Белый очень мелкий, легкий порошок, жирный на
ощупь, практически нерастворим в воде и в безводном этаноле [20].
.2 Определение
доброкачественности растительного сырья
Проводили по общепринятым
методикам, описанным в ГФ РК и Европейской Фармакопее, а также в другой
литературе [10, 20, 50].
.2.1 Определение экстрактивных
веществ
1 г сырья, измельченного и просеянного сквозь
сито с отверстиями диаметром 1 мм, помещают в коническую колбу, приливают 50 мл
растворителя, указанного в НД на данный вид сырья. Колбу закрывают пробкой и
оставляют на 1 ч. Затем колбу соединяют с обратным холодильником, нагревают до
кипения и поддерживают слабое кипение жидкости в течение 2 ч. После охлаждения
колбу с содержимым вновь закрывают той же пробкой, взвешивают и потерю в массе
дополняют тем же растворителем. Содержимое тщательно взбалтывают и фильтруют
через сухой бумажный фильтр в сухую колбу вместимостью 150-200 мл. 25 мл
фильтрата переносят в фарфоровую чашку диаметром 7-9 см, предварительно
высушенную при 100-105°С до постоянной массы и взвешенную на аналитических
весах, выпаривают на водяной бане досуха, сушат при температуре 100-105°С в
течение 3 ч, затем охлаждают в эксикаторе и быстро взвешивают.
Процентное содержание экстрактивных веществ х
в абсолютно сухом сырье вычисляют по формуле:
,
(4)
где:
m - масса сухого
остатка в чашке в граммах;
m1
- масса сырья в граммах;
W - влажность сырья
[10, 20].
Данные приведены в таблице 2.
.2.2 Определение влажности
растительного сырья
Аналитическую пробу
сырья измельчают до размера частиц около 10 мм, перемешивают и берут две
навески массой 3-5 г, взвешенные с погрешностью ±0,01 г. Каждую навеску
помешают в предварительно высушенный и взвешенный вместе с крышкой бюкс и
ставят в нагретый до 100-105°С сушильный шкаф. Время высушивания отсчитывают с
того момента, когда температура в сушильном шкафу вновь достигнет 100-105°С.
Первое взвешивание листьев, трав и цветков проводят через 2 ч, корней,
корневищ, коры, плодов, семян и других видов сырья - через 3 ч.
Высушивание проводят до
постоянной массы. Постоянная масса считается достигнутой, если разница между
двумя последующими взвешиваниями после 30 мин высушивания и 30 мин охлаждения в эксикаторе не более 0,01 г. Процентное содержание влаги в сырье х вычисляют по
формуле:
, (5)
где:
m - масса
сырья до высушивания в граммах;
m1 - масса сырья после высушивания в граммах.
За окончательный
результат определения принимают среднее арифметическое двух параллельных
определений, вычисленных до десятых долей процента. Допускаемое расхождение
между результатами двух параллельных определений не должно превышать 0,5 % [10,
20].
Данные приведены в таблице 2.
3.2.3 Определение общей золы
Около 1 г препарата (точная
навеска) или 3-5 г измельченного лекарственного растительного сырья, проходящего сквозь сито с отверстиями диаметром 2 мм, помещают
в предварительно прокаленный до постоянной массы и
точно взвешенный фарфоровый, кварцевый или платиновый тигель, равномерно
распределяя вещество по дну. Навеску сырья в тигле
осторожно обугливают над слабым пламенем газовой горелки, стараясь, чтобы конец
пламени не касался дна тигля, или на электроплитке. В этом случае на нее
помещают асбестовую сетку, на которую устанавливают тигли с навесками, при этом
сначала дают веществу сгореть или улетучиться при возможно более низкой
температуре. После полного обугливания сырья тигли
переносят в муфельную печь для сжигания угля и полного прокаливания остатка.
Прокаливание ведут при красном калении (550-650°С) до постоянной массы, избегая
сплавления золы и спекания ее со стенками тигля. По окончании прокаливания
несколько остывшие, но еще горячие тигли ставят в эксикатор, охлаждают и
взвешивают. Постоянная масса считается достигнутой, если разница между двумя
последующими взвешиваниями не превышает 0,0005 г.
Если после
охлаждения остаток еще содержит частицы угля, то добавляют несколько капель
пероксида водорода, концентрированной НNO3 или 10%-ного нитрата аммония, выпаривают под тягой на водяной
бане и вновь прокаливают до тех пор, пока остаток не станет белым или примет
равномерную окраску.
Процентное
содержание общей золы х в абсолютно сухом сырье вычисляют по
формуле:
, (6)
где:
m - масса
золы, г;
m1 - масса навески сырья, г;
ω - потеря в массе сырья при высушивании, % [10,
20].
Данные приведены в таблице 2.
.2.4 Определение золы,
нерастворимой в 10% HCl
Для определения
содержания золы, нерастворимой в 10%-ной НCl, в тигель с общей золой
приливают 10 мл 10%-ной НCl, тигли покрывают часовыми стеклами и нагревают на кипящей водяной
бане в течение 10 мин, затем снимают их и после остывания содержимое фильтруют
через беззольный фильтр; тигель, часовое стекло и фильтр промывают горячей
дистиллированной водой до прекращения появления мути в промывных водах от капли
2%-ного AgNО3. Тигли и фильтры высушивают, фильтры осторожно
сжигают в тиглях, после чего прокаливают до постоянной массы, как
указано выше.
Процентное
содержание золы, нерастворимой в 10%-ной НCl, х, в абсолютно
сухом сырье вычисляют по формуле:
, (7)
где:
m - масса
золы фильтра (если зола последнего более 0,002 г);
m1 - масса золы в граммах;
m2 - масса навески сырья в граммах;
ω -
потеря в массе сырья при высушивании, % [10,
20].
Данные приведены в таблице 2.
.3 Определения количественного
содержания основных групп БАВ в исследуемом растении и субстанциях, полученных
на его основе
.3.1 Количественное определение
дубильных веществ
Количественное
определение дубильных веществ осуществлено следующими методами: железо-тартратным
и гравиметрическим, а также
перманганатометрическим и комплексонометрическим титрованием.
Перманганатометрическое титрование
проводили по следующей методике: около 0.2 г (точная
навеска) препарата помещают в мерную колбу вместимостью 100 мл и доводят объем
раствора водой очищенной до метки, перемешивая до полного растворения
субстанции. 10 мл полученного раствора переносят в коническую колбу
вместимостью 500 мл, добавляют 100 мл воды очищенной, 10 мл раствора
индигосульфокислоты и титруют при постоянном перемешивании 0.02М раствором
калия перманганата до появления золотисто-желтого окрашивания. Параллельно
титруют 10 мл индигосульфокислоты в 100 мл воды очищенной. Содержание дубильных
веществ (Х) в процентах вычисляют по формуле:
где:1 -
объем 0.02М раствора калия перманганата, израсходованного на титрование
препарата, в миллилитрах;2 - объем 0.02М раствора калия
перманганата, израсходованного на титрование в контрольном опыте, в
миллилитрах;- масса препарата, в граммах;- коэффициент пересчета на
соответствующие дубильные вещества (0.00582 г для конденсированных дубильных
веществ).
Комплексонометрическое
определение дубильных веществ проводили по методике: около
0.2 г (точная навеска) препарата, помещают в колбу вместимостью 100 мл и
доводят объем раствора спиртом этиловым 30% до метки, нагревая (40°С) и перемешивая до полного
растворения субстанции. 20 мл полученного раствора наливают в пробирку для
центрифугирования, прибавляют 20 мл реактива осаждения, перемешивают стеклянной
палочкой. Через 30 минут смесь центрифугируют в течение 10 минут с частотой
вращения 3000 об/мин. Надосадочную жидкость сливают, к осадку добавляют 20 мл 0.25%
раствора аммиака. Перемешивают той же палочкой и снова центрифугируют в течение
10 минут. Надосадочную жидкость сливают, осадок в пробирке растворяют в 5 мл
30% раствора кислоты уксусной и переносят количественно в колбу на 250 мл с
помощью 70-100 мл воды очищенной. Полученный раствор нейтрализуют 25 мл 5%
раствора натрия гидрокарбоната, прибавляют 0.5 мл ксиленового оранжевого и
титруют 0.01М раствором трилона Б до изменения красновато-фиолетовой окраски
раствора в желтую. 1 мл 0.01М раствора трилона Б соответствует 0.0013 г танина.
Содержание дубильных веществ в процентах (Х) вычисляют по формуле:
где:-
объем трилона Б, израсходованный на титрование, в миллилитрах;- масса
препарата, в граммах;- поправка к титру 0.01М раствора трилона Б (К=1) [10, 21,
48].
3.3.2 Количественное
определение флавоноидов
Количественное определение
флавоноидов в сырье
Около 2 г (точная навеска) измельченного сырья
помещают в колбу со шлифом вместимостью 150 мл, прибавляют 30 мл спирта
этилового 90%, содержащего 1% кислоты хлороводородной концентрированной, колбу
присоединяют к обратному холодильнику, нагревают на кипящей водяной бане в
течение 1 часа, охлаждают до комнатной температуры, фильтруют через бумажной
фильтр в мерную колбу вместимостью 100 мл. Экстракцию повторяют еще 2 раза
указанным выше способом, фильтруют через тот же фильтр в ту же мерную колбу,
фильтр промывают спиртом этиловым 90% и доводят объем фильтрата тем же спиртом
до метки (раствор А).
В мерную колбу вместимостью 25 мл помещают 2 мл
раствора А, прибавляют 1 мл 1% раствора алюминия хлорида в спирте этиловом 95%
и доводят объем раствора тем же растворителем до метки. Через 20 минут измеряют
оптическую плотность раствора на спектрофотометре при длине волны 430 нм в кювете
с толщиной слоя 10 мм. В качестве раствора сравнения используют раствор,
состоящий из 2 мл раствора А, доведенного спиртом этиловым 95% до метки в
мерной колбе вместимостью 25 мл.
Содержание суммы флавоноидов в пересчете на
кверцетин и абсолютно сухое сырье в процентах (Х) вычисляют по формуле:
, (10)
где:- оптическая плотность
испытуемого раствора при длине волны 430 нм;
.6 - удельный показатель
поглощения комплекса кверцетина с 1% алюминия хлоридом при 430 нм;
W
- потеря в массе при высушивании сырья в процентах;
m
- масса навески сырья в граммах [10, 21, 48].
Определение содержания флавоноидов в субстанции:
мл препарата помещают в мерную колбу
вместимостью 50 мл, доводят объем спиртом этиловым 70% до метки, перемешивают
(раствор А).
мл полученного раствора помещают в круглодонную
колбу вместимостью 50 мл, прибавляют 5 мл 5% раствора алюминия хлорида,
помещают на 3 минуты в кипящую водяную баню, быстро охлаждают, количественно
переносят при помощи 10 мл спирта этилового 70% в мерную колбу вместимостью 25
мл, прибавляют 2 мл буферного раствора с рН 3.8, доводят объем раствора 70%
спиртом до метки и перемешивают.
Измеряют оптическую плотность полученного
раствора при длине волны 409 нм в кювете с толщиной слоя 10 мм, используя в
качестве раствора сравнения раствор, состоящий из 2 мл раствора А, 2 мл
буферного раствора с рН 3.8, помещенный в мерную колбу вместимостью 25 мл и
доведенный спиртом этиловым 70% до метки.
Параллельно измеряют оптическую плотность
раствора, содержащего 1 мл раствора СО (рутина, или другого) отобранного
аналогично испытуемому раствору, используя в качестве раствора сравнения
раствор, состоящий из 1 мл раствора СО и 2 мл буферного раствора с рН 3.8,
помещенный в мерную колбу вместимостью 25 мл и доведенный спиртом этиловым 70%
до метки.
Содержание флавоноидов (Х) в препарате, в
пересчете на СО в процентах, вычисляют по формуле:
, (11)
где:
D1 -
оптическая плотность испытуемого раствора при длине волны 409 нм;
D0 -
оптическая плотность раствора СО при lmax
=
409 нм;
m0
- масса навески СО, в граммах [10, 21, 48].
3.3.3 Определение количества
фенолов
В мерную колбу вместимостью 25
мл помещают 5 мл испытуемого раствора препарата, 10 мл спирта этилового 30%,
1.5 мл 3% раствора железа окисного хлорида, 10 мл 5% раствора натрия карбоната,
доводят до метки водой очищенной, взбалтывают. Оставляют на 20 мин при
комнатной температуре, а затем центрифугируют при скорости 5000 об/мин в
течение 10 мин в центрифужной пробирке вместимостью 15 мл. Измеряют поглощение
надосадочной жидкости при длине волны 720 нм в кювете с толщиной слоя 10 мм в
сравнении с водой очищенной.
25 мл испытуемого раствора
имеют при указанных условиях поглощение 0.276, в пересчете на 0.05 мг стандартного
раствора эпикатехина.
Общее содержание фенолов в
процентах (X) рассчитывают по формуле:
, (12)
где:- оптическая
плотность надосадочной жидкости при длине волны 720 нм [10, 21, 48].
3.3.4 Определение
количественного содержания аминокислот
Качественное
обнаружение аминокислот и определение их количественного содержания проводили
методом ГХ: 1 г сухого остатка гидролизовали в 5
мл 6 н соляной кислоты при 1050С в ампулах, запаянных под аргоном в
течение 24 часов. Полученный гидролизат концентрировали досуха на вакуумном
роторном испарителе при 400С и полученный осадок растворяли в 5 мл
5% сульфосалициловой кислоты. Раствор центрифугировали, надосадочную жидкость
пропускали через ионообменную колонку с Даукс 50 Н-8, 200-400 м. Элюирование
аминокислот вели 6 н раствором NH4OH, после концентрирования
которого к нему добавляли свежеприготовленного SnCl2, 1 каплю
2,2-диметоксипропана, 1-2 мл пропанола, насыщенного HCl и нагревали до 1100С.
Эту температуру выдерживали в течение 20 мин, а затем реакционную смесь
концентрировали на роторном испарителе. К концентрату добавляли 1 мл
свежеприготовленного ацильного реактива (1 объем уксусного ангидрида, 2 объема
триэтиламина, 5 объемов ацетона), нагревали его при температуре 600С
в течение 1,5-2 мин и коцентрировали досуха. К остатку добавляли 2 мл
этилацетата и 1 мл насыщенного раствора NaCl, содержимое колбы тщательно
перемешивали. Из образовавшихся двух слоев жидкостей для
газохроматографического анализа использовали верхний этилацетатный слой [10,
21, 48].
Данные анализов приведены в
таблице 6.
3.3.5 Количественное
определение содержания алколоидов
Около 1 г (точная навеска)
порошка препарата помещают в коническую колбу, прибавляют 10 мл 2% раствора
кислоты лимонной и 30 мл хлороформа, оставляют при перемешивании в течение 1
часа. Хлороформный слой сливают в делительную воронку, обрабатывают 10 мл 1%
раствора натрия гидрокарбоната, фильтруют через слой безводного натрия сульфата
в мерную колбу вместимостью 50 мл, доводят объем раствора до метки хлороформом
и перемешивают. 20 мл полученного хлороформного извлечения помещают в колбу,
хлороформ отгоняют досуха при температуре около 400С. Сухой остаток
переносят 4 мл спирта этилового 95% в мерную колбу вместимостью 25 мл,
добавляют 2 мл раствора 0.25М кислоты серной, 2 мл свежеприготовленного 0.3%
раствора натрия нитрита, выдерживают 30 минут при температуре водяной бани 55±50С.
Раствор охлаждают, добавляют 1 мл свежеприготовленного 5% раствора кислоты
сульфаминовой, доводят объем раствора до метки спиртом этиловым 95% и измеряют
оптическую плотность раствора при длине волны 390 нм в кювете с толщиной слоя
10 мм. В качестве раствора сравнения используют раствор из 2 мл 0.25М раствора
кислоты серной, 1 мл 5% раствора кислоты сульфаминовой в мерной колбе
вместимостью 25 мл с доведенным до метки объемом спиртом этиловым 95%.
Содержание алкалоидов в
пересчете на резерпин в процентах (Х) вычисляют по формуле:
где:- оптическая плотность
испытуемого раствора при длине волны 390 нм;- масса препарата, в граммах;
- удельный показатель
поглощения резерпина при длине волны 390 нм [10, 21, 48].
3.3.6
Количественное определение сапонинов
Около 1 г препарата (точная навеска) помещают в
колбу вместимостью 100 мл, прибавляют 20 мл 3% ацетонового раствора кислоты
азотной и настаивают в течение 1 ч при постоянном перемешивании, приливают еще
20 мл ацетона и нагревают на водяной бане (40°С)
в течении нескольких минут, затем заливают 10 мл спирта этилового в ту же
колбу.
Далее по каплям при интенсивном помешивании
добавляют концентрированный раствор аммиака до появления обильного
светло-желтого творожистого осадка (рН 8.3-8.6 устанавливают по порозовению
влажной фенолфталеиновой бумаги).
Осадок отделяют на воронке Бюхнера, стакан и
фильтр с осадком промывают 30 мл ацетона в 2-3 приема. Осадок с фильтром
переносят в стакан и растворяют в 50 мл воды очищенной. Полученный раствор
количественно переносят в мерную колбу вместимостью 100 мл. Фильтр промывают
небольшими порциями воды очищенной, присоединяя их к основному раствору.
Доводят объем раствора водой очищенной до метки. Измеряют оптическую плотность
полученного раствора на спектрофотометре при длине волны 258 нм в кювете с
толщиной слоя 10 мм, используя в качестве раствора сравнения воду очищенную.
Содержание сапонинов в пересчете на кислоту
глицирризиновую в процентах (Х) вычисляют по формуле:
где:- оптическая
плотность испытуемого раствора при длине волны 258 нм;
- удельный показатель поглощения раствора
кислоты глицирризиновой при длине волны 258 нм;
- молекулярная масса кислоты глицирризиновой;-
масса навески препарата, в граммах [10, 21, 48].
.3.7 Определение
количественного содержания каротиноидов
Около 0.5 г препарата (точная навеска) помещают
в коническую колбу вместимостью 50 мл, прибавляют 25 мл смеси гексан - спирт
этиловый 96% (1:1), растворяют при перемешивании, фильтруют. (Для растворения
также можно использовать смесь гексана со спиртом этиловым 96% (3:1), гексан,
хлороформ, спирт этиловый 96%, петролейный эфир).
Содержимое колбы количественно переносят в
мерную колбу вместимостью 100 мл, доводят объем раствора соответствующим
растворителем или смесью до метки, перемешивают.
Измеряют оптическую плотность полученного
раствора при длине волны 450 нм в кювете с толщиной слоя 10 мм, используя в
качестве раствора сравнения смесь гексан - спирт этиловый 96% (1:1) или другой
растворитель.
Содержание каротиноидов в препарате, в пересчете
на b-каротин
в процентах (Х) вычисляют по формуле:
где:
D - оптическая
плотность исследуемого раствора при длине волны 450 нм;
m - масса навески
препарата, в граммах;
Е=2550 - удельный показатель поглощения b-каротина
в смеси гексан - 96 % спирт (1:1) при длине волны 450 нм [10, 21, 48].
3.3.8 Количественное определение кумаринов
Около 0.2 г препарата (точная
навеска) помещают в колбу вместимостью 100 мл, добавляют 50 мл хлороформа и
нагревают при перемешивании на водяной бане (40°С)
в течении нескольких минут, фильтруют через бумажный фильтр, отбрасывая первые порции фильтрата. 20 мл
фильтрата помещают в делительную воронку, прибавляют 1 г натрия хлорида и экстрагируют в течение 5 мин. После разделения слоев
хлороформное извлечение сливают в химический стакан. Процедуру извлечения
хлороформом повторяют еще дважды порциями по 20 мл, экстракты объединяют.
Водное извлечение оставляют для определения подлинности. Хлороформное
извлечение упаривают в вакууме досуха. Сухой
остаток растворяют в 10 мл спирта этилового 96%, количественно переносят при
помощи 10 мл спирта этилового 96% в мерную колбу вместимостью 25 мл, доводят
объем раствора до метки спиртом этиловым 96% и перемешивают. Измеряют
оптическую плотность раствора при длине волны 272 нм в кювете с толщиной слоя
10 мм, используя в качестве раствора сравнения спирт этиловый 96%.
Содержание производных кумарина
в препарате, в пересчете на СО в процентах вычисляют по формуле:
где:-
оптическая плотность испытуемого раствора при длине волны 272 нм;
- удельный показатель
поглощения СО кумарина при длине волны 272 нм;- масса навески препарата, в
граммах [10,
21, 48].
3.3.9
Количественное
содержание полисахаридов
Около 2 г (точная навеска)
препарата помещают в колбу вместимостью 100 мл, прибавляют 50 мл воды
очищенной, колбу нагревают при перемешивании на водяной бане при
температуре 400С в течение 30 мин, охлаждают и доводят объем
раствора водой очищенной до метки. 5 мл полученного раствора помещают в
центрифужную пробирку. Затем содержимое центрифугируют с частотой вращения 5000
об/мин в течение 30 мин. Надосадочную жидкость сливают, повторяют процедуру с
одной и той же пробиркой несколько раз для полученного экстракта. Затем
центрифужные пробирки с осадком высушивают при температуре 100-105°С до постоянной массы.
Содержание полисахаридов в процентах (X)
вычисляют по формуле:
где:1 - масса пробирки, в граммах;2
- масса пробирки с осадком, в граммах;- масса навески препарата, в граммах
[51].
3.4 Определение антиоксидантной
активности субстанции
Антиоксидантную активность определяли на тканях
печени крыс. Для получения гомогената навеску (0,5-1,0 г) ткани печени крыс
после промывания в охлажденном физиологическом растворе помещали в 10 мл среды,
содержащей 0,85% NaCl
и 50мл КН2РО4, (рН 7,4 при 4°С)
и гомогенизировали гомогенизатором типа Polytron
в течение 90 сек. Гомогенат центрифугировали при 10000g
в течение 20 мин.
Микросомную фракцию получали, центрифугируя
супернатант при 30000g
в течение 60 мин. Надосадочную жидкость осторожно сливали и осадок,
представляющий собой фракцию тяжелых микросом, суспендировали в среде,
содержащей 25% глицерина, 0.1 мл
ЭДТА, 0.2 мл СаСl2, 10 мл гистидина,
(рН 7.2 при 4°С) и хранили при минус 4°С.
Об интенсивности перекисного окисления липидов
(ПОЛ) в микросомах печени судили по содержанию ТБК-активных продуктов.
Концентрацию малонового диальдегида (МДА) определяли по интенсивности
развивающейся окраски в результате взаимодействия с тиобарбитуровой кислотой
(ТБК) по методу Н.О. Ohkawa e.a. [82]. Для индукции процесса ПОЛ в мембранах
применяли систему Fe2+
(0,02мМ)+аскорбат (0,5мМ). Окисление проводили в среде гомогенизирования в
термостатируемых ячейках при 37°С с постоянным перемешиванием в
течение 60 мин. За накоплением малонового диальдегида (МДА) - продукта ПОЛ,
следили по реакции с 2-тиобарбитуровой кислотой, оптическую плотность измеряли
при 532 нм. Расчет содержания продуктов, реагирующих с ТБК, проводили с учетом
коэффициента молярной экстинкции МДА, равного 1.56´105
М-1×см-1 [52, 53].
.5 Определение
физических параметров субстанции
Определение потери
массы субстанции при высушивании
Определение выполняется при использовании
аналитических весов и сушильного шкафа, следующим порядком:
Стакан для взвешивания (бюкс) высушить в
условиях, описанных для испытуемой субстанции, в течении 1 часа в сушильном
шкафу, затем охладить в течении на 40 - 45 мин. и взвесить. Поместить в бюкс
указанное в НД количество испытуемой субстанции, записать результат в журнал,
закрыть бюкс крышкой и вновь взвесить. Бюкс с субстанцией поместить в сушильный
шкаф и высушить до постоянной массы или на определенное время, указанное в НД.
Вытащить бюкс с высушенной субстанцией из сушильного шкафа, поместить в
эксикатор на 40 - 45 мин и взвесить. Результат записать в журнал. Потерю в
массе при высушивании рассчитать по формуле:
, (18)
где: m4
- масса бюкса с навеской после высушивания, г; m3
- масса бюкса с навеской до высушивания, г; m2
- навеска испытуемой субстанции, г.
Допускается использование анализатора влажности
при условиях, указанных в НД [10, 54].
Определение
сыпучести
Определение проводится на оборудовании - Тестер
определения сыпучести ERWEKA
GTB (приложение В), в
следующем порядке:
Включить прибор за 10 мин. до начала работы для
прогревания. Ввести в графе "Operator"
с помощью клавиатуры слово GRANU,
в графе "Password"
- TEST. Выбрать позицию
"Measurement"
- измерение, нажать ENTER.
Выбрать в диалоговом окне строчку "Flowability
(EP)", нажать ENTER.
В окне "Produkt
data" выбрать
наименование нужного продукта (порошка) и нажать ENTER.
Появится окно "Flow
Rate (EP),
выставить нужное значение в строчке Nozzle,
нажать ENTER. В окне
"Press"
выбрать ЕКО, нажать ENTER.
Курсором ↓↑ выбрать нужный диаметр воронки и нажать ENTER.
Вставить воронку нужного диаметра в основание, закрутить гайку. Вставить
собранное устройство в ячейку и закрепить зажимом. Всыпать испытуемый образец
(субстанция, гранулят) массой примерно 100 г в воронку. Проследить, чтоб чаша
весов стояла ровно по стрелочке, указывающей на уровень и правильность
установки чаши весов. Поставить на чашу весов под воронку специальный стакан -
приемник, куда будет высыпаться испытуемый образец. Установить стакан так,
чтобы он не закрывал окошко, откуда проходит лазерный луч, который определяет
скорость высыпания образца. Нажать кнопку Start.
Изменять параметры клавишей "N",
выбрать нужный параметр и нажать ENTER
и Start. Выключить прибор.
Расслабить зажим и вытащить воронку. Разобрать воронку на составляющие и
почистить [10, 55].
Определение
насыпной плоности
Определение выполняется на тестере по
определению насыпной плотности (прииложение Б), в следующем порядке:
Включить прибор за 10 мин. до начала работы, для
прогревания. В сухой цилиндр поместить без уплотнения 100 мл испытуемого
материала. Навеску зафиксировать в журнале (m).
Закрепить цилиндр на подставке и зафиксировать насыпной объем до усадки V0
с точностью до миллилитра. При помощи клавиш установить необходимое число
колебаний, подтвердить выбранное число клавишей ENTER
и начать испытание нажатием клавиши START.
Произвести 10, 500 и 1250 соскоков цилиндра и зафиксировать объемы V10,
V500,
V1250
с точностью до ближайшего деления. Если разность между V500
и
V1250 превышает
2 мл, производят еще 1250 соскоков цилиндра [10, 56].
Насыпную плотность до усадки или плотность
насыпного (г/мл) продукта рассчитать по формуле:
, (19)
Плотность после усадки или плотность
уплотненного (г/мл) продукта рассчитать по формуле:

, (20)
3.6 Изложение технологического процесса
получения лекарственного препарата в виде таблеток
Отбираем среднюю пробу всех веществ, как
действующего вещества, так и вспомогательных компонентов, входящих в состав
таблетки, в количестве 10-15 г, и передаем их в лабораторию для определения
технологических показателей и показателей качества. Результаты указаны в
таблицах 10 и 11.
Пересчитываем массу компонентов на партию, с
учетом потери в массе при высушивании и количественного содержания активных
фармацевтических ингредиентов. Данные представлены в таблицах 12, 13, 14.
Просеиваем все вспомогательные вещества через
сито размером 100 мкм в специальные контейнеры: бетадекс; целлюлозу микрокристаллическую;
кроскармеллозу натрия; аспартам; глюкозу; кремний диоксид коллоидный; магния
стеарат.
На этом предварительный этап по подготовке
вспомогательных веществ закончен.
Далее изложены основные стадии процесса:
. Измельчаем в ступке кристаллы субстанции
надземной части кермека Гмелина до размера меньше 100 мкм. Необходимым
требованием по измельченности субстанции является её свободная проходимость
через сито размером 100 мкм. Просеиваем.
. К обработанной и просеянной субстанции
добавляется β-циклодекстрин в
соотношении 2:1 (на две части субстанции надземной части растений вида L.
gmelinii
одна
часть β-циклодекстрина).
Втирая субстанцию в β-циклодекстрин
добиваемся образование комплекса включения, данный этап длится не менее одного
часа. Определяем образование комплекса включения на фотоколориметре, исследуем
абсорбцию воды чистой субстанции надземной части растений вида L.
gmelinii
и
КВ в пределах 210-400 нм. Полученные данные указаны в приложении Ж.
3. Определяем влажность полученного КВ на экспресс-анализаторе
марки Sartorius
ERWEKA Германия, которая
составила 4,5%. Высушиваем полученный комплекс в сушильном шкафу марки Binder
FD 53 ERWEKA,
Германия при t=40-450C,
в течении 1 часа. Влажность составила 0,54%.
4. На следующем этапе в комплекс включения
поэтапно при перемешивании добавляются вспомогательные вещества: целлюлоза
микрокристалическая, старлак*, кроскармеллоза натрия, глюкоза, аспартам.
Необходимо отметить, что перемешивание каждого добавленного вспомогательного
компонента происходило в течении 15 мин и только после этого добавлялся
следующий компонент.
. Расчет опудривающих вспомогательных
компонентов основан на соотношении 1% от массы таблетки. Опудривающими
веществами являются магний стеарат и кремний диокид коллоидный безводный
(аэросил).
Данные указаны в таблицах 11, 12 ,13.
Рассчитанное количество магния стеарата и
кремния диокид коллоидного безводного (аэросил) добавляют поочередно в
таблетируемую массу, при постоянном перемешивании в течении 15 мин. Данные
вспомогательные вещества улучшают смазывающие и скользящие свойства.
. Заключительным этапом явилось загруз
таблетируемой массы в таблетпресс, и таблетировании, при подборе режима
прессования (варьируя давление).
. В течении производственного процесса
таблетки сдаются в лабораторию для проверки соответствия физических параметров
и определения количественного содержания АФИ в таблетках.
Данные представлены в таблице 14.
Далее было решено изменить состав таблетки.
Ключевыми дополнениями которого были увеличение содержания наполнителя
(содержание МКЦ увеличилось вдвое и добавлен старлак) и дезинтегранта на одну
четвертую (кросскармелоза натрия). Скорректированный состав представлен в
таблице 12 партия "МКР -2".
Налипание на части таблетпресса повторилось при
таблетировании партии "МКР-2", но в меньшем количестве по сравнению в
партией "МКР-1".
Так как субстанция является сильно-гигроскопичной,
было предположено наличие кристаллизационной воды, которая и являлось причиной
налипания, вследствие этого было необходимо повторное корректирование состава
таблеток и производственных этапов. Для создания более прочного комплекса
включения содержание бетадекса было увеличено на 5%. Кристаллизационную воду
устраняли добавлением этапа влажной грануляции 10% раствором поливинилповидона
в абсолютном изопропиловом спирте, при этом создавался азеотроп - спирт с
кристаллизационной водой, который при высушивании в сушильном шкафу при t=40-450C
испаряется. Грануляцию проводили через сито размером 1,25 мм, после чего
добавляли вспомогательные вещества как описано в пункте 4,5.
Данные по составу партии "МКР -3"
указаны в таблице 14.
В партии "МКР-3" эффект налипания на
пуансоны и матрицу таблетпресса был уменьшен, но не устранен. Предполагается
наличие других факторов, который затрудняют процесс таблетирования, одним из
которых является природа субстанции, содержание в ней многочисленных групп
биологически активных веществ. В связи с этим технология производства таблеток
из субстанции надземной части кермека Гмелина находится в дальнейшей разработке
[57].*- для партии "МКР-2", "МКР-3".
3.7 Определение показателей
качества, разработанных таблеток
3.7.1 Описание внешнего
вида таблеток
Просматривают 20 таблеток и делают заключение о
дефектах поверхности или их отсутствии. Определяют с помощью штангенциркуля
размеры таблетки (диаметр, высота), тип таблетки, а также цвет и разделительную
риску. При этом на таблетках не должно быть следующих дефектов размера, цвета,
покрытия, шрифта надписи, разделительной риски. Все эти дефекты классифицируют
по следующим признакам:
· выступы (поверхность в выступах,
прилипших частиц порошка);
· углубление (лунки, выкрошенные части
таблеток);
· грязь или пыль на таблетках;
· мраморность (неравномерный цвет,
локальное, местное изменение цвета);
· сколы (отслоение или сколы таблетки,
уменьшение толщины);
· слипание (слипание двух таблеток
вместе или их соединение разрушенными поверхностями);
· крошение;
· деформация (нарушение округлости
формы);
· царапины (нанесение риски - царапины
по поверхности таблеток);
· дефект покрытия (поверхность
покрытия неравномерна, различной толщины, смещена по отношению к ядру).
Таблетки должны иметь круглую или иную форму с
плоскими или двояковыпуклыми поверхностями, цельными краями, поверхность должна
быть гладкой и однородной, цвет - равномерным, если в частных статьях нет
других указаний [43].
3.7.2 Определение
распадаемости таблеток
Опыт выполнялся на оборудовании для определения
распадаемости таблеток (приложение И)
В каждую из шести трубок помещают одну таблетку
и, если указано, помещают диск; подвешивают корзинку в сосуд с жидкостью,
указанной в общих и частных статьях. Включают прибор, по истечении указанного
времени корзинку вынимают и исследуют состояние таблеток или капсул. Препарат
выдерживает испытание, если все таблетки или капсулы распались.
Нормы распадаемости таблеток:
• обычные таблетки - 15
мин.;
• таблетки, покрытые
оболочками, растворимыми в желудке - не более 30 мин. (если нет других указаний
в отдельных фармакопейных статьях). Таблетки, покрытые кишечно-растворимыми
оболочками, не должны распадаться в течение 1 часа в растворе кислоты
хлороводородной 0,1 моль/л, а после промывания водой должны распадаться не
более, чем за 1 час в щелочном растворе натрия гидрокарбоната;
• сублингвальные
таблетки - вода, 30 мин.;
• таблетки для
приготовления растворов - вода, 5 мин.;
• таблетки
пролонгированного действия - по методикам, приведенным в отдельных
фармакопейных статьях;
• таблетки вагинальные -
молочнокислая среда, не более 10 мин [10, 43].
кермек гмелин растение таблетка
3.7.3 Определение растворимости таблеток
Выполняется на приборе по определению
растворимости таблеток (приложение К)
Помещают указанный объем среды растворения в
сосуд, собирают прибор, нагревают среду растворения до (37.0 ± 0.5) 0C и
удаляют термометр.
Помещают одну единицу испытуемого препарата в
прибор. Для прибора с лопастью: перед началом вращения лопасти помещают
препарат на дно сосуда; твердые дозированные формы, которые при этом
могут всплывать, помещают на дно сосуда горизонтально с помощью
подходящего устройства, например, проволоки или стеклянной спирали. Для прибора
с корзинкой: препарат помещают в сухую корзинку, которую опускают в
соответствующее положение перед началом вращения. Следует принять меры,
обеспечивающие отсутствие пузырьков воздуха на поверхности препарата. Вращение
лопасти или корзинки с указанной скоростью (± 4%) начинают немедленно.
Отбор проб и оценка результатов.
При использовании прибора с лопастью или
корзинкой отбор указанного объема или объемов проб проводят в указанное время
или через указанные интерволы, или непрерывно из области посередине между
поверхностью среды растворения и верхней частью корзинки или лопости на
расстоянии не ближе 10 мм от стенки сосуда. При использовании прибора с
проточной кюветой отбор проб всегда проводят у выходного отверстия кюветы,
независимо от того, открыта цепь или закрыта. Следует компенсировать отобранный
объем жидкости прибавлением равного объема среды растворения или
соответствующими изменениями в расчетах, исключая те случаи, когда используются
непрерывные измерения при проведении испытаний с лопастью или корзинкой
(отобранная жидкость при этом возвращается обратно в сосуд), или когда
отбирается только одна порция жидкости. Отобранную жидкость фильтруют,
используя инертный фильтр с соответствующим размером пор, который не вызывает
значительной адсорбции действующего вещества из раствора и не содержит таких веществ,
экстрагируемых средой растворения, которые влияли бы на результаты указанного
аналитического метода. Анализ фильтрата проводят методом, указанным в частной
статье.
3.7.4 Определение однородности
массы таблеток
20 единиц дозированного лекарственного средства
или содержимое каждого из 20 контейнеров, в случае однодозовых лекарственных
средств в индивидуальных контейнерах, отбирают по статистически обоснованной
схеме, взвешивают каждую в отдельности и рассчитывают среднюю массу.
Лекарственное средство считают выдержавшим испытание, если не более двух
индивидуальных масс отклоняются от средней массы на величину, превышающую
значение, указанное в таблице 20. При этом ни одна индивидуальная масса не
должна отклоняться от средней массы на величину, в два раза превышающую
значение, указанное в таблице 20 [10, 43].
Таблица 16. Допустимые отклонения в массе
таблеток.
.7.5 Определение
истираемости таблеток без оболочки
Определение
выполняли на приборе по определению истираемости таблеток (приложение Л)
При массе одной таблетки менее 0.65 г для
испытания берут 20 таблеток; при массе одной таблетки более 0.65 г - 10
таблеток. Таблетки помещают на сито номер 1000 и тщательно удаляют пыль
посредством сжатого воздуха или мягкой кисточки. Таблетки взвешивают (точная
навеска) и помещают в барабан. После 100 оборотов барабана таблетки извлекают и
снова тщательно удаляют пыль. Если ни на одной из таблеток нет сколов или
трещин, таблетки взвешивают с точностью до миллиграмма. Обычно испытание
проводят один раз. Если полученные результаты вызывают сомнение или потеря в
массе превышает 1%, испытание повторяют ещё дважды и вычисляют среднее
из трёх измерений. При отсутствии других указаний в частной статье, потеря в
массе должна быть не более 1% от суммарной массы испытуемых таблеток. При
испытании таблеток с диаметром 13 мм и более для получения воспроизводимых
результатов может возникнуть необходимость отрегулировать барабан таким
образом, чтобы лежащие рядом таблетки не упирались друг в друга и имели
возможность падать свободно. Обычно достаточно установить ось под углом 10° к
основанию.[10, 43]
3.7.6 Определение
устойчивости таблеток к раздавливанию
Определение выполняли на оборудовании по
определению твердости таблетки (приложение М)
Таблетку помещают между зажимами, принимая во
внимание ее форму, а также разделительную линию и надпись, если они есть. Для
всех измерений таблетка должна быть ориентирована одинаково по отношению к
направлению прилагаемой силы. Измерения проводят для 10 таблеток. Перед каждым
измерением, тщательно удаляют все фрагменты предыдущей таблетки.[10, 43]
Заключение
По результатам проведенных исследований сделаны
следующие выводы:
1. Определены показатели
доброкачественности надземной части растений вида L.
gmelinii.
. Разработана АНД на
надземную часть растений вида L.
gmelinii и ее утверждение в
НЦЭЛС МЗ РК
. Получена субстанция по
оптимальной, ресурсосберегающей и безотходной технологии из надземной части
растений вида L. gmelinii
и наработана в количестве около 1 кг.
. Охарактеризована
качественная и количественная оценка основных групп БАВ, содержащихся в
полученной субстанции.
. Разработана
предварительная технология производства твердых лекарственных форм в виде
таблеток, действующим началом которых является комплекс субстанции надземной
части растений вида L. gmelinii
с β-циклодекстрином.
Оценка полноты решения
поставленных задач. Поставленные задачи выполнены полностью: проведено
фитохимическое исследование надземной части L. gmelinii, получена субстанция по
рациональной технологии и установлено ее качественный и количественный составы,
антиоксидантная активность, что позволяет рекомендовать данную часть растений L. gmelinii для
внедрения в медицину. Для производства таблеток были изучены технологические
параметры субстанции, и получен комплекс надземной части растений L.
gmelinii с β-циклодекстрином,
который явился действующим началом полученной лекарственной формы, для
разработки которой было составлено 3 рецептуры, из которых в условиях
таблетирования более приемлемой является последняя "МКР-3".
Полученные таблетки соответствуют всем показателям качества.
Список использованной
литературы
1 Энциклопедия лекарственных растений. -
М: МСП, 1997.- 130 с.
2 Лекарственные растения Казахстана и их
использование. - Алматы: Fылым, 1996. - 344 с.
3 Михайлова В.П. Дубильные растения флоры
Казахстана и их освоение. - Алма-Ата: Наука, 1968. - 326 с.
4 Жусупова Г.Е. Лекарственные
средства, полученные на основе растений вида Limonium
gmelinii // Вестник
медицинского университета. - Алматы. - 2009. - №1. - С. 105-112.
Растительные ресурсы СССР. - Л.: Наука,
1985. - Т.1. - С. 293-297
6 Флора
СССР. - М.: АН СССР, 1952. - Т. XVIII. - С. 411-467.
Флора
Казахстана. - Алма-Ата: Наука, 1961. - Т. VII. - С. 79-80.
Атлас
ареалов и ресурсов лекарственных растений Казахстана. - Алматы: Fылым, 1994. -
С. 41.
9 Кукенов
М.К. Ботаническое ресурсоведение Казахстана. - Алматы: Fылым, 1999. - 160 с.
10 Государственная фармакопея Республики
Казахстан. Т.1. - Алматы: Издательский дом "Жибек жолы", 2008. - 592
с.
11 Бердимуратова
Г.Д., Музычкина Р.А., Корулькин Д.Ю., Абилов Ж.А., Тулегенова А.У. Биологически
активные вещества растений: выделение, разделение, анализ. - Алматы: Атамұра,
2006.
12 L.M.
Korulkina, E.E.
Shul’ts,
G.E.
Zhusupova, Zh.A.
Abilov, K.B.
Erzhanov, M.I.
Chaudri. Biologically
active compounds from Limonium Gmelinii and L. Popovii // Chemystry of natural
compounds. - 2004. - Vol. 40, №5. - P. 465-471.
13 Lin
L.C, Kuo Y.C., Chou C.J. Anti-herpes simplex virus type-1 flavonoids and new
flavone from the root of Limonium sinense // Planta Med. - 2000. - Vol. 66. -
P. 333-336.
14 Ross S.A., El-Sayyad S.M.
Flavonoids from the leaves of Limonium siniatum grown in Egypt //Planta Med. -
1980. - Vol. 39, №2. - P. 187-189.
15 Ross S.A.
Myricetin-3'-methyl ether-7-glucoside from Limonium sinuatum // Natur. Prod. -
1984. - Vol. 47. - P. 862-864.
16 Zhang
L.-R., Zou G.-L. Flavanol of Limonium bicolor// Химия
природ.
соед.-
2004.-№6.- С. 495.
17 Мовсумов
И.С.
Флавоноиды
корней
Limonium caspium// Химия природ.
соед.
- 1996.- №6.- С. 948.
18 Жусупова
Г.Е. Химический состав растений рода Limonium
Mill и создание
препаратов на их основе. Диссертация на соискание ученой степени доктора
химических наук. - Алматы, 2007 г.
19 Муравьева
Д.А. Фармакогнозия. - Москва: Медицина, 2002. - 530 с.
20 European Pharmacopoeia.
- Strasburg, 2001. - 1705 р.
21 Гринкевич Н.И., Сафронич Л.Н. Химический
анализ лекарственных растений. - М.: ВШ, 1983. - 83 с.
Малая медицинская энциклопедия. - М.:
Медицинская энциклопедия. 1991-96 гг.- С. 2.
Арзамасцев А.П., Листов С.А. Экология и
фармация // Фармация. - 1990.4. - C.1-4
Кириллов В.Ф., Черкасов Е.Ф.
Радиационная гигиена. М. 1982. С. 68-70.
25 Livens F.R., Horill A.D.
Distribution of radiocesium in the soilplant systems of urland areas of Europe
// Health Physics. 1991. N4. P. 539-541.
Алексеев Ю.В. Тяжелые металлы в почвах
и растениях. - Л.: Аграпромиздат, 1987. - 140 с.
Дабахов М.В., Дабахова Е.В., Титова
В.И. Тяжелые металлы: экотоксикология и проблемы нормирования. - Новгород:
Нижегор. ГСХА, 2005. - 164 с.
Овчаренко М.М. Тяжелые металлы в
системе почва-растение-удобрение. - М.: Высшая школа, 1997. - 290 с.
СанПин 2.3.2.1078-01.
"Гигиенические требования безопасности и пищевой ценности пищевых
продуктов". - М., 2001.
Гравель И.В., Яковлев Г.П., Петров Н.В.
Содержание тяжелых металлов в сырье некоторых лекарственных растений,
произрастающих в условиях атмосферного загрязнения (Республика Алтай) //
Растит. ресурсы. - 2000. - Т. 36. - Вып. 3. - С. 99-106.
Гравель И.В., Петров Н.В., Самылина
И.А., Яковлев Г.П., Стуловский С.С. Определение содержания тяжелых металлов в
лекарственном растительном сырье // Фармация. - 2008. - №7. - С. 3-5.
Гравель И.В., Е.А. Плыкина.
Сравнительный анализ требований зарубежных фармакопей к качеству лекарственного
растительного сырья по содержанию тяжелых металлов /Традиционная медицина, №1
(20). - 2010.
Музычкина Р.А., Корулькин Д.Ю., Абилов
Ж.А. "Основы химии природных соединений". - Алматы: Қазақ
университеті, 2010. - 564 с.
34 Содиков О.С. Алкалоидлар
химиясы. Ташкент: Узбекистон ССР Фанлар Академия сининг академиги. 1956. - 345
с.
35 Terrence L.
Graham Flavonoid and flavonol glycoside metabolism in Arabidopsi //Plant
Physiol. Biochem., 1998, 36 (1-2), P. 135-144.
Nigel C. Veitch, Peter C.
Elliott, Geoffrey C. Kite, Gwilym P. Lewis Flavonoid glycosides of the black
locust tree, Robinia pseudoacacia Leguminosae) // Phytochemistry 71, 2010, P.
479-486
37 Jian-Jun Chen, Dong-Qing Fei, Sheng-Gao Chen, Kun Gao.
Antimicrobial Triterpenoids from Vladimiria muliensis// J.Nat.Prod. - 2008. -
Vol. 71. - P. 547-550.
Damrong Kongduang, Juraithip Wungsintaweekul, Wanchai
De-Eknamkul Biosynthesis of b-sitosterol and stigmasterol proceeds exclusively
via the mevalonate pathway in cell suspension cultures of Croton
stellatopilosus // Tetrahedron Letters 49, 2008, P. 4067-4072.
39 Balakyz Yeskaliyeva, M.
Ahmed Mesaik, Ahmed Abbaskhan, Aisha Kulsoom, G. Sh. Burasheva, Zh. A. Abilov,
M. Iqbal Choudhary, Atta-ur-Rahman Bioactive flavonoids and saponins from
Climacoptera obtusifolia // Phytochemistry 67, 2006, P. 2392-2397.
40 Marzouk
M.S., El-Toumy S.A., Moharram F.A.; Shalaby N.M., Ahmed A.A. Pharmacologically
active ellagitannins from Terminalia myriocarpa// Planta Med. - 2002. - №68. -
P. 523-527.
Hatano
Т.,
Kusuda M., Inada K., Ogawa T., Shiota S., Tsuchiya T., Yoshida T. Effects of
tannins and related polyphenols on methicillin-resistant Staphylococcus
aureus// Phytochemistry. - 2005. - №66. - P. 2047-2055.
42 AGRAWAL, P.K. Carbon-13
NMR of flavonoids. Amsterdam: Elsevier, 1989. 564 p.
43 Чуешов В.И., Чернов Н.Е., Промышленная
технология лекарств - в 2-х томах, Харьков: МТК-Книга, 2002.
44 Технология
производства таблеток http://capsulator.narod.ru/tabletka_techn.html.
45 Гринкевич
Н.И., Сорокина А.А. Роль геохимических факторов среды в продуцировании
растениями биологически активных веществ // В кн.: Биологическая роль
микроэлементов. - М.: Наука, 1983. - С. 283.
46 Временный
аналитический нормативный документ - Кермека Гмелина трава (ВАНД РК 42-4235-12)
07.12.2012. Регистрационное удостоверение МЗ РК (РК-ЛС-3 №019450).
47 Пшуков Ю.Г., Муравьев Е.А. Метод
прогнозирования жидких экстрактов при их производстве способом реперколяции //
Фармация. - 1998. - № 3. - С. 19-21.
48 Р. А. Музычкина, Д. Ю. Корулькин, Ж. А
Абилов "Качественный и количественный анализ основных групп БАВ в
лекарственном растительном сырье и фитопрепаратах". - Алматы: Қазақ
университеті, 2004. - 288 с.
49 MEGGLE Group Wasserburg BG
Excipients & Technology, www.meggle-pharma.de
50 СанПин
2.3.2.1078-01. "Гигиенические требования безопасности и пищевой ценности
пищевых продуктов". - М., 2001.
51 В.Ю. Андреева, Н.В. Исайкина, О.С. Борсук,
Е.Ю. Шерстобоев, Н.В. Масная. Разработка методики количественного определения
полисахаридов в корнях алтея //Фармация Казахстана. - 2010. - №10.- С. 27-29.
52 Cristina Goncёalves, Teresa
Dinis , Maria Teresa Batista, Antioxidant properties of proanthocyanidins of
Uncaria tomentosa bark decoction: a mechanism for anti-inflammatory activity //
Phytochemistry 66 (2005) 89-98, www.elsevier.com/locate/phytochem
53 T.M.
Shalakhmetova, G.E. Zhusupova, Sh.N. Askarova. Antiodidative and hepatoprotective
properties of phytomedicine exstracted from Limonium Gmelinii //International
journal of biology and chemistry - 2010. - №1. - Р.61-66.
54 Стандартная операционная процедура
"Потеря в массе при высушивании", СОП 2.8.8-12-12; СОП 2.8.6-01-11
55 Стандартная операционная процедура
"Определение сыпучести", СОП 2.8.8-14-12; СОП-2.8.6-01-11
56 Стандартная операционная процедура
"Определение насыпной плотности", СОП 2.8.8-15-12; СОП-2.8.6-01-11
Компанцева Е.В.,Гаврилин
М.В.,Монастырева И.И.,Мичник Л.А., Таблетки диазолина, полученные на основе
комплекса включения субстанции с -циклодекстрином, обладающие антигистаминным
действием // А.С. №2160095.
- РФ. - 2000 г.