Дискретный и непрерывный подходы к моделированию движения людей
Содержание
Введение
Глава 1. Описание
проблемной области. История развития науки о математическом моделировании
движения людей
1.1 Особенности движения
людей
1.2 Математические модели
исследования
1.2.1 Модели на основе
уравнений динамики жидкости и газов
1.2.2 Модели, основанные
на социальных силах (Social-force model)
1.2.3 Модели, основанные
на теории клеточных автоматов
1.2.4 Полевая КА-Модель
(Floor Field CA model)
Глава 2.
Дискретно-непрерывная модель
2.1 Постановка задачи
2.2 Решение
Глава 3. Численные
исследования
Заключение
Список использованных
источников
Приложение А
Приложение Б
Приложение В
Введение
В нашей жизни безопасность имеет очень большое значение. Мы всегда
стараемся избежать любой опасности. Но, к сожалению, не всегда избежать её возможно.
Как известно всем, существуют непредвиденные ситуации, которые возникают
внезапно. Самое распространенное - это пожар. Никогда нельзя угадать, где и
когда он случится.
Со школьных лет нам рассказывают о поведении при пожаре, проводятся
учебные тревоги. С одной стороны это все хорошо, но с другой - человек
подсознательно знает, что на самом-то деле никакой опасности нет, а значит и
ведет себя иначе, нежели в реальной ситуации. Но пожары случаются регулярно, и
практика показывает, что люди ведут себя не так, как советуют специалисты.
Срабатывает инстинкт самосохранения. Все стараются как можно быстрее добежать
до выхода, не обращая внимания ни на окружающих, ни на предметы, находящиеся на
пути. Проявляется паника, вследствие чего - неразбериха. Из-за стремления
каждого выйти из зоны опасности может возникнуть толкотня. Люди начнут
«расчищать» для себя дорогу, забывая об остальных.
Для того чтобы такого не случалось и люди могли более свободно добирать
до ближайших выходов следует учитывать особенность проектирования зданий,
сооружений. Необходимо, чтобы были достаточно просторные коридоры, без лишних
нагромождений, чтобы дверные проемы не были слишком узки. Так же важна и
расстановка мебели, производственного оборудования. Между предметами должно быть
место для свободного движения людей. В случае экстренной эвакуации человек
должен беспрепятственно дойти до выхода. А все для того, чтобы не было
трагических смертей во время эвакуации.
Но все это совершенно не означает, чтоб везде, где ходит человек, было
пусто и дверной проем такой же ширины, как и коридор. Нет. Все должно быть в
разумных пределах. При строительстве должны учитываться возможности экстренной
эвакуации и в соответствии располагаться запасные выходы.
Довольно интересным для рассмотрения эвакуаций становится само движение
людей. Оно может быть свободным, вынужденным и паническим. При свободном
движении плотность потока людей минимальна. При этом движение имеет
субъективный характер - человек по своему усмотрению может изменить темп и
направление движения.
Вынужденное движение носит объективный характер, когда человек не может
самостоятельно изменить ни темп, ни направление движения, а при расположении в
центральной части потока перемещается, если он даже не касается ногами земли
(пола).
Вынужденное движение может при неправильной его организации перейти в
паническое, которое приводит к человеческим жертвам. При панике все или
большинство людей стремятся немедленно покинуть помещение, прилагая при этом
максимальные физические усилия. Во время паники плотность людского потока очень
высока, а скорость движения может равняться нулю.
Плотность людского потока - отношение количества людей, эвакуирующихся по
общему проходу, к площади этого прохода [1].
Человеком, заложившим основы для изучения движения людских потоков в
нашей стране, считается профессор Беляев. Раньше, для изучения движения людских
потоков проводились натурные исследования. В настоящее время для моделирования
движения людей используются различные программные продукты, например, Флоутек, Эватек,
Myriad, PedGo, Exodus,
Grid-Flow, STEPs,
Path-Finder, Floor-Field, Social-Force.
Такие исследования помогают смоделировать различные ситуации и
зафиксировать движение людей, высчитать примерные траектории их движения,
скорости.
Целью данной работы является:
- исследование особенностей дискретного и непрерывного
подходов;
- изучение стохастической дискретно-непрерывной модели;
- численное исследование полевой стохастической
дикретно-непрерывной модели движения людей на примере «коридор».
Глава 1. Описание проблемной области. История развития науки о
математическом моделировании движения людей
Среди вопросов, связанных с охраной безопасности в местах общественного
пользования, едва ли не самым острым является эвакуация мест скопления людей. В
зависимости от назначения сооружений следует различать два основных вида
эвакуации - постепенную и последовательную.
Различие между указанными двумя видами эвакуации заключается в том, что
первый из них может протекать индивидуально для каждого участника, тогда как
второй характеризуется объединенным движением массы людей. В первом случае
возможна индивидуальная скорость, во втором эта возможность исключается, так
как всякая попытка уклонения от общей скорости сопровождается частичным
уплотнением движущейся массы людей, что, в свою очередь, тормозит движение и
удлиняет время эвакуации [2].
Большие числа жертв на пожарах, а также изыскание путей повышения
эффективности деятельности оперативных работников пожарной охраны по их
спасению, свидетельствуют о необходимости всестороннего изучения поведения
людей на пожарах [3].
Для изучения различных ситуаций создаются математические модели различных
физических процессов.
Реальный эксперимент требует значительных затрат (и не может объять все
множество проблемных ситуаций). А иногда в качестве экспериментальных данных
могут выступать лишь результаты уже прошедших ЧП, подчас с трагическим исходом.
В связи с этим возникает необходимость в более безопасном и дешевом способе
«проигрывания» и оценивания различных сценариев во время перемещения
среднеплотных и плотных масс людей в ограниченном пространстве с целью
определения времени эвакуации из уже существующих или проектируемых зданий и
сооружений, определения наилучшей геометрии пространства с точки зрения
безопасности передвижения людей, обучению персонала эффективной (безопасной)
стратегии эвакуации и т. п. [1].
Вопросы организации движения больших масс людей в зданиях общественного
назначения давно привлекают внимание научно-исследовательских и проектных
организаций и отдельных специалистов главным образом с целью разработки методов
расчета и приемов нормирования эвакуации людей из зданий на случай пожара, так
называемой вынужденной эвакуации.
Исследования движения людских потоков впервые были поставлены на
серьезную научную основу профессором С.В. Беляевым. Под его руководством в
Институте архитектуры Всероссийской Академии художеств (ВАХ) в 1937 году было
произведено около 200 наблюдений за движением потоков в общественных местах,
при этом изучалась пропускная способность и скорость движения людских потоков.
Исследования показали, что пропускная способность одного элементарного
потока, представляющего собой один условно выделенный ряд людей, движущихся в
затылок друг другу, колеблется от 25 до 50 чел/мин. При этом плотность потока
составляла 4-5 чел/пог. м. пути, то есть соответствовала физическому пределу.
На этом основании было высказано мнение, что при максимальном уплотнении
пропускная способность потока составляет не менее 25 чел/мин [4].
В период с 1946 по 1948 г. 164 сотрудниками Всероссийского
научно-исследовательского института противопожарной обороны (ВНИИПО) под
руководством А.И. Милинского были проведены замеры плотности потока и
пропускной способности дверей (2303 замера), плотности и скорости движения
потока (3587 замеров) по горизонтальным путям, по лестницам вниз и вверх в
зданиях театров, учебных заведений, промышленных и транспортных предприятий,
расположенных в крупнейших городах России.
В зданиях столь различного назначения, площади горизонтальных проекций людей
значительно отличаются, поэтому им было предложено выражать плотность людского
потока не только как отношение количества людей в потоке к занимаемой ими
площади, но и как отношение площади горизонтальной проекции человека к
занимаемой им площади [5].
1.1 Особенности движения людей
Под удобствами при движении людей следует понимать обеспечение
оптимальной для здания данного назначения продолжительности процесса и
соблюдение определенной плотности на путях движения.
Ограничение продолжительности процесса движения определенным пределом
необходимо для обеспечения безопасности людей в случае аварийной ситуации.
Последняя может появиться в любом здании либо при возникновении пожара, либо
при землетрясении, если здание расположено в сейсмическом районе, либо при
аварии технологического оборудования. В аварийной ситуации проходы в помещениях
и коммуникационные помещения в зданиях становятся путями эвакуации людей. От
того, насколько пути движения людей при аварийной ситуации удовлетворяют
условиям эвакуации, зависят время и характер движения. Если пути движения
удобны, то есть имеют достаточную ширину, ровную и нескользкую поверхность
пола, простое очертание, позволяющее людям видеть ближайшие к цели движения
участки пути, то движение протекает быстро, без задержек, и не сопровождается
несчастными случаями. Наоборот, при неудачно решенных путях движения возникают
задержки движения, давка, повышается первое возбуждение людей, иногда
перерастающее в панику, которая, как известно, часто сопровождается трагическими
последствиями [4].
То есть при движении людей в различных ситуациях мы можем наблюдать
следующие явления:
- паника;
- образование скопления людей (пробка, давка) и задержка
движения. Это обычно происходит в дверных проемах и при сужении прохода или при
наличии на пути непреодолимого препятствия (например, колонна или человек,
который не движется или движется, но с меньшей скоростью);
- слияние людских потоков при пересечении путей следования и
противотоки, когда две группы людей движутся навстречу друг другу;
- «стадный инстинкт», когда люди выбирают направление движения,
основываясь на поведении других людей. Во время паники влияние «стадного
инстинкта» проявляется в наибольшей степени, запасные выходы игнорируются: все
бегут туда же, «куда и все»;
- фрикционные явления, когда два или более человека
«претендуют» на одно место [1].
1.2 Математические модели исследования
К настоящему времени наука о математическом моделировании движения и
поведения людей при эвакуации насчитывает 30-летнию историю. Первые математические
модели были достаточно примитивны по своим возможностям, но качественно
отражали установленную фундаментальную зависимость скорости от плотности
людского потока на простых примерах геометрии эвакуационных путей. Развитие
вычислительной техники, новые компьютерные технологии, появление новых данных о
моделируемом явлении привели к существенному усложнению моделей, расширению их
функциональных возможностей и увеличению адекватности воспроизводимых явлений в
гораздо более сложных расчетных случаях.
Математические модели движения людей строятся в основном, используя
следующие два подхода: непрерывный и дискретный (по времени и пространству)
[6]. Непрерывный подход основан на том, что движение людей описывается при
помощи дифференциальных уравнений. Такие модели позволяют учитывать
действительные размеры зданий и использовать индивидуальный подход к описанию
характеристик (физических и эмоциональных) людей. В непрерывных по пространству
моделях люди могут передвигаться по зданию от одной точки пространства к любой
другой доступной. Кроме того можно моделировать реальную «давку» людей [7, 8].
В
дискретных подходах пространство разбивается на ячейки (достаточно) мелкие. Как
правило, частица занимает одну ячейку. Передвижение возможно только по ячейкам
в каждый расчетный шаг, направления перемещения ограничены. За счет такого
представления существенно повышается скорость вычислений. Так, для одного
временного шага в дискретной модели требуется 
операций,
в непрерывной - 
, 
- число
человек. Также дискретные модели обладают более гибким инструментом для
описания (учета) взаимодействий каждого человека с окружающей средой (другими
людьми, инфраструктурой, поступающей информацией).
В силу таких особенностей некоторые компьютерные программы по расчету
эвакуации включают возможность вести комбинированные расчеты. Там, где важна
скорость вычислений, используют дискретные модели, а там, где точность, -
непрерывные.
Также следует выделить и ряд других характеристик, которые используются
для классификации математических моделей.
Индивидуальное и глобальное представление людей. В первом случае каждый
человек «обрабатывается» расчетным алгоритмом отдельно, могут учитываться
индивидуальные характеристики человека (масса, возраст, пол, скорость, роль в
процессе эвакуации и т.п.). В случае глобального представления рассматривается
лишь движение «массы» людей с определенными однородными характеристиками.
Детерминированные и стохастические модели. В первом случае в каждой
определенной ситуации при всех прочих равных условиях модель предписывает
одинаковые «действия» людям. Однако движение людей - по своей природе случайный
процесс, известно, что даже один и тот же человек в одинаковых ситуациях может
«отклониться» (пусть немного) от предыдущей «траектории». Но при этом в
основной своей массе люди проявляют направленность и предсказуемость своих
«действий». Поэтому введение в модель элементов случайности «покрывает»
проблему «прямого» математического описания случайных (в том числе
непредсказуемых) действий людей, здесь проявляет себя закон больших чисел: даже
если один человек по каким-то причинам решит действовать нетривиально, его
действия весьма малым образом повлияют на группу в целом. С другой стороны,
введением элементов случайности в модель сглаживается недостаток знаний о
процессе принятия решений людьми во время движения, особенно в экстренных случаях.
Использование стохастических моделей дает возможность воспроизводить и изучать
не единственную реализацию эвакуации, а распределение с выделением наиболее
«популярных» маршрутов, минимального, максимального и среднего времени
эвакуации и т.п.
1.2.1 Модели на основе уравнений динамики жидкости и газов
Первые модели движения людей берут свое начало в механике сплошных сред.
При средних и высоких плотностях движение людей имеет сходство с движением
жидкости и молекул газа. Так, например, человеческие следы на снегу похожи на
потоки жидкости, на границе между встречными потоками наблюдается образование
«языков из-за разности вязкостей», при перемещении через стоячую толпу
траектория движения напоминает речной поток, в плотной толпе наблюдается
распространение ударной волны. По этой причине самые первые модели передвижения
людей основывались на уравнениях динамики жидкости и газов. Этот класс моделей
относят к непрерывным детерминированным моделям с глобальным представлением
людей и низкой точностью.
На сегодняшний день, в мире насчитывается несколько десятков моделей,
которые используют различные способы представления внутренней среды здания
(точная либо грубая сеть), моделирование движения людей (индивидуальное,
групповое/поточное), по-разному учитывают психологические аспекты поведения
людей (действия при получении сигнала о пожаре, выбор маршрута, влияние опасных
факторов пожара).
В нашей стране приказ МЧС №382 допускает использование для расчетов три
модели людского потока: упрощенная аналитическая, имитационно-стохастическая и
индивидуально-поточная. Они относятся к классу «методов ручного вычисления».
Упрощенная аналитическая модель «пришла» в методику из ГОСТ 12.1.004-91, в
него, в свою очередь из СНиП II-2-80. Следует отметить, что для рассматриваемой
предметной области, именно этот этап ознаменовал переход к гибкому нормированию
- до этого по СНиП 2 А.5-70 все расчеты сводились к требованию: 0.6м ширины
выхода или прохода на 100 эвакуирующихся [9]. Данная модель является наиболее
простой и отработанной. Все пути эвакуации делятся на элементарные участки, на
каждом из которых рассматривается однородный поток со своими характеристиками.
Предполагается, что люди при эвакуации создают равномерно распределенные
потоки, не учитывается разнородность контингента эвакуирующихся, группа
мобильности, возникают сложности при расчете эвакуации из зданий с развитой
внутренней инфраструктурой.
В
начале 80-х годов прошлого века проф. В.В. Холщевниковым была разработана
модель ADLPV, которая в рамках современной терминологии называется
имитационно-стохастической. Эта модель значительно точнее за счет деления
здания на элементарные участки шириной около 1м и выполнения нескольких
расчетных операций в секунду для каждого участка. Например, для 2-х этажного
знания с площадью этажа около 1000 
потребуется
почти 40тыс. операций машинного счета. Тем не менее, применения модели
затруднено при анализе индивидуальных особенностей эвакуации человека. Для
реализации указанных моделей (упрощенной аналитической и
имитационно-стохастической) разработано программное обеспечение - модель
Флоутек.
В
описанных выше моделях объектом моделирования является людской поток. В
индивидуально-поточных моделях объектом моделирования является отдельный
человек (индивид), что открывает большие возможности, ограниченные лишь
профессионализмом разработчиков и пользователей [9].
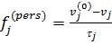
1.2.2 Модели, основанные на социальных силах (Social-force
model)
Модели,
включающие социальные факторы, являются детерминированными непрерывными
моделями, в которых взаимодействия между отдельными индивидами осуществляются
посредством использования идеи социальной силы или социального поля. Идея
заключается в том, что изменения в поведении могут быть представлены в терминах
полей или сил. Применительно к динамике передвижения людей, социальная сила 
представляет
влияние окружения (других людей, инфраструктуры) и изменяет скорость 
частицы 
. Эта
сила ответственна за величину ускорения каждой частицы. Основное уравнение
движения для частицы массы 
:

,
где

- общая
сила действия других частиц. 
-
обозначает «персональную» силу, которая позволяет частицам двигаться с
собственной скоростью 
и, таким
образом, действует как движущая сила:

,
где

- время
реакции или ускорения. При высоких плотностях также важными становятся
физические силы 
,
например, фрикционные движения или сжатие/уплотнение при непосредственном
контакте людей с друг другом.
Наибольшее
влияние на социальную силу 
оказывает
ближайшее окружение. Частицы «чувствуют» себя некомфортно, если они очень
близко расположены по отношению к другим частицам, что приводит к отталкивающим
силам между ними. Подобное наблюдается и по отношению к стенам и другим
препятствиям.
Теория клеточных автоматов берет свое начало с середины пятидесятых годов,
когда Джон фон Нейман поставил перед собой задачу доказать возможность
существования самовоспроизводящихся автоматов. Если такую машину снабдить
надлежащими инструкциями, она построит точную копию самой себя. В свою очередь
обе эти машины смогут построить еще две; четыре машины построят восемь и т. д.
[10, 11].
Мотивацией для развития дискретных моделей послужила ограниченность
компьютерных мощностей того времени. Поэтому дискретная модель, которая
реалистично воспроизводила свойства передвижения человека, была во многих
отношениях действительным улучшением над существующими непрерывными подходами.
В
таких моделях взаимодействие между частицами осуществляется на основе правил.
Время, пространство, параметры состояния являются дискретными величинами.
Дискретность времени означает, что позиция частиц обновляется при четко
определенных шагах. В компьютерном моделировании это реализуется с помощью
параллельного или одновременного обновления, где все частицы передвигаются в
одно и тоже время. Временной шаг соответствует естественной шкале времени 
, которая
может быть идентифицирована с временем реакции. Это может быть использовано для
калибрования модели, которое необходимо для количественного расчета.
Естественная пространственная дискретизация может быть получена из максимальной
плотности, наблюдаемой в плотном потоке, которая дает минимальное пространство,
занимаемое только одним человеком. Обычно каждая ячейка в клеточных автоматах
(КА) может быть занята только одной частицей (принцип исключения), так что
минимальное пространство для одного человека может быть соотнесено с размером
ячейки. В этом случае, принимаемая максимальной плотность 6,25 человека/
приводит
к размеру ячейки 40х40 
.
Динамика обычно определяется на основе правил, которые определяют
переходные вероятности для перемещения от одной ячейки к другой. Модели
различаются в определении этих переходных вероятностей и в выборе «соседних»
ячеек (рис. 1.1). Для детерминированных моделей все переходные вероятности,
кроме одной, равны нулю.
Первые модели передвижения людей на основе КА могут рассматриваться, как
двухмерные варианты простого асимметричного процесса с исключением (ASEP).
Большинство этих моделей представляет людей, как частиц без какой-либо
внутренней степени свободы. Они могут передвигать частицы от одной ячейки к
другой, основываясь на некоторых переходных вероятностях, которые определяются
под действием трех факторов: желаемое направление перемещения (например, найти
самый короткий путь), взаимодействие с другими частицами, взаимодействия с
инфраструктурой (стенами, дверьми и т.д.).
Рисунок 1.1 - Возможные направления движения и вероятности переходов,
если используется окрестность фон Неймана.
В дальнейшем появились расширения и вариации, например, различные типы
обновления положения частиц; одновременное движение частиц, стоящих лицом к
лицу; возможность обратного шага.
1.2.4 Полевая КА-Модель (Floor Field CA model)
Хорошо известной является КА-модель, в основе которой лежит использование
так называемых полей для моделирования движущей силы и взаимодействия с другими
людьми (Floor Field (FF) модель). FF-модель может рассматриваться, как
расширение ASEP. Однако переходные вероятности являются динамичными и меняются
(вычисляются) на каждом расчетном шаге для каждого человека.
В
модели предлагается использовать два поля - динамическое 
и
статическое 
. Эти
поля имеют такую же дискретную структуру, как и само пространство, по которому
передвигаются люди в КА моделях. Динамическое поле 
соответствует
виртуальному следу, который создается движением частиц по одной и той же клетке
и оказывает влияние на движение других. Оно имеет свою собственную динамику, а
именно, рассеивание и забывание. Статическое поле 
не
изменяется со временем, представляет своего рода карту местности, где каждая
ячейка содержит обратное расстояние до ближайшего выхода с учетом всех
недвижимых препятствий. Поле 
не
зависит от наличия/отсутствия людей в рассматриваемой области. Значения
статического поля уменьшаются с увеличением расстояния от двери.
Переходные
вероятности для всех частиц зависят от значений полей 
и 
в
соседних клетках. Формула вычисления вероятностей устроена так, что наибольшая
вероятность придается направлениям с наибольшими значениями поля.
Влияние
обоих полей на движение частицы контролируется константами 
и 
соответственно.
Чем больше значение 
, тем
более направленное движение к выходу, и более короткий путь выбирают частицы.
При сильном привязывании к динамическому полю, то есть увеличении 
,
наблюдается все ярче выраженное «стадное» поведение, когда индивидуумы пытаются
следовать за другими, что часто происходит в аварийных ситуациях.
В
модели используется так называемое полностью параллельное обновление. Поэтому
возникают конфликты, связанные с тем, что на одну ячейку может претендовать
несколько частиц. В этих случаях с вероятностью 
одной из
частиц, которая выбирается случайно из всех кандидатов, разрешается
переместиться в спорную клетку, остальные остаются на месте. Это позволяет
описывать эффект затруднения движения между частицами. Параметр
можно интерпретировать как некоторый вид локального
давления между частицами. Если t мало, тогда соседние частицы
могут сильно мешать друг другу достичь желаемых ячеек (эффект вязкости).
Отметим
российский вклад в развитие КА-методов моделирования движения людей. Впервые в
КА-модель было введено понятие радиуса видимости в работе Малинетского Г.Г.
«Применение клеточных автоматов для моделирования движения людей». Это дало
возможность учитывать наличие частиц или препятствий не только в соседних
клетках, но и на заданном расстоянии, тем самым увеличив степень влияния
окружающей среды на выбор траектории индивидуумом. Однако сама модель не
получила развития, поскольку рассматривался лишь однонаправленный случай
движения.
В
дальнейшем идея использования радиуса видимости была обобщена с идеей
использования прямого поля 
в
качестве «карты» местности (в силу разных причин от использования динамического
поля 
, как в
оригинальной полевой модели, авторы данной модели отказались) [12, 13, 14].
Была разработана и исследована стохастическая полевая КА-модель движения людей
с элементами искусственного интеллекта SigMA.CA (Stochastic field Movement of Artificially People Intelligent Cellular Automata model).
Возможность «исследования» окружающей обстановки позволила сделать процедуру
выбора направления движения на следующем шаге адаптивной к текущей ситуации.
Идея такова, что наибольшую вероятность имеет направление с благоприятными для
движения условиями. Это позволяет воспроизводить движение людей так, что они
руководствуются двумя стратегиями - кратчайшего пути, если он свободен
(поскольку движущей силой для частиц является уменьшение значения поля 
), или
кратчайшего времени, если свободен обходной путь.
Глава 2. Дискретно-непрерывная модель
Дискретность КА-модели по пространству является преимуществом с точки
зрения математики и вычислительных процедур. Но с точки зрения практических
приложений это является недостатком. Порой в фокусе исследования оказываются
изменения ширины проема, коридора в пределах 5-15 см на объекте. В силу
большего размера ячейки, КА-модели являются нечувствительными к таким
изменениям линейных размеров объекта. Возникают проблемы с «расстановкой»
мебели в таком дискретном пространстве (например, это актуально для детского
сада, где размеры мебели в большинстве случаев не оказываются кратными размеру
ячейки, при этом площади помещений весьма ограничены). Также в КА-моделях
затруднительным является задание разных размеров и форм частицам.
Кроме того, в дискретной модели движение частицы может осуществляться
только в одном из четырех направлениях, так как поле разделено на ячейки.
Минусом непрерывного подхода является то, что он основан на том, что
движение людей описывается при помощи дифференциальных уравнений. Довольно
сложным является определение правых частей этих уравнений [15].
Помимо этого существуют и положительные стороны этих моделей. Дискретная
модель позволяет воспроизводить различные явления физического аспекта движения
людей: слияние, переформирование (растекание, уплотнение), неодновременность
слияния потоков, образование и рассасывание скоплений, обтекание поворотов,
движение в помещениях с развитой внутренней планировкой, противотоки и
пересекающиеся потоки. Предусмотрена возможность учета изменения видимости,
информированности людей с планировкой здания, заблаговременного обхода
препятствия, использование различными стратегиями движения (кратчайшего пути и
кратчайшего времени) [16]. А непрерывные модели позволяют учитывать массу и
скорость отдельного человека (то есть его физические параметры). И в этой
модели нет никаких ограничений на направление и длину шага [15].
Содержание задач, связанных с расчетом эвакуации, накладывает
определенные требования к математическому аппарату, который следует
использовать для моделирования процесса эвакуации. В последнее время частым
явлением стали расчетные случаи, включающие помещения с развитой внутренней
инфраструктурой (лекционные и зрительные залы, учебные классы, торговые залы и
т.п.), важен учет уникальных физических параметров (включая возраст).
Объединение преимуществ обеих моделей позволило перейти на новую ступень
в изучении движения людского потока. Появившаяся новая модель носит название
полевой дискретно-непрерывной модели эвакуации «SigMA.DC» (Stochastic field Movement of Artificially People Intelligent discrete-continuous model - стохастическая полевая непрерывно-дискретная модель
движения людей с элементами искусственного интеллекта).
Эта модель учитывает зависимость скорости человека от плотности,
возраста, эмоционального состояния, группы мобильности. Она является
непрерывной по пространству в выбранном направлении, но предполагается лишь
конечное число направлений, куда может сдвинуться человек из текущей позиции
[16, 17].
В таблице 1 сведены наиболее значимые, по мнению многих исследователей,
критерии для выбора математической модели, а также сравнительный анализ трех
моделей из Методики расчета пожарного риска (Приложение к Приказу МЧС России
N382 от 30.06.2009 [16]) и полевой модели эвакуации SigMA.DC.
Приведенный список возник исходя из необходимости наиболее близко к реальному
воспроизводить сценарии эвакуации из научных и образовательных учреждений со
свойственной им спецификой: движение людей в помещениях с развитой
инфраструктурой, различные роли (последовательность предписанных действий)
отдельных эвакуирующихся, уникальные физические параметры (включая возраст),
различный уровень информированности о правилах пожаробезопасности и планировки
зданий, изменяющийся уровень видимости. Так же интересовал вопрос расширяемости
модели для интеграции с моделями развития опасных факторов пожара.
Таблица 1 - Сравнительный анализ моделей упрощенной аналитической,
индивидуально-поточной, имитационно-стахостической и полевой - SigMA.DC моделей эвакуации.
|
Критерии
|
Модели
|
|
У-А
|
И-П
|
И-С
|
SigMA.DC
|
|
Переформирование потока (растекание, уплотнение)
|
-
|
-
|
+
|
+
|
|
Слияние потоков
|
+
|
+
|
+
|
+
|
|
Неодновременность слияния
|
-
|
-
|
+
|
+
|
|
Расчленение
|
+/-
|
+/-
|
+
|
+
|
|
Образование и рассасывание скоплений
|
+/-
|
+/-
|
+
|
+
|
|
Учет неоднородности людского потока (вариабельность
физического и эмоционального состояния)
|
-
|
+
|
-
|
+
|
|
Движение в помещении с развитой внутренней планировкой
|
-
|
-
|
-
|
+
|
|
Движение по участкам «неограниченной» ширины
|
-
|
-
|
-
|
+
|
-
|
-
|
-
|
+
|
|
Учет индивидуальных сценариев эвакуации (выполнение
инструкций, задание ролей)
|
-
|
-
|
-
|
+
|
|
Учет противотоков и пересекающихся потоков
|
-
|
-
|
-
|
+
|
|
Учет условий видимости
|
-
|
-
|
-
|
+
|
Анализ данных из таблицы показывает, что подавляющее преимущество имеет
полевая модель SigMA.DC.
Именно эта модель и является объектом изучения данной работы.
.1 Постановка задачи
Движение частиц рассматривается на плоскости.
Частицы
представляют собой диски. В начальный момент времени их положение задается
координатами центров дисков 
, 
, где N -
количество частиц в рассматриваемом пространстве. Каждой частице приписывается
скорость свободного движения 
. Площадь
проекции 
-
пространство (в форме диска с диаметром 
с
центром в точке 
),
занимаемое проекцией 
-ой
частицы в момент времени 
.
Целью
движения частиц является достижение выхода. В момент времени 
частица 
может
переместиться в одном направлении из заранее определенного списка 
, 
-
количество возможных направлений. Направление движения предполагается случайным
и определяется на основе вероятностей переходов в каждом направлении для каждой
частицы и набора правил переходов частиц. Величина сдвига в пределах расчетного
шага определяется плотностью частиц в выбранном направлении.
.2 Решение
В
каждый момент времени 
положение
каждой частицы будет определяться следующим образом:
где

-
координата в предыдущий момент времени;

, [м/сек]
- скорость частицы, определяемая по значению плотности частиц в направлении 
;

, [сек] -
временной шаг.
Направление

, 
и
соответствующие величины 
, 
сдвигов
для всех людей определяется по следующему алгоритму:
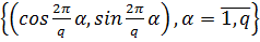
1. Вычисление вероятностей переходов и предполагаемых координат:
1.1. Для

-ой
частицы (
), центр
которой находится в точке 
,
вычисляются вероятности сдвинуться в момент времени t в направлениях

с учетом
действия поля 
.
Вероятность
сдвинуться в направлении 
относительно
текущего положения определяется по формуле:

,
где

;

-
параметр модели, радиус видимости. Этот параметр определяет продольный размер
области 
(рис.
2.1) в данном направлении, в рамках которой люди и инфраструктура помещения
влияют на движение частицы;
Рисунок
2.1 - Схема построения области видимости в направлении 
и
взаимное расположение объектов.

- минимальное
расстояние до пересечения области 
с
ближайшим (недвижимым) препятствием;

-
плотность людей в данном направлении, которая вычисляется как отношение площади

, занятой
частицами, находящимися в области 
на
расстоянии не большем 
от
базовой грани, к площади этой области 
:

, 
; (1)

-
параметр чувствительности, который можно интерпретировать как знание
кратчайшего пути к выходу или желание двигаться к выходу;

-
параметр чувствительности к препятствиям, который позволяет определять
расположение стен и препятствий;

-
параметр чувствительности людей, который определяет влияние плотности. Чем выше
значение параметра 
, тем
больше кратчайшие сроки;

,
где

-
значение статистического поля в точке с координатой 
, 
-
значение статистического поля в точке с координатой 
;

-
эта функция регулирует приближение к стенам, величина w может
рассматриваться как параметр модели (коэффициент «неприлипания» к стенам),
причем она может быть константой, в самом простом случае 
=0.
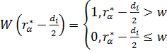
.2.
Если 
, то
частица не меняют своего положения.
.3.
Если 
, тогда
на основе полученного распределения вероятностей определяется целевое
направление 
.
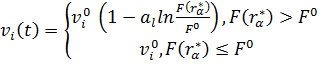
.4.
Определяется новая координата частицы:
.4.1.
Вычисляется предполагаемая координата частицы:

,
где
скорость 
зависит
от скорости свободного движения 
и
плотности 
и
определяется:

,
где

-
коэффициент адаптации людей к изменениям плотности во время движения по l-ому
пути;

-
критическая плотность, до достижения которой наличие других людей в потоке не
влияет на изменение скорости человека.
.4.2.
Если 
или 
, 
, где 
- след,
который оставит частица 
,
двигаясь из положения в момент времени 
в
предполагаемое новое положение, 
-
коэффициент уплотнения, параметр модели, который может быть как константой, так
и функцией от плотности (то есть на пути частицы 
из
предыдущего положения в новое не находятся другие частицы вообще, или
находятся, но в пределах коэффициента уплотнения), тогда новое положение
частицы 
фиксируется.
.4.3.
если условия пункта 1.4.2 не выполняются, тогда предполагаемая координата
частицы 
корректируется
таким образом, чтобы эти условия выполнились:

, 

, 
.
Если
этого добиться невозможно, то частица остается на своем месте.
. После
того, как предполагаемые координаты всех людей на следующем расчетном шаге
вычислены, применяется процедура разрешения конфликтов. Эта процедура
применяется в случае, если находятся такие частицы с номерами 
, 
, что 
, то есть
на одно место претендуют более одного человека. Тогда перемещению всех частиц
будет отказано с вероятностью 
. С
вероятностью 
один
кандидат (выбираемый случайно) передвинется в спорную координату, а остальные
останутся на месте.
. Все
частицы, которым разрешено перемещение, сдвигаются в новые координаты
одновременно.
. Если
человек достиг контрольного среза, он удаляется из расчетной схемы [6, 15].
Глава 3. Численные исследования
Проведено численное исследование модели на следующем примере: движение
людей рассматривается на прямом коридоре шириной 2 метра и длинной 50 метров
без каких-либо помех в виде колонн или мебели. В коридоре равномерно по области
располагаются 400 человек. Модель данного коридора представлена на рис. 3.1.
Также на нем обозначены примерные местоположения частиц в данном коридоре.
Рисунок 3.1 - Модель коридора с расположенными в нем частицами.
Положения частиц в начальный момент времени заданы, и известны их новые
положения в каждый момент времени, и скорости, с которыми частицы переходят в
свои новые положения.
Заданы
параметры чувствительности: 
, 
, 
.
Данные
коэффициенты позволяют с помощью модели воспроизводить направленное движение
частиц к цели. Они «видят куда идти и знают куда идти».
Радиус
видимости 
. Это
максимальное расстояние, на котором плотность людей будет влиять на вероятность
сдвинуться в выбранном направлении.
Для
каждой частицы целью является выход из этого коридора, то есть достижение
контрольного среза, находящегося на пятидесятом метре этого коридора. Как
только частица достигает контрольного среза, она удаляется из системы расчетов
и в дальнейшем не участвует в процессе. Уменьшение частиц в коридоре можно
видеть в приложении А. Видим, что количество частиц уменьшается, и движение
происходит строго в направлении выхода. Причем заметны некоторые разрежевания
частиц в середине потока на продолжении всей длины коридора и выстраивание
«очередей» вдоль стен. Визуально можем заметить, что ближе к выходу плотность
гораздо ниже, чем в хвосте, где заметно больше частиц.
На
скорость движения частиц влияет плотность. Согласно эксперименту, начальная
плотность предполагается равной 0,64. Вычислена она следующим образом: общая
площадь коридора составляет 2*50=100 
и, если
бы эта область была максимально заполнена, то на ней находилось бы 625 частиц,
но, по эксперименту, находится в нем 400 частиц. Начальную плотность получили 
. Расчет
локальной плотности частиц на 1 расчетном шаге приложения Б показывает, что
плотности в основном близки к начальной. Но, с течением времени можно
наблюдать, что увеличивается число частиц, находящихся в областях других
плотностей. Это можно объяснить тем, при начале движения частиц плотности
начинают изменяться. В каждый расчетный шаг плотности рассчитывались локально для
каждой частицы по формуле (1). Приложения Б и В позволяют заметить выраженную
динамику движения частиц. Различными маркерами на графиках этих приложений
указаны частицы, соответствующие различным плотностям. Графики на этих рисунках
изображают различные шаги с большим интервалом во времени, чтобы можно было
нагляднее проследить изменение скорости движения. Частицы, располагающиеся в
области с меньшей плотностью, движутся быстрее, чем те, что находятся в зонах с
более высокой плотностью, что соответствует натурным наблюдениям [18, 19]. В
силу того, что плотности для каждой частицы рассчитываются локально,
наблюдаются небольшое количество частиц, которые, попадая в зону с малой
плотностью и способные двигаться с большой скоростью, находятся на всей длине
коридора. В обоих приложениях мы наблюдаем, что со временем количество частиц,
находящихся в зоне со средней плотностью, становится больше. Соответственно, и
средняя скорость будет увеличиваться. А со временем некоторые плотности и вовсе
перестают существовать. Также нам видно, что встречаются ситуации конфликта,
когда частицы, находящиеся в области с небольшой и средней плотностями, имеют
нулевую скорость. С течением времени, то есть с уменьшением частиц в области и
разуплотнением потока, количество конфликтных ситуаций снижается. Приложение Б
показывает то, что движение частиц происходит не одновременно, а сначала в
более активное движение вступают частицы, находящиеся ближе к выходу, так как у
них нет или малое число помех, а значит они быстро достигают выхода из
коридора. Когда фронтальная часть проходит к выходу, в коридоре освобождается
место, и частицы, расположенные следом, могут увеличить свою скорость, попадая
в область меньшей плотности.
В приложении В мы также можем видеть, что происходит с постепенным
нарастанием скорости. Выход из коридора частиц приводит к уменьшению плотности
людей в коридоре, что, в свою очередь, приводит к увеличению средней скорости.
На 1 расчетном шаге в основном присутствуют малые скорости в силу больших
плотностей, а в течение времени, с постепенным уменьшением числа частиц в
расчетной области, плотность двигающихся частиц уменьшается, что позволят
увеличить скорость движения. Это приводит к снижению числа конфликтных
ситуаций. И эта динамика отображена на графиках в приложении В. Эти графики
позволяют четко увидеть, что частицы, имеющие наибольшую скорость и находящиеся
в области с наименьшей плотностью, двигаются вдоль стен.
Заключение
В бакалаврской работе:
. были рассмотрены различные модели движения людей;
. были выявлены достоинства и недостатки дискретного и
непрерывного подходов к моделированию движения людей;
. выделена причина объединения двух подходов в один;
. проведено численное исследование стохастической
дискретно-непрерывной модели, модельные результаты соотнесены с натурными
данными.
По итогам проведения эксперимента видим, что дисперсия скорости
увеличивается с уменьшением плотности. Все полученные результаты соответствуют
ожидаемым и согласуются с натурными данными.
модель дискретный стохастический
Список использованных источников
1 Математическое моделирование движения людей: сайт /
Красноярск, 2009.
2 Беляев С.В. Эвакуация здания массового назначения /
С.В. Беляев. - М.: Издат. Всесоюзной академии архитектуры, 1938. - 72с.
Дутов В.И. Психофизиологические и гигиенические
аспекты деятельности человека при пожаре / В.И. Дутов, И.Г. Чурсин. - М.: СЦЕМП
"Защита", 1993. - 296с.
Предтеченский В. М. Проектирование зданий с учетом
организации движения людских потоков: Учеб. пособие для вузов / В. М.
Предтеченский, А. И. Милинский. - М.: Стройиздат, 1979. - 375с.
Эвакуация при пожаре: информационный сайт / При
поддержки коллектива энтузиастов Академии Государственной противопожарной
службы МЧС РФ (бывш. ВИПТШ МВД СССР).
Кирик Е.С., Юргельян Т.Б., Круглов Д.В., Малышев
А.В. О непрерывно-дискретной стохастической модели движения людей // Материалы
XIII Всероссийского семинара Моделирование неравновесных систем, Красноярск:
ИВМ СО РАН, 2010. С. 81-85.
7 Schadschneider, W. Klingsch, H. Kluepfel, T.
Kretz, C. Rogsch, A. Seyfried; Evacuation Dynamics: Empirical Results, Modeling
and Applications. Encyclopedia of Complexity and System Science. Springer,
2009.
Helbing D. Traffic related self-driven
many-particle systems/ D. Helbing. - Rev. Mod. Phys., 73 (4), 2001. - pp.
1067-1141.
9 Самошин Д.А. Программные комплексы для расчета
эвакуации людей / Материалы международной конференции «Производство.
Технология. Экология». Ижевск. 2010. с 50-52
Википедия. Свободная энциклопедия: сайт
Гарднер М. Игра «Жизнь» Электронный ресурс.
12 Kirik E. Artificial Intelligence of Virtual
People in CA FF Pedestrian Dynamics Model / E. Kirik, T. Yurgel'yan, D.
Krouglov ; LNCS, V. 6068/2010, 2010.- pp.513-520.
Kirik E. The Shortest Time and/or the
Shortest Path Strategies in a CA FF Pedestrian Dynamics Model [Текст] / E. Kirik, T. Yurgel'yan, D.
Krouglov ; Журн. СФУ. Сер. Матем. и физ., 2:3 , 2009. - c.
271-278.
14 Кирик Е.С. О дискретной модели движения людей с
элементом анализа окружающей обстановки [Текст] / Е.С. Кирик, Т.Б. Юргельян, Д.В.
Круглов ; Журнал Сибирского федерального университета, Серия «Математика и
физика» Т.1, N 3, 2008.- c.266-276.
15 Kirik E., Yurgel'yan T., Krouglov D. On
discrete-continuous stochastic floor field pedestrian dynamics model SIgMA.DC
// In book “Emergency evacuation of people from buildings”, Warsaw: SGSP, 2011.
P.155-163.
16 Об утверждении методики определения расчетных величин
пожарного риска в зданиях, сооружениях и строениях различных классов
функциональной пожарной опасности [Текст]: Приказ МЧС России от 30 июня 2009
года ; зарег. в Минюсте РФ 06.08.2009.- N 14486.
Холщевников В.В. Эвакуация и поведение людей при
пожарах: учеб. пособие, АГПС МЧС России / В.В. Холщевников, Д.А. Самошин. - М.,
2009. - 212 с.
18 Hanea D.M. Human Risk of Fire: Building a decision
support tool using Bayesian networks / D.M. Hanea. - Wöhrmann Print Service,
2009.
19 Kuligowsky E.D. A review of evacuation models.
National Institute of Standards and Technology / E.D. Kuligowsky, Peacock R.D.
// U.S. Department of Commerce, Technical note. - 2005. - V.1471. - P. 156.
Приложение А
Расположение частиц в различные моменты времени.) 1 расчетный шаг
) 220 расчетный шаг
) 300 расчетный шаг
) 380 расчетный шаг
Приложение Б
Распределение скоростей по
длине коридора
Приложение В
Распределение скорости по
ширине коридора