Технологический процесс восстановления корпуса коробки передач автомобиля КАМАЗ-5320

  • Вид работы:
    Курсовая работа (т)
  • Предмет:
    Транспорт, грузоперевозки
  • Язык:
    Русский
    ,
    Формат файла:
    MS Word
    116,78 Кб
  • Опубликовано:
    2014-03-27
Вы можете узнать стоимость помощи в написании студенческой работы.
Помощь в написании работы, которую точно примут!

Технологический процесс восстановления корпуса коробки передач автомобиля КАМАЗ-5320

Содержание

Введение

1. Исследовательская часть

2. Расчетно-технологическая часть

. Организационная часть

4. Конструкторская часть

3аключение

Литература

Введение

Автомобильный транспорт занимает значительную нишу в общем объеме транспортных работ как грузовых, так и пассажирских перевозок на территории Российской Федерации и стран СНГ.

Согласно требований ГОСТ Р51709 - 2001 и правил эксплуатации необходимое и постоянное условие - исправное и работоспособное состояние работающего подвижного состава, следовательно возникает необходимость совершенствования производственной базы предприятий автомобильного транспорта для поддержания имеющейся техники в работоспособном состоянии. Это в полной мере относится к предприятиям автомобильного транспорта и требует значительного увеличения роли и повышения качества технического обслуживания и ремонта автомобилей.

Основным агрегатом определяющим надёжность автомобиля является двигатель. Для содержания двигателя в исправном состоянии требуется сеть сервисных, а для качественного восстановления работоспособности двигателя - конкурентоспособных авторемонтных предприятий.

Важными задачами развития этих предприятий являются:

повышение уровня специализации, кооперации, и централизации ремонтного производства;

улучшение производственных связей между отдельными предприятиями;

значительное расширение масштабов технического перевооружения и реконструкции действующих предприятий;

внедрение высокоэффективного оборудования, новых технологических процессов;

улучшение использования производственных мощностей;

снижение себестоимости ремонтной продукции

Целью курсового проектирования по предмету: " Ремонт автомобилей" Является систематизация и закрепление знаний приобретенных студентом при теоретическом изучении предмета, выполнения задач производственной практики, предусмотренной учебным планом образовательного учреждения и самостоятельных контрольных работ, предусмотренных учебным планом дисциплины.

Задачей данного проекта является разработка технологического процесса восстановительного ремонта картера коробки передач автомобиля КАМАЗ-5320, подбор технологической оснастки и расчет оптимальных технологических режимов обработки и затрат времени на операции, разработка рабочих мест сварочного участка с оформлением планировочного решения.

ремонтный технологический обработка сварочный

1. Исследовательская часть

Характеристика детали

Конструктивно-технологическая характеристика коробки передач КМАЗ-5320

Таблица 1

Параметры

Значения параметров

1

Класс детали

Корпусная

2

Материал детали

Чугун СЧ 21

3

Твердость ремонтируемой поверхности детали

НВ 170-221

4

Способ получения заготовки

Литье

5

Термическая обработка

Искусственное старение

 6

Шероховатость ремонтируемой поверхности детали

Поверхности под подшипники Ra=1,25мкм

7

Применяемое при изготовлении оборудование

Станки: Фрезерные, сверлильный и расточной

8

Основные конструкционные элементы

Отверстия под подшипники, каналы масляные, резьбы метрические

9

Требования к точности: - размеров -формы  -положения поверхности

отверстие под подшипники нецелендричность отверстий под подшипники не более 0,02 мм несоосность не более 0,03 мм

10

Масса детали, кг

12 кг

11

Свариваемость материала

плохая

12

Установочные базы

Торцевые поверхности и два установочных отверстия


Условия работы детали

Таблица 2

Дефекты

Условия работы



Род и вид трения

Действующие нагрузки

Агрессивная среда

1

Трещина длинной 25 мм

отсутствует

усталостные

Отсутствует

2

Износ отверстия под подшипник первичного вала

Граничное трение скольжение

Радиальные, динамические вибрационные

Загрязненная смазка

3

Износ отверстия под подшипник первичного вала

Граничное трение скольжение

Радиальные, динамические вибрационные

Загрязненная смазка


Характеристика дефектов

Карта технических требований на дефектацию детали

Таблица 3

Наименование дефектов

Способ определения

Размеры, мм.

Заключение




Номинальный

Допустимый без ремонта


1

Трещина длинной 25 мм

Визуально, опрессовка

-

-

Заварить трещину

2

Износ отверстия под подшипник первичного вала

Нутромер индикаторный НИ 160

Расточить установить ремонтную втулку

 3

Износ отверстия под подшипник вторичного вала

Нутромер индикаторный НИ 160

Расточить установить ремонтную втулку


Причины возникновения дефектов

Таблица 4

Наименование дефекта

Причина возникновения дефектов

1

Трещина на длинной 25 мм

Усталостные, вибрационные нагрузки, удары при эксплуатации детали

2

Износ отверстия под подшипник первичного вала

Динамические, вибрационные нагрузки в условиях граничного трения скольжения

3

Износ отверстия под подшипник вторичного вала



Выбор и обоснование способов устранения дефектов детали

Выбор способа восстановления детали во многом зависит от конструктивно технологических особенностей и условий работы поверхности детали, величины и характера их износа, механических свойств материала детали, а так же технологических характеристик самих способов восстановления, определяющих долговечность отремонтированных деталей и себестоимость их восстановления. Оценка способов восстановления должна производится по критериям применимости, долговечности и экономичности.

Определение способов ремонта по критерию применимости

Критерии применимости(технологический критерий) определяет принципиальную возможность применения различных способов восстановления.

Выбор по критерию применимости приведен в табличной форме (табл.5)

Таблица 5

Способ ремонта




+ / -

Обоснование решения

+ / -

Обоснование решения

+ / -

Обоснование решения

1

Механическая обработка (РР)

-

По характеристике дефекта

-

по технологии ремонта.

-

по технологии ремонта.

2

Постановка ДРД

-

по технологии ремонта.

+

по технологии ремонта.

+

по технологии ремонта.

3

Пластическая деформация (ПД)

-

по технологии ремонта.

-

по технологии ремонта.

-

по технологии ремонта.

4

Ручная электросварка (РЭС)

+

по технологии ремонта.

 -

по технологии ремонта

-

по технологии ремонта

5

Ручная газовая сварка (РГС)

+

по технологии ремонта.

-

по технологии ремонта.

-

по технологии ремонта.

6

Аргоновая сварка (АДС)

-

по технологии ремонта.

-

по технологии ремонта.

-

по технологии ремонта.

7

Наплавка под флюсом (НДФ)

-

по технологии ремота.

-

по технологии ремонта.

-

по технологии ремонта.

8

Наплавка в среде СО2 (НУГ)

-

по технологии ремонта

-

по технологии ремонта

-

по технологии ремонта

9

Вибрационная наплавка (ВДН)

-

по технологии ремонта

-

по технологии ремонта.

-

по технологии ремнта.

10

Наплавка плазменная (ПН)

-

по технологии ремонта.

-

по технологии ремонта.

-

по технологии ремонта.

11

Пайка (П)

-

по технологии ремонта.

-

по технологии ремонта.

-

по технологии ремонта.

12

Напыление (Н)

-

по технологии ремонта.

-

по технлогии ремонта.

-

по технологии ремонта.

13

Железнение (Ж)

-

по технологии ремонта

-

по технологии ремонта.

-

по технологии ремонта.

14

Хромирование (Х)

-

по технологии ремонта

-

по технологии ремонта.

-

по технологии ремонта.

15

Синтетические материалы (СМ)

+

по технологии ремонта.

-

по технологии ремонта.

-

по технологии ремонта.

 Примечпние: "+" - Способы, применяемые для ремонта детали,

"-" - Способы которые невозможно применить.

Выбор способа ремонта по критериям долговечности и экономичности

Таблица 6

Наименование дефекта.

Критерии способа

Окончательный выбор



Примени-мости

Долговеч-ность

Экономич-ность


1

Трещина длинной 25 мм

АДС



АДС



СМ




2

Износ отверстия под подшипник первичного вала

РР

0,86

27,2

ДРД



ДРД

0,81

24,2




АРС

0,49

0,14


3

Износ отверстия под подшипник вторичного вала

РР

0,86

27,2

ДД



ДРД

0,81

24,2




АРС

0,49

0,14



 Выбор способов приведен по критериям долговечности, так как анализ себестоимости восстановления некоторых из указанных способов в современных условиях затруднен.

. Расчетно-технологическая часть

Разработка схемы технологического процесса восстановления картера коробки передач автомобиля КАМАЗ-5320

Таблица 7

Наименование дефекта

Способ устранения дефекта

№ оп

Нименование (содержание операции)

Установ. база

1

Трещина на задней стенке коробки

АДС

1

Сварочная( зачистить стенку и разделать под конус по всей длине, заварить шов, зачистить шов за под лицо со стенкой , проверить шов на герметичность апресовкой.)

Любая поверхность обеспечивающая удобство работы

2

Износ поверхности под подшипник первичного вала

ДРД

1

Расточная(расточитьотверстие под подшипник в размер втулки)

Торцевые поверхности картера




2

Слесарная (установить втулку в отверстие под подшпник)





3

Расточная(расточить втулки в номинальный размер)


3

Износ поверхности под подшипник вторичного вала

ДРД

1

Расточная (расточить отверстие под подшипник в размер втулки)

 -




2

Слесарная (установить втулку в отверстие под пошипник





3

Расточная(расточить втулки в номинальный размер)

 


Разработка плана технологических операций восстановления картера коробки передач автомобиля КАМАЗ-5320

Таблица 8

Наименование операции

Оборудо-вание

Приспособ-ление

инструмент





рабочий

измер.

005

Сварочный аппарат А547Р

Тиски

Медный молоток проволка ПАН4-11 1,2мм

-//--//-

010

Расточная(расточить отверстие под подшипник первичного и вторичного валов в размер ремонтной втулки)

Станок координатно- расточной модели 2А78М

 Болты и планки

Резец расточной ВК3М

Нутромер НИ160

015

Слесарная (установить втулки в отверстие под подшипники)

Пресс запресовочный Р342М

Подставка

Оправка

Штанген-циркуль ШЦ-I-125 ГОСТ 166-80

020

Расточная (расточить втулки в номинальный размер подшипников первичных и вторичных валов)

Станок координатно- расточной модели 2А78М

Болты и планки

Резец расточной ВК3М

Нутромер НИ-160


 Расчет производственного запаса

В условиях серийного производств размер партии ремонтируемых деталей определяют равной месячной потребности ремонтируемых деталей, но для месячного запаса, особенно для крупногабаритных деталей, требуется большая площадь складских помещений, поэтому размер партии деталей рассчитывают с учетом декадного или дневного запасов для конкретных условий производства. Соответственно определяем размер партии деталей: Местный, декадный, дневной:

месячный

,(шт) [ 2.1 ]

Декадный

, (шт) [ 2.2 ]

Дневной

, (шт) [ 2.3 ]

где: Nг - годовая производственная программа авторемонтного предприятия, принимается по заданию на проект- 100 автомобилей;

Крм - маршрутный коэффициент ремонта, Крм = 1,02;

n - количество одноименных деталей в автомобиле, n =1

Дрг-кол-во рабочих дней в году, Дрг =250 дней.

Соответственно:

,(шт)

, (шт)

, (шт)

В основу расчета принимаем дневной запас деталей -1(шт).

Разработка операций по восстановлению деталей

№ 005 сварочная

Исходные данные

. Наименование детали - корпус коробки передач автомобиля КАМАЗ-5320

. Материал - чугун СЧ 21

Твердость - НВ 170-221

. Масса детали - 24 кг

. Оборудование - сварочный аппарат А547Р

. Инструмент - медный молок

. Установка детали - тиски

. Объем ремонтируемой партии деталей: 1 шт.

Содержание операции

. Установить и закрепить деталь в тиски

. Заварить трещину

. Осмотреть трещину и снять деталь

Параметры и режимы обработки

Определении основного времени То (мин)

, (мин) [ 2.4 ]

где: А-коэффициент учитывающий длину шва;

m- коэффициент учитывающий положении шва в пространстве m=1.3;

I-       Сила тока, I=120A

-коэффициент наплавки

G- масса наплавки материала, G=7,6;

(мин)

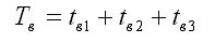
Определение вспомогательного времени, TВ , (мин)


где: tв1 - время на осмотр шва, зачистку после сварки,

tв1 = 0,9 мин;

tв2 - вспомогательное время на установку и снятие свариваемого изделия, tв2 =0,6 (мин)

tв3 - вспомогательное время на переход сварщика tв3 = 0,6 (мин)

tв4 = 7 (мин)

tв5 -время на контроль герметичности шва испытанием керосином,

tв4 = 2,0(мин)

Соответственно общее вспомогательное время операции составит:

ΣТвс = 0,9 + 0,6 + 0,6+7,0 = 11 (мин)

Определение времени на обслуживание рабочего места и регламентированные перерывы на кратковременный отдых в работе


где: К - процент работ по обслуживанию рабочего места и регламентированных перерывов в работе, принимается 15%;


Определение штучного времени

Тшт = ΣТоТвсДОП, (мин) [ 2.7 ]

Тшт = 6,1 + 11 + 2,6 = 19,7 (мин)

Определение подготовительно-заключительного времени

Затраты времени определяются (Л-4, стр. 95) - на наладку станка 10 мин; - на доп. приемы и получение инструмента 10 мин,

Итого Тп-з = 10 + 10 = 20 (мин)

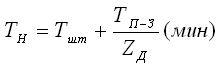
Определение нормы времени


где: ZД - размер производственной партии деталей, принимается согласно расчету ( ф. 2.3) ZД = 1 шт.

Расчет расточной операции

№ 010 расточная

Исходные данные

. Наименование детали - корпус коробки передач автомобиля КАМАЗ-5320

. Материал - чугун СЧ 21

Твердость - НВ 170-221

. Масса детали - 24 кг

. Оборудование - Станок координатно- расточной модели 2А78М

. Ремонтируемы инструмент- резец ВК -3М

. Установка детали - в приспособление на столе станка

. Объем ремонтируемой партии деталей: 1 шт.

. Условия обработки- с охлаждением.

.Характер обработки- чистовая.

Содержание операции

. Установить деталь в приспособление и отцентровать на столе станка

. Расточить отверстие

. Произвести контрольный промер

. Снять деталь со стола станка

Определение припусков на обработку

Номинальный диаметр- Dном =150

Фактический диаметр износа принимаем Dизм =151,9

Ремонтный диаметр Dрем =156,0

Припуск на сторону, h=2мм- исходя из размера ремонтной втулки

Режим обработки

Глубина резанья t, мм:

По условию задачи припуск, h, составляет 2мм соответственно t=h=2мм. Обтачивание ведем в два прохода.

Длинна обработки

, (мм) [ 2.9 ]

Где: - длинна гнезда по рабочему черчежу, =23мм;

-величина врезания и параметров резца, =0,5-1мм;

-величина пробега, принимается в зависимости от обработки, мм;

Соответственно:

 

Определение длинны продольной подачи, , согласно паспортных данных станка принимается =0,08(мм/об)

Определение частоты вращения борштанги, n, определяется по формуле:

, (об/мин), [ 2.10 ]

где: VТ - скорость резания, (м/мин);

DP - диаметр обработки, мм;

Исходя из паспортных данных станка, скорость резанья составляет:

VТ=80-100 об/мин

Соответственно частота вращения составит:

 об/мин

По паспортным данным станка принимаем 250 об/ мин.

Расчет затрат времени

Определение основного времени, мин

Соответственно:

Определение вспомогательного времени, TВ , (мин)


где: tв1 - время на установку и снятие детали,

tв1 = 1,1 мин;

tв2 - время на установку и настройку борштанги, принимается по хронометражу tв2=3мин

tв2 =3 (мин)

tв3 - время на очистку приспособления и инструмента

tв3 = 0,26 (мин)

tв4 - время на измерение детали, принимается

tв4 =4*0.66=2.64 (мин)

Соответственно общее вспомогательное время операции составит:

ΣТвс = 1.1 + 3 + 0.26+2.64 = 7 (мин)

Определение дополнительного времени операции


где: К - процент работ по обслуживанию рабочего места и регламентированных перерывов в работе, принимается 10%;


Определение штучного времени

Тшт = ΣТоТвсДОП, (мин) [ 2.14 ]

Тшт = 2,16 + 7,0 + 0,92 = 10,08 (мин)

Определение подготовительно-заключительного времени

Затраты времени определяются (Л-4, стр. 95) - на наладку станка 10 мин; - на доп. приемы и получение инструмента 10 мин,

Итого Тп-з = 10 + 10 = 20 (мин)

Определение нормы времени


где: ZД - размер производственной партии деталей, принимается согласно расчету ( ф.2.3) ZД = 1 шт.

расчет слесарной операции

№ 015 слесарная

Исходные данные

. Наименование детали - корпус коробки передач автомобиля КАМАЗ-5320

. Материал - чугун СЧ 21

Твердость - НВ 170-221

. Масса детали - 24 кг

. Оборудование - Пресс Р-342М

. Ремонтируемы инструмент - оправка, подставка

. Установка детали - в приспособление на прессе

. Объем ремонтируемой партии деталей: 1 шт.

Содержание операции

. Установить деталь в приспособление пресса

. Запрессовать втулку

. Снять деталь

Определение затрат времени


Оперативное время

Время взятое по справочнику(Э.Э. Миллер)

Определение времени на отдых исполнителя.


Где: К=10%


Определение штучного времени

 Тшт = ТОПДОП, (мин)

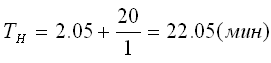
Тшт = 1.5+0,15=2,05, (мин)

Определение нормы времени


Где: Тп-з = 20 (мин)


расчет расточной операции

№ 020 расточная

Исходные данные

. Наименование детали - корпус коробки передач

автомобиля КАМАЗ-5320

. Материал - чугун СЧ 21

Твердость - НВ 170-221

. Масса детали - 24 кг

. Оборудование - Станок координатно- расточной модели 2А78М

. Ремонтируемы инструмент- резец ВК -3М

. Установка детали - в приспособление на столе станка

. Объем ремонтируемой партии деталей: 1 шт.

. Условия обработки- с охлаждением.

.Характер обработки- чистовая.

Содержание операции

. Установить деталь в приспособление и отцентровать на столе станка

. Расточить втулку

. Произвести контрольный промер

. Снять деталь со стола станка

Режим обработки

Глубина резанья t, мм:

По условию задачи припуск, h, составляет 0,2мм соответственно t=h=0,2мм.

Длинна обработки

, (мм) [ 2.9 ]

Где: - длинна гнезда по рабочему черчежу, =23мм;

-величина врезания и параметров резца, =0,5-1мм;

-величина пробега, принимается в зависимости от обработки, мм;

Соответственно:

 

Определение длинны продольной подачи, , согласно паспортных данных станка принимается =0,08(мм/об)

Определение частоты вращения борштанги, n, определяется по формуле:

, (об/мин), [ 2.10 ]

где: VТ - скорость резания, (м/мин);

DP - диаметр обработки, мм;

Исходя из паспортных данных станка, скорость резанья составляет:

VТ=80-100 об/мин

Соответственно частота вращения составит:

 об/мин

По паспортным данным станка принимаем 250 об/ мин.

Расчет затрат времени

Определение основного времени, мин


Соответственно:


Определение вспомогательного времени, TВ , (мин)


где: tв1 - время на установку и снятие детали,

tв1 = 1,1 мин;

tв2 - время на установку и настройку борштанги, принимается по хронометражу tв2=3мин

tв2 =3 (мин)

tв3 - время на очистку приспособления и инструмента

tв3 = 0,26 (мин)

tв4 - время на измерение детали, принимается

tв4 =4*0.66=2.64 (мин)

Соответственно общее вспомогательное время операции составит:

ΣТвс = 1.1 + 3 + 0.26+2.64 = 7 (мин)

Определение дополнительного времени операции

 


где: К - процент работ по обслуживанию рабочего места и регламентированных перерывов в работе, принимается 10%;


Определение штучного времени

Тшт = ΣТоТвсДОП, (мин) [ 2.14 ]

Тшт = 1,08+ 7,0 + 0,8 = 8,9 (мин)

Определение подготовительно-заключительного времени

Затраты времени определяются (Л-4, стр. 95) - на наладку станка 10 мин; - на доп. приемы и получение инструмента 10 мин,

Итого Тп-з = 10 + 10 = 20 (мин)

Определение нормы времени


где: ZД - размер производственной партии деталей, принимается согласно расчету ( ф.2.3) ZД = 1 шт.

Итого:


Разработка технологической документации

Разработка маршрутной карты

Маршрутные карты на процессе восстановления деталей разрабатываются в соответствии с требовании ГОСТ 3. 1105-74

Первый лист маршрутной карты оформляется на стандартных бланках формы 2. Второй и последующие листы маршрутной карты оформляется на стандартных бланках формы 2а.

Разработка операционных карт

Операционные карты механической обработки деталей разрабатываются в соответствии с требованиями ГОСТ 3.1404-74

Первый лист операционной карты оформляется на стандартных бланках формы 2.

Второй и последующие листы карты операционной оформляется на стандартных бланках формы 2а.

3. Организационная часть

Планировка рабочего места расточника

Наименование и объём работ на рабочем месте


Объем работ в штуках

2 Q2 = КМР·п [ 3.2 ]

 Q2 = 100 х 1,02 х 1 = 102 (шт)

определение нормы выработки


Где: tсм - продолжительность смены, принимается tсм = 8 часов.


Норма выработки соответствует дневному запасу деталей.

Таблица 9

Наименование работ

Объём работ

Норма выработки деталей


чел*час

шт.


Токарная обработка валика водяного насоса

51

102

16

Иные работы предусмотренные производственным процессом





Режим работы на рабочем месте

Таблица 10

Наименование затрат времени

Время, мин

Примечание


общее

начало

окончание


1 Продолжительность смены 2 Обеденный перерыв 3 Регламентированные перерывы в течение рабочей смены 4 Сдача продукции ОТК 5 Обслуживание рабочего места

480 60 15 15 10 10

800 1200 1000 1500 1640 1650

1700 1300 1015 1515 1650 1700



Технологическое оборудование и оснастка на рабочем месте

Таблица 11

№ п/п

Наименование

Тип, модель

Колич.

Габарит. размер, мм

Площадь м2

1

Станок координатно- расточной

2А78М

1

1800х800

1,44

2

Подставка под ноги

Собст./изг.

1

1500х500

0,75

3

Тумбочка инструментальная

ОРГ-003-013

1

900х600

0,54

4

Стеллаж для деталей

ОРГ-005-015

2

1200х600

0,72

5

Контейнер для отходов

Собст./изг.

1

300х300

0,09

ИТОГО

3,53


Площадь рабочего места F = fОБхКП = 3,53 х 4 =14,12 м2

Принимаем фактическую площадь 14 м2

Охрана труда и техника безопасности

Факторы, обеспечивающие безопасность условий труда

Таблица 12

Наименование

Контролируемые параметры

Периодичность контроля

1 Вентиляция

кратность

5÷6

4 раза в год

2 Температура

Летом

0С

Не более 28

Ежедневно

Зимой

0С

15-20

Ежедневно

3 Влажность

Летом

%

40÷60

Раз в месяц

Зимой

%

40÷60

Раз в месяц

4 Скорость движении воздуха

м/с

0,3

Раз в месяц

5 Шум

дб

Не более 90

4 раза в год

6 Освещение

Общее

лк

200

Раз в месяц

Комбинир

лк

300

Раз в месяц

7 Содержание вредных веществ на рабочем месте

 Окись марганца

Н23

0,3

Раз в месяц


Инструкция по охране труда и технике безопасности

Работа на станках должна выполняться в соответствии Правилами и действующими нормативными правовыми актами.

Стационарные, переносные станки должны приводиться в действие и обслуживаться только теми лицами, за которыми они закреплены.

Ремонт станков должен выполняться лицами, назначенными приказом по предприятию. Перед включением станка рабочий должен убедиться, что его запуск никому не угрожает.

Работник обязан выключить станок:

o         в случае прекращения подачи тока;

o   для смены рабочего инструмента;

o   установки или снятия со станка обрабатываемой детали;

o   измерения обрабатываемой детали;

o   ремонта, регулировки, чистки и смазки станка;

o   уборки опилок и стружки.

Перед остановкой станка работник должен выключить подачу и отвести инструмент от детали.

Режущий инструмент или обрабатываемая деталь должны подводиться друг к другу плавно, без рывков.

При обработке на станках деталей или заготовок массой свыше 15 кг (для женщин свыше 10 кг) необходимо их установку и снятие производить с помощью подъемных устройств или приспособлений.

Станки должны быть оборудованы защитными устройствами (экранами) для защиты работающих от отлетающей стружки и смазочно-охлаждающей жидкости (COЖ).

В случае невозможности по техническим условиям применения защитного устройства на станках рабочие должны работать в защитных очках, выдаваемых работодателем.

Укладка материалов и деталей у рабочих мест должна происходить способом, обеспечивающим их устойчивость. Высота штабеля заготовок, деталей у рабочего места должна выбираться в зависимости от условий устойчивости и удобства снятия с него деталей, но не более 1 м.

Рабочее место станочника и помещение должны всегда содержаться в чистоте, хорошо освещаться и не загромождаться деталями и материалами.

Удаление стружки со станка должно производиться соответствующими приспособлениями (крючками, щетками).

Крючки должны иметь гладкие рукоятки и щиток, предохраняющий руки от пореза стружкой.

Уборка стружки со станков и рабочих проходов должна производиться ежедневно, скопление стружки не допускается. Стружку собирают в специальные ящики и по мере заполнения их удаляют из цеха (участка).

Все эксплуатируемое оборудование должно находиться под постоянным контролем со стороны руководителя производственного участка.

Работники и руководители участков обязаны следить за тем, чтобы около станков не было посторонних лиц.

При работе спецодежда должна быть наглухо застегнута. Волосы должны быть закрыты головным убором (беретом, косынкой, сеткой и т.п.) и подобраны под него.

При уходе с рабочего моста (даже кратковременном) станочник должен выключить станок.

На неисправный станок руководитель участка должен вывесить табличку: "Станок не включать - неисправен". Такой станок должен быть отключен от электросети.

На расточном станке зачистке обрабатываемых деталей наждачным полотном и их полировка должны выполняться с помощью специальных приспособлений (зажимов, державок).

Выступающие за шпиндель токарного станка концы обрабатываемого материала должны ограждаться неподвижным кожухом.

Обработка металлов, образующих сливную стружку, должна производиться с применением стружколомателей для дробления стружки. Обработка хрупких металлов и пылеобразующих материалов должна проводиться с применением местного отсоса.

Снимая (свинчивая) патрон или планшайбу следует вращать их только вручную. Не следует включать для этой цели шпиндель станка.

При установке на сверлильном станке сверл и других режущих инструментов и приспособлений на шпиндель станка необходимо обращать особое внимание на прочность их закрепления и точность установки.

Удаление стружки из просверливаемого отверстия разрешается производить только после остановки станка и отвода инструмента.

Все предметы, предназначенные для обработки, должны быть надежно установлены и закреплены на столе или плите сверлильного станка при помощи тисков, кондукторов или других приспособлений.

Для извлечения инструмента из шпинделя сверлильного станка должны применяться молотки и выколотки, сделанные из материала, исключающего отделение его частиц при ударе.

При установке и смене фрез на фрезерном станке должны применяться приспособления, предотвращающие порезы рук.

Стружка от вращающейся фрезы должна удаляться деревянной палочкой или кисточкой с ручкой длиной не менее 250мм.

Расстояние для свободного прохода между стеной и столом или ползуном строгального станка в крайнем положении при их максимальном выходе не должно быть менее 700 мм.

При работе на станках запрещается:

o  стоять против резца, поправлять детали и подкладки при работающем строгальном станке;

o   снимать со станка имеющиеся ограждения или держать их открытыми во время работы;

o   работать на неисправных станках, а также на станках с неисправными или плохо закрепленными ограждениями;

o   прижимать наждачное и полировочное полотна к детали руками;

o   класть на станки инструмент и детали;

o   оставлять ключ в патроне станка;

o   применять сверла и патроны с забитым или изношенным хвостовиком;

o   использовать при работе на сверлильном станке рукавицы;

o   удерживать изделие во время обработки руками;

o   применять фрезы, имеющие трещины или поломанные зубья;

o   пускать в ход станки и работать на них другим лицам;

o   касаться руками вращающихся частей или вводить руки в зону их движения;

o   применять для охлаждения смоченные тряпки, облокачиваться на станок;

o   убирать стружку руками;

o   сдувать металлическую пыль и стружку со станков и деталей сжатым воздухом.

4. Конструкционная часть

Назначение конструкции

Приспособление для разборки коробки передач автомобиля КАМАЗ-5320 (съемник механический винтовой)

Устройство конструкция и принцип ее работы

Съемник состоит из:

o         Двух тяг (скоб);

o   Винта с резьбой;

o   Наконечника;

o   Оси;

o   Траверсы;

o   Ручки винта;

Приспособление устанавливается на фланце коробки передач и закрепляется двумя тягами (Скобами) за фланец, а винт упирается в первичный вал коробки передач. В ручную с помощью ручки винта закручиваем по часовой стрелке винт и выпресовываем фланец коробки передач

Техника безопасности при работе с конструкцией.

Подготовка к работе

Проверить частоту рабочего места, перед работой со съемником необходимо проверить комплектность и надежность крепления скоб с траверсой.

Во время работы

Следить за надежностью крепления приспособления. При обнаружении неисправности или риска соскакивания скоб съемника, работу с приспособлением прекратить.

После окончания работы.

При необходимости очистить приспособление.

Техническое обслуживание конструкции

ТО сводится к ЕО и периодическому ТО

ЕО.

Следить за внешним видом приспособления. Производить проверку комплектности и надежности крепления деталей, содержать в чистототе.

Периодическое ТО.

Производить проверку резьбового соединения, состояния Тяг( скоб), один раз в месяц с целью обеспечения безопасности труда.

Заключение


Согласно выданного задания на разработку технологического процесса Восстановительного ремонта коробки передач Автомобиля КАМАЗ-5320 я выполнил следующее:

1. Привел характеристику и условия работы детали, проанализировал характеристику дефектов и причин их возникновения.

. По дефектам детали выбрал способы ремонта:

трещина на задней стенке длинной 25мм - ручная электродуговая сварка; - износ отверстия под подшипник первичного вала - постановка ремонтных втулок.

- износ отверстия под подшипник вторичного вала - постановка ремонтных втулок.

3. По принятым способам ремонта разработал подефектную и маршрутную технологии ремонта с подбором оборудования, приспособления и инструмента.

. По индивидуальному заданию произвёл расчёт сварочной, слесарной и расточной операции.

. По результатам расчётов оформил технологическую документацию:

а) маршрутную карту на технологический процесс

б) операционную карту токарных работ.

6. На основании задания на курсовой проект и индивидуального задания разработал характеристику и проект рабочего места расточника.

На основании этого выполнил в графической части планировку рабочего места с расстановкой технологического оборудования и организационной остнасткой.

7. Указал необходимую справочную литературу для выполнения пояснительной записки курсового проекта и выполнения технологических расчётов.

Литература

Карагодин В.И., Митрохин Н.Н. Ремонт автомобилей и двигателей. М., "Академия", 2005.

. Ремонт автомобилей. Под ред. С.И. Румянцева, М., Транспорт, 1988.

Справочник технолога авторемонтного производства. Под ред. Малышева А.Г. М., Транспорт, 1977.

Мельников Г.Н. Ремонт автомобилей и двигателей. Методика выполнения курсового проекта. Н.Новгород, 1999. - 155с.

. Руководство по капитальному ремонту автомобиля ГАЗ-53. РК-200-РСФСР-2/1-2056-80. Техническое управление Министерства автомобильного транспорта РСФСР. - Москва, 1981

Похожие работы на - Технологический процесс восстановления корпуса коробки передач автомобиля КАМАЗ-5320

 

Не нашли материал для своей работы?
Поможем написать уникальную работу
Без плагиата!
Без нейросетей!