Отопление, вентиляция и кондиционирование воздуха
Содержание
1.
Общие данные
1.1
Исходные данные
.2
Расчетные параметры наружного воздуха
.3
Характеристики конструкции наружного ограждения
2.
Теплотехнический расчет
.1
Расчет наружной стены
.2
Определение толщины утеплителя
.3
Фактическое термическое сопротивление наружной стены
.4
Теплотехнический расчет окон и наружных дверей
.5
Теплотехнический расчет безчердачного перекрытия
.6
Сводная таблица теплотехнических показателей
.7
Определение теплопотерь
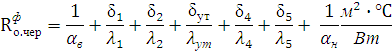
.8
Определение удельной тепловой характеристики здания
.
Система
отопления
.1
Расчет естественного давления в системе
.2
Гидравлический расчет, определение невязок
.3
Расчет отопительных приборов
.4
Подбор элеватора
Список
используемой литературы
1.
Общие данные
1.1 Исходные
данные
1) Город
Тамбов
2) Назначение
здания-Спальный корпус
) Температура
внутреннего воздуха-180С
) Высота
этажа 2,7м, количество этажей-7
) Высота
подвала 2,5 м
) Тип
отопительных приборов- стальные панельные радиаторы типа РСВ
) Система
отопления -двухтрубная с нижней разводкой
) Стена
здания имеет следующую конструкцию:
1-й
слой (отделочный)-внутренняя штукатурка из цементно-песчаного раствора
-й
слой (несущий)-кирпичная кладка из глиняного обыкновенного кирпича на
цементно-шлаковом растворе
-й
слой (утеплитель)-маты минераловатные прошивные (125)
-й
слой (несущий)- кирпичная кладка из кирпича силикатного на цементно-песчаном
растворе.
1.2 Расчетные
параметры наружного воздуха
Определяем
по СНиП 2-3-79 «Строительная теплотехника» и СНиП 23-01-99 «Строительная
климатология»
Таблица
|
Наименован.города
|
t воздуха
наиболее холодной пятидневки 0C
|
Абсолютно минимальнаяt воздуха 0C
|
t воздуха
наиболее холодных суток 0C
|
Продолжит.(сут) и средняя t воздуха (0C), периода
со среднесут. t воздуха ≤ 8 0C
|
Ср. скорость ветра за период
со ср.сут t воздуха ≤ 8 0C
|
|
|
|
|
Продолжит.
|
Ср.t
|
|
|
1
|
2
|
3
|
4
|
5
|
6
|
7
|
|
Тамбов
|
-37
|
-49
|
-41
|
221
|
-8,4
|
5
|
Зона
влажности- 3 (сухая)
1.3 Характеристики
конструкции наружного ограждения
Условия
эксплуатации - Б
|
Материал слоя
|
Расчетные коэф. Условия эксплуатации Б
|
Характеристики материала в сухом состоянии
|
Расчетное массовое отношение влаги в материале
w,
%
|
Коэф. паропроницаемости µ,
|
Толщ.
|
|
Коэф. теплопровод λ,
|
Коэф. Теплоусвоен. (период 24ч) S,
|
ρ
|
Уд. Теплоем. c0,
|
|
|
|
|
Кирпичная
кладка из кирпича силикат.на цементно-песчаном растворе
|
0,87
|
10,9
|
1800
|
0,88
|
4
|
0,11
|
0,12
|
|
Маты
минераловатные прошивные
|
0,07
|
0,82
|
125
|
0,84
|
5
|
0,3
|
расч
|
|
Кирпичная
кладка из кирпича глиняного обыкн. на ц-п раств.
|
0,76
|
9,7
|
1700
|
0,88
|
3
|
0,12
|
0,38
|
|
Внутр.
штукатурка
|
0,93
|
11,09
|
1800
|
0,84
|
4
|
0,09
|
0,02
|
2. Теплотехнический
расчет
2.1 Расчет
наружной стены
Определяем
требуемое термическое сопротивление наружной стены, отвечающее
санитарно-техническим и комфортным условиям по формуле:
n
- коэффициент, зависящий от положения наружной поверхности ограждения по
отношению к наружному воздуху.
-коэффициент
теплоотдачи внутренней поверхности ограждающих конструкций
-
нормативный температурный перепа дмежду температурой внутреннего воздуха и
температурой внутренней поверхности ограждающей конструкции.
Нормируемого
сопротивление теплопередач и ограждающих конструкций из условий
энергосбережений.
Определяется
в зависимости от:
Типа здания
Условий
эксплуатаций
Численного
значения градуса-суток отопительного периода ГСОП
-средняя
температура отопительного периода.
-
продолжительность отопительного периода
Определяем
требуемое сопротивление по таблице 1Б по СНиП [1]
=2,23
(Берем для помещения с нормальным режимом, т.к. требуемое термическое
сопротивление мало для современных зданий)
2.2 Определение
толщины утеплителя
Для
четырехслойной стенки толщина утеплителя определяется по формуле:
λ-
расчетный коэффициент теплопроводности отдельных слоев
-коэффициент
теплоотдачи наружной поверхности ограждающей конструкции, Определяется по СНиП
[1] табл.6
δ-
толщина
слоя
Принимаем
толщину утеплителя 100мм
2.3 Фактическое
термическое сопротивление наружной стены
Фактическое
термическое сопротивление стены должно соответствовать условию:
Для
расчета трансмиссионных потерь теплоты используют обратную величину, называемую
коэффициентом теплопередачи.
2.4 Теплотехнический
расчет окон и наружных дверей
Окна
Требуемое
термическое сопротивление теплопередачи, для световых проемов определяется в
зависимости от величины ГСОП и принимается как фактическое. Рассчитываем
коэффициент теплопередачи остекления.
Из
этого следует что,
Наружная
дверь
Требуемое
сопротивление теплопередачи для наружной стены должно быть:
2.5 Теплотехнический
расчет безчердачного перекрытия
Условия
эксплуатации - Б
|
Материал слоя
|
Расчетные коэф. Условия эксплуатации Б
|
Характеристики материала в сухом состоянии
|
Расчетное массовое отношение влаги в материале
w,
%
|
Коэф. паропрониц. µ,
|
Толщ.
|
|
Коэф. теплопровод λ,
|
Коэф. Теплоусвоен. (период 24ч) S,
|
ρ
|
Уд. Теплоем. c0,
|
|
|
|
|
Рубероид
|
0,17
|
3,53
|
600
|
1,68
|
0
|
|
0,015
|
|
Цементная
стяжка
|
0,93
|
11,09
|
1800
|
0,84
|
4
|
0,09
|
0,01
|
|
Плиты
из стеклян. штапельного волокна на синтетич. связующем
|
0,064
|
0,5
|
50
|
0,84
|
5
|
0,6
|
Расч.
|
|
Рубероид
|
0,17
|
3,53
|
600
|
1,68
|
0
|
1,1
|
0,005
|
|
Железобетонная
плита
|
1,69
|
18,95
|
2500
|
0,84
|
3
|
0,03
|
0,14
|
Нормируемого
сопротивление теплопередач и ограждающих конструкций из условий
энергосбережения.
-средняя
температура отопительного периода.
-
продолжительность отопительного периода
Определяем
требуемое сопротивление по таблице 1Б по СНиП [1]
=2,25
(Берем для помещения с нормальным режимом, т.к. требуемое термическое
сопротивление мало для современных зданий)
Определение
толщины утеплителя
Для
четырехслойной стенки толщина утеплителя определяется по формуле:
λ-
расчетный коэффициент теплопроводности отдельных слоев
-коэффициент
теплоотдачи наружной поверхности ограждающей конструкции, Определяется по СНиП
[1] табл.6
δ-
толщина
слоя
Принимаем
толщину утеплителя 130 мм
Фактическое,
термическое сопротивление наружной стены.
Для
расчета трансмиссионных потерь теплоты используют обратную величину, называемую
коэффициентом теплопередачи.
;
2.6 Сводная
таблица теплотехнических показателей
|
№
|
Вид наружного ограждения
|
Условное обозначение
|
Теплотехнические показытели
|
|
|
|
|
,
|
K,
|
|
1
|
Наружная
стена
|
НС
|
2,24
|
0,45
|
|
2
|
Безчердачное
перекрытие
|
ПТ
|
2,26
|
0,44
|
|
3
|
Двойное
остекление
|
ДО
|
0,36
|
2,78
|
|
4
|
Наружная
дверь
|
НД
|
1,34
|
0,75
|
|
5
|
Перекрытие
нижнего этажа
|
ПЛ
|
|
|
|
1
зона
|
|
2,1
|
0,48
|
|
2
зона
|
|
4,3
|
0,23
|
|
3
зона
|
|
8,6
|
0,12
|
|
4
зона
|
|
14,2
|
0,07
|
2.7 Определение
мощности системы отопления здания
Правила
расчета теплопотерь здания через ограждающие конструкции.
Теплопотери
через строительные конструкции складываются из основных и добавочных
теплопотерь.
F-
площадь ограждающих конструкций
K-
коэффициент теплопередач,
-расчетная
температура воздуха в помещении
-средняя
температура наиболее холодной пятидневки
-добавочные
потери теплоты в долях
n-коэффициент,
зависящий от положения наружной поверхности ограждения по отношению к наружному
воздуху.
Добавочные
теплопотери
:
Для
наружных вертикальных и наклонных стен дверей и окон, обращенных на:
А)
С-В и С-З и С в размере 0,1
Б)
ЮВ и З в размере 0,05
В)Остальные
-0
Добавка
в угловых помещениях для всех вертикальных ограждений в размере 0,05
Для
наружных дверей, необорудованных тепловыми завесами при высоте здания Hв
размере 0,27H
Добавка
на инфильтрацию холодного воздуха в размере 0,28
2.8 Определение
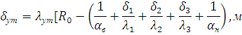
удельной тепловой характеристики здания
Для
проверки правильности теплотехнического расчета определяем удельную тепловую
характеристику здания, которая показывает количество теряемого тепла одним
строительным кубометром здания за один час при разности температур между
внутренним и наружным воздухом в один градус.
Удельная
тепловая характеристика здания определяется по формуле:
Где
-
расчетные теплопотери всего здания соответствуют тепловой мощности
проектируемой системы отопления.
(
)
- объем здания по внешним обмерам
-
расчетное
значение температуры внутреннего воздуха принимается для помещения.
=20
-
расчетное значение температуры наружного воздуха.
=
-37
Вывод
Полученное
значение удельной тепловой характеристики здания лежит в пределах допустимой
нормы, что свидетельствует о теплоустойчивости ограждающих конструкций здания.
3. Система
отопления
В
здании запроектирована двухтрубная система отопления с нижней разводкой с
попутной схемой движения теплоносителя. Эта схема является гидравлически
устойчивой, т.е. обуславливает пропорциональное обеспечение теплоносителем всех
стояков системы отопления в соответствии с их тепловой нагрузкой.
Теплоносителем
в системе отопления является вода с параметрами:
Т12=95℃
Т11=70℃
В
качестве отопительных приборов запроектированы стальные панельные радиаторы
типа «РСВ».
Подающий
магистральный трубопровод покрывается теплоизоляцией из штучных изделий
(скорлупы или полуцилиндры) из минеральной ваты. Теплоизоляция накладывается
после предварительного покрытия труб антикоррозийным слоем, и после проведения
всего комплекса монтажно-испытательных работ. Тепловая изоляция накладывается с
целью сохранения теплового потенциала теплоносителя.
Обратный
магистральный трубопровод теплоизоляционным слоем не покрывается с целью
поддержания положительной температуры в подвале.
Для
отключения стояков и спуска воды в них, во время ремонтных работ,
предусматривают вентили. В период ремонта системы отопления осуществляется ее
опорожнение через спускные устройства (тройники с пробками), размещенные в
нижних точках системы, для чего магистрали прокладываются с уклоном i=0,003
в сторону спускных кранов.
Для
отключения стояков во время ремонтных работ предусматривается установка
отключающих устройств и пробно-спускных кранов.
Удаление
воздуха из системы отопления осуществляется с помощью кранов «Маевского»,
установленных в верхних радиаторных пробках верхнего этажа здания.
3.1 Расчет
естественного давления в системе
Для
двухтрубной системы естественное давление вычисляется по формуле:
,
где:
g - ускорение
свободного падения, g=9,81 м/с2;
h - высота от
центра нагревания системы до центра охлаждения рассматриваемого прибора (в
данном случае прибора первого этажа);
β
- коэффициент
объёмного расширения воды, показывающиё приращение плотности жидкости при
уменьшении её температуры на 1˚С, принимаем β=0,64 кг/(м3·˚С);
tг-
температура воды в подающей магистрали системы;
tо-
температура воды в обратной магистрали системы;
Па;
Так
как естественное циркуляционное давление меньше 0,1·ΔPн,то оно не
учитывается в расчёте.
3.2 Гидравлический
расчет
Расчёт
основного циркуляционного кольца
Расчёт
основного циркуляционного кольца заключается подборе диаметров участков ОЦК
таким образом, чтобы фактические суммарные потери давления на всех участках ОЦК
составляли 90÷95% от расчётного
располагаемого давления. Чтобы рассчитать потери на местные сопротивления,
необходимо определить сумму коэффициентов местных сопротивлений на каждом
участке. Коэффициенты местных сопротивлений участков ОЦК сведены в следующую
таблицу.
|
Расчёт
сумм коэффициентов местных сопротивлений участков ОЦК
|
|
№участка
|
Наименование
местного сопротивления
|
Коэффициент
местного сопротивления (одного элемента) ζ
|
Количество
местных сопротивлений N
|
Коэффициент
местных сопротивлений (всех элементов) N*ζ
|
|
1
|
2
|
3
|
4
|
5
|
|
1
|
Отвод
90˚
|
0,50
|
1
|
0,5
|
|
∑(N*ζ)
участка
|
|
2
|
Тройник
поворотный на ответвлении
|
1,5
|
1
|
1,5
|
|
Задвижка
|
0,5
|
1
|
0,5
|
|
∑(N*ζ)
участка
|
2
|
|
3
|
Тройник
проходной
|
1
|
1
|
1
|
|
∑(N*ζ)
участка
|
1
|
|
4
|
Тройник
проходной
|
1
|
1
|
1
|
|
∑(N*ζ)
участка
|
1
|
|
5
|
Тройник
проходной
|
1
|
1
|
1
|
|
∑(N*ζ)
участка
|
1
|
|
6
|
Тройник
проходной
|
1
|
1
|
1
|
|
∑(N*ζ)
участка
|
1
|
|
7
|
Тройник
поворотный на ответвлении
|
1,5
|
2
|
3
|
|
∑(N*ζ)
участка
|
3
|
|
8
|
Тройник
поворотный на ответвлении
|
1,5
|
1
|
1,5
|
|
Кран
двойной регулировки КРД
|
14
|
1
|
14
|
|
Отопительный
прибор
|
1,6
|
1
|
1,6
|
|
∑(N*ζ)
участка
|
17,1
|
|
9
|
Отключающий
шаровой кран на обратной подводке
|
0,2
|
1
|
0,2
|
|
Тройник
поворотный на ответвлении
|
1,5
|
1
|
1,5
|
|
∑(N*ζ)
участка
|
1,7
|
|
10
|
Тройник
поворотный на ответвлении
|
1,5
|
1
|
1,5
|
|
∑(N*ζ)
участка
|
1,5
|
|
11
|
Тройник
проходной
|
1
|
1
|
1
|
|
∑(N*ζ)
участка
|
1
|
|
12
|
Тройник
проходной
|
1
|
1
|
1
|
|
∑(N*ζ)
участка
|
1
|
|
13
|
Тройник
проходной
|
1
|
1
|
1
|
|
∑(N*ζ)
участка
|
1
|
|
14
|
Тройник
проходной
|
1
|
1
|
1
|
|
Отвод
90˚
|
0,5
|
1
|
0,5
|
|
∑(N*ζ)
участка
|
1,5
|
|
15
|
Тройник
проходной
|
1
|
1
|
1
|
|
Тройник
поворотный на ответвлении
|
1,5
|
1
|
1,5
|
|
Задвижка
|
0,5
|
1
|
0,5
|
|
Отвод
90˚
|
0,50
|
1
|
0,5
|
|
∑(N*ζ)
участка
|
3,5
|
|
|
|
|
|
|
Результаты
гидравлического расчета ОЦК
|
Данные
по схеме ОЦК
|
Принято
|
|
№
участка
|
Тепловая
нагрузка участка Q,Вт
|
Расход
воды на участке G, кг/ч
|
Длина
участка l,м
|
Даиметр
условного прохода Ду,мм
|
Скорость
движения воды w,м/с
|
Потери
давления на трение
|
Сумма
коэффициентов местных сопротивлений (КМС) ∑ζ
|
Потери
давления в местных сопротивлениях Z, Па
|
Сумма
потерь давления Rl+Z, Па
|
|
|
|
|
|
|
на
1 м R, Па/м
|
по
длине участка Rl, Па
|
|
|
|
|
1
|
2
|
3
|
4
|
5
|
6
|
7
|
8
|
9
|
10
|
11
|
|
1
|
140695
|
4835
|
3,0
|
50
|
0,622
|
107
|
322
|
0,50
|
95
|
417
|
|
2
|
70161
|
2411
|
6,8
|
40
|
0,518
|
106
|
724
|
2,00
|
263
|
987
|
|
3
|
60049
|
2064
|
6,2
|
32
|
0,578
|
156
|
970
|
1,00
|
164
|
1133
|
|
4
|
51733
|
1778
|
6,0
|
32
|
0,498
|
118
|
707
|
1,00
|
122
|
828
|
|
5
|
42149
|
1449
|
6,0
|
32
|
0,406
|
80
|
479
|
1,00
|
81
|
560
|
|
6
|
34535
|
1187
|
6,2
|
32
|
0,333
|
55
|
339
|
1,00
|
54
|
393
|
|
7
|
9292
|
319
|
0,6
|
25
|
0,157
|
19
|
11
|
3,00
|
36
|
48
|
|
8
|
1678
|
58
|
0,9
|
15
|
0,084
|
12
|
11
|
17,10
|
60
|
71
|
|
9
|
1678
|
58
|
0,5
|
15
|
0,084
|
12
|
6
|
1,70
|
6
|
12
|
|
10
|
9292
|
319
|
0,5
|
25
|
0,157
|
19
|
10
|
1,50
|
18
|
28
|
|
11
|
44918
|
1544
|
6,3
|
32
|
0,432
|
90
|
567
|
1,00
|
92
|
659
|
|
12
|
52824
|
1815
|
5,8
|
32
|
0,509
|
123
|
711
|
1,00
|
127
|
838
|
|
13
|
62628
|
2152
|
6,2
|
32
|
0,603
|
169
|
1050
|
1,00
|
178
|
1228
|
|
14
|
69436
|
2386
|
9,7
|
40
|
0,513
|
104
|
1013
|
1,50
|
193
|
1206
|
|
15
|
70161
|
2411
|
50,3
|
40
|
0,518
|
106
|
5355
|
3,50
|
460
|
5815
|
|
|
∑lоцк=
|
115,0
|
|
|
|
|
|
∑(Rl+Z)оцк=
|
14222
|
Расчёт
второстепенных циркуляционных колец
Так
как рассматриваемая система отопления является системой с попутным движением
воды в магистралях, то для определения диаметров участков магистралей, не
вошедших в основное циркуляционное кольцо, требуется произвести расчёт
второстепенных циркуляционных колец.
Расчёт
второстепенных циркуляционных колец состоит в определении диаметров участков,
входящих в них, и увязке фактических потерь давления в них с располагаемыми
давлениями для их расчёта. При этом расчётное располагаемое давление для
расчёта второстепенного кольца равно фактическим потерям давления в участках
основного кольца, параллельных рассматриваемым, с поправкой на естественное
давление. В нашем случае поправка не учитывается. Суммы коэффициентов местных
сопротивлений для каждого участка второстепенного циркуляционного кольца,
проходящего через первый по ходу движения воды стояк, сведены в нижеследующую
таблицу.
Расчёт
сумм коэффициентов местных сопротивлений участков второстепенного
циркуляционного кольца, проходящего через первый по ходу движения воды стояк
|
№участка
|
Наименование
местного сопротивления
|
Коэффициент
местного сопротивления (одного элемента) ζ
|
Количество
местных сопротивлений N
|
Коэффициент
местных сопротивлений (всех элементов) N*ζ
|
|
1
|
2
|
3
|
4
|
5
|
|
16
|
Тройник
поворотный на ответвлении
|
1,5
|
1
|
1,5
|
|
∑(N*ζ)
участка
|
1,5
|
|
17
|
Тройник
поворотный на ответвлении
|
1
|
1,5
|
|
Кран
двойной регулировки КРД
|
14
|
1
|
14
|
|
Отопительный
прибор
|
0,6
|
1
|
0,6
|
|
∑(N*ζ)
участка
|
16,1
|
|
18
|
Кран
отключающий шаровой на обратке
|
0,2
|
1
|
0,2
|
|
Тройник
поворотный на ответвлении
|
1,5
|
1
|
1,5
|
|
∑(N*ζ)
участка
|
1,7
|
|
19
|
Отвод
90˚
|
0,8
|
1
|
0,8
|
|
∑(N*ζ)
участка
|
0,8
|
|
20
|
Тройник
проходной
|
1
|
1
|
1
|
|
∑(N*ζ)
участка
|
1
|
|
21
|
Тройник
проходной
|
1
|
1
|
1
|
|
∑(N*ζ)
участка
|
1
|
|
22
|
Тройник
проходной
|
1
|
1
|
1
|
|
∑(N*ζ)
участка
|
1
|
|
23
|
Тройник
проходной
|
1
|
1
|
1
|
|
∑(N*ζ)
участка
|
1
|
Результаты
гидравлического расчета ВЦК1
|
Данные
по схеме ВЦК1
|
Принято
|
|
№
участка
|
Тепловая
нагрузка участка Q,Вт
|
Расход
воды на участке G, кг/ч
|
Длина
участка l,м
|
Даиметр
условного прохода Ду,мм
|
Скорость
движения воды w,м/с
|
Потери
давления на трение
|
Сумма
коэффициентов местных сопротивлений (КМС) ∑ζ
|
Потери
давления в местных сопротивлениях Z, Па
|
Сумма
потерь давления Rl+Z, Па
|
|
|
|
|
|
|
на
1 м R, Па/м
|
по
длине участка Rl, Па
|
|
|
|
|
1
|
2
|
3
|
4
|
5
|
6
|
7
|
8
|
9
|
10
|
11
|
|
16
|
10112
|
348
|
0,6
|
25
|
0,171
|
22
|
13
|
1,50
|
21
|
35
|
|
17
|
1678
|
58
|
0,9
|
15
|
0,084
|
12
|
11
|
16,10
|
56
|
67
|
|
18
|
1678
|
58
|
0,6
|
15
|
0,084
|
12
|
7
|
1,70
|
6
|
13
|
|
19
|
10112
|
348
|
0,5
|
20
|
0,279
|
79
|
39
|
0,80
|
31
|
70
|
|
20
|
10112
|
348
|
6,2
|
25
|
0,171
|
22
|
139
|
1,00
|
14
|
153
|
|
21
|
18428
|
633
|
6,0
|
25
|
0,311
|
70
|
420
|
1,00
|
48
|
467
|
|
22
|
28012
|
963
|
6,0
|
25
|
0,473
|
155
|
930
|
1,00
|
110
|
1040
|
|
23
|
35626
|
1224
|
6,2
|
25
|
0,602
|
245
|
1517
|
1,00
|
178
|
1695
|
|
|
∑lвцк=
|
8,8
|
|
|
|
|
|
∑(Rl+Z)вцк=
|
3539
|
При
этом невязка расчёта составляет:

,
что
укладывается в допустимую невязку (±10%).
Расчёт
сумм коэффициентов местных сопротивлений участков второстепенного
циркуляционного кольца, проходящего через последний по ходу движения стояк
|
№участка
|
Наименование
местного сопротивления
|
Коэффициент
местного сопротивления (одного элемента) ζ
|
Количество
местных сопротивлений N
|
Коэффициент
местных сопротивлений (всех элементов) N*ζ
|
|
1
|
2
|
3
|
4
|
5
|
|
24
|
Тройник
проходной
|
1
|
1
|
1
|
|
∑(N*ζ)
участка
|
1
|
|
25
|
Тройник
проходной
|
1
|
1
|
1
|
|
∑(N*ζ)
участка
|
1
|
|
26
|
Тройник
проходной
|
1
|
1
|
1
|
|
∑(N*ζ)
участка
|
1
|
|
27
|
Тройник
проходной
|
1
|
1
|
1
|
|
Отвод
90˚
|
0,8
|
2
|
0,8
|
|
∑(N*ζ)
участка
|
1,8
|
|
28
|
Кран
отключающий шаровой на стояке
|
0,2
|
1
|
0,2
|
|
Отвод
90˚
|
0,8
|
2
|
0,8
|
|
∑(N*ζ)
участка
|
1
|
|
29
|
Тройник
поворотный на ответвлении
|
1,5
|
1
|
1,5
|
|
Кран
двойной регулировки КРД
|
14
|
1
|
14
|
|
Отопительный
прибор
|
0,6
|
1
|
0,6
|
|
∑(N*ζ)
участка
|
16,1
|
|
30
|
Тройник
поворотный на ответвлении
|
1,5
|
1
|
1,5
|
|
Кран
отключающий шаровой
|
0,2
|
1
|
0,2
|
|
∑(N*ζ)
участка
|
1,7
|
|
31
|
Тройник
поворотный
|
1,5
|
1
|
1,5
|
|
∑(N*ζ)
участка
|
1,5
|
Таблица
7. Результаты гидравлического расчета ВЦК2
|
Данные
по схеме ВЦК2
|
Принято
|
|
№
участка
|
Тепловая
нагрузка участка Q,Вт
|
Расход
воды на участке G, кг/ч
|
Длина
участка l,м
|
Даиметр
условного прохода Ду,мм
|
Скорость
движения воды w,м/с
|
Потери
давления на трение
|
Сумма
коэффициентов местных сопротивлений (КМС) ∑ζ
|
Потери
давления в местных сопротивлениях Z, Па
|
Сумма
потерь давления Rl+Z, Па
|
|
|
|
|
|
|
на
1 м R, Па/м
|
по
длине участка Rl, Па
|
|
|
|
|
1
|
2
|
3
|
4
|
5
|
6
|
7
|
8
|
9
|
10
|
11
|
|
24
|
25243
|
938
|
6,3
|
25
|
0,461
|
148
|
930
|
1,00
|
104
|
1034
|
|
25
|
17337
|
644
|
5,8
|
20
|
0,518
|
254
|
1474
|
1,00
|
131
|
1605
|
|
26
|
7533
|
280
|
6,2
|
15
|
0,410
|
243
|
1505
|
1,00
|
82
|
1587
|
|
27
|
725
|
27
|
9,7
|
15
|
0,039
|
3
|
28
|
1,80
|
1
|
29
|
|
28
|
725
|
27
|
2,7
|
15
|
0,039
|
3
|
8
|
1,00
|
1
|
8
|
237
|
9
|
0,3
|
10
|
0,020
|
1
|
0
|
16,10
|
3
|
3
|
|
30
|
237
|
9
|
0,5
|
10
|
0,020
|
1
|
1
|
1,70
|
0
|
1
|
|
31
|
725
|
27
|
2,7
|
15
|
0,039
|
3
|
8
|
1,50
|
1
|
9
|
|
|
∑lвцк=
|
31,5
|
|
|
|
|
|
∑(Rl+Z)вцк=
|
4277
|
При
этом невязка расчёта составляет:

,
что
укладывается в допустимую невязку (±10%).
3.3 Тепловой
расчёт отопительных приборов
Тепловой
расчёт отопительных приборов заключается в определении площади нагревательной
поверхности приборов с учётом теплопоступлений от прокладываемых в помещении
теплопроводов, а также в выборе размеров (марок) приборов (или определении
числа их элементов).
Расчётная
площадь наружной поверхности приборов Aр,
м2 определяется по формуле:
,
где:
Qпр - требуемая
теплоотдача отопительного прибора, Вт;
qпр -
поверхностная плотность теплового потока прибора, Вт/м2;
Требуемая
площадь прибора рассчитывается с учётом теплоотдачи труб (стояков, подводок,
ветвей), открыто проложенных в отапливаемых помещениях (при скрытой в стене или
стяжке пола прокладке труб их теплоотдача не учитывается):
,
где:
Qп - расчётные
теплопотери помещения или их доля, приходящаяся на данный прибор, если в
помещении он не один, Вт;
Qтр-суммарная
теплоотдача открыто проложенных труб, Вт;
,
где:
qв, qг -
теплоотдача 1 м соответственно вертикальных и горизонтальных труб, Вт/м, -lв, lг-длина
соответственно вертикальных и горизонтальных труб в пределах помещения, м.
Теплоотдача
1 м изолированных труб
Действительный
тепловой поток отопительного прибора Qпр, Вт, при
теплоносителе воде определяется по формуле:
,
где:
Qном -
номинальный тепловой поток прибора, Вт, определяемая по данным
фирмы-производителя;
n, p, c - экспериментальные
числовые показатели по
b -
коэффициент учёта атмосферного давления в районе строительства,
-ψ
- коэффициент
учёта направления движения воды в приборе;
Средний
температурный напор в отопительном приборе при теплоносителе воде Δtср, ˚С,
определяется по формуле:
,
где:
tср - средняя
температура воды в приборе, ˚С;
tв -
температура воздуха в помещении, ˚С.
Средняя
температура воды в отопительном приборе определяется по формуле:
,
где:
tг -
температура воды в подающей магистрали, не охлаждённая по ходу движения воды в
магистралях,
˚С;
-Δtм - падение
температуры при движении воды в подающей магистрали от начала системы до
рассматриваемого стояка, ˚С;
-Δtст - падение
температуры воды при движении воды по стояку до рассматриваемого прибора, ˚С;
tо -
температура воды в обратной магистрали системы отопления, ˚С.
Для
выбора марки отопительных приборов используются их технические характеристики,
представленные в каталогах фирмы-производителя.
Число
секций чугунных радиаторов определяется по формуле:
,
где:
Aр - расчётная
площадь теплоотдающей поверхности прибора, м2;
-β4 -
коэффициент, учитывающий способ установки прибора в помещении, в нашем случае,
при открытой установке отопительных приборов β4=1;
a1 - площадь
теплоотдающей поверхности одного прибора, м2;
Точный
тепловой расчёт производим для рассчитанных стояков Ст10, Ст14, Ст18, приборы
остальных стояков рассчитываем приблизительно, принимая диаметры участков не
рассчитанных стояков аналогичными диаметрам рассчитанных стояков.
Настоящий
тепловой расчёт отопительных приборов сведён в нижеследующую таблицу.
Результаты
теплового отопительных приборов
|
№
помеще-ния
|
Расчетная
тепловая нагрузка прибора Q, Вт
|
Расход
воды в приборе G, кг/ч
|
Температура,
˚С
|
Расчетная
разность температуры Δtср, ˚С
|
Теплоотдача,
Вт
|
Тепловой
поток от прибора Qпр, Вт/м²
|
Марка
прибора
|
|
|
|
средняя
теплоно-сителяtср
|
помещения
tв
|
|
приборов
Qпр
|
|
|
|
Центральный
стояк
|
|
1
|
1648
|
57
|
83
|
18
|
65
|
1648
|
1605
|
2РСВ1-5
|
|
113
а
|
1173
|
44
|
83
|
18
|
65
|
1173
|
1125
|
2РСВ1-3
|
|
113
б
|
1173
|
44
|
83
|
18
|
65
|
1173
|
1125
|
2РСВ1-3
|
|
213
а
|
1173
|
44
|
83
|
18
|
65
|
1173
|
1125
|
2РСВ1-3
|
|
213
б
|
1173
|
44
|
83
|
18
|
65
|
1173
|
1125
|
2РСВ1-3
|
|
313
а
|
1461
|
54
|
83
|
18
|
65
|
1461
|
1368
|
2РСВ1-4
|
|
313
б
|
1461
|
54
|
83
|
18
|
65
|
1461
|
1368
|
2РСВ1-4
|
|
Первый
от элеваторного узла
|
|
1
|
1648
|
57
|
83
|
18
|
65
|
1648
|
1605
|
2РСВ1-5
|
|
109а
|
1178
|
44
|
83
|
18
|
65
|
1178
|
1125
|
2РСВ1-3
|
|
109б
|
1178
|
44
|
83
|
18
|
65
|
1178
|
1125
|
2РСВ1-3
|
|
209а
|
1178
|
44
|
83
|
18
|
65
|
1178
|
1125
|
2РСВ1-3
|
|
209б
|
1178
|
44
|
83
|
18
|
65
|
1178
|
1125
|
2РСВ1-3
|
|
309а
|
1861
|
69
|
83
|
18
|
65
|
1861
|
1782
|
РСГ2-2-8
|
|
309б
|
1861
|
69
|
83
|
18
|
65
|
1861
|
1782
|
РСГ2-2-8
|
|
Последний
от элеваторного узла
|
|
118
|
237
|
9
|
83
|
18
|
65
|
237
|
310
|
РСВ1-1
|
|
218
|
237
|
9
|
83
|
18
|
65
|
237
|
310
|
РСВ1-1
|
|
318
|
251
|
9
|
83
|
18
|
65
|
251
|
310
|
РСВ1-1
|
2РСВ1-5-
Радиатор стальной панельный двухрядный
РСВ1-3-
Радиатор стальной панельный двухрядный
РСВ1-4-
Радиатор стальной панельный однорядный
РСГ2-2-8-Радиатор
стальной панельный четырехходовой двухрядный
РСВ1-1-
Радиатор стальной панельный однорядный
3.4
Подбор элеватора
отопление вентиляция кондиционирование здание
Водоструйный
элеватор предназначен для снижения температуры сетевой воды (
),
поступающей от котельной по тепловой сети в тепловой центр здания, до
необходимой для подачи в систему отопления воды (
).
Это происходит путем смешения сетевой и обратной воды (
).
Элеватор служит также для создания необходимого давления в системе. Подберем
водоструйный элеватор типа ВТИ- Мосэнерго.
Основной
расчетной характеристикой для подбора элеватора является коэффициент смешения:
Номер
элеватора выбирается в зависимости от диаметра горловины:
мм
Где
=
- тепловая мощность системы отопления, кВт;
=
- суммарная потеря давления по длине расчетного циркуляционного кольца, кВт.
Принимаем
элеватор №5
Диаметр
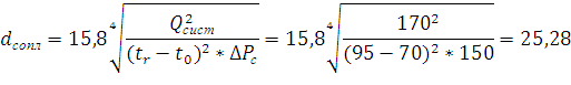
сопла элеватора, определяется по формуле
Где
=150
кПа - располагаемая разность давлений воды в теплосети на вводе в здание.
Список
используемой литературы
СНиП 4101-2003 «Отопление
вентиляция и кондиционирование воздуха
СНиП 2-3-79 «Строительная
теплотехника»
СНиП 23-01-99 «Строительная
климатология»
Сканави А.Н. «Отопление» Москва
1988
«Справочник проектировщика» под
редакцией Староверова И.Г. часть1