Ранжирование территории по эколого-экономическим критериям на примере Волго-Вятского экономического района

  • Вид работы:
    Курсовая работа (т)
  • Предмет:
    Экология
  • Язык:
    Русский
    ,
    Формат файла:
    MS Word
    883,02 Кб
  • Опубликовано:
    2013-12-02
Вы можете узнать стоимость помощи в написании студенческой работы.
Помощь в написании работы, которую точно примут!

Ранжирование территории по эколого-экономическим критериям на примере Волго-Вятского экономического района

Содержание

Введение

1. Эколого-экономический очерк Волго-Вятского района

2. Первичная обработка информации

2.1 Республика Марий Эл

2.2 Республика Мордовия

2.3 Чувашская республика

2.4 Кировская область

2.5 Нижегородская область

3. Ранжирование территории по эколого-экономическим критериям

4. Оценка эколого-экономического ущерба

Заключение

Список литературы

Приложение 1. Карта Волго-Вятского экономического района

Приложение 2. Волго-Вятский экономический район (промышленность)

 

Введение


Волго-Вятский экономический район расположен в Центральной России, в бассейнах судоходных рек Волги, Оки, Вятки, граничит и находится в тесной экономической связи с Центральным, Поволжским, Уральским и Северным районами, представляющими собой мощные хозяйственные комплексы.

В районе развита промышленность, химическое производство, сельское хозяйство, железнодорожный и речной транспорт, трубопроводные системы.

В результате взаимодействия между человека, общества и природы наблюдается активное антропогенное воздействие на окружающую природную среду. В результатет происходит:

Усложнение получения обществом веществ энергии и информации из природной среды.

Загрязнение окружающей среды.

Решение экологической проблемы предполагает наличие необходимой информации (знаний) и времени предотвращения экокризисов.

Актуальность темы - эколого-экономический анализ региона позволяет выделить главные направления в совершенствовании использования природного комплекса с учетом экологических факторов, выявить потенциал территории, изыскать новые ресурсы для экономического развития, определить направления инвестирования природоохранных программ, провести анализ возможных путей развития региона, определить приоритетные направления экоразвития.

Цель работы - провести ранжирование территории по эколого-экономическим критериям.

Задачи работы:

изучить теоретические эколого-экономические характеристики Волго-Вятского района;

провести первичную обработку информации;

проанализировать ранжирование территории по эколого-экономическим критериям;

дать оценку эколого-экономического ущерба.

Объект исследования - Волго-Вятский экономический район.

Предмет исследования - ранжирование территории по эколого-экономическим критериям.

При написании курсовой работы нами были использованы следующие методы научного исследования:

Сравнительный метод;

Изучение нормативно-правовой базы;

Изучение монографических публикаций и статей;

Аналитический метод.

Практическая значимость курсовой работы раскрывается в ее направленности на решение практических проблем, связанных с уменьшением вредного воздействия деятельности человека на окружающую природную среду и предотвращения экологического кризиса.

1. Эколого-экономический очерк Волго-Вятского района


Волго-Вятский экономический район (ВВЭР) - представлен из 5 федеральных субъектов [1]: Кировская область, Нижегородская область Республика Марий Эл, Чувашская Республика, Республика Мордовия, (приложение 1).

Население

Численность населения - 7,5 млн. чел. Средняя плотность населения - 32 чел. /км², заселён очень неравномерно, из них 2 млн. проживают в Нижегородской области. В ВВЭР насчитывается около 170 средних и высших учебных заведений, они находятся в крупных и средних городах и городских поселках: в Нижнем Новгороде, Арзамасе, Кирове, в столицах республик. В ВВЭР квалифицированные кадры рабочих традиционных профессий представлены металлургами, кожевниками, печниками, речниками и др.

Природные условия и ресурсы.

Протяженность территории с юго-запада на северо-восток на 1000 км. Пролегает в различных природных зонах: северная часть в лесной таежной и южная - в лесостепной. Место расположения района относится к Центральной России, в бассейнах судоходных рек Волги, Оки, Вятки. Административно граничит и находится в тесной экономической связи с Центральным, Поволжским, Уральским и Северным районами, представляющими собой мощные хозяйственные комплексы [2].

Особенности хозяйства

Ведущими специализирующими отраслями Волго-Вятского района являются машиностроение и металлообработка (более 37%), лесная, деревообрабатывающая и целлюлозно-бумажная промышленность (около 6%), нефтехимия (около 10%), лесохимия (приложение 2). Легкая и пищевая промышленности представляют около 16%. Всего в пречисленнх отраслях экономики занято более 66% всех трудовых ресурсов промышленности Волго-Вятского района.

Специализацией района является машиностроение, представленное прежде всего Нижегородским машиностроительным комплексом. Ведущая отрасль района - автомобилестроение с центром в Нижнем Новгороде, в котором сосредоточено производство более 10% легковых и 30% грузовых автомобилей России.

Также развито судостроение, производство дизелей, метизов, фрезерных станков и станков с числовым программным управлением, полупроводниковых выпрямителей и приборов (Нижний Новгород, Саранск, Йошкар-Ола), измерительной аппаратуры (Киров), инструментальная промышленность (Павлове, Киров, Саранск), разнообразное электронное машиностроение в областных центрах и столицах республик, приборостроение, электротехника.

Многоотраслевая химическая промышленность развита на привозном сырье и материалах. Количество наименований полупродуктов и конечных продуктов более сотни для основной и органической - полимерной химии.

Значительно возросло производство минеральных удобрений на местном сырье - Верхне-Камских фосфоритов (Кировская область). Сырье поступает по нефтепроводам из Поволжского и Западно-Сибирского нефтедобывающих и нефтеперерабатывающих районов для нефтеперерабатывающей, нефтехимической промышленности и органической химии. Основные центры производства химической продукции - Кстово, Нижний Новгород, Дзержинск и ряд других городов в областях и республиках района. Производство искусственных кож развито в г. Богородск, Йошкар-Ола, Киров, резинотехнических изделий в Саранске, автомобильных шин в г. Киров.

Из отходов лесозаготовок и деревообработки налажено производство продукции лесохимической промышленности в Кировской и Нижегородской областях (Балахнинский лесопромышленный комплекс, поселки Вахтан, Ветлужский). Около 90% древесины в ВВЭР заготавливается в Кировской и Нижегородской областях.

На Балахнинском лесопромышленном комбинате (ЛПК) выпускают бумагу и картон. Производство бумаги составляет более 50% всей продукции района, размещено в Зуевке, Волжске, Новочебоксарске, Кондровке.

Развито производство в районе цемента, стекла, железобетонных изделий, кирпича из местных строительных материалов.

Из легкой промышленности в ВВЭР развита швейная, хлопчатобумажная, льняной, шерстяная, кожевенно-обувная, меховая отрасли, а также народными промыслами. Налажено производство хлопчатобумажных тканей (Чебоксары). Льняные ткани в Кировской и Нижегородской областях и в Мордовии выпускают из собственного сырья. По сложившейся традиции, основное кожевенное и овчинно-шубное производство размещается в Нижнем Новгороде, Кирове, Богородске, Йошкар-Оле, Слободском, Вахруши. Художественные промыслы представлены декоративно-прикладными изделиями из дерева ("хохломская роспись"), резьбой по дереву, дымковской игрушкой из глины (Киров), металлическими художественными изделиями, столовыми наборами (Павлово), ручной вышивкой

Мясная, сыро-маслодельная, крупяная, заготовка грибов, лесных ягод представляет пищевую промышленность. Предприятия размещены по всей территории района. Сырьем для данных предприятий является собственное сельскохозяйственное производство.

Топливно-энергетическое хозяйство формируется в основном на привозных топливно-энергетических ресурсах (ТЭР).

Тепловые электростанции работают на угле, газе и мазуте, получаемом с нефтеперерабатывающих заводов из Нижнего Новгорода и Кстово. Крупнейшими в регионе тепловые электростанции и теплоэлектроцентрали zdkz. ncz Балахнинская, Горьковская, Дзержинская, Кирово-Чепецкая, а также Горьковская, Чебоксарская гидроэлектростанции и Горьковская ACT.

Сельское хозяйство Волго-Вятского экономического района. Общая земельная площадь сельскохозяйственных угодий - 10,2 млн. га (4,7% от общероссийских). Из них пашни - 75,9% общих сельскохозяйственных угодий района, пастбища - 15%, сенокосы - 8%. В основном в регионе развито растениеводство, которое представлено зерновыми культурами. Преобладают посевы ржи, пшеницы, ячменя, овса, в лесостепной полосе в основном крупяные - гречиха, просо. Зерновыми культурами занято более половины посевных площадей района. Из технических культур выращивают лен-долгунец (Нижегородская, Кировская области), также конопля и сахарная свекла, для производства пива - хмель (Чувашия). Производством картофеля и овощей занимаются в районе повсеместно. В южной части освоили посевы кукурузы [5].

Из животноводство ВВЭР развито скотоводство, овцеводство, свиноводство, в меньшей степени кролиководство, птицеводство и пчеловодство. Кормовая база благодаря хорошим климатическим условиям развита повсеместно.

В Волго-Вятском районе развиты все виды современного транспорта.

Более половины в общем объеме перевозок занимает железнодорожный транспорт. Движение осуществляется по трем транзитным широтным и одной меридиональной железнодорожной магистрали, связанными с железные дороги местного значения. Наименее охвачены железными дорогами северная и южная части территории. Хорошо развита сеть автомобильных дорог. Их плотность выше среднероссийского показателя.

Внешние и внутренние связи района обеспечивает речной транспорт по судоходным рекам: Волга, Ока, Вятка, Ветлуга. Одни из крупных речных портов являются Нижний Новгород и Чебоксары. Для речного транспорта характерны перевозки леса, металла и др. продукции тяжелой и пищевой промышленности.

ранжирование экологический экономический ущерб

По территории ВВЭР проходят несколько газо - и нефтетрубопроводные магистрали из Поволжского, Уральского и Западно-Сибирского районов.

2. Первичная обработка информации


2.1 Республика Марий Эл


Площадь субъекта - 2337,5 тыс. га

Численность населения - 692,4 тыс. чел.

Атмосферный воздух

В 2011 г. объем выбросов от стационарных источников составил 28,663 тыс. т загрязняющих веществ. Доля уловленных и обезвреженных загрязняющих веществ составила 24,6% от общего количества отходящих загрязняющих веществ.

Доля жидких и газообразных веществ составляет 81,5% в общем объеме выбросов от стационарных источников, в т. ч. доля углеводородов (без ЛОС) - 26,9%, оксидов азота (в пересчете на NO2) - 21,1% и оксида углерода - 20,9%. На остальные жидкие и газообразные загрязняющие вещества приходится 12,6%. Доля твердых веществ в структуре выбросов - 18,5%.

Основными загрязнителями атмосферного воздуха в республике являются ООО "Газпромтрансгаз Нижний Новгород", ОАО "ТГК-5", ООО "Марикоммунэнерго" и ООО "Марикоммунэнерго".

Выбросы от передвижных источников.

Выбросы загрязняющих веществ от передвижных источников в 2011 г. составили 55,3 тыс. т - 65,9% в общем объеме выбросов в атмосферный воздух.

Качество воздуха в городах. В г. Йошкар-Ола выбросы загрязняющих веществ от стационарных источников в 2011 г. составили 12,561 тыс. т. Уровень загрязнения атмосферного воздуха в 2011 г. был низкий.

Водные ресурсы

Сбросы сточных вод

Общее водоотведение в поверхностные водоемы составило в 2011 г.61,56 млн. м3, в т. ч. загрязненных сточных вод - 92,9%.

Основными загрязнителями водных объектов являются МУП "Водоканал" МО "Город Йошкар-Ола" и ОАО "Марийский ЦБК" г. Волжск, на долю которых приходится суммарно почти 84% от общего объема загрязненных сточных вод, сбрасываемых в поверхностные водоемы.

предприятие использовали оборотную систему водоснабжения. В связи с внедрением прогрессивных водосберегающих технологий на ОАО "МЦБК" расход воды в системах оборотного и повторно-последовательного водоснабжения увеличился.

На 14-ти предприятиях республики используется система повторного водоснабжения, что на 0,1% меньше предыдущего года. Уменьшение мощности произошло на ОАО "МЦБК" в связи с изменением производственного цикла.

Качество воды в водных объектах

Наблюдения за загрязнением поверхностных вод проводятся на трех водных объектах, протекающих на территории Республики Марий Эл: р. Ветлуга (с. Марьино), относящаяся к бассейну Чебоксарского водохранилища, р. Малая Кокшага (п. Куяр), относящаяся к бассейну Куйбышевского водохранилища, и р. Илеть (п. Красногорский).

В течение ряда лет, в том числе в 2011 г., отмечается постепенное увеличение степени загрязненности воды р. Ветлуга. Уровень загрязненности воды характеризовался диапазоном от "очень загрязненной" до "грязной". Основные загрязняющие вещества,, - железо общее, медь, фенолы, нитриты, азот аммонийный, концентрация которых превышает 2 ПДК.

Отходы

В 2011 г. объем образования отходов производства и потребления составил, по данным Росприроднадзора, 0,718 млн. т. Доля использованных и обезвреженных отходов составила 91,7%, что связано, с увеличением объема отходов, используемых предприятиями.

Например, ОАО "МЦБК" увеличил использование отходов на 154 896 т за счет использования отходов, поступивших от других предприятий (97178 т - отходы бумаги и картона) и собственных отходов; ЗАО Племзавод "Шойбулакский" увеличил использование отходов на 68135 т, а ЗАО Племзавод "Семеновский" - на 16648 т и др. (по данным Росприроднадзора)

Основными источниками образования отходов являются СПК "Звениговский", ЗАО Племзавод "Шойбулакский" и ЗАО Племзавод "Семеновский", на долю которых приходится суммарно 33% всего объема образующихся отходов. Объем образования твердых бытовых отходов составил в 2011 г.0,073 млн. т, что составляет 9,4% (по данным субъекта Российской Федерации) от общего объема образующихся в регионе отходов.

В регионе 27 санкционированных мест размещения отходов общей площадью 0,15 тыс. га. В 2011 г. было ликвидировано 131 несанкционированная свалка.

Земельные ресурсы

Общая площадь земельного фонда Республики Марий Эл составляет 2 337,5 тыс. га. Земли лесного фонда составляют 54,37% земельного фонда.

На территории республики земли сельскохозяйственного назначения занимают 33,16% Уменьшение земель на 4,8 тыс. га произошло в результате перевода в земли лесного фонда и земли населенных пунктов части земель сельскохозяйственного назначения.

Площадь 48 особо охраняемых природных территорий составляет 96 тыс. га. Изменения состава и площади ООПТ Республики Марий Эл в 2011 г. по отношению к 2010 г. не произошло.

 

2.2 Республика Мордовия


Площадь субъекта - 2612,8 тыс. га

Численность населения - 825,45 тыс. чел.

Атмосферный воздух

Объем выбросов от стационарных источников в 2011 г. составил 34,174 тыс. т загрязняющих веществ. Было уловлено и обезврежено загрязняющих веществ 93,3% от общего количества отходящих загрязняющих веществ.

Жидкие и газообразные вещества составляют 90,3% в общем объеме выбросов от стационарных источников, в т. ч. на долю углеводородов (без ЛОС) приходится 46,7%.

Основным загрязнителем атмосферного воздуха является Филиал ООО "Газпромтрансгаз Нижний Новгород" - Торбеевское ЛПУМГ, на долю которого приходится половина всех выбросов от стационарных источников.

Выбросы от передвижных источников

В 2011 г. выбросы от автотранспорта составили 64,6% (62,5 тыс. т) от суммарного объема выбросов.

Качество воздуха в городах

С 2007 года наметились тенденции к снижению уровня загрязнения воздуха ртутью и бенз (а) пиреном, к повышению - диоксидом серы, растворимыми сульфатами, оксидом углерода и формальдегидом. Содержание в воздухе взвешенных веществ, диоксида и оксида азота остается стабильным.

Водные ресурсы

Сбросы сточных вод

Водоотведение в поверхностные водоемы составило в 2011 г.42,16 млн. м3. Доля загрязненных сточных вод составила 100%.

Основным загрязнителем водных объектов является МП "Саранское водопроводно-канализационное хозяйство", г. Саранск, на долю которого приходится 76% от общего объема загрязненных сточных вод, сбрасываемых в поверхностные водоемы.

Бытовое водопотребление

Централизованное хозяйственно-питьевое водоснабжение населения Республики Мордовия осуществляется за счет 1510 артезианских скважин и 1064 хозяйственно-питьевых водопроводов.

Из общего количества водоисточников - 184 не отвечают санитарным требованиям из-за отсутствия зон санитарной охраны первого пояса (12,2%).

Наиболее неблагополучными по содержанию фтора в питьевой воде являются Инсарский, Ковылкинский, Зубово-Полянский, Торбеевский, Рузаевский, Чамзинский, Б. Березниковский, Лямбирский районы. Содержание сухого остатка в водах северо-восточной части республики превышает нормативные величины из-за природной геохимической структуры подземных вод в Атяшевском, Чамзинском, Дубенском районах.

Отходы

Общий объем образования отходов в 2011 г. составил, по данным Росприроднадзора, 1,376 млн. т. Основные источники образования отходов - ООО "МПК "Атяшевский" и ОАО "Мордовцемент", на долю которых суммарно приходится 60,8% всего объема образующихся в республике отходов.

Земельные ресурсы

Площадь земельного фонда Республики Мордовия - 2 612,8 тыс. га, в т. ч. площадь лесов и прочих лесопокрытых земель составляет 26,8%.

Площадь земель, деградированных в результате ветровой и водной эрозии, составляет 9,7 тыс. га.

В целом, площадь категории земель сельскохозяйственного назначения, с учетом произошедших изменений составила 1684,0 тыс. га.

Площадь категорий земель промышленности, энергетики, транспорта, связи и иного специального назначения, а также населенных пунктов соответственно увеличилась в связи с переводом из земель сельскохозяйственного назначения и составила: земель промышленности, энергетики, связи и иного специального назначения - 45,2 тыс. га, земель населенных пунктов - 129,6 тыс. га, в том числе городов и рабочих поселков - 24,7 тыс. га, сельских населенных пунктов - 104,9 тыс. га.

2.3 Чувашская республика


Площадь субъекта - 1834,3 тыс. га

Численность населения - 1247,0 тыс. чел.

Атмосферный воздух

От стационарных источников в 2011 г. объем выбросов составил 27,584 тыс. т загрязняющих веществ. Всего было уловлено и обезврежено 28,6% загрязняющих веществ, отходящих от всех стационарных источников из 38,6 тыс. т.

Доля жидких и газообразных загрязняющих веществ составляет 93,7% в общем объеме выбросов от стационарных источников, в т. ч. на долю углеводородов (без ЛОС), оксидов азота (пересчете на NO2) и оксида углерода приходится суммарно 80,1% всех выбросов от стационарных источников.

Главными загрязнителями являются ООО "Газпромтрансгаз Нижний Новгород" филиал "Заволжское линейное производственное управление магистральных газопроводов" (27% всех выбросов от стационарных источников), также ООО "Газпромтрансгаз Нижний Новгород" филиал "Чебоксарское линейное производственное управление магистральных газопроводов" и "Чебоксарская ТЭЦ-2" филиала ОАО "Территориальная генерирующая компания № 5" "Марий Эл и Чувашии" суммарно (13,9%).

Выбросы от автотранспорта составили в 2011 г.81,9 тыс. т (74,8% в общем объеме выбросов).

Качество воздуха в городах

По результатам исследования в 2011 г. проб атмосферного воздуха в г. Чебоксары и г. Новочебоксарск средняя годовая концентрация вредных веществ, по которым ведется наблюдение, превышения ПДК не фиксировалось.

Уровни загрязнения воздуха в городах Чебоксары и Новочебоксарск очень высокий.

Водные ресурсы

Сбросы сточных вод

Водоотведение в поверхностные водоемы составило в 2011 г.84,65 млн. м3, в т. ч.10,37 млн. м3 загрязненных сточных вод 12,25%).

Мероприятия по реконструкции БОС в городах Чебоксары и Новочебоксарск значительно сократили количество загрязняющих веществ, воступающих в водоемы республики. На сегодняшний день основными источниками загрязнения являются МУП "Шумерлинское ПУ "Водоканал" (г. Шумерля), ООО "Вода" (г. Анадырь) и ОАО "Водоканал" (г. Чебоксары). Их суммарный объем сбросов составляет 57,6% от всего общего объема загрязненных сточных вод.

Бытовое водопотребление

Объем бытового водопотребления составляет 64,634 млн. м3 (57,8% в общем объеме использования воды). Из общего количества проб питьевой воды водопроводов, взятых в 2011 г., 2,2% не отвечало санитарно-гигиеническим нормативам.

Качество воды в водных объектах

В 2011 г. качеству воды Чебоксарского водохранилища в створе пункта г. Чебоксары по удельному комбинаторному индексу загрязненности воды (далее - УКИЗВ) присвоен разряд "Б" очень загрязнённых вод. Присутствует повышенное содержание железа общего, нитратов; взвешенными вещемтвами. Зафиксирован рост превышений ПДК по меди и железу общему.

Отходы

Общий объем образования отходов в 2011 г. составил, по данным Росприроднадзора, 0,368 млн. т.

Большой вклад в общее количество отходов в вносят ООО "ПромтракторПромлит" и ОАО "Чебоксарский агрегатный завод" (38,6% всего объема образующихся в регионе отходов). Доля ТБО составляет 68,4% от общего объема отходов производства и потребления.

Земельные ресурсы

Площадь всего земельного фонда составляет 1 834,3 тыс. га, в т. ч. площадь лесов и прочих лесопокрытых земель составляет 591,1 тыс. га. Доля деградированных земель составляет 39,4% от общей площади земельного фонда. Особо охраняемые природные территории занимают 89,9 тыс. га.

2.4 Кировская область


Площадь субъекта - 12037,4 тыс. га

Численность населения - 1327,9 тыс. чел.

Атмосферный воздух

Объем выбросов от стационарных источников в 2011 г. составил 98,619 тыс. т загрязняющих веществ. При этом было уловлено и обезврежено загрязняющих веществ 50,6% общего количества загрязняющих веществ. Доля жидких и газообразных веществ в структуре выбросов составляет 79,2%, в т. ч. оксид углерода - 29,7%.

Выбросы от автотранспорта составили 115,4 тыс. т (53,92% от валового объема выбросов в регионе).

Качество воздуха в городах

В г. Киров отмечается стабильный уровень загрязнения воздуха взвешенными веществами и оксидом азота. Наметилась тенденция к снижению уровня загрязнения диоксидом азота и бенз (а) пиреном, к росту - формальдегидом и оксидом углерода. В г. Кирово-Чепецк повышенная степень загрязнения атмосферного воздуха (ИЗА 5,1), особенно взвешенными веществами и оксидом углерода, наблюдается снижение диоксида азота.

Водные ресурсы

Водоотведение в поверхностные водоемы составило в 2011 г.179,54 млн. м3. От общего объема сбросов доля загрязненных сточных вод составила 97,8%, или 175,56 млн. м3.

Главный загрязнитель водных объектов - ОАО "Кировские коммунальные системы", их вклад составил 41,06% всего объема сброшенных загрязненных сточных вод в субъекте.

Объем бытового водопотребления всего 79,63 млн. м3 (34,6% от общего объема используемой воды). В 2011 г., 26% из общего количества проб питьевой воды водопроводов не отвечало санитарно-гигиеническим нормативам.

Качество воды в водных объектах

Большинство водных объектов Кировской области оценивается 3-м классом, разряд А - загрязненные воды (60% створов) и разряд Б - очень загрязненные воды (30% створов). Только 6,6% створов оценивается 4-м классом, разряд А - грязные воды. Кислородный режим благоприятный на всех реках области.

Отходы

Общий объем образования отходов в 2011 г. составил, по данным Росприроднадзора, 1,319 млн. т.

При этом доля использованных и обезвреженных отходов продолжила отмечаемый в последние годы рост и дополнительно увеличилась на 17,66%. Основными источниками образования отходов являются промышленные и сельскохозяйственные предприятия.

Доля твердых бытовых отходов составляет, по данным субъекта, 4,1% в общем объеме образованных отходов производства и потребления.

Земельные ресурсы

Общая площадь земельного фонда Кировской области составляет 12 037,4 тыс. га, в т. ч. площадь лесов и прочих лесопокрытых земель составляет 66%. Количество особо охраняемых природных территорий в Кировской области составляет 201, суммарной площадью 395,2 тыс. га.

 


2.5 Нижегородская область


Площадь субъекта - 7662,4 тыс. га

Численность населения - 3296,95 тыс. чел.

Атмосферный воздух

Объем выбросов от стационарных источников в 2011 г. составил 142,305 тыс. т загрязняющих веществ, в т. ч. газообразных и жидких веществ в структуре выбросов составила 93,7%.

Качество воздуха в городах

В 2011 г. на территории Нижегородской области проводятся наблюдения в четырех промышленных городах - Н. Новгороде, Дзержинске и его восточной промзоне, Арзамасе, Кстово, а также в к. п. Зеленый город.

В промышленной зоне г. Кстово (ПНЗ-1) наблюдалось загрязнение воздуха ксилолом, концентрацией до 14 ПДК.

Постоянно присутствует примесь в атмосфере городов (Нижний Новгород, Дзержинск, Арзамас, Кстово) бенз (а) пирен.

Кроме того, в воздухе Дзержинска превышение ПДК формальдегидом, аммиаком, взвешенными веществами и фенолом, а в его восточной промзоне - еще ии диоксидом азота, в Арзамасе превышен ПДК по аммиаку и формальдегиду.

Уровень загрязнения воздуха в Н. Новгороде, Арзамасе и Кстово оценивается как повышенный, в к. п. Зеленый город как низкий.

Водные ресурсы

Водоотведение в поверхностные водоемы составило в 2011 г.1086,85 млн. м3, из них 461,44 млн. м3 загрязненных сточных вод (42,45% от общего объема сбросов). ОАО "Нижегородский водоканал" является основным источником загрязнения

Из 2704 проб питьевой воды водопроводов, отобранных в 2011 г., 11,33% не отвечало санитарно-гигиеническим нормативам.

В 45% створов качество воды по показателям характеризуется как 3 класс "загрязненных вод", в т. ч.36% от из общего числа створов относится к разряду "Б" "очень загрязнённых вод", оставшиеся 9% - к разряду "А" "загрязненных вод".55% створов относится к 4 классу "грязных вод", из них 48% относится к разряду "А" и 7% - к разряду "Б".

Постоянно присутствуют марганец, цинк, взвешенные выщества, железо общее, аммоний-ион, нитрат-ион, нитрит-ион, сухой остаток (общая минерализация), фосфат-ион и сульфат-ион.

В 2011 г. случаев экстремально высокого загрязнения (ЭВЗ) водных объектов не отмечено, случаев дефицита растворенного кислорода не зафиксировано. Загрязнение обусловлено факторами природного характера.

Отходы

Общий объем образования отходов в 2011 г составил, по данным Росприроднадзора, 2,405 млн. т. При этом доля использованных и обезвреженных отходов увеличилась на 6% и составляет 86%. Доля твердых бытовых отходов составляет, по данным субъекта, 3,3% в общем объеме образованных отходов производства и потребления.

Земельные ресурсы

Общая площадь земельного фонда Нижегородской области составляет 7 662,4 тыс. га, в т. ч. на долю лесов и прочих лесопокрытых земель приходится 49,8%. Площадь земель, подвергшихся нарушению, составляет 6 тыс. га. Площадь особо охраняемых природных территорий составляет 515,087 тыс. га.

3. Ранжирование территории по эколого-экономическим критериям


Ранжирование территории осуществляется по набору показателей, разносторонне характеризующих эколого-экономическую ситуацию.

Таблица 1

Исходные данные ранжирования района

Наименование показателя

Наименование района


А

Б

В

Г

Д

Выброс вредных веществ тыс. т/км2

0,0359

0,0370

0,0597

0,0178

0,0622

Сброс сточных вод, млн. м3/год

61,56

42,16

84,65

179,540

1086,85

Выброс вредных веществ на душу населения, т/год

0,1213

0,1171

0,0878

0,1612

0,1445

Примечание: А - Республика Марий Эл, Б - Республика Мордовия, В - Чувашская Республика, Г - Кировская область, Д - Нижегородская область


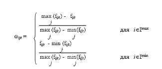
Данные приведенные в табл.1 следует масштабировать, т.е. привести все показатели к одним единицам измерения, к одному интервалу изменения и к одному направлению оптимизации. Для этого следует воспользоваться формулой:


где fijt - значение эколого-экономического показателя i, характеризующего состояние j-го района в год t;max (Imin) - множество показателей, которые по смыслу должны увеличиваться (уменьшаться) для улучшения эколого-экономического состояния района области.

Таблица 2

Нормированные значения показателей

Наименование показателя

Наименование района

 

А

Б

В

Г

Д

Выброс вредных веществ тыс. т/км2

0,4

0,4

0,9

0

1

Сброс сточных вод, млн. м3/год

0,02

0

0,04

0,13

1

Выброс вредных веществ на душу населения, т/год

0,5

0,4

0

1

0,8

Примечание: А - Республика Марий Эл, Б - Республика Мордовия, В - Чувашская Республика, Г - Кировская область, Д - Нижегородская область


Для одновременного учета нескольких критериев можно использовать аддитивную свертку критериев:


Однако различные критерии могут иметь разный приоритет. Пусть параметр li характеризует приоритет критерия i, причем выполняется требование:


В этом случае аддитивная свертка нормированных эколого-экономических критериев принимает вид:


Сравнительную оценку районов проводим по методу нормированного сравнения. На основе нормированных данных формируются три таблицы (табл.3,4,5). Каждая из таблиц основывается на определенном показателе, который принят для оценки районов. Для того, чтобы получить таблицу оценок по какому-либо одному показателю, следует рассчитывать разность нормированных значений показателя между районом, который указан в столбце таблицы и районом, который указан в строке таблицы.

Таблица 3

Оценка районов по показателю выброса вредных веществ

 Район

А

Б

В

Г

Д

 

0,4

0,4

0,9

0

1

А

0

0

0,5

-0,4

0,6

Б

0

0

0,5

-0,4

0,6

В

-0,5

-0,5

0

-0,9

0,1

Г

0,4

0,4

0,9

0

1

Д

-0,6

-0,6

-0,1

-1

0

Примечание: А - Республика Марий Эл, Б - Республика Мордовия, В - Чувашская Республика, Г - Кировская область, Д - Нижегородская область


Таблица 4

Оценка районов по показателю сброса сточных вод

 Район

А

Б

В

Г

Д

 

0,02

0

0,04

0,13

1

А

0

-0,02

0,0

0,11

0,98

Б

0,02

0

0,04

0,13

1

В

-0,02

-0,04

0

0,09

0,96

Г

-0,11

-0,13

-0,09

0

0,87

Д

-0,98

-1

-0,96

-0,87

0

Примечание: А - Республика Марий Эл, Б - Республика Мордовия, В - Чувашская Республика, Г - Кировская область, Д - Нижегородская область


Таблица 5

Оценка районов по показателю выброса вредных веществ на душу населения

 Район

А

Б

В

Г

Д

 

0,5

0,4

0

1

0,8

А

0

-0,5

0,5

0,3

Б

0,1

0

-0,4

0,6

0,4

В

0,5

0,4

0

1

0,8

Г

-0,5

-0,6

-1

0

-0,2

Д

-0,30

-0,4

-0,8

0,2

0

Примечание: А - Республика Марий Эл, Б - Республика Мордовия, В - Чувашская Республика, Г - Кировская область, Д - Нижегородская область


Затем определяем суммарную оценку районов Sjt в таблице 6 путем суммирования данных оценок таблиц 3,4,5 по отдельным показателям. В таблице 6, содержащей суммарную оценку, рассчитывается графа "итого" путем построчного суммирования оценок.

Таблица 6. Суммарная оценка районов по трем показателям

 

А

Б

В

Г

Д

А

0

-0,12

0,02

0,21

1,88

Б

0,12

0

0,14

0,33

2

В

-0,02

-0,14

0

0, 19

1,86

Г

-0,21

-0,33

-0, 19

0

1,67

Д

-1,88

-2

-1,86

-1,67

0

Итого

-1,99

-2,59

-1,89

-0,94

7,41


По полученным величинам можно судить об относительной экологической безопасности районов, но для дальнейшего сопоставления и удобства работы их целесообразно нормировать. Для этого следует их сначала преобразовать к неотрицательному виду по формуле:

jt = Sjt - min (Sjt)

Для полученных значений имеем:

.99 + 2.59 = 0,6 (Республика Марий Эл)

,59 + 2.59 = 0 (Республика Мордовия)

,89 + 2.59 = 0,7 (Чувашская Республика)

,94 + 2.59 = 1,65 (Кировская область)

,41 + 2.59 = 10 (Нижегородская область)

Окончательное преобразование должно привести полученные оценки к измерению в шкале от 0 до 100. Это преобразование необходимо проводить по формуле:

jt = 100 Qjt / max (Qjt)

Отсюда окончательно получаем оценки для рассматриваемых районов:

оценка Республики Марий Эл - 6

оценка Республики Мордовия - 0

оценка Чувашской Республики - 7

оценка Кировской области - 16,5

оценка Нижегородской области - 100

Вывод: самая плохая эколого-экономическая обстановка в Нижегородской области

4. Оценка эколого-экономического ущерба


Необходимо определить эколого-экономический ущерб от загрязнения атмосферного воздуха и эколого-экономический ущерб от загрязнения стоков.

Эколого-экономический ущерб от загрязнения атмосферного воздуха определяем по формуле:

где

gt - денежная оценка единицы выбросов - 47,5руб. /усл. т.;

s - коэффициент, позволяющий учесть региональные особенности территории, подверженной вредному воздействию;

Аi - коэффициент приведения примеси вида i к монозагрязнителю, усл. т/т;it - объем выброса i-ого вида примеси загрязнителя [3].

Коэффициента s, определяется с помощью следующей формулы:

общ. - общая площадь исследуемой территории [3];i - площадь i-й территории [3];

di - коэффициент, учитывающий особенности i-й территории.

В табл.7 представлены значения коэффициента, позволяющего учесть региональные особенности территории, подверженной вредному воздействию.

Таблица 7

Значения коэффициента относительной опасности загрязнения атмосферного воздуха над территориями Волго-Вятского района

Назначение территории

di

Кировская область

Республика Мордовия

Республика Чувашия

Республика Марий ЭЛ

Нижегородская область



Тыс. га

s

Тыс. га

s

Тыс. га

s

Тыс. га

s

Тыс. га

s

Площадь общая, тыс км2

 

12037,4


2612,8


1834,8


2337,50


7662,4


Население, тыс. чел

 

1333,2


825,4


1248,6


693,96


3317,2


Курорты, санатории, заповедники, заказники

10

395,2

0,33

76,39

0,29

89,9

0,49

96,0

0,41

515,09

0,67

Пригородные зоны отдыха, дачные участки

8

358,78

0,24

76,45

0,23

47,75

0,21

274,5

0,94

437,10

0,46

Населенные места - город

8

107,51

0,07

24,70

0,08

21,96

0,10

12,296

0,04

198,5

0,21

Населенные места - область

8

230,73

0,15

104,90

0,32

32,94

0,14

27,49

0,09

369,4

0,39

Территория предприятий

4

189,65

0,06

45, 20

0,07

25,62

0,06

41,37

0,07

165,9

0,09

Леса

0,2

7342,8

0,12

679,33

0,05

587,14

0,06

1355,75

0,12

3678,0

0,10

Пашни

0,1

2639,5

0,02

1230,28

0,05

809,49

0,04

275,38

0,01

1838,9

0,02

Сады, виноградники

0,5

162,1

0,01

15,10

0,00

88

0,02

130,4

0,03

183,8

0,01

Пастбища, сенокосы

0,05

611,1

0,01

398,24

0,01

132

0,00

124,3

0,00

275,8

0,00

Коэффициент 

 

12037,4

1,02

2650,59

1,1

1834,796

1,13

2337,5

1,72

7662,442

1,94


Полученные результаты расчета экологического ущерба от загрязнения атмосферного воздуха в отдельных районах и в целом в Волго-Вятском экономическом районе приведены в таблице 8.

Таблица 8

Эколого-экономический ущерб от загрязнения атмосферного воздуха

Название вещества

Значение Аi, усл. т/т

mt

Аi mt

s

g руб. /усл. т

Zатм. (t) = g * s *i mt, млн. руб.

Кировская область

1. Окись углерода (углерод оксид)

0,4

29301

11720,4

 

 

 

2. Сернистый ангидрид

20

16247

324940

 

 

 

3. Окислы азота в пересчете по массе на NO2

16,5

13524

223146

 

 

 

4. ЛНУ (летучие низкомолекулярные углеводороды по углероду)

0,7

4975

3482,5

 

 

 

 

 

 

563288,9

1,02

47,5

27,291

Нижегородская область

1. Окись углерода (углерод оксид)

0,4

25597

10238,8

 

 

 

2. Сернистый ангидрид

20

17672

353440

 

 

 

3. Окислы азота в пересчете по массе на NO2

16,5

31390

517935

 

 

 

4. ЛНУ (летучие низкомолекулярные углеводороды по углероду)

0,7

29054

20337,8

 

 

 

 

 

 

901951,6

1,94

47,5

83,115

Республика Марий Эл

1. Окись углерода (углерод оксид)

0,4

6002

2400,8

 

 

 

2. Сернистый ангидрид

20

1453

29060

 

 

 

16,5

6045

99742,5

 

 

 

4. ЛНУ (летучие низкомолекулярные углеводороды по углероду)

0,7

1283

898,1

 

 

 

 

 

 

132101,4

1,72

47,5

10,793

Республика Мордовия

1. Окись углерода (углерод оксид)

0,4

5589

2235,6

 

 

 

2. Сернистый ангидрид

20

694

13880

 

 

 

3. Окислы азота в пересчете по массе на NO2

16,5

6357

104891

 

 

 

4. ЛНУ (летучие низкомолекулярные углеводороды по углероду)

0,7

1711

1197,7

 

 

 

 

 

 

122203,8

1,1

47,5

6,385

Республика Чувашия

1. Окись углерода (углерод оксид)

0,4

7699

3079,6

 

 

 

2. Сернистый ангидрид

20

892

17840

 

 

 

3. Окислы азота в пересчете по массе на NO2

16,5

7081

116837

 

 

 

4. ЛНУ (летучие низкомолекулярные углеводороды по углероду)

0,7

2399

1679,3

 

 

 

 

 

 

139435,4

1,13

47,5

7,484


Всего эколого-экономический ущерб от загрязнения атмосферы составил 135,068 млн. руб. в 2011 году по Волго-Вятскому экономическому региону.

Эколого-экономический ущерб поверхностным водоемам от загрязненных стоков определяется по формуле:

где

rt - денежная оценка единицы сбросов - 4670 руб. /усл. т.;

b - коэффициент, позволяющий учесть особенности водоема, подверженного вредному воздействию [4];i - коэффициент приведения примеси вида i к монозагрязнителю, усл. т/т;i - объем сброса i-ого вида примеси загрязнителя.

Полученные результаты расчета экологического ущерба от загрязнения водоемов в отдельных районах и в целом в Волго-Вятском экономическом районе приведены в таблице 9.

Таблица 9

Эколого-экономический ущерб поверхностным водоемам от загрязненных стоков в Волго-Вятском регионе

Наименование вещества

Di

объем сброса vi, т

Di vi

 rt, руб. /усл. т

b

Zводн. = r * b * SDi vi, млн. руб.

Кировская область

1. Нефтепродукты

15

660

9900,00

 

 

 

2. Нитраты

12,5

526,0

6575,00

 

 

 

3. Сульфаты

0,05

185,6

9,28

 

 

 

4. Фосфаты

2

26,21

52,42

 

 

 

5. Взвешенные вещества

0,1

266652, 19

26665,22

 

 

 

 

 

268050

43201,92

4670

1,6

322,805

Нижегородская область

1. Нефтепродукты

15

956,00

14340,00

 

 

 

2. Нитраты

12,5

672,00

8400,00

 

 

 

3. Сульфаты

0,05

327,00

16,35

 

 

 

4. Фосфаты

2

430,00

860,00

 

 

 

5. Взвешенные вещества

0,1

22976,00

2297,6

 

 

 

 

 

25361

25913,95

4670

1,6

193,629

Республика Марий Эл

1. Нефтепродукты

15

125,00

1875,00

 

 

 

2. Нитраты

12,5

672,00

8400,00

 

 

 

3. Сульфаты

0,05

6980,00

349,00

 

 

 

4. Фосфаты

2

36,00

72,00

 

 

 

5. Взвешенные вещества

0,1

18417,00

1841,7

 

 

 

 

 

26230

12537,7

4670

1,6

93,682

Республика Мордовия

1. Нефтепродукты

15

85,00

1275,00

 

 

 

2. Нитраты

12,5

439,00

5487,50

 

 

 

3. Сульфаты

0,05

5482,00

274,10

 

 

 

4. Фосфаты

2

271,00

542,00

 

 

 

5. Взвешенные вещества

0,1

28010,00

2801

 

 

 

 

 

34287

10379,6

4670

1,6

77,556

Республика Чувашия

1. Нефтепродукты

15

231,00

3465,00

 

 

 

2. Нитраты

12,5

528,00

6600,00

 

 

 

3. Сульфаты

0,05

5389,00

269,45

 

 

 

4. Фосфаты

2

120,00

240,00

 

 

 

5. Взвешенные вещества

0,1

61602,00

6160,2

 

 

 

 

 

67870

16734,65

4670

1,6

125,041

 

Всего экономический ущерб от загрязнения водоемов в Волго-Вятском регионе составил 812,713 млн. руб.

В целом сумма экономического ущерба от загрязнения атмосферного воздуха и водоемов в Волго-Вятском экономическом районе составила за 2011 год 947,781 млн. руб.

По результатам расчетов построена гистограмма (рис.1), из которой следует, что наибольший экономический ущерб от загрязнения окружающей природной среды, наносится в Кировской и Нижегородской областях.

Рис.1 Результаты оценки экономического ущерба от загрязнения атмосферы и водемов

Заключение


По данным проведенного анализа худшим районом Волго-Вятского экономического района является Нижегородская область. Большое количество населения, развитая промышленность привели к значительным антропогенным изменениям окружающей природной среды.

Относительную экологическую безопасность районов можно представить в виде последовательности: наиболее худшие условия в Нижегородской области, далее в Кировской, в республиках Чувашии и Марий Эл, наиболее благоприятные условия - в Республике Мордовии.

Всего эколого-экономический ущерб от загрязнения атмосферы составил 135,068 млн. руб. в 2011 году по Волго-Вятскому экономическому региону.

Всего экономический ущерб от загрязнения водоемов в Волго-Вятском регионе составил 812,713 млн. руб.

В целом сумма экономического ущерба от загрязнения атмосферного воздуха и водоемов в Волго-Вятском экономическом районе составила за 2011 год 947,781 млн. руб.

Для улучшения экологической ситуации можно рекомендовать следующие мероприятия:

.        Определение прямого и косвенного экологического ущерба от загрязнений атмосферного воздуха, сбросов загрязняющих веществ, образования отходов поможет привести в соответствие величину платы за выбросы и сбросы загрязняющих веществ в атмосферу и водные объекты России, которые в настоящее время значительно ниже наносимому экологическому ущербу.

2.       Улучшить состояние атмосферы в больших промышленных городах за счет увеличения количества и качества городской растительности.

.        За счет модернизации производства повысить степень очистки промышленных газов от стационарных источников.

.        Улучшить состояние атмосферного воздуха в крупных городах можно за счет снижения выбросов от передвижных источников, путем внедрения современных технологий очистки отработанных газов.

.        Основные направления улучшения экологической ситуации - совершенствование технологий эксплуатации природных богатств, строительство очистных сооружений на заводах и фабриках, создание заповедников и заказников.

Список литературы


1.       Видяпин В.И. Степанов М.В. Региональная экономика: Учебник. - М.: ИНФРА-М. - (100 лет РЭА им. Г.В. Плеханова)., 2007

2.       Волго-Вятский экономический район [Электронный ресурс] URL: #"703451.files/image009.gif">

Приложение 2. Волго-Вятский экономический район (промышленность)


Похожие работы на - Ранжирование территории по эколого-экономическим критериям на примере Волго-Вятского экономического района

 

Не нашли материал для своей работы?
Поможем написать уникальную работу
Без плагиата!
Без нейросетей!