Надежность сооружений и оснований в особых условиях

  • Вид работы:
    Курсовая работа (т)
  • Предмет:
    Строительство
  • Язык:
    Русский
    ,
    Формат файла:
    MS Word
    390,19 Кб
  • Опубликовано:
    2014-01-10
Вы можете узнать стоимость помощи в написании студенческой работы.
Помощь в написании работы, которую точно примут!

Надежность сооружений и оснований в особых условиях

Министерство образования и науки РФ

Государственное Образовательное Учреждение

Высшего Профессионального Образования

Волгоградский государственный архитектурно-строительный университет

Строительный факультет

Кафедра СКОиНС






КУРСОВАЯ РАБОТА

«Надежность сооружений и оснований в особых условиях»

Выполнил:

ст. гр. ПГС-2-08

Шевцов А.В.

Проверил:

Сухина К.Н.





Волгоград 2012

Содержание

Введение

. Определение несущей способности железобетонной плиты методами предельного состояния и статической линеаризации

.1 Исходные данные

.2 Сбор нагрузок на плиту

.3 Определение несущей способности плиты

. Определение несущей способности железобетонной плиты методом статической линеаризации

.1 Определение характеристик безопасности железобетонного сечения

.2 Определение несущей способности сечения при заданном уровне безопасности β=3.

. Определение статических характеристик прочности бетона для плиты

.1 Метод статической линеаризации

.2 Определение характеристик безопасности

.3 Определение несущей способности сечения при заданном уровне безопасности β=3

. Определение несущей способности железобетонной фермы методами предельного состояния и статической линеаризации

.1 Метод предельных состояний

.2 Сбор нагрузок на ферму

.3 Определение несущей способности железобетонной фермы методом статической линеаризации

.4 Определение характеристик безопасности железобетонной фермы

.5 Определение несущей способности сечения при заданном уровне безопасности β=3

. Определение статистических характеристик прочности арматуры для фермы

.1 Метод статистической линеаризации

.2 Определение характеристик безопасности

. Железобетонная средняя колонна промышленного здания

.1 Определение несущей способности методом предельных состояний

.2 Определение несущей способности методом статистической линеаризации

.3 Определение характеристик безопасности железобетонной колонны

.4 Определение несущей способности сечения при заданном уровне безопасности β=3

.5 Определение статистических характеристик прочности бетона и арматуры колонны

.6 Метод статистической линеаризации

.7 Определение характеристик безопасности

.8 Определение несущей способности сечения при заданном уровне безопасности β=3.

. Графики уровня безопасности

Список используемой литературы

Введение


Проектирование строительных конструкций всегда приходится вести в условиях неопределённости: нагрузки и воздействия, физико-механические характеристики материалов, геометрические размеры конструкций являются случайными величинами или функциями и в каждом конкретном случае принимают различные значения. Метод предельных состояний позволяет учитывать случайный характер этих факторов при помощи системы коэффициентов надёжности. Исходным положением расчёта по предельным состояния является условие, что минимально возможная (расчётная) величина несущей способности должна всегда превышать усилие от максимально возможных (расчётных) величин нагрузок. Этим объясняется определённый уровень надёжности проектирования. Однако метод предельных состояний не позволяет произвести количественную оценку надёжности конструкций и тем более проектировать их с заданным уровнем надёжности (риска). При этом вполне возможны случаи, когда надёжность конструкции ответственных сооружений оказывается ниже надёжности конструкций сооружений третьего класса ответственности. Поэтому расчёт строительных конструкций как систем, содержащих случайные параметры, должен проводиться в вероятностной постановке на основе методов теории вероятности, теории случайных функций. Гарантия ненаступления предельного состояния может быть обеспечена с определённой вероятностью. Задав вероятность ненаступления предельного состояния (или вероятность отказа), можно определить размеры сечения конструкции, отвечающие заданным вероятностям. Таким образом, вероятностный подход к расчёту конструкций позволяет проектировать их с заданным уровнем надёжности, а следовательно, получать эффективные проектные решения.

1. Определение несущей способности железобетонной плиты методами предельного состояния и статической линеаризации

 

.1 Исходные данные


Таблица 1.1. Исходные данные

Ребристая плита покрытия


Класс бетона

B15

Класс арматуры

А400

Пролет плиты, м

6

Ширина плиты, м

1,5

Вес плиты, т

1,43


 

.2 Сбор нагрузок на плиту


Таблица 1.2. Сбор нагрузок на плиту

№ п/п

Вид и подсчет нагрузки

Нормативные нагрузки,

Расчетные значения,


1

2

3

4


Постоянная нагрузка

1

Три слоя рубероида на битумной мастике

0,09

1,3

0,117

2

Цементно-песчаная стяжка

0,54

1,3

0,702

3

Утеплитель (газобетон)

0,75

1,2

0,9

4

Собственный вес плиты покрытия

1,59

1,1

1,749


ИТОГО:

2,97


3,47


Временная нагрузка

5

Снеговая

0,857

1,4

1,2

6

Полезная

0,5

1,3

0,65


ВСЕГО:

4,374


5,319


Погонная нагрузка на плиту:

 

Внешний момент в плите:

 

1.3 Определение несущей способности плиты



bf = b = 1.5 м

hf = 0.03 м

h = 0.35 м

а = 0.03 м

o=h - a=0.35-0.03=0.32м

Определение положения нейтральной оси:


Следовательно, нейтральная ось проходит в полке, и сечение рассчитывается как прямоугольное с  и

 

Значение относительной высоты сжатой зоны:

 

Значение граничной относительной высоты сжатой зоны:

 

где: εb,ult -относительная деформация сжатого бетона при напряжениях, равных Rb, принимаемая равной 0.0035.

εs,el - относительная деформация растянутой арматуры при напряжениях, равных Rs

 

 

 

 

Определяем требуемую площадь сечения арматуры

 

В соответствии с сортаментом принимаем 2 ∅ 16

Высота сжатой зоны:

 

Определяем несущую способность плиты:

 

 

. Определение несущей способности железобетонной плиты методом статической линеаризации


 

 

Математическое ожидание для бетона и арматуры:

 

 

Среднее квадратичные отклонения (стандарты):

 

 

Математическое ожидание случайной величины М:

 

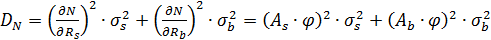
Дисперсия изгибающего момента:

 

 

Стандарт от математического ожидания:

 

Находим коэффициент вариации:

 

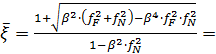
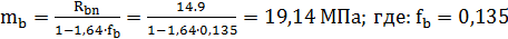
2.1 Определение характеристик безопасности железобетонного сечения


Принимаем коэффициент вариации по нагрузке  и характеристику безопасности

Определяем математическое ожидание:

 

Определяем стандарт:

 

Вычисляем характеристику безопасности:

 

Определяем вероятность безотказной работы:

 

Вычисляем вероятность отказа:

 

Интегральный коэффициент запаса:

 

 

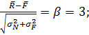
2.2 Определение несущей способности сечения при заданном уровне безопасности β=3


 

 

3. Определение статических характеристик прочности бетона для плиты

Вариант 26

Таблица 3.1. Выборка кубиковой прочности испытуемых образцов бетона

16,093

12,365

15,324

14,626

13,684

19,216

16,943

15,491

15,764

16,737

13,930

16,277

14,194

13,734

13,319

14,243

15,413

14,338

17,373

14,671

17,987

14,908

16,387

15,530

14,467

14,381

17,358

14,361

14,993

14,737

15,648

15,010

14,891

14,878

15,503

15,956

15,210

14,830

14,203

16,059

15,736

17,434

14,417

14,786

13,881

14,779

15,775

15,532

14,316

13,277

14,154

16,493

15,895

16,361

14,510

15,029

16,226

12,225

14,104

14,115

16,980

16,160

15,931

16,138

10,821

14,121

15,834

17,308

13,018

15,563

16,684

16,155

13,460

12,309

14,412

16,412

16,415

13,908

17,402

15,552

15,204

14,290

14,914

14,214

16,192

16,039

12,398

15,902

13,556

17,997

14,387

16,553

15,633

16,062

12,907

17,084

18,883

14,381

12,926

13,703

железобетонный плита сечение нагрузка

Наибольшая и наименьшая величина прочности образца:

 

 

Разбиение ряда измеренных значений на 10 интервалов:

 

Таблица 3.2. Статистический ряд распределения случайных величин

Разряды

Число попаданий

Среднее число

Частота попаданий

1

11,241

0,01

4

12,080

0,04

5

12,920

0,05

11

13,759

0,11

28

14,599

0,28

17

15,438

0,17

22

16,278

0,22

8

17,117

0,08

2

17,957

0,02

2

18,796

0,02


Подсчет частоты попадания ведется по формуле:

 

Рис. 3.1. Гистограмма дифференциального распределения случайных величин

Рис. 3.2. Гистограмма интегрального распределения случайных величин

Среднее значение прочности бетона на сжатие (математическое ожидание случайной величины):

 

 

Дисперсия случайной величины, которая характеризует её разброс по сравнению со средним значением:

 

 

Среднее квадратическое отклонение (стандарт):

 

Коэффициент вариации:

 

Нормативная прочность бетона на сжатие:

 

Нормативная призменная прочность:

 

Расчетная призменная прочность:

 

 

Математическое ожидание для бетона и арматуры:

 

 

Среднее квадратичные отклонения (стандарты):

 

 

Математическое ожидание случайной величины М:

 

 

Дисперсия изгибающего момента:

 

 

 

Стандарт от математического ожидания:

 

Находим коэффициент вариации:

 

3.2 Определение характеристик безопасности


Принимаем коэффициент вариации по нагрузке  и коэффициент вариации по бетону . Определяем математическое ожидание:

 

Определяем стандарт:

 

Вычисляем характеристику безопасности:

 

Определяем вероятность безотказной работы:

 

Вычисляем вероятность отказа:

 

Интегральный коэффициент запаса:

 

 

3.3 Определение несущей способности сечения при заданном уровне безопасности β=3


 

 

4. Определение несущей способности железобетонной фермы методами предельного состояния и статической линеаризации

 

.1 Метод предельных состояний


Рис. 4.1. Расчетная схема подстропильной фермы

Бетон класса В30.

Армирование нижнего пояса выполнено двумя пучками из арматуры Вр-1400 по 18 проволок ∅5мм, As=7,06см2. Rs=1170 МПа; Rsn=1400 МПа; Es=1.8x105 МПа.

4.2 Сбор нагрузок на ферму


Наименование

Нормативная нагрузка, кН

Расчетная нагрузка, кН


Постоянная:

1. Нагрузка на покрытия

320.76


374.652

2. Собственный вес стропильной фермы

73

1.1

80.3

Итого постоянная:

393


454.952

Временная:

Нагрузка на покрытия

146.556

1.4

199.8

ИТОГО:

539.556


654.752


Рис. 4.2. Продольные усилия в стержнях фермы

N=1119.94кН

Определим несущую способность фермы:

 

Несущей способности не достаточно.

Определяем требуемое поперечное сечение продольной арматуры:

 

Принимаем 25∅5 Вр-1400 в пучке

Определим несущую способность фермы:

 

4.3 Определение несущей способности железобетонной фермы методом статической линеаризации


 

Математическое ожидание для бетона и арматуры:

 

Среднее квадратичные отклонения (стандарты):

 

Математическое ожидание случайной величины N:

 

Дисперсия осевого усилия:

 

Стандарт от математического ожидания:

 

Находим коэффициент вариации:

 

4.4 Определение характеристик безопасности железобетонной фермы


Принимаем коэффициент вариации по нагрузке:  и характеристику безопасности

Определяем математическое ожидание:

 

Определяем стандарт:

 

Вычисляем характеристику безопасности:

 

Определяем вероятность безотказной работы:

 

Вычисляем вероятность отказа:

 

Интегральный коэффициент запаса:

 

 

 

.5. Определение несущей способности сечения при заданном уровне безопасности β=3


 

 

5. Определение статистических характеристик прочности арматуры для фермы


Вариант №28

Таблица 5.1. Случайная выборка 10 испытаний арматуры нижнего пояса

% износа

7,5

6,9

8,9

11,4

9,6

8,4

8,2

15,8

3,8

8,6

8,707

8,639

8,659

8,684

8,666

8,654

8,652

8,728

8,608

8,656


 

 

.1 Метод статистической линеаризации


Среднеквадратическое отклонение (стандарт):

 

Математическое ожидание:

 

Дисперсия:

 

 

Среднеквадратическое отклонение случайной величины N:

 

Коэффициент вариации

 

5.2 Определение характеристик безопасности


Принимаем коэффициент вариации по нагрузке  и характеристику безопасности .

Определяем математическое ожидание:

 

Определяем стандарт:

 

Вычисляем характеристику безопасности:

 

Определяем вероятность безотказной работы:

 

Вычисляем вероятность отказа:

 

Интегральный коэффициент запаса:

 

 

Определение несущей способности сечения при заданном уровне безопасности β=3:

 

 

6. Железобетонная средняя колонна промышленного здания

 

.1 Определение несущей способности методом предельных состояний


Произведём расчёт средней железобетонной колонны промышленного здания сечением 400х400 мм и высотой 6 м. Характеристики материалов, из которых выполнена колонна:

) бетон класса В20 с расчётным сопротивлением

) стержневая арматура класса А400 с расчётным сопротивлением

Грузовая площадь

Сбор нагрузок на колонну:

Наименование

Нормативная нагрузка, кН

Расчетная нагрузка, кН


Постоянная:

1. Нагрузка на покрытия

641.52


749.304

2. Собственный вес стропильной фермы

146

1.1

160.6

3. Собственный вес подстропильной фермы

110

1.1

121

4. Собственный вес колонны

24

1.1

26.4

Итого постоянная:

921.52


1057.304

Временная:

Нагрузка на покрытия

293.112

1.4

399.6

ИТОГО:

1214.632


1456.904


Задаемся:

Определяем требуемую площадь продольной арматуры

 

 

Уменьшаем сечение колонны: 350х350см.

 

Принимаем 4ø20 АIII

Процент армирования:

 

6.2 Определение несущей способности методом статистической линеаризации


 

 

Математические ожидания для бетона и арматуры:

 

 

Среднеквадратические отклонения (стандарты):

 

 

Математическое ожидание случайной величины N:

 

Дисперсия:

 

 

Среднеквадратическое отклонение случайной величины М

 

Коэффициент вариации

 

6.3 Определение характеристик безопасности железобетонной колонны


Принимаем коэффициент вариации по нагрузке:  и характеристику безопасности

Математическое ожидание:

 

Среднеквадратические отклонения (стандарты):

 

Характеристика безопасности:

 

Вероятность безотказной работы:

 

Вычисляем вероятность отказа:

 

Интегральный коэффициент запаса:

 

 

6.4 Определение несущей способности сечения при заданном уровне безопасности β=3


 

 

 

 

.5 Определение статистических характеристик прочности бетона и арматуры колонны


Вариант №27

Таблица 6.1. Случайная выборка 10 испытаний арматуры колонны

% изн

7,5

6,9

8,9

11,4

9,6

8,4

8,2

15,8

3,8

8,6

 

11,378

11,451

11,205

10,898

11,119

11,267

11,291

10,357

11,833

11,242


 

Статистические характеристики прочности бетона были определены ранее.

6.6 Метод статистической линеаризации


Среднеквадратические отклонения (стандарты):

 

 

Математическое ожидание:

 

 

Дисперсия:

 

 

 

 

Среднеквадратические отклонения (стандарт):

 

Коэффициент вариации:

 

6.7 Определение характеристик безопасности


Принимаем коэффициент вариации по нагрузке:  и характеристику безопасности

Математическое ожидание:

 

Стандарт:

 

Характеристика безопасности:

 

Вероятность безотказной работы:

 

Вычисляем вероятность отказа:

 

Интегральный коэффициент запаса:

 

 

 

.8 Определение несущей способности сечения при заданном уровне безопасности β=3


 

 

7. Графики уровня безопасности



 

 


 

 


 

 

Список используемой литературы


1)      В.А. Пшеничкина, А.Н. Богомолов, А.А. Чураков «Надежность строительных систем» Учеб. пособие для студентов.- 2-е изд., исправленное и дополненное. - Волгоград: ВолгГАСУ, 2010.-40 с.

)        СП 20.13330.2011 «Нагрузки и воздействия» Актуализированная редакция СНиП 2.01.07-85*

)        СП 52-101-2003 «Бетонные и железобетонные конструкции без предварительного напряжения арматуры»

)        Пособие по проектированию бетонных и железобетонных конструкций из тяжелого бетона без предварительного напряжения арматур (к СП 52-101-2003)

)        СНиП 52-01-2003 «Бетонные и железобетонные конструкции» Основные положения.

)        ГОСТ 5781-82 «Сталь горячекатаная для армирования железобетонных конструкций»

)        ГОСТ 6727-80 «Проволока из низкоуглеродистой стали холоднотянутая для армирования железобетонных конструкций»

)        И.И.Улицкий, Ривкин С.А., Самолётов М.В., Дыховичный А.А., Френкель М.М., Кретов В.И. «Железобетонные конструкции» Издание третье дополненное и переработанное. Киев, «Бодiвельник»,1972 стр. 992.

)        А.П.Мандриков «Примеры расчёта железобетонных конструкций» Учеб. пособие для техникумов.-2-е изд., переработанное и дополненное. -М.: Стройиздат, 1989.-506 с.

)        Голышев А.Б. «Проектирование железобетонных конструкций». Справочное пособие.

)        В.Н.Байков, Э.Е.Сигалов «Железобетонные конструкции. Общий курс»

)        Заикин А.И. «Железобетонные конструкции одноэтажных промышленных зданий»

Похожие работы на - Надежность сооружений и оснований в особых условиях

 

Не нашли материал для своей работы?
Поможем написать уникальную работу
Без плагиата!
Без нейросетей!