Cхема виробництва фундаментних блоків будинків з використанням відходів

  • Вид работы:
    Курсовая работа (т)
  • Предмет:
    Строительство
  • Язык:
    Украинский
    ,
    Формат файла:
    MS Word
    855,61 Кб
  • Опубликовано:
    2013-12-01
Вы можете узнать стоимость помощи в написании студенческой работы.
Помощь в написании работы, которую точно примут!

Cхема виробництва фундаментних блоків будинків з використанням відходів

Вступ

В Україні останнім часом поширилось використання монолітного залізобетону для зведення житлових, громадських та промислових споруд. Очікується, що частка його в загальному обсязі бетонних та залізобетонних конструкцій буде збільшуватися і становитиме більше 50 %. Постає потреба одночасно з розширенням використання високоміцного та попередньо-напруженого залізобетону збільшувати випуск конструкцій з легкого та ніздрюватого бетону.

Однією з найважливіших умов підвищення ефективності капітального будівництва є створення і широке використання ресурсо-, енергозберігаючих та екологічно чистих технологій виробництва бетонних і залізобетонних конструкцій. Не менш важливою умовою є підготовка висококваліфікованих спеціалістів, здатних вирішувати проблеми, пов’язані з розвитком і вдосконаленням технології виробництва залізобетону.

Основна увага приділена методиці проектування організації технологічних процесів при таких формах потокової організації технологічних процесів: перервно-потоковій (агрегатно-потоковий спосіб виробництва) і прямотоковій (стендовий спосіб виробництва). Потокова форма організації виробничого процесу базується на таких принципах, як пропорційність процесів, яка характеризується тим, що за певний проміжок часу на всіх ділянках процесу обробляють однакову кількість виробів; паралельність процесів тобто одночасному витіканні всіх частин процесу виготовлення різних виробів; безперервність‚ що означає безперервне протікання всіх частин процесу виготовлення та стадій обробки виробів.

Фундаментні блоки будинків є масовим видом продукції підприємств будівельної індустрії. Фундаментні блоки володіють рядом цінних якостей головним із яких є: висока міцність‚ довговічність‚ неспалимість і водостійкість. Для виготовлення блоків використовують агрегатні та конвеєрні лінії.

На сучасному етапі та у майбутньому бетон та залізобетон у нашій країні й за кордоном залишаться найважливішими конструктивними матеріалами для будівництва, та проведення реконструкційних робіт.

В даному курсовому проекті описано схему виробництва фундаментних блоків будинків з використанням відходів на основі хімічного активованого вапняно-зольного в’яжучого з використанням золи Бурштинської ТЕС і содового плаву (СП) РПО «Азот».

1. Характеристика продукції

Блоки поділяються на три типи:

ФБС - суцільні.

Форма і розміри блоків повинні відповідати вказаним на рис. 1 і табл. 1.

Таблиця 1

Тип блоку

Основні разміри блоки, мм


Довжина l

Ширина b

Висота h

ФБС

2380

700

500


Технічні вимоги

Марки і характеристики блоків з важкого бетону наведено в табл. 4 При відповідному обґрунтуванні допускається застосування блоків з бетонів з класами по міцності на стиск, що відрізняються від зазначених у табл. 4. При цьому у всіх випадках клас бетону за міцністю на стиск повинен прийматися не більше В15 і не менше:

В3,5 - для блоків з важкого бетону і керамзитобетону ;

В12,5 - для блоків з щільного силікатного бетону.

Розміщення монтажних петель в блоках повинно відповідати зазначеному на рис. 3.

Допускається встановлювати монтажні петлі в блоках типу ФБС довжиною 1180 і 2380 мм на відстані 300 мм від торців блоку і урівень з його верхньою площиною.

При застосуванні для підйому і монтажу блоків спеціальних захватних пристроїв допускається, за погодженням виробника зі споживачем і проектною організацією, виготовлення блоків без монтажних петель.

Блоки типу ФБС

Рис. 1

Таблиця 2

Марка блоку

Клас бетону за міцністю на стиск

Монтажна петля

Витрата матеріалів

Вага блоку (довідкова), т



Марка

Кол.

Бетон, м2

Сталь, кг


ФБС12.4.6-С

В15

П1

2

0,265

0,76

0,53


Значення нормованої відпускної міцності бетону блоків у відсотках від класу по міцності на стискування слід приймати рівним:

- для важкого бетону і керамзитобетону класу В12,5 і вище ;

- для важкого бетону класу В10 і нижче ;

- для керамзитобетону класу В10 і нижче ;

- для щільного силікатного бетону.

При поставці блоків в холодний період року допускається підвищувати значення нормованої відпускної міцності бетону у відсотках від класу по міцності на стиск , але не більше;

- для бетону класу В12,5 і вище ;

- для бетону класу В10 і нижче.

Значення нормованої відпускної міцності бетону слід приймати по проектній документації на конкретну будівлю або споруду відповідно до вимог ГОСТ 13015.0.

Поставку блоків з відпускною міцністю бетону нижче міцності , яка відповідає його класу за міцністю на стиск , виробляють за умови , якщо виробник гарантує досягнення бетоном блоків необхідної міцності в проектному віці , яка визначається за результатами випробування контрольних зразків , виготовлених з бетонної суміші робочого складу і зберігалися в умовах згідно ГОСТ 18105 .

Монтажні петлі блоків повинні виготовлятися з стрижневий гарячекатаної арматури гладкою класу А-І марок ВСт3пс2 і ВСт3сп2 або періодичного профілю А-ІІ, марки 10ГТ за ГОСТ 5781.

Арматуру зі сталі марки ВСт3пс2 не допускається застосовувати для монтажних петель, призначених для підйому і монтажу блоків при температурі нижче мінус 40 °С.

Відхилення в мм проектних розмірів блоків не повинні перевищувати:

по довжині ± 13

по ширині і висоті ± 8

за розмірами вирізів ± 5

Відхилення від прямолінійності профілю поверхонь блоку не повинно перевищувати 3 мм на всю довжину і ширину блоку.

Встановлюють наступні категорії бетонної поверхні блоків:- лицьової, призначеної під фарбування;

А5 - лицевий, призначеною під обробку керамічними плитками, що укладаються по шару розчину;

А6 - лицевої;

А7 - лицевий, не видимою в умовах експлуатації.

Вимоги до якості поверхонь блоків - по ГОСТ 13015.0.

У бетоні блоків, не допускаються тріщини, за винятком місцевих поверхневих усадочних, ширина яких не повинна перевищувати 0,1 мм в блоках з важкого і щільного силікатного бетону і 0,2 мм в блоках з керамзитобетону. Монтажні петлі повинні бути очищені від наплавов бетону.

Монтажні петлі:

Рис. 2

Таблиця 3 - Специфікація та вибір арматури на одну монтажну петлю

Марка монтажної петлі

Позиція

Діаметр, мм

Довжина, мм

Кількість

Вага, кг

П2, П2а

2

10А240С

1180

2

0,73


2. Характеристики сировини

Зола-виносу Бурштинської ТЕС

Зола - винос - тонко дисперсний продукт високотемпературна обробка мінеральної частини вугілля. Вона утворюється при їх спалювані в пиловому стані в топках котлів і осідання уловлюючими приладами із димових труб. Найбільш ефективними золоуловлювачами є електрофільтри, ККД яких 95…97%.

Основним компонентом золи (65%) є склоподібна алюмосилікатна фаза у вигляді частин кулястої форми розміром до 100 мм. Із кристалічної фази в золах можуть бути α - кварц і мулліт, а при підвищеному складі Fe2O3 - гематит. Кількісне відношення між α - кварц і мулітом визначення відношення SiO2/Al2O3 з підвищенням якого склад α - кварцу в кристалічні формі підвищиться, а муліта знижується. Відповідно підвищиться активність зол по поглинанню вапна. Золи збагаченні оксидом заліза, більше легкоплавкі в них утворюється більше скла на поверхні частин, активність на поглинання вапна підвищується. Активність золи залежить від складу скляної фази. Встановлений тісний зв’язок між міцністю розчину, який містить золу і розрахункову питому поверхню склоподібної фази. Скло в золах розглядати як матеріал, який містить аморфні утворення, близьке до складу і структурі відповідним склоподібним фазам з дуже високою питомою поверхнею і невпорядковані глиноземисто-кремнеземисті прошарки між ними. Здатність склоподібної фази до гідратації і гідролізу можна пояснити рухомою субмікроструктурою і щодо високої проникність аморфітів, зумовлені наявністю пустот між іонними угрупованнями. Активність проміжної речовини склоподібної фази визначається відношенням глинозему і кремнезему: чим воно більше тим легше іде процес гідратації зольного скла в лужному і сульфато- лужному середовищі, в нейтральному середовищі воно стійке. На гідравлічну активність кальцієво-алюмосилікатного скла, міститься в золі, позитивно впливають домішки магнію, заліза і деяких інших елементів.

Певною гідравлічної активністю в золах, поряд зі склоподібної фазою має зневоднені і аморфно-зольна глиниста речовина. Активність залежить від мінералогічного складу глин, що входять в мінеральну частину палива. З підвищенням у золі змісту амор фізованного глинистої речовини збільшується її водо потреба в тих випадках коли мінеральна частина палива має значний вміст карбонатів в золі утворюються низько основні силікати, алюмінати і ферити кальцію, здатні взаємодіяти з водою.

У невеликій кількості золи містять домішки вільних оксидів кальцію і магнію, сульфатів, сульфідів та ін.

У золах, як правило, міститься вуглець у вигляді різних модифікацій коксових залишків, зміст яких залежить від виду палива, що спалюється: для бурого вугілля і горючих сланців воно складає менше 4%, кам'яного вугілля - З. .. 12%, а антрациту - 15. .. 25%. Зміст незгорілих вуглецевих частинок (НВЧ) в тонко-дисперсних фракціях золи менше, ніж у грубо-дисперсних.

Хімічний склад зол коливається в залежності від родовища вугілля.

Зміст основних оксидів у золах різних ТЗС знаходиться в межах: SiO2 - 37 ... 63%, АІ2O3-9 ... 37%, Fe2O3- 4 ... 17%, CaO- 1 ... 32%, MgO- 0 , 1 .. 5%, SO3 - 0,05 ... 2,5%, Na2O + К20 - 0,5 ... 5%. Втрати при прожарюванні, що характеризують зміст в золі НВЧ, складають 0,5 ... 3%.

Найбільш значні за змістом хімічні компоненти SiO2 і АІ2O3 знаходяться переважно в склоподібної фазі, значна частина SіO2-у формі кварцу, а АІ203-мулліта (ЗАІ2O3-2SiO2).

Важливими показниками якості золи є дисперсність і гранулометричний склад. Численні дослідження показують, що прямої залежності між цими двома показниками немає.

Дисперсність золи виражається питомою поверхнею, яка визначається методом повітропроникності, а також залишком на ситах при просіюванні, цей показник коливається від 1000 до 4000 см2 / г, в багатьох випадках він наближається до питомої поверхні цементу. Золи, що містять більшу кількість залишків вогнетривкого палива, мають більш високі значення питомої поверхні.

Гранулометричний склад зол різний. Розмір зерен находиться в межах 1 ... 200 мкм. Вміст фракцій більше 85 мкм не перевищує 20%, розміром ЗО ... 40 мкм - близько 50%. Більші фракції золи утворюються при підвищеному вмісті в мінеральній частині палива оксидів плавнів СаО і Fe2O3.

Дисперсність золи залежить від тонкості подрібнення пилоподібного палива, із зменшенням останньої збільшується кількість незгорілих частинок. Найбільш часто дисперсна зола вловлюється електрофільтрами, при цьому для різних полів електрофільтрів гранулометричний склад золи змінюється.

Різні фракції золи мають різну дійсну і середню щільність. Це пояснюється відмінностями хімікомінералогічного складу і форм частинок. Щільність золи зменшується з підвищенням вмісту коксових частин. Кількість не згорівших частин зростає в міру збільшення крупності зерен.

Середня насипна щільність золи коливається від 600 до 1100, істинна щільність - від 1800 до 2400 кг/м3.

Для золи характерний значний вміст частинок, що мають дрібні замкнуті пори. Вони є результатом спучування розплавленої мінеральної маси газами, виділяються при дегідратації глинистих мінералів, дисоціації часток вапняку, гіпсу та органічних речовин. Пори можуть досягати 60% об'єму частинок золи. Високий вміст мікропор в золі обумовлює високе значення її дійсної питомої поверхні, вимірювання якої, виконується по адсорбції азоту, показали, що вона на порядок вище питомої поверхні цементу. З високою питомою поверхнею золи пов'язані такі її властивості, як адсорбційна здатність, гігроскопічність, гідравлічна активність.

Гідравлічну активність матеріалів вимірюють за допомогою мікрокалометричного метода за значенням теплоти їх полярних і не полярних за значенням теплоти їх змочування в полярних і неполярних рідинах з урахуванням коефіцієнта гідрофільності і ряду інших параметрів.

Вимоги до золи як активним добавкам мінеральним обумовлені фізико-хімічним механізмом їх впливу на процеси твердіння та структуроутворення бетону.

Гідравлічна активність зол, як і інших речовин пуцоланового типу, значною мірою обумовлена хімічною взаємодією входять до них, оксидів кремнію і алюмінію з гідроксидом кальцію, що виділяється при гідролізі клінкерних мінералів з утворенням гідросилікатів і гідроалюмінатів кальцію. На гідравлічну активність зол істотно впливає прихована теплота їх скло утворення, виявляється при дифференціально-термічному аналізі. Гідратації зол сприяє їх склоподібна фаза, кристалічна є практично інертною. Хімічна активність зол безпосередньо пов'язана з їх дисперсністю.

Міцність цементів і бетонів з добавкою золи залежить від товщини порушеного хімічними процесами поверхневого шару зольної частинки.

Різни фактори, в тому числі дисперсність золи, вміст скла впливають, оскільки вони прискорюють поверхневу корозію зольних частинок, поміщених в цементний камінь.

Деякі дослідники позитивний ефект впливу золи на структуроутворення бетону відносять за рахунок "ефект дрібних порошків", що розширюють вільний простір, в якому осідають продукти гідратації, що прискорює процесі твердіння цементу.

Будова і склад золи залежить від цілого комплексу факторів, що одночасно мають вплив: вигляду і морфологічних особливостей спалюваного палива, тонкості помелу в процесі його підготовки, зольності палива, хімічного складу мінеральної частини палива, температури в зоні горіння, часі перебування частинок в цій зоні і ін. При значному вмісті карбонатів в мінеральній частині початкового палива під впливом високих температур в процесі горіння утворюються силікати, алюмінати і ферити кальцію - мінерали, здатні до гідратації. Такі золи при затворенні водою здатні до схвачування і самостійного тверднення. У них, як правило, містяться оксиди кальцію магнію у вільному стані. Зола-винос повинна містити кремнезему не менше 40%; вміст антрациту і кам'яного вугілля, не повинен перевищувати 8%; питома поверхня - 2000...3000 см2/г.

Зола-винос, вводиться замість меленого піску, частіше до автоклавного газобетону, відрізняється неоднорідністю хіміко-мінералогічного складу. Зола характеризується високою пористістю і дисперсністю. Ці особливості властивостей золи сприяють підвищеній водопотребі і сповільненій водовіддачі бетону, зниженню тріщиностійкості.

До переваг золи в порівнянні з піском можна віднести можливість застосування її в окремих випадках без попереднього помелу. Це дозволяє отримувати вироби меншої щільності, ніж з кварцовим піском.

Хімічний склад золи-виносу Бурштинської ТЕС

Назва проби

Вміст оксидів, мас.%


SiO2

Al2O3

Fe2O3

TiO2

CaO

MgO

SO3

MnO4

K2O

C

Вапняк

3,13

0,06

1,05

-

52,82

0,52

0,10

-

-

-

Крейда

0,77

0,25

0,13

-

55,03

0,25

0,08

-

-

-

Зола -виносу

46,12

18,00

22,17

1,78

4,03

1,46

0,21

0,14

2,10

2,50


Природний пісок

Природний пісок - це пухка суміш зерен розміром 0,16 ... 5 мм, що складається головним чином із зерен кварцу або домішки польових шпатів, слюди, вапняку. Рідше зустрічаються піски іншого складу, наприклад польовошпатних, вапнякові. Насипна плотностьпріродного піску 300 ... 1500 кг/м3.

За походженням природні піски поділяють на: кар'єрні, річкові та морські. Кар'єрні піски утворюються в результаті вивітрювання гірських порід і подальшого перенесення продуктів вивітрювання вітром і льодовиками.

Незграбна форма і шорстка поверхня зерен сприяють гарному зчепленню їх з терпким. Недолік кар'єрних пісків - забрудненість глиною і домішка в них гравію.

Річкові та морські піски більш чисті, але їх зерна, як правило, округлої форми в результаті тривалої дії рухомої води.

Штучні піски, які використовуються значно рідше, бувають важкі і легені.

Оцінка якості піску за модулем крупності.

Вступник на будівництво пісок повинен відповідати вимогам ГОСТ 8736 - 93 і 8735-88 з зернового (гранулометричному) складу, наявності домішок і забруднень.

Зерновий склад піску визначають на стандартному наборі сит з розмірами осередків: 5; 2,5; 1,25; 0,63; 0,315 і 0,16 мм.

На підставі результатів ситового аналізу розраховують модуль крупності піску: у залежності від модуля крупності (Мк) пескіподразделяют на групи по крупності. Це важливо знати тому, що чим дрібніше пісок, тим більше необхідно води для його змочування (водопотребность піску), і терпкого для Обмазування поверхні його часток.

Таблиця 4

Група піску

Показники


Повний остаток на сите 0,65, % по масі

Модуль крупності, Мк

Питома поверхня, см 2 /г

Прохід через сито 0,14, % по масі

Великий

Більше50

Більше 2,5

-

Менше 10

Середній

30-50

2,5-2,0

-

Менше 10

Дрібний

10-30

2,0-1,5

100-200

Менше 15

Дуже дрібний

Менше 10

1,5-1,0

200-300

Менше 20


Чим дрібніше пісок, тим менше ця величина і, відповідно, навпаки. Пісок з модулем крупності 1,5-2 найчастіше використовується для виробництва цегли, розчинів, найтонший і рідкісний пісок з модулем крупності всього 0,8-1,2 йде на виробництво сухих будівельних сумішей, а для бетону та залізобетонних конструкцій застосовується пісок, модуль крупності якого 2-2,5.

Таблиця 5 - Характеристика піску

Показники

 Пісок

Модуль крупності

2,0

Найбільша крупність зерен, мм

1,0

Повний залишок на ситі 0.63 , %

15

Водопотреба, %

 6.9

Вміст пилуватих і глинистих часток, %

1

Дійсна густина, кг/м3

 2650

Насипна густина, кг/м3

 1450

Пустотність, %

 45.2


Щебінь

Одержують шляхом дроблення природного граніту. У кар’єрах по видобутку граніт являє собою тверду монолітну скелю, яку підривають, ті брили, що отримали в результаті вибуху, дроблять у дробильних машинах, після цього щебінь просівають, розділяючи на фракції. Чим менша фракція щебеню, тим дорожча (більше роботи із дроблення). У гранітному щебені нормують вміст зерен пластинчастої (лещадної) і голчастої форм. До зерен пластинчастої й голчастої форм відносять такі зерна, товщина або ширина яких менша за довжину в три й більше разів. За формою зерен щебінь гранітний поділяють на три групи (вміст зерен пластинчастої й голчастої форм, % по масі): кубовидна до 12-15, звичайна від 18 до 25 і лещадна від 25. Суміш зерен щебеню гранітного кубовидної форми дає найбільш щільне впакування. Наявність у щебені зерен пластинчастої й голчастої форм приводить до збільшення межзернової пустотності в суміші. Кубовидні зерна мають більшу міцність, ніж зерна пластинчастої й голчастої форм. На всіх наших кар’єрах ми виробляємо низьколещадний або кубовидний щебінь.

Морозостійкість щебеню характеризують числом циклів заморожування й відтавання. Дозволяється оцінювати морозостійкість щебеню по числу циклів насичення в розчині сірчанокислого натрію й висушування. По морозостійкості щебінь гранітний так само підрозділяють на марки. Щебінь гранітний має такі важливі показники, як марка міцності на стиск, лещадність (вміст у граніті часток голчастої форми), щільність і фракція. Все це можна довідатися з паспорта щебеню. Весь наш щебінь має найвищі показники по морозостійкості від 300 циклів.

Фракції гранітного щебеню 5-10 5-20 і 10-20 мм найпопулярніші. Дрібна фракція щебеню іде на виробництво асфальту для дорожнього покриття, бетону, конструкцій з нього й на фундаментні роботи. Фракція 20-40 мм. - середня фракція щебенів - іде на виробництво бетону, конструкцій з нього, на фундаментні роботи й дорожні конструкції. 40-70 мм - велика фракція щебеню, яку використовують при виробництві бетону, робіт з великою його кількістю й масивними конструкціями. Ця фракція досить дефіцитна, її привозять на замовлення великим обсягом. Фракція від 100 мм називається БУТ. Застосовується в декоративних цілях, для обробки басейнів, ставків, узбережжя рік, водостоків.

Щебінь - нерудний будівельний матеріал.

Основні споживачі щебеню такі:

заводи залізобетонних конструкцій, виробники товарного бетону

організації, які займаються будівництвом та обслуговуванням автодоріг

організації, які ремонтують залізниці

будівельні організації

Основні характеристики щебеню - радіоактивність, зерновий склад, міцність, морозостійкість, стійкість супроти розпадів, вміст забруднюючих та шкідливих компонентів.

За розміром зерен щебінь розділяють на фракції, наприклад 5-10 мм; 5-20 мм; 10-20 мм; 20-40 мм; 25-60 мм; 40-70 мм. Ось найбільш затребувані розміри та області їх використання:

Таблиця 6

Вид продукції

Фракція

Сфера застосування

Щебінь дрібних фракцій

від 5 до 10 мм

Використовується як заповнювач для важкого бетону та для дорожніх робіт


від 5 до 20 мм



від 10 до 20 мм


Щебінь крупних фракцій

від 20 до 25 мм



від 20 до 40 мм



від 40 до 70 мм



від 25 до 60 мм

Використовується для влаштування баластного шару залізничного шляху

Суміші, відсіви

від 0 до 5 мм

Використовується як заповнювач важких, легких, дрібнозернистих, пористих та силікатних бетонів, будівельних розчинів, для приготування сухих сумішей, для покриття автодоріг та аеродромів


від 0 до 20 мм

Використовується для покриттів, основ та додаткових шарів автомобільних шляхів, а також для покриття та основ способом заклинки


від 0 до 40 мм



Залежно від міцності, щебеню присвоюється марка: 200; 300; 400; 600; 800; 1000; 1200; 1400. Чим вища марка, тим міцніший щебінь. Щебінь, призначений для будівництва автодоріг, має власне маркування: И1, И2, И3, И4.

Таблиця 7 - Содовий плав

Найменування

Показник

Масова частина двовуглекислого натрію, %

99,5 - 99

Масова частина вуглекислого натрію, %

0,4 - 0,7

Масова частина хлору в перерахунку на NaCl, %

0,02 - 0,04

Масова частина заліза, %

0,001 - 0,005

Масова частина кальцію, %

0,04 - 0,05

Масова частина сульфату в перерахунку на , %

0,02

Масова частина вологи, %

0,1 - 0,2


Вимоги безпеки

Содовий плав представляє собою дрібнокристалічний порошок, який при попаданні на слизові оболонки викликає роздратування. При постійній роботі в атмосфері, забрудненої пилом содового плаву, може виникнути подразнення дихальних шляхів. Роботи з двовуглекислим натрієм обслуговуючий персонал повинен виконувати в спеціальному одязі, спеціального взуття та запобіжних пристосуваннях , передбачених типовими галузевими нормами, затвердженими в установленому порядку.

Виробничі приміщення та лабораторії, в яких проводиться робота з двовуглекислим натрієм, повинні бути обладнані припливно-витяжної механічної вентиляцією.

3. Розрахунок потреби а сировинних ресурсах

Визначаємо міцність бетону для забезпечення проектного класу В10:


Приймаю:

ПЦ ДІІА М400 - ;

;

Крупний заповнювач - ;

Наповнювач - ;

 - заповнювач середньої якості.

Визначаю В/Ц для класу бетону B10:


Витрата води становить;


Витрата цементу становить:


Згідно ДСТУ Б.В.2.7 - 43 - 96 мінімальна витрата цементу складає для ПЦ ДІІА складає 170 кг/м3 приймаю 170 кг/м3.

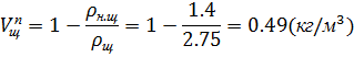
Пустотність щебеню становить:


Витрата щебеню при коефіцієнті α=1,1 становить


Витрата піску становить:


Витрата матеріалів становить:

ПЦ ДІІА М400 - 170 (кг/м3);

Води - 135 (л);

Щебеню - 1336 (кг/м3);

Піску - 875 (кг/м3).

Згідно рекомендацій Доцента кафедри технології будівельних виробів та матеріалознавства А. В. Мироненка, оскільки в курсовому проекті використовується нетрадиційні в’яжучі на основі хімічно-активного вапняно-зольного в’яжучого М400 з використанням золи Бурштинської ТЕС і (СП) РПО «Азот», приймаємо наступний склад бетонної суміші для блоків.


 становить:

, концентрація 1 л 25%

 

 

Розраховую витрати на 1 м3:

 

 

 

З отриманими даними виконую перерахунок витрати матеріалів на 1 м3 бетону:

Витрата розчину NaOH становить;


Витрата цементу становить:


Згідно ДСТУ Б.В.2.7 - 43 - 96 мінімальна витрата цементу складає для ПЦ ДІІА складає 170 кг/м3 приймаю 170 кг/м3.

Витрату цементу згідно завдання заміняю золою виносу яка складає 170 кг/м3.

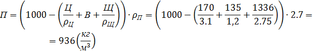
Пустотність щебеню становить:


Витрата щебеню при коефіцієнті α=1,1 становить


Витрата піску становить:


Остаточні витрати матеріалу на 1 м3 бетонної суміші:

Зола - 170 кг/м3;

Вапно - 28 кг/м3;

Содовий плав - 53 кг/м3;

Щебінь - 1336 кг/м3;

Піску - 936 кг/м3;

Вода - 9 кг/м3;

Розчину NaOH - 135 кг/м3.

Під час розрахунку матеріального балансу були враховані поопераційні втрати. Ці втрати врахували через введення поправочного коефіцієнта 1,1.

Таблиця 8 - Матеріальний баланс виробництва

Матеріали

Одиниці виміру

Витрата



рік

місяць

доба

зміна

година

1

2

3

4

5

6

7

В10

м3

4167

197,6

98,8

12,4

Зола

т

8500

708,3

33,6

16,8

2,1

Вапно

т

1400

116,6

5,53

2,76

0,34

Содовий плав

т

2650

220,8

10,47

5,23

0,654

Щебінь

т

66800

5567

264

132

16,5

Пісок

т

46800

3900

185

92.5

11.56

Вода

т

450

37,5

1,77

0,889

0,111


4. Проектування основних технологічних підрозділів

.1 Режим роботи підприємства

Підприємство працює у 2 зміни. За нормами технологічного проектування підприємств збірного залізобетону при двозмінній роботі номінальна кількість робочих днів на рік приймається рівною 260, тривалість робочої зміни - 8 годин. Розрахункова кількість робочих діб у році при п’ятиденному робочому тижні для підприємства по виготовленню фундаментних блоків становить


де 7 діб - тривалість планових зупинок. Річний фонд часу складає


Транспортно-технологічна схема підготовки негашеного вапна

Рис. 3 - Схема підготовки негашеного вапна: 1 - бункер для негашеного вапна: 2 - дозатор; 3 - кульовий млин; 4 - бункер для вапна

4.2 Транспортно-технологічна схема виробництва розчину содового плаву

Рис. 4 - Схема виготовлення розчину содового плавуґ: 1 - бак для води; 2 - бункер для содового плаву; 3 - бункер для вапна; 4 - дозатори для матеріалів; 4 - пропелерна мішалка із підігрівом суміші яка перемішується; 5 - бак для готової суміші із підігрівом

фундаментний блок виробництво пісок

Виготовлений розчин подається в бетонозмішувальний цех.

Схема виготовлення фундаментних блоків

Пост розформування

.1. Транспортування з поста ТВО на пост розформування;

.2. Чистка і змазка форми;

.3. Закриття бортів форми;

.4. Установка краном форми на вібростіл.

Рис. 5 - Схема виготовлення фундаментних блоків

Пост формування

.1. Страховка баддї і подача її до місця бетонування блоків;

.2. Кладання першого шару бетонної суміші з ущільненням вібратором;

.3. Встановлення монтажних петель;

.4. Вкладання другого шару бетонної суміші з ущільненням вібратором;

.5. Загладження відкритої поверхні кельнями;

.6. Подача відформованого виробу в камеру на піддонні.

Пост ТВО:

.1. Закриття камери кришкою зі строповкою і розстроповкою;

.2. Процес ТВО;

.3. Зняття кришки з камери зі строповкою і розстроповкою;

.4. Вийняття блоків з камери зі строповкою піддона і його розтроповкою;

.5. Подача блока на склад готової продукції з розтроповкою

Склад готової продукції:

.1. Завантажений самохідний візок транспортує виріб на склад.

.2. На складі знімають вироби з візка , складують і повертають кран у вихідне положення.

.3. Розвантажений самохідний візок повертається на пост розпалублення виробів‚ очищення і змащення форм у вихідне положення.

.5. Бетонозмішувальний цех

Для приготування бетонної суміші за нормами проектування попередньо приймаю:

число замісів за годину для суміші - 30;

коефіцієнт виходу суміші b = 0,67.

Об‘єм готового замісу бетонної суміші визначаємо за формулою:


 - годинний коефіцієнт нерівномірності видавання бетонної суміші.

Об’єм бетонозмішувального барабана складатиме:


Приймаю 2 змішувачі примусової дії СБ - 35 об’ємом готового замісу 330 (л) та вмістом при завантаженні 500 (л), технічні характеристики якого наведені в таблиці .

Таблиця 9 - Технічні характеристики циклічного змішувача примусової дії з вертикальним розвантаженням

Найменування

Показник

Об’єм готового замісу, л

330

Місткість по завантаженню, л

500

Кількість циклів по виготовленню бетонної суміші, цикл/год

40 30

Найбільша крупність заповнювача, мм

70

Частота обертання робочого органу, об/хв.

30

Потужність двигуна, кВт

14

Габаритні розміри, м: Довжина  Ширина  Висота

2,2 1,97 2,16

Маса, кг

2000


Виконую перевірку річної продуктивності змішувачів СБ - 35:


 тому, що використовую два змішувачі, дані бетонозмішувачі задовольняють річну продуктивність бетонозмішувального цеху.

Для визначення об’єму видаткових бункерів згідно норм технологічного проектування приймаємо по 2 відсіки для щебеню, піску та цементу при їх запасі в бункерах на 2 години.

Витрати матеріалів на заміс бетонозмішувача складають:


Рис. 6

Об’єм кожного відсіку для матеріалів складає:


Приймаємо для зберігання бункер у вигляді прямокутної призми. Висота нижньої частини бункера у вигляді зрізаної піраміди становить:


Конструктивно приймаю для золи

; ; :


Конструктивно приймаю для піску

; ; :


Конструктивно приймаю для щебеню

; ; :


Бетонозмішувальний цех запроектовано за вертикальною схемою, він складається з 5 відділень: надбункерного, бункерного, дозаторного, змішувального та видачі готової бетонної суміші. Зі складу щебінь та пісок подаються в надбункерне відділення за допомогою похило-горизонтального стрічкового конвеєру, а цемент подають в циклон пневматичним транспортом і потім розподіляють по відсікам гвинтовими конвеєрами. Суміш подається в розподільний бункер.

Для дозування компонентів суміші, за їх вмістом в одному замісі, вибираємо такі дозатори (технічні характеристики в таблиці 10):

ДЦ - 100 - 2 дозатори для цементу;

АВДИ - 2400М - 4 дозатори для піску і щебеню;

ДЖ - 100 - 2 дозатори для води.

Цех обладнано двома бетонозмішувачами СБ - 35. Готова бетонна суміш подається в розподільчий бункер.

Таблиця 10 - Технічна характеристика дозаторів

Індекс

Граничні зважування, кг

Місткість бункеру, м3

Цикл дозування, с, не більше

Похибка дозування, %

маса, кг


Мінімальна

Максимальна





ДЦ - 100

20

100

0,125

60

2

100

АВДИ - 2400М

100

700

0,94

90

2

505

ДЖ -100

20

100

0,125

60

2

140


Формувальний цех

Для забезпечення виробничих процесів необхідно таке обладнання:

стенд для установки піддона СМЖ-229 з виробом;

самохідний візок СМЖ-151 для складування і транспортування блоків на склад;

ящик-контейнер для сміття;

установка СМЖ-18А для приготування мастик;

вудочка розпилювач для змащення поверхні піддона.

Стенд чи віброплощадка для установки піддона;

Бетоноукладач смж-69а;

Самохідний портал СМЖ-228;

Формувальна машина СМЖ-227;

Самохідний візок СМЖ-151 для постачання арматурних виробів;

Місце для складування вертикальних каркасів КР-1;

Місце складування верхніх сіток С-2;

Ящик-контейнер для складування монтажних петель П-1;

Ямні камери прискорення твердіння виробу.

Продуктивність агрегатно-потокової лінії визначається ритмом її роботи. Ритм залежить від об’єму бетону у виробі, його розмірів та складності виготовлення.

Визначаю ритм роботи лінії по виготовленню фундаментних блоків:


Приймаю ритм лінії 1,2 хв.

Визначаю продуктивність лінії для виготовлення сходових маршів:


Кількість ліній складає:

 приймаю одну лінію по виготовленню фундаментних блоків.

Таблиця 11 - Технічні характеристики піддона СМЖ - 229

Найменування показника

Одиниці вимірювання

Типорозмір СМЖ-229

1

Максимальний розмір: - довжина - ширина - висота

мм мм мм

7620 3000 800


Таблиця 12 - Технічні характеристики самохідного візка СМЖ - 151

Найменування показника

Одиниці вимірювання

Типорозмір СМЖ-151

1 2 3 4 5    6

Вантажопідйомність Швидкість перевезення Гранична дальність ходу Усталена потужність Габаритні розміри: - довжина - ширина - висота Маса

т м ⁄ хв м кВт  мм мм мм кг

20 31‚6 120 7‚5  7490 2573 1450 3700


Таблиця 13 - Технічні характеристики установки СМЖ - 18А для приготування і нанесення мастила на форму

Найменування показника

Одиниці вимірювання

Типорозмір

1 2 3 4 5

Продуктивність  Корисний об’єм бака  Витрата мастила :  - на горизонтальну поверхню  - на вертикальну поверхню Потужність електродвигунів  Габаритні розміри : - довжина - ширина - висота

м³ ⁄ год м³ г ⁄ м² г ⁄ м² кВт мм мм мм

0‚115 0‚44 200 300 6,8 2500 2100 2190


Таблиця 14 - Технічні характеристики бетоноукладача СМЖ-69А

Найменування показника

Одиниці виміру

Типорозмір

1 2 3 4 5 6 7 8 9

Об’єм бункера Найбільша ширина укладання бетонної суміші Швидкість руху стрічки живильника бункера Швидкість переміщення бетоноукладача при вкладанні бетонної суміші Швидкість переміщення бетоноукладача при транспортуванні бетонної суміші Потужність електродвигунів Ширина колії Габаритні розміри бетоноукладача  - довжина  - ширина  - висота Маса

м3 мм м/хв м/хв м/хв кВт мм мм мм мм кг

2,0 2000 9‚0 12‚4 18‚0 7‚1 2810 3175 4000 2785 3700


Таблиця 15 - Технічні характеристики самохідного порталу СМЖ-228

Найменування показника

Одиниці виміру

Типорозмір

1 2 3 4 5 6 7

Максимальні габаритні розміри плити:  - довжина  - ширина  - висота Швидкість переміщення порталу Швидкість піднімання і опускання бортоснащення і віброщита Потужність електродвигуна Маса бортоснащення / віброщита‚ при ширині плити:  - 990 мм  - 1190 мм  - 1490 мм  - 1590 мм Габаритні розміри порталу:  - довжина  - ширина  - висота Загальна маса порталу

мм мм мм м/хв м/хв кВт кг кг кг кг мм мм мм кг

6280 1590 220 18‚0 0‚05 11,7 1300 / 700 1250 / 1300 1450 / 1600 1500 / 1650 7250 5950 3070 14800


Кількість виробів які формують за годину при ритмі в 1,2 хвилин складає:


 - тривалість ритму лінії, хв.

Вироби піддаються тепловій обробці згідно режиму 3+5+2=10 год. в ямних камерах.

Довжина пропарювальної камери:


Ширина камери:


Висота камери:

Відстань між кронштейнами пакетувальника hк = 1 м при чотирьох формах по висоті камери.

Відстань між поверхнею виробу і низом форми, яка розміщена вище по висоті камери враховуючи висоту виробу hв = 0,5 м і піддону hп = 0,3 м складає:


Відстань між поверхнею плити і кришкою камери при hг = 0,15 м складає:


Приймаємо камеру в якій розміщено 1 піддон по ширині і 4 по висоті. Місткість такої камери складає 4 блокформ з виробами.

Обладнання для підготовки вапна

Таблиця 16 - Основні характеристики кульового млина 2,2х14

Показник (одиниці вимірювання)

Значення

Нахил, %

5

Об`єм барабана, м3

53,4

Частота обертання, об/хв

5

Потужність електродвигуна, кВт

28

Продуктивність, м3/год

10-15


Таблиця 17 - Технічна характеристика пневмогвинтового насосу ТА-14А

Показник (одиниці вимірювання)

Значення

Продуктивність, т/год Дальність подачі, включаючи висоту зон, м  Витрата повітря, м/хв. Діаметр цементопроводу, мм Потужність двигуна, кВт Габаритні розміри, м: довжина ширина висота Маса, м

36 200 15 140 30  2,42 0,64 0,87 930


Обладнання для підготовки содового плаву

Для приготування суміші содового плаву, необхідно забезпечити продуктивність бетонозмішувального цеху:

число замісів за годину для суміші - 30;

витрата содового плаву на заміс становить - 46 (л).

Содовий плав повинний подаватись підігрітим тоді використовую пропелерну мішалку із підігрівом суміші, яка розміщена у бетонозмішувальному цеху.

Таблиця 18 - Технічні характеристики пропелерної мішалки марки СМ-243Б

Показник

Значення

Діаметр лопатей, мм

500

Глибина резервуара, мм

2100

Частота обертання лопатей, об/хв

250

Потужність електродвигуна, кВт

2,8

Маса, т

0,558


5. Складське господарство

5.1 Склад золи

Склад золи проектують у відповідності з технологічними нормами.

Силосні склади золи споруджують, як правило, з однотипних комірок циліндричної форми діаметром від 3 до 10 м і місткістю 240; 360; 480; 720; 1100; 1700; 2500 та 4000 т. Кількість силосів на складі приймають у відповідності з необхідним запасом золи.

Необхідний запас цементу розраховую за формулою:


Висота силосів становить:


Кількість силосів для золи становитиме: , висотою силосу

.

Таблиця 19 - Технічна характеристика складу цементу

Тип складу

Вміст, т

Число силосів

Річний вантажообіг, тис. т

Витрати стиснутого повітря, м3/хв

Встановлена потужність двигунів, кВт

Число працюючих

приколійний

240

4

11,5

36,4

141,6

5


5.2 Склад заповнювачів

Для розрахунку місткості складів заповнювачів встановлюємо орієнтовні витрати заповнювачів для виготовлення 1м3 важкого бетону: щебеню - 0,9; піску - 0,45.

Виробничий запас щебеню становить:


Виробничий запас піску становить:


Розрахую об’єм прямолінійного штабелю щебеню попередньо прийнятою довжиною і висотою штабелю відповідно до норм проектування підприємств будівельної індустрії:

;

;

;


Тоді кількість штабелів для щебеню становитиме:


Кількість штабелів для піску ставитиме:


Склад готової продукції

Склад готової продукції використовуємо майданчик з твердим покриттям обладнаний двома мостовими краном прольотом 24 м і вантажопідйомністю 10 т.

Площу складу розраховуємо, виходячи з продуктивності підприємства:


 - коефіцієнт збільшення площі;  - мостовий кран;

.

Приймаю ширину складу 48 м, тоді довжина складу становитиме

.

Економічне порівняння із традиційними в’яжучим

Щоб виготовити 50000 м3 бетону на основі звичайного цементного в’яжучого з урахуванням того що на 1 м3 бетону потрібно 300 кг ПЦ М400 потрібно.


Отже ми зекономимо велику кількість ПЦ, 15 тис.тон.

Завдяки чому зекономимо велику кількість ПЦ, а отже зберегли ресурси та корисні копалини нашого регіону та зменшили енерговитрати на виробництво ПЦ, що є дуже актуальним у наш час, оскільки витрати на енергоносії є дуже великими.

При використанні відходів Бурштинськогої ТЕС і содового плаву (СП) РПО «Азот», ми зменшили площу для зберігання відходів в той самий час площа, яка використовувалась під відходи може бути використана на підприємствах з більшою корисливою метою, зокрема для розширення підприємства або розширення складського господарства. А також зменшили екологічну забруднюваність навколишнього середовища.

6. Загальні вимоги стосовно охорони праці і навколишнього середовища

В процесі проектування підприємств для виробництва бетонних і залізобетонних виробів необхідно керуватися вимогами чинних стандартів, норм і правил з техніки безпеки, пожежної та пожежно-вибухової безпеки і виробничої санітарії.

Основні вимоги охорони праці, які необхідно ураховувати під час проектування тієї чи іншої технологічної переробки або процесу, наведені у відповідних розділах даних норм.

Виробництво залізобетонних виробів необхідно розміщувати у приміщеннях, які відносяться до основних категорій вибухової, пожежовибухової та пожежної небезпеки з урахуванням класу приміщень за правилами улаштування електроустановок.

Санітарно-гігієнічні умови праці (температура, відносна вологість та рухливість повітря), його запиленість і загазованість, рівень вібрації (загальної і локальної) та освітлення на робочих місцях належить приймати у межах вимог.

Вимоги безпеки до допоміжних цехів, дільниць і відділень приймають за відповідними нормами, що затверджені в установленому порядку.

Витяжна вентиляція повинна бути місцевою і загальнообмінною. Місцеві відсмоктувачі повинні передбачатися для кожної одиниці обладнання або робочого місця, де є виділення шкідливих речовин.

Місцеві відсмоктувачі залежно від своєї конструкції уловлюють 75-90% виділень шкідливих речовин. 10-25 % виділень, що залишилися в приміщенні, повинні розбавлятися за допомогою загальнообмінної вентиляції до гранично допустимих концентрацій (ГДК), рівні яких представлені у ГОСТ 12.1.005.

Відповідно до вимог СНиП 1.02.01-85 до складу проекту повинен входити розділ з охорони природного середовища, що містить дані, які характеризують природний стан водойм, атмосферного повітря та ґрунту. Цей розділ повинен розроблятися відповідно до вимог ГОСТ 17.2.3.02, СНіП ІІ-89-80. У розділі повинні бути представлені заходи щодо охорони атмосферного повітря у вигляді пояснювальної записки та графічних матеріалів. Увесь проект повинен пройти екологічну експертизу.

В ході розроблення проектів нових і розширення діючих підприємств та цехів необхідно комплексно вирішувати питання аспірації і знепилювання технологічного обладнання для усіх переробок виробництва, в тому числі уже існуючого, яке не зачіпається реконструкцією, з виконанням вимог нормативних документів.

Усі технологічні процеси виробництва виробів, котрі пов'язані з вивантаженням, транспортуванням, дробленням, дозуванням, помелом матеріалів, які пилять, та обробкою готових виробів, повинні бути максимально механізовані та автоматизовані, а обладнання оснащене герметичними укриттями з підключенням їх до системи аспірації та знепилювання.

При проектуванні підприємств слід дотримуватися вказівок щодо аспірації та знепилювання технологічного і транспортного обладнання.

З метою забезпечення безстічного виробництва слід передбачати локальні очисні споруди для очищення води, що використовується для промивання технологічного обладнання та інших потреб, і вміщує різні домішки (частинки цементу, масла, мастила і т. ін.), до концентрацій, за яких вона знову може надходити для технологічних потреб.

Список використаної літератури

1.       Дворкін О.Л. Технологія бетону. - Рівне, РДТУ, 2001.

.        Методичні вказівки 059 - 69. - Рівне, РДТУ.

.        Дворкін Л.Й., Пушкарьова К.К., Дворкін О.Л. Використання техногенних продуктів у будівництві - Рівне, 2009 р.

.        Дворкин Л.Й., Дворкин О.Л. Проектирование составов бетона с за данными свойствами. - Рівне, РДТУ, 1999.

.        Бауман В.А. Cтроительные машины том 1, 2.

.        ДСТУ Б.В.2.7 - 215 - 2009 Будівельні матеріали. Бетон.

.        ДСТУ Б В.2.7-43-96. Бетони важкі. Технічні умови.

Похожие работы на - Cхема виробництва фундаментних блоків будинків з використанням відходів

 

Не нашли материал для своей работы?
Поможем написать уникальную работу
Без плагиата!
Без нейросетей!