Расчет показателей тяговой, тормозной динамичности и топливной экономичности автомобиля

  • Вид работы:
    Курсовая работа (т)
  • Предмет:
    Транспорт, грузоперевозки
  • Язык:
    Русский
    ,
    Формат файла:
    MS Word
    256,72 Кб
  • Опубликовано:
    2014-03-26
Вы можете узнать стоимость помощи в написании студенческой работы.
Помощь в написании работы, которую точно примут!

Расчет показателей тяговой, тормозной динамичности и топливной экономичности автомобиля

Министерство образования и науки Российской Федерации

Губкинский институт (филиал)

ФГБОУ ВПО

МГОУ имени В.С. Черномырдина

Специальность 190600.62




Курсовая работа

по дисциплине:

Конструкция и эксплуатационные свойства ТиТТМО

Тема:

Расчет показателей тяговой, тормозной динамичности и топливной экономичности автомобиля



Выполнил: Толстопятых А.В.

Студент группы Аэ-11

Проверил: Черников Н.В.




Губкин 2013

Содержание

1. Исходные данные

. Определение полной массы автомобиля и распределение её по осям

. Определение размера шин и их радиуса качения

. Расчёт параметров двигателя

. Построение внешней скоростной характеристики

двигателя

. Передаточные числа КПП

. Передаточные числа трансмиссии

. Силовой баланс автомобиля

. Динамический фактор автомобиля

. Ускорение автомобиля

. Определение продолжительности разгона автомобиля

. Топливно-экономическая характеристика автомобиля

Список литературы

1. Исходные данные

Грузоподъемность автомобиля 15 тонн

Условие перевозки грузов-по дорогам общего пользования.

Выбор и расчёт параметров автомобиля и его агрегатов

. Определение полной массы автомобиля

Для грузового автомобиля в задании приводят его грузоподъемность, по которой рассчитывают собственную, а затем полную массу автомобиля.

Полная масса автомобиля

ma = mо + mг + 80·zп = mg / ηg + mg γg + 80·zп ,

где mо - масса снаряженного автомобиля (собственная масса), кг.

mг - масса груза, кг;

zп - число пассажиров, включая водителя;

mg - номинальная грузоподъемность;

ηg - коэффициент грузоподъемности;

γg - коэффициент использования грузоподъемности.

Коэффициент грузоподъемности автомобиля ηg = mg / mo (для легковых автомобилей ηg = 0,25…0,4; для грузовых автомобилей ηg = 0,9…1,1).

Коэффициент использования грузоподъемности (для бортовых автомобилей γg = 0,7…0,8).

mо = ηg * mg =0.91*15000=13640 кг.

ma = mо + mг + 80·zп =13640+15000+80*2=28800 кг.

Распределение полной массы на переднюю ось - 6800 кг, на заднюю - 22000 кг

3. Определение размера шин и их радиуса качения

Количество и размеры колес определяются исходя из показателей общей массы полностью загруженного автомобиля по группам: группа А - до 52 т, группа Б - до 34 т и показатели осевой нагрузки на дорогу, передаваемые колесами одиночной, наиболее нагруженной оси.

Превышение этих параметров переводит транспортное средство в разряд тяжеловесных, эксплуатация которых на дорогах регламентируется специальными правилами.

В таблице 1 приведены соответствующие показатели.

Таблица 1
Величины осевых нагрузок различных АТС


Принимаем шины радиальные, среднегабаритные, широкопрофильные, универсальные - 11.00R20

Радиус качения rk =507 мм =0,507 м

4. Расчёт параметров двигателя

Мощность двигателя должна быть достаточной для обеспечения движения с заданной максимальной скоростью Vmax при полном использовании грузоподъемности автомобиля. Такую скорость

автомобиль должен развивать на хороших дорогах, для которых приведенный коэффициент сопротивления движению ψ равен по величине коэффициенту сопротивления качению и который может быть принят равным 0,02…0,25.

Кроме того, считается необходимым, чтобы автомобили имели запас динамического фактора для преодоления дополнительных местных сопротивлений без снижения максимальной скорости. В связи с этим за расчетное значение приведенного коэффициента дорожного сопротивления, при котором автомобиль должен развивать максимальную скорость, принимают величину ψv ≈ 0,04.

Тогда, мощность двигателя Nv (л.с.), необходимую для движения в указанных условиях, можно определить по эмпирической формуле:


Максимальную скорость в соответствии с законами РФ принимаем 100 км/ч

РВмах=kв*Fв*V 2max - сопротивление воздуха.

kв=0.6 для грузовых автомобилей

Fв=В*Н,

где В-колея, Н-наибольшая высота автомобиля

Принимаем В=2.5м, Н=3.5м

РВмах=0,6*2,5*3,5*28=147 н*с*с/м4

hтр=0.85 - для грузовых автомобилей

Nv= кВт


где аN, bN, cN - эмпирические коэффициенты, зависящие от типа двигателя (для четырехтактных карбюраторных двигателей аN = bN = cN=1; для двухтактных дизелей aN = 0,87, bN = 1,13, cN = 1; четырехтактных aN=0,53, bN = 1,56, cN = 1,09)

nV / nN - отношение частот вращения вала двигателя при максимальной скорости и максимальной мощности, для грузовых автомобилей принимают равной 0,9-1,0.

Nemax= кВт

При переводе в л.с. получаем Nemax=534 л.с.

Значение эффективного момента определяется по формуле:

Ме= Nе / ωе

где Nе - эффективная мощность, Вт; ωе - угловая скорость, рад/с;

Ме - эффективный крутящий момент (Н·м).

. Построение внешней скоростной характеристики двигателя

Составляем таблицу для построения внешней скоростной характеристики двигателя.

ωе / ωN

0,2

0,4

0,6

0,8

1,0

ωе

53

105

158

210

263

Ne

63

154

253

340

393

Ме

1200

1500

1600

1620

1500

6. Передаточные числа КПП

Передаточное число главной передачи uгп определяют из условия обеспечения максимальной скорости на высшей (прямой) передаче

в коробке передач и преодоления автомобилем максимального сопротивления дороги на низшей передаче

uгп = (πnv / 30 vmax) rк, (48)

где nv - частота вращения вала двигателя при максимальной скорости движения автомобиля (об/мин);

vmax- максимальная скорость движения автомобиля (м/с);

rк - радиус ведущего колеса, м.

uгп=(3,14*2500/30*28)*0,54=5

Принимаем коробку передач восьмиступенчатую

Передаточное число первой передачи определяется из условия обеспечения движения по дорогам с заданным максимальным суммарным сопротивлением дороги ψmax:


где Me max - максимальный крутящий момент развиваемый двигателем.

Uк1=

Передаточные числа промежуточных ступеней подбирают таким образом, чтобы обеспечить максимальную интенсивность разгона.

Этому требованию удовлетворяет соотношение:

u1/u11=u11/u111=…= un/un+1.

При предварительных расчетах передаточные числа подбираются по принципу геометрической прогрессии по формуле:


где m - номер произвольной промежуточной передачи;

n - число ступеней в коробке передач, не считая ускоряющей передачи и заднего хода;

u1 - передаточное число КП на 1-й передаче.

U2=

U3=

U4=

U5=

U6=

U7=

U8=

двигатель трансмиссия силовой топливный

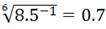
7. Передаточные числа трансмиссии

uтр = uкп uдк uгп

uдк=1

uтр1=42,5

uтр2=29,7

uтр3=20,8

uтр4=14,55

uтр6=7,15

uтр7=5

uтр8=3,5

. Силовой баланс автомобиля

Вначале строят тяговую характеристику автомобиля.

Тяговая характеристика автомобиля - это зависимость силы тяги от скорости движения автомобиля на различных передачах.

Рт = Мт / rк = Меηтрuкпuгп / rк

Рт1=1300*0,85*8,5*5/0,508=92446 Н

Рт2=71815 Н

Рт3=52205 Н

Рт4=38953 Н

Рт5=27648 Н

Рт6=19102 Н

Рт7=12750 Н

Рт8=8500 Н

Другие значения силы тяги для построения графика:

Рт1=85300 Н Рт2=69700 Н Рт3=52900 Н Рт4=38200 Н

Рт5=27030 Н Рт6=19000 Н Рт7=12700 Н Рт8=8350 Н

Рт1=88900 Н Рт2=71180 Н Рт3=53200 Н Рт4=38700 Н

Рт5=27300 Н Рт6=19050 Н Рт7=12730 Н Рт8=8420 Н

Рд= ψG - сила сопротивления дороги

Ее строят для одного значения коэффициента ψ.

Рд=4803 Н

Кривая суммарного сопротивления Рд + Рв определяет силу тяги, необходимую для движения автомобиля с постоянной скоростью.

Рд+ Рв=6000

Рд+ Рв=7500

Рд+ Рв=10000

Рд+ Рв=17000

Строим силовой баланс на графике тяговой характеристики автомобиля.

. Динамический фактор автомобиля

Динамическим фактором D автомобиля называют отношение разности сил тяги и сопротивление воздуха к весу автомобиля:

D = (Р т - Р в) / G = (М е uтр  / rк - k в F в v 2) / G.

Величина D зависит только от конструктивных параметров автомобиля, и поэтому ее можно определить для каждой конкретной модели.

D1=0,3209

D2=0,2493

D3=0,1810

D4=0,1347

D5=0,0943

D6=0,0619

D7=0,0322

D8=0,00035

Строим динамическую характеристику автомобиля.

Динамической характеристикой автомобиля называют график зависимости динамического фактора автомобиля D с полной нагрузкой от скорости движения на различных передачах.

Для построения графика находим дополнительные значения динамического фактора D.

D1=0,3200

D2=0,2495

D3=0,1812

D4=0,1348

D5=0,0946

D6=0,0624

D7=0,0340

D8=0,0019

D1=0,3210

D2=0,2492

D3=0,1811

D4=0,1346

D5=0,0941

D6=0,0613

D7=0,0312

D8=0,00020

. Ускорение автомобиля

Ускорение при разгоне определяют для случая движения автомобиля по горизонтальной дороге (i= 0) с твердым покрытием хорошего качества при максимальном использовании мощности двигателя и отсутствии буксования ведущих колес. Ускорение (м/с2) находят из выражения:

а = ( D - f ) g /

Коэффициент  подсчитывают по формуле

δвр = 1 + (δ1 + δ2 u2кп) G / Gа

G / Gа =1

δвр1=3,9

δвр2=2,46

δвр3=1,73

δвр4=1,38

δвр6=1,12

δвр7=1,08

δвр8=1,06

Считаем ускорение

0,80 м/с2

1 м/с2

1,01 м/с2

0,91 м/с2

0,7 м/с2

0,5 м/с2

0,15 м/с2

0,01 м/с2

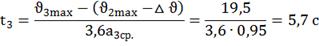
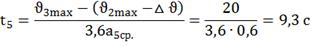
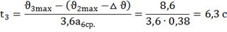
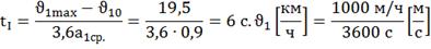
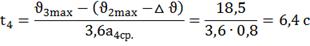
11. Определение продолжительности разгона автомобиля

Определяем продолжительность разгона до максимальной скорости на 6 передачах КПП.

;

t1+t2+t3+t4+t5+t6+6=6+7,3+5,7+6,4+9,3+6,3+6=47 с

. Топливно-экономическая характеристика автомобиля


Для дизеля


 - удельный эффективный расход топлива.

 - плотность дизельного топлива

Относительной безразмерной частотой вращения коленчатого вала n0 называется отношение текущей частоты вращения коленчатого вала ne к номинальной частоте коленчатого вала


Определяем

при n0 = 0,4

при n0 = 0,5

при n0 = 0,6

при n0 = 0,7

при n0 = 0,8

при n0 = 0,9

при n0 = 1,0

Определяем

при n0 = 0,4

при n0 = 0,5

при n0 = 0,6

при n0 = 0,7

при n0 = 0,8

при n0 = 0,9

при n0 = 1,0

Определяем

при n0 = 0,4

при n0 = 0,5

при n0 = 0,6

при n0 = 0,7

при n0 = 0,8

при n0 = 0,9

при n0 = 1,0

Определяем расход топлива

при n0 = 0,4

при n0 = 0,5

при n0 = 0,6

при n0 = 0,7

при n0 = 0,8

при n0 = 0,9

при n0 = 1,0

Список литературы

1. Чудаков Д.А. Основы теории и расчета трактора и автомобиля - М.: Колос, 1972 - 384 с.

. Иларионов В.А. и др. Теория и конструкция автомобиля - М.: Машиностроение, 1992 - 413 с.

. В.К. Вахламов, И.Н. Порватов. Техника транспорта. Эксплуатационные свойства подвижного состава - М.: МАДИ, 2004.

. Горев А.Э. Грузовые автомобильные перевозки - М.: ACADEMA, 2004 -284 с.

. Иванов А.М. и др. Основы конструкции автомобиля - М.: ООО Книжное издательство «За рулем», 2005 - 335 с.

Похожие работы на - Расчет показателей тяговой, тормозной динамичности и топливной экономичности автомобиля

 

Не нашли материал для своей работы?
Поможем написать уникальную работу
Без плагиата!
Без нейросетей!