Расчет летно-технических характеристик самолета Ту-134А
Содержание
1.
Подготовка исходных данных
.
Построение диаграммы потребных и располагаемых тяг
.1
Построение кривых потребных тяг
.
Расчет скороподъемности и максимальной скорости горизонтального полета
.1
Расчет максимальной скорости горизонтального полета
.2Расчет
скороподъемности
.3Построение
барограммы подъема
.
Расчет дальности и продолжительности полета
.1
Расчет дроссельных характеристик двигателей самолета
.2
Расчет взлетно-посадочных характеристик
.2.1
Взлет
.2.2
Посадка
.
Прерванный и продолженный взлет
.1
Расчет горизонтальной приемистости
.2
Расчет правильного виража
самолет летный тяга полет
1. Подготовка исходных данных
Рисунок 1 - Самолет Ту-134А
Таблица 1 - Тактико-технические характеристики
самолета Ту-134А
Взлетная
масса самолета кг
47000
|
|
|
|
Площадь
крыла
|
м2
|
S
|
127,3
|
|
Тип
и количество двигателей
|
|
n
|
2,
ТРДД, Д-30-II
|
|
Стартовая
тяга, мощность одного двигателя
|
кгс
|
Ро
|
6800
|
|
Удельный
часовой расход топлива
|
|
|
0,7
|
|
Потолок
(макс. высота полета) (м)
|
м
|
Нст
|
11000
|
|
Среднее
за полет аэродинамическое качество пассажирских самолетов
|
|
К
|
14
|
|
Относительная
масса топлива
|
кг
|
0,209
|
|
Рисунок 2 - Крейсерские поляры
Рисунок 3 - Взлетная и посадочная поляры
Рисунок 3 - Зависимости Сya (α)
2. Построение диаграммы потребных и
располагаемых тяг
.1 Построение кривых потребных тяг
Все расчеты ведем в таблице1, с учетом, что:
Все характеристики строим для высот Н=0, 2, 4.
6. 8, 11 м
Ро - стартовая тяга (V= 0; H=0); Ро = 136 кН
Таблица 2. Построение Ррасп.
|
М
|
0,2
|
0,4
|
0,6
|
0,7
|
0,85
|
0,9
|
|
|
Р/Ро
|
0,96
|
0,92
|
0,9
|
0,925
|
0,98
|
1
|
Н=0
|
|
Р,
кН
|
130,56
|
125,12
|
122,4
|
125,8
|
133,28
|
136
|
|
|
Р/Ро
|
0,84
|
0,78
|
0,79
|
0,8
|
0,85
|
0,86
|
Н=2
|
|
Р,
кН
|
114,24
|
106,08
|
107,44
|
108,8
|
115,6
|
116,96
|
|
|
Р/Ро
|
0,68
|
0,66
|
0,67
|
0,68
|
0,72
|
0,73
|
Н=4
|
|
Р,
кН
|
92,48
|
89,76
|
91,12
|
92,48
|
97,92
|
99,28
|
|
|
Р/Ро
|
0,58
|
0,56
|
0,56
|
0,57
|
0,6
|
0,64
|
Н=6
|
|
Р,
кН
|
78,88
|
76,16
|
76,16
|
77,52
|
81,6
|
87,04
|
|
|
Р/Ро
|
0,46
|
0,44
|
0,44
|
0,46
|
0,48
|
0,5
|
Н=8
|
|
Р,
кН
|
62,56
|
59,84
|
59,84
|
62,56
|
65,28
|
68
|
|
|
Р/Ро
|
0,36
|
0,32
|
0,31
|
0,32
|
0,35
|
0,38
|
Н=10
|
|
Р,
кН
|
48,96
|
43,52
|
42,16
|
43,52
|
47,6
|
51,68
|
|
Используя поляры и стандартные атмосферы строим
потребные тяги
Таблица 3. Построение Рпотр.
|
М
|
0,2
|
0,4
|
0,6
|
0,7
|
0,85
|
0,9
|
|
Рн
|
aH
|
ρH
|
|
Cy
|
1,143138
|
0,285784
|
0,127015
|
0,0933174
|
0,0632879
|
0,0564513
|
Н=0
|
101256,5
|
340,28
|
1,224216
|
|
Cx
|
0,0899
|
0,0233
|
0,0258
|
0,0253
|
0,0279
|
0,0352
|
|
|
|
|
|
Pпотр,
H
|
32,45
|
33,64
|
83,80
|
111,85
|
181,87
|
257,25
|
|
|
|
|
|
V,
м/с
|
68,056
|
136,112
|
204,168
|
238,196
|
289,238
|
306,252
|
|
|
|
|
|
Cy
|
1,457009
|
0,364252
|
0,16189
|
0,1189395
|
0,0806649
|
0,0719511
|
Н=2
|
79443,7
|
332,52
|
1,00597
|
|
Cx
|
0,1582
|
0,0272
|
0,0263
|
0,0258
|
0,028
|
0,0353
|
|
|
|
|
|
Pпотр
|
44,80
|
30,81
|
67,03
|
89,50
|
143,22
|
202,43
|
|
|
|
|
|
V
|
66,504
|
133,008
|
199,512
|
232,764
|
282,642
|
299,268
|
|
|
|
|
|
Cy
|
1,878618
|
0,469654
|
0,208735
|
0,1533565
|
0,1040065
|
0,0927712
|
Н=4
|
61614,56
|
324,56
|
0,818888
|
|
Cx
|
-
|
0,031
|
0,0273
|
0,0262
|
0,0281
|
0,0354
|
|
|
|
|
|
Pпотр
|
-
|
27,23
|
53,96
|
70,49
|
111,47
|
157,43
|
|
|
|
|
|
V
|
64,912
|
129,824
|
194,736
|
227,192
|
275,876
|
292,104
|
|
|
|
|
|
Cy
|
2,453316
|
0,613329
|
0,272591
|
0,2002707
|
0,1358237
|
0,1211514
|
Н=6
|
47181,12
|
316,41
|
0,659736
|
|
Cx
|
-
|
0,0384
|
0,0287
|
0,0272
|
0,0286
|
0,0357
|
|
|
|
|
|
Pпотр
|
-
|
25,83
|
43,44
|
56,03
|
86,87
|
121,57
|
|
|
|
|
|
V
|
63,282
|
126,564
|
189,846
|
221,487
|
268,9485
|
284,769
|
|
|
|
|
|
Cy
|
3,249221
|
0,812305
|
0,361025
|
0,2652426
|
0,1798877
|
0,1604554
|
Н=8
|
35623,98
|
308,05
|
0,525574
|
|
Cx
|
-
|
0,0532
|
0,0316
|
0,0285
|
0,0295
|
0,0364
|
|
|
|
|
|
Pпотр
|
-
|
27,02
|
36,11
|
44,33
|
67,66
|
93,60
|
|
|
|
|
|
V
|
61,61
|
123,22
|
184,83
|
215,635
|
261,8425
|
277,245
|
|
|
|
|
|
Cy
|
4,37243
|
1,093107
|
0,485826
|
0,356933
|
0,2420722
|
0,2159225
|
Н=10
|
26472,74
|
299,45
|
0,413266
|
|
Cx
|
-
|
0,0838
|
0,037
|
0,0316
|
0,0299
|
0,0376
|
|
|
|
|
|
Pпотр
|
-
|
31,63
|
36,52
|
50,95
|
71,84
|
|
|
|
|
|
V
|
59,89
|
119,78
|
179,67
|
209,615
|
254,5325
|
269,505
|
|
|
|
|

Рисунок 5 - Диаграмма потребных и располагаемых
тяг
3. Расчет скороподъемности и максимальной
скорости горизонтального полета
.1 Расчет максимальной скорости горизонтального
полета
Максимальная скорость горизонтального полета
будет находиться из условия Ррасп=Рпотр. Полученные значения заносим в таблицу
2.
|
H,
км
|
0
|
2
|
4
|
6
|
8
|
10
|
|
Vmax,
км/ч
|
253,5086
|
257,703
|
262,2445
|
261,67107
|
257,83785
|
243,45285
|
Таблица 4 - Максимальные скорости горизонтального
полета
.2 Расчет скороподъемности
Все расчеты ведем в таблице 4, с учетом, что
Таблица 5 - Расчет скороподъемности
|
М
|
0,2
|
0,4
|
0,6
|
0,7
|
|
aH
|
|
V,м/с
|
68,056
|
136,112
|
204,168
|
238,196
|
Н=0
|
340,28
|
|
Ррасп-Рпотр,кН
|
98,11
|
91,48
|
38,60
|
13,95
|
|
|
|
Vу,
м/с
|
16,18428
|
30,18096
|
19,10076
|
8,0523186
|
|
|
|
V,м/с
|
66,504
|
133,008
|
199,512
|
232,764
|
Н=2
|
332,52
|
|
Ррасп-Рпотр,кН
|
69,44
|
75,27
|
40,41
|
19,30
|
|
|
|
Vу,
м/с
|
11,19295
|
24,26526
|
19,54053
|
10,887058
|
|
|
|
V,м/с
|
64,912
|
129,824
|
194,736
|
227,192
|
Н=4
|
324,56
|
|
Ррасп-Рпотр,кН
|
-
|
62,53
|
37,16
|
21,99
|
|
|
|
Vу,
м/с
|
-
|
19,675
|
17,539
|
12,110591
|
|
|
|
V,м/с
|
63,282
|
126,564
|
189,846
|
221,487
|
Н=6
|
316,41
|
|
Ррасп-Рпотр,кН
|
-
|
50,33
|
32,72
|
21,49
|
|
|
|
Vу,
м/с
|
-
|
15,43942
|
15,05757
|
11,535639
|
|
|
|
V,м/с
|
61,61
|
123,22
|
184,83
|
215,635
|
Н=8
|
308,05
|
|
Ррасп-Рпотр,кН
|
-
|
32,82
|
23,73
|
18,23
|
|
|
|
Vу,
м/с
|
-
|
9,801541
|
10,62933
|
9,5269565
|
|
|
|
V,м/с
|
59,89
|
119,78
|
179,67
|
209,615
|
Н=10
|
299,45
|
|
Ррасп-Рпотр,кН
|
-
|
11,89
|
10,74
|
7,00
|
|
|
|
Vу,
м/с
|
-
|
3,453135
|
4,677841
|
3,5551695
|
|
|
Рисунок 6 - График скороподъемности
.3 Построение барограммы подъема
Все расчеты ведем в таблице 6, с учетом, что
Vнаб берем при Vymax.
Таблица 6 - Барограмма подъема
|
H
|
0
|
2
|
4
|
6
|
8
|
10
|
|
Vумах
|
30,18096
|
24,26526
|
19,675
|
15,439425
|
10,629333
|
4,6778415
|
|
Vнаб
|
12,98
|
13,3
|
13,61
|
15,4
|
16,5
|
17,9
|
|
1/Vумах
|
0,033133
|
0,041211
|
0,050826
|
0,0647693
|
0,0940793
|
0,2137738
|
|
Δtнаб,
с
|
-
|
743,4
|
920,4
|
1156
|
1588,5
|
3078,5
|
|
tнаб,
с
|
0
|
743,4
|
1663,8
|
2819,8
|
4408,3
|
7486,8
|
|
tнаб,
мин
|
-
|
12,39
|
27,73
|
46,996667
|
73,471667
|
124,78
|
Рисунок 7 - Определение статического потолка
Рисунок 8 - Зависимость 1/Vy(Н)
Рисунок 9 - Барограмма подъема
4. Расчет дальности и продолжительности полета
.1 Расчет дроссельных характеристик двигателей
самолета
Используем расходные характеристики
|
R
|
0,4
|
0,5
|
0,6
|
0,7
|
0,8
|
0,9
|
1,0
|
|
|
1,25
|
1,15
|
1,08
|
1,04
|
1,02
|
1,01
|
1,0
|
Таблица 7 - Дальность и продолжительность полета
при H=0, a=340,28
|
M
|
0,2
|
0,4
|
0,6
|
0,7
|
0,85
|
|
Pрасп,
кН
|
130,56
|
125,12
|
122,4
|
125,8
|
133,28
|
|
Рпотр,
кН
|
32,45
|
33,64
|
83,8
|
111,85
|
181,87
|
|
R
|
0,249
|
0,269
|
0,685
|
0,889
|
1,365
|
|
|
1,17
|
1,31
|
1,4
|
1,43
|
1,46
|
|
|
1,47
|
1,44
|
1,05
|
1,01
|
0,91
|
|
(кг/(кН*час)
|
1,20
|
1,32
|
1,03
|
1,01
|
0,93
|
|
K
|
12,71
|
12,26
|
4,92
|
3,69
|
2,27
|
|
Lкр,
км
|
413,19
|
726,78
|
561,60
|
499,62
|
405,60
|
|
T,
час
|
1,69
|
1,48
|
0,76
|
0,58
|
0,39
|
Таблица 8 - Дальность и продолжительность полета
при H=2, a=332,52
|
M
|
0,2
|
0,4
|
0,6
|
0,7
|
0,85
|
|
Pрасп,
кН
|
114,24
|
106,08
|
107,44
|
108,8
|
115,6
|
|
Рпотр,
кН
|
44,8
|
30,81
|
67,03
|
89,5
|
143,22
|
|
R
|
0,392
|
0,290
|
0,624
|
0,823
|
1,239
|
|
|
1,60
|
1,28
|
1,37
|
1,42
|
1,46
|
|
|
1,31
|
1,37
|
1,07
|
1,02
|
0,90
|
|
(кг/(кН*час)
|
1,47
|
1,23
|
1,03
|
1,01
|
0,92
|
|
K
|
9,21
|
13,39
|
6,15
|
4,61
|
2,88
|
|
Lкр,
км
|
239,98
|
834,17
|
688,01
|
608,42
|
508,91
|
|
T,
час
|
1,00
|
1,74
|
0,96
|
0,73
|
0,50
|
Таблица 9 - Дальность и продолжительность полета
при H=4, a=324,56
|
M
|
0,3
|
0,4
|
0,6
|
0,7
|
|
Pрасп,
кН
|
90,07
|
91,12
|
92,48
|
97,92
|
99,28
|
|
Рпотр,
кН
|
27,02
|
27,23
|
53,96
|
70,49
|
111,47
|
|
R
|
0,300
|
0,299
|
0,583
|
0,720
|
1,123
|
|
|
1,22
|
1,27
|
1,36
|
1,39
|
1,43
|
|
|
1,38
|
1,25
|
1,08
|
1,04
|
0,95
|
|
(кг/(кН*час)
|
1,18
|
1,11
|
1,03
|
1,01
|
0,95
|
|
K
|
15,27
|
15,15
|
7,64
|
5,85
|
3,70
|
|
Lкр,
км
|
725,26
|
1017,64
|
832,55
|
755,47
|
617,30
|
|
T,
час
|
2,07
|
2,18
|
1,19
|
0,92
|
0,62
|
Таблица 10 - Дальность и продолжительность
полета при H=6, a=316,41
|
M
|
0,3
|
0,4
|
0,6
|
0,7
|
0,85
|
|
Pрасп,
кН
|
77,11
|
76,16
|
76,16
|
77,52
|
81,6
|
|
Рпотр,
кН
|
24,09
|
25,83
|
43,44
|
56,03
|
86,87
|
|
R
|
0,312
|
0,339
|
0,570
|
0,723
|
1,065
|
|
|
1,17
|
1,24
|
1,33
|
1,37
|
1,40
|
|
|
1,32
|
1,34
|
1,10
|
1,03
|
0,93
|
|
(кг/(кН*час)
|
1,08
|
1,16
|
1,02
|
0,99
|
0,91
|
|
K
|
17,12
|
15,97
|
9,50
|
7,36
|
4,75
|
|
Lкр,
км
|
864,52
|
999,21
|
1014,97
|
949,22
|
805,73
|
|
T,
час
|
2,53
|
2,19
|
1,49
|
1,19
|
0,83
|
Таблица 11 - Дальность и продолжительность
полета при H=8, a=308,05
|
M
|
0,3
|
0,4
|
0,6
|
0,7
|
0,85
|
|
Pрасп,
кН
|
60,67
|
59,84
|
59,84
|
62,56
|
65,28
|
|
Рпотр,
кН
|
26,81
|
27,02
|
36,11
|
44,33
|
67,66
|
|
R
|
0,442
|
0,452
|
0,603
|
0,709
|
1,036
|
|
|
1,16
|
1,21
|
1,31
|
1,34
|
1,38
|
|
|
1,21
|
1,19
|
1,08
|
1,04
|
0,95
|
|
(кг/(кН*час)
|
0,98
|
1,01
|
0,99
|
0,98
|
0,92
|
|
K
|
15,38
|
15,27
|
11,42
|
9,30
|
6,10
|
|
Lкр,
км
|
832,15
|
1073,16
|
1225,88
|
1182,72
|
1000,24
|
|
T,
час
|
2,50
|
2,42
|
1,84
|
1,52
|
1,06
|
Таблица 12 - Дальность и продолжительность
полета при H=10, a=299,45
|
M
|
0,3
|
0,4
|
0,6
|
0,7
|
0,85
|
|
Pрасп,
кН
|
45,1
|
43,52
|
42,16
|
43,52
|
47,6
|
|
Рпотр,
кН
|
33,62
|
31,63
|
31,42
|
36,52
|
50,95
|
|
R
|
0,745
|
0,727
|
0,745
|
0,839
|
1,070
|
|
|
1,10
|
1,16
|
1,25
|
1,30
|
1,34
|
|
|
1,04
|
1,03
|
1,03
|
1,02
|
0,97
|
|
(кг/(кН*час)
|
0,80
|
0,84
|
0,90
|
0,92
|
0,91
|
|
K
|
12,27
|
13,04
|
13,13
|
11,29
|
8,10
|
|
Lкр,
км
|
795,27
|
1070,84
|
1506,41
|
1473,94
|
1302,33
|
|
T,
час
|
2,46
|
2,48
|
2,33
|
1,95
|
1,42
|
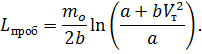
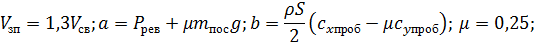
4.2 Расчет взлетно-посадочных характеристик
.2.1 Взлет
Расчет ведем для плотности ρ0=1,225кг/м3
с учетом:


Таблица 8 - Взлет (ρ0=1,225кг/м3)
|
Vсв,
м/с
|
44,54
|
|
Vотр,
м/с
|
51,22
|
|
а
|
0,255503691
|
|
b
|
2,87E-5
|
|
Lразб,
м
|
620,75
|
|
ΔPср,
H
|
12050
|
|
V2,
м/с
|
53,45
|
|
Lвув,
м
|
863,55
|
|
Lвзл,
м
|
1484,298
|
4.2.2 Посадка
Расчет ведем для плотности ρ0=1,225кг/м3
с учетом:


Таблица 9- Посадка (ρ0=1,225кг/м3)
|
Vсв,
м/с
|
32,69
|
|
Vзп,
м/с
|
42,50
|
|
Vпос,
м/с
|
35,46
|
|
Lвуп,
м
|
245,03
|
|
а
|
146205,64
|
|
b
|
17,153675
|
|
Lпроб,
м
|
150,32
|
|
Lпос,
м
|
395,34
|
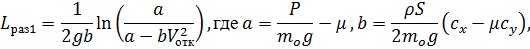
5. Прерванный и продолженный взлет
Расчет ведем для плотности ρ0=1,225кг/м3
с учетом:

Таблица 10 - Прерванный и продолженный взлет (ρ0=1,225кг/м3)
|
Vотк,
м/с
|
20,49
|
25,61
|
30,73
|
35,85
|
40,98
|
46,10
|
|
Lраз1,
м
|
85,86
|
136,04
|
199,37
|
277,25
|
371,57
|
484,89
|
|
Lраз2,
м
|
807,32
|
736,42
|
645,73
|
532,22
|
391,54
|
217,34
|
|
Lвув,
м
|
215,93
|
215,93
|
215,93
|
215,93
|
215,93
|
215,93
|
|
Lвзл.прод,
м
|
1109,11
|
1088,40
|
1061,04
|
1025,40
|
979,04
|
918,17
|
|
Fтр,
H
|
11179,54152
|
10990,85
|
10760,22
|
10487,66
|
10173,17
|
9816,741
|
|
Xa
|
5890,978106
|
9204,653
|
13254,7
|
18041,12
|
23563,91
|
29823,08
|
|
nx
|
0,173316284
|
0,166532
|
0,158239
|
0,148439
|
0,137132
|
0,124317
|
21,01
|
26,11
|
31,21
|
36,30
|
41,39
|
46,47
|
|
Lраз3,
м
|
6,36
|
7,93
|
9,51
|
11,08
|
12,65
|
14,23
|
|
Lпроб,
м
|
64,94
|
99,05
|
139,40
|
185,41
|
236,47
|
291,96
|
|
Lвзл.прерв,
м
|
157,16
|
243,03
|
348,28
|
473,74
|
620,69
|
791,08
|
Рисунок 10 - Сбалансированная скорость отказа (ρ0=1,225кг/м3)
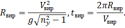
.1 Расчет горизонтальной приемистости
Расчет ведем в таблице 11
|
Vг.п.,
м/с
|
153,13
|
183,75
|
214,38
|
245
|
275,63
|
|
Pрасп-Рпотр,
Н
|
83530
|
58980
|
30240
|
8220
|
137800
|
|
,1/Н
|
0,0000120
|
0,0000170
|
0,0000331
|
0,0001217
|
0,0000073
|
|
Δtраз,с
|
-
|
13,28827
|
22,97978
|
71,07647
|
59,21906
|
|
tраз,с
|
0
|
13,28827
|
36,26804
|
107,3445
|
166,5636
|
Таблица 11 - Расчет горизонтальной приемистости
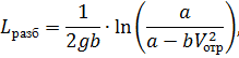
.2 Расчет правильного виража
Расчет ведем для одной высоты в крейсерской
конфигурации (таблице 12) и одной во взлетной конфигурации (таблице 13) с
учетом:
Таблица 12 - Правильный вираж в крейсерской
конфигурации при Н=2 м
|
М
|
0,195477
|
0,22555
|
0,300734
|
0,375917
|
0,451101
|
0,210514
|
|
a,
м/с
|
332,52
|
|
Vвир,
м/с
|
65
|
75
|
100
|
125
|
150
|
70
|
|
Pпотр
|
45370
|
41220
|
32960
|
30060
|
35540
|
43350
|
|
Ррасп
|
114590
|
112680
|
108800
|
106470
|
105600
|
113530
|
|
Схвир
|
0,168
|
0,114
|
0,051
|
0,030
|
0,025
|
0,138
|
|
Cyвир
|
1,52
|
1,27
|
0,79
|
0,48
|
0,32
|
1,38
|
|
ny
|
1,399
|
1,556
|
1,721
|
1,633
|
1,568
|
1,473
|
|
g,
град
|
44,36
|
50,00
|
54,46
|
52,25
|
50,38
|
47,23
|
|
Rвир,
м
|
440,89
|
481,57
|
728,82
|
1234,49
|
1900,85
|
462,48
|
|
tвир,
с
|
42,62
|
40,34
|
45,79
|
59,20
|
79,62
|
41,51
|
Таблица 13 - Правильный вираж во взлетной
конфигурации Н=0 м
|
M
|
0,206
|
0,220
|
0,235
|
0,250
|
0,264
|
0,279
|
|
а,
м/с
|
340,28
|
|
Vвир,
м/с
|
70
|
75
|
80
|
85
|
90
|
95
|
|
Pпотр
|
32200
|
31600
|
31030
|
30610
|
30280
|
30010
|
|
Ррасп
|
130320
|
129840
|
129410
|
128960
|
128550
|
128100
|
|
Схвир
|
0,341
|
0,296
|
0,259
|
0,229
|
0,204
|
0,182
|
|
Cyвир
|
2,72
|
2,3
|
1,98
|
1,7
|
1,27
|
0,6
|
|
ny
|
3,53
|
3,43
|
3,36
|
3,26
|
2,73
|
1,44
|
|
,
град
|
73,56
|
73,04
|
72,68
|
72,11
|
68,48
|
45,83
|
|
Rвир,
м
|
147,58
|
175,01
|
203,68
|
237,98
|
325,86
|
894,58
|
|
tвир,
с
|
13,25
|
14,66
|
15,99
|
17,59
|
22,75
|
59,17
|
Рисунок 11 - График виражей. Крейсерская
конфигурация (Н=2 км)
Рисунок 12 - График виражей. Взлетная
конфигурация (Н=0)