Анализ расчета заработной платы на ОАО 'Балашихинском литейно-механическом заводе'
Введение
Заработная плата как форма стоимости рабочей силы - основная доля фонда
жизненных средств работников, часть дохода предприятия, распределяемая между
работниками в соответствии с количеством и качеством затраченного ими труда и
зависящая от конечных результатов работы трудового коллектива.
Цель работы состоит в изучении методов расчета заработной платы на
предприятии.
На мой взгляд, эта тема, актуальна в современном мире, где большинство из
нас ходит на работу для того, чтобы зарабатывать деньги. Обычно чем больше нам
платят, тем лучше мы работаем и тем больше денег приносим родной компании. А
главная задача нашего работодателя - сделать так, чтобы фирма приносила как
можно больше прибыли. Следовательно - заставить нас работать еще лучше. Одним
словом, уделить особое внимание вопросам оплаты труда. Четкая система окладов и
ставок позволяет работодателю не только оптимизировать затраты на зарплату, но
и увеличить эффективность работы персонала, улучшить психологический климат в
коллективе.
Задачами работы являются:
изучение теоретических основ оплаты труда, а именно сущность и функции,
принципы заработной платы, методы расчета заработной платы
расчет заработной платы для отдельных категорий работников на примере
предприятия. Объектом исследования выступает «Балашихинский
литейно-механический завод ОАО»
Предметом исследования выступает заработная плата.
Информационной основной работы послужили нормативные акты, в частности
Трудовой кодекс Российской Федерации, учебные пособия «Экономика предприятий и
фирм» Л.И Гамкрелидзе и др.
1. Теоретические основы оплаты труда
.1 Сущность и
величина заработной платы
Что продается
на рынке труда
Заработная плата первоначально кажется простым и ясным явлением. На рынке
труда в сделке участвуют предприниматель и наемный работник. По заключенному
между ними договору нуждающейся в работе человек обязуется в течение
установленного времени трудиться на предприятии (учреждении), а работодатель
обязуется за это выплатить определенную сумму денег - заработную плату. Все вроде
бы понятно, кроме одного: какой товар продается и покупается?
Если мы обратимся за разъяснениями к юристу, то, по - видимому, он,
ссылаясь на Трудовой кодекс РФ, скажет следующее. Заработная плата каждого
работника зависит от его личного трудового вклада и качества труда. Выходит что
предметом купли - продажи является труд, а платить за этот товар приходится в
соответствии с его количеством и качеством…
Однако еще в XIX во. Многие
экономисты усомнились в том, что, нанимаясь на работу, человек якобы продает
свой труд, а ценой этого товара является заработная плата. В экономической
теории был поставлен вопрос по существу: может ли наемный работник продавать
свой труд как товар?
Если предположить, что человек делает это, то он как собственник товара
должен иметь его до рыночной сделки. Поскольку во время работы целесообразно
используются средства производства, то продавец труда должен обладать также
ими, то продавать обычные изделия, а не труд.
Давайте с позиции экономической теории попытаемся выяснить, может ли труд
вообще быть товаром и иметь стоимость. Если считать что он обладает стоимостью,
то придется признать, что стоимость товара труда (как и всякого товара)
создана, естественно, трудом. Однако здесь мы попадаем в порочный логический
круг: существо определенного понятия пытается выяснить с помощью его же самого.
Поскольку труд представляет собой сущность стоимости, он сам не имеет и не
может иметь стоимости, равно как не является товаром. Чему же в таком случае
соответствует сумма денег, именуемая заработной платой? Стоимости, какого
товара она является? Сомнение в том, что труд является товаром, возникают и по
иным причинам. Если предприниматель оплачивает человеку весь его труд по полной
стоимости, то разве он сможет извлечь для себя какую-то выгоду?
В наших рассуждения, очевидно, возникают трудности. Если на самом деле
работник не продает свой труд, то, спрашивается, на каком основании бизнесмен
дает ему денежное вознаграждение? И тогда мы должны перейти от, казалось бы
«очевидного» к тому, что покажется « невероятным»: рабочий продает не труд, а,
по - видимому, какой - то другой товар.
Выход из тупиковой ситуации может быть найден, если разграничить два
понятия: труд и рабочую силу. Рабочая сила - способность человека к труду. Это
такая совокупность физических и других сил, которыми располагает работник и
которые используют в производстве материальных благ и услуг. Что касается
труда, то это целесообразная деятельность ладей, процесс использования их
рабочей силы.
Разграничение рабочей силы и труда позволяет понять сущность сделки найма
на работу. Формально в этом правовом акте речь идет о том, что человек как бы
продает свой труд на определенное время и получает вознаграждение в виде
заработной платы. Но фактически он отдает предпринимателю право временно
использовать его рабочую силу. В свою очередь, бизнесмен оплачивает отнюдь не
весь его труд, а только рабочую силу.
Стало быть, в экономические отношения по трудовому найму вступают
собственник рабочей силы в качестве ее продавца и работодатель как покупатель
этого товара. Характер и содержание отношений между этими лицами во многом
обусловлены особенностями самого товара « рабочая сила». Позиция сторон сделки
зачастую полностью противоположны.
Трудящиеся заинтересованы, во - первых, в том, чтобы их способность к
труду не стала постоянной собственностью бизнесмена. Данный товар может попасть
в хозяйственное использование под контролем предпринимателя лишь на такое
время, которое не подрывает жизненных сил человека. Во - вторых, собственник
рабочей силы заботится о ее производительном применении при нормальных условиях
труда, обеспечивающих ее сохранность. В - третьих, он стремится к использованию
своих природных созидательных способностей в соответствии со своими профессией
(специальностью) и квалификацией. В - четвертых, первостепенной целью труженика
является получение такой цены за свой товар, которая обеспечивает полное
воспроизводство его рабочей силы, содержание нетрудоспособных членов семьи,
получение образования и квалификации, возможностей для отдыха и культурного
досуга.
Итак, все сказанное о товаре, является предметом сделки между работником
и работодателем, позволяет высказать такое заключение: сущность дохода
работника выражается экономическим законом заработной платы. Этот закон
выражает следующую объективною экономическую зависимость: заработная плата
определяется стоимостью или ценой рабочей силы как таковой. Если стоимость
рабочей силы повышается, то, естественно, должен возрасти заработок, и
наоборот.
Отсюда вытекает ряд выводов:
Ø Заработная плата не может равняться стоимости полного
продукта, а работник не может претендовать на получение такой стоимости;
Ø Справедливым можно признать такое вознаграждение за труд,
которое соответствует стоимости рабочей силы и обеспечивает нормальные условия
ее воспроизводства;
Ø Законодательство призвано защитить права работников на
получение социально справедливой величины заработной платы
От каких
факторов зависит величина труда.
Очевидно, заработная плата имеет двойственную природу. С одной стороны,
она представляет собой часть вновь созданной в производстве стоимости, в
котором воплощены затраты рабочей силы. Для того чтобы иметь возможность
постоянно продавать рабочею силу, человек должен столь же регулярно
воспроизводить и развивать свою работоспособность и удовлетворять другие
социальные потребности. Следовательно, речь идет в первую очередь о социально
воспроизводимых факторах, определяющих величину заработной платы. Во вторую
очередь важно иметь в виду рыночные условия купли - продажи рабочей силы, влияющие
на ее цены. Рассмотрим эти факторы.
. Главный социальный воспроизводственный фактор - стоимость
жизненных средств, необходимых для нормального воспроизводства рабочей силы.
Таких средств должно быть достаточно не только для восстановления работоспособности
труженика, но и для содержания нетрудоспособных членов его семьи.
Важно отметить следующее обстоятельство. Рабочая сила это совершенно
необычный - живой и, можно сказать, одушевленный товар. В отличии от
большинства полезных вещей величина стоимости рабочей силы имеет две
количественные границы. Низшая - физическая - группа равняется стоимости
жизненных благ и услуг, которые достаточны для воспроизведения
работоспособности человека с самым низким уровнем квалификации. Верхняя же
граница включает стоимость совокупности социальных культурных благ и услуг,
которые требуются для воспроизводства высококвалифицированной рабочей силы.
Такая совокупность исторически меняется в зависимости от степени развития
экономики и цивилизации в каждой стране. Сейчас в наиболее развитых странах она
может включать, скажем, многокомнатную квартиру для семьи или загородный
коттедж, личные автомашины и многое другое.
. Важнейший социально - воспроизводительный фактор, определяющий
величину заработной платы, - уровень квалификации работников.
Чтобы заработная плата стимулировала сложный труд, на предприятиях
устанавливают прямую связь между его уровнем и квалификацией работника,
сложностью выполнения работы, степенью ответственности. По уровню трудового
дохода среди рабочих выделяются те, кто обслуживают современное оборудование -
механики-ремонтники, наладчики, слесари механики; их заработная плата в два -
три раза выше вознаграждения работающих на конвейере. Самыми низкооплачиваемыми
являются работники профессии, не требующей длительной специальной подготовки
(уборщики, операторы стиральных машин, грузчики и д.п.)
Центр тяжести в трудовом процессе сейчас физической затраты жизненных сил
человека на умственные. Интеллектуализация труда выражается в общем высоком
уровне технической культуры персонала, пониманием каждого работника своего
места в процессе изготовления продукции, в умении точно соблюдать правила
технологии и обеспечивать высокие конечные хозяйственные результаты. С
переходом к информационному обществу непременным условием, особенно для
инженерно - технических, исследовательских и управленческих работников,
становится совершенное знание информатики и овладение навыками использования
компьютерной техники.
. На величину вознаграждения значительно влияют национальные различия
в степени развития экономических и социальных условий жизни в разных странах.
Эти различия в оплате труда зависят, в конечном счете, от научно - технического
уровня производства и эффективности общественного труда, степени развития
рабочей силы достигнутого общественно нормального качества жизни и иных
факторов.
. Большое воздействие на размер оплаты труда оказывают спрос и
предложение на рынке труда. Величина вознаграждения за труд может, изменятся в
соответствии с законами цены по массовому предложению и цены по массовому
спросу.
. Значительным по своему влиянию рыночным фактором,
воздействующем, на величину вознаграждения труда, является конкуренция и
монополия на рынку труда. Здесь соперничество ведет, естественно к приближению
уровня заработной платы к равновесной цене труда. Это означает, что конкуренция
выступает уравнительницей заработков. Проще говоря, рынок труда утверждает
принцип: равная оплата за равный труд.
Свою силу на рынке труда проявляет и монополия. Прежде всего,
работодатели, выполняющие роль монопсонии, пытаются диктовать работникам свои
условия оплаты труда. Они заинтересованы в безработице ослабляющей
противоборствующую силу и дающей возможность снизить заработки. В свою очередь
организация работников в свободное, независимые профессиональные союзы
позволяют им через коллективные договоры с предпринимателями вести
контрнаступление, отстаивать общие экономические интересы.
Столкновение между предпринимателями и профсоюзами временами, особенно в
условиях плохого хозяйственного положения, могут носить ожесточенный характер.
Забастовочная борьба иногда достигает столь большого накала, что может даже
парализовать всю экономическую жизнь. Не случайно, поэтому во многих
государство вмешивается в отношения между бизнесменами и трудящимися, их
профсоюзами. В результате образуется своего рода треугольник. В нем
взаимодействуют союз предпринимателей, профсоюзы и государство, которое тем
самым регулирует многие стороны трудовых отношений и оплаты труда.
.2 Структура
кадров предприятия
Для проведения кадровой политики, требуется строгий учет рабочих, весь
персонал предприятия подразделяется на две категории:
Ø Промышленно - производственный персонал (ППП)
Ø Персонал непромышленных подразделений (ПНП)
Контроль за структурой кадров предприятия осуществляется через списочный
состав работников основной и неосновной деятельности с ежедневным табельным
учетом использования рабочего времени всеми рабочими.
К промышленно - производственному составу относятся работники основной
деятельности, занятые производством продукции, выполнением работ связанных с
производственной деятельности (регулирование, настройка, наладка оборудования,
автоматов, автоматических линий, монтаж и демонтаж станков, механизмов и т.д.),
а также предоставлением услуг (транспортных, разгрузочно-погрузочных, ремонта,
складирования и энергообеспечения производства).
Кроме того, к ППП относится административно финансовый аппарат
заводоуправления: финансово-экономический отдел, бухгалтерия, отдел кадров,
научно-исследовательские и опытно-конструктивные отделы, вычислительные центры,
лаборатории, отдел технологий, главного механика и энергетика.
К персоналу непромышленного производства относятся работники неосновной
деятельности, занятые в жилищно-коммунальном (ЖКХ) и подсобном хозяйствах, в оздоровительно-лечебных
и в учебных заведениях.
Все занятые на предприятии работники подразделяются согласно
классификатору профессий и должностей на следующие категории:
Ø Рабочие (Р) - токари, слесари-сборщики, фрезеровщики,
инструментальщики, литейщики, механики, наладчики, электрики, радисты,
связисты, Электра -, газосварщики, монтажники, водители, подсобные рабочие,
рабочие охраны, младший обслуживающий персонал (МОП).
Ø Служащие (С) - делопроизводители, секретари, статистики,
агенты, экономисты, финансисты, юристы, бухгалтера, курьеры, кассиры,
экспедиторы и т.д.
Ø Специалисты (С)- инженеры, конструкторы, технологи,
системотехники, инфармационщики и д.р.
Ø Руководители (Р)- работники, занимающие должности
руководителей предприятия, его функциональных отделов, подразделений.
Следует отметить, что классификатор профессий и должностей
дифференцирован на две группы: «рабочие» и « служащие».
В группе «служащие» выделяются категории «руководители», «специалисты» и
«…собственно служащие»,… работники, осуществляющие подготовку и оформление
документации », наконец « работники, осуществляющие финансово-расчетные,
снабженческо-сбытовые и другие функции.
.3 Оплата
труда работников предприятия
Нормирование
труда
Организация оплаты труда работников предприятий базируется на следующих
основных элементах (рис. 1):
Ø Нормирование труда
Ø Тарифная сетка
Ø Форма и система заработной платы.
Рис.1
Нормирование труда - один из основных элементов организации труда,
определяющий меру труда, соответствующую размерам его оплаты в конкретных
организационно-технических условиях. Исходной нормой труда является норма
времени.
Норма времени (H(t)) показывает, какое количество труда
(Т) в нормо-часах (н-ч) должен затратить рабочий или группа рабочих (Ч)
соответствующей квалификации в определенных (эталонных)
организационно-технических условиях на производство единицы продукции (Q), единицы работы, единицы
предоставленной услуги (ед. прод.)

, н-ч /
ед. прод.
В
таком виде норма времени соответствует нормативной трудоемкости изготовления
единицы продукции, единицы выполняемой работы, единицы предоставленной услуги.
Величиной
обратной нормой времени, является норма выработки (Н(в)), показывающей, какое
количество продукции (Q) должно быть выработано в единицу времени (t)
одним или группой рабочих (Ч) соответствующе квалификации в определенных
(эталонах) организационно-технических условиях:

, н-ч /
ед.прод.
В
таком виде норма выработки представляет собой нормативную трудоемкость
выработанной продукции. Из определения нормы времени видно, что количество
труда (Т) в норма - часах (н-ч) на изготовление единицы продукции представляет
собой произведение затрат времени (t) в часах на численность рабочих
(Ч) определенной квалификации (чел.), т.е.
T=t*Ч,
чел-ч.
что
в нормированных (эталонах) условиях исчисляется в нормо-часах.
Следовательно,
норма времени обратно норме выработки при равенстве всех исходных условий по
времени (t) численности (Ч) организационно-техническими
условиями, включая нормальное давление (760 мм рт. ст.), влажность (50-60%) и
температуру (15-12є):

,
н-ч/ед.прод.
Это
необходимо учитывать не только для соблюдения размерности, обеспечения
соизмеримости и сопоставимости различных видов производимой продукции, видов
выполняемых работ и предоставляемых услуг, но и для сущностного отличия нормы,
исчисляемой как абсолютная величина, от нормативов - величины относительной,
адекватной фактическим затратам труда в реальных условиях производства
продукции.
Фактические
трудозатраты, исчисленные в человеко-часах, не всегда выше нормативных, они
могут быть и ниже, что определяет фактический рост производительности труда на
предприятии при производстве продукции за счет снижения фактической
трудоемкости.
Норма
обслуживания (Н(обс)) показывает, какое число рабочих мест, единиц
оборудования, площади может быть закреплено за рабочим или группой (Ч) рабочих
соответствующей квалификации в определенных организационно - технических
условиях. Эта норма применяется при многостаночной работе, при обслуживании
непрерывных поточных линий, ремонт и обслуживание оборудования для определения
как объема работы исполнителя или бригады, так и норма выработки.
Норма
обслуживания (Н(обс))рассчитывается как

ед.
обслуж. ( оборуд.,площ., раб.мест.)
Где
Тсм - нормированная продолжительность смены, н-ч в смену.
Кз
- коэффициент загруженности рабочего при обслуживании единице оборудования
единице оборудования, площади, рабочего места, учитывающий дополнения определенных
функций, не учтенных нормой времени (учет, инструктаж, наблюдение за процессом
и т.д.)
H(t) -
норма времени на обслуживание единицы оборудования, площади, рабочего места,
н-ч/ед.обсуж.
Норма
управляемости (Н(у)) - оптимальное количество работников или подразделений
предприятия, цеха, службы, объекту участка.
Норма
численности (Н (ч)) - количество рабочих соответствующей специальности и
квалификации (Ч), необходимых для выполнения постоянных, но не устойчивых по
повторяемости и содержанию операций или работ (например, поддержания
оборудования ремонтных цехов (служба, подразделения предприятия) в нормальном
соотношении, а также для обслуживания конкретных объектов (бытовых, рабочих
помещений, складов) при определенных организационно-технических условиях.
Нормативы
численности (Нм (ч)) - определяют количество работников (Ч) соответствующей
специальности и квалификации, необходимых для изготовления или обработки
единицы продукции, выполнения работ, предоставления услуг. Применяют нормативы
численности на различных 
видах
работ, операциях изготовления продукции, предоставляемых услуг, где затруднено
установление времени.
Нормативная
численность работников (Ч(н)) по нормам времени как
Вторым
основным элементом труда является тарифная система.
Тарифная
система.
Тарифная система состоит из следующих взаимосвязанных элементов:
Ø Тарифно-квалификационного справочника;
Ø Тарифной сетки;
Ø Тарифной ставки;
Ø Рыночных коэффициентов.
Тарифно-квалификационного справочника (ТКС) - нормативный документ, в
котором приведены квалификационные характеристики видов работ,
дифференцированных с учетом сложности их выполнения. ТКС состоит из двух
частей: общей и квалификационных характеристик, включающих в себя три раздела:
« Характеристика работы», «Должен знать», «Примеры работ».
В разделе «Характеристика работ» дается краткое описание сложности и
степени самостоятельности работ, выполняемых рабочими.
В раздел «Должен знать» определены основные требования к профессиональной
подготовке и дополнительные требования к общим и специальным знаниям рабочего.
В раздел «Примеры работ» приводятся типичные или эталонные, а точнее
тарификационные работы по профессиям и разрядам, обязательные для выполнения
при присвоении рабочему квалификационного разряда.
Тарифная сетка - совокупность разрядов и тарифных коэффициентов,
иллюстрирующих различия в сложности и в условиях труда, в квалификации и опыте
труда рабочего.
Тарифная ставка отражает абсолютный размер оплаты простого труда
(рабочего первого разряда) в единицу времени, что стимулирует повышения
квалификации, выполнение норм часовой, дневной, месячной и годовой выработки.
Районные коэффициенты - доплаты, материально заинтересовывающие
работников для работы в отдельных по природно-климатическим условиям и
недостаточно основных районах страны.
Система квалификации труда в плановой экономике были охвачены все виды
трудовой деятельности материальной и не материальной деятельности материальной
и не материальной сферы общественного производства. Во всех отраслях
промышленности используются шестиразрядные тарифные сетки, восьмиразрядные
сетки использовались в металлургической промышленности, семиразрядные на
предприятиях энергетики.
Была создана база для создания простого и сложного труда, база для
районной оплаты районного труда, уровень квалификации работника, уровень его
образования, уровень организации труда. В основу формирования тарифной системы
были положены аналитические, экспертные методы для установления правильных
соответствующих методу затратами труда при оценки сложности работ, что нашло
отражение в тарифицировании работ, в установлении стоимости выполнении работ
через тарифные коэффициенты.
1.4 Формы и
системы заработной платы
Формы и системы оплаты труда работников предприятия обеспечивают связь
между размером оплаты и реальными результатами труда, которые могут
крекироваться соответствующими доплатами и надбавками.
Формы и системы оплаты труда важны для любой экономики, так как
определяют порядок начисления заработной платы в зависимости от достигнутых
результатов, стимулируют рост производительности труда, а при соответствующем
применении могут выполнять и мотивационные функции, нацеливающие работников на
лучшие результаты.
В промышленности и на транспорте сложились и применяются две формы
заработной платы - повременная и сдельная.
Повременная форма заработной платы представляет собой оплату по тарифным
ставкам и должностным окладом за заработанное время, за труд определенной продолжительности.
Повременная форма оплаты труда применяется в случаях, когда не целесообразно
устанавливать следующие расценки выработки на продукцию, производство которой
зависит от аппаратурных процессов, производительности машин, оборудования.
Сдельная форма заработной платы - это оплата труда за количество
произведенной продукции. Если повременная форма оплаты труда применяется там,
где ведется учет фактически отработанного времени, то сдельная форма оплаты
труда применяется там, где результаты труда подаются полному и точному учету по
сдельным расценкам.
Простая повременная (почасовая, поденная) система оплаты труда без учета
добавок и доплат рассчитывается умножением соответствующей тарифной ставки
рабочего: часовой (Сч (тар)), дневной (Сд (тар)),на количество отработанных им
часов (tч (м)), дней (Nрд(м)) за расчетный период месяц:

, руб.

, руб.
Пи
помесячной оплате труда устанавливается твердый месячный оклад (D(м)),
который выплачивается рабочему полностью не зависимо от числа календарных дней
в месяц. Месячный оклад или месячная тарифная ставка (Dм↔Зn(м))
определяется умножением часовой тарифной ставки (Сч (тар)) на среднюю
продолжительность рабочего месяца (tч - (м)),соответствующую
173,1часа при семичасовом и 152,6 часа при шести часовом рабочем дне:

, руб.
Повременно-премиальная
система оплаты труда, используется, как и простая повременная система оплаты
труда, для оплаты всех категорий работников, в отличии от нее заинтересовывает
работников в качественном выполнении и в перевыполнении производительных задач,
за что и выплачивается премия.
Тогда
месячная заработная плата работника, состоящего на штатно-окладной системе, с
учетом положенных ему добавок (К(n)), доплат (К(доп)), районного коэффициента (К(Р)) и
премии (К(пр)) рассчитывается как:

, руб
Размер
надбавок, доплат, премии устанавливается руководством предприятий, организаций
и учреждений по согласованию с профсоюзами.
При
прямой сдельной оплате труда размер месячного заработка рабочего (Зn(с))зависит
от количества выработанной продукции с учетом ее качества и рассчитывается
умножением следующей расценки (R ) на количество единиц произведенной им продукта (Q):

, руб.
Средняя
расценка (R) устанавливается пересчетом соответствующей по
квалификации рабочей тарифной сетки (Сч(тар)) на норму времени (H(t))
или норму выработки (Н(в)):

,
руб./ед.прод.

,
руб./ед.прод.
при
Сч(тар) - часовая тарифная ставка, руб./н-ч.
Н(t) -
норма времени, н-ч/ед. прод.;
Н(В)
- норма выработки ед. прод./н-ч
Сдельно-
премиальная система оплаты труда заинтересовывает рабочего в улучшении не
только количественных показателей, но и качественных. Месячный заработок при
такой системе труда состоит:

, руб
где

- размер
премии в процентах к прямой сдельной зарплате за выполнение производственного
задания и условий премирования ,%
Кнп
- нормативный коэффициент устанавливающий нормативный размер премии в процентах
за каждый за каждый процент перевыполнения производственного задания и условий
премирования.
рпн
- процент перевыполнения производственного задания и условий премии %
косвенно
сдельная оплата труда - применяется для оплаты труда вспомогательных рабочих и
оплачивается по выработки обслуживаемых ими основных рабочих.
Общий
заработок (Зп (к-с)) вспомогательных рабочих определяется через косвенно
сдельную расценку (R(к-с)) делением тарифных ставок вспомогательных
рабочих (Сч(тар)) на среднюю норму выработки( 
(в))
обслуживающих им рабочих сдельщиков:

(в),
руб./ед. прод.
И
объем произведенной продукции (Q)за расчетный период времени с учетом всех
положительных выплат из фонда заработной платы (ФЗП). Тогда общий заработок
вспомогательного рабочего, труд которого оплачивается по данной системе, будет
рассчитываться так:

,руб.
Сдельно-прогрессивная
система оплаты труда (Зп(с-пр)) применяется в исключительных случаях, при
которых сроки освоения производства, техники, технологии, модернизации
объектов, одним словом, применяется для «расшивки узких мест». Сущность
применения данной системы оплаты труда заключается в использование ступенчатых
расценок (R1(с-пр), R2(с-пр),), устанавливающих
размеры или шкалу повышения расценок за перевыполнение исходных норм выработки
(Rисх)
тогда
сдельно- прогрессивный заработок без учета надбавки, доплат и районных
коэффициентов составляет :

,руб
Аккордная
система оплаты труда 
нацеливает
рабочих на сокращение на сокращение сроков выполнение производственного
задания. Сроки выполнения производственного задания, общая сумма заработка и
размер премии за своевременное и качественное выполнение задания оговариваются
заранее и закрепляются в выданном наряде.
Отсюда
размер общего заработка при такой системе оплаты труда при договорных 
, по
сути, расценках и премиях рассчитывается как :

руб
Коллективно
(бригадно) - сдельная или подрядная система оплаты труда применяется в тех
случаях, когда по характеру оборудования или в случае специфики технологий
необходимо одновременная работа группы рабочих. Тогда заключается двухсторонний
договор между заказчиком и подрядчиками, в соответствии с которым одна сторона
обязана выполнить объем работ, а другая оплатить работу после ее завершения.
Общий бригадный заработок ( 
)
рассчитывается через бригадно-сдельную (Rбр) и объем
выполненных (Q) работ:

, руб.
В
других отраслях народного хозяйства, на транспорте и, в частности, на воздушном
транспорте для оплаты труда летного состава (Зп (лс)) применяется
комбинированная система оплаты труда, сочетающая повременно-премиальную
составляющую заработной платы с учетом месячных должностных окладов (Дм)
коэффициентов классности (Ккл), премий (Кпр), районных коэффициентов (Кр) и
сдельной составляющей из сдельной покилометровой ( почасовой и погектарной)
расценки (Rk) и объем производственных видов транспортных работ
или работ в народном хозяйстве (Q):

, руб.
кроме
перечисленных выше системы оплаты труда могут быть дополнены системами оплаты
труда переходного к рынку периода и системы оплаты труда рыночной экономики. К
таким системам оплаты труда относятся бестарифная система оплаты труда, оплата
труда с учетом минимального размера оплаты труда (МРОТ) и контрактная система
оплаты труда.
1.5
Бестарифная и контрактная система оплаты труда
К системам оплаты труда работников предприятия переходного периода прежде
всего следует отнести бестарифную систему оплаты труда как первую попытку
демократизировать систему распределения, ориентировав ее конечные результаты.
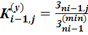
Механизм бестарифной системы прост:
Устанавливается
квалификационный 
уровень j-го
работника делим его фактический заработной платы за отчетный (i-1)-й
период (Зni-1,j) на минимальный уровень заработной платы того же
периода (Зmi-1(min)) совокупного работника:

;
Каждому
работнику, от рабочего до директора, по определенной системе показателей, с
определенной периодичностью советом трудового коллектива утверждался
коэффициент трудового участия (КТУi-1,j);
При
начислении баллов (Mi-1,j), заработанных j-м работником в
(i-1) периоде, учитывая фактический отработанное им
время (Фi-1,j(э)) в этом периоде, т.е. учитывается эффективный фонд
рабочего времени с учетом непланируемых потерь рабочего времени.
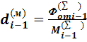
Алгоритм
начисления заработной платы отдельному j-му работнику в
( i-1)- м периоде заключается:
в
расчете общего фонда оплаты труда (Фomi(z)) всех
работников в данном периоде;
определением
общей суммы баллов (Мi-1(z)) работников в том же периоде, рассчитанных как:

баллов,
где
Чi-1,j - численность работников предприятия по категориям в
(i-1)-м рассматриваемом периоде, чел;
в
расчете доли или удельного веса (di-1(M) ) одного балла того же периода:

руб/балл;
Начисление
заработной платы каждому j-му работнику в рассматриваемом (i-1)-м
периоде:

руб.,
Где

-
количество баллов, заработанных j-м работником в 
- м
периоде, рассчитывается по формуле:

баллов.
При
j=1 и 
=1,
баллов
Данная
система оплаты труда работников предприятий, получившее широкое распространение
в переходный период, не лишена недостатков. Основной недостаток - коллективной
субъективизм оценки трудового вклада работников, лишь формально связанный с
конечными результатами деятельности предприятия; различные стартовые данные у
групп и категорий работников при оценке их квалификационного уровня,
практический отражающего тарифную систему плановой экономики. Наконец, не ясно,
как рассчитывается непосредственно фонд оплаты труда предприятия? Голосованием
трудового коллектива или с учетом планируемых темпов роста производительности
труда, обоснованного снижением материалоемкости, фондоемкости производственной
продукции без снижения ее качества?
Контрактная
система, применяется в нашей стране для оплаты труда руководителей и работников
пенсионеров. Преимущество ее заключается в четком определении, прав,
обязанностей, условий, режимов, размеров оплаты и сроков действия договора
(контракта)
Система
оплаты труда, получившая распространение в рыночной экономики для оплаты труда
всех категорий работников государственного сектора, построенная на
использовании минимального размера труда (МРОТ)
МРОТ
используется как исходная база для начисления заработной платы работнику с
учетом отработанного времени, установленных тарифной системой квалификационных
требований, корректируемых соответствующими доплатами, надбавками. По сути, эта
государственная система регулирования оплаты труда, построенная в условиях
действующей системы налогообложения, тарифов, минимального потребительского
бюджета (МПБ) и минимального размера оплаты труда.
Международной организацией труда (МОТ) установлен по рог бедности (ПБ) на
уровне 60% от МПБ, т.е. ПБ - 0,6 МПБ, ниже которого МПБ опускаться не должен,
так как это мини мальный уровень благ и услуг в стоимостном выражении, обес
печивающий нормальное воспроизводство рабочей силы и нор мальную
жизнедеятельность нетрудоспособных членов общества.
Минимальный размер оплаты .труда - это минимально до пустимый уровень
денежных или других выплат работнику за выполненную работу, обеспечивающий его способность
к про изводительному труду и к воспроизводству рабочей силы/ МРОТ - это уровень
государственного регулирования доходов населения и прежде всего неконкурентного
населения, требую щий периодической индексации.
Що нормативам МОТ минимальный размер оплаты труда (МРОТ) должен
составлять 66,7%, а минимальный прожиточ ный минимум (МПМ),- адекватный
минимальному потребитель скому бюджету (МПБ), - 50% от уровня средней (з«)
заработ ной платы в стране, в регионе, т.е.
МРОТ=0.667ЗпЇ
МПМ=МПБ=0.5ЗпЇ
Тогда порог бедности (ПБ) от уровня средней заработной платы в стране или
регионе составит ПБ - 0,6 ■ 0,5 з„..
Следует отметить, что реально сложившийся размер МРОТ не обеспечивает
выполнения своей основной воспроизводст венной функции, не является нормативной
величиной, ограни чивающей черту бедности в стране.
Государством предпринимаются меры по увеличению МРОТ путем пересмотра
минимальных размеров оплаты труда, так как именно МРОТ является исходной базой,
элементной основной организации оплаты труда и социального обеспечения.
1.6 Расчет и
оплата отпуска
Основные правила предоставления, расчета и оплаты отпуска закреплены в
Трудовом кодексе РФ (ТК РФ).
В соответствии со статьей 114 ТК РФ работникам гарантируется
предоставление ежегодных отпусков с сохранением места работы и оплаты среднего
заработка.
Ежегодный основной оплачиваемый отпуск предоставляется работникам
продолжительностью 28 календарных дней. Ежегодные дополнительные оплачиваемые
отпуска предоставляются работникам, занятым на работах с вредными и (или)
опасными условиями труда, работникам, имеющим особый характер работы,
работникам с ненормированным рабочим днем, работникам, работающим в районах
Крайнего Севера и приравненных к ним местностях, а также в других случаях,
предусмотренных федеральными законами (ст. 115, 116 ТК РФ).
Расчет продолжительности отпуска (ежегодного основного и дополнительного
оплачиваемого) производится в календарных днях и максимальным пределом оплата
отпуска не ограничивается. Нерабочие праздничные дни, приходящиеся на период
отпуска, в число календарных дней отпуска не включаются и не оплачиваются.
Оплачиваемый отпуск должен предоставляться работнику ежегодно. Право на
использование отпуска за первый год работы возникает у работника по истечении
шести месяцев его непрерывной работы в данной организации. По соглашению сторон
оплачиваемый отпуск работнику может быть предоставлен и до истечения шести
месяцев.
Очередность предоставления отпусков определяется ежегодно в соответствии
с графиком отпусков, утверждаемым работодателем с учетом мнения выборного
профсоюзного органа данной организации не позднее чем за две недели до
наступления календарного года. График отпусков обязателен как для работодателя,
так и для работника. О времени начала отпуска работник должен быть извещен не позднее
чем за две недели до его начала. По соглашению между работником и работодателем
ежегодный оплачиваемый отпуск может быть разделен на части. При этом хотя бы
одна из частей этого отпуска должна быть не менее 14 календарных дней.
Расчет и оплата отпуска производится не позднее чем за три дня до начала
отпуска. Об этом говорится в статье 136 ТК РФ.
Остановимся подробнее на правилах расчета оплаты отпуска.
Порядок
расчета среднего заработка для отпускных.
Порядок расчета среднего заработка для отпускных содержится в
Постановлении Правительства РФ от 24 декабря 2007 г. № 922 «Об особенностях
порядка исчисления средней заработной платы».
Для расчета среднего заработка учитываются все предусмотренные системой
оплаты труда виды выплат, применяемые у работодателя, независимо от источников
этих выплат.
Перечень выплат, учитываемых при расчете среднего заработка, установлен
пунктом 2 Положения об особенностях исчисления среднего заработка.
Для расчета среднего заработка не учитываются выплаты социального
характера и иные выплаты, не относящиеся к оплате труда.
Средний дневной заработок для оплаты отпусков и выплаты компенсации за
неиспользованные отпуска исчисляется за последние 12 календарных месяцев.
Средний дневной заработок для оплаты отпусков, предоставляемых в
календарных днях, и выплаты компенсации за неиспользованные отпуска исчисляется
путем деления суммы заработной платы, фактически начисленной за расчетный
период, на 12 и на среднемесячное число календарных дней (29,4).
В коллективном договоре могут быть предусмотрены и иные периоды для
расчета средней заработной платы, если это не ухудшает положение работников
(ст. 139 ТК РФ).
Средний дневной заработок для расчета отпускных определяется по формуле:
В случае если расчетный период отработан полностью:
Сумма выплат за расчетный период /( 29,4*12)
В случае если расчетный период отработан не полностью:
Сумма выплат за расчетный период /Кол-во календарных дней в периоде
Количество календарных дней в периоде рассчитывается как 29,4 за каждый
полностью отработанный месяц и кол-во отработанных календарных дней в
месяце*29,4/кол-во календарных дней в месяце за каждый не полностью
отработанный месяц.
1.7 Расчет
оплаты по временной не трудоспособности
С 01 января 2010 года в связи с вступлением в силу федеральных законов
№212-ФЗ от 24.07.2009, № 213-ФЗ от 24.07.2009 и новой редакции закона №255-ФЗ
от 29.12.2006, изменился порядок расчета пособий по временной
нетрудоспособности и материнству. Основные изменения коснулись порядка расчета
максимального размера пособия и расширения вида выплат, которые учитываются при
исчислении среднедневного заработка для начисления пособия.
С 2010 года при расчете среднего заработка, который служит основой для
расчета пособия, учитываются все выплаты, на которые начисляются страховые взносы
в ФСС РФ. Суммы, не подлежащие обложению страховыми взносами, перечислены в
ст.9 федерального закона от 24.07.2009 №212-ФЗ. Следует отметить, что в этом
перечне нет компенсации за неиспользованный отпуск
Максимальный размер среднедневного заработка для начисления пособия по
временной нетрудоспособности ограничен предельной величиной базы, на которую
начисляются страховые взносы. В 2010 году размер она составляет 415000 рублей
(с 2011 года эта сумма будет индексироваться). Соответственно максимальный размер
среднедневного заработка для начисления пособий по временной нетрудоспособности
и материнству равен 1136-99 рублей (415000: 365) при условии
100% оплаты больничного листа (при стаже 8 и более лет или при выплате
пособия по беременности и родам). Если стаж менее 8 лет - предельный размер
среднедневного заработка корректируем с учетом ст. 7 закона № 255-ФЗ от
26.12.2006:
80% от предельной величины при страховом стаже от 5 до 8 лет,
соответственно максимальный дневной размер пособия равняется 909-59 руб.;
60% от предельной величины при страховом менее 5 лет, соответственно
максимальный дневной размер пособия равняется 682-19 руб.
Еще одно важное нововведение 2010 года. Организации, применяющие
специальные налоговые режимы, с 2010 года платят пособие на общих основаниях.
То есть первые два дня временной нетрудоспособности оплачиваются за счет
средств работодателя, с третьего дня - за счет средств ФСС.
1.8 Выплаты и
вознаграждения как элементы стимулирования труда в организации
Единовременные премии и вознаграждения относятся к стимулирующим
выплатам, определяются организацией самостоятельно и производятся в пределах
имеющихся средств. С помощью едино временных премий и вознаграждений
руководители предприятия и его структурных подразделений могут поощрять своих
работников, формировать качества, которые влияют на эффективность работы
организации, но которые трудно определить количественными показателями
(например, дисциплинированность, готовность оказать помощь коллегам при
возникновении производственных затруднений, добросовестность, уровень общей и
профессиональной культуры и т.д.).
Стимулирующая
роль единовременных выплат и вознаграждений и их виды
Единовременные премии и вознаграждения играют роль не только
материальных, но и моральных стимулов. Именно так они воспринимаются
работниками. С их помощью можно воздействовать на действующую систему оплаты
труда, корректируя ее недостатки и позволяя более полно учитывать трудовой
вклад работника в результаты труда организации.
Единовременные премии и вознаграждения, выплачиваемые в настоящее время
на целом ряде предприятий, имеют отличительные особенности, заключающиеся в
гибкости предлагаемых мер поощрения. Они не являются механической добавкой к
заработной плате. Их применение не накладывает на работодателя никаких
обязательств перед работниками. В то же время, как правило, их воздействие на
трудовое поведение работников достаточно сильно.
Практика единовременных поощрений существовала всегда. Изменение
социально-экономических условий лишь вносило в нее свои коррективы. Так, до
1965 г. единовременные премии и поощрения выплачивались из фонда директора и из
фонда мастера. В дальнейшем основным источником единовременных премий и
вознаграждений стал фонд материального поощрения, который формировался из
прибыли предприятия. Вместе с тем на ряде предприятий дополнительное
премирование осуществлялось и из фонда мастера. Образование фонда материального
поощрения привело к возникновению новых видов премий и вознаграждений:
1. Вознаграждение по итогам работы коллектива за год;
2. Поощрение победителей внутрипроизводственного социалистического
соревнования;
. Поощрение работников за выполнение особо важ ных
производственных заданий.
Первый вид вознаграждений был направлен на установление зависимости между
заработной платой работника и конечными результатами деятельности предприятия.
Размеры вознаграждения определялись продолжительностью непрерывного стажа
работни а в организации. Кроме того, таким образом, администрация боролась с
текучестью кадров, которая приобрела в определенный период достаточно широкие
масштабы и влияла на результат производственной и хозяйственной деятельности
предприятия. Этот вид поощрений сыграл свою положительную роль и в последние
годы существования прежней экономической модели на предприятиях получил широкое
распространение, хотя для работников и не давал существенной прибавки к
заработной штате.
Второй вид поощрений связан с проведением внутризаводских
социалистических соревнований. По существу, они носили достаточно регулярный
характер в связи с тем, что форм этих соревнований было много, итоги
подводились часто и премии выплачивались практически регулярно. Существенным
недостатком этого вида поощрений являлся тот факт, что далеко не всегда премии
доходили до реальных победителей соревнований.
Третий вид единовременных вознаграждений за выполнение особо важных
производственных заданий чаше всего сводился к компенсациям за привлечение к
работе в выходные и праздничные дни, в целях выполнения плана в последней
декаде месяца, для поощрения работников в связи с их юбилейными датами и т.д. В
этом и заключается их недостаток. Отрыв от целевого назначения данного вида
поощрений снижает его стимулирующее значение.
Трансформация
единовременных поощрений в связи с изменением экономической системы
Смена экономической системы внесла серьезные изменения в пере численные
вилы единовременных премий и вознаграждений. Прежде всего, это касается
вознаграждений по итогам работы предприятия за год. Этот вид поощрений
существует и в настоящее время в организациях различных форм собственности,
однако изменились условия для использования этого (как и других) вида
поощрений. На государственных предприятиях, а также на акционерных
предприятиях, где преобладает государственная форма собственности, данный вид
поощрений используется в традиционной форме. Поощрение устанавливается в
зависимости от стажа работы на предприятии. В ряде случаев этот фактор
дополняется рядом других, в частности дефицитностью профессии или особым
значением в определенный момент сферы приложения труда. Вместе с тем инфляция и
неопределенность в экономических результатах работы привели почти к
повсеместному отказу от установления вознаграждения по итогам работы
организации за год в рублях или в среднедневных заработках. При этом
предприятия в большинстве своем перешли на коэффициентную форму распределения
вознаграждения по группам работни ков, образованным исходя из стажа работы.
Коэффициенты устанавливаются в диапазоне от 1,0 (в группе с наименьшим стажем)
до 2,0 (в группе с наибольшим стажем). Кроме того, в современных условиях
средства на вознаграждение работников по итогам года в основном формируются
централизованно, хотя при начислении премии учитываются предложения
подразделений. Изменилась так же роль данного вида вознаграждения на
государственных предприятиях. В настоящее время оно стало средством
окончательного до- распределения средств, которые используются на потребление.
В акционерных обществах, где преобладает негосударственная форма
собственности, а также в акционерных обществах закрытого типа отказались от
вознаграждения по итогам года. Это связано с тем, что функцию связи доходов
работников с результатами работы организации в современных условиях выполняют
дивиденды, получаемые ими по акциям.
На предприятиях частной формы собственности этот вид воз награждений, как
правило, используется, однако на других организационных основах. Вознаграждения
по итогам работы организации за год касаются ограниченного круга работников.
Обычно премируются наиболее квалифицированные работники, наиболее нужные для предприятия,
наиболее преданные хозяину. При этом никакие критерии поощрения в организации
не разрабатываются, размеры поощрения очень разнообразны, сумма вознаграждения
устанавливается непосредственно. хозяином исходя из его представлений о
преданности того или иного работника.
Вознаграждение за выполнение особенно важных производственных заданий в
современных организациях существенно сократилось. Это в значительной степени
связано со спадом производства. В этих условиях сам работник вынужден проявлять
сознательность, работать производительно, добиваться увеличения объема работы,
позволяющей ему получить более высокую (максимально возможную) заработную
плату. Кроме того, отпала необходимость прибегать к «штурмовщине» из-за
отсутствия планов, спускаемых сверху. Наконец, улучшение организации труда, в
частности расстановки кадров, более рациональной загруженности работников также
снижает популярность данного вида вознаграждения.
В настоящее время на целом ряде предприятий по-прежнему поддерживается
традиция выплаты вознаграждения работникам в дни профессиональных праздников, в
связи с юбилейными датами или датами, особо значимыми для организации.
Роль
поощрения работников по итогам внутрипроизводственного соревнования на
современных предприятиях Российской Федерации.
На современных предприятиях в связи с упразднением социалистического
соревнования не используется применявшаяся ранее форма поощрения победителей.
Вместе с тем отказ от соревновательности как формы активного участия работников
в производственной, хозяйственной, социальной жизни организации явно
необоснован. Об этом свидетельствует как мировая, так и российская практика
функционирования и развития предприятий. Так, многие организации в России
пытаются возродить соревнование, в частности проводят различные конкурсы,
например «Лучший по профессии», «Подразделение лучшего качества работы» и др.
Это, в свою очередь, приводит к возрождению единовременного поощрения его
победителей. Успешные предприятия могут позволить себе разнообразные формы
соревнования, поощрение победителей, занявших несколько призовых мест.
Предприятия, располагающие ограниченными средства ми, оплачивают, как правило,
одно призовое место. При этом руководитель организации справедливо считает, что
поощрение за победу в соревновании должно быть достойным.
Спецификой современного внутрипроизводственного соревнования является
другой подход к его организации. Инициатива его проведения исходит не от
профсоюзной организации, как это было в советское время, а непосредственно от
руководителя организации. Организация и контроль за проведением соревнования
часто осуществляются одной из служб предприятия, например службой управления
персоналом или службой по труду.
Материальная
помощь как особый вид выплат в современной организации
Специфическим видом единовременных выплат в организациях является
материальная помощь. Она выплачивается за счет прибыли. Целью материальной
помощи является обеспечение социальных гарантий и обеспечение работников
определенными благами за счет предприятия.
Материальная помощь представляет собой компенсационные выплаты
работникам, в первую очередь попавшим в чрезвычайные или экстремальные
ситуации, либо лицам в наиболее ответственный период их трудовой жизни. Это
связано со следующими жизненными ситуациями:
Ø смертью сотрудника или его близких родственников;
Ø свадьбой сотрудника или его близкого родственника;
Ø приобретениям лекарств или штатным лечением сотрудника;
Ø при несчастных случаях (пожар, авария, травма, гибель
имущества);
Ø приобретением путевки к очередному отпуску;
Ø завершением творческой работы (книги, диссертации,
художественного произведения).
Материальная помощь выплачивается работнику на основании распоряжения
руководителя организации и по его личному заявлению. Этот вид единовременных
выплат является эпизодической формой оплаты труда работников.
Значение
единовременных выплат и вознаграждений в организациях в настоящее время
Единовременные выплаты и вознаграждения работников занимают важное место
в механизме поощрения и выполняют определенную стимулирующую роль, дополняя
системы оценки труда и его оплаты, позволяя сделать механизм поощрения более
гибким и действенным.
Вместе с тем в настоящее время в условиях жесткой конкуренции и
стремительного научно-технического прогресса успех организации и эффективность
ее работы зависит, прежде всего, от руководителей. И работников, их способности
к постоянному развитию, освоению новых технологий и методов труда, получению
новых специальностей. Сейчас уже недостаточно качественного выполнения
должностных обязанностей. От работников требуется не только наличие
разнообразных, профессиональных знаний, но и навыков и способности для быстрого
освоения новых.
Наиболее прогрессивные руководители современных организаций понимают
необходимость вознаграждения работников за овладение дополнительными навыками и
знаниями и стараются с по мощью единовременных выплат и поощрений стимулировать
тех, кто обладает более высоким потенциалом, В зарубежной практике в последнее
время такой вид стимулирования работников носит регулярный характер и имеет
название «платы за знания», а для руководителей различных уровней,
специалистов, исследователей и других работников, чья деятельность не поддается
количественному измерению, «платы за компетенции». Плата за знания и
компетенции как система, безусловно, ориентируют работников на приобретение
новых навыков, знаний, профессий, обеспечивает постоянное повышение качества
человеческих ресурсов организации и тем самым повышает их
конкурентоспособность.
контрактный заработный
вознаграждение стимулирование
1.9 Удержание
из заработной платы
В соответствии с действующим законодательством по труду из сумм
начисленной заработной платы производятся обязательные удержания: налоги на
доходы физических лиц; штрафы по постановлением судебных и административных
органов; алименты по приговорам суда и др. По инициативе работников
удерживается полученные займы, перечисление в негосударственные не пенсионные
фонды и т.д.
Налог на доходы физических лиц уплачивают физические уплачивают
физические лица с получаемой ими заработной платы, вознаграждений, премий и
других доходов трудового и нетрудового характера. Для расчета суммы налога
определяется налоговая база как общая сумма полученных заявляющейся
налогооблагаемым периодом отчетный период нарастающим итогом с начала календарного
года. Налоговая база подсчитывается по каждой налоговой ставке в отдельности.
Налог исчисляется и удерживается организациями (налоговыми агентами), в
которых физическими лицами был получен доход. Исчисленный и удержанный налог
должен быть перечислен налоговым агентом в бюджет не позднее дня получения в
банке денежных средств на выплату физическим лицам дохода (заработной платы,
вознаграждения, дивидендов и т.д.)
Уплата налога за счет средств организации (налогового агента) не
допускается. Налог должен быть в обязательном порядке удержан из дохода самого
физического лица. В соответствии с требованиями Налогового кодекса Российской
Федерации организации (налоговые агенты) обязаны на каждого работника вести
налоговую карточку по учету доходов и налогов на доходы физических лиц.
Карточки ведут на всех рабочих: штатных, нештатных, временных, сезонных,
а также лиц, выполняющих работы по договорам гражданско-правового характера,
получающих авторский гонорар. Карточки заполняются на основе данных лицевых
счетов работников, расчетно-платежных и расчетных ведомостей, первичных
документов, послуживших основанием для начисления соответствующих доходов и
производственных расходов и обеспечивают информацию обо всех видах доходов для
целей налогообложения. Необходимо также заполнять справку о доходах физических
лиц, предоставляемую организациями по окончании года в налоговую инспекцию.
Налог на
доходы физических лиц (НДФЛ). Учет и исчисление налога
Плательщиками налога на доходы физических лиц (НДФЛ) признаются физические
лица - налоговые резиденты РФ*(1), а также не являющиеся налоговыми резидентами
Российской Федерации, но получающие доходы от источников в Российской
Федерации.
Вычеты предоставляются работнику за каждый месяц налогового периода при
получении им доходов, подлежащих налогообложению только по ставке 13%
На основании ст. 218 НК РФ установлены следующее размеры стандартных
налоговых вычетов:
руб. - предоставляются всем налогоплательщикам. Если доход работника,
исчисленный нарастающим итогом с начала налогового периода, превысит 20 000
руб., то начиная с месяца, в котором превышение имело место, вычет не
предоставляется;
руб. - предоставляются, в частности, Героям Советского Союза и Российской
Федерации, лицам, награжденным орденом Славы трех степеней, блокадникам. Полный
перечень налогоплательщиков, имеющих право на получение этого вычета, приведен
в подп. 2 п. 1 ст. 218 НК РФ;
руб. - на каждого ребенка налогоплательщика;
руб. - предоставляются, в частности, лицам, получившим лучевую болезнь
или инвалидность вследствие катастрофы на Чернобыльской АЭС, инвалидам Великой
Отечественной войны.
2. Расчет
заработной платы на ОАО « Балашихинском литейно механическом заводе»
2.1 Краткая
характеристика ОАО « Балашихинского литейно механического завода»
Основанный в 1932 году «Балашихинский литейно-механический завод»
является ведущим российским предприятием в области литейного производства и
механической обработки изделий из титана, магния и алюминия, которые имеют
широкое применение в высокотехнологичных отраслях экономики.
Предприятие специализируется на серийном изготовлении авиационных колес,
тормозов и агрегатов управления тормозными системами практически для всех типов
отечественной авиационной техники, включая широко известные в мире самолёты:
Ту-154, Ил-62, Ил-76, Ил-86, Як-40, Як-42, Ан-124 «Руслан», Ан-225
«Мрия», вертолеты Ми-8, Ми-26, Ka-50 «Черная Акула». Имея большой опыт в
производстве ответственных изделий для российской авиационной промышленности,
предприятие принимает заказы на изготовлении фасонного литья из титановых,
магниевых и алюминиевых сплавов. Высокий уровень технической подготовки и
квалификации специалистов позволяют в короткие сроки осваивать и выпускать
сложные изделия почти для всех отраслей промышленности.
Долгое и плодотворное сотрудничество со всемирно известными
конструкторскими бюро им. А.Н. Туполева, С.В. Ильюшина, O.K. Антонова, А.И.
Микояна и М.И. Гуревича, П.О. Сухого, М.Л. Миля, Н.И. Камова является лучшим
подтверждением высокого качества продукции завода.
Имущество ОАО «БЛМЗ» составляют основные фонды, оборотные средства и
другие ценности, стоимость которых отражается в самостоятельном балансе завода.
Основным обобщающим показателем финансовых результатов хозяйственной
деятельности завода является прибыль.
Руководство завода самостоятельно планирует свою деятельность и
определяет перспективы развития, исходя из спроса на производимые детали и из
необходимости обеспечения производственного и социального развития, повышения
доходов. Основу планов составляют договоры, заключенные с заказчиком и
поставщиками материально-технических ресурсов.
Руководство самостоятельно определяет формы, системы и размеры оплаты
труда, а также другие виды доходов работников, используя государственные
тарифные ставки, оклады в качестве ориентиров оплаты труда в зависимости от
профессии, квалификации работников, сложности выполняемых работ. Трудовые
доходы каждого работника определяются его личным вкладом с учетом результатов
работы на заводе. Минимальный размер оплаты труда работников завода не может
быть меньше установленного законодательством Российской Федерации.
Завод выполняет работы на договорной основе в порядке, определенном
законодательными актами РФ.
.2 Учет
расчетов по оплате труда
Учет расчета по оплате труда на заводе осуществляется на основе первичных
документов, заполняемых по месту работы персонала. К первичным документам,
используемым для расчета заработной платы относятся: приказ о приеме на работу
(форма № Т-1). Для работающих по договору составляется приказ по форме №-1а. На
основании приказа делаются записи о приеме на работу в трудовую книжку,
заполняется личная карточка работника, а в бухгалтерии завода открывается
личный счет. В отделе кадров заполняется личная карточка работника по форме №
Т-2
Отпуск работника предоставляется на основании приказа о предоставлении
отпуска форма № Т-6.
Учет использования рабочего времени осуществляется в табели учета
использования рабочего времени форма № Т-13
Их составляют табельщики по ее структурным подразделениям и категориям
работающих. Два раза в месяц табель, составленный в одном экземпляре,
передается в расчетный отдел бухгалтерии для расчета заработной платы за месяц.
Отметки в табеле о неявках на работу или не полном рабочем дне, работе сверх
урочное время и др. делаются на основании документов: листка временной
нетрудоспособности, справок о выполнении государственных или общественных
заданий и т.д.
Расчет заработной платы коллектива завода осуществляется в
расчетно-платежной ведомости по форме № Т-51 и в платежной ведомости фора №
Т-53. Расчет заработка отдельного работника производится в лицевом счете по
Форме № Т-54. Лицевой счет служит для отражения всех видов начислений и
удержаний из заработной платы по данным первичных документов по учету
выработки, выполненных работ, отработанного времени.
Данный лицевой счет используется для составления расчетной ведомости. При
выплате заработной платы работнику заработной платы выдается расчетный листок,
в котором отражаются начисленные суммы оплаты труда по их видам, удержания и
сумма к выплате.
.3 Способы
начисления заработной платы ОАО «Балашихинского литейно-механического завода»
На заводе оплата труда рабочих основывается тарифной системе, включающую
тарифные ставки и сетки, тарифное квалификационные справочники, а также оклад,
сдельно премиальную и повременно премиальную системы оплаты труда.
Оклад: помесячная оплата труда при которой устанавливается твердый
месячный оклад, который выплачивается рабочему полностью независимо от
количества календарных дней в месяц.
Оклад присутствует в оплате труда;
Руководителей: руководитель предприятия, заместитель руководителя,
начальники
цехов и заместители начальника цеха.
Служащих: экономисты, финансисты, бухгалтера и т.д.
Специалистов: инженеров, технологов, механиков, мастеров и т.д.
Повременно - премиальная система оплаты труда присутствует в оплате труда
квалифицированных занятых в обслуживании оборудования и станков: слесаря
-ремонтники, слесаря - инструментальщики, наладчики и д.р.
Сдельно - премиальная система присутствует в оплате труда рабочих
производственного участка: формовщики, токари, прессовщики, сверловщики,
сборщики пакетов и тд. Им начисляется заработная плата исходя из сдельных
расценок установленных в организации, и количество продукции изготовленной за
определенной период. В случае выполнения или перевыполнения плана выписывается
премия.
2.4 Расчет
заработной платы в ОАО «БЛМЗ» на примере цеха Порошковой металлургии
В январе 2010 г рабочим цеха Порошковой металлургии начислена заработная
плата в размере 3000000 руб. Общее количество рабочих цеха 100 человек.
Рассмотрим способы начисления заработной платы некоторых из них:
Ковалев Н.А. - начальник цеха.
Васильев В.А - заместитель начальника цеха.
Варчев Д.А. - механик цеха.
Карашан А.В. - Нормировщица.
Ермилов И.К. - слесарь - инструментальщик 5-го разряда.
Новиков Н.И - слесарь - ремонтник 4-го разряда.
Иванов К.Э - инструментальщик 6-го разряда и пол ставки транспортировщик.
Кафтаев В.А - наладчик метало режущих станков 6-го разряда.
Баженов Р.Ю. - токарь 5-тог разряда.
Шумов В.В. - фрезеровщик.
Галимская Т.А. - циковщица.
Блинов В.А. - сборщик пакетов.
Илинова Н.Б.- уборщица.
Работники, имеющие несовершеннолетних детей: Ковалев Н.А., Карашан А.В.,
Галимская Т.А., Иванов К.Э., Ильинова Н.Б.. А также у Ковалева Н.А. по решению
суда вычитаются алименты на одного несовершеннолетнего ребенка в размере 25% от
всех видов заработка.
Согласно положению о премировании ОАО «БЛМЗ» ежемесячная премия
работникам производственного участка завода при выполнении или перевыполнении
плана по производству продукции составляет 30% от заработной платы. Ежемесячная
премия руководителей при выполнении плана составляет 40%, а при перевыполнении
плана 45% от заработной платы.
В январе 2010г цех Порошковой металлургии перевыполнил план по
производству продукции но20%.
Расчет
оклада.
Учет использования рабочего времени осуществляется в табели учета
использования рабочего времени форма № Т-13.
Оклад начальника цеха Ковалева Н.А. составляет 35000 рублей. Так как в
январе 2010 года цех перевыполнил план на 20% премия Ковалева Н.А. составила
45% от заработной платы.
1) Расчет
премии 
руб.
) Заработная
плата за расчетный период составила: 35000+15750= 50750 руб.
) Расчет
НДФЛ: 50750Ч13%= 6597,50 руб. 50750-6597,50= 44152,50 руб.
) Расчет
алиментов 44152,50Ч25%= 11038,12 руб.
) Итого
к выплате 44152,50-11038,12= 33114,38 руб.
Оклад заместителя начальника цеха Васильева В.А. составляет 33000. В
январе 2010г Васильев В.А. брал отпуск без сохранения заработной платы на два
дня, фактически отработанное время составило 13 дней. Премия Васильева В.А.
составила 45%
) Расчет заработной платы: (33000ч15)Ч13=28600
2) Расчет
премии: 
руб.
) Заработная
плата за расчетный период составила:28600+12870= 41470руб
) Расчет
НДФЛ 41470Ч13%=5391,10 руб.
) Итого
к выдаче: 41470-5391,10=36078,90 руб.
Оклад Варчева Д.А. механика цеха составляет 30000 руб.. В расчетный
период Варчав Д.А отработал один день четырнадцать дней отпуска и четыре дня
отпуск без сохранения заработной платы.
) Расчет заработной платы за отработанный день: (30000ч15)Ч1=2000
руб.
2) Премия
за отработанное время составила 
) Сначала
определим средний заработок. Средний заработок рассчитывается из фактических
начисленных сумм за12 календарных месяцев, предшествующих уходу в отпуск.
Заработок за 12 месяцев составил (таблица №2)
Таблица
|
Месяцы
|
Суммы оплаты труда,
включаемые в расчет среднего заработка работника.
|
Итого начислено руб.
|
|
Заработная плата по
тарифным ставкам (окладу)
|
Надбавки за совмещение
профессий, руб.
|
Вознаграждение за выслугу
лет, премии.
|
|
|
Январь 2009
|
30000
|
-
|
9000
|
39000
|
|
Феврьль2009
|
25981,4
|
-
|
7775,52
|
33756,92
|
|
Март2009
|
30000
|
-
|
9000
|
39000
|
|
Апрель2009
|
30000
|
-
|
9000
|
39000
|
|
Май2009
|
25981,40
|
-
|
-
|
25981,40
|
|
Июнь2009
|
28979,60
|
-
|
8693,88
|
37673,48
|
|
Июль2009
|
30000
|
-
|
-
|
30000
|
|
Август2009
|
27959,20
|
-
|
8387,76
|
36346,96
|
|
Сентябрь2009
|
30000
|
-
|
9000
|
39000
|
|
Октябрь2009
|
25918,40
|
-
|
25981,40
|
|
Ноябрь2009
|
30000
|
-
|
9000
|
39000
|
|
Декабть2009
|
30000
|
-
|
9000
|
39000
|
|
итого
|
344820
|
-
|
78857,20
|
423677,20
|
Средней заработок равен 423677,2ч12=35306,43
З) Расчет среднедневного заработка и отпуска:( 35306,43ч29,4)Ч14=16812,46
руб.
) Заработная плата за расчетный период составила:
16812,46+2000+600=19412,46руб.
) Расчет НДФЛ: (19412,46-400)Ч13%=2471,61 руб.
) Итого к выдаче 19412,46-2471,61 =16940,85 руб.
Оклад Карашан А.В. нормировщицы 29000 руб. в расчетный период Карашан А.В
отработала 10 дней и 5 дней больничный ( временная нетрудоспособность). Стаж
работы Карашан А.В. 5-ть лет.
) Расчет заработной платы за 10 дней: (29000ч15)Ч10=19333,33 руб.
2) Премия
за отработанное время 
руб.
) Расчет
больничного. Определим средний заработок Карашан А.В. по данным за последние 12
календарных месяцев предшествующих месяцу наступления нетрудоспособности.
Таблица № 2
Таблица
|
Месяц
|
Сумма начислений облагаемых
взносами в ФСС
|
Кол-во календарных дней за
которые сделано начисление.
|
|
Январь 2009
|
37700
|
31
|
|
Февраль 2009
|
37700
|
28
|
|
Март 2009
|
37700
|
31
|
|
Апрель 2009
|
37700
|
30
|
|
Май 2009
|
29000
|
31
|
|
Июнь 2009
|
37700
|
30
|
|
Июль 2009
|
29000
|
31
|
|
Август 2009
|
37700
|
31
|
|
Сентябрь 2009
|
37700
|
30
|
|
Октябрь 2009
|
29000
|
31
|
|
Ноябрь 2009
|
37700
|
30
|
|
Декабрь
|
37700
|
31
|
|
итог
|
4263000
|
365
|
Среднедневной заработок составляет 4263000ч365=1167,94 в соответствии со
статьей 14 п 3,1 Федеральным законом от 29 декабря 2006г. № 255-Ф максимальный
размер среднего заработка равен 1136,99 руб.
) Сумма пособия ровна 1136,99Ч5Ч80%=4547,96 руб.
При этом сумма пособи за счет работодателя составляет:
,99Ч2Ч80%=1819,18 руб.
За счет средств ФСС
,99Ч3Ч80%=2728,77 руб.
) Заработная плата за расчетный период составила:
19333,33+5799,99+4547,96=29681,28 руб.
) Расчет НДФЛ: 29681,28 Ч13%=3858,56 руб.
) Итого к выдаче:29681,28-3858,56=25822,72 руб.
Расчет.
Повременно - премиальной и повременной системы оплаты туда.
Повременно- премиальной системы оплаты труда.
Ермилов И.К. - слесарь - инструментальщик 5-го разряда отработал в январе
2010г 120 часов. Тарифная ставка составляет - 85,52 руб. за час. Доплата за
дополнительный обобьем работы - 6500 руб. По итогом работы цеха за месяц
рабочий премируется в размере 30% от фактического заработка.
) Расчет заработной платы рабочего за отработанное время:
,52Ч120=10262,40 руб.
С доплатой за дополнительный объем работы : 10262,40+6500=16762,40 руб.
2) Премия
по итогам работы составит 
руб.
) Заработная
плата за отчетный месяц составляет:
16762,40+5028,72=21791,12 руб.
) Расчет НДФЛ 21791,12Ч13%=2832,82 руб.
) Итого к выдаче: 21791,12-2832,82=18958,30 руб.
Новиков Н.И - слесарь - ремонтник 4-го разряда отработал в январе 2010 г
123 часа, из них 3 часа работа в сверх урочное время. Тарифная ставка Новикова
И.К. составляет 75,14 руб. за час. Доплата за дополнительный объем работы
составляет 4895,53 руб. По итогом работы цеха за месяц рабочий премируется в
размере 30% от фактического заработка.
Расчет заработной платы за 120 часов:
Ч75,14=9016,80 руб.
) Оплата сверхурочного времени работы оплачивается в соответствии
со статьей ТК РФ 152 : первые да часа сверхурочной работы оплачиваются не менее
чем в полуторном размере, а последующие в двойном.
Следовательно, оплата за 2 часа в сверхурочное время составила:
((75,14Ч0,5)+75,14)Ч2=225,42 руб.
Оплата за 1 час сверхурочного времени составляет 75,14+75,14=150,28 руб.
) Всего за отработанное время: 9016,80+225,42+150,28=9392,50 руб.
Заработная плата с дополнительным объемом работы составляет:
,50+4895,53= 14288,03 руб.
3) Расчет
премии:
= 4286,40
руб.
) Заработная
плата за отчетный месяц составила:
14288,03+4286,40=18574,43 руб.
) Расчет НДФЛ: (18574,43-400-600)Ч13%=2284,67
) Итого к выдаче: 18574,43-2284,67=16289,76 руб.
Иванов К.Э - инструментальщик 6-го разряда отработал в расчетный период
120 часов. Тарифная ставка Иванова К.Э. составляет 92,35 руб. за час. Доплата
за дополнительный объем работы 6758,82 руб. А также Иванов К.Э. устроен
транспортировщиком (водителем кары) в цеху, за 0,5 ставки от оклада
транспортировщика по совмещению. Оклад транспортировщика составляет 8000 руб.
По итогом работы цеха за месяц рабочий премируется в размере 30% от
фактического заработка.
) Расчет заработной платы за отработанное время: 120Ч92,35=11082
руб.
) С доплатой за дополнительный объем работы:
11082+6758,82=17840,82
) Расчет премии: (17840.82Ч30%)ч100%=5352,24руб.
) Расчет заработной платы по совмещению: 8000Ч0,5=4000 руб.
) Начислено рабочему за месяц 17840,82+5352,24+4000=27193,06 руб.
) Расчет НДФЛ 27193,06Ч13%=3535,09
) Итого к выдаче: 27193,06-3535,09=23657,97.
Повременная система оплаты труда
Ильинова Н.Б.- уборщица отработала в расчетный период 120 часов. Тарифная
ставка Ильиновой Н.Б. составляет 65,49 руб. за час.
Расчет заработной платы: 120Ч65,49=7858,80 руд
Расчет НДФЛ: (7858,80-400-600)Ч13%=891,64 руб.
Итого к выдаче: 7858,80-891,64=6967,16.
Расчет
сдельной, сдельно - премиальной, сдельно - прогрессивной и аккордной системы
оплаты труда.
Начисление по сдельным расценкам за конкретно выполненный объем работы
выполняется в наряде. Наряд обычно выписывается до начала работы и служит
заданием с указанием одного или нескольких исполнителей.
Сдельная система оплаты труда.
Баженов Р.Ю. - токарь 5-тог разряда в январе 2010г. Изготовил 600
деталей. Средняя расценка за единицу готовой продукции - 45 руб. Часовая
тарифная ставка - 35 руб. Нормативное время изготовления одной детали 20 минут.
При приемки продукции ОТК обнаружено 10 полностью бракованных деталей не по
вине рабочего.
) Начислено рабочему за 1200 готовых деталей: 600Ч45=27000 руб.
) Время изготовления 10 бракованных деталей: 20минЧ10дет=3ч20мин.
Согласно положению о браке в ОАО «БЛМЗ» за брак не по вине рабочего
оплачивается только время, затраченное на изготовление деталей. Начислено за 10
забракованных деталей 35Ч3,20=112 руб.
) Начислено за весь бьем выполняемых работ: 27000+112=27112 руб.
) Расчет НДФЛ: 27112Ч13%=3524,56 руб.
) Итого к выдаче: 27112-3524,56=23587,44
Сдельно - премиальная система оплаты труда.
Шумов В.В - фрезеровщик в январе 2010г по наряду обработал следующие
детали:
А - 300 шт. по 40 руб. Норма выработки 32 мин.
Б - 200 шт. по 30 руб. Норма выработки 17 мин.
По итогом работы цеха за месяц рабочий премируется в размере 30% от
фактического заработка.
Оплата труда Шумова В.В. за январь составила:
) (300Ч40)+(200Ч30)=18000
2)
Расчет Премии:18000Ч30%=5400
)
Начислено рабочему за месяц:18000+5400=23400
)
Расчет НДФЛ: 23400Ч13%=3042
)
Итого к выдаче: 23400-3042= 20358.
Сдельно
- прогрессивная система оплаты труда.
Галимская
Т.А. - циковщица обработала в январе 2010г. 300 деталей при норме 270 изделий.
Сдельная расценка за единицу продукции, изготовленной в пределах норм, - 55
руб. Продукция, изготовленная сверх нормы в пределах 10% от нормы, оплачивается
по 60 руб., а свыше 10% - по 65 руб.
1) за 270 деталей было начислено (270Ч55)=14850 руб.
2) Заработная плата за 27 деталей (10% - сверх нормы) составляет:
(27дет.Ч60 руб.)=1620 руб.
) Заработная плата за три изделия (300-270-27) составит: (3
дет.Ч65руб.)=195 руб.
) Начислено рабочему за месяц: (14850+1620+195)=16665 руб.
) Расчет НДФЛ: (16665-400-600)Ч13%=2036.45 руб.
) Итого к выдаче: 16665-2036.45=14628.55
Аккордная система оплаты туда.
Блинов В.А. - сборщик пакетов получает заработную плату за количество
собранных готовых изделий. Изделие состоит из пяти деталей, которые также
изготовляет Блинов В.А. в январе 2010 г. изготовлено 600 деталей и собранно
готовых изделий 120. Расценка за одну готовую деталь 170 руб.
1) Заработная плата за отчетный месяц составила: (120Ч170)=20400
руб.
2) Расчет НДФЛ 20400Ч13%=2625 руб.
) Итого к выдаче 20400-2625=17775 руб.
Заключение
В истории экономической науки сложилось представление о заработной плате
как о сумме средств, которую предприниматель (работодатель) платит наемному
работнику. Однако на вопрос о том, чем определяются уровень и динамика
заработной платы, за что она выплачивается работнику, однозначного ответа наука
и практика не дают.
На предприятии в процессе труда зарплата выступает уже не как цена
рабочей силы, а как плата за труд. Эту новую форму зарплаты как оплаты за труд
порождают следующие факторы:
предпринимателя интересуют не только будущая способность работника к
труду, а сам труд
величина зарплаты теперь тесно увязывается не со стоимостью рабочей силы,
а с величиной и качеством труда (кто больше и лучше работает, тот больше
получает)
по времени зарплата выплачивается после труда, а не до него.
Заработная плата в сложившихся условиях и в будущем должна выполнять
главную роль в мотивации труда. Для этого она призвана выполнять три основные
функции: воспроизводственную, регулирующую и стимулирующую. У каждой из функций
своя специфическая задача. Но в то же время они переплетаются между собой,
каждая из них в определенной части перекрывает часть другой.
В курсовой
работе был проведен анализ расчета заработной платы на ОАО « Балашихинского
литейно-механического завода»
Был проведен расчет заработной сдельной системы оплаты труда, при которым
начисление заработной платы происходит в зависимости от сделанного
(выработанного) объема.
Расчет сдельно - прогрессивной системы оплаты труда, при которой
продукция, изготовленная в пределах норм оплачивается по твердому расценку, а
продукция, изготовленная сверх норм, оплачивается из более высоких расценок.
Расчет аккордной системы, при котором оплаты труда рассчитывается за
объем (комплекс) выполненных работ.
Расчет повременной системы оплаты труда, при которой начисление
заработной платы определяется исходя из суммы оклада за отработанный период и
причитающейся премии.
Расчет оклада, - при котором устанавливается месячная тарифная ставка, которая
выплачивается рабочему полностью независимо от качества календарных дней в
месяц.
Примеры расчета отпуска и больничного (временная нетрудоспособность)
А также были приведены примеры удержания из заработной платы в виде НДФЛ
(налог на доходы физических лиц) и алименты.
Список литературы
1). Л.И.
Гамкрелидзе Экономика предприятия и фирмы. 2007 г.
). Е.Ф.
Борисов Экономическая теория 2-е издание 2010г
). Конитина
Ю.П. Экономика труда 2010г
). Н.А.
Горелов Экономика труда 2007 г.
). Н.Г.
Сапожников бухгалтерский учет2010г.
). Скляренко
В. Экономика предприятия: Учебник. 2006.
).
"Трудовой кодекс Российской Федерации" от 30.12.2001 N 197-ФЗ.
(принят ГД ФС РФ 21.12.2001) (ред. от 25.11.2009) (с изм. и доп., вступающими в
силу с 01.01.2010)
). Журнал «Главбух»
- 2010 г
). Титов В.И
Экономика предприятия 2008г.
Приложение
Форма по ОКУД Дата
Учреждение ФГОУ ВПО Российский государственный аграрный заочный
университет по ОКПО Структурное подразделение Цех порошковой металлургии
Количество рабочих дней в месяце 15
Таблица 1
|
Наименование
показателя
|
Код
|
Наименование
показателя
|
Код
|
|
Выходные и
праздничные дни
|
В
|
Неявки с разрешения
администрации
|
А
|
|
Работа в ночное
время
|
Н
|
Выходные по учебе
|
ВУ
|
|
Выполнение
обязанностей
|
Г
|
Отпуск по учебе
|
ОУ
|
|
Очередные и
дополнительные отпуска
|
О
|
Замещение в 1-3
классах
|
ЗН
|
|
Нетрудоспособность
|
Б
|
Замещение в группах
продленного дня
|
ЗП
|
|
Отпуск в связи с
родами
|
Б
|
Замещение в 4-11
классах
|
ЗС
|
|
Часы сверхурочной
работы
|
С
|
Работа в
праздничные дни
|
РП
|
|
Прогулы
|
П
|
Фактически
отработанные часы
|
Ф
|
|
Командировки
|
К
|
Рабочие дни
|
Р
|
ПРОИЗВОДСТВЕННОЕ ЗАДАНИЕ
Цех Парашковой металлургии
Фамилия рабочего Шумов В.В разряд__________________ Профессия Фрезеровщик
Дата11.01.2010 Срок исполнения29,01,2010 Наименована операции Фрезеровка
деталей
Таблица
|
№ заказа
|
№ чертежа
|
Наименование детали
|
Норма выработки.мин.
|
Заказано
|
Факт. выполн.
|
Брак
|
№ акта
|
Приемка
|
|
|
|
|
Кол-во дет.
|
Кол-во дет.
|
|
|
Дата
|
ОТК
|
Подпись контролера
|
|
1
|
35
|
А
|
32
|
300
|
300
|
-
|
1
|
29,01,2010
|
|
|
|
2
|
47
|
Б
|
17
|
200
|
200
|
-
|
2
|
29,01,2010
|
|
|
|
|
|
|
|
|
|
|
|
|
|
|
|
|
|
|
|
|
|
|
|
|
|
|
|
|
|
|
|
|
|
|
|
|
|
|
|
|
|
|
|
|
|
|
|
|
|
|
|
|
|
|
|
|
|
Мастер__________________________
Нормеровщик______________________________
Начальник цеха__________________________
РАСЧЕТ ЗАРАБОТНОЙ ПЛАТЫ
|
№
|
Ф.И.О
|
Должность
|
оклад
|
Количество отработанных
дней
|
Оклад за отработанное время
|
премия
|
Больничный. Отпуск
|
итог
|
|
1
|
Кавалев Н.А.
|
Начальник цеха
|
35000
|
15
|
35000
|
15750
|
-
|
50750
|
|
2
|
Васильев В.А.
|
Зам. нач. цеха
|
33000
|
13
|
28600
|
12870
|
-
|
41470
|
|
3
|
Варчев Д.А.
|
Механик цеха
|
30000
|
1
|
2000
|
600
|
16812,46
|
19412,46
|
|
4
|
Карашан А.В.
|
Нормировщица
|
29000
|
10
|
19333,33
|
5799,99
|
4547,96
|
29681,28
|
|
5
|
|
|
|
|
|
|
|
|
|
6
|
|
|
|
|
|
|
|
|
|
7
|
|
|
|
|
|
|
|
|
|
8
|
|
|
|
|
|
|
|
|
|
9
|
|
|
|
|
|
|
|
РАСЧЕТ ЗАРОБОТНОЙ ПЛАТЫ
Месяц январь год2010г
|
№
|
Ф.И.О.
|
Должность разряд
|
Общее количество
отработанных часов за месяц
|
Часы в рабочее время
|
Сумма руб.
|
Переработка в рабочее время
дни (часах)
|
Переработка в выходные дни
часах
|
Доплата
|
премия
|
Совмещение
|
Итог калинки
|
|
1
|
2
|
3
|
45
|
6
|
7
|
8
|
9
|
10
|
12
|
13
|
14
|
|
1
|
Ермилов И.К.
|
Сл.-ин 5 р.
|
120
|
120
|
10262
|
-
|
-
|
6500
|
5028,72
|
-
|
21790,72
|
|
2
|
Новиков К.Э.
|
Сл-рем 4 р
|
120
|
9016,80
|
375,70
|
-
|
4895,53
|
4286,40
|
-
|
18574,43
|
|
3
|
Иванов И.К.
|
Инструмен
|
120
|
120
|
11082
|
-
|
-
|
6758,82
|
5352,24
|
4000
|
27193,06
|
|
4
|
Иванова Н.Б.
|
Уборщица
|
120
|
120
|
7858,80
|
-
|
-
|
-
|
-
|
-
|
7858,80
|
|
Итог
|
|
|
|
|
|
|
|
|
|
75417,01
|