Социальная психология реабилитации подростков с отклоняющимся поведением

  • Вид работы:
    Дипломная (ВКР)
  • Предмет:
    Психология
  • Язык:
    Русский
    ,
    Формат файла:
    MS Word
    824,21 Кб
  • Опубликовано:
    2014-01-03
Вы можете узнать стоимость помощи в написании студенческой работы.
Помощь в написании работы, которую точно примут!

Социальная психология реабилитации подростков с отклоняющимся поведением

Введение

социальный психологический подросток агрессия

Напряжённая, неустойчивая экономическая, политическая и социально-психологическая ситуация, сложившаяся в настоящее время в обществе, обуславливает рост различных отклонений в личностном развитии и поведении детей и подростков. Среди них особую тревогу вызывают не только прогрессирующая отчужденность, повышенная тревожность, духовная опустошенность, но жестокость и агрессивность. Наиболее остро этот процесс проявляется на рубеже перехода ребенка из детства во взрослое состояние - в подростковом возрасте.

В обществе есть согласие по отношению к преступным и противоправным деяниям, суицидам, наркозависимости, алкоголизму и пьянству. Ввиду общепризнанности разрушительности таких явлений как для личности, так и для общества, в науке и практике выработаны определенные подходы и методы работы с людьми с отклоняющимся, девиантным поведением. Социально-психологические знания и методы позволяют реадаптировать, ресоциаоизировать таких людей, произвести коррекцию их социального поведения.

Особую проблему составляет девиантное поведение подростков, так как оно требует особого подхода к его профилактике и коррекции в связи с возрастными особенностями личности подростка и особой роли групп и сообществ в его жизни. Переход в подростковый возраст знаменуется кардинальными изменениями в структуре личности ребенка из-за качественного сдвига в самосознании.

Социальное развитие, которое приводит к образованию личности, приобретает в самосознании опору для своего дальнейшего развития. Ведущей деятельностью подростков, в рамках которой происходит взросление, признается деятельность общения. Для подростков характерно группирование, и связанное с ним общение в группе. Микросреда, в которой вращается современный подросток, весьма неблагоприятна. Он сталкивается в той или иной мере с различными формами отклоняющегося поведения во дворе, в общественных местах, а так же в школе и даже дома (в семье).

Агрессия и родственные формы поведения у детей и подростков являются важнейшими проблемами не только для врачей, педагогов и психологов, но и для общества в целом. Актуальность темы несомненна, поскольку число детей и подростков с таким поведением стремительно растет. Это вызвано суммой целого ряда неблагоприятных факторов:

- ухудшение социальных условий жизни детей и подростков;

кризисом семейного воспитания;

невнимание школы к нервно-психическому состоянию детей;

увеличение доли патологических родов, осталяющих последствия в виде повреждений головного мозга ребенка;

средства массовой информации, кино и видеоиндустрия, регулярно пропагандирующая культ насилия.

Никакое другое поведение так не раздражает взрослых и не дезаптирует детей и подростков, как агрессивное. Агрессивность детей и подростков проявляется в широком диапазоне от резких высказываний до физических действий, являя собой тот редкий случай, когда подросток вызывает вместо сочувствия всеобщее раздражение и нередко - ответную агрессию, даже со стороны специалистов.

Особенно неблагоприятной обстановкой, приводящей к появлению отклонений в сфере морали и поведения, является городская среда, с ее анонимностью, безличным характером взаимоотношений между людьми, с большей степенью свободы, с обширным ассортиментом отрицательно влияющих экономических, социальных и культурных факторов. Освобождение от традиционных норм, ценностей, отсутствие твёрдых образцов поведения и моральных границ, ослабление социального контроля способствуют росту отклоняющегося и саморазрушающего поведения в подростковой среде. М.А. Галагузова выделяет биологические, психологические, социально-педагогические, социально-экономические, морально-этические факторы, обуславливающие девиантное поведение несовершеннолетних.

Эти группы факторов оказывают существенное влияние на возникновение отклоняющегося поведения подростков и их реабилитацию .

Отсюда возникает общественная и научная необходимость изучения социально-психологических факторов и условий, влияющих на формирования поведения в различных сферах жизни подрастающего человека и, особенно, в семье. Это и объясняет актуальность выбранной темы дипломного исследования.

Проблемой девиантного поведения занимаются психологи, педагоги, медицинские и социальные работники и т.д. Такие ученые как М.И. Рожков, С.А. Беличева, С.Ю. Бородулина, М.А. Галагузова, Р.В. Овчарова, М. Раттер, Л.Н. Анисимов, А.Е. Личко, Б.Н. Алмазов, А.И. Захаров и др.

В современном мире все больше растет понимание роли семьи, как определяющей не только развитие ребенка, но и в конечном итоге развитие всего общества.

Взаимодействие ребенка с родителями является опытом взаимодействия с окружающим миром, то этот опыт закрепляется и формирует определенные модели поведения с другими людьми, которые передаются из поколения в поколение.

Причем в каждом обществе складывается определенная культура взаимодействия и взаимоотношений между родителями и детьми, возникают социальные стереотипы, определенные установки и взгляды на воспитание в семье, поэтому не будет преувеличением сказать, что цивилизованность общества определяется не только отношением к женщинам, но и отношением к детям.

В выпускной квалификационной работе проведено исследование стилей родительского отношения и их влияние на индекс агрессивности подростков с отклоняющимся поведением. Тема дипломной работы актуальна в развивающемся обществе, так как проблема охраны психического здоровья подрастающего поколения тесно взаимосвязана с социально-психологическими условиями реабилитации подростков с отклоняющимся поведением.

К сожалению, ускоренный темп современной жизни, ее урбанизация наряду с постоянно повышающейся ответственностью и жесткостью социально ролевых предписаний, неблагоприятными тенденциями в социально-психологической динамике развития семьи, недостаток нравственно-этических начал в отношениях взрослых, низкая социально-психологическая культура общения приводят к нарушениям отношений между родителями и детьми. Одностороннее доминирование матери приводит к снижению роли отца в семье, и он не способен своевременно разрешать личностные проблемы развития своих детей. Все это отрицательно влияет на воспитание детей и формирование их личности.

Особенности внутрисемейных отношений и стилей родительского воспитания изучали А.И. Захаров, А.С. Спиваковская, А.Я. Варга, Дружинин В.Н., Ю. Гиппенрейтер, М. Буянов, 3. Шнейдер Л.Б., Иванова М.В. и другие.

Объект исследования - семья подростка

Предмет исследования - стили родительского отношения

Цель выпускной квалификационной работы - исследование взаимосвязи стилей родительского отношения и индекса подростковой агрессивности

Задачи исследования:

1.  Провести обзор литературных источников по изучаемой проблеме.

2.       Изучить социально-психологические условия реабилитации

.        Рассмотреть особенности подростковой агрессии

.        Раскрыть особенности групповых условий реабилитации подростков

.        Провести эмпирическое исследование стилей родительского отношения и агрессивности подростков

.        Проанализировать полученные данные и установить связь между агрессивностью и стилями родительского отношения.

.        Разработать рекомендации педагогу-психологу.

Гипотеза: стили родительского отношения в неполной семье выступают как доминирующее социально-психологическое условие реабилитации подростков с отклоняющимся поведением в сравнении с их агрессивностью.

В исследовании использовались следующие методы:

1.       Тестирование старшеклассников. Для диагностики агрессивности был использован тест - опросник Басса-Дарки.

2.       Тестирование родителей. Для выявления стиля родительского отношения был использован опросник ОРО, А.Я. Варга и В.В. Столина.

3.       Для сравнения результатов и доказательства гипотезы был использован коэффициент значимости различий Манна-Уитни, коэффициент корреляции между шкалами Басса-Дарки и стилями родительских отношений.

4.       Метод теоретического изучения литературы.

Практическая значимость работы заключается в том, что полученные данные можно использовать в работе школьного психолога и социально реабилитационных центрах при разработке программы профилактики отклоняющегося поведения, а так же в разработке рекомендаций для родителей и учителей агрессивных подростков.

Структура работы состоит из введения, двух глав, включающих в себя по 3 параграфа, заключения, глоссария из 17 понятий, списка использованных источников и приложений.

 

1. Характеристика социально-психологических условий реабилитации

 

.1 Социально-психологические условия реабилитации подростков с отклоняющимся поведением


В социальной педагогике понятие отклоняющегося поведения включает в себя девиантное, делинквентное и криминогенное поведение.

Девиантное поведение - один из видов отклоняющегося поведения, связанный с нарушением соответствующих возрасту социальных норм и правил поведения, характерных для микросоциальных отношений (семейных, школьных) и малых половозрастных социальных групп. То есть одним словом антидисциплинированный тип поведения, основными проявлениями которого являются демонстрация, агрессия, самовольные и систематическое отклонение от учебной или трудовой деятельности, систематические уходы из дома, бродяжничество, пьянство и алкоголизм, наркотизация и связанные с ней асоциальные действия, антиобщественные действия социального характера, попытки суицида .

Существует множество классификаций причин отклоняющегося от норм поведения, зависящих от профессиональной принадлежности авторов и их теоретических предпочтений. Так, в частности М.А. Галагузова выделяет биологические, психологические, социально-педагогические, социально-экономические, морально-этические факторы, обуславливающие девиантное поведение несовершеннолетних .

Под биологическими факторами понимается существование неблагоприятных физиологических или анатомических особенностей организма ребенка, затрудняющих его социальную адаптацию. Изучение такого аспекта проблемы отклоняющегося поведения детей и подростков нашел отражение в работах А.Л. Гройсмана, В.П. Кащенко, В.Ф. Матвеева, Н.И. Фелинской и др. К ним относятся, во-первых, генетические, которые передаются по наследству, нарушения умственного развития, дефекты слуха и зрения, телесные пороки, повреждения нервной системы. Во-вторых - психофизиологические факторы, связанные с влиянием на организм человека психофизических нагрузок, конфликтных ситуаций, химического состава окружающей среды, новых видов энергии, приводящих к различным соматическим, аллергическим, токсическим заболеваниям. В третьих - физиологические факторы, включающие в себя дефекты речи, внешнюю непривлекательность, недостатки конституционно-соматического склада человека, которые в большинстве случаев вызывают негативное отношение со стороны окружающих и искажению межличностных отношений ребенка в среде сверстников, коллективе.

Психологические факторы включают в себя наличие у ребенка психопатологий и акцентуаций характера. Отражаются такие факторы в работах С.А. Беличевой, А.Е. Личко, С.А. Бадмаева. Эти отклонения выражаются в нервно-психических заболеваниях, психопатии, неврастении, пограничных состояниях, повышающих возбудимость нервной системы и обуславливающих негативные реакции подростка .

Социально-педагогические факторы отражаются в работах Л.М. Зюбина, М.А. Алемаскина, А.С. Белкина и др. и выражаются в дефекте школьного, семейного или общественного воспитания, в основе которых лежит половозрастные и индивидуальные особенности развития детей, приводящих к отклонениям в ранней социализации ребенка в период детства, которая приводит к учебной дезадаптации.

Важнейшим фактором отклонений в психосоциальном развитии ребенка является неблагополучие семьи. Существуют множество классификаций семей ведущих к формированию асоциального поведения несовершеннолетних, приведем одну из них. Б.Н. Алмазов выделяет четыре типа неблагополучных семей, способствующих появлению трудных детей.

Первый тип - семьи с недостатком воспитательных ресурсов. Это разрушенные или неполные семьи, семьи с недостаточно высоким общим уровнем развития родителей, семьи с низким материальным уровнем. Такие семьи не формируют сами по себе трудных детей, а только создают неблагоприятный фон для воспитания ребенка. Второй тип - конфликтные семьи, где родители не стремятся исправить недостатки своего характера либо где один из родителей нетерпим к другому. Нравственно неблагополучные семьи - третий тип неблагополучной семьи, где отмечается различия в мировоззрении и принципах организации семьи, стремления достичь своих целей в ущерб интересам других, использования чужого труда, стремление подчинить своей воле другого и т.д. Четвертый тип - педагогически некомпетентные семьи, в которых надуманные или устаревшие представления о ребенке заменяет реальную картину его развития .

Анализ семьи ее воздействий на психосоциальное развитие ребенка показывает, что у большой группы детей нарушены условия их ранней социализации. Часть из них пребывает в условиях стрессовых ситуаций с риском физического или психического насилия, ведущих к различным формам девиации. Другая часть вовлечена в преступную деятельность сформированием делинквентного или криминального поведения .

Социально экономические факторы причин девиантного поведения включают социальное неравенство, расслоение общества на богатых и бедных, обнищание значительной массы населения, безработицу, инфляцию, и как следствие, социальную напряженность. Под морально- этическими факторами понимается низкий морально-нравственный уровень общества, разрушения ценностей в первую очередь духовных, падению нравов, а также в нейтральном отношении общества к нейтральным проявлениям девиантного поведения.

Таким образом, девиантное поведение предстает как нормальная реакция на ненормальные для ребенка или группы подростков условия, в которых они оказались, и то же время как язык общения социумом, когда другие социально приемлемые способы исчерпали себя или недоступны .

Все это ведет к реабилитации подростков.

В универсальном энциклопедическом словаре под ред. А.П. Горкина реабилитация (от позднелат. Rehabilitatio - восстановление):

) восстановление в правах. В российском праве реабилитацией считается вынесение оправдательного приговора при пересмотре дела, постановление о прекращение уголовного дела за отсутствием состава преступления и т.д.

2) в медицинском смысле - комплекс мер, направленных на восстановление или компенсацию нарушенных функций организма и трудоспособности больных и инвалидов .

В психологическом словаре-справочнике понятие реабилитации определяется как понятие, используемое для обозначения процесса восстановления репутации, прежних прав, а также для обозначения различных мер возвращения больных и инвалидов к полезному труду.

Психологическая реабилитация - применение различных диагностических (лечебно-восстановительных и психотерапевтических) способов устранения последствий посттравматического стресса (после участия в войне, после землетрясения, аварии на Чернобыльской АС и др.) .

М.А. Галагузова рассматривает реабилитацию как систему мер, направленных не решение задач от привития элементарных навыков до интеграции человека в обществе. Реабилитация - это система мер, имеющих своей целью возвращение индивида к активной жизни в обществе и общественно-полезному труду .

Различают медицинскую, психологическую, профессиональную, социальную реабилитацию .

Медицинская реабилитация направлена на полное или частичное восстановление или компенсацию той или иной утраченной функции организма человека или на возможное замедление прогрессирующего заболевания.

Медицинская реабилитация включает вопросы лечебного, лечебно-диагностического и лечебно-профилактического плана.

Психологическая реабилитация направлена на психическую сферу личности: ускорение процесса психологической адаптации к изменениям, возникшим в результате болезни, профилактика и лечение развивающихся патологических психических изменений. Профессиональная реабилитация предусматривает обучение или переобучение личности доступными для него формам труда: работающим лицам - профилактика возможного снижения или потери трудоспособности; инвалидам - по возможности, восстановление трудоспособности; поиск рабочего места с облегченными условиями труда и сокращенным рабочим днем, определения трудоспособности, профессиональной гигиены, физиологии и психологии труда, трудового обучения переквалификации.

Социальная реабилитация - процесс восстановления или приобретения утраченных навыков, способности к жизнедеятельности в социальной среде охватывает вопросы влияния социальных факторов на развитие и течение болезни, социального обеспечения трудового и пенсионного законодательства, взаимоотношение больного и семьи, общества и производства. Социально-экономическая реабилитация - комплекс мероприятий, нацеленных на обеспечение индивида причитающимся выплатам, защиту его интересов и прав.

Социально-педагогическая реабилитация - система мер воспитательного характера, направленная на формирование у индивида личностных качеств, значимых для его жизнедеятельности, активной жизненной позиции, способствующей интеграции его в общество. Как правило, реабилитация проводиться в три этапа: диагностики; создания и реализации реабилитационных программ; постреабилитационная работа.

Диагностика предполагает определение аномалий в физическом или психическом развитии, а также необходимости проведения реабилитационных мероприятий. Следующим этапом реабилитации является создание и реализация реабилитационных программ. Реабилитационная программа создается индивидуально для каждого человека и включает основные элементы: цель, задачи, методы, формы, средства, этапы деятельности. Как правило, реабилитационная работа осуществляется в специализированных реабилитационных центрах, таких как, например, Центр реабилитации инвалидов, Социально-реабилитационные центр для несовершеннолетних, Кризисный центры для женщин и др. Постреабилитационная работа включает в себя помощь индивиду после его выхода из реабилитационного центра. Такая деятельность осуществляется путем патронажа и коррекции возникающих проблемных ситуаций

Таким образом, под коррекционно-реабилитационной работой мы понимаем процесс, систему мер, направленных на частичное или полное исправление или восстановления недостатков физического или психического развития, либо приобретенных в процессе онтогенеза.

К социально-психологическим условиям относится все то, что связанно с системой отношений людей, то есть групповыми явлениями, а именно: взаимоотношения, симпатии, антипатии, сотрудничество, конфликты, сплоченность, слаженность, социально-психологический климат, руководство, лидерство и прочее. Под взаимоотношениями мы понимаем личностно значимое образное, эмоциональное и интеллектуальное отражение людьми друг друга, которое представляет собой их внутреннее состояние. Приложение А.

Отрочество, подростковый возраст - период жизни от детства до юности в традиционной классификации (от 11-12 до 14-15лет). В этот самый короткий по астрономическому времени период подросток проходит великий путь в своём развитии: через внутренние конфликты с самим собой и с другими, через внешние срывы и восхождения он может обрести чувство личности. Однако общество жестоко инициирует его.

Известно, что на путь асоциального поведения человек становится обычно в период, когда он ещё не вполне сформировался как гражданин; иными словами, чаще это происходит в подростковом возрасте.

Одной из основных причин того, что подросток становится на противоправный путь, является разрыв его связей вследствие того, что окружающие, являющиеся для подростка конкретным его воплощением, оказываются по разным причинам недостаточно для него авторитетными или даже несправедливыми.

Другая причина - недостаточное чувство собственной принадлежности к обществу. Известно, что начало противоправной деятельности для некоторых подростков связанно с их запугиванием представителями уголовного мира, с которыми в той или иной ситуации случайно или неслучайно оказались в контакте. Именно в этот ответственный момент решающим оказывается то, в какой степени подросток осознает себя членом коллектива, общества в целом, в какой степени он чувствует за собой их поддержку, в какой мере он уверен в себе.

Ведь если сопоставить силу общества, всех общественных институтов со всеми их возможностями с уголовным миром, то станет ясно, что такое сопоставление всерьёз даже и нельзя сделать - настолько это несравнимые величины. И, тем не менее, в сознании отдельных подростков конкретная уголовная группа оказывается сильнее, личностно значимее, чем общество.

Многие подростки оказываются членами уголовных групп против своей воли и желания, и отсюда ясно, что именно социальная незрелость способствует возникновению правонарушений, а не просто отсутствие сформированных понятий о том, что такое «хорошо» и «плохо».

Недостаточная способность к восприятию себя членом коллектива, общества сказывается преимущественно в подростковом возрасте именно потому, что у подростков и в норме происходит разрыв некоторых социальных связей, формирование новых способов самоутверждения, создаются предпосылки к ухудшению взаимоотношений с окружающими.

Рост самосознания подростка, стремление занять престижное положение в группе сверстников ставят перед воспитателем сложные задачи. Ему надо знать, в какие неофициальные микрогруппы (в классе, вне школы) включен подросток, какую направленность, (социально отрицательную, социально положительную) и какие ценности имеет данная группа, какая группа для подростка является референтной (образцом на который он ориентируется), кто является вожаком группы и какую роль в ней играет он сам.

Престижность группы, как известно, сплошь и рядом ставится подростком выше авторитета родителей и учителей. Поэтому педагогические мероприятия могут быть действенными только при учёте первичного круга общения подростков в малых неофициальных группах.

В группах возникают своеобразные социально - психологические феномены: психическая индукция, конформизм, внушаемость, мнение, слухи, подражание и т. д. Подражает подросток чаще всего своему более колоритному или «удачливому» сверстнику, копирует с него формы поведения, которые по общечеловеческим понятиям могут быть отнюдь не желательными (курение, употребление спиртных напитков, ненормативная лексика и т. п.).

Таким образом, группа сверстников для подростка является той непосредственной макросоциальной средой, без которой он не может обойтись.

В группе равных по социальному статусу подростки находят эмоциональный настоящий контакт и понимание, потому что её членов волнуют одни и те же или близкие вопросы.

В общении друг с другом они удовлетворяют жажду в интересующей их информации. В группе сверстников подростку представляется возможным утверждаться в своих личностных качествах, в эффективности своей деятельности, сравнивать себя, с себе подобными.

Группа во многом диктует подростку формы поведения и формирует определенные позиции и отношение к себе и окружающим.

Поэтому рациональное воспитание подростка обязывает воспитателя знать те реальные взаимоотношения, которые складываются у подростка в неофициальных и официальных (секциях, кружках по интересам и т. д.) группах сверстников.

Взаимоотношения в группах старших подростков усложняется не только по содержанию и формам удовлетворения ранее имевшихся потребностей, но и в связи с включением их во взаимоотношения с противоположным полом, в связи, с чем развиваются специфические поло - возрастные поведенческие реакции.

Формирующиеся половые влечения, как правило, порождают ряд трудных для подростка задач, и в частности, усложняется общение

Общение - это такое взаимодействие между людьми, в процессе которого развиваются, проявляются и формируются их межличностные отношения. Появляющееся в отрочестве чувство взрослости толкает подростка к тому, что бы, освоить новые для себя «взрослые» виды взаимоотношений.

Этому естественно, способствуют телесное бурное развитие и, следовательно, идентификация подростка с взрослыми.

Отмеченные факторы существенно влияют на изменения отношений между мальчиками и девочками: они начинают проявлять интерес друг к другу как к представителю другого пола.

Бездумная «смелость» в обращении мальчиков к девочкам или стремление «не замечать» их сменяется, раздумьем и казалось бы неожиданно, робостью.

Теперь по - новому, воспринимается и понимается объект внимания, соответственно должно перестраиваться и общение с ним. В этой связи подростку становится особенно важно, как относятся к нему другие.

С этим, прежде всего, связывается собственная внешность: в какой мере лицо, причёска, фигура, манера держать себя и др. соответствуют половой идентификации: «Я как мужчина», «Я как женщина». Особое значение в этой же связи придается личной привлекательности - это имеет первостепенное значение в глазах сверстников. Особенно тяжело переживаются рост, худоба, полнота и др.

Возникающий интерес к другому полу у младших подростков проявляется в начале в неадекватных формах. Так для мальчиков характерны такие формы обращения на себя внимания, как «задирание», приставание и даже болезненные действия. Девочки обычно осознают причины, таких действий и серьёзно не обижаются, в свою очередь, демонстрируя, что не замечают, игнорируют мальчиков. В целом мальчики также интуитивным вниманием относятся к этим проявлениям девочек. Позднее отношение усложняются.

Исчезает непосредственность в общении. Часто это выражается либо в демонстрации безразличного отношения к другому полу, либо в стеснительности при общении. В то же время отроки испытывают чувство напряжения от смутного чувства влюбленности к представителям противоположного пола.

Наступает этап, когда интерес к другому полу ещё более усиливается, однако внешне во взаимоотношениях мальчиков и девочек возникает большая изолированность.

На этом фоне проявляется интерес к устанавливающимся отношениям, к тому, кто кому нравится. У девочек этот интерес обычно возникает раньше, чем у мальчиков: о собственных симпатиях таинственно сообщается единственной подруге, но часто группе сверстниц.

Даже при взаимных симпатиях открытые дружеские отношения проявляются редко, так как для этого подросткам необходимо не только преодолеть собственную скованность, но и быть готовым противостоять насмешкам и поддразниванию со стороны сверстников. У старших подростков общение между мальчиками и девочками становится более открытым: в круг общения включаются подростки обоего пола, может быть интенсивной, как правило, ей придается очень большое значение. Отсутствие взаимности иногда становится причиной сильных негативных эмоций. Интерес отрока к сверстникам противоположного пола ведёт к увеличению возможности выделять и оценивать переживания и поступки другого, к развитию рефлексии и способности к идентификации.

Первоначальный интерес к другому, стремление к пониманию сверстника дают начало развитию восприятия людей вообще. Постепенное увеличение выделяемых в других личностных качеств и переживаний, способность к их оценке повышают возможность оценить самого себя. Непосредственной причиной для оценки своих переживаний может являться общение с привлекательным для себя сверстником другого пола.

В этом раннем юношеском возрасте наряду с дружбой у многих молодых людей возникают ещё более глубокое чувство - любовь. В отрочестве, как хорошо известно, общение со сверстниками приобретает совершенно исключительную значимость.

В отношениях исходного возрастного равенства подростки отрабатывают способы взаимоотношений, проходят особую школу социальных отношений. В своей среде, взаимодействуя друг с другом, подростки учатся рефлексии. Подросток теперь менее зависит от родителей, чем в детстве. Свои дела, планы, тайны он доверяет уже не родителям, а обретенному другу.

При этом в категорической форме отстаивает право на дружбу со своим сверстником, не терпит никаких обсуждений и комментариев по поводу не только недостатков, но и достоинств друга. В отношениях со сверстниками подросток стремится реализовать свою личность, определить свои возможности в общении.

Чтобы осуществлять эти стремления, ему нужны личная свобода и личная ответственность. И он отстаивает эту личную свободу как право на взрослость. Успехи в среде сверстников в отрочестве ценятся более всего. Однако здесь пристально контролируется то, как каждый отстаивает свою честь, как осуществляются отношения с точки зрения равенства и свободы каждого.

Здесь высоко ценятся верность, честность и караются предательство, измена, нарушение данного слова, эгоизм, жадность и т. п. При всей ориентации на утверждение себя среди сверстников подростки отличаются крайним конформизмом в подростковой группе. Один зависит от всех, стремится к сверстникам и подчас готов выполнить то, на что его подталкивает группа. Группа создает чувство «МЫ», которое поддерживает подростка и укрепляет его внутренние позиции.

Очень часто подростки для усиления этого «МЫ» прибегают к автономной групповой речи, к автономным невербальным знакам; в этом возрасте подростки начинают носить одного стиля и вида одежду, чтобы подчеркнуть свою причастность друг к другу.

Обособленные группы сверстников в подростковом возрасте становятся более устойчивыми, отношения в них между детьми начинают подчиняться более строгим правилам. Сходство интересов и проблем, которые волнуют подростков, возможность открыто их обсуждать, не опасаясь быть осмеянными и находясь в равных отношениях с товарищами, вот что делает атмосферу в таких группах более привлекательной для детей, чем сообщества взрослых людей.

Наряду с непосредственным интересом друг к другу, который характерен для общения младших школьников, у подростков два других вида отношений, слабо или почти не представленные в ранние периоды их развития: товарищеские (начало подросткового возраста) и дружеские (конец подросткового возраста). В старшем подростковом возрасте у детей встречаются уже три разных вида взаимоотношений, отличающихся друг от друга по степени близости, содержанию и тем функциям, которые они выполняют в жизни. Внешние, эпизодические «деловые» контакты служат удовлетворению сиюминутных интересов и потребностей, глубоко не товарищеских отношений способствует взаимообмену знаниями, умениями и навыками; устанавливающиеся дружеские связи позволяют решать некоторые вопросы эмоционально - личностного характера. Для того что бы завоевать друзей, привлечь к себе внимание товарищей, подросток старается сделать всё возможное; иногда ради этого он идет на прямое нарушение сложившихся социальных норм, на открытый конфликт со взрослыми.

На первом месте во взаимоотношениях подростков стоят товарищеские отношения. Атмосфера таких отношений базируется на «кодексе товарищества», который включает в себя уважение личностного достоинства другого человека, равенство, верность, честность, порядочность, готовность прийти на помощь. Особенно в подростковых группах осуждается эгоистичность, жадность, нарушение слова, измена товарищу, зазнайство, стремление командовать, нежелание считаться с мнением товарищей. Такое поведение в группах сверстников - подростков не только отвергается, но нередко вызывает ответные реакции по отношению к нарушителю, кодекса товарищества. Ему объявляют бойкот, отказывают в приеме в компанию в совместном участии, в каких-либо интересных делах.

В группах подростков обычно устанавливаются отношения лидерства. Личное внимание со стороны лидера особенно ценно для подростка, который не находится в центре внимания сверстников. Личной дружбой с лидером он всегда особенно дорожит и во что бы то ни стало стремиться ее завоевать. Не менее интересными для подростков становятся близкие друзья, для которых они сами могут выступать в качестве равноправных партнёров или лидеров.

Иногда симпатия к товарищу, желание дружить с ним являются причинами возникновения интереса к делу, которым занимается товарищ. В результате у подростка могут появляться новые познавательные интересы.

Дружба активизирует общение подростков, за разговорами на разные темы у них проходит много времени. Позднее, к концу подросткового возраста, появляется потребность в близком друге, возникают особые нравственные требования к дружеским взаимоотношениям: взаимная откровенность, отзывчивость и чуткость, умение хранить тайну. Ведь самое трудное в отрочестве - чувство одиночества, ненужности своим сверстникам. Семья как один из важнейших факторов социализации оказывает существенное влияние на формирование направленности поведения подростка, которая зависит от особенностей и уровней внутрисемейных взаимоотношений.

Подчёркивая актуальность изучения детско-родительских отношений, следует отметить, что антигуманные отношения, насилие над детьми, агрессия и жестокость сегодня проявляются во многих сферах нашей жизни.

Насилие над ребенком влечёт за собой тяжёлые моральные и психологические проблемы: постоянная боязнь оказаться объектом насилия в сфере непосредственного социального окружения перерастает в сильное психологическое напряжение, которое ведёт к стрессам, нервным срывам, снижению самооценки, становится дополнительным источником межличностных конфликтов, а также может являться причиной формирования различных нарушений поведения подростка .

Влияние родителей на развитие ребёнка очень велико. Дети, растущие в атмосфере любви и понимания, имеют меньше проблем со здоровьем, трудностей с обучением в школе, сложностей в общении со сверстниками, и наоборот, как правило, нарушение детско-родительских отношений ведёт к формированию различных психологических проблем и комплексов.

Нарушения внутрисемейных отношений приводит к формированию различных отклонений в физическом, психическом развитии, в эмоциональной и поведенческой сферах. Это не только наносит непоправимый вред здоровью ребёнка, травмирует его психику, тормозит развитие его личности, формирует различные нарушения поведения, но и влечёт за собой другие тяжёлые социальные последствия, такие как социальная дезадаптивность и инфантильность . Дефицит внимания к ребёнку приводит к ухудшению его успеваемости, нередко к агрессивному и асоциальному поведению как способу компенсации недостатка признания и любви со стороны взрослых. Это также проявляется в злобности, агрессивности, мрачности, замкнутости, а также в формировании вредных привычек (курение, алкоголизм, наркомания) и совершении противоправных действий. Нередко родители из лучших побуждений жёстко контролируют круг общения подростка, его свободное время, решают за него все возникающие проблемы, отказывают ребёнку в праве на собственное мнение, навязывая свой образ мыслей.

Тотальный контроль родителей и неблагоприятная семейная ситуация в целом вызывают естественный протест подростка, ведут к конфликтам, появлению суицидальных мыслей и намерений, уходам из дома, когда доминирующее влияние будет оказывать уже улица. Одной из наиболее распространённых форм нарушения поведения в подростковом возрасте является совершение противоправных действий как корыстного, так и насильственного типа.

В.Ф. Пирожков отмечает, что преступления несовершеннолетних отличаются по своему характеру от идентичных преступлений взрослых тем, что причиной этого являются механизмы взаимного криминального заражения, конформного поведения и группового давления.

Компенсацией недостатка семейных отношений для подростков становится участие в различных асоциальных группах под руководством старших товарищей, под влиянием и вместе с которыми они совершают преступления и противоправные действия .

Как известно, эмоциональным центром семьи, задающим тон в семейных отношениях, является чаще всего мать, женщина. Характер отношений матери и ребенка с первых дней и месяцев его жизни существенным образом определяет характер и судьбу уже взрослых детей. Особенно опасны авторитарность, жесткость, чрезмерное доминирование матери, которое в настоящее время нередко проявляется у многих женщин. Такого рода жесткое авторитарное поведение депривирует психическое развитие детей и чревато разными неприятными последствиями. В том случае, если у ребенка слабый тип нервной системы, это может привести к нервно-психическим заболеваниям. В случае же, когда у ребенка сильный тип нервной системы, доминантность, жесткость матери приводят к тяжким невосполнимым дефектам эмоциональной сферы, к эмоциональной невосприимчивости детей, отсутствию эмпатии, к агрессивности, что может привести к жестоким тяжким преступлениям .

С.А. Беличева выделяет следующие наиболее типичные, неправильно сложившиеся педагогические стили в функционально несостоятельных семьях, не справляющихся с воспитанием детей, которые приводят к формированию нарушений поведений у подростков :

попустительски-снисходительный стиль, когда родители не придают значения проступкам детей, не видят в них ничего страшного, считают, что все дети такие. Дети из таких семей страдают особенно тяжелыми дефектами морального сознания, они лживы и жестоки, весьма трудно поддаются перевоспитанию;

демонстративный стиль, когда родители, не стесняясь, всем и каждому жалуются на своего ребенка, рассказывают о его проступках, явно преувеличивая степень их опасности. Это приводит к утрате у ребенка стыдливости, чувства раскаяния за свои поступки, снимает внутренний контроль над своим поведением, а также происходит озлобление по отношению к родителям и остальным взрослым;

- педантично-подозрительный стиль, при котором родители не верят и не доверяют своим детям, подвергают их тотальному контролю, пытаются полностью изолировать от сверстников, друзей, стремятся абсолютно контролировать свободное время ребенка, круг его интересов, занятий, общения. Под влиянием этого ребёнок вырастает хмурым, озлобленным, не может испытывать ни к кому привязанности;

жестко-авторитарный стиль присущ родителям, злоупотребляющим физическими наказаниями. К такому стилю отношений больше склонен отец, стремящийся по всякому поводу применить силу в отношении ребёнка, считающий, что существует лишь один эффективный воспитательный прием: физическая расправа.

Дети обычно в подобных случаях вырастают агрессивными, жестокими, стремятся обижать слабых, маленьких, беззащитных;

- увещевательный стиль в противоположность жестко-авторитарному характеризуется тем, что родители проявляют по отношению к своим детям полную беспомощность, предпочитают увещевать, бесконечно уговаривать, объяснять, не применяя при этом никаких волевых воздействий и наказаний. Дети в таких семьях чувствуют себя безнаказанными, и в итоге - садятся на голову родителям и другим взрослым;

отстраненно-равнодушный стиль возникает в семьях, где родители, в частности мать, поглощена устройством своей личной жизни. Выйдя вторично замуж, мать не находит ни времени, ни душевных сил для своих детей от первого брака, равнодушна как к самим детям, так и к их поступкам. Дети предоставленые самим себе, чувствуют себя лишними, стремятся меньше бывать дома, с болью воспринимают равнодушно-отстраненное отношение матери.

Такие подростки с благодарностью воспринимают заинтересованное, доброжелательное отношение со стороны старших, в роли которых зачастую выступают лидеры различных асоциальных групп. Воспитание по типу кумир семьи часто встречается по отношению к поздним детям, когда долгожданный ребенок наконец-то рождается у немолодых родителей или одинокой женщины. В таких случаях на ребенка готовы молиться, все его просьбы и прихоти выполняются, формируется крайний эгоцентризм, эгоизм, первыми жертвами которого становятся сами же родители;

- непоследовательный стиль характеризуется тем, что у родителей не хватает выдержки, самообладания для осуществления последовательной воспитательной тактики в семье. Возникают резкие эмоциональные перепады в отношениях с детьми: от наказания, слез, ругани до умилительно-ласкательных проявлений, что приводит к потере родительского влияния на детей.

Подросток становится неуправляемым, непредсказуемым, пренебрегающим мнением старших и родителей. Наиболее практичной и точной классификацией родительского отношения, с нашей точки зрения, является классификация А.Я. Варги и В.В. Столина, которые в ходе многолетней консультационной работы дали описание наиболее обобщенных типов родительского отношения. А.Я. Варга и В.В. Столин дают следующее определение родительского отношения: это система разнообразных чувств по отношению к ребенку, поведенческих стереотипов, практикуемых в общении с ним, особенностей восприятия и понимания характера и личности ребенка, его поступков.

Авторы выделяют 5 типов родительского отношения к ребенку: .

.        «Принятие - отвержение».

.        «Кооперация».

.        «Симбиоз».

.        «Авторитарная гиперсоциализация».

.        «Маленький неудачник».

К семейным факторам формирования нарушений в поведении подростков относятся как некоторые социальные характеристики: (структурная неполнота семьи в силу различных обстоятельств, многодетность семьи, низкий материальный достаток), так и эмоциональное отвержение ребёнка родителями, господствующие в семье негативные нормы поведения, эмоциональный тон отношений между родителями, отчуждение и конфликтные отношения в семье, различные нарушения воспитательных приёмов и тактик родителями.

Господствующие в семье нормы поведения определяют и эмоциональный тон отношений между родителями и детьми: к большинству подростков из таких семей педагогические требования также предъявляются родителями в ссорах и скандалах. Принятые в семье образцы поведения переносятся и во внешнюю среду. Отсутствие надлежащих семейных контактов особенно пагубно для девочек. Во-первых, почти все отвергнутые семьей девочки слишком рано начинают половую жизнь, становятся легкой сексуальной добычей более взрослых молодых людей, быстро деморализуются, их интимные связи приобретают беспорядочный характер. Во-вторых, оторвавшись от семьи, школы, выйдя за пределы нормального человеческого общения, таким девушкам очень трудно, иногда и невозможно вернуться к обычной жизни, завоевать уважение окружающих .

Исследователи выделяют следующие психологические особенности внутрисемейных отношений у подростков с различными нарушениями поведения:

) неустойчивость воспитания, выражающаяся в колебании между гипопротекцией и гиперпротекцией;

) предпочтение в подростке детских качеств, стремление игнорировать взросление детей и способствовать развитию непосредственности, наивности, игривости, то есть желание затормозить социализацию ребенка;

) проекция на подростка собственных нежелательных качеств, когда родитель в подростке как бы видит черты собственного характера, которые чувствует, но не признает в самом себе;

) вынесение конфликта между супругами в сферу воспитания, когда ребенок становится жертвой конфликтующих родителей, которые, манипулируя ребенком, пытаются доказать свою правоту противной стороне;

) нарушения супружеских отношений между родителями;

) неразвитость родительских чувств, когда родители предпочитают не иметь дело с ребенком, плохо переносят его присутствие, поверхностно относятся к интересам и потребностям;

) воспитательная неуверенность родителя, когда он идет на поводу у ребенка, уступая и потакая ему во всем.

Во взрослой жизни последствия насилия проявляются в форме психосоматических заболеваний, различных злоупотреблений (наркотиками, алкоголем, лекарственными препаратами), различных нарушений, связанных с неприятием своего тела.

Насилие, пережитое в детстве, может приводить к долгосрочным последствиям, зачастую влияющим на всю дальнейшую жизнь. Оно может способствовать формированию специфических семейных отношений, особых жизненных сценариев. Люди, которые подвергались насилию в детстве, обычно приобретают склонность к агрессии и проявлению насилия в своей семье по отношению к близким.

Семья выполняет важные функции в жизнедеятельности индивида. Отсутствие семьи либо одного из родителей, нарушения внутрисемейного взаимодействия родителя и ребёнка, распространённость негативных форм поведения (алкоголизм, наркотизация, судимость родителей) являются факторами, повышающими восприимчивость личности к негативным воздействиям. Поэтому в профилактическом плане неизбежно встает задача не только выявления неблагополучных семей, но и коррекции внутрисемейных отношений.

Из выше сказанного следует, что период отрочества для подростка является периодом сложных изменений, перестроения общения с взрослыми и сверстниками, преображается и подстраивается под общество его психика, сильно изменяется его внутренний мир, он начинает осознавать, что он личность, что он часть окружающего его общества. И у него есть свои права и обязанности, он так или иначе принимает ценности, и нормы поведения общества в котором он живет. Подросток приходит к целостному пониманию собственного внутреннего «Я». Отрочество благодаря потребности познать себя и стремлению открыть через постоянные рефлексии свою ускользающую сущность лишает подростка спокойной душевной жизни.

.2 Особенности подростковой агрессии

Агрессивность - кратковременное эмоциональное состояние или черта характера человека. Характер агрессивного поведения во многом определяется возрастными особенностями. Приложение Б.

Каждый возрастной этап имеет специфическую ситуацию развития и выдвигает определенные требования к личности. Адаптация в возрастным требованиям нередко сопровождается различными проявлениями агрессивного поведения. Кризисные, переходные, периоды сопряжены с неудовлетворенностью своим положением, протестным поведением, капризностью и неуровновешенностью. Специфической особенностью агрессивного поведения в подростковом возрасте является его зависимость от группы сверстников на фоне крушения авторитета взрослых. В данном возрасте быть агрессивным часто означает «казаться или быть сильным».

В отдельных случаях инициаторами агрессивного поведения могут быть отдельные подростки-аутсайдеры, дезадаптированные в силу различных причин и предпринимающие попытки самоутвердится с помощью агрессии. О.И. Шляхтина показала, что агрессивность подростка определяется его статусом в группе . Наиболее высокий уровень агрессии наблюдается у лидеров и отверженных. Лидеры с помощью агрессивных действий укрепляют свое первенство, а отверженные группой проявляют неудовлетворенность своим положением. Таким образом, отрочество является периодом острого кризиса взросления и часто сопровождается рискованным поведением и девиациями.

Можно заключить, что агрессивное поведение для подросткового возраста - достаточно обычное явление. Более того, в процессе социализации подростка агрессивное поведение имеет ряд важных функций. В норме оно освобождает от страха, помогает отстаивать свои интересы, защищает от внешней угрозы, способствует адаптации. В связи с этим можно говорить о двух видах проявления подростковой агрессии - «доброкачественно-адаптивной» и «деструктивно-дезадаптивной.

1.3 Особенности групповых условий реабилитации подростков


При работе с дезадаптированными подростками надо учитывать, что наряду с некоторыми общими методическими принципами, на основе которых проводятся групповая работа и социально-психологические тренинги, работа с этой категорией имеет некоторую самостоятельную специфику, которая должна быть учтена при организации и проведении тренингов.

Поэтому можно выделить условия, влияющие на эффективность групповой коррекционной работы с указанной категорией подростков: начальный этап в изучении каждой темы должен быть посвящен формированию мотивации подростков.

Обычно он занимает больше времени с дезадаптированными подростками, чем с благополучными; использование на начальном этапе мотивации таких элементов, которые сильно влияют на эмоциональное переживание участников, «цепляют» значимое в их жизни.

Работа выстраивается по следующему плану:

). Мотивация на изучение темы;

). Выявление исходного уровня знаний по теме;

). Подача новой информации по изучаемой теме;

). Апробация полученных навыков в практических упражнениях;

). Рефлексия - выведение участников на осознание проделанной ими работы, ее значение для них.

Групповая психокоррекция, по мнению М.И. Рожкова, часто имеет место в связи с тем, что: подростковые реакции группирования предполагают устойчивую работу именно в группе; в группе подросток может себя чувствовать более свободно; в группе легче создать атмосферу доверия; в группе сверстников подросток может рассказать о своих переживаниях, почувствовать, что он не одинок; в группе подросток может обрести новых друзей, повысить самооценку, разрешить свои проблемы; в группе сверстников подросток может опробовать новые модели поведения, не боясь осуждения и неудачи . Приложение В.

Группы могут быть постоянно действующими (1-2 раза в неделю по 1,5 ч.) или в течение 2-6 мес., открытыми и закрытыми. По содержанию группы М.И. Рожков выделяет :

1)   психодинамические группы, целью которых является создание атмосферы доверия и понимания, осознание собственных проблем, повышение самооценки, раскрытия творческого потенциала;

2)   психодраматическая группа, целью которой является разрешение психодраматического опыта через психодраму и выработка иных способов поведения. Такая группа, как правило, состоит из 10 человек, занятия проводятся 1,5 мес., 2-3 раза в неделю;

3)   группа трансактного анализа, направленная на осознание социальных взаимодействий и выработку более конструктивного общения в семье и социуме, создание отношение Родитель - Ребенок - Взрослый, избегание «игр» жизни и выработку партнерских отношений в общении;

4)   группы ролевого тренинга, направленные на отработку ролевого общения в ситуации со взрослыми и сверстниками, возможность изменить свою роль;

5)   группа общения, направленная на формирование бесконфликтного общения, способов адаптации в коллективе, гибкой тактики взаимодействия;

6)   группы арт-терапии с использованием рисования, лепки, танца, движения, масок, направленные на раскрытие творческого потенциала личности.

Особенно актуальной для детей, является игровая психотерапия и сказкотерапия, где ребенок может освободиться от обид, страхов, злобы, агрессии, усвоить новые навыки общения и взаимодействия, научиться разрешать конфликтные ситуации. При этом используется как спонтанная, так и управляемая игра. Таким образом, в социальной педагогике понятие отклоняющегося поведения включает в себя девиантное, делинквентное и криминогенное поведение. Девиантное поведение - один из видов отклоняющегося поведения, связанный с нарушением соответствующих возрасту социальных норм и правил поведения, характерных для микросоциальных отношений (семейных, школьных) и малых половозрастных социальных групп. М.А. Галагузова выделяет биологические, психологические, социально-педагогические, социально-экономические, морально-этические факторы, обуславливающие девиантное поведение несовершеннолетних.

К социально-психологическим условиям относится все то, что связанно с системой отношений людей, то есть групповыми явлениями, а именно: взаимоотношения: симпатии, антипатии, сотрудничество, конфликты, сплоченность; слаженность; социально-психологический климат (атмосфера); руководство; лидерство и прочее. Важным социально-психологическим условием реабилитации подростков являются внутрисемейные отношения. Семья как один из важнейших факторов социализации оказывает существенное влияние на формирование направленности поведения подростка, которая зависит от особенностей и уровней внутрисемейных взаимоотношений и стилей родительского воспитания. Реабилитация - это система мер, имеющих своей целью возвращение индивида к активной жизни в обществе и общественно-полезному труду.

Подводя итог всего вышеизложенного мы можем сделать следующие выводы:

подростковый возраст - один из самых трудных периодов возростного развития;

трудности в общении с подростками обусловлены психологическими особенностями возраста, повышенной возбудимостью, относительной неустойчивостью нервной системы, быстро протекающими изменениями в организме, переоценкой возможностей, самоуверенностью;

агрессивные действия подростка выступают в качестве средства достижения цели, способа психологической разрядки, способа удовлетворения потребностей в самореализации и самоутверждении;

система взаимоотношений подростка с социальной средой определяет направленность его развития.

 

2. Исследования стилей родительского воспитания и агрессивности подростков

 

.1 Теоретические подходы к понятию «трудные» дети


От того, с какими социальными образцами, нормами, установками и ожиданиями сталкивается подросток, во многом зависит становление будущего члена общества. Вот почему так важно всемерное внимание общества к жизнедеятельности несовершеннолетних. Неуспеваемость, семейные конфликты, праздность, обстановка интеллектуально-эмоциональной недостаточности, несформированность полезных интересов подростков потенциально опасны для общества.

Современные подростки более прагматичны, для них резко возросла значимость материальных ценностей, а для различных категорий трудных подростков характерно отсутствие жизненных целей, обеднение, сужение и деформация временной перспективы. Ценности подросткового социума могут быть негативистскими и выражаться в отрицании социально-одобряемых взрослых норм. В связи с этим очевидно, что для нормальной социализации у подростков должны быть сформированы такие идеалы, ценности и жизненные цели, которые способствовали бы позитивному развитию личности.

По мнению А.С. Выготского, патология подросткового периода не является фатальной, она обуславливается не столько теми перестройками, которые происходят в физических и нервно-психических сферах подростка, сколько аномальными условиями его предшествующего воспитания и развития. Избыток или недостаток внимания к нему со стороны родителей, неправильное воспитание вообще - вот что подготавливает почву для трудностей .

Существуют подростки, поведение и развитие которых отклоняются от нормы, поэтому их называют «трудными» или трудновоспитуемыми. Под трудновоспитуемостью понимается сопротивление педагогическим воздействиям, которое может быть обусловлено самыми разнообразными причинами, связанными с усвоением некоторых требований и норм в процессе обучения и воспитания.

«Трудный» характер - распространенное явление в подростковом возрасте. Проблема работы с «трудными» подростками в современных условиях приобретает особую актуальность, что обусловлено динамикой процессов, происходящих в обществе, разнообразием трудностей, с которыми приходится сталкиваться молодежи, неумение их преодолевать. Это приводит к возникновению отклонений в поведении и обозначается различной терминологией: «трудные» дети, трудновоспитуемые, дезадаптированные, подростки с девиантным поведением. В.Г.Степанов выделяет три существенных признака, составляющих содержание понятия «трудные» дети:

1. Наличие у несовершеннолетних отклоняющегося от нормы поведения.

.Несовершеннолетние, нарушения поведения которых, нелегко исправляются, корригируются.

. Нуждающиеся в индивидуальном подходе .

Самые разные нарушения поведения, делающие подростка «трудным», в его жизни играют различные роли: враньем подростки спасаются от контроля; хамством и криком обороняются от агрессивных родителей; хвастовством и фантазированием возмещают собственные настоящие и мнимые изъяны.

Суть перечисленного, по мнению Е. Вроно, состоит в том, что «трудное» поведение подростков является маскировкой их несчастливости. Отклоняющееся поведение помогает им соответствовать группе .

Нарушение социального поведения - феномен, часто встречающийся в процессе развития детей. Понятие - «девиантное поведение» относится к стойким и тяжелым отклонениям в поведении, которые происходят в противоречие с действующими в обществе принципами и социальными нормами. Многозначность использования понятия «девиантность», «девиантное поведение» связана с понятием «норма поведения». Девиантность, через понятие нормы, связано с понятием «социализация». Л.И. Божович отмечает, что нельзя рассматривать процесс социализации как усвоение только социально одобряемых «образцов» общественного человеческого опыта .

Такие «образцы» могут быть продуктом негативного опыта, представлять собой ложные взгляды и принципы, устаревшие традиции, отрицательные качества личности. Таким образом, девиантное, или отклоняющее, поведение личности может стать результатом усвоения негативного социального опыта в процессе социализации.

Девиантное поведение подростка можно рассматривать не только как нарушение социализации, но и как один из видов дезадаптации. Часто отклонения от здорового поведения являются внешней, видимой причиной конфликтов, под которой коренятся проблемы взаимоотношений в семье.

Нередко демонстративное поведение подростков имеет основной своей целью более или менее осознанное желание привлечь к себе внимание окружающих. Неуверенность родителей, неправильное воспитание ими детей обостряют взаимоотношения в семье и негативно влияют на развитие личности ребенка.

К сожалению, взрослые не только не пытаются выяснить гипертрофированные ориентации подростков на внешнее поведение, но нередко своими критическими замечаниями усиливают чувство их собственной неполноценности. Есть определенная специфика семейного воспитания в отличие от воспитания общественного.

По природе своей семейное воспитание основано на чувстве. Изначально семья, как правило, зиждется на чувстве любви, определяющем нравственную атмосферу этой социальной группы. Однако парадокс заключается в том, что эта изначально позитивная для развития ребенка гамма чувств может стать как позитивным, так и негативным фактором воспитания.

Здесь важна мера проявления чувств. Недополучивший родительской любви ребенок вырастает недоброжелательным, озлобленным, черствым к переживаниям других людей, дерзким, неуживчивым в коллективе сверстников, а иногда - замкнутым, неприкаянным, чрезмерно застенчивым. Выросший же в атмосфере чрезмерной любви, заласкивания, благоговения и почитания маленький человек рано развивает в себе черты эгоизма и эгоцентризма, изнеженности, избалованности, зазнайства и лицемерия.

Если в семье нет должной гармонии чувств, семейное воспитание становится неблагоприятным фактором формирования личности. Наиболее распространенными негативными факторами семейного воспитания, которые приходится учитывать в воспитательном процессе, следует считать:

неадекватное воздействие факторов материального порядка: бездуховность родителей, отсутствие стремления духовного развития детей;

авториторизм либо либерализм, безнаказанность и всепрощенчество;

безнравственность, наличие аморального стиля и тона отношений в семье;

отсутствие нормального психологического климата в семье;

фанатизм в любых его проявлениях;

безграмотность в психолого-педагогическом отношении.

Важность влияния семьи и семейных связей на становление и развитие личности подростка стала очевидной. Семейное и общественное воспитание взаимосвязаны, дополняют и могут, в определенных границах, даже заменять друг друга, но в целом они неравнозначны и ни при каких условиях не могут стать таковыми.

Влияние родителей особенно велико потому, что они являются для ребенка источником необходимого жизненного опыта.

Родители влияют на поведение подростка, поощряя или осуждая определенные типы поведения, а также применяя наказания или допуская приемлемую для себя степень свободы в поведении подростка.

Общение в семье позволяет подростку выработать собственные взгляды, нормы, установки и идеи. Развитие ребенка будет зависеть от того, насколько хорошие условия для общения предоставлены ему в семье.

Подросток в своем развитии проходит через определенные стадии, но и его родители, семья минуют один закономерный этап за другим, причем у каждого этапа свои специфические задачи, особенности и трудности. В этих условиях динамика роста и взаимоотношений во многом детерминируется такими факторами, как семейные ценности и стили воспитания.

Наблюдения за воспитанием детей в различных семьях позволили психологам составить описание различных типов воспитания . На основе наблюдений, можно выделить три типа детей, характер которых соответствует определенным методам воспитательной деятельности их родителей.

Авторитетные родители - инициативные, общительные, добрые дети.

Авторитарные родители - раздражительные, склонные, к конфликтам дети.

Снисходительные родители - импульсивные, агрессивные подростки.

Комплекс черт компетентных подростков соответствует наличию в родительском отношении всех четырех измерений - контроля, требовательности и социальной зрелости, общения и эмоциональной поддержки, т.е. оптимальным условием воспитания является сочетание высокой требовательности и контроля с демократичностью и принятием.

Огромное значение в плане становления агрессивного поведения ребенка в семье и вне ее, а также характера взаимоотношений с окружающими в зрелые годы оказывают следующие факторы семейного воспитания:

реакция родителей на не устраивающее их поведение ребенка;

характер отношений между родителями и детьми в целом;

уровень семейной гармонии или дисгармонии;

характер отношений с родными братьями и сестрами.

Также важным является фактор полной или неполной семьи. Также установлено, что если у подростков (независимо от того, к какой возрастной группе они принадлежат), плохие отношения с одним или обоими родителями, или дети чувствуют, что их в семье считают никуда не годными, ощущают безразличие к своим чувствам, а также отсутствие необходимой поддержки и заинтересованности их жизнью, то они с большой долей вероятности:

будут втянуты в преступную деятельность;

будут ополчаться на других детей;

будут вести себя агрессивно по отношению к своим родителям.

Исследование влияния воспитания и семейных отношений на становление агрессивного поведения детей показало, что существует прямая взаимосвязъ между наказаниями, выговорами, отсутствием поощрений, с одной стороны, и родителъскими установками на неприятие ребенка в целом с другой.

Агрессия - это способ выражения своего гнева, протеста. А как известно, гнев - это чувство вторичное. В его основе лежит боль, обида, страх, которые в свою очередь возникают от неудовлетворения базисной, фундаментальной человеческой потребности в любви и нужности другому человеку. В семьях агрессивных подростков разрушены эмоциональные привязанности между родителями и детьми.

Родители сами демонстрируют модели агрессивного поведения, а также поощряют в поведении своих детей агрессивные тенденции.

Основные воспитательные средства, к которым всегда прибегают родители агрессивных детей - это: физические наказания, угрозы. Родители агрессивных детей не пытаются разобраться в причинах деструктивного поведения своих детей, оставаясь равнодушными к их эмоциональному миру.

Согласно многочисленным исследованиям, проявление детской агрессивности является одной из наиболее распространенных форм нарушения поведения, с которыми приходится иметь дело взрослым - родителям и специалистам (воспитателям, психологам).

Одной из самых больших и распространенных ошибок взрослых (даже специалистов - в основном, педагогов) является стремление подавлять всяческие проявления детской агрессивности. Большинство взрослых отождествляют агрессию с насилием и стараются запрещать игры и фантазии с проявлениями враждебности, относя их к разряду патологии.

Дети, которых регулярно за это наказывают, тоже начинают считать такие мысли, эмоции и действия опасными и недостойными и затормаживают, подавляют их, со всеми вытекающими неприятными последствиями, т.к. подавленная агрессия не исчезает, а накапливается в бессознательном ребенка. Некоторые ученые рассматривают период с 13 до 16 лет как сплошной многолетний возрастной кризис.

Современный подросток может реализовать свою агрессию двумя способами:

)        Проявлять открыто, получая тычки и жизненный опыт. Следуя этим путем, он либо добивается авторитета, престижа и самореализации, либо ломается, спивается, наркотизируется, кончает жизнь самоубийством;

)        Прятать и подавлять, становиться послушным, но при этом утрачивать часть энергии, ничего особого в жизни не добиваться. Подавленная энергия в этом случае будет прорываться наружу в виде либо невроза, либо психосомотического заболевания.

Подростковый возраст - один из самых трудных периодов возрастного развития. Трудности в общении с подростками обусловлены психологическими особенностями возраста, повышенной возбудимостью, относительной неустойчивостью нервной системы, быстро протекающими изменениями в организме, завышенными притязаниями, переоценкой возможностей, самоуверенностью.

Агрессивные действия подростка выступают в качестве средства достижения цели, способа психологической разрядки, способа удовлетворения потребностей в самореализации и самоутверждении. Система взаимоотношений подростка с социальной средой определяет направленность его развития.

.2 Замысел и организация исследования

Исследование проводилось в с. Богучаны на базе МОУ СОШ № 4. В исследовании принимали участия 20 девочек подростков 13 - 15 лет учащихся 7 класса, находящиеся в социально-реабилитационном центре на дневном пребывании и их семьи. Основным условием являлся выбор 10 подростков характеризующихся негативным поведением, конфликтными межличностными отношениями и школьной неуспеваемостью и 10 подростков имеющих положительные характеристики по выбранным показателям. Тестировались подростки одного пола (девочки), воспитывающиеся в равных внутрисемейных условиях (неполные семьи). Для проверки выдвигаемой гипотезы установлена цель исследования, которая является основной целью практической части работы - исследовать стили родительского отношения в сравнении с индексом агрессивности подростков. Работа состояла из трех этапов:

-       Первый этап - изучение психолого-педагогической литературы по исследуемой проблеме, подбор методов исследования;

-       Второй этап - сбор данных: выявление индекса агрессивности у подростков; выявление родительских отношений

-       Третий этап - обработка и анализ данных, полученных при изучении родительского отношения и агрессивности подростков.

На первом этапе производился подбор литературных источников и ознакомление с ними. Фиксировались главные идеи и интересные статьи.

На втором этапе для изучения уровня проявления агрессивности был использован метод тестирования (опросник Басса - Дарки). Опросник Басса - Дарки - одна из наиболее популярных в зарубежной психологии методик для исследования агрессии. Согласно известным представлениям, агрессия является одним из распространенных способов решения проблем, возникающих в сложных и трудных (фрустирующих) ситуациях, вызывающих психическую напряженность.

А. Бассом и А. Дарки был предложен опросник, состоящий из восьми субшкал, которые они считают важными показателями агрессии. Этот опросник широко применяется в зарубежной и отечественной практике. Опросник Басса-Дарки выявляет следующие формы агрессивных и враждебных реакций:

. Физическая агрессия (нападение) - использование физической силы против другого лица.

2. Косвенная агрессия - под этим термином понимают как агрессию, которая косвенно направлена на другое лицо, - злобные сплетни, шутки, так и агрессию, которая ни на кого не направлена, - взрыв ярости, проявляющийся в крике, топанье ногами, битье кулаками по столу и т.п. Эти взрывы характеризуются ненаправленностью и неупорядочностью.

. Склонность к раздражению - готовность к проявлению негативных чувств при малейшем возбуждении (вспыльчивость, грубость).

. Негативизм - оппозиционная форма поведения, направленная обычно против авторитета или руководства; это поведения может нарастать от пассивного сопротивления до активной борьбы против установившихся обычаев и законов.

5. Обида - зависть и ненависть к окружающим, обусловленные чувством горечи, гнева на весь мир за действительные или мнимые страдания.

. Подозрительность - недоверие и осторожность по отношению к людям, основанные на убеждении, что окружающие намерены причинить вред.

. Вербальная агрессия - выражение негативных чувств как через форму (крик, визг), так и через содержание словесных ответов (проклятия, угрозы).

. Чувство вины - выражает возможное убеждение субъекта в том, что он является плохим человеком, что поступает зло, а также ощущаемые им угрызения совести.

Опросник состоит из 75 утверждений, на который испытуемый отвечает "да" или "нет". По числу совпадений ответов респондентов с ключом подсчитываются индексы различных форм агрессивности и враждебных реакций (Приложение Г).

При составлении вопросника авторы пользовались следующими принципами:

. Вопрос может относиться только к одной форме агрессии.

. Вопросы сформулированы таким образом, чтобы в наибольшей степени ослабить влияние общественного одобрения ответа на вопрос. Ответы оцениваются по восьми шкалам, следующим образом:

1.            Физическая агрессия: «да» = 1, «нет» - 0: 1,25,31,41,48,55,62,68, «нет» = 1, «да» = 0:9,7

2.       Косвенная агрессия: «да» - 1, «нет» = 0:2, 10,18,34,42,56,63, «нет» = 1, «да» - 0: 26,49

3.       Раздражение: «да» = 1, «нет» = 0: 3,19,27,43,50,57,64,72, «нет» = 1, «да» =0: Н,35,69

4.       Негатевизм: «да» =1, «нет» = 0: 4,12,20,28, «нет» - 1, «да» = 0: 36

5.       Обида: «да» = 1, «нет» = 0: 5,13,21,29,37,44,51,58

.        Подозрительность: «да» = 1, «нет» = 0: 6,14,22,30,38,45,52,59, «нет»= 1, «да» = 0: 33, 66,74,75

.        Вербальная агрессия: «да» = 1, «нет» = 0: 7,15,23,31,46,53,60,71,73, «нет» - 1, «да» =0: 33,66,74,75

.        Чувство вины: «да» -1, «нет» =0: 8,16,24,32,40,47,54,61,67

Индекс враждебности включает в себя 5 и 6 шкалу, а индекс агрессивности (прямой или мотивационной) включает в себя шкалы 1, 3, 7. Нормой агрессивности является величина ее индекса, равная 21+4, а враждебности 6,5-7+3. При этом обращается внимание на возможность достижения определенной величины, показывающей степень проявления агрессивности.

Для исследования родительских отношений был использован тест - опросник родительского отношения к детям (А.Я. Варга, В.В. Столин); Тест - опросник родительского отношения (ОРО) представляет собой психодиагностический инструмент, ориентированный на выявление родительского отношения у лиц, обращающихся за психологической помощью по вопросам воспитания детей и общения с ними.

Родительское отношение понимается как система разнообразных чувств по отношению ребенку, поведенческих стереотипов практикуемых в общении с ним, особенностей воспитания и понимания характера и личности ребенка, его поступков.

Опросник состоит из 5 шкал.

1.  «Принятие - отвержение». Шкала отражает интегральное эмоциональное отношение к ребенку. Содержание одного полюса шкалы: родителю нравится ребенок таким, какой он есть. Родитель уважает индивидуальность ребенка, симпатизирует ему.

Родитель стремится проводить много времени вместе с ребенком, одобряет его интересы и планы. На другом полюсе шкалы: родитель воспитывает своего ребенка плохим, неприспособленным, неудачливым. Ему кажется, что ребенок не добьется успехов в жизни из-за низких способностей. По большей части родитель испытывает к ребенку злость, досаду, раздражение, обиду. Он не доверяет ребенку и не уважает его.

2.  «Кооперация» - социально желательный образ родительского отношения. Содержательно эта школа раскрывается так: родитель заинтересован в делах и планах ребенка, старается во всем помочь ребенку, сочувствует ему. Родитель высоко оценивает индивидуальные и творческие способности ребенка, испытывает чувство гордости за него. Он поощряет инициативу и самостоятельность ребенка, старается быть с ним на равных. Родитель доверяет ребенку, старается встать на его точку зрения в спорных вопросах.

3.       «Симбиоз» - Шкала отражает межличностную дистанцию общения с ребенком. При высоких баллах по этой шкале можно считать, что родитель стремится к симбиотическим отношениям с ребенком.

Содержательно эта тенденция описывается так - родитель ощущает себя с ребенком единым целым, стремится удовлетворить все потребности ребенка, оградить его от трудностей и неприятностей жизни.

Родитель постоянно ощущает тревогу за ребенка, ребенок кажется ему маленьким и беззащитным. Тревога родителя повышается, когда ребенок начинает автономизироваться в силу обстоятельств, так как по своей воле родитель не предоставляет ребенку самостоятельности никогда.

4.  «Авторитарная гиперсоциализация» - отражает форму и направление контроля за поведением ребенка. При высоком балле по этой шкале в родительском отношении данного родителя отчетливо просматривается авторитаризм. Родитель требует от ребенка безоговорочного поведения и дисциплины.

Он старается навязать ребенку во всем свою волю, не в состоянии встать на точку зрения. За проявления самостоятельности ребенка строго наказывают. Родитель пристально следит за социальными достижениями ребенка, его индивидуальными способностями, мыслями, чувствами.

5.  «Маленький неудачник» - отображает особенности восприятия и понимания ребенка родителем. При высоких значениях по этой шкале в родительском отношении данного родителя стремления инфантилизировать ребенка, приписать ему личную и социальную несовместимость. Родитель видит ребенка младшим по сравнению с реальным возвратом.

Интересы, увлечения, мысли чувства ребенка кажутся родителю детскими. Ребенок представляется не приспособленным, открытым для дурных влияний. Родитель не доверяет своему ребенку, досаду на его неспешность и неумелость. В связи с этим родитель старается оградить ребенка от трудности жизни и строго контролировать его действия. Опросник содержит 61 вопрос (Приложение Д).

Ключи к опроснику:

1)      Принятие - отвержение: 3, 4, 8, 10, 12, 14, 15, 16, 18, 20, 24, 26, 27, 29, 37, 38, 39, 40, 42, 43, 44, 45, 46, 47, 49, 52, 53, 55, 56, 60.

)        Образ социальной желательности поведения: 6, 9, 21, 25, 31, 35, 36.

)        Симбиоз: 1, 5, 7, 28, 32, 41, 58.

)        Авторитарная гиперсоциализация: 2, 19, 30, 48, 50, 57, 59.

)        «Маленький неудачник»: 9, 11, 13, 17, 22, 28, 54, 61.

При подсчете тестовых баллов по всем шкалам учитывается ответ «верно». Высокий тестовый балл по соответствующим шкалам интерпретируется как: отвержение; социальная желательность; симбиоз; гиперсоциализация; инфантилизация (инвалидизация).

Тестовые нормы проводятся в виде таблиц процентильных рангов тестовых баллов по соответствующим шкалам. На третьем этапе исследования устанавливалась связь между стилем родительского отношения и индексом агрессивности подростков с помощью корреляционного анализа данных.

Таковым был выбран коэффициент значимости различий Манна-Уитни. Расчеты проводились с помощью прикладной компьютерной программы SPSS Statistics 17.0

.3 Обработка и интерпретация полученных данных

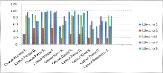
Анализ результатов исследования агрессивности у подростков 13-15 лет по тесту агрессивности Баса-Дарки позволяет констатировать что подростки, характеризующиеся отрицательно по выбранным показателям получили следующие результаты.

Таблица 1. - Сводная таблица результатов


Физ. агрес

Косвенн агрессия

Раздраж

Негат

Обида

Подозр

Верб. Агрес.

Чувст. вины

Индекс агресс


1

2

3

4

5

6

7

8

9

Ксения Е.

9

8

8

5

4

7

11

8

28

Люда Д

8

5

5

4

7

8

11

8

24

Рита К.

7

4

4

5

5

7

9

4

20

Влада Г

9

7

8

6

3

3

9

5

25

Катя К.

8

7

5

8

5

11

8

26

Даша Ч.

10

5

9

4

7

8

12

1

27

Лиза П.

9

8

7

5

8

9

10

8

27

Юля В.

8

5

4

3

5

8

10

8

23

Лиля П.

10

7

4

6

5

4

9

7

26

Виолетта Б.

9

7

9

5

7

9

10

9

26

Сумма

87

63

63

51

56

68

102

66

252

Средний бал

8,7

6,3

6,3

5,1

5,6

6,8

10,2

6,6

25,2


Рисунок 1 - Шкала проявления индексов агрессивности

Подростки, характеризующиеся положительно по межличностным отношениям, учебной деятельности и поведению, получили результаты другие

Таблица 2 - Сводная таблица результатов


Физическая агрессия

Косвеннаяагрессия

Раздражение

Негативизм

Обида

Подозрительность

Вербальная агрессия

Чувство вины

Индекс агрессивности


1

2

3

4

5

6

7

8

9

Катя С.

4

4

5

1

5

4

8

7

16

Яна М.

3

3

6

8

3

4

7

5

13

Вера Н.

2

5

8

2

3

2

6

3

14

Настя К

3

3

8

6

3

3

7

5

13

Оля Т

3

4

7

1

8

4

5

3

12

Надя П.

6

4

4

2

5

5

5

5

15

Катя Т.

4

5

7

3

6

6

7

6

16

СашаМ.

3

4

8

1

5

7

8

4

15

Марина П.

6

5

4

2

5

2

7

7

18

Лена Б.

6

3

4

2

6

6

7

6

16

Сумма

40

40

61

28

49

43

60

51

148

Средний балл

4,0

4,0

6,1

2,8

4,9

4,3

6,0

5,1

14,8


Рисунок 2 - Шкала проявления индексов

Исходя, из данных таблиц можно увидеть, что подростки, характеризующиеся положительно имеют меньший индекс агрессивности, чем подростки, характеризующиеся отрицательно.

Для большей наглядности представим это диаграммой по средним значениям агрессивности.

Рисунок 3 - Шкала средних значений агрессивности

По полученным данным мы разделили подростков на две группы 1 - неагрессивные подростки, 2 - агрессивные подростки.

Анализ результатов опроса родительского отношения.

Сначала были протестированы семьи, чьи подростки характеризуются с отрицательной стороны.

В семье Ксении Е. по сумме параметров наиболее выраженным является IV параметр - «авторитарная гиперсоциализация»

В семье Люды Д. - I параметр, «принятие - отвержение»

В семье Риты К. - V параметр, «маленький неудачник»

В семье Влады Г. - V параметр, «маленький неудачник»

В семье Кати К. - IV параметр, «авторитарная гиперсоциализация»

В семье Даши Ч. - V параметр, «маленький неудачник»

В семье Лизы П. - V параметр, «маленький неудачник»

В семье Юли В. - I параметр, «принятие - отвержение»

В семье Лили П. - IV параметр, «авторитарная гиперсоциализация»

В семье Виолетты Б. - III параметр, симбиоз.

Таблица 3 - Сводная таблица результатов


Шкала 1

Шкала 2

Шкала3

Шкала 4

Шкала 5


1

2

3

4

5

Семья Ксении Е.

31,01

31,19

86,63

95,76

79,25

Семья Люды Д.

90,50

48,82

86,63

69,30

70,25

Семья Риты К.

95,50

48,82

96,65

95,76

99,37

Семья Влады Г.

98,73

48,82

92,93

95,76

100

Семья Кати К.

53,79

19,22

57,96

83,79

70,26

СемьяДаши Ч.

95,50

31,19

86,63

83,79

99,37

Семья Лизы П.

89,17

31,19

86,63

53,87

93,04

Семья Юли В.

100

19,22

57,96

69,30

45,57

Семья Лили П.

53,79

19,22

57,96

83,79

70,26

Семья Виолетты Б.

68,35

19,22

86,63

53,87

84,81

Сумма

776,34

316,91

796,61

784,99

812,18

Средний бал

77.6

31,7

79,6

78,5

81,2








Рисунок 4 - Шкалы родительского отношения

Общий анализ:

По I параметру: «принятие - отвержение» - 2 семьи, 20%

По II параметру: «образ социальной желательности поведения» - 0 семей.

По III параметру: «симбиоз» - 1 семья, 10%

По IV параметру: «авторитарная гиперсоциализация» - 3 семьи, 30%

По V параметру: «маленький неудачник» -4 семьи, 40%

В исследованных нами семьях, родители в основном проявляют неадекватное отношение к детям. Это «маленький неудачник» и «авторитарная гиперсоциализация».

Результаты по опросу семей, чьи дети характеризуются положительно, показал следующее:

В семье Кати С. по сумме параметров наиболее выраженным является III параметр - «симбиоз»

В семье Яны М. - II параметр - образ социальной желательности поведения

В семье Веры Н. - I параметр - принятие - отвержения.

В семье Насти К. - III параметр, симбиоз.

В семье Оли Т. - II параметр, образ социальной желательности поведения.

В семье Нади П. - III параметр, симбиоз.

В семье Кати Т. - II параметр, образ социальной желательности поведения.

В семье Саши М. - II параметр, образ социальной желательности поведения.

В семье Марины П. - II параметр, образ социальной желательности поведения.

В семье Лены Б. - III параметр, симбиоз.

Таблица 4 - Сводная таблица результатов


Шкала 1

Шкала 2

Шкала 3

Шкала 4

Шкала 5


1

2

3

4

5

Семья Кати С.

90,60

96,65

53,87

93,04

Семья Яны М.

53,79

80,93

74,97

53,87

45,27

Семья Веры Н.

92,40

19,22

19,53

83,79

84,81

Семья Насти К.

53,79

48,82

74,97

32,13

45,57

Семья Оли Т.

53,79

80,93

74,97

69,30

45,27

Семья Нади П.

84,17

19,22

96,65

69,30

70,25

Семья Кати Т.

12,02

80,93

74,97

32,13

14,55

Семья Саши М.

53,79

80,93

57,96

69,30

45,57

Семья Марины П.

31,01

80,93

74,97

69,30

14,55

Семья Лены Б.

68,35

19,22

86,63

53,87

84,81

Сумма

610,51

530,35

732,27

586,86

543,69

Средний бал

61,05

53,03

73,23

58,68

54,37











Рисунок 5 - Шкалы родительского отношения

Общий анализ:

По I параметру: шкала «принятие-отвержение» - 1семья, 10%

По II параметру: образ социальной желательности поведения 5 семей, 50%

По III параметру: симбиоз - 4 семьи, 40%

По IV параметру: кооперация - 0 семей.

По V параметру: маленький неудачник - 0 семей.

Рисунок 6 - Сравнительная диаграмма семей отрицательных и положительных подростков

В исследованных нами семьях, родители в основном проявляют адекватное отношение к детям. Это образ социальной желательности поведения.

Полученные эмпирические данные были подвергнуты математической обработке статистической программы SPSS Statistics 17.0. Приложение Е

Был проведен сравнительный анализ между показателями 1 группы (неагрессивные подростки)) и 2 группой (агрессивные подростки) с использованием U - критерия Манна-Уитни. Рассмотрим результаты, полученные в результате опроса родительских отношений семей этих подростков. Математический метод U - критерий Манна-Уитни позволил нам обратить внимание на следующие первые три шкалы опросника родительского отношения, которые оказываются строго больше критического, и мы можем утверждать, что достоверность различий характеристик родительского отношения в 1 и 2 группе по статистическому критерию Манна-Уитни равна 95%. Две последние шкалы совпадают с уровнем значимости 0,05 по статистическому критерию.

Для исследования влияния стилей родительских отношений на проявление агрессивности подростков, был использован коэффициент корреляции между шкалами Басса-Дарки и стилями родительских отношений. Корреляционный анализ дает возможность точной количественной оценки степени согласованности изменения (варьирования) двух и более признаков.

Степень согласованности изменении характеризует теснота связи - абсолютная величина коэффициента корреляции. Наличие корреляции между двумя результатами, в сущности, означает, что при изменении одного результата, другой также изменяется - таким образом, между результатами существует, выявляется связь. Коэффициент корреляцеляции варьирует в диапазоне от -1 до +1.

Отрицательный коэффициент корреляции свидетельствует о разной направленности варьирования признаков: при изменении одного в сторону увеличения, другой уменьшается и обратно. При низких значениях коэффициента корреляции (не превышающей 0,2 при n < 30) корреляция, как правило, не является статистически значимой. Преимущество вычисления коэффициента корреляции состоит в том, что на величину корреляции не влияет, то в каких единицах измерения представлены признаки (недостаток метода - сложность математических вычислений).

Ниже мы приводим наглядное представление результатов корреляционного анализа использованных нами методик («Басса-Дарки», ОРО «Варга - Столина»)

Таблица 5 - Корреляционный анализ состояние агрессии по методике «Басса - Дарки»

X

Y

X2

Y2

x*y

 


1

2

3

4

5

 

1

20

20

400

400

400

 

2

17

15

289

225

255

 

3

24

6

576

36

144

 

4

18

11

324

121

198

 

5

16

14

256

196

224

 

6

15

14

225

196

210

 

7

18

17

324

289

306

 

8

16

17

256

289

272

9

22

7

484

49

154

10

21

12

441

144

252

11

18

15

324

225

270

12

18

10

324

100

180

13

24

16

576

256

384

14

11

8

121

64

88

15

7

9

49

81

63

16

18

8

324

64

144

17

19

17

361

289

323

18

12

22

144

484

264

19

25

13

625

169

325

339

251

 6423

 3677

 4456


Корреляционный анализ диагностики состояния агрессии по методике «Басса-Дарки» между подростками и их родителями производился через вычисления коэффициента корреляции Пирсона по формуле

∑x*∑y (1)

∑x*y- -------------

n

Rxy= ------------------------------------

( ∑х)2 (∑y)2

√[∑x2 - --------] * [∑y2 - ------]

N                          n

где х - показатели подростков

у - показатели родителей

n - количество испытуемых

∑ - сумма

R - коэффициент корреляции

339*251(2)

4456- --------------

19

Rxy= -------------------------------------- = - 0,06

(339)2 (251)2

√[6423 - -----] * [3677 - ------]

                           19

В результате корреляция агрессивности детей и агрессивности родителей равна - 0,06. Низкий процент корреляции с отрицательным значением свидетельствует о разной направленности варьирования признака у подростков и родителей в исследуемой группе.

Для большей наглядности изобразим это диаграммой:

Рисунок 7 - показатели агрессии родителей и подростков по методике «Басса-Дарки»

Можно сделать вывод о доминировании социально-психологических условий (стилей родительских отношений) в сравнении с агрессивностью подростка.

И на основе исследований сделаны следующие выводы:

1.       Агрессивность подростков находится в прямой зависимости от характера семейных отношений и педагогической позиции родителей. Под ней понимается система родительских ценностей и установок, которые определяют эмоциональное отношение родителей к ребенку и способы взаимодействия с ним.

2.       Неадекватное отношение родителей к подростку обуславливает его агрессивность, эмоциональный психологический дискомфорт и как следствие - отклоняющее поведение ребенка.

3.       Уровень развития личности подростка зависит и от создания родителями условий социализации тинейджеров.

В результате исследования мы достигли цели работы, доказав, гипотезу о том, что стили родительского отношения являются доминирующим социально-психологическим условием реабилитации подростков с отклоняющим поведением.

Заключение


В подростковом возрасте ребенок избавляется от детской зависимости и переходит к отношениям, которые основаны на взаимном доверии, уважении и относительном, но неуклонно растущем равенстве. В большинстве семей процесс проходит болезненно и воспринимается как вызывающее поведение.

В подростковом возрасте одним из видов отклоняющегося поведения является агрессивное поведение, нередко принимающее враждебную форму (драки, оскорбления). Для некоторых подростков участие в драках, утверждение себя с помощью кулаков является устоявшейся линией поведения.

Ситуация усугубляется нестабильностью общества, межличностными и межгрупповыми конфликтами. Снижается возраст проявления агрессивных действий. Всё чаще встречаются случаи агрессивного поведения у девочек.

На отклоняющие поведение подростков влияют такие факторы как: биологические, психологические, социально-педагогические, социально-экономические, морально-этические факторы, обуславливающие девиантное поведение несовершеннолетних.

Проблема проявления подростками агрессивности всегда была в той или иной степени актуальна для любого общества. Практика доказывает, что агрессия не относится к тем явлениям, которыми можно эффективно управлять на основе жизненного опыта и здравого смысла, а именно так пытаются поступать родители и педагоги при управлении агрессией сегодня.

Сколько - нибудь эффективное воздействие на агрессию может быть оказано в том случае, когда мы достаточно глубоко понимаем истинные причины возникновения агрессии, представляем закономерности ее развития и решения, для чего нужна помощь науки.

В последние годы научный интерес к проблемам подростковой агрессивности существенно возрос, но, к сожалению, работа большей частью заключает в себе теоретические рассуждения о ее механизмах и проявлениях.

Большое значение в плане становления агрессивного поведения подростка в семье и вне ее, а также характера взаимоотношений с окружающими в зрелые годы оказывают следующие факторы семейного воспитания (т.к. именно в семье подросток проходит первичную социализацию):

реакция родителей на неустаивающее их поведение подростка;

характер отношений между родителями и детьми в целом;

уровень семейной гармонии или дисгармонии;

характер отношений с родными братьями и сестрами;

плохие отношения с одним или обоими родителями;

ощущение подростком безразличия к своим чувствам;

отсутствие необходимой поддержки и заинтересованности жизнью подростка.

Семья как один из важнейших факторов социализации оказывает существенное влияние на формирование направленности поведения подростка, которая зависит от особенностей и стилей родительского отношения.

Агрессивные подростки осуждаются и отвергаются взрослыми из-за непонимания и незнания причин их агрессивного поведения, вызывая открытую неприязнь и неприятие в целом. Взаимодействие со взрослыми, готовыми понять и принять его, дает агрессивному подростку бесценный опыт, что взрослые бывают разными, а мир не только, что может положительно сказаться на базовом доверии подростка к людям и миру в целом.

Так как подросток находится в постоянно меняющихся условиях, то и реакция его психики на происходящее изменчива. Поэтому возрастает роль сознательности родителей в критическом отношении к себе зависит от педагогического уровня родителей, что сказывается на развитии и поведении подростка. К социально-психологическим условиям относится все то, что связанно с системой отношений людей, то есть групповыми явлениями, а именно: взаимоотношения: симпатии и антипатии, сотрудничество и конфликты, сплоченность, слаженность, социально-психологический климат, руководство, лидерство и прочее.

На наш взгляд главным социально - психологическим условием реабилитации являются внутрисемейные отношения. Одной из самых важных потребностей переходного возраста становится потребность в освобождении от контроля и опеки родителей, учителей, старших, а также от установленных ими правил и порядков. Как реакция на недопонимание со стороны взрослого человека у подростка возникают разные виды протеста, неподчинения, непослушания. Если взрослый осознает причину протеста со стороны подростка; то он берет на себя инициативу в перестройке взаимоотношений, и эта перестройка проходит бесконфликтно. В противном случае возникает серьезный внутренний и внешний конфликт.

Конфликты между подростками и взрослыми возникают по причине расхождения их мнений о правах и обязанностях детей и взрослых, взрослых и детей. Непосредственно на качество общения между взрослыми и подростками влияет стиль родительского общения и воспитания. Мы провели исследования стилей родительского отношения в сравнении с индексом агрессивности подростков.

Также изучив проблему детско-родительских отношений и опираясь на результаты исследования с учетом корреляционного анализа влияния особенностей поведения родителей на проявление агрессивности у подростков, можно сделать вывод, что выдвинутая нами гипотеза о проявлении подростковой агрессии как следствие внутрисемейного неблагополучия верна

В результате исследования мы достигли цели работы, доказав гипотезу о том, что стили родительского отношения являются доминирующим социально-психологическим условием реабилитации подростков с отклоняющим поведением.

Для успешной реабилитации используется групповой метод психокоррекции. Особенно актуальной для детей, по нашему мнению, являются тренинги, игровая психотерапия и сказкотерапия, где ребенок может освободиться от обид, страхов, злобы, агрессии, усвоить новые навыки общения и взаимодействия, научиться разрешать конфликтные ситуации. При этом используется как спонтанная, так и управляемая игра.

Одна из проблем отрицательного влияния родителей на подростка, это элементарная психологическая неграмотность современных родителей.

Данную проблему на наш взгляд отчасти можно было бы решить с помощью психологического просвещения взрослых, а так же с помощью специальных обучающих тренингов, проводимых в общеобразовательных учреждениях, в которых родителей информировали бы о психологических особенностях возрастных кризисов детей, стилях родительского воспитания, обучали способам взаимодействия с девиантными подростками и тому подобное.

Кроме этого одной из проблем до сих пор остается нехватка психологов и социальных педагогов в общеобразовательных учреждениях или большие нагрузки на одного психолога, который не в силах оказать всем психологические услуги.

В связи с этими проблемами остаются такие нерешенные вопросы как, несвоевременное выявление нуждающихся в социально-психологической помощи подростков и их реабилитации, а как следствие нарастающие психологические проблемы в семье.

Для предупреждения агрессивных поведенческих реакций различного происхождения существует достаточно широкий спектр различных возможностей. Для эффективного гашения подростковой агрессии требуется срочное вмешательство. Стратегия экстренного вмешательства нацелена на уменьшение или избежание агрессивного поведения в напряженных ситуациях. В этих случаях психологи, педагоги или родители должны иметь адекватные установки в отношении проявления агрессии детьми. Психолого-педагогические рекомендации по взаимодействию с агрессивными подростками полностью обусловлены уровнем агрессии. Особенности поведения агрессивных подростков сводятся к тому, что главным являются не рациональность, а импульсивность поведения; его обусловленность влечениями и неконтролируемыми побуждениями.

В области социального взаимодействия это проявляется как крайне низкая терпимость. Знание этих особенностей может играть роль превентивного фактора, и таким образом предупредить возможные срывы педагога или родителя по типу: «импульсивность - на импульсивность», нетерпимость - на нетерпимость».

В контакт с ними легче вступать в не периодов аффективного напряжения. В беседе следует быть обстоятельным и неторопливым. Необходимо дать выговориться. Обсуждая их личностные качества, следует очень осторожно касаться отрицательных сторон их поведения и только после того, как проявлено внимание и оценка их положительных качеств. Не следует давать оценку отрицательных качеств, позиция должна быть нейтральной. Следует показать, какой вред эти качества могут принести подростку, убедить приучать себя уходить от раздражающих ситуаций.

Так же необходимо максимально занять свободное время подростка. Посещение спортивных секций, творческих кружков поможет сублимировать агрессивную энергию, направив ее в нужное русло.

Глоссарий


№п\п

Новое понятие

Содержание

1.

Агрессивность

кратковременное эмоциональное состояние или черта характера человека.

2.

Биологический фактор

неблагоприятные физиологические или анатомические особенности организма ребенка, затрудняющие его социальную адаптацию.

3.

Девиантное поведение

один из видов отклоняющегося поведения, связанный с нарушением соответствующих возрасту социальных норм и правил поведения, характерных для микросоциальных отношений (семейных, школьных) и малых половозрастных социальных групп

4.

Взаимоотношения

личностно значимое образное, эмоциональное и интеллектуальное отражение людьми друг друга, которое представляет собой их внутреннее состояние.

5.

Коррекционно-реабилитационная работа

процесс, система мер, направленных на частичное или полное исправление или восстановления недостатков физического или психического развития, либо приобретенных в процессе онтогенеза.

6

Медицинская реабилитация

направлена на полное или частичное восстановление или компенсацию той или иной утраченной функции организма человека или на возможное замедление прогрессирующего заболевания.

7

Общение

это такое взаимодействие между людьми, в процессе которого развиваются, проявляются и формируются их межличностные отношения

8

Под морально- этическими факторами

понимается низкий морально-нравственный уровень общества, разрушения ценностей в первую очередь духовных, падению нравов, а также в нейтральном отношении общества к нейтральным проявлениям девиантного поведения

9

Психологические факторы

наличие у ребенка психопатологий и акцентуаций характера

№п\п

Новое понятие

Содержание

10

Психологическая реабилитация

применение различных диагностических (лечебно-восстановительных и психотерапевтических) способов устранения последствий посттравматического стресса (после участия в войне, после землетрясения, аварии на Чернобыльской АС и др.)

11

Профессиональная реабилитация

предусматривает обучение или переобучение личности доступными для него формам труда

12

Реабилитация

это система мер, имеющих своей целью возвращение индивида к активной жизни в обществе и общественно-полезному труду

13

Социально-педагогические факторы

выражаются в дефекте школьного, семейного или общественного воспитания, в основе которых лежит половозрастные и индивидуальные особенности развития детей, приводящих к отклонениям в ранней социализации ребенка в период детства, которая приводит к учебной дезадаптации

14

Социально экономические факторы

включают социальное неравенство, расслоение общества на богатых и бедных, обнищание значительной массы населения, безработицу, инфляцию, и как следствие, социальную напряженность

15

Социальная реабилитация

процесс восстановления или приобретения утраченных навыков, способности к жизнедеятельности в социальной среде

16

Социально-педагогическая реабилитация

система мер воспитательного характера, направленная на формирование у индивида личностных качеств, значимых для его жизнедеятельности, активной жизненной позиции, способствующей интеграции его в общество

17

Социально-экономическая реабилитация

комплекс мероприятий, нацеленных на обеспечение индивида причитающимся выплатам, защиту его интересов и прав.

 

Список использованных источников


1.  Абрамова Г.С. Возрастная психология. [Текст] / Г.С.Абрамова. - М.: Академический проект, 2008. - 704с. - ISBN 5-8291-0071-1

2.       Алмазов Б.Н. Психологическая средовая дезадаптация несовершеннолетних. [Текст]/ Б.Н. Алмазов. - Изд-во Свердловск, 2009. - 241 с.

.        Антонян Ю.М. Роль конкретной жизненной ситуации в совершении преступления. [Текст] / Ю.М. Антонян. - М.: 2009. - 312 с.

.        Бандура А. Подростковая агрессия. Изучения влияния воспитания и семейных отношений. [Текст] / А. Бандура. - М.: Апрель-пресс: ЭКСМО-Пресс, 2009. - 325 с. ISBN 5-04-004214-0

.        Белановская О.В. Истоки асоциального поведения в подростково-юношеском возрасте: девиантное поведение. [Текст] / О.В. Белановская, В.А. Куликович.- М.: Стрингер, 2009.- 116 с.

.        Беличева С.А. Основы привентивной психологии. [Текст] / С.А. Беличева. - Питер: 2012. - 213 с. ISBN 978-5-459-00957-6

.        Божович Л.И. Проблемы формирования личности. [Текст] / Л.И. Божович - М.: Воронеж, 2008. - ISBN 5-89395-048-6.

.        Бородулина, С.Ю. Коррекционная педагогика: психолого-педагогическая коррекция отклонений в развитии и поведении школьников. [Текст] / С.Ю. Бородулина. - Ростов н/д: ”Феникс”, 2010. - 352 с.

.        Вроно Е Несчастливые дети - трудные родители. [Текст] / Е.Вроно. М.: Семья и школа, 2008. - ISBN: 5-88539-041-X

.        Галагузова М.А. Социальная педагогика: курс лекций. [Текст] / М.А. Галагузова. - М.: Владос, 2008. - 416 с. - I8ВN 5-691-00372-0.

.        Дружинин В.Н. Психология семьи: учеб. пособие для вузов по спец. и напр. «Психология» [Текст] / В.Н. Дружинин. - Екатеринбург: Деловая кн., 2009. - 199 с.

.        Дубровина, И.В. Практическая психология образования. [Текст] / И.В. Дубровина. - М.:ТЦ «Сфера», 2008. - 351 с

.        Иванова М.В. Внутрисемейное воспитание. [Текст] / М.В. Иванова. - Чебоксары, 2008. - 114 с

.        Красношлыкова О.Г. Теоретические подходы к понятию «трудные» дети и организация работы с ними: сборник научных статей. [Текст] / О.Г. Красношлыкова - Кемерово: КРИПК и ПРО, 2009.

.        Личко А.Е. Психопатия и акцентуации характера у подростков. [Текст] / А.Е. Личко. - М.: Владос,2009. - 351 с. - ISBN: 978-5-9268-0828-6.

.        Муравьева Е.М. Взаимосвязь нормального и отклоняющегося поведения. Девиантология. [Текст] / Е.М. Муравьева. - Тверь, 2010. - 121 с.

.        Овчарова Р.В. Технологии практического психолога образования. [Текст] / Р.В. Овчарова. - М.: Сфера, 2011. - 448 с. - ISBN: 5-89144-099-7.

.        Петрова А.Б. Психологическая коррекция и профилактика агрессивных форм поведения несовершеннолетних с девиантным поведением: практическое руководство. [Текст] / А.Б.Петрова. - М.: Флинта:МПСИ, 2008. - 152 с. ISBN 978-5-9765-0193-5

.        Платонова Н.М. Агрессия у детей и подростков: учебное пособие. [Текст] / Н.М. Платоновой. - СПб.:Речь, 2008. - 336 с. ISBN 5-9268-0290-3

.        Психологический словарь-справочник. [Текст] / Авт.-сост. М.И. Дьяченко, Л.А. Кандыбович. - Мн.: Харвест, М,: АСТ, 2007. - 576 с. ISBN 978-985-16-0932-7

22.     Рожков М.И. Воспитание трудного ребенка: Дети с девиантным поведением. [Текст] / М.И. Рожков. - М.: Владос, 2009. - 240 с.

23.     Рожков Е.И. Настольная книга практического психолога: учеб.пособие. [Текст] / Е.И. Рожков. - М.:Гуманит.изд.центр ВЛАДОС, 2009. - 480 с.

.        Синягина Н.Ю. Психолого-педагогическая коррекция детско-родительских отношений. [Текст] / Н.Ю. Синягина. - М.: Гуманит. изд. центр ВЛАДОС. Библиотека школьного психолога, 2003. - 230 с.

.        Степанов В.Г. Психология трудных школьников: учебное пособие. [Текст] / В.Г. Степанов. - М.: ИЦ «Академия», 2011.

26.     Солсо Р. Экспериментальная психология: практический курс. [Текст] Р. Солсо, Х. Джонсон, К.М. Бил. - Олма-Пресс, 2010г.

27.     Универсальный энциклопедический словарь [Текст]:/ Авт.-сост. А.П. Горкина. - М.: Научное издательство «Большая научная энциклопедия», 2011. - 1551 с. ISBN 5-699-04362-4

.        Фурманов И.А. Психология детей с нарушениями поведения: пособие для психологов и педагогов. [Текст] / И.А.Фурманов.- М.:Гуманитар.изд.центр ВЛАДОС, 2009. - 351 с.

.        Шляхтина О.И. Взаимосвязь агрессивности с личностными особенностями и социальным статусом. [Текст] / О.И. Шляхтина - СПб. 2008.

.        Шнейдер Л.Б. Психология семейных отношений: курс лекций. [Текст] / Л.Б. Шнайдер. - М.: Апрель-Пресс; Эксмо-Пресс, 2012. - 501 с. ISBN 5-04-005780-6

 

Приложения

 

Приложение А


Социально-психологические условия реабилитации подростков с отклоняющимся поведением


Приложение Б

Особенности подростковой агрессии


Приложение В

Особенности групповых условий реабилитации подростков


Приложение Г

Текст опросника агрессивности Басса-Дарки

1.     Временами я не могу справиться с желанием причинить вред другим

2.       Иногда я сплетничаю о людях, которых не люблю.

.        Я легко раздражаюсь, но быстро успокаиваюсь.

.        Если меня не попросят по-хорошему, я не выполню просьбы

.        Я не всегда получаю то, что мне положено.

.        Я знаю, что люди говорят обо мне за моей спиной.

.        Если я не одобряю поведение своих друзей, я даю им это почувствовать.

.        Когда мне случалось обмануть кого-нибудь, я испытывал мучительные

угрызения совести.

9.     Мне кажется, что я не способен ударить человека.

10.     Я никогда не раздражаюсь на столько, чтобы кидаться предметами.

.        Я всегда снисходителен к чужим недостаткам.

.        Если мне не нравится установленное правило, мне хочется нарушить его.

.        Другие умеют почти всегда пользоваться благоприятными обстоятельствами.

.        Я держусь настороженно с людьми, которые относятся ко мне несколько более дружественно, чем я ожидал.

.        Я часто бываю, не согласен с людьми.

.        Иногда мне на ум приходят мысли, которых я стыжусь.

.        Если кто-нибудь первым ударит меня, я не отвечу ему

.        Когда я раздражаюсь, я хлопаю дверьми.

.        Я гораздо более раздражителен, чем, кажется.

.        Если кто-нибудь корчит из себя начальника, я всегда поступаю ему наперекор.

.        Меня немного огорчает моя судьба.

.        Я думаю, что многие люди не любят меня.

.        Я не могу удержаться от спора, если люди не согласны со мной.

.        Люди, увиливающие от работы, должны испытывать чувство вины.

.        Тот, кто оскорбляет меня и мою семью, напрашивается на драку.

.        Я не способен на грубые шутки.

.        Меня охватывает ярость, когда надо мной насмехаются.

.        Когда люди строят из себя начальников, я делаю все, чтоб они не зазнавались.

.        Почти каждую неделю я вижу того, кто мне не нравится.

.        Довольно многие люди завидуют мне.

.        Я требую, чтобы люди уважали меня.

.        Меня угнетает то, что я мало делаю для своих родителей.

.        Люди, которые постоянно изводят вас, стоят того, чтобы их щелкнули по носу.

.        Я никогда не бываю, мрачен от злости.

.        Если ко мне относятся хуже, чем я того заслуживаю, я не расстраиваюсь.

.        Если кто-то выводит меня из себя, я не обращаю внимания.

.        Хотя я не показываю этого, меня иногда гложет зависть.

.        Иногда мне кажется, что надо мной смеются.

.        Даже если я злюсь, я не прибегаю к сильным выражениям.

.        Мне хочется, чтоб мои грехи были прощены.

.        Я редко даю сдачи, даже если кто-нибудь ударит меня.

.        Когда получается не, по-моему, я иногда обижаюсь

.        Иногда люди раздражают меня своим присутствием.

.        Нет людей, которых бы я по-настоящему ненавидел.

.        Мой принцип: «Никогда не доверять чужакам».

.        Если кто-нибудь раздражает меня, то я готов сказать все, что я о нем думаю.

.        Я делаю много такого, о чем впоследствии сожалею.

.        Если я разозлюсь, я могу ударить кого-нибудь.

.        С детства я никогда не проявлял вспышек гнева.

.        Я часто чувствую себя как пороховая бочка, готовая взорваться.

.        Если бы все знали, что я чувствую, меня бы считали человеком, с которым не легко ладить.

.        Я всегда думаю о том, какие тайные причины заставляют людей делать что-нибудь приятное для меня.

.        Когда на меня кричат, я начинаю кричать в ответ.

.        Неудачи огорчают меня.

.        Я дерусь не реже и не чаще, чем другие.

.        Я могу вспомнить случаи, когда я был на столько зол, что хватал попавшуюся мне под руку вещь и ломал ее.

.        Иногда я чувствую, что готов первым начать драку.

.        Иногда я чувствую, что жизнь поступает со мной не справедливо.

.        Раньше я думал, что большинство людей говорят правду, но теперь я в это не верю.

.        Я ругаюсь только от злости.

.        Когда я поступаю неправильно, меня мучает совесть.

.        Если для защиты моих прав мне нужно применить физическую силу, я применяю ее.

.        Иногда я выражаю свой гнев тем, что стучу кулаком по столу.

.        Я бываю, грубоват по отношении. К людям, которые мне не нравятся.

.        У меня нет врагов, которые бы хотели мне навредить.

.        Я не умею поставить человека на место, даже если он того заслуживает.

.        Я часто думаю, что жил неправильно.

.        Я знаю людей, которые способны довести меня до драки.

.        Я не огорчаюсь из-за мелочей.

.        Мне редко приходит в голову, что люди пытаются разозлить или оскорбить меня.

.        Я часто только угрожаю людям, хотя и не собираюсь приводить угрозы в исполнение.

.        В последнее время я стал занудой.

.        В споре я часто повышаю голос.

Приложение Д

Текст опросника ОРО Варги-Столина

1.       Я всегда сочувствую своему ребенку.

2.       Я считаю своим долгом знать все, что думает мой ребенок.

.        Я уважаю своего ребенка.

.        Мне кажется, что поведение моего ребенка значительно откланяется от нормы.

.        Нужно подольше держать ребенка в стороне от реальных жизненных проблем, если они его травмируют.

.        Я испытываю к ребенку чувство расположения.

.        Хорошие родители ограждают ребенка от трудностей в жизни.

.        Мой ребенок часто не приятен мне.

.        Я всегда стараюсь помочь своему ребенку.

.        Бывают случаи, когда издевательское отношение к ребенку приносит ему большую пользу.

.        Я испытываю досаду по отношению к своему ребенку.

.        Мой ребенок ничего не добьется в жизни.

.        Мне кажется, что дети потешаются над моим ребенком.

.        Мой ребенок часто совершает такие поступки, которые, кроме презрения, ничего не стоят.

.        Для своего возраста мой ребенок немножко незрелый.

.        Мой ребенок ведет себя плохо специально, чтобы досадить мне.

.        Мой ребенок впитывает в себя все дурное как «губка».

.        Моего ребенка трудно научить хорошим манерам при всем старании.

.        Ребенка стоит держать в строгих рамках, тогда из него вырастет порядочный человек.

.        Я люблю, когда друзья моего ребенка приходят к нам в дом.

.        Япринимаю участие в своем ребенке.

.        К моему ребенку «липнет» все дурное.

.        Мой ребенок не добьется успеха в жизни.

.        Когда в компании знакомых говорят о детях, мне немного стыдно, что мой ребенок не такой умный и способный, как мне бы хотелось.

.        Я жалею своего ребенка.

.        Когда я сравниваю своего ребенка со сверстниками, они кажутся мне взрослее и по поведению, и по суждениям.

.        Я с удовольствием провожу с ребенком все свое свободное время.

.        Я часто жалею о том, что мой ребенок растет и взрослеет, и с нежностью вспоминаю его маленьким.

.        Я часто ловлю себя на враждебном отношении к ребенку.

.        Я мечтаю о том, что бы мой ребенок достиг всего того, что мне не удалось в жизни.

.        Родители должны приспосабливаться к ребенку, а не только требовать от него.

.        Я стараюсь выполнять все просьбы моего ребенка.

.        При принятии семейных решений следует учитывать мнение ребенка.

.        Я очень интересуюсь жизнью своего ребенка.

.        В конфликте с ребенком я часто могу признать, что он по-своему прав.

.        Дети рано узнают, что родители могут ошибаться.

.        Я всегда считаюсь с ребенком.

.        Я испытываю к ребенку дружеские чувства.

.        Основная причина капризов моего ребенка - эгоизм, упрямство и лень.

.        Невозможно нормально отдохнуть, если проводить отпуск с ребенком.

.        Самое главное, чтобы у ребенка было спокойное и беззаботное детство.

.        Иногда мне кажется, что мой ребенок не способен ни на что хорошее.

.        Я разделяю увлечения своего ребенка.

.        Мой ребенок может вывести из себя кого угодно.

.        Я понимаю огорчения своего ребенка.

.        Мой ребенок часто раздражает меня.

.        Воспитание ребенка - сплошная нервотрепка.

.        Строгая дисциплина в детстве развивает сильный характер.

.        Я не доверяю своему ребенку.

.        За строгое воспитание дети благодарят потом.

.        Иногда мне кажется, что я ненавижу своего ребенка.

.        В моем ребенке больше недостатков, чем достоинств.

.        Я разделяю интересы своего ребенка.

.        Мой ребенок не в состоянии что-либо сделать самостоятельно, а если и сделает, то обязательно не так.

.        Мой ребенок вырастет не приспособленным в жизни.

.        Мой ребенок нравится мне таким, какой он есть.

.        Я тщательно слежу за состоянием здоровья моего ребенка.

.        Нередко я восхищаюсь своим ребенком.

.        Ребенок не должен иметь секретов от родителей.

.        Я невысокого мнения о способностях моего ребенка и не скрываю этого от него.

.        Очень желательно, чтобы ребенок дружил с теми детьми, которые нравятся его родителям

Ключ

шкала 1. принятие - отвержение:

3,4,8,10,12,14,15,16,18,20,24,26,27,29,37,38,39,40,42,43,44,45,46,47,49,52,53,55,56,60.

шкала 2. кооперация:

6,9,21,25,31,34,35,36.

шкала 3. симбиоз:

1,5,7,28,32,41,58.

шкала 4. авторитарная гиперсоциализация:

2,19,30,48,50,57,59.

шкала 5. «маленький неудачник»:

9,11,13,17,22,28,54,61.

При подсчете тестовых баллов по всем шкалам учитывается ответ «верно». Высокий тестовый балл по соответствующим шкалам интерпретируется как отвержение, кооперация, симбиоз, гиперсоциализация, инфантилизация (инвалидизация). Тестовые нормы приводятся в виде таблиц процентильных рангов тестовых баллов по соответствующим шкалам.

Таблица № 6

«сырой» балл

процентильный ранг

«сырой» балл

процентильный ранг

Шкала 1

0 1 2 3 4 5 6 7 8 9 10 11 12 13 14 15 16

0 0 0 0 0 0 0,63 3,79 21,02 31,01 53,79 68,35 77,21 84,17 88,60 90,50 92,40

17 18 19 20 21 22 23 24 25 26 27 28 29 30 31 32

93,67 94,30 95,50 97,46 98,10 98,73 98,73 99,36 100 100 100 100 100 100 100 100

Шкала 2

 Шкала 3

0 1 2 3 4 5 6 7 8 9

1,57 3,46 5,67 7,88 9,77 12,29 19,22 31,19 48,82 80,93

0 1 2 3 4 5 6 7

4,72 19,53 39,06 57,96 74,97 86,63 92,93 96,65 

Шкала 4

Шкала 5

0 1 2 3 4 5 6

4,41 13,86 32,13 53,87 69,30 83,79 95,76

0 1 2 3 4 5 6 7

14,55 45,57 70,25 84,81 93,04 96,83 99,37 100


Приложение Е


Таблица № 7 - Ранги

Коэффициент значимости различий по критерию Манна-Уитни


VAR00001

N

Средний ранг

Сумма рангов

VAR00003

1,00

10

8,30

83,00


2,00

10

12,70

127,00


Всего

20



VAR00004

1,00

10

12,15

121,50


2,00

10

8,85

88,50


Всего

20



VAR00005

1,00

10

9,60

96,00


2,00

10

11,40

114,00


Всего

20



VAR00006

1,00

10

7,55

75,50


2,00

10

13,45

134,50


Всего

20



VAR00007

1,00

10

7,50

75,00


2,00

10

13,50

135,00


Всего

20




Таблица № 8 - Статистики критерияb


VAR00003

VAR00004

VAR00005

VAR00006

VAR00007

Статистика U Манна-Уитни

28,000

33,500

41,000

20,500

20,000

Статистика W Уилкоксона

83,000

88,500

96,000

75,500

75,000

Z

-1,687

-1,307

-,699

-2,291

-2,280

Асимпт. знч. (двухсторонняя)

,092

,191

,485

,022

,023

Точная знч. [2*(1-сторонняя Знач.)]

,105a

,218a

,529a

,023a

,023a

Не скорректировано на наличие связей.  b. Группирующая переменная: VAR00001


Похожие работы на - Социальная психология реабилитации подростков с отклоняющимся поведением

 

Не нашли материал для своей работы?
Поможем написать уникальную работу
Без плагиата!
Без нейросетей!