Анализ выполнения договорных обязательств на поставки продукции
Министерство образования и науки
Российской Федерации
Федеральное государственное бюджетное
образовательное учреждение высшего профессионального образования «Московский
государственный университет экономики, статистики и информатики (МЭСИ)»
Ярославский филиал
Курсовая работа
по дисциплине «Экономический анализ»
на тему:
«Анализ выполнения договорных
обязательств на поставки продукции»
Выполнил: студент группы ЗОНЭ-101
Рыбачкова М.В.
Проверил: Бекренев Ю.В.
Ярославль 2013
Содержание
Введение
. Основные положения о договорных обязательствах по поставке
.1 История законодательного регулирования договорных
обязательств по поставке в России
1.2
Особенности становления договора поставки в период экономического развития
1.3 Понятие, элементы договора поставки
. Правовое регулирование договорных обязательств по поставке
.1 Заключение договора поставки
.2 Содержание договорных обязательств по поставке
.3 Исполнение договора поставки
. Анализ исполнения договоров поставки
.1 Анализ выполнения договорных обязательств
.2 Особенности анализа исполнения договорных обязательств по
поставке
Заключение
Список используемой литературы
исполнение обязательство
договор поставка товар
Введение
Предприятия самостоятельно планируют свою деятельность на основе договоров,
заключенных с потребителями продукции и поставщиками материально-технических
ресурсов, и определяют перспективы развития исходя из спроса на производимую
продукцию, работы и услуги. В своей деятельности предприятия обязаны учитывать
интересы потребителя и его требования к качеству поставляемой продукции и
услуг.
В процессе потребления материальных ресурсов в производстве происходит их
трансформация в материальные затраты, поэтому уровень их расходования
определяется через показатели, исчисленные исходя из суммы материальных затрат.
Для оценки эффективности материальных ресурсов используется система обобщающих
и частных показателей.
Применение обобщающих показателей в анализе позволяет получить общее
представление об уровне эффективности использования материальных ресурсов и
резервах его повышения.
Частные показатели используются для характеристики эффективности
потребления отдельных элементов материальных ресурсов (основных,
вспомогательных материалов, топлива, энергии и др.), а также для установления
снижения материалоемкости отдельных изделий (удельной материалоемкости).
Актуальность темы курсовой работы в том, что договор поставки - один из
наиболее распространенных видов обязательств, используемых в сфере гражданского
оборота. Этот вид договоров охватывает практически весь товарооборот в
хозяйственной деятельности предпринимателей. Причем заключение договора
поставки, удобно как для юридических лиц, так и для индивидуальных
предпринимателей.
Целью работы является рассмотрение анализ выполнения договорных
обязательств на поставки продукции, для чего поставлены следующие задачи:
изучение основных положений о договорных обязательствах по поставке;
анализ правового регулирования договорных обязательств по поставке;
исследование анализа исполнения договоров и особенностей договорных
обязательств по поставке.
1. Основные положения о договорных
обязательствах по поставке
1.1 История законодательного
регулирования договорных обязательств по поставке в России
Правовому регулированию поставочных отношений уделялось достаточное
внимание в истории становления и развития отечественного права. В
дореволюционном российском гражданском законодательстве договор поставки
выделялся самостоятельным договором наряду с договором купли-продажи. С 18 века
договор поставки вошел в число регулируемых правом Российской Империи
обязательств. Большую часть норм, относящихся к поставке, составляли нормы о
договорных отношениях государства с частными лицами, где первое выступало
покупателем. При этом под поставкой понимался договор, по которому одна сторона
обязывалась доставить другой какую-либо вещь за обговоренную цену к
обговоренному сроку.
В процессе уничтожения социально-экономических основ царской России и
создания предпосылок для социалистического строительства изменилось и
сложившееся до того гражданское право. Сфера применения договорных обязательств
в их дореволюционном понимании неуклонно сокращалась. За этим процессом
открывались перспективы развития обязательственного права на новой
социалистической базе. Впервые месяцы после Октябрьской революции
законодательная регламентация гражданско-правовых отношений еще не имеет
планомерного и систематического характера. Национализация орудий и средств
производства была связана с запрещением распорядительных сделок относительно
национализированных имуществ: земли, недр, вод, лесов. Это ограничение, прежде
всего, относилось к договору поставки. Этот товарообмен с самого начала был
охвачен государственным регулированием.
Гражданский кодекс 1922 г. не включал в себя нормы о договоре поставки
как самостоятельном виде гражданско-правового договора. В эпоху новой
экономической политики значительно расширилась сфера применения договора
поставки. Товарообмен получил значительное расширение, как в рамках советской
государственной торговли, так и на почве вольного рынка.
Сейчас основным правовым источником для договора поставки служат нормы
главы 30 ГК РФ. Договор поставки как вид договора купли-продажи подчиняется
общим положениям о купле-продаже, включенным в параграф 1 гл. 30 ГК РФ. Вместе
с тем, договор поставки регулируется нормами параграфа 3 той же главы. Поэтому
при применении норм ГК РФ необходимо, прежде всего, учитывать установленное
Кодексом соотношение упомянутых норм. В этой связи можно выделить три вида
норм, включенных в параграф 3 главы 30 ГК РФ:
нормы, регулирующие отношения по договору поставки иначе, чем нормы
«Общих положений о купле-продаже» параграфа 1 гл. 30 ГК РФ;
нормы, дополняющие или частично изменяющие правила, установленные «Общими
положениями о купле-продаже» параграфа 1 гл. 30 ГКРФ;
нормы о договоре поставки, отсутствующие не только в общих положениях о
купле-продаже, но и в параграфах о других видах купли-продажи.
Наряду с ГК РФ в случае к отношениям поставки могут применяться и другие
федеральные законы.
Проведенный анализ этапов становления и развития правового регулирования
отношений поставки в России в 19, 20 и 21 веках, позволяет заключить, что споры
о правовой природе договора поставки начались еще с момента его возникновения в
российском законодательстве. Позиция законодателя периодически менялась,
вследствие чего побеждало то мнение о самостоятельности данного договора, то,
что договор поставки является видом договора купли-продажи. Если в XVIII веке
договор появился как самостоятельный, то к XXI веку законодатель определил его
видом договора купли-продажи.
Разделение норм современного гражданского права о поставках таково, что
при заключении и исполнении договора поставки, сначала применяются нормы,
включенные в параграф 3 главы 30 ГК РФ, потом нормы законов и иных правовых
актов о поставках, а при отсутствии соответствующих норм в параграфе 3 главы 30
ГК РФ, стороны руководствуются нормами «Общих положений о купле-продаже»,
включенными в параграфе 1 главы 30 ГК РФ.
1.2 Особенности становления договора поставки
в период экономического развития
Рыночной экономике изначально присуща договорная, контрактная система
связей. В классическом виде гражданско-правовой договор лишь оформлял отношения
обмена между экономически обособленными хозяйствующими субъектами. Постепенно
договор становится также и правовым инструментом планомерной организации
рыночного хозяйства. Эта нагрузка ложится в большей степени на договор
поставки.
Задолго до начала радикального реформирования экономики России постепенно
уменьшалась монополия государства и возрастала экономическая самостоятельность
субъектов хозяйствования. Сложилась вполне реальная возможность превращения
хозяйственного договора, заключавшегося во исполнение государственного задания,
в договор, призванный заменить недееспособные рычаги и средства
централизованного планирования.
"Вместо распределения ресурсов в соответствии с некими априорно
установленными потребностями договорный способ планирования хозяйственных
связей предполагает возможность формирования демократического механизма
выявления действительных общественных и коллективных потребностей, взаимную
координацию предпринимательской деятельности множества субъектов, согласование
их интересов".
По известным причинам этот процесс был прерван. В результате разрушения
хозяйственных связей оказались невозможными не только планомерные, но и более
или менее цивилизованные рыночные отношения. Чтобы преодолеть стихийность и
неуправляемость функционирования экономики России, возникла необходимость
формирования системы контрактных отношений, которая должна была охватить
максимально возможное число хозяйствующих субъектов, прежде всего на основе
широкого использования договора поставки. Договор поставки по новому
законодательству претерпел существенные изменения. "По принятой в
Гражданском кодексе классификации это не самостоятельный вид договора, а вид
договора купли-продажи ", который имеет характерные особенности по сфере
применения, субъектному составу, особенностям формирования договорных связей.
Основной сферой применения договора поставки являются предпринимательские
отношения, а основными его участниками выступают, как правило, субъекты
предпринимательской деятельности, что вытекает из содержания ст. 506 ГК.
Поскольку предметом договора поставки являются товары, производимые или
закупаемые поставщиком, то в качестве последнего могут выступать субъекты,
занимающиеся предпринимательской деятельностью в сфере производства товаров
либо профессионально производящие их закупку и реализацию. Целевая
направленность договора поставки - использование приобретаемых у поставщиков
товаров в предпринимательской деятельности и иных целях, не связанных с личным,
семейным, домашним и иным подобным использованием.
Из этого следует, что в качестве покупателя должны выступать, как
правило, также субъекты предпринимательской деятельности.
Новая система и принципы управления экономикой предполагают существенные
изменения в процессе формирования хозяйственных связей. На смену жесткому
принудительному прикреплению поставщиков к потребителям приходит формирование
хозяйственных отношений на основе принципа свободы договора. Разумеется, и в
рыночной экономике не может быть абсолютной свободы договора. Как идеальное
состояние она допустима лишь в условиях реального экономического равенства
субъектов, а не только формально-правового. Она возможна также лишь тогда,
когда при заключении и исполнении сделок контрагенты не причиняют никакого
ущерба экономическим интересам общества.
В правовой литературе достаточно обоснованно представлено мнение о том,
что правило о свободе договора является наиболее общим проявлением принципа
диспозитивности. Нельзя не отметить взаимосвязи и взаимообусловленности
принципа свободы договора и юридического равенства участников гражданского
оборота с принципом свободного перемещения объектов договора.
Принцип свободы договора имеет характерные особенности, проявляющиеся в
следующем.
1. Субъекты
гражданского права - физические и юридические лица - свободны в решении
вопроса, будут они заключать гражданско-правовой договор или нет. Понуждение к
заключению договора не допускается, за исключением случаев, когда обязанность
заключить договор предусматривается законом или добровольно принятым сторонами
обязательством (например, по заключенному предварительному договору). Так,
закон устанавливает обязанность заключить государственный контракт на поставку
товаров для предприятий, занимающих доминирующее положение на товарном рынке,
предприятий-монополистов, казенных предприятий и т. д. Такая обязанность
предусмотрена для поставок товаров в районы Крайнего Севера, предприятиям
агропромышленного комплекса. Субъекты естественных монополий не вправе в
определенных случаях отказываться от заключения договоров с отдельными
потребителями в соответствии с указаниями Федерального закона "О естественных
монополиях " 1995 года.
2. Субъекты права
свободны в выборе договорной структуры и вида договорной связи, они вправе
заключать договор как предусмотренный, так и не предусмотренный законами или
другими правовыми актами. В случаях необходимости стороны вправе самостоятельно
создавать модели договоров (в том числе смешанные), не противоречащие как
действующему законодательству, так и основным его началам.
3. Субъекты права
осуществляют свободный выбор контрагентов, то есть лиц, с которыми они намерены
вступить в договорные отношения, за исключением случаев, когда законом может
предусматриваться обязанность определенного выбора. Так, поставщиками в
договоре поставки могут выступать только коммерческие организации и
граждане-предприниматели; покупателями могут быть любые лица, кроме физических
лиц, приобретающих товары для бытовых нужд. Так как отбор поставщиков при
размещении госзаказа и заключении госконтракта должен производиться на
конкурсной основе (путем проведения открытых или закрытых торгов, конкурсов,
аукционов), выигрыш на конкурсе влечет за собой обязанность лица,
осуществляющего выбор поставщика, заключить договор с победителем.
Свобода выбора партнера предполагает, что у выбирающего есть право на
компетентный отказ от заключения договора с отдельными претендентами при
наличии у них равных возможностей исполнения будущих обязательств.
Свобода договора всегда содержит в себе риск совершения ошибочного выбора
партнера, который может привести к неисполнению или ненадлежащему исполнению
договора.
4. Субъекты права
свободны в формировании условий заключаемого договора, включая и договор
поставки. Это должно способствовать становлению и развитию договорной
инициативы и самостоятельности субъектов предпринимательских отношений. Условия
договора определяются, прежде всего, усмотрением сторон. Роль так называемых
инициативных условий в формировании договорных связей значительно возрастает.
Единственное требование, предъявляемое в данном случае, заключается в том,
чтобы избранное соглашением сторон условие не противоречило законам или иным
правовым актам.
Однако и при свободе договора невозможен отказ от обязательных условий.
Из них можно выделить два вида - предписания и запреты. И те, и другие могут
содержаться как в нормативных, так и в индивидуальных нормативных актах. Среди
обязательных условий определяющее значение должны иметь не запреты, а
предписания. Последние могут носить императивный или диспозитивный характер.
Гражданский кодекс отдает предпочтение диспозитивным правилам, которые
применяются, если стороны своим соглашением не предусмотрели иные условия
договора либо вообще не исключили действие этого правила. В отдельных случаях
содержание некоторых условий может быть предписано императивными предписаниями
- законами, административными и иными правовыми актами. Например, государство
нормативно устанавливает или регулирует цены на определенные виды товаров
(алкоголь, продукцию оборонного значения и т. д.).
Закон иногда содержит запреты на включение тех или иных условий.
Например, недопустимо предусматривать в договоре условия, заранее
ограничивающие или устраняющие ответственность при умышленном нарушении
обязательств (п. 4 ст. 401 ГК).
5. Субъекты права
свободно решают вопрос о способе, порядке заключения договора и его оформлении,
за теми исключениями, когда в предписаниях содержатся обязательные правила в
этой части. Такие обязательные правила установлены, в частности, для заключения
госконтрактов и договоров поставки для государственных нужд.
Рассмотренные проявления свободы договоров предоставляют возможность
субъектам договорных отношений по поставкам реализовать в достаточно полной
мере свою имущественную самостоятельность и экономическую независимость,
конкурировать на равных с другими участниками предпринимательской деятельности.
Реализация принципа свободы договора означает, что сохраняются
практически все рыночные инструменты. Договор поставки обслуживает традиционный
конкурентно-рыночный механизм. Вместе с тем в этом случае проблема рыночной
реализации произведенной продукции сводится к соблюдению договорной дисциплины
и взаимных соглашений. Долгосрочные контракты упорядочивают хозяйственные связи
на длительную перспективу и представляют собой своеобразную форму планирования,
активными субъектами которого выступают стороны по договору.
Хозяйственные связи между контрагентами на договорной основе,
предваряющие производство, значительно уменьшают классическую рыночную
конкуренцию в процессе и по поводу реализации произведенного продукта,
сокращают нерациональные издержки чисто торгового состязания, но не приводят к
исчезновению конкуренции вообще. Ареной конкурентной борьбы в этом случае
должна стать предпроизводственная стадия, предшествующая заключению договора:
иными словами, не рынок товаров, а рынок заказов, на котором состязаются
потенциальные поставщики, вынужденные доказывать свои конкурентные
преимущества. Этот механизм следовало бы использовать не только для размещения
на конкурсной основе государственного заказа, но и для формирования стабильных
хозяйственных связей и между другими субъектами.
Хозяйствующий субъект, вышедший на рынок заказов, имеет возможность
сопоставления разных вариантов своей деятельности и долгосрочного развития,
выбора экономически выгодного контрагента. Максимальная свобода выбора
поставщика должна приводить к резкому обострению конкуренции между ними. На
рынок заказов хозяйствующие субъекты приходят относительно независимыми и
экономически свободными, а после заключения договора они "обречены"
на взаимозависимое сотрудничество. Причем при надлежащем исполнении принятых
обязательств для любой из сторон совершенно реальна перспектива вернуться в
исходное состояние и вновь доказывать свои конкурентные притязания. По итогам
такого состязания и должен заключаться договор поставки, наличие которого
означает не угасание конкуренции, а перевод ее в более высокое качество. Это
создает возможность более рационального использования ограниченных ресурсов,
так как оптимальный вариант такого использования устанавливается не на рынке
ресурсов, не по окончании процесса производства, а до его начала.
В связи с регулированием в части второй Гражданского кодекса РФ договора
поставки как разновидности договора купли-продажи в периодической юридической
печати неоднократно обсуждались различные аспекты содержания и исполнения
договора поставки.
По вопросам применения положений ГК о договоре поставки было принято
постановление Пленума Высшего Арбитражного Суда РФ от 22 октября 1997 года №
18. Но ни в печати, ни в постановлении Пленума ВАС РФ практически не рассматривались
вопросы влияния положений Закона РФ "О защите прав потребителей" на
формирование некоторых условий договора поставки товаров предприятиям розничной
торговли.
Отвечая на вопрос: "Каким быть договору поставки?", В. Анохин
справедливо отмечает важнейшее значение хозяйственных договоров, в частности
договора поставки, в регулировании взаимоотношений предпринимателей. Критикуя
условия реально заключаемых договоров поставки, автор указывает также на
"консервативность мышления практических работников, продолжающих опираться
на советский порядок заключения договоров по диктуемым сверху условиям. В связи
с этим был предложен примерный образец договора поставки, подготовленный на
основе новейшего гражданского законодательства и арбитражной практики.
В процессе практического применения выработанного образца договора
поставки выявились некоторые недостатки.
Условие о качестве и комплектности товара сформулировано в соответствии с
Положениями о поставках, утвержденными Советом Министров СССР а 1988 году. В нем
не нашли отражения и раскрытия правила ст. 469 и 478 ГК, в частности по вопросу
о разделении важнейшее значение во взаимоотношениях сторон. Аналогичное
происхождение имеет и формулировка о гарантийных сроках. Без необходимых
разъяснении трудно согласовать это условие со ст. 470 Кодекса. Пункты о приемке
товара по количеству и качеству( почти дословное изложение соответствующих
Инструкций П6 и П7), утвержденных Госарбитражем при Совете Министров СССР в
1965-1966 годах, применение которых также требует учета изменений, произошедших
в законодательстве. В связи с этим следует обратить внимание на постановление
Пленума ВАС РФ от 22 октября 1997 года № 18 "О некоторых вопросах,
связанных с применением положений Гражданского кодекса Российской Федерации о
договоре поставки", согласно которому арбитражные суды могут применять
правила Положений о поставках, которые не противоречат императивным нормам ПС,
если в договоре имеется прямая ссылка на конкретный пункт этих Положений либо
из текста договора очевидно намерение сторон его применять (п. 4). В указанных
случаях правила Положений о поставках следует рассматривать как согласованные
сторонами условия обязательства. Очевидно, эта рекомендация может быть отнесена
и к Инструкциям о приемке продукции и товаров по количеству и качеству. Следует
отметить и другое, полное отсутствие в примерном договоре поставки
"каких-либо условий, отражающих специфику поставки товаров народного
потребления для розничной продажи, вытекающих из требований Закона о защите
прав потребителей. Это не отражено даже в тех случаях, когда соответствующие
правила предусмотрены нормами Гражданского кодекса (ст. 518, 519)".
Договору поставки присущи квалифицирующие признаки, выделяющие его в
отдельный вид договора купли - продажи и обуславливающие его особое правовое
регулирование:
1 передача товаров продавцом
(поставщиком) покупателю должна осуществляться в обусловленный договором срок
или срок. Применительно к договору поставки срок (сроки) передачи товаров
приобретает характер существенного условия договора;
2 по договору поставки подлежат
передаче не любые товары, а только производимые или закупаемые поставщиком.
Таким образом, в качестве поставщика выступает коммерческая организация,
специализирующаяся на производстве соответствующих товаров либо профессионально
занимается их закупками;
3 имеет существенное значение, для
какой цели покупателем приобретаются товары у поставщика, ибо договором
поставки признается только такой, в силу которого покупателю передаются товары
для их использования в предпринимательской деятельности или иных целях, не
связанных с личным, семейным, домашним и иным подобным использованием. Данный
признак свидетельствует о том, что и в качестве покупателя по договору поставки
должна выступать, как правило, коммерческая организация, занимающаяся
предпринимательской деятельностью.
1.3 Понятие, элементы договора
поставки
Определение договора поставки содержится в ст. 506 Гражданского кодекса
РФ.
По договору поставки поставщик, осуществляющий предпринимательскую
деятельность, обязуется в обговоренный срок или сроки передать производимые или
закупаемые им товары покупателю для использования товаров в иных целях, не
связанных с личным, семейным, домашним и иным использованием. Договор поставки
в случае возникновения разногласий по отдельным условиям договора должен быть
согласован в течение 30 дней. Поставщик, допустивший неполную поставку товара в
отдельном периоде, обязан восполнить остальное количество товара в следующем
периоде. Покупатель обязан произвести необходимые действия по приемке товара,
произвести его осмотр, проверить количество и т.д. Данное определение позволяет
сделать вывод о том, что договор поставки является консенсуальным (договор
заключен, когда стороны придут к соглашению по всем существенным условиям
соглашения), возмездным (что обуславливает денежный характер соглашения),
двусторонне обязывающим договором (правам и обязанностям одной стороны
противостоят соответствующие права и обязанности другой стороны).
На практике до сих пор возникают трудности с ограничением выделения
договора поставки из других разновидностей купли-продажи. В связи с этим,
только анализ и выделение квалифицирующих признаков позволит определить
конкретный договор как договор поставки.
Элементы договора поставки:
. Стороны договора поставки.
Сторонами договора поставки являются поставщик и покупатель. На стороне
поставщика, как правило, выступают коммерческие организации и
граждане-предприниматели. В качестве покупателя могут выступать любые лица (за
исключением граждан, приобретающих товары для бытовых нужд), однако чаще всего
это также предпринимателя (индивидуальные и коллективные).
. Форма договора поставки.
Форма договора поставки должна соответствовать нормам ГК РФ о заключении
сделок. Согласно ст. 161 ГК РФ сделки юридических лиц между собой и с
гражданами должны совершаться в простой письменной форме. Но при этом в
обязательном порядке не требуется совершение договора поставки на бланке
определенной формы, а также скрепление его печатью. На основании ст. 23 ГК РФ
это правило распространяется и на граждан, занимающихся предпринимательской
деятельностью без образования юридического лица.
Таким образом, юридическим лицам и предпринимателям рекомендуется
оформлять типовой договор поставки в простой письменной форме.
Несоблюдение сторонами простой письменной формы договора поставки
согласно ст. 162 ГК РФ не влечет его недействительности. Последствием
несоблюдения формы может быть лишь отсутствие у сторон по договору права в
случае спора ссылаться в подтверждение сделки и ее условий на свидетельские
показания. В такой ситуации стороны могут использовать в качестве доказательств
заключения типового договора поставки переписку друг с другом, бухгалтерские
документы (накладные и т.д.), которые подтверждают факт заключения и исполнения
договора.
. Существенные условия.
Предмет договора - это условия о товаре, о его наименовании, количестве и
качестве. Описание предмета может содержаться как в тексте примера договора
поставки, так и отдельно в специальном приложении - «Спецификация товара»,
которое является неотъемлемой частью договора поставки.
Срок поставки - условие о предусмотренных в договоре поставки временных
периодах, в течение которых поставщик должен передать товар покупателю, это
основная характеристика договора поставки.
При отсутствии этих согласованных условий в договоре поставки, он не
считается заключенным.
. Дополнительные условия.
Цена договора поставки. Цена и порядок расчетов в договоре поставки не
определяется законодательными актами.
Страхование товара. Стороны договора поставки могут оговорить условие о
страховании товара, причем расходы по страхования может взять на себя
покупатель или поставщик, а страховые расходы стороны могут поделить между
собой.
Порядок передачи товара от поставщика покупателю. В договоре поставки
может быть оговорено условие порядка передачи товара, каким образом покупатель
должен вести приемку поставленных товаров, место и время передачи товара и др.
Отсутствие в договоре поставки вышеперечисленных дополнительных условий
договора, не влечет признание договора поставки недействительным.
2. Правовое регулирование договорных
обязательств по поставке
2.1 Заключение договора поставки
Граждане и юридические лица свободны в заключение договора, условия
договора определяются по усмотрению сторон. Если условие договора не
определяется сторонами или диспозитивной нормой, соответствующие условия
определяются обычаями делового оборота, применимыми к отношениям сторон.
Договор заключается посредством направления оферты (предложения заключить
договор) одной из сторон и ее акцепта (принятия предложения) другой стороной.
Оферта - адресованное одному или нескольким конкретным лицам предложение,
которое достаточно определенно и выражает намерение лица, сделавшего
предложение, считать себя заключившим договор с адресатом, которым будет
принято предложение. Оферта связывает лицо, направившее оферту с момента ее
получения адресатом. Если извещение об отзыве оферты поступило ранее или
одновременно с самой офертой, оферта считается не полученной.
Акцепт - ответ лица, которому адресована оферта, о ее принятии. Акцепт
должен быть полным и безоговорочным. Молчание не является акцептом, если иное
не вытекает из закона, обычая делового оборота, из прежних деловых отношений
сторон. Акцептом является совершение действий, указанных в оферте, по
выполнению условий договора в установленный для ее акцепта срок, если иное не
предусмотрено законом или не указано в оферте. Если извещение об отзыве акцепта
поступило лицу, направившему оферту, ранее акцепта или одновременно с ним,
акцепт считается недействительным. Договор считается заключенным в момент
получения лицом, направившем оферту, ее акцепта. Договор поставки носит
долгосрочный характер, поэтому при заключении договора поставки особое значение
принимает согласование всех условий и подробностей договора, а также
урегулирование разногласий.
Действующее законодательство содержит специальные правила заключения
договора поставки, в том числе по разрешению разногласий на стадии заключения
договора поставки (ст. 507 ГК РФ).
Разногласия по заключению между сторонами договора поставки могут
возникнуть тогда, когда происходит обмен проектами, и выявляются документы,
необходимые для заключения договора. Действующим законодательством РФ
установлена обязанность стороны, получившей возражения по условиям договора или
предложение согласовать иные условия (в форме протокола разногласий, письма,
телеграммы и др.), принять меры к согласованию таких условий договора, то есть
к заключению договора поставки; а также установлен 30-дневный срок для
согласования соответствующих условий, если иной срок не определен сторонами;
в-третьих, предусмотрена обязанность стороны, получившей предложение
согласовать условия и считающей согласование нецелесообразным, в тот же срок
уведомить другую сторону об отказе заключения договора поставки на предложенных
ею условиях.
В ч. 2 ст. 507 ГК РФ устанавливается ответственность за уклонение от
согласований условий договора. Так, сторона, получившая предложение по
соответствующим условиям договора, но не принявшая мер по согласованию условий
договора поставки и не уведомившая другую сторону об отказе от заключения
договора поставки в согласованный срок, обязана возместить убытки, вызванные
уклонением от согласования условий договора.
2.2 Содержание договорных
обязательств по поставке
Юридическое содержание договора поставки образуют взаимные права и
обязанности его участников, а также предусматриваемые соглашением меры
ответственности за неисполнение или ненадлежащее исполнение обязательства. Они
формулируются в виде условий (пунктов) договора.
В договоре должны быть определены:
) наименование
) количество
) развернутый ассортимент (номенклатура) подлежащих поставке изделий
) качество товаров
) комплектность товаров
) общий срок действия договора
) конкретные сроки (периоды) поставки
) цена товара
) форма и порядок расчетов;
) банковские, почтовые и транспортные реквизиты поставщика и покупателя
) требования к таре, упаковке, порядку доставки
) условия о взаимной имущественной ответственности и др.
В долгосрочных, т.е. заключаемых на срок свыше одного года, договорах
вместе с указанными выше условиями рассматриваются еще и взаимные обязанности
сторон по расширению ассортимента, улучшению качества и технико-экономических
показателей товара в течение срока действия договора, оказанию технической
помощи в процессе изготовления и эксплуатации новых видов изделий, внедрению и
использованию прогрессивных видов тары, упаковки и транспортировки товаров, а
также другие условия, вытекающие из долговременного сотрудничества сторон.
Содержание договора определяется установлениями законодательства и
согласованным изъявлением воли сторон. Нормативные акты могут непосредственно
предписывать содержание отдельных условий договора, либо предусматривать
требования к порядку выработки таких условий сторонами договора. Большинство
пунктов включается в договор по усмотрению сторон на основе взаимного
согласования интересов.
Принято различать юридико-фактические и правилообразующие условия.
Юридико-фактические - пункты договора, достижение соглашения по которым порождает
для сторон обязанность руководствоваться правовыми нормами, регулирующими
соответствующие вопросы взаимоотношений лиц. Например, указание в договоре
номера и позиции прейскуранта, установившего в централизованном порядке цену на
товар, влечет для субъектов необходимость следовать всем другим требованиям,
предписываемым этим прейскурантом, в частности о распределении расходов по
транспортировке товара, размерах скидок и надбавок к цене.
Согласование вида транспорта, которым будет доставлен товар, порождает
обязанность руководствоваться требованиями уставов (кодексов) и правил
перевозок грузов соответствующим видом транспорта.
Правилообразующие условия договоров вырабатываются сторонами
самостоятельно для придания необходимой четкости и определенности,
взаимосвязанным действиям, достижения желаемых результатов. Они разрабатываются
субъектами в случаях, когда закон не устанавливает правил действий в
соответствующей ситуации. Нередко законодательство указывает на необходимость
включения в договор какого-либо условия, относя определение его содержания к
усмотрению участников обязательства. В ряде случаев регламентируется порядок
разработки таких условий, указываются обстоятельства, подлежащие учету
контрагентами в ходе согласования.
Основная масса условий договора поставки должна вырабатываться субъектами
самостоятельно, путем согласования взаимоприемлемой редакции пунктов.
Особую группу составляют обеспечительные условия. В целях стимулирования
к исполнению обязанностей, обеспечения своих интересов на случай возможного
неисполнения договора контрагенты предусматривают различные меры имущественной
ответственности, специальные способы обеспечения обязательств, оперативные
санкции и другие меры.
Предмет поставки определяется путем установления в договоре наименования,
количества и ассортимента (номенклатуры) товара.
Количество подлежащего поставке товара определяется в договоре на основе
заказа покупателя и с учетом возможностей поставщика. Оно предусматривается в
натуральном и денежном выражении.
Ассортимент (номенклатура) представляет собой установленное договором
количественное соотношение различных видов, артикулов, моделей, размеров,
расцветок, рецептур и т.п. подлежащих поставке товаров. Положения о поставках
различают групповой и развернутый ассортимент. Групповой ассортимент
характеризует товар по укрупненным группам или видам, а развернутый - по более
детализированным показателям. Он определяется исходя из заказа покупателя, а
также специализации и производственного профиля поставщика.
Групповой ассортимент устанавливается в долгосрочных, реже - годовых
договорах. Он подлежит ежегодной (для годовых договоров - ежеквартальной)
конкретизации сторонами. Развернутый ассортимент обычно предусматривается в
спецификации, являющейся частью договора.
В необходимых случаях стороны могут уточнять и изменять согласованный
ассортимент в порядке и в сроки, предусматриваемые договором.
Качество поставляемых товаров определяется в договоре с учетом требований
стандартов, технических условий или иных нормативно-технических документов.
Номера и индексы стандартов, технических условий, иной документации указываются
в договоре.
Государственные стандарты должны содержать обязательные и рекомендуемые
требования к качеству продукции. К обязательным требованиям относятся требования
к продукции, обеспечивающие ее безопасность для жизни и здоровья населения,
охрану окружающей среды, совместимость и взаимозаменяемость изделий.
Обязательные требования стандартов распространяются на все государственные,
кооперативные, арендные, совместные и другие предприятия и организации,
независимо от их ведомственной принадлежности и форм собственности, а также на
граждан, занимающихся предпринимательской деятельностью.
К рекомендуемым требованиям относятся требования, характеризующие
потребительские и другие свойства продукции. Конкретное содержание их поставщик
и покупатель определяют при заключении договоров. Предприятиям, организациям и
объединениям предоставлено право самим разрабатывать и утверждать стандарты
предприятия на выпускаемую продукцию, если требования таких стандартов
превышают показатели государственных стандартов на соответствующие изделия.
Комплектность товаров устанавливается стандартами, техническими условиями или
прейскурантами. Стороны могут предусмотреть в договоре поставку продукции с
дополнительными к изделию частями или без отдельных ненужных покупателю частей,
входящих в комплект. Если комплектность изделия не определена
нормативно-техническими документами, она может устанавливаться в договоре. Срок
договора определяет временные границы существования обязательства в целом, он
влияет на содержание остальных условий договора. Общий срок действия договора
устанавливается соглашением сторон. Для контрагентов, как правило, выгодно
заключение договоров на более длительные сроки, если только поставка не носит
разового характера. Досрочная поставка допускается с согласия покупателя. Такое
согласие может «быть заранее предусмотрено в договоре либо даваться по просьбе
заинтересованной стороны в отношении отдельных партий товара. Товары,
отгруженные досрочно без согласия покупателя, принимаются им на ответственное
хранение и подлежат оплате по наступлению срока их поставки.
Сумма договора определяется сторонами и выражает общую стоимость
подлежащих поставке товаров. В договоре должна указываться конкретная цена. В
необходимых случаях в договоре кроме цены указываются скидки и надбавки на
возмещение расходов по хранению и переотправке товаров снабженческими и
оптовыми торговыми организациями.
Иные условия договора. Стороны вправе оговорить в договоре любые иные
условия, устанавливающие требования к предмету поставки или порядку исполнения
обязательства.
В договоре должны предусматриваться меры ответственности за неисполнение
или ненадлежащее исполнение взаимных обязанностей (в том числе, путем отсылки к
законодательству о поставках). Помимо мер ответственности могут вводиться
специальные способы обеспечения обязательства (залог, поручительство или
гарантия и др.), а также меры оперативного воздействия на нарушителя.
2.3 Исполнение договора поставки
Договор поставки является одним из самых распространенных, среди
многочисленных договорных отношений между субъектами рынка. Это связано с тем,
что даже если поставка не является основным видом деятельности организации или
предпринимателя, то для обеспечения своей работы им все равно необходимо
приобретать к какие-то товары и вступать в договорные отношения с поставщиками.
Нормы, посвященные исполнению договора поставки, находятся как в
специальном параграфе 3 главы 30 ГК РФ («Поставка товаров»), так и в параграфе
1 главы 30 ГК РФ, посвященному общим положениям о купле-продаже, поскольку
поставка является ее разновидностью. Кроме того, при решении вопросов об
исполнении договора поставки, необходимо применять положения главы 22 ГК РФ
(«Исполнение обязательств»), которые являются общими для всех видов
гражданско-правовых обязательств.
Исполнение договора - это совершение определенных действий, о которых
стороны договорились при заключении договора. Можно сказать, что исполнение
договора поставки - это его содержательная часть. Исполнение договора может
быть реальное и надлежащее.
Реальное исполнение заключается в том что, стороны совершили действия в
отношении друг друга, которые по своей сути должны совпадать с тем, о чем они
изначально договаривались. Например, поставщик предоставил покупателю
оборудование, а покупатель перечислил на расчетный счет поставщика денежные
средства за товар). Это и есть реальное исполнение договора.
Другой аспект договора поставки - его надлежащее исполнение. В практике
зачастую встречаются случаи, когда стороны договора поставки, конфликтуя по
поводу исполнения условий договора, смешивают эти два понятия: «надлежащее
исполнения договора» и «реальное исполнение договора». Тот факт, что эти
понятия тесно связаны между собой, очевиден. Однако надлежащее исполнение
договора - это его качественная часть. В зависимости от того, как исполнена
содержательная часть договора поставки (поставлен ли товар в полном объеме,
оплачена ли поставка вовремя) можно говорить о надлежащем или ненадлежащем
исполнении договора поставки.
При этом обе части договора поставки - содержательная и качественная -
являются взаимозависимыми. Следовательно, недопоставка товара в оговоренном
количестве (нарушение качественной части договора) влечет за собой неисполнение
договора (нарушение его содержательной части).
Так же существуют заблуждения по поводу реальности исполнения договора.
Реальность исполнения понимается как фактическая отгрузка товара в полном
объеме, без какого-либо возмещения, например, за недопоставку. Такой взгляд
имел место в плановом хозяйстве в социалистическом гражданском праве, сейчас
этот подход устарел, поскольку в действующей системе отношений.
В настоящее время, в отсутствие административных рычагов воздействия
времен планового хозяйствования, нельзя заставить поставщика выполнить
обязательство по поставке в натуральном виде, если у него, например, нет
необходимого товара. Поэтому действующим законодательством и предусмотрена
возможность денежного возмещения «реально неисполненного» обязательства.
3. Анализ исполнения договоров
поставки
3.1 Анализ выполнения договорных
обязательств
До того, как товар начнет свое движение от продавца к покупателю, оба они
связаны обязательством: одного - продать товар другого - купить этот товар.
Нерушимость договора, контракта защищается законами правового общества.
Контракт (договор) - это документ, определяющий права и обязанности
сторон, вступивших в отношения купли-продажи.
Вместе с тем контракт может рассматриваться как источник информации,
поскольку в нем зафиксированы количество и ассортимент товара, предназначенного
к продаже, в нем приводятся качественные признаки товара, оговариваются его
цена и общая стоимость всей партии. Контракт определяет условия и сроки
поставки товара. Все это дает возможность сравнить фактические результаты
поставки с договорными обязательствами и сделать вывод о добросовестном или
неполном выполнении условий контракта и его требований.
Первое, с чего начинается анализ договорных обязательств, - это оценка
выполнения контракта (договора, заявки) по объему поставки. При этом
фактический объем поставки сравнивается с договорной величиной, и если
обнаруживается несоответствие, то определяются относительный и абсолютный
размеры недопоставки. Надо отметить, что поставка, превышающая размер,
установленный контрактом и не обусловленная взаимной договоренностью, настолько
же невыгодна покупателю, как и недопоставка. Для рыночных отношений характерной
чертой должно быть скрупулезное соблюдение договоренностей, в том числе и по
объему поставки.
Оценка уровня выполнения договора (контракта) поставки товаров,
достаточно однородных, узкоассортиментных, измеряемых в натуральных величинах,
характеризуется следующими формулами:
а) уровень (степень) выполнения договорных обязательств:
Nd = Qif/Qid
б) абсолютный размер отклонения поставки от условий договора
(недопоставки или лишней поставки):
∆N = Qid - Qif ,
где Qid и Qif - количество поставленного 1-го товара соответственно по
договору и фактически.
Если расчет данного показателя осуществляется в натуральных единицах, то
сопоставимость числителя и знаменателя показателя выполнения договорных условий
автоматически обеспечена.
Когда же расчет ведется в стоимостных единицах (широкоассортиментная и
неоднородная продукция), следует строго соблюдать принцип обеспечения
сопоставимости цен в числителе и знаменателе показателя уровня отклонения.
Если по условиям договора поставка учитывалась в текущих, изменившихся
ценах, то формулы показателей относительного уровня (индекса Iдог) и
абсолютного размера (прироста, ∆дог) соответствия поставки договорным
условиям примут следующий вид:
где рid и рif - цены г-го товара соответственно по договору и
фактические; m - число i-х товаров.
Отклонение от суммы поставки, предусмотренной договором, может быть
обусловлено как количественным, так и ценностным фактором. Для того чтобы
определить реальное соответствие объема (количественного фактора) поставки условиям
договора, необходимо пересчитать фактическую поставку в цены того периода,
когда был заключен договор. Уровень (степень) выполнения договорных
обязательств определяется в данном случае по следующей индексной формуле:
Абсолютное отклонение в сопоставимых ценах
Другой индексный показатель уровня выполнения договора отразит влияние
ценностного фактора на уровень отклонения поставки от договорных условий. Этот
показатель исчисляется по формуле индекса цен Пааше:
Абсолютный показатель отклонения стоимости поставки за счет ценностного
фактора представляет собой разницу между числителем и знаменателем предыдущего
индекса отклонения:
Можно использовать формулы связи индексов для контроля и для того, чтобы
отразить роль каждого из факторов в уровне и абсолютном отклонении фактической
стоимости поставки от условий договора:
В процессе анализа выполнения договорных условий можно обнаружить, что
полное соответствие объема поставки показателю контракта не исключает
отклонений по различным позициям ассортимента.
Например, больше, чем следует, поставили товара данного вида (предположим,
дорогого) и недопоставили другого (дешевого). Это нарушает условия договора, не
устраивает конечного потребителя, может негативно повлиять на товарооборот.
Могут быть использованы различные методы выявления и характеристики
ассортиментных отклонений поставки от условий контракта.
Первым методом можно считать определение абсолютных линейных отклонений
поставки от условий договора по каждой ассортиментной позиции. Полученную таким
образом сумму целесообразно отнести ко всему размеру поставки, предусмотренному
договором. Таким образом, можно получить и абсолютную, и относительную величины
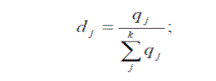
(т.е. размер и степень) нарушения договорных условий по ассортименту:
где qjd и qjф - поставка j-го ассортиментного вида товара соответственно
по договору и фактически;
к - число ассортиментных видов товара.
Если ассортиментные позиции учитываются в стоимостных единицах, то при
расчете отклонений необходимо предварительно обеспечить сопоставимость цен (как
в формуле *).
Вторым методом может быть определение степени структурных различий (т.е.
устанавливается, в какой мере совпадают или расходятся удельные веса отдельных
ассортиментных позиций в общем объеме поставки товара). Для этой цели
исчисляется среднее линейное отклонение фактических относительных показателей
ассортиментной структуры поставки от предусмотренных договором:
где djd и djф - удельный вес (доля) j-го ассортиментного вида товара в
общем объеме его поставки соответственно по договору и фактически,
к - число j-х ассортиментных видов товара.
Третий метод позволяет выявить процесс влияния ассортиментных сдвигов
поставки на показатель отклонения фактической стоимости поставки от договорной.
Для этой цели используется индекс влияния структурных сдвигов:
где рjd - цена j-го ассортиментного вида товара по договору; и qjф -
количество j-го ассортиментного вида товара, соответственно предусмотренное
договором и поставленное фактически; к - число j-ых ассортиментных видов
товара.
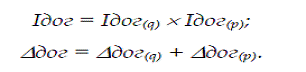
Общее относительное отклонение фактической поставки от договорной будет
выражено следующей мультипликативной индексной моделью:
Важным направлением изучения выполнения договорных условий является
анализ равномерности и ритмичности поставки.
Равномерность поставки - это поступление товаров равными партиями через
равные промежутки времени. Ритмичность поставки - это соблюдение сроков и
размеров поставки, оговоренных контрактом с учетом сезонных и цикличных
особенностей производства, продажи или потребления.
Оба эти явления оказывают сильное влияние на экономическую и социальную
эффективность торговли. Неравномерная и аритмичная поставка создает негативные
колебания нагрузки на продавцов и покупателей, приводит к возникновению
очередей, нерациональному использованию транспортных средств. В результате
растут издержки, снижается рентабельность, растут нерациональные затраты
времени покупателей. В сфере производства проявления неравномерности и
аритмичности поставки приводят к нарушениям договорных связей, снижению
оборачиваемости товаров и т.д.
Как правило, товары отгружаются покупателю не сразу по мере их
производства, а с некоторыми интервалами, обусловленными рядом факторов:
необходимостью накопления оптимального размера партии товаров, наиболее
выгодного для перевозки; дальностью расстояния от точки сбыта; возможностями
транспорта; потребностями торговли; емкостью складов; равномерностью и
ритмичностью самого производства. Существуют также пики роста спроса перед
праздничными днями, перед рекреационными сезонами и т.д. Взаимовыгодно в
периоды, предшествующие пикам, наращивать поставку определенных товаров, а по
окончании ажиотажного спроса сокращать или прекращать поставку. Эти
обстоятельства должны быть оговорены в контракте.
3.2 Особенности анализа исполнения
договорных обязательств по поставке
Для анализа степени выполнения планов по номенклатуре (ассортименту) и
выполнения договоров поставок в управленческом учете должна быть сформирована
информация о продажах продукции в разрезе позиций номенклатуры (ассортимента) и
в разрезе договоров.
В табл. 3.2.1 приведен вариант формирования необходимой для анализа
информации. В табл. 3.2.2 представлена методика расчета обобщающего процента
(коэффициента) ассортиментности.
В табл. 3.2.3 изложена методика расчета обобщающего показателя выполнения
обязательств по всем договорам поставок.
Таблица 3.2.1 Исходная информация для оценки выполнения плана по
номенклатуреи соблюдения договоров поставок
Информация, представленная в табл. 3.2.1, показывает, что имели место
случаи невыполнения плана, как по некоторым позициям номенклатуры, так и по
отдельным договорам поставок.
Таблица 3.2.2 Методика расчета обобщающего показателя выполнения плана по
всей номенклатуре. (Расчет обобщающего процента ассортиментности)

** Проверка: 98,28% + 11,20% + 4,93% = 114,41%.
Организация перевыполнила план по объему продаж за отчетный год на
14,41%, однако не выполнила план по номенклатуре (по изделиям группы «В»).
В графе 5 табл. 3.2.2 (пункт 6) определен обобщающий процент выполнения
плана по всей номенклатуре (обобщающий процент ассортимент- ности), который
составил 98,28%. В таблице также содержится информация о формировании
фактического объема продаж (в сумме 331 800 тыс. руб., или 114,41% к плану), из
нее:
- в
соответствии с планом по номенклатуре реализовано продукции на сумму 285 000
тыс. руб., или 98,28%;
- сверх
плана поставлено продукции на сумму 32 500 тыс. руб., или 11,20%;
- реализовано
продукции, не предусмотренной планом, на сумму 14 300 тыс. руб., или 4,93%.
Обобщающий процент (коэффициент) ассортиментности может быть исчислен
упрощенным способом, исходя из суммы недовыполнения плана по отдельным позициям
номенклатуры (графа 8 таблица 1.5.2). В приведенном примере план не выполнен по
одной позиции номенклатуры - по изделиям группы «В». Сумма недовыполнения
составила 5000 тыс. руб., или 1,72%.
Процент (коэффициент) ассортиментности равен: 100% - 1,72% = 98,28%.
Важнейшей характеристикой деятельности коммерческих организаций является
степень выполнения плана поставок продукции в соответствии с заключенными
договорами.
План с учетом поставок считается выполненным, если поставлена продукция
надлежащих номенклатуры и качества всем контрагентам согласно договорам,
заказам и нарядам на поставку. Продукция, отгруженная одному покупателю сверх
количества, предусмотренного в договоре, не засчитывается в покрытие
недопоставленной продукции другим покупателям. Равным образом поставленная
продукция одних наименований не засчитывается в покрытие недопоставленной
продукции других наименований номенклатуры (ассортимента).
Таблица 3.2.3 Методика оценки выполнения договорных обязательств по
поставкам продукции тыс. руб.
* Проверка: 282 000 тыс. руб. + 35 500 тыс. руб. + 14 300 тыс. руб. = 331
тыс. руб.
** Проверка: 97,24% + 12,24% + 4,93% = 114,41%. 800
В табл. 3.2.3 представлена информация о поставках продукции в разрезе
заключенных с контрагентами договоров, которая отражает реальное соблюдение
договорной дисциплины. В отчетном году план по объему продаж перевыполнен на 41
800 тыс. руб., или на 14,41%. Однако организация допустила серьезные нарушения
договорных обязательств:
- по
договорам № 1, 3, 4 объем поставок значительно превысил договорные
обязательства организации (общая сумма по трем договорам составила 35 500 тыс.
руб., или 12,24% к общей величине договорных обязательств на год);
- по
договору, не предусмотренному планом на отчетный год, отгружено продукции на
сумму 14 300 тыс. руб., что составило 4,93% к общей величине договорных
обязательств на год;
- не
выполнены обязательства по договорам № 2, 5, 7 на общую сумму 8000 тыс. руб.,
что составило 2,76% к общей величине договорных обязательств на год.
В графе 5 табл. 3.2.3 определен обобщающий процент выполнения плана по
поставкам продукции, который составил 97,24% (пункт 11, графа 5). Этот
показатель ниже процента ассортиментности (98,28%), что свидетельствует об
имевшихся у организации возможностях соблюдения договорной дисциплины: по
группе изделий «А» договор № 2 мог быть выполнен, по группе изделий «Б» договор
№ 5 мог быть выполнен, поскольку общий фактический объем продаж по группам
изделий «А» и «Б» выше планового.
Анализ должен быть завершен изучением причин невыполнения плана по
отдельным позициям номенклатуры и договорам поставок.
Такими причинами могут быть:
• недопоставка
необходимых сырья и материалов, комплектующих
изделий и покупных полуфабрикатов;
• несвоевременный
ввод и освоение производственных мощностей;
• недостатки в организации производства;
• изменение плановой номенклатуры (ассортимента) продукции и договорных
обязательств в течение отчетного периода.
Недовыполнение планов по договорам поставок приводит к снижению выручки и
прибыли от продаж, росту величины штрафных санкций. Кроме того, в условиях конкуренции
организация может потерять рынки сбыта, что вызовет спад производства.
Результаты анализа номенклатуры продукции и выполнения обязательств по
поставкам могут использоваться в корпоративном управлении для оценки
деятельности организаций, входящих в холдинг (корпорацию), например при
принятии решений о материальном и моральном стимулировании коллективов.
С целью эффективного управления объемами производства и продаж,
соблюдения обязательств перед покупателями в рамках управленческого анализа
необходимо разработать календарные планы выпуска и отгрузки продукции, а также
систему ежедневного оперативного учета и анализа выполнения планов по выпуску и
отгрузке продукции.
Заключение
В заключении можно подвести итоги курсовой работы, которые показывают,
что договор поставки является консенсуальным (поставщик обязуется передать
товары покупателю, а последний обязуется их оплатить), возмездным, двусторонним
(синаллагматическим) договором.
Данный договор предусматривает ограничения по субъектному составу на
стороне продавца - это субъект, осуществляющий предпринимательскую деятельность
и по целям, для которых приобретается товар покупателем - товары приобретаются
для использования в предпринимательской деятельности или иных целях, не
связанных с личным, семейным, домашним и иным подобным использованием;
Нормативно-правовые акты не содержат прямых указаний на существенные
условия договора поставки, но из анализа статей о применении норм ГК РФ о
купле-продаже и судебной практики следует, что существенными условиями договора
поставки являются наименование товара, количество и его цена.
Таким образом, договор поставки в условиях развития рыночных отношений
получил очень широкое применение, с данным видом гражданско-правового договора
имеет дело практически каждый субъект предпринимательской деятельности. В
условиях современного развития производства товаров и сырья, а также увеличения
интенсивности и объёма процесса обмена этими материальными благами было бы
немыслимо предположить существование гражданско-правовой действительности без
договора поставки. Основная цель анализа объема производства для поставок и
непосредственно поставок продукции заключается в установлении степени
выполнения плана по выпуску номенклатуры продукции, стоимостным показателям
(товарная, нормативная чистая, реализованная продукция), договорным
обязательствам, а также в выявлении резервов и рациональных путей их
использования.
Источниками данных для анализа объема производства и поставок продукции
служит установленная периодическая отчетность промышленного предприятия
(годовая, квартальная, месячная) - форма № 1 и форма № 8 «Отчет о выполнении
плана по продукции» (месячная и годовая), форма № 12 «Реализация продукции».
Кроме этого, для анализа используются учетные документы (суточные, сменные
рапорты о выполнении основных технико-экономических показателей, ведомости
учета кооперированных поставок и т.д.), плановые документы (годовые,
квартальные, месячные наряды-задания на выработку продукции, хозрасчетные
наряды-заказы и т.д.) данные бухгалтерского учета, расчеты цен и нормативов
чистой продукции и других документов.
Анализ производства и поставок на предприятии должен проводиться всеми
службами с участием общественных организаций. При анализе выпуска продукции
сопоставляются данные за различные периоды времени, выявляется ритмичность
работы различных цехов и участков, использование их производственных мощностей,
выясняются причины отклонений выпуска продукции.
Список используемой литературы
1. Беляевский И.К., Данченок Л.А., Коротков А.В. Татаркова.
СТАТИСТИКА РЫНКА ТОВАРОВ И УСЛУГ: учебно-практическое пособие/ Московский
государственный университет экономики, статистики и информатики. - 143 с.,
2006.
. В.О. Мушинский. «Основы гражданского права». М. 2007 г.
. Витрянский В.В. «Договорное право. Договоры о передаче
имущества».
. Гражданский процесс. Учебник / Под ред. В.В. Яркова. - М.:
Волтерс Клувер- 703 с., 2009.
5. Комплексный экономический анализ коммерческих организаций:
Учебник / Под редакцией проф. Н.В. Войтоловского, проф. А.П. Калининой.- СПб.:
Изд-во СПбГУЭФ, .- 264 с. 2010.
6. Комментарий к Гражданскому кодексу РФ. Под. Ред. О.Н.
Садикова М. 2011 г.
. Учебник по гражданскому праву. Часть 2. Под ред. А.П.
Сергеева, Ю.К. Толстого.