Усереднення в коливних системах з повільними та швидкими змінними
Курсова
робота
з
методики викладання вищої математики
на
тему:
«Усереднення
в коливних системах з повільними та швидкими змінними»
Зміст
Зведення
системи
Теореми
про близькість розв'язку вихідної і усередненої системи на скінченому на нескінченому
проміжках
Формулювання
теорем про близькість розв'язків системи з повільними та швидкими змінними
Висновок
Література
Вступ
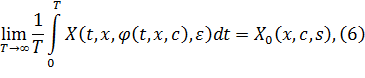
Для усереднення систем зі швидкими і повільними
змінними ми розглянемо систему
де вважатимемо вектор
-
вектор повільних змінних, а
- вектор швидких
змінних.
Також для виведення теореми нам потрібні будуть
теореми про близькість розв'язку вихідної і усередненої системи на скінченому
на нескінченому проміжках. Ці теореми будуть сформульовані нижче.
Доведення ж теорем про усереднення коливних
систем з повільними і швидкими змінними є аналогічними теоремам про близькість
розв'язку вихідної і усередненої системи на скінченому на нескінченому
проміжках.
Зведення системи
Система вигляду
(1)
має назву системи з швидкими та повільними
змінними (тут
- вектор повільних
змінних,
вектор
швидких змінних).
Якщо покласти в (1)
,
то знайдемо
Система (2) називається виродженою.
При дослідженні систем зі швидкими та повільними
змінними мається на увазі, як правило, що відомий загальний розв'язок
виродженої системи. Нехай цей розв'язок має вигляд
де с - вільна змінна. Тоді систему (1) шляхом
елементарних перетворень можна звести к стандартному вигляду. Дійсно, будемо
зоглядати (3) як заміну змінних
Легко бачити, що в
нових змінних система (1) має вигляд
Позначаючи першу частину другого рівняння
системи (4) через
знаходимо
Отримана таким чином система (5) є системою
стандартного вигляду.
Теореми про близькість розв'язку вихідної і
усередненої системи на скінченому на нескінченому проміжках
Сформулюємо декілька теорем про усереднення для
стандартних систем на скінченому та нескінченому проміжках.
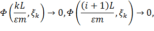
Перша теорема про усереднення. Нехай функція
визначена
і неперервна в області
і нехай в області
:
)
) в кожній точці
існує
границя;
) розв'язок
усередненої
системи належить області
з деяким околом
.
) на кожному скінченому відрізку
вздовж
траєкторії
виконується
нерівність
тоді для будь-якого як завгодно малого
і
для як завгодно великого
можна вказати таке
що
при
на
відрізку
буде
виконуватись нерівність
де
і
-
розв'язки систем, задовольняючи умови x(0) =
Доведення.
Відмітимо, що функція
також
задовольняє умові Ліпшиця. Дійсно, нехай
і
-
будь-які точки з області D. Тоді для будь-якого
можна
вказати такі числа
і
,
що при
будуть
виконуватись нерівності
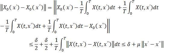
Звідси випливає
Оскільки
довільне,
то в границі отримаємо
Позначимо тепер
через
I відрізок
і
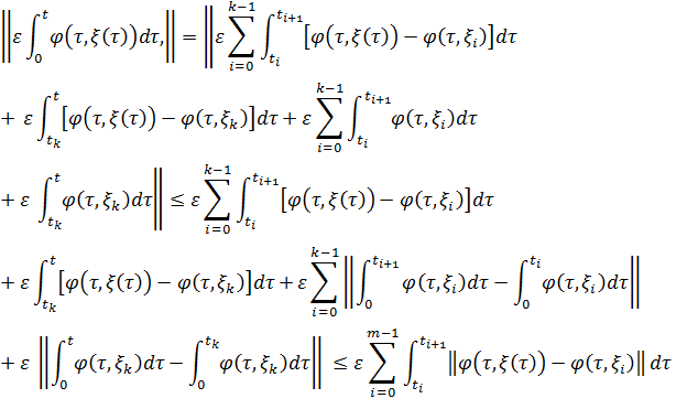
оцінимо
на
цьому
відрізку
інтеграл
де
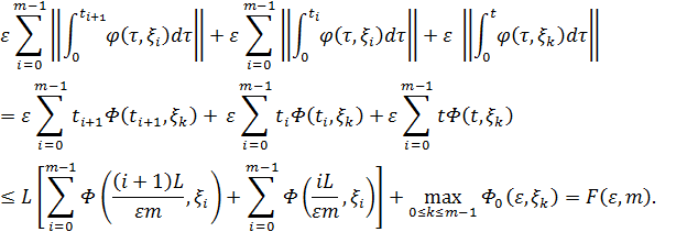
Для цього розділимо відрізок I на m рівних
частин точками
і покладемо
Припустимо, що
для
деякого
Оскільки
то
Введемо позначення
Зрозуміло, що при кожному фіксованому
функція
прямує
до нуля при
тому при
фіксованих
маємо

Звідси
Отже
Відмітимо, що відповідним вибором достатньо
великого m і достатньо малого
величина
може
бути зроблена як завгодно малою.
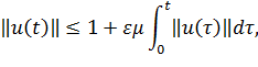
Тепер будемо шукати розв'язок у вигляді
Тоді переходячи до відповідних інтегральних
рівнянь, знаходимо рівняння для знаходження u(t).
Отже
тобто
На відрізку І маємо нерівність
Якщо x(t) на всьому відрізку І не покидає
області D, то якщо покласти
Отримаємо твердження теореми. Покажемо, що x(t)
належить D на всьому відрізку І. дійсно, оскільки початкова точка x(0)
знаходиться всередині області, то на деякому відрізку
розв'язок
буде знаходитись в області.
Нехай
Тоді на всьому відрізку
,
на якому x(t) належить D будемо мати
Тепер, якщо припустимо, що
то
на відрізку
в силу
неперервності розв'язків x(t) i ξ(t) знайдеться
така точка T, в якій буде виконуватись нерівність
Однак з
цієї
рівності
випливає,
що
при
t = T розв'язок
x(t) не
покидає
області
D. Тому
T
Отже
Отримане протиріччя свідчить про те,що
Теорема
доведена.
Друга теорема про усереднення. Нехай функція
визначена
в області
і нехай в області
:
1)
неперервна по t, а по x задовольняє умови Ліпшица
2) в
кожній точці
рівномірно
відносно t існує границя
І функція
обмежена;
) розв'язок
усередненої
системи
визначено для всіх
і
належить області
з деяким околом
) розв'язок
рівномірно
асимптотично стійкий.
Тоді для будь-якого
можна
вказати таке
що при
при
всіх
буде
виконуватись нерівність
Доведення.
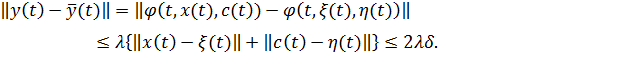
Аналогічно попередній теоремі можемо показати,
що
Нехай
-
рівномірно асимптотично стійкий розв'язок усередненої системи. В силу
рівномірної стійкості для будь-яких
можна
вказати
(причому
не
залежить від
в силу рівномірної
стійкості), що для будь якого розв'язку
рывняння
,
Задовольняючого в момент
нерівності
при
буде
виконуватись нерівність
По знайденому
і
заданому
виберемо
так
що при
на
відрізку
виконувалась
нерівність
Припустимо тепер, що нерівність
Не виконується для всіх
.
Тоді, очевидно, знайдеться такий момент
,
що
причому при
буде
виконуватись нерівність \
Тоді на відрізку
таке,
що
Таких точок може бути декілька. В цьому випадку
візьмемо саму крайню (найбільшу) з них. Нехай
Тоді
для
буде
виконуватись нерівність
Отже при
будемо
мати
Нехай тепер
-
будь-який розв'язок усередненої системи, задовольняючої початковій умові
маючи
на увазі рівність
і враховуючи, що в якості
,
знаходимо
.
Але тепер можна вибрати
так,
що на відрізку
буде виконуватись
нерівність
.
З іншої сторони, якщо
,
то
тобто 
Отримали протиріччя. Теорема доведена.
Тому доведені теореми для стандартних систем на
скінченому і нескінченому проміжку можуть бути використані для системи вигляду
(5), а також на системи з повільними і швидкими змінними вигляду (1).
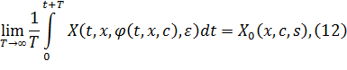
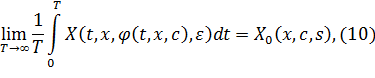
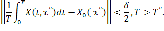
Розглянемо систему (1). Нехай для цієї системи
ставиться задача Коші
Для системи (5) отримаємо наступні початкові
дані:
де
визначаємо
з рівняння
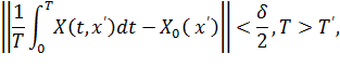
Нехай існують границі
Тоді системі (5) поставимо у відповідність
усереднену систему
Згідно з теоремами о усереднені в стандартних
системах, для будь-якого
можна вказати таке
,
що при
на
відрізку
будуть
виконуватись нерівності
Нехай функція
задовольняє
умови Ліпшица
Введемо позначення
Маємо
Отже на відрізку
для
системи (1) зі швидкими та повільними змінними ми отримали наближений розв'язок
Відмітимо, що в багатьох випадках до системи (5)
доцільно застосовувати частинне усереднення, тобто усереднювати тільки перше
рівняння в (5). Нехай існує границя (6). Відносно існування границі (7) ніяких
припущень робити не будемо. Тоді системі (5) поставимо у відповідність частино
усереднену систему:
Формулювання теорем про близькість розв'язків
системи з повільними та швидкими змінними
Сформулюємо для цього випадку одну з можливих
теорем про усереднення.
Теорема 1: Нехай функції
,
і
визначені
і неперервні в області
і нехай в області
:
Функції X і F обмежені і задовольняють умові
Ліпшица по x і по y;
розв'язок
виродженої
системи визначений в області
, причому
при
і
частинні похідні
обмежені в
і
задовольняють умові Ліпшица по x і по c, а в
в кожній точці області
рівномірно
відносно
існує
границя
а функція
обмежена
і задовольняє умові Ліпшица по x і по c;
розв'язок
,
частинно
усередненої системи
Визначено для всіх
і
належить області
з деякім околом.
Тоді для будь-яких
можно
знайти
,
таке що при
на відрізку
будуть
виконуватись нерівності
Ця теорема не потребує спеціального доведення,
оскільки є наслідком теореми доведеної раніше про частинне усереднення в
системах стандартного вигляду.
Теорема про усереднення на нескінченому проміжку
для даного випадку буде мати наступне формулювання.
Теорема2. Нехай виконуються всі умови
попередньої теореми, і окрім цього нехай виконується:
рівномірно відносно
,
і
існує
границя
і функція
обмежена;
розв'язок
частинно
усередненої системи (11) рівномірно асимптотично стійке відносно
.
Тоді для будь-якого
можна
вказати
,
таке що при всіх
для всіх
будуть
виконуватись нерівності
Відмітимо, що при обчисленні границі (10)
можливі випадки, коли функція
не буде залежати
від c. Тоді перше рівняння частинно усередненої системи (11) буде мати вигляд
Згідно приведеним вище міркуванням, розв'язок
системи
(13) на відрізку
буде якомога точно
апроксимувати повільну змінну
системи (1). Більш
того системи (1) і (13) можна тепер розглядати незалежно від другого рівняння
частинно усередненої системи (11) і безповесердьо встановити близькість
розв'язків
і
систем
(1) і (13).
Нарешті, ще раз підкреслимо, що методом варіації
довільних сталих система (1) зі швидкими і повільними змінними зводиться до
системи стандартного вигляду (5), усереднюючи котру, ми приходимо до висновку,
що усереднення в системах зі швидкими і повільними змінними слід виконувати
вздовж загального розв'язку (3) виродженої системи (2) згідно з формулою (6).
Зрозуміло, якщо для (1) початкові дані задані
при
і
загальний розв'язок (3) записано в формі
,
то середнє слід обчислювати за формулою (6) виду
Висновок
Отже викладемо загальний прийом асимптотичного
інтегрування системи (1). Ідея асимптотичного інтегрування полягає в тому, щоб
в системі зі швидкими і повільними змінними замінити змінні таким чином, щоб в
нових змінних швидкі рухи були відділені від повільних. Ця ідея розділення
рухів широко використовувалась в працях Н.М. Крилова, Н.Н. Боголюбова.
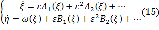
Отже виконуємо заміну змінних в (1)
таким чином, щоб система (1) в нових змінних
мала вигляд
теорема система проміжок
змінна
тут функції
,
,
k=1,2,3,… підлягають визначенню.
В системі (15) повільні змінні відокремлені від
швидких, і перше рівняння цієї системи інтегрується незалежно від другого.
Підставляючи (14) в (1) і враховуючи (15), знаходимо наступні рівняння для
визначення незалежних функцій
,
:
тут
відома
функція, залежна від попередніх наближень до k-1 порядку;
відома
функція, залежна від попередніх наближень до k-1 порядку і від
.
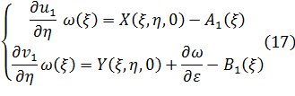
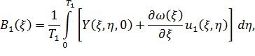
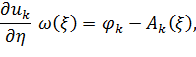
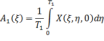
При k=1 система (16) має вигляд

Тоді
де
- довільна функція. Це говорить про те ,що
побудова асимптотичного розкладу (14) не однозначно. Таке положення характерно
для асимптотичних теорій.
Вибір функцій
може
бути виконано по різному. Будемо вважати, що
Із другого рівняння
(17) знаходимо
Аналогічним чином розглядається система (16) при
k=2,3,… і т д.
Література
А.Н.
Филатов. "Асимптотические методы в теории дифференциальных и
интегро-дифференциальных уравнений". Ташкент. Издательство
"Фан", 2010г.