Способы расчета процентных ставок
Оглавление
Введение
Глава
I. Элементы финансовой математики
1.1
Процентные ставки
1.1.1 Эффективная
процентная ставка
1.1.2
Простые и составные проценты
1.1.3
Непрерывное начисление сложных процентов
1.1.4
Накопления
1.1.5
Интенсивность процентов
1.1.6
Номинальные процентные ставки
1.2
Способы вычисления процентных ставок
1.2.1.
Простейший способ вычисления процентных ставок
1.2.2.
Общий метод вычисления эффективной процентной ставки
Глава
II. Примеры решения задач
2.1
Простейшие задачи
2.1.1
Методы простых процентов
2.1.2
Метод сложных процентов
2.1.3
Сравнение методов простых и сложных процентов
2.2
Нахождение эффективной процентной ставки при помощи программы MS Excel
2.2.1
Формулировка задачи
2.2.2
Решение задачи методом Ньютона в программе MS Excel
Заключение
Список
литературы
Введение
Математика возникла на заре цивилизации как
ответ на жизненно важную потребность человека в количественном отображении
окружающего его мира: нужно было подсчитывать расстояния, площади возделываемых
полей, собранный урожай, поголовье домашнего скота.
Современная математика интенсивно проникает в
другие науки: во многом этот процесс происходит благодаря разделению математики
на ряд самостоятельных областей. Язык математики универсален, что является
объективным отражением универсальности законов окружающего нас многообразного
мира.
Экономика как наука об объективных причинах
функционирования и развития общества еще со Средних веков пользуется
разнообразными количественными характеристиками, а потому вобрала в себя большое
число математических методов.
В наше время человек не может себе представить
жизнь без применения математики к экономике. Одним из самых распространенных
видов приложений математики к экономике является кредит.
Низкие темпы роста доходов и высокая инфляция не
позволяют гражданам накопить достаточно средств на нужную дорогую покупку. На
выручку приходит кредитование, которое иногда становится единственным способом
для приобретения дорогостоящей покупки. При этом, объемы потребительского
кредитования постоянно растут.
Кредиты люди берут на разные цели, начиная от
мелких покупок (бытовые приборы, мебель, мобильные телефоны и аксессуары) до
приобретения земельных участков, жилья, недвижимости и автомобилей. Но самое
интересное - это то, что просматривается зависимость между социальными
характеристиками основной группы заемщиков (такими как возраст, социальное
положение, пол, материальное положение, регион проживания) и целями
потребительских кредитов.
Кредитованием занимаются множество банков, как
недавно открытых, так и существующих на рынке уже не первый десяток лет.
Рекламные баннеры, телевизионная реклама и листовки пестрят различными
«выгодными предложениями кредитования» от всевозможных банков. Но, как
известно, рекламе нельзя доверять на 100%.
Также, не менее популярными являются такие
услуги, как вклады с многообещающими процентами. И здесь не все так просто,
поскольку желаемое не всегда становится действительным, несмотря на обещания и
предложения.
Цель работы: рассмотреть несколько различных
вариантов расчета процентных ставок.
Задача: на наглядных примерах показать способы
вычисления процентов.
Глава I. Элементы финансовой математики
.1 Процентные ставки
.1.1 Эффективная процентная ставка
Смысл эффективной процентной ставки достаточно
прост - она призвана отражать реальную стоимость кредита с точки зрения
заёмщика, то есть учитывать все его побочные выплаты, непосредственно связанные
с кредитом (помимо платежей по самому кредиту). Например, такими побочными
выплатами являются печально известные «скрытые» банковские комиссии - комиссии
за открытие и ведение счёта, за приём в кассу наличных денег и т.п. Или,
скажем, если вы берёте автокредит, то банк обязует вас страховать приобретаемый
автомобиль на протяжении всего срока кредитования. При этом страховка будет
являться для вас обязательной побочной выплатой (но уже не самому банку, а
страховой компании).
Рассмотрим следующую простейшую ситуацию.
Предположим, что в момент времени
мы даем в
долг сумму S (например, кладем на свой счет в банке, вносим плату за страховку,
перечисляем пенсионный взнос в пенсионный фонд и т.д.). Спустя время
мы можем
рассчитывать на определенный доход
от инвестирования принадлежащего нам
капитала S. Сумма
является
наградой за то, что наши средства использовались другим человеком. Обычно ее
измеряют в относительных единицах; величина
называется эффективной процентной
ставкой за рассматриваемый промежуток времени
.
.1.2 Простые и составные проценты
Предположим теперь, что сумма S
может инвестироваться на два последовательных промежутка времени. Пусть
-
эффективная процентная ставка на первом промежутке,
-
соответственно на втором. Существуют две схемы исчисления дохода
на
объединенном интервале:
Принцип простых процентов
предполагает, что проценты начисляются только на основной капитал. Поэтому
.
Соответственно, итоговая процентная ставка
.
Принцип сложных процентов
предполагает, что проценты начисляются не только на основной капитал, но и на
уже заработанные проценты. Поэтому в конце второго интервала времени основной
капитал
вырастет до
величины
Соответственно, итоговая процентная
ставка
определяется
из условия
,
т.е.
.
Принцип сложных процентов фактически
означает, что инвестор может свободно распоряжаться своими средствами. Поэтому
в актуарной математике принято использовать принцип сложных процентов при
определении дохода от вложенных средств.
Процентные ставки, используемые в
большинстве расчетов в актуарной математике, определяются, исходя из
консервативных оценок доходности реальных будущих инвестиций страховщика. Они
намного ниже реальных процентных ставок, предлагаемых рынком для различных
видов инвестиционных проектов. Их значение заключается в том, чтобы как-нибудь
учесть рост денег, внесенных в качестве платы за страховое покрытие. Поэтому их
называют техническими процентными ставками.
На самом деле страховая компания
зарабатывает гораздо большие проценты; более того, это один из самых (если не
самый главный) источник дохода страховщика.
.1.3. Непрерывное начисление сложных
процентов
Как известно, для стремящегося к
бесконечности числа x существует предел
→∞(1+1x)x=e,
где e = 2,718281828... - основание
натуральных логарифмов. Эта формула называется вторым замечательным пределом.
Из неё следует, в частности, что справедливо соотношение
→∞(1+jm)m=ej
Значит, если капитализация процентов
осуществляется достаточно часто, например, ежедневно, то эффективную процентную
ставку можно приближённо найти следующим образом:
≈ej−1
.1.4 Накопления
Выберем некоторый промежуток времени
в качестве единичного (как правило, один год) и предположим, что процентная
ставка за этот промежуток равна
. Допустим, что в момент
сумма S
инвестируется на
единиц
времени. По принципу сложных процентов в момент времени
капитал S
превратится в сумму
.
Величина
называется коэффициентом накопления
за время
.
.1.5 Интенсивность процентов
Интенсивность процентов
- это
мгновенная относительная скорость накопления средств

.
Интенсивность процентов удобно
использовать для изучения накоплений в случае изменяющихся процентных ставок. В
этом случае
и
.1.6 Номинальные процентные ставки
Рассмотрим промежуток времени длиной
. Если в
качестве единицы измерения принят один год, то наиболее часто встречаются
случаи:
(рассматриваемый
промежуток времени равен одному месяцу);
(квартал);
(полугодие).
Эффективная процентная ставка
за этот
промежуток времени равна
.
Однако в финансовой математике
принято характеризовать доходность вложения средств на промежутке
не
эффективной (т.е. реальной) процентной ставкой
, а так называемой номинальной
процентной ставкой
.
Иногда величину
называют
номинальной процентной ставкой выплачиваемой (начисляемой) с частотой
.
Суть номинальной процентной ставки
такова. Если вы положили деньги в банк, то проценты по вкладу будут начисляться
не непрерывно, а с некоторой периодичностью - раз в год, квартал, месяц или
даже день. Этот процесс начисления процентных денег и их присоединения к сумме
вклада называется «капитализацией процентов». Допустим, что капитализация
процентов происходит m раз в год. Тогда, если известна j- номинальная
процентная ставка по вкладу, то каждый раз при начислении процентов сумма на
счету вкладчика будет увеличиваться в
раз.
.2 Способы вычисления процентных
ставок
.2.1 Простейший способ вычисления
процентных ставок
Эффективная процентная ставка - это
сложная процентная ставка по кредиту, рассчитанная в предположении, что все
платежи, необходимые для получения данного кредита, идут на его погашение.
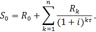
То есть, если в результате получения
кредита размером S0 заемщик вынужден совершать платежи R0, R1, R2, …, Rn в
моменты времени t0=0, t1, t2, …, tn соответственно (включая платежи по самому
кредиту, побочные комиссии, страховые выплаты и т.д.), то эффективная
процентная ставка i находится из соотношения:
Эффективная процентная ставка служит
в первую очередь для сравнения между собой различных банковских предложений, и
при её вычислении точные даты совершения платежей обычно неизвестны. Поэтому,
если платежи совершаются через формально одинаковые промежутки времени
продолжительностью τ
(ежемесячно,
ежеквартально и т.д.), то данная формула примет вид:
Если задана номинальная процентная ставка, и
капитализация процентов осуществляется m раз в год, то за год сумма вклада
увеличится в
(1+jm)m раз.
Так как, с другой стороны, всегда должно
выполняться соотношение для сложной процентной ставки:
S(t) = (1+ it ) S0, т.е.
S(1)=(1+i ) S0, то
i=(1+jm)m−1.
Найденная таким образом сложная процентная
ставка называется «эффективной», так как она, в отличие от номинальной ставки,
характеризует настоящую доходность (эффективность) ссудной операции.
.2.2 Общий метод вычисления эффективной
процентной ставки
Размер эффективной процентной ставки даже для
относительно простых ссудных операций нельзя найти с помощью какой-либо
формулы. На помощь здесь приходят так называемые численные методы, которые
позволяют за конечное число шагов вычислить приближённое значение искомой
величины с необходимой точностью.
Общий метод приближённого вычисления эффективной
процентной ставки, который мы рассмотрим далее, может применяться для любой
ссуды, платежи по которой совершаются через одинаковые промежутки времени. Его
основу составляет численный метод Ньютона, суть которого, в общих чертах,
заключается в следующем.
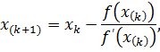
Допустим, нам нужно найти решение уравнения f(x)
= 0, где f(x) - некоторая дифференцируемая функция. Тогда при определённых
условиях последовательность чисел {x(k)}, где самое первое значение x(0)
выбирается самостоятельно, а каждое последующее находится по формуле
сходится к точному решению этого уравнения. Нам
сейчас не важно, что это за условия, при желании информацию об ограничениях
метода Ньютона можно легко отыскать.
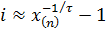
Посмотрим теперь, как использовать этот метод
для вычисления эффективной процентной ставки.
Введём новую величину
ντ = (1 + i )-τ,
которая называется множителем дисконтирования
для периода времени τ. С её помощью
формулу (18.2), представляющую собой общее соотношение для нахождения
эффективной процентной ставки, можно переписать следующим образом:
Нахождение корня этого уравнения эквивалентно
нахождению корня функции
Эта функция имеет только один положительный
корень (нас интересуют только положительные корни), причём он лежит в интервале
(0, 1). Этот корень можно легко найти с помощью метода Ньютона, предварительно
вычислив производную функции f(x):
Теперь, выбрав в качестве начального приближения
x(0) = 1, с помощью первой формулы мы получим последовательность чисел x(k),
сходящихся к точному значению ντ . Приближённое
значение искомой эффективной процентной ставки находится из следующего
соотношения:
(предполагается, что мы закончили вычисления на
шаге с номером n).
Глава II. Примеры решения задач
.1 Простейшие задачи
.1.1 Методы простых процентов
Допустим, что вкладчик положил сумму 100 тысяч
рублей в банк, предлагающий 10% годовых. Предположим, банк использует метод
простых процентов для начисления процентов по вкладу. Необходимо найти сумму,
которая будет лежать на счету вкладчика через полгода.
Воспользуемся методом вычисления простых
процентов. Формула для вычисления выглядит так:
где t - момент времени, S0 - первоначальный
размер вклада (задолженности), S(t) - конечная денежная сумма, a i - процентная
ставка.
В нашей задаче дано:=100000;
;=10%=0,1.
Найти: S(t)=?.
Решение:
Ответ: через полгода на счету вкладчика будет
сумма, равная 105 тысячам рублей.
2.1.2 Метод сложных процентов
Предположим, что вкладчик положил сумму 100
тысяч рублей все в тот же банк, предлагающий вклады под 10% годовых. Пусть банк
использует метод сложных процентов по вкладу. Найти сумму, которая будет лежать
на счету вкладчика через полгода.
Воспользуемся методом вычисления сложных
процентов. Формула для вычисления выглядит так:
где t - момент времени, S0 - первоначальный
размер вклада (задолженности), S(t) - конечная денежная сумма, a i - процентная
ставка.
В нашей задаче дано:=100000;
;=10%=0,1.
Найти: S(t)=?.
Решение:
Ответ: через полгода на счету вкладчика будет
сумма, равная 104881 рублей.
процент ставка сложный платеж
2.1.3 Сравнение методов простых и сложных
процентов
Для наглядности рассмотрим пример, показывающий,
к каким расхождениям может привести использование простых процентов для
полугодового вклада, когда процентная ставка составляет 300% годовых.
Итак, данные задачи:= S - размер вклада;
- время;=300%=3 -
процентная ставка.
Если бы банк использовал простые проценты, то
итоговую сумму искали бы по формуле:
Подставляя значения, получаем:
А при использовании сложных процентов,
вычисления производились бы по формуле:
В данной задаче получаем:
Разница в результатах составляет
или
25% относительно сложного итога.
Таким образом, вкладчик получает большую
прибыль, если банк использует метод простых процентов, по сравнению с банком,
использующим метод сложных процентов.
.2 Нахождение эффективной процентной ставки при
помощи программы MS Excel
.2.1 Формулировка задачи
Кредит размером 24 тысячи евро, выданный на два
года под 12% годовых, погашается ежемесячными платежами в соответствии с
дифференцированной схемой. Комиссия за организацию кредита составляет 1% от его
суммы. Кроме того, каждый месяц с заемщика взимается комиссия за ведение
ссудного счета размером 0,1% от суммы кредита. Необходимо найти эффективную
процентную ставку по данному кредиту.
Прежде всего, построим график погашения кредита (без
учета структуры платежей). Мы знаем, что платежи в счет погашения кредита
образуют арифметическую прогрессию с начальным членом
и разностью
Кроме того, при получении кредита заемщик был
вынужден заплатить
а каждый месяц с него взимается комиссия
размером
.2.2 Решение задачи методом Ньютона в программе
MS Excel
На основе данных задачи составляем график платежей
по кредиту (рис. 2.1):
Рис. 2.1 График платежей по кредиту
Где в столбце А записан порядковый номер платежа
(номер месяца), в столбец В внесены размеры платежа без учета комиссии, а в
столбец С - размеры платежа с учетом комиссии.
Значения столбца «с комиссией, Rk», за
исключением самого первого (с индексом 0), совпадают с коэффициентами при
степенях х у функции F(x), которую мы будем использовать в расчетах.
Для получения первого коэффициента (при нулевой
степени х) нужно из начального платежа R0=240 вычесть размер кредита (формулу
можно посмотреть в левом верхнем углу рис. 2.2, в строке формул):
Рис. 2.2 Нахождение коэффициентов функции F(x) и
F’(x)
Коэффициенты с номером k у производной равен
коэффициенту с номером (k+1) у функции F(x), умноженному на (k+1).
Теперь можно применить метод Ньютона для
нахождения месячного множителя дисконтирования (рис. 2.3):
Рис. 2.3 Нахождение месячного множителя
дисконтирования
Одновременно с вычислением месячного множителя
дисконтирования определяем саму эффективную ставку i (рис. 2.4):
Рис. 2.4 Нахождение эффективной процентной
ставки
Таким образом, метод Ньютона привел нас к
окончательному ответу всего лишь за пять вычислений: эффективная процентная
ставка по рассматриваемому кредиту приближенно равна 16,38%, что на 4,38%
больше, чем номинальная ставка.
Следует обратить внимание на следующие моменты:
В табличном редакторе не нужно вручную вычислять
коэффициенты при степенях х для производной;
С помощью функции «РЯД.СУММ(x; n; m;
коэффициенты)», где х - значение переменной степенного ряда, n - показатель
степени х для первого члена степенного ряда, m - шаг, на который увеличивается
показатель степени n для каждого следующего члена степенного ряда и набор
коэффициентов при соответствующих степенях х, можно легко вычислять значения
как самой функции F(x), так и ее производной.
Заключение
Существование экономики без математических
методов решения различных задач невозможно. Мы рассмотрели лишь малую долю
жизненных примеров взаимосвязи математики и экономики в жизни современного
человека. Каждый на своем жизненном пути сталкивался с задачей, подобной
рассмотренным. Недаром существует такое выражение, как «жизнь в кредит». И в
такое нелегкое время просто необходимо разбираться в экономике. К сожалению, не
существует универсальной формулы решения всех проблем, поэтому, мы считаем, что
каждый человек должен, хотя бы поверхностно знать большую часть предложенного
материала и уметь работать с ним. Всем наверняка придется ни один раз
столкнуться с кредитованием, и каждый выбирает условия, выгодные ему в данной
ситуации. А для того, чтобы сделать правильный выбор, необходимо проверить все,
ведь в таких ситуациях мелочей не бывает, а любая ошибка может дорого стоить.
Для этого мы рассмотрели несколько распространенных способов расчета процентной
ставки и предложили яркие примеры с вычислениями. Мы выяснили разницу между
простыми и сложными процентами. Если простые проценты начисляются все время на
одну и ту же первоначальную сумму долга, то есть база начисления является
постоянной величиной, то сложные проценты начисляются на увеличивающуюся с
каждым периодом начисления базу.
Таким образом, простые проценты по своей сути
являются абсолютными приростами, а формула простых процентов аналогична формуле
определения уровня развития изучаемого явления с постоянными абсолютными
приростами. Сложные проценты характеризуют процесс роста первоначальной суммы
со стабильными темпами роста, при наращении ее по абсолютной величине с
ускорением, следовательно, формулу сложных процентов можно рассматривать как
определение уровня на базе стабильных темпов роста.
Список литературы
З.
Боди, Р. Меротон «Финансы». Москва, изд. «Вильямс», 2005 г. ;
Кренина
М.Н. «Финансовый менеджмент». Москва, изд. «Дело», 2001 г.;
М.С.
Красс, Б.П. Чупрынов. «Математика для экономистов. Учебное пособие». Изд.
«ПИТЕР», 2005 г.;
Н.Л.
Кузнецова, А.В. Сапожникова «Актуарная математика. Учебное пособие». Изд.
Тюменского государственного университета, 2010 г.;
Стоянова
Е.С. «Финансовый менеджмент». Москва, 2003 г.;