Регуляризация особого интегрального уравнения
Министерство
образования Республики Беларусь
Учреждение
образования
«Гомельский
государственный университет
имени
Франциска Скорины»
Факультет
математический
Кафедра
математического анализа
Курсовая
работа
Регуляризация
особого интегрального уравнения
Исполнитель:
Бондорева М.С.
Научный руководитель:
доцент Ермаков В.Г.
Гомель 2013
Содержание
Введение
. Элементы теории краевых задач
Римана
. Регуляризация особого уравнения
.1 Композиция особых операторов
.2 Регуляризующий особый оператор
.3 Способы регуляризации
. Основные свойства особых уравнений
.1 Некоторые свойства особых союзных
операторов
.2 Основные теоремы об особых
интегральных уравнениях
Заключение
Список использованных источников
Введение
задача уравнение интегральный риман
В данной курсовой работе рассматриваются вопросы
регуляризации особых интегральных уравнений. Если в линейном интегральном
уравнении
ядро имеет вид 
(0
,
где 
- непрерывная функция, то такое
уравнение называется фредгольмовым.
Если 
, то интеграл становится особым
(сингулярным). Будем рассматривать уравнения с ядром Коши типа
Общая теория Гильберта дает
возможность и в этом случае получить ряд важных результатов. Для некоторых
конкретных классов сингулярных интегральных уравнений разработаны специальные
способы их решения, учитывая характерные свойства этих уравнений. Интегральные
уравнения такого сорта встречаются в теории упругости.
При решении этих уравнений вводятся
характеристическое уравнение
Для построения полной теории особых интегральных
уравнений используется регуляризация. Различают регуляризация справа,
регуляризация слева и равносильная регуляризация.
В работе проделаны и другие вещи: сформулированы
и доказаны теоремы Нётера.
1. Элементы теории краевых задач Римана
Интеграл Коши, типа Коши, особый интеграл.
Пусть L
- некоторый гладкий замкнутый контур плоскости комплексного переменного z.
Область, лежащую внутри контура L,
будем называть внутренней и обозначать D+,
а дополнительную к D++
L область,
содержащую бесконечно удаленную точку, будем называть внешней и обозначать D-.
За положительное направление обхода контура L,
как обычно, будем принимать то, при котором область D+
остается слева.
Формула Коши дает возможность вычислить значения
функции в любой точке области, если известны ее значения на границе области;
коротко это обстоятельство выражают словами: формула Коши решает краевую задачу
для аналитических функций. Интеграл, стоящий в левой части формул (1.1) и
(1.2), называется интегралом Коши.
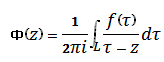
Пусть теперь L
- гладкий замкнутый контур или незамкнутый контур, целиком расположенный в
конечной части плоскости; t - комплексная координата его
точек и ц(t) - непрерывная функция точек контура. Тогда
интеграл
построенный так же, как и интеграл Коши,
называется интегралом типа Коши. Функция ц(t) называется его
плотностью.
Легко видеть, что интеграл типа Коши
представляет собой функцию, аналитическую во всей плоскости комплексного
переменного, за исключением точек самого контура L.
Рассмотрим интеграл
Вычисляя его как несобственный, получим
Предел последнего выражения зависит,
очевидно, от способа стремления 
и 
к нулю. Следовательно, интеграл,
понимаемый как несобственный, не существует. Его называют особым ( сингулярным)
интегралом.
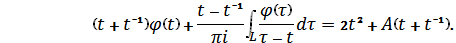
Решение краевой задачи Римана.
Задача Римана. Найти две функции: Ф+(-
аналитическую в области D+, и Ф-)
- аналитическую в области D-, включая 
, удовлетворяющая на контуре L линейному
соотношению
Функцию 
будем называть коэффициентом задачи
Римана, а функцию 
- ее свободным членом.
Решение однородной задачи.
При ч>0, обозначая многочлен
степени ч с произвольными коэффициентами 
.
Если индекс ч краевой задачи Римана
неотрицателен, то однородная задача имеет ч+1 линейно независимых решений.
При отрицательном индексе задача
неразрешима.
В случае ч<-1 неоднородная
задача, вообще говоря, неразрешима. Для того, чтобы она была разрешима,
необходимо и достаточно, чтобы свободный член задачи удовлетворял -ч-1
условиям:

, (k=1,2,…,-ч-1).
Сведение характеристического особого
интегрального уравнения к краевой задачи.
Рассмотрим простейший тип особого интегрального
уравнения - характеристическое:
В этом случае решение уравнения можно свести к
решению краевой задачи Римана и дать решение уравнения в замкнутой форме.
Введем кусочно-аналитическую функцию, заданную
интегралом типа Коши, плотностью которого служит искомое решение
характеристического уравнения
Внося значения 
,
решая его относительно
, получим,
что кусочно-аналитическая функция должна являться решением краевой задачи
Римана

,
.
Задачи Римана будем называть
индексом интегрального уравнения.
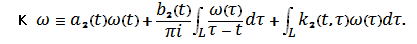
2. Регуляризация полного уравнения
.1 Композиция особых операторов
Здесь будут выделены некоторые
частные типы полных особых интегральных уравнений, которые также могут быть разрешены
в замкнутой форме. В общем же случае решение особых интегральных уравнений
производиться приведением их к интегральному уравнению Фредгольма.
Процесс приведения особого
(сингулярного) интегрального уравнения к уравнению Фредгольма (регулярному) называется
регуляризацией. Ниже будут изложены различные способы регуляризации, важнейшие
из которых состоят в применении к особому оператору другого, специально
подобранного, особого оператора.
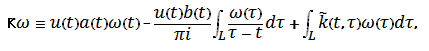
Пусть К1, К2 -
особые операторы:

Оператор К=К2К1,
определяемый формулой Кц=К2 (К1ц), будем называть
композицией или произведением операторов К1 и К2 ( в
указанном порядке: произведение операторов, вообще говоря, не переместительно).
Запишем операторы К1, К2
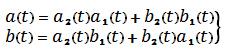
в форме с явно выделенной характеристической частью:
Таким образом, коэффициенты a(t), b(t)
характеристической части произведения операторов К1К2
выражаются формулами
Эти формулы не содержат регулярных
ядер k1, k2 и они
симметричны относительно индексов 1 и 2.
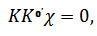
.2 Регуляризующий оператор
Если особый оператор К2
таков, что оператор К2К1 является регулярным
(фредгольмовым), т.е. в нем отсутствует особый интеграл ( b(t)
0), то К2 называется
регуляризующим оператором по отношению к особому оператору К1 или,
коротко, его регуляризатором.
Найдем общий вид регуляризующего
оператора.
По определению, должно выполняться
равенство

=0,
из которого следует, что


,
где u(t) -
произвольная неисчезающая функция, удовлетворяющая условию Гёльдера.
Общий вид его регуляризатора,
который будем обозначать 
, таков:
где 
- произвольное фредгольмово ядро, а

- произвольная функция, удовлетворяющая
условию Гёльдера.
Так как перемножение операторов не
переместительно, то следует различать два вида регуляризации: регуляризацию
слева, когда в результате получается оператор
, и регуляризацию справа, когда она
приводит к оператору 
.
.3 Способы регуляризации
Пусть дано полное особое
интегральное уравнение.
Как уже указывалось, решение такого
уравнения производиться путем регуляризации. Употребительны три способа
регуляризации. Первые два основаны на композиции данного сингулярного оператора
и его регуляризатора (регуляризация слева и справа). Третий способ существенно
отличается от первых двух, здесь устранение особого интеграла производиться
путем решения соответствующего характеристического уравнения.
При построении теории сингулярного уравнения
будут использованы только первые два способа регуляризации.
Регуляризация слева. Возьмем регуляризующий
оператор

По определению (
- регуляризатор) оператор
фредгольмов.
Таким образом, мы преобразовали особое интегральное уравнение в интегральное
уравнение Фредгольма относительно той же неизвестной функции 
.
В этом состоит первый способ
регуляризации - регуляризация слева. Заметим, что этот метод употреблялся еще
основоположниками теории особых интегральных уравнений Гильбертом и Пуанкаре.
3. Основные свойства особых
уравнений
.1 Некоторые свойства особых союзных
операторов
В дальнейшем будем использовать два
свойства союзных операторов. Свойства эти не являются характерными для особых
операторов, а присущи всем линейным операторам.
Пусть К - особый оператор, - особое
ядро:

- его союзный оператор:
-е свойство. Для любых функций 
и 
, удовлетворяющих условию Гёльдера,
справедливо тождество

Доказательство. Имеем

.
Обозначим в двойном интеграле
переменную 
через 
,а через 
и группируя члены соответствующим
образом.
Заметим, что тождество полностью
характеризует союзный оператор и его иногда принимают за определение этого
оператора.
- е свойство. Имеет место тождество

Доказательство. Составим композицию
особых операторов и производя несложные преобразования, в числе которых
применение формулы перестановки порядка интегрирования, найдем
Отсюда по
определению союзного оператора
Совершив теперь
композицию операторов
и сравнив полученные результаты,
убедимся в справедливости.
.2 Основные теоремы об особых интегральных
уравнениях (теоремы Нётера)
Известно, что число решений интегрального
уравнения Фредгольма ( число собственных функций, принадлежащих данному
собственному значению) конечно. Легко установить, что это же справедливо
свойство и для особых уравнений.
Теорема 1. Число решений особого интегрального
уравнения конечно.
Доказательство непосредственно вытекает из
возможности регуляризации особого уравнения. Как было установлено,
регуляризация слева не дает потери решений. Следовательно, число решений
особого уравнения не больше числа решений уравнения Фредгольма. Отсюда и
вытекает утверждение теоремы.
Докажем, что условия разрешимости особого
уравнения имеют тот же вид, что и для уравнений Фредгольма.
Теорема 2. Необходимым и достаточным условием
разрешимости особого уравнения является выполнение равенств

где 
- полная система линейно
независимых решений союзного однородного уравнения 
=0.
Необходимость условий является
простым следствием тождества. В самом деле, пологая в интеграле 
и используя тождество и тот факт,
что 
, получим равенство:
Доказательство достаточности
распадается на два случая.
ч ≥0. Регуляризующие операторы
имеют индекс -ч ≤ 0, поэтому из множества этих операторов всегда можно
выбрать такой оператор 
, который не имеет собственных
функций. Поэтому уравнение Фредгольма равносильно исходному уравнению и,
следовательно, одновременно разрешимы или неразрешимы.
Выпишем условия разрешимости уравнения:

Рассматривая уравнение как особое
интегральное уравнение с оператором 
и искомой функцией оператора 
. Обозначая ее 
, придем к условию.
1. ч < 0. Применим регуляризацию
справа. Произведя подстановку
придем к уравнению Фредгольма
равносильному исходному уравнению.
Выпишем условия разрешимости уравнения:
где 
- полная система решений уравнения
Рассматриваем уравнение как особое с
оператором 
и искомой функцией 
. Оператор 
, как характеристический с
отрицательным индексом, не имеет собственных функций, поэтому
. Последнее
означает, что 
является собственной функцией
оператора 
. Обозначая ее 
.
Теорема доказана полностью.
Перейдем к доказательству теоремы, являющейся
центральным пунктом в теории особого уравнения с ядром Коши.
Теорема 3. Разность числа n линейно
независимых решений особого числа 
линейно независимых решений
союзного уравнения 
зависит лишь от характеристической
части оператора К и равна его индексу, т.е.

=ч.
Доказательство. Пусть ч ≥0.
Возьмем в качестве регуляризующего оператора 
. Тогда фредгольмово уравнение
будет
равносильно исходному уравнению
и, следовательно, тоже будет иметь 
решений. В силу второй теоремы
Фредгольма союзное ему уравнение
,
будет иметь также 
решений. Последнее уравнение
равносильно следующему характеристическому:
Так как ч ≥0, то, последнее
уравнение разрешимо при любой правой части и, следовательно, все постоянные 
в нем будут произвольными.
Уравнение (2.11) будет иметь столько же решений (т.е. 
), что и (2.10). Но оно есть
неоднородное характеристическое с индексом ч ≥0, его решение имеет вид
Нетрудно доказать, что 
+ч функций,
стоящих в правой части последнего равенства, линейно независимы. Действительно,
допустим, что выполняется соотношение
хотя бы при одном 
, отличном от нуля. Это ведет к
противоречию, так как левая часть последнего выражения есть решение
неоднородного уравнения 
и, следовательно, не может быть
нулем. Равенство 
также может удовлетворяться лишь
при всех 
, равных нулю, в силу того, что
функции 
линейно независимы по определению
(если правая часть уравнения содержит линейную комбинацию 
линейно независимых функций с
произвольными коэффициентами, а соответствующее однородное уравнение имеет ч линейно
независимых решений, то неоднородное уравнение имеем 
+ч линейно
независимых решений).
Следовательно, уравнение имеет 
+ч линейно
независимых решений. Отсюда 
+ч.
Для случая ч < 0 не требуется
отдельного доказательства. Так как свойство операторов быть союзными взаимно,
то в качестве исходного возьмем союзный оператор 
, имеющий индекс 
.
На основании доказанного будем иметь

. Теорема доказана.
Пример регуляризации слева и справа.
Для удобства дальнейших рассуждений
предварительно решим данное уравнение. Запишем его в форме характеристического:
. Регуляризация слева. Так как
индекс уравнения ч=-2<0, то любой его регуляризующий оператор будет иметь
собственные функции (не менее двух), поэтому регуляризация слева приводит к
уравнению, не равносильному исходному.
Рассмотрим сначала регуляризацию
слева при помощи простейшего регуляризатора
К.Найдем собственные функции
уравнения
Находя собственные функции оператора
К, получим
Запишем уравнение в форме характеристического:
Соответствующая ему краевая задача Римана будет
такова:
Условия разрешимости дадут 
.
Постоянная 
остается произвольной, и
регуляризованное уравнение равносильно не исходному уравнению.

где 
- произвольная постоянная.
Последнее решение удовлетворяет исходному уравнению только при 
.
Приступим теперь к нахождению
равносильного регуляризатора слева. Поскольку данное уравнение разрешимо, такой
регуляризатор для него существует и может быть эффективно построен.
Построим прежде всего сопряженный
оператор
К. По
определению,
Учитывая, что

, 
, 

,
получим
Уравнение
будет
равносильным исходному, но, вообще говоря, не будет регулярным. Роль
преобразования оператора
К сводится в
общем случае к приведению данного разрешимого особого уравнения к другому,
равносильному ему особому уравнению с нулевым индексом; последнее окончательно
регуляризуется. Однако в рассматриваемом случае характеристическая часть
оператора
К совпадает
с оператором
К0,
который, как известно, является регуляризатором для оператора К. Поэтому
уравнение
будет
фредгольмовым.
Получаем следующее уравнение
Фредгольма:

.
. Регуляризация справа. В качестве
регуляризатора справа возьмем простейший оператор
К0.
Получим уравнение Фредгольма относительно функции 
:
Решая последнее уравнение как
вырожденное, будем иметь
где 
- произвольные постоянные.
Таким образом, регуляризованное
уравнение имеет относительно 
два линейно независимых решения.
Решение исходного особого уравнения. Результат согласуется с общей теорией, так
как при отрицательном индексе регуляризация справа является равносильной.
Заключение
В этой курсовой работе были рассмотрены вопросы
регуляризации особых интегральных уравнений. Были изучены свойства
регуляризации особых интегральных уравнений, были использованы различные
способы регуляризации полных особых интегральных уравнений.
Сформулировано и доказано 3 теоремы Нётера.
Теорема 1. Число решений особого интегрального
уравнения конечно.
Теорема 2. Необходимым и достаточным условием
разрешимости особого уравнения является выполнение равенств

где 
- полная система линейно
независимых решений союзного однородного уравнения 
=0.
Теорема 3. Разность числа n линейно
независимых решений особого уравнения
и числа 
линейно независимых решений
союзного уравнения 
зависит лишь от характеристической
части оператора К и равна его индексу, т.е. 
=ч.
Список использованных источников
Мусхелишвили, Н.И.
Сингулярные интегральные уравнения. Граничные задачи теории функций и некоторые
их приложения к математической физике / Н.И. Мусхелишвили. - Изд. 3-е. - М.:
Главная редакция физико-математической литературы издательства «Наука», 1968. -
512 с.
Привалов, И.И. Введение в
теорию функций комплексного переменного / И.И. Привалов. М.: Высшая школа,
1999.
Маркушевич, А.И. Краткий
курс теории аналитических функций / А.И. Маркушевич. - М.: Физматгиз, 1968.
Шабат, Б.В. Введение в
комплексный анализ / Б.В. Шабат. - М.: Наука, т.1, 1976.
Волковский, Л.И. Сборник
задач по теории функций комплексного переменного / Л.И. Волковский, Г.Л. Лунц,
И. Г. Араманович. - М.: Наука, 1970.