Оценка работы грузового автомобильного терминала

  • Вид работы:
    Курсовая работа (т)
  • Предмет:
    Транспорт, грузоперевозки
  • Язык:
    Русский
    ,
    Формат файла:
    MS Word
    2,85 Мб
  • Опубликовано:
    2013-12-24
Вы можете узнать стоимость помощи в написании студенческой работы.
Помощь в написании работы, которую точно примут!

Оценка работы грузового автомобильного терминала

Введение

В настоящее время автомобильный транспорт работает с низкой эффективностью, без должной координации и взаимодействия при перевозках грузов и пассажиров; в недостаточной степени обеспечивается безопасность движения транспортных средств. Вопросам оптимизации работы транспорта всех видов, снижения затрат времени и средств, связанных с перевозкой, неблагоприятного воздействия подвижного состава на окружающую среду, повышения безопасности движения не уделяется должного внимания.

Принципы организации перевозочных услуг, изложенные в настоящей курсовой работе на тему «Организация транспортных услуг грузовым автомобильным терминалом», при их использовании в профессиональной деятельности, способствуют более эффективному использованию автомобильного транспорта с учетом принципов системного подхода и вероятностного характера протекания перевозочного процесса при обеспечении необходимой надежности функционирования его элементов, гарантирующих безопасную работу подвижного состава.

Курсовая работа направлена на формирование общепрофессиональных компетенций ПК-8, ПК-12, а именно:

способность управлять запасами грузовладельцев распределительной транспортной сети (ПК-8);

готовность применять правовые, нормативно-технические и организационные основы организации перевозочного процесса и обеспечения безопасности движения транспортных средств в различных условиях (ПК-12).

1. Общие сведения

Основное задание курсового проекта - оценка работы автомобильного терминала и расчет технологических показателей, определяющих варианты обработки грузопотоков, порядок выполнения складских и транспортных операций.

Работа грузового автомобильного терминала основана на обработке входящих и выходящих грузопотоков, укрупнении и разукрупнении грузовых модулей, выделении транспортных средств для доставки товаров потребителям и их завоз от поставщиков на терминал и некоторых других операциях.

Весь курсовой проект делится на восемь этапов:

. Определение грузопотоков, движущихся в прямом направлении от поставщиков;

. Определение грузопотоков, движущихся в обратном направлении к потребителям;

. Организация междугородных перевозок грузов;

. Определение размеров и площади склада (терминала);

. Выбор подвижного состава;

. Составление графиков работы автомобилей;

. Определение затрат терминала на обработку грузов;

. Специальная часть;

Исходные данные для выполнения курсового проекта:

. Грузы перевозят в ящиках и на паллетах.

. Два вида перевозок - прямое и обратное. Пять обслуживаемых клиентов (в прямом направлении они являются поставщиками продукции, в обратном - потребителями).

. По каждому направлению задают количество перевозимых ящиков и паллет, их характеристики, расстояние от терминала до объекта обслуживания, номер междугородной линии для доставки продукции потребителям в других городах и завоза грузов от них.

2. Определение грузопотоков, движущихся в прямом направлении от поставщиков

В прямом направлении осуществляют завоз грузов от поставщиков на терминал малотоннажными автомобилями. Далее происходит переработка и сортировка грузов по междугородным линиям. Из ящиков в дальнейшем формируют паллеты, отсортированные паллеты грузят на магистральные автопоезда и отправляют в другие города.

Так как за рейс могут перевозить различные типы ящиков, то необходимо рассчитать объем завоза груза от каждого поставщика, использующего определенный тип ящика.

Первоначально определяем сжимающее усилие на тару по формуле (2.1):

      (2.1)

где Рт - торцевая жесткость, зависящая от марки картона, Н/см;

d' - толщина картона, см (принимают d' = 1 см); i - периметр ящика, используемого для доставки продукции i-м поставщиком, см.

Торцевую жесткость выбирают из табл. 2.1.

Таблица 2.1 Торцевая жесткость


Произведем расчет сжимающего усилия для марки картона Т22, с периметром ящика Z1 = 219,81 см., Z2 = 366,78 см., Z3 = 366,78 см., Z4 = 217,71 см., Z5 = 146 см.

Рсж1=2,55×30Ö1×219,81=1134,19 Н

Рсж2=2,55×30Ö1×366,78=1465,08 Н

Рсж3=2,55×30Ö1×366,78=1465,08 Н

Рсж4=2,55×30Ö1×217,71=1128,76 Н

Рсж5=2,55×30Ö1×146=924,35 Н

Определяем высоту штабелирования по формуле (2.2):

                                                          (2.2)

где di - высота ящика i-го поставщика, м;

Кз - коэффициент запаса прочности; ящi - масса брутто ящика i-го поставщика, кг.

Принимают Кз =1,6; g = 9,81 м/с2.

Ншт1=(1134,19×0,12)/(1,6×0,01×9,81)+0,12=863,72 мм.

Ншт2=(1465,08×0,3)/(1,6×0,025×9,81)+0,3=1126,60 мм.

Ншт3=(1465,08×0,34)/(1,6×0,025×9,81)+0,34=1263,88 мм.

Ншт4=(1128,76×0,21)/(1,6×0,015×9,81)+0,21=996,62 мм.

Ншт5=(924,35×0,368)/(1,6×0,02×9,81)+0,368=1084,75 мм.

В дальнейшем определяем количество ящиков, размещаемых на паллете по формуле (2.3):

                                             (2.3)

где a - длина паллеты, м; - ширина паллеты, м;

сi - максимальная высота пакета i-го поставщика, м;

ai - длина ящика i-го поставщика, м;

bi - ширина ящика i-го поставщика, м;

e(x) означает округление значения x до целого числа в меньшую сторону.

Принимают сi = Нштi; а = 1,2 м; b = 0,8 м. Размер европаллеты составляет 1,2 х 0,8 м., По формуле (2.3) найдем количество ящиков, размещаемых на паллете:

Nящ1 = 64 шт.

Nящ2 = 24 шт.

Nящ3 =24 шт.

Nящ4 = 90 шт.

Nящ5 =18 шт.

Масса груза брутто на паллете (2.4):

                                                                        (2.4)

где mящi - масса брутто ящика i-го поставщика, т.

G1 =64×0,01=0,64т.2 =24×0,025=0,6т.3 =24×0,025=0,6т.4 =90×0,015=1,35т.5 =18×0,02=0,36т.

Объем завоза продукции на паллетах на терминал i-м поставщиком определяем по формуле (2.5):

                                                                       (2.5)

где Qзавпалi- количество паллет, завозимых i-м поставщиком на терминал.

qзавпал1 = 0,64×35=22,4т.

qзавпал2 = 0,6×36=21,6т.

qзавпал3 = 0,6×22=13,2т.

qзавпал4 = 1,35×21=28,35т.

qзавпал5 = 0,36×34=12,24т.

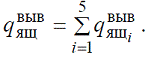
Общий объем завоза продукции на паллетах на терминал всеми поставщиками определяем по формуле (2.6):

                                                                        (2.6)

qзавпал=22,4+21,6+13,2+28,35+12,24=97,79т.

Объем завоза продукции в ящиках на терминал i-м поставщиком определяем по формуле (2.7):

                                                                    (2.7)

где Qзавящi- количество ящиков, завозимых i-м поставщиком на терминал (берут из задания).

qзавящ1=0,01×240=2,4т.

qзавящ2=0,025×302=7,55т.

qзавящ3=0,025×229=5,725т.

qзавящ4=0,01627×217=3,255т.

qзавящ5=0,02×153=3,06т.

Общий объем завоза продукции в ящиках на терминал всеми поставщиками определяем по формуле (2.8):

                                                                      (2.8)

qзавящ = 2,4+7,55+5,725+3,255+3,06=21,99 т.

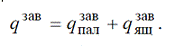
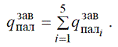
Общий объем завоза продукции на терминал всеми поставщиками определяем по формуле (2.9):

                                                             (2.9)

qзав1 = 22,4 + 2,4 = 24,8 т.

qзав2 = 21,6 + 7,55 = 29,15 т.

qзав3 = 13,2 + 5,725 = 18,925 т.

qзав4 = 28,35 + 3,255 = 31,605 т.

qзав5 = 12,24 + 3,06 = 15,3 т.

Рассчитанные по формулам (2.1-2.9) результаты заносим в табл. 2.2.

Таблица 2.2 Завоз груза на терминал

№ пост.

Nящi , шт.

Рсжi , Н

Нштi , мм

Gi , т

qзавпалi , т

qзавящi , т

qзав , т

1

64

1134,19

863,72

0,64

22,4

2,4

24,8

2

24

1465,08

1126,60

0,6

21,6

7,55

29,15

3

24

1465,08

1263,88

0,6

13,2

5,725

18,925

4

90

1128,76

996,62

1,35

28,35

3,255

31,605

5

18

924,35

1084,75

0,36

12,24

3,06

15,3

Сумма





97,79

21,99

119,78


После того, как вся продукция завезена на терминал, происходит ее обработка, сортировка, кратковременное хранение и дальнейшая отправка по междугородным линиям потребителям, находящимся в других городах. Продукцию перевозят только на паллетах в автомобилях-фургонах, поэтому необходимо рассчитать количество паллет, сформированных на терминале из ящиков, поступающих от i-го поставщика, по формуле (2.10):

                                                                 (2.10)

Кпал1 = e×(240/64) = 3 шт.

Кпал2 = e×(302/24) = 12 шт.

Кпал3 = e×(229/24) = 9 шт.

Кпал4 = e×(217/90) = 2 шт.

Кпал5 = e×(153/18) = 8 шт.

Так как при формировании паллет из ящиков возможны остатки, то для их учета используем формулу (2.11):

                                                             (2.11)

Iящ1 = 240 - 3×64 = 48 шт.

Iящ2 = 302 - 12×24 = 14 шт.

Iящ3 = 229 - 9×24 = 13 шт.

Iящ4 = 217 - 2×90 = 37 шт.

Iящ5 = 153 - 8×18 = 9 шт.

Остатки ящиков хранятся на складе до следующего цикла перевозок по междугородным линиям.

Количество паллет, отправляемых i-м поставщиком с терминала потребителям по междугородным линиям, определяют по формуле (2.12):

                                                      (2.12)

Qпост1 = 35 + 3 = 38 шт.

Qпост2 = 36 + 12 = 48 шт.

Qпост3 = 22 + 9 = 31 шт.

Qпост4 = 21 + 2 = 23 шт.

Qпост5 = 34 + 8 = 42 шт.

Количество груза, отправляемого на автомобиле i-м поставщиком, определяем по формуле (2.13):

                                                                         (2.13)

Рпост1 = 38×0,64 = 24,32т.

Рпост2 = 48×0,6 = 28,8т.

Рпост3 = 31×0,6 = 18,6т.

Рпост4 = 23×1,35 = 31,05т.

Рпост5 = 42×0,36 = 15,12т.

Количество автомобилей для перевозок грузов в междугородном сообщении определяем по формуле (2.14):

   (2.14)

Ам1 = 38/24=2

Ам2 = 48/24=2

Ам3 = 31/24=1

Ам4 = 23/24=1

Ам5 = 42/24=2

где Nа - норма загрузки автомобиля в паллетах.

Полученное значение округляют до целого числа в большую сторону.

Результаты расчётов сводят в табл. 2.3.

Таблица 2.3 Вывоз грузов с терминала на автомобилях в другие города


3. Определение грузопотоков, движущихся в обратном направлении к потребителям

В обратном направлении грузы доставляют на магистральных автопоездах из других городов на терминал, затем расформировывают по направлениям и отправляют на малотоннажных автомобилях потребителям, осуществляя вывоз грузов с терминала в город.

Как и в предыдущем разделе, необходимо рассчитать объем завоза груза с терминал каждому потребителю, использующему определенный тип ящика.

Первоначально определяем сжимающее усилие на тару по формуле (2.1):

                                                             (2.1)

где Рт - торцевая жесткость, зависящая от марки картона, Н/см;

d' - толщина картона, см (принимают d' = 1 см); i - периметр ящика, используемого для доставки продукции i-м поставщиком, см.

Торцевую жесткость выбирают из табл. 2.1.

Таблица 2.1 Торцевая жесткость


Произведем расчет сжимающего усилия для марки картона Т22, с периметром ящика Z1 = 219,81 см., Z2 = 366,76 см., Z3 = 217,71 см., Z4 = 219,81 см., Z5 = 219,81 см.

Рсж1=2,55×30Ö1×219,81=1134,19 Н

Рсж2=2,55×30Ö1×366,78=1465,08 Н

Рсж3=2,55×30Ö1×217,71=1128,76 Н

Рсж4=2,55×30Ö1×219,81=1134,19 Н

Рсж5=2,55×30Ö1×219,81=1134,19 Н

Определяем высоту штабелирования по формуле (2.2):

                                                        (2.2)

где di - высота ящика i-го поставщика, м;

Кз - коэффициент запаса прочности; ящi - масса брутто ящика i-го поставщика, кг.

Принимают Кз =1,6; g = 9,81 м/с2.

Ншт1=(1134,19×0,15)/(1,6×0,01×9,81)+0,15=1118,73 мм.

Ншт2=(1465,08×0,34)/(1,6×0,025×9,81)+0,34=1263,88 мм.

Ншт3=(1128,76×0,2)/(1,6×0,015×9,81)+0,2=996,62 мм.

Ншт4=(1134,19×0,17)/(1,6×0,01×9,81)+0,17=1250,34 мм.

Ншт5=(1134,19×0,24)/(1,6×0,015×9,81)+0,24=1163,46 мм.

В дальнейшем определяем количество ящиков, размещаемых на паллете по формуле (2.3):

                                    (2.3)

где a - длина паллеты, м; - ширина паллеты, м;

сi - максимальная высота пакета i-го поставщика, м;

ai - длина ящика i-го поставщика, м;

bi - ширина ящика i-го поставщика, м;

e(x) означает округление значения x до целого числа в меньшую сторону.

Принимают сi = Нштi; а = 1,2 м; b = 0,8 м. Размер европаллеты составляет 1,2 х 0,8 м., По формуле (2.3) найдем количество ящиков, размещаемых на паллете:

Nящ1 = 64 шт.

Nящ2 = 24 шт.

Nящ3 =90 шт.

Nящ4 = 64 шт.

Nящ5 =40 шт.

Масса груза брутто на паллете (2.4):

                                                                (2.4)

где mящi - масса брутто ящика i-го поставщика, т.

G1 =64×0,01=0,64т.2 =24×0,025=0,6т.3 =90×0,015=1,35т.4 =64×0,01=0,64т.5 =40×0,015=0,6т.

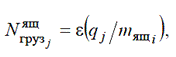
Объем вывоза продукции на паллетах с терминала i-му потребителю определяют по формуле (3.1):

                                                                 (3.1)

qвывпал1 = 0,64 × 34 = 21,76т.

qвывпал2 = 0,6 × 27 = 16,2т.

qвывпал3 = 1,35 × 25 = 33,75т.

qвывпал4 = 0,64 × 36 = 23,04т.

qвывпал5 = 0,6 × 36 = 21,6т.

где Qвывпалi - количество паллет, вывозимых i-му потребителю с терминала (берут из задания).

Общий объем вывоза продукции на паллетах с терминала всем потребителям определяют по формуле (3.2):

                                                                 (3.2)

qвывпал = 21,76 + 16,2 + 33,75 + 23,04 + 21,6 = 116,35т.

Объем вывоза продукции в ящиках с терминала i-му потребителю определяют по формуле (3.3):

                                                         (3.3)

qвывящ1= 0,01 × 245 = 2,45т.

qвывящ2= 0,025 × 233 = 5,825т.

qвывящ3= 0,015 × 301 = 4,515т.

qвывящ4= 0,01 × 243 = 2,43т.

qвывящ5= 0,015 × 311 = 4,665т.

где Qвывящi - количество ящиков, вывозимых i-му потребителю с терминала (берут из задания).

Общий объем вывоза продукции в ящиках с терминал всем потребителям определяют по формуле (3.4):

                                                                (3.4)

qвывящ = 2,45 + 5,825 + 4,515 + 2,43 + 4,665 = 19,885 т.

Общий объем вывоза продукции с терминала всем потребителям определяют по формуле (3.5):

                                                          (3.5)

qвыв= 116,35 + 19,885 = 136,235

Рассчитанные по формулам (2.1-3.5) результаты заносят в табл. 3.1.

Таблица 3.1 Вывоз груза с терминал потребителям


Перед тем, как вывезти продукцию с терминала потребителям, происходит ее обработка, сортировка, расформирование паллет и кратковременное хранение. Предварительно необходимо рассчитать количество паллет, которые в дальнейшем будут расформированы для доставки продукции с терминала в ящиках i-му потребителю, по формуле (3.6):

                                                       (3.6)

Kпал1 = e×(245/64) = 3

Kпал2 = e×(233/24) = 9

Kпал3 = e×(301/90) = 3

Kпал4 = e×(243/64) = 3

Kпал5 = e×(311/40) = 7

Так как при расформировании паллет возможен дефицит ящиков, то для их учета используют формулу (3.7):

                                                    (3.7)

Iящ1 = 245 - 3×64 = 53

Iящ2 = 233 - 9×24 = 17

Iящ3 = 301 - 3×90 = 31

Iящ4 = 243 - 3×64 = 51

Iящ5 = 311 - 7×40 = 31

Недостающие ящики (дефицит) забирают со склада и загружают вместе с ящиками, полученными из расформированных паллет, для доставки потребителям.

Количество паллет, прибываемых i-му потребителю с терминала от поставщиков по междугородным линиям, определяют по формуле (3.8):

                                                      (3.8)

Qпотр1 = 34 + 3 = 37

Qпотр2 = 27 + 9 = 36

Qпотр3 = 25 + 3 = 28

Qпотр4 = 36 + 3 = 39

Qпотр5 = 36 + 7 = 43

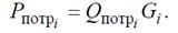
Количество груза, прибываемого на автомобиле i-му потребителю, определяют по формуле (3.9):

                                                                (3.9)

Рпотр1 = 37 × 0,64 = 23,68

Рпотр2 = 36 × 0,6 = 21,6

Рпотр3 = 28 × 1,35 = 37,8

Рпотр4 = 39 × 0,64 = 24,96

Рпотр5 = 43 × 0,6 = 25,8

Количество автомобилей для перевозок грузов в междугородном сообщении определяют по формуле (3.10):

                                                                 (3.10)

Ам1 = 37/18 = 2

Ам2 = 36/18 = 2

Ам3 = 28/18 = 1

Ам4 = 39/18 = 2

Ам5 = 43/18 = 2

где Nа - норма загрузки автомобиля в паллетах.

Полученное значение округляют до целого числа в большую сторону.

Результаты расчётов сводят в табл. 3.2.

Таблица 3.2 Завоз груза на терминал из других городов

грузопоток терминал транспортный

4. Организация междугородных перевозок грузов

После формирования грузов на терминале осуществляют их вывоз на паллетах в междугородном сообщении. При этом перевозка грузов может выполняться в адрес одного потребителя (маятниковый маршрут) или нескольких потребителей (развозочный маршрут).

Так как на терминал прибывают грузы из других городов по маятниковым и развозочным маршрутам, то для рационализации доставки необходимо объединить два материальных потока (ввоз и вывоз) в единую сеть и организовать междугородную перевозку грузов.

Процесс маршрутизации разбивается на следующие этапы:

1.       Определение количества рейсов по ввозу грузов в k-й город и вывозу из него по формулам (4.1):

                    (4.1)

где Qпоcтi берут из табл. 3; Qпотрi берут из табл. 5; Nа - из раздела 3 или 4.

2.        Определение остатков паллет для неполной загрузки автомобилей по формулам (4.2):

     (4.2)

3.        Составление баланса ввоза и вывоза грузов по каждому городу.

4.       Формирование рейсов с обратной загрузкой (полных маятниковых рейсов) по формуле (4.3):

                                             (4.3)

5. Построение развозочно-сборных маршрутов с полной загрузкой подвижного состава.

. Построение развозочно-сборных маршрутов с полной и частичной загрузкой подвижного состава.

. Построение развозочно-сборных маршрутов с частичной загрузкой подвижного состава.

Используя данные раздела 3 и 4, построим междугородные маршруты.

Так как город 1 в задании не используется, расчет по формуле (4.1) ведем для остальных городов.

Для города 2 - nе2ввоз=e(48/24)=2; nе2вывоз=e(36/18)=2;

Для города 3 - nе3ввоз=e(31/24)=1; nе3вывоз=e(28/18)=1;

Для города 4 - nе4ввоз=e(23/24)=0; nе4вывоз=e(39/18)=2;

Для города 5 - nе5ввоз=e(42/24)=1; nе5вывоз=e(43/18)=1;

По формуле (4.2) производим расчет остатков.

Для города 2 - Iпал2ввоз=48-2×24=0; Iпал2вывоз=36-2×18=0

Для города 3 - Iпал3ввоз=31-2×24=0; Iпал3вывоз=28-2×18=0

Для города 4 - Iпал4ввоз=23-2×24=0; Iпал4вывоз=39-2×18=3

Для города 5 - Iпал5ввоз=42-2×24=0; Iпал5вывоз=43-2×18=7

Затем составляют баланс ввоза и вывоза грузов по каждому городу. Результаты заносят в табл. 4.1.

Таблица 4.1 Баланс ввоза и вывоза грузов по каждому городу

Вид перевозок

Город 1

Город 2

Город 3

Город 4

Город 5


ввоз

вывоз

ввоз

вывоз

ввоз

вывоз

ввоз

вывоз

ввоз

вывоз

Полные рейсы

0

0

2

1

1

0

2

1

1

Остатки (неполные рейсы)

0

0

0

0

0

0

0

3

0

7


Затем формируют рейсы с обратной загрузкой (полные маятниковые рейсы) по формуле (4.3).

Для города 2 - nе2полн=min{2;2}=2

Для города 3 - nе3полн=min{1;1}=1

Для города 4 - nе4полн=min{0;2}=0

Для города 5 - nе5полн=min{1;1}=1

Получаем полные маятниковые рейсы (с загрузкой в обоих направлениях). Исключаем из баланса ввоза и вывоза грузов полные маятниковые рейсы. Результаты заносят в табл. 4.2.

Таблица 4.2 Баланс ввоза и вывоза грузов с исключением полных маятниковых рейсов

Вид перевозок

Город 1

Город 2

Город 3

Город 4

Город 5


ввоз

вывоз

ввоз

вывоз

ввоз

вывоз

ввоз

вывоз

ввоз

вывоз

Полные рейсы

0

0

0

0

0

0

0

2

0

0

Остатки (неполные рейсы)

0

0

0

0

0

0

0

3

0

7


5. Определение размеров и площади склада (терминала)

Для проведения транспортно-экспедиционных операций на терминале необходимо знать общую площадь склада, требуемую для качественного и своевременного обслуживания поставщиков и потребителей. Определение площади склада производят по формуле (5.1):

                              (5.1)

где fпол - полезная площадь, используемая под хранение груза, м2; сл - служебная площадь, м2; всп - вспомогательная площадь, м2; пр - площадь приемочной зоны, м2; отпр - площадь отправочной зоны, м2.

Полезная площадь зависит от максимального грузопотока, обрабатываемого на терминале, который, в свою очередь, определяют по формуле (5.2):

                                                           (5.2)

qmaxзап = 136,235т.

Полезную площадь определяют по формуле (5.3):

                                                                   (5.3)

¦пол = 136,235/0,5 = 272,47 м2

где Рскл - нагрузка на 1 м2 площади склада, т/м2. Принимают Рскл = 0,5 т/м2.

Площадь приемочной зоны определяют по формуле (5.4):

                                                                      (5.4)

¦пр = (119,78×1,5×1)/0,25 = 718,68 м2

где k - коэффициент неравномерности поступления груза на терминал; - количество дней хранения груза на приемочной площадке, сут;

Р1 - средняя нагрузка на 1 м2 площади приемочной (отправочной) зоны, т/м2. Принимают Р1 = 0,25 т/м2; k = 1,5; t = 1 сут.

Площадь отправочной зоны определяют по формуле (5.5):

                                                                       (5.5)

¦отпр = (136,235×1,5×1)/0,25 = 817,41 м2

Служебная площадь зависит от количества человек, работающих по переработке грузов. Количество человек определяют по формуле (5.6):

                                                                    (5.6)

Кчел = 136,235/10 = 14 чел.

Полученное значение округляют до целого числа в большую сторону.

Определение служебной площади производят по формуле (5.7):

                                                                  (5.7)

¦сл = 14×3,25 = 45,5 м2

где Нчел - норма служебной площади на 1 человека, м2.

Норма зависит от количества работающих человек и принимается из табл. 5.1.

Таблица 5.1 Норма служебной площади


Вспомогательная площадь зависит от ширины и количества проездов на терминале и будет учтена при расчете общей площади терминала.

Для обеспечения внутренних проездов, проходов и для приведения размеров склада кратных 6, определяют предварительную площадь склада без учета вспомогательной площади по формуле (5.8):

                                       (5.8)

F’общ = 272,47 + 45,5 + 718,68 + 817,41 = 1854,06 м2

Используя значение предварительной площади склада, определяют его геометрические размеры, при этом учитывая, что длина и ширина должны быть кратными 5.

Ширину склада определяют по формуле (5.9):

                                                               (5.9)

Вскл = Ö1854,06/2 = 30 м.

Длину склада определяют по формуле (5.10):

                                                            (5.10)

Lскл = 1854,06/30 = 60 м

Затем определяют предварительную площадь склада с учетом вспомогательной площади по формуле (5.11):

                                                                (5.11)

Fобщ = 60×30 = 1800 м2

В дальнейшем определяют количество проездов на терминале для обеспечения беспрепятственного выполнения складских операций по формуле (5.12):

                                                                          (5.12)

n = 60/6 = 10

Полученное значение округляют до целого числа в большую сторону.

После этого определяют предварительную ширину проездов на терминале по формуле (5.13):

                                                            (5.13)

В =(1800-1854,06)/10×30= 0,18 м

При определении окончательной ширины проездов должно выполняться условие 2 м < B < 4,5 м. Это условие не выполняется, тогда увеличим длину склада в 2 раза, определим предварительную площадь склада по формуле (5.11)

                                                                 (5.11)

Fобщ = 120×30 = 3600 м2

Определяем количество проездов по формуле (5.12)

                                                                         (5.12)

n = 120/6 = 20

и ширину проездов по формуле (5.13)

                                                            (5.13)

В =(3600-1854,06)/20×30= 2,9 м

После этого принимают окончательные значения длины, ширины склада, количества и ширины проездов и определяют окончательную общую площадь склада по формуле (5.11).

                                  (5.11)

Fобщ = 120×30 = 3600 м2

6. Выбор подвижного состава

Выбор подвижного состава производят среди малотоннажных автомобилей-кандидатов по наименьшей себестоимости перевозок среди них в двух вариантах: при обслуживании поставщиков и при завозе продукции потребителям. Предварительно определяют максимальную загрузку автомобилей-кандидатов, количество их ездок, время на проведение погрузочно-разгрузочных операций, время оборота на маршруте и количество транспортных средств для доставки товара.

.1 Выбор подвижного состава для обслуживания поставщиков

Загрузку автомобиля определяют на основе анализа его теоретической загрузки по вместимости и грузоподъемности. Вначале рассчитывают теоретическую загрузку автомобиля j-й марки ящиками по вместимости:

                         (6.1)

где aj - длина кузова автомобиля j-й марки, м; j - ширина кузова автомобиля j-й марки, м; j - высота штабеля груза в автомобиле, м.

Размеры кузова автомобиля Газель:

а=2,85; b=1,68; с=1,55;

Размеры кузова автомобиля Бычок:

а=3,5; b=2,2; с=1,75;

Размеры кузова автомобиля Газель:

а=6,67; b=2,5; с=2,35

Nящвмес1=108шт.

Nящвмес2=224шт.

Nящвмес3=660шт.

При этом высоту штабеля cj находят из условия (6.2):

                                                                (6.2)

где hj - высота кузова автомобиля j-й марки, м; i - максимальная высота пакета i-го поставщика, определенная в разделе 3, м.

Теоретическая загрузка автомобиля j-й марки паллетами по вместимости:

                                                 (6.3)

где a, в - размеры паллеты по длине и ширине, м.

Nпалвмес1=4шт.

Nпалвмес2=4шт.

Nпалвмес3=16шт.

Грузоподъёмность Газели равна 1т., Бычка - 3т., а ЗИЛ-130 - 6т.

Теоретическая загрузка автомобиля j-й марки ящиками по грузоподъемности:

                                                           (6.4)

где qj - грузоподъемность автомобиля j-й марки, т; ящi - масса брутто ящика i-го поставщика, т.

Nящгруз1= e(1/0,01)=10шт.

Nящгруз1= e(3/0,01)=30шт.

Nящгруз1= e(6/0,01)=60шт.

Nящгруз2= e(1/0,025)=40шт.

Nящгруз2= e(3/0,025)=120шт.

Nящгруз2= e(6/0,025)=240шт.

Nящгруз3= e(1/0,025)=40шт.

Nящгруз3= e(3/0,025)=120шт.

Nящгруз3= e(6/0,025)=240шт.

Nящгруз4= e(1/0,015)=66шт.

Nящгруз4= e(3/0,015)=200шт.

Nящгруз4= e(6/0,015)=400шт.

Nящгруз5= e(1/0,02)=50шт.

Nящгруз5= e(3/0,02)=150шт.

Nящгруз5= e(6/0,02)=300шт.

Теоретическая загрузка автомобиля j-й марки паллетами по грузоподъемности:

                                                               (6.5)

где Gi - масса брутто паллеты i-го поставщика, т.

Nпалгруз1= e(1/0,64)=1шт.

Nпалгруз1= e(3/0,64)=4шт.

Nпалгруз1= e(6/0,64)=9шт.

Nпалгруз2= e(1/0,6)=1шт.

Nпалгруз2= e(3/0,6)=5шт.

Nпалгруз2= e(6/0,6)=10шт.

Nпалгруз3= e(1/0,6)=1шт.

Nпалгруз3= e(3/0,6)=5шт.

Nпалгруз3= e(6/0,6)=10шт.

Nпалгруз4= e(1/1,35)=0шт.

Nпалгруз4= e(3/1,35)=2шт.

Nпалгруз4= e(6/1,35)=4шт.

Nпалгруз5= e(1/0,36)=2шт.

Nпалгруз5= e(3/0,36)=8шт.

Nпалгруз5= e(6/0,36)=16шт.

где Gi - масса брутто паллеты i-го поставщика, т.

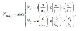
Определение оптимальной загрузки автомобиля j-й марки ящиками производят по формуле (6.6):

                                                        (6.6)

Qамящ1=min(108;10)=10

Qамящ2=min(224;40)=40

Qамящ3=min(660;60)=60

Определение оптимальной загрузки автомобиля j-й марки паллетами производят по формуле (6.7):

                                                  (6.7)

Qампал1=min(4;1)=1

Qампал2=min(4;2)=2

Qампал1=min(16;4)=4

Определение количества ездок автомобиля j-й марки при перевозке товара в ящиках:

                                                    (6.8)

n1ящ1=e(240/10)=24

n2ящ1=e(302/10)=30

n3ящ1=e(229/10)=22

n4ящ1=e(217/10)=21

n5ящ1=e(153/10)=15

n1ящ2=e(240/40)=6

n2ящ2=e(302/40)=7

n3ящ2=e(229/40)=5

n4ящ2=e(217/40)=5

n5ящ2=e(153/40)=3

n1ящ3=e(240/60)=4

n2ящ3=e(302/60)=5

n3ящ3=e(229/60)=3

n4ящ3=e(217/60)=3

n5ящ3=e(153/60)=2

Определение количества ездок автомобиля j-й марки при перевозке товара на паллетах:

                                                               (6.9)

n1пал1=e(35/1)=35

n2пал1=e(36/1)=36

n3пал1=e(22/1)=22

n4пал1=e(21/1)=21

n5пал1=e(34/1)=34

n1пал2=e(35/2)=17

n2пал2=e(36/2)=18

n3пал2=e(22/2)=11

n4пал2=e(21/2)=10

n5пал2=e(34/2)=17

n1пал3=e(35/4)=8

n2пал3=e(36/4)=9

n3пал3=e(22/4)=5

n4пал3=e(21/4)=5

n5пал3=e(34/4)=8

Определение остатков ящиков при их перевозке на автомобиле j-й марки:

                                                               (6.10)

1ящ=240-24×10=01ящ=302-30×10=21ящ=229-22×10=91ящ=217-21×10=71ящ=153-15×10=32ящ=240-6×40=02ящ=302-7×40=222ящ=229-5×40=292ящ=217-5×40=172ящ=153-3×40=333ящ=240-4×60=03ящ=302-5×60=23ящ=229-3×60=493ящ=217-3×60=373ящ=153-2×60=33

Определение остатков паллет при их перевозке на автомобиле j-й марки:

                                                           (6.11)

1пал=35-35×1=01пал=36-36×1=01пал=22-22×1=01пал=21-21×1=01пал=34-34×1=02пал=35-17×2=12пал=36-18×2=02пал=22-11×2=02пал=21-10×2=12пал=34-17×2=03пал=35-8×4=33пал=36-9×4=03пал=22-5×4=23пал=21-5×4=13пал=34-8×4=2

Определение времени погрузки-разгрузки автомобиля j-й марки при перевозке продукции в ящиках:

                                                               (6.12)

где mящi - масса брутто ящика i-го поставщика, кг; п-рн - норма погрузки-разгрузки на 1 т, равна 0,08 чел/ч.

tп-р1ящ=10×10×0,08/1000=0,008

tп-р1ящ=25×10×0,08/1000=0,02

tп-р1ящ=25×10×0,08/1000=0,02

tп-р1ящ=15×10×0,08/1000=0,012

tп-р1ящ=20×10×0,08/1000=0,016

tп-р2ящ=10×40×0,08/1000=0,032

tп-р2ящ=25×40×0,08/1000=0,08

tп-р2ящ=25×40×0,08/1000=0,08

tп-р2ящ=15×40×0,08/1000=0,048

tп-р2ящ=20×40×0,08/1000=0,064

tп-р3ящ=10×60×0,08/1000=0,032

tп-р3ящ=25×60×0,08/1000=0,08

tп-р3ящ=25×60×0,08/1000=0,08

tп-р3ящ=15×60×0,08/1000=0,048

tп-р3ящ=20×60×0,08/1000=0,064

Определение времени погрузки-разгрузки автомобиля j-й марки при перевозке продукции на паллетах:

                                                                 (6.13)

где - норма погрузки-разгрузки 1 паллеты, 0,1 чел/ч.

tп-р1пал=1×0,1=0,1

tп-р2пал=2×0,1=0,2

tп-р3пал=4×0,1=0,4

По минимальным значениям себестоимости в табл. 6.1 (выделены жирным шрифтом) окончательно выбирают автомобиль для каждого поставщика. Для выбранных автомобилей составляют табл. 6.2 и 6.3.

Таблица 6.1 Себестоимость перевозок завоза продукции на терминал (поставщики)


Таблица 6.2 Завоз ящиков на терминал от поставщиков


Таблица 6.3 Завоз паллет на терминал от поставщиков


6.2 Выбор подвижного состава для обслуживания потребителей

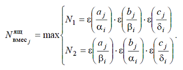
Как и в случае с поставщиками, вначале определяют загрузку автомобиля на основе анализа его теоретической загрузки по вместимости и грузоподъемности. При этом рассчитывают теоретическую загрузку автомобиля j-й марки ящиками по вместимости по следующей формуле:

                       (6.22)

где aj - длина кузова автомобиля j-й марки, м; j - ширина кузова автомобиля j-й марки, м; j - высота штабеля груза в автомобиле, м.

Размеры кузова автомобиля Газель:

а=2,85; b=1,68; с=1,55;

Размеры кузова автомобиля Бычок:

а=3,5; b=2,2; с=1,75;

Размеры кузова автомобиля Газель:

а=6,67; b=2,5; с=2,35

Nящвмес1=108шт.

Nящвмес2=224шт.

Nящвмес3=660шт.

Теоретическая загрузка автомобиля j-й марки паллетами по вместимости:

         (6.23)

где a, в - размеры паллеты по длине и ширине, м.

Nпалвмес1=4шт.

Nпалвмес2=4шт.

Nпалвмес3=16шт.

Теоретическая загрузка автомобиля j-й марки ящиками по грузоподъемности:

                                                              (6.24)

где mящi - масса брутто ящика i-го потребителя, т.

Nящгруз1= e(1/0,01)=10шт.

Nящгруз1= e(3/0,01)=30шт.

Nящгруз1= e(6/0,01)=60шт.

Nящгруз2= e(1/0,025)=40шт.

Nящгруз2= e(3/0,025)=120шт.

Nящгруз2= e(6/0,025)=240шт.

Nящгруз3= e(1/0,025)=40шт.

Nящгруз3= e(3/0,025)=120шт.

Nящгруз3= e(6/0,025)=240шт.

Nящгруз4= e(1/0,015)=66шт.

Nящгруз4= e(3/0,015)=200шт.

Nящгруз4= e(6/0,015)=400шт.

Nящгруз5= e(1/0,02)=50шт.

Nящгруз5= e(3/0,02)=150шт.

Nящгруз5= e(6/0,02)=300шт.

Теоретическая загрузка автомобиля j-й марки паллетами по грузоподъемности:

                                                                  (6.25)

где Gi - масса брутто паллеты i-го потребителя, т.

Nпалгруз1= e(1/0,64)=1шт.

Nпалгруз1= e(3/0,64)=4шт.

Nпалгруз1= e(6/0,64)=9шт.

Nпалгруз2= e(1/0,6)=1шт.

Nпалгруз2= e(3/0,6)=5шт.

Nпалгруз2= e(6/0,6)=10шт.

Nпалгруз3= e(1/0,6)=1шт.

Nпалгруз3= e(3/0,6)=5шт.

Nпалгруз3= e(6/0,6)=10шт.

Nпалгруз4= e(1/1,35)=0шт.

Nпалгруз4= e(3/1,35)=2шт.

Nпалгруз4= e(6/1,35)=4шт.

Nпалгруз5= e(1/0,36)=2шт.

Nпалгруз5= e(3/0,36)=8шт.

Nпалгруз5= e(6/0,36)=16шт.

Определение оптимальной загрузки автомобиля j-й марки ящиками производят по формуле (6.26):

                                                  (6.26)

Qамящ1=min(108;10)=10

Qамящ2=min(224;40)=40

Qамящ3=min(660;60)=60

Определение оптимальной загрузки автомобиля j-й марки паллетами производят по формуле (6.27):

                                                    (6.27)

Qампал1=min(4;1)=1

Qампал2=min(4;2)=2

Qампал1=min(16;4)=4

Определение количества ездок автомобиля j-й марки при перевозке товара в ящиках:

                                                     (6.28)

n1ящ1=e(240/10)=24

n2ящ1=e(302/10)=30

n3ящ1=e(229/10)=22

n4ящ1=e(217/10)=21

n5ящ1=e(153/10)=15

n1ящ2=e(240/40)=6

n2ящ2=e(302/40)=7

n3ящ2=e(229/40)=5

n4ящ2=e(217/40)=5

n5ящ2=e(153/40)=3

n1ящ3=e(240/60)=4

n2ящ3=e(302/60)=5

n3ящ3=e(229/60)=3

n4ящ3=e(217/60)=3

n5ящ3=e(153/60)=2


                                                               (6.29)

n1пал1=e(35/1)=35

n2пал1=e(36/1)=36

n3пал1=e(22/1)=22

n4пал1=e(21/1)=21

n5пал1=e(34/1)=34

n1пал2=e(35/2)=17

n2пал2=e(36/2)=18

n3пал2=e(22/2)=11

n4пал2=e(21/2)=10

n5пал2=e(34/2)=17

n1пал3=e(35/4)=8

n2пал3=e(36/4)=9

n3пал3=e(22/4)=5

n4пал3=e(21/4)=5

n5пал3=e(34/4)=8

Определение остатков ящиков при их перевозке на автомобиле j-й марки:

                                                        (6.30)

1ящ=240-24×10=01ящ=302-30×10=21ящ=229-22×10=91ящ=217-21×10=71ящ=153-15×10=32ящ=240-6×40=02ящ=302-7×40=222ящ=229-5×40=292ящ=217-5×40=172ящ=153-3×40=333ящ=240-4×60=03ящ=302-5×60=23ящ=229-3×60=493ящ=217-3×60=373ящ=153-2×60=33

Определение остатков паллет при их перевозке на автомобиле j-й марки:

                                                           (6.31)

1пал=35-35×1=01пал=36-36×1=01пал=22-22×1=01пал=21-21×1=01пал=34-34×1=02пал=35-17×2=12пал=36-18×2=02пал=22-11×2=02пал=21-10×2=12пал=34-17×2=03пал=35-8×4=33пал=36-9×4=03пал=22-5×4=23пал=21-5×4=13пал=34-8×4=2

Определение времени погрузки-разгрузки автомобиля j-й марки при перевозке продукции в ящиках:

                                                         (6.32)

где mящi - масса брутто ящика i-го потребителя, кг; п-рн - норма погрузки-разгрузки на 1 т, равна 0,08 чел/ч.

tп-р1ящ=10×10×0,08/1000=0,008

tп-р1ящ=25×10×0,08/1000=0,02

tп-р1ящ=25×10×0,08/1000=0,02

tп-р1ящ=15×10×0,08/1000=0,012

tп-р1ящ=20×10×0,08/1000=0,016

tп-р2ящ=10×40×0,08/1000=0,032

tп-р2ящ=25×40×0,08/1000=0,08

tп-р2ящ=25×40×0,08/1000=0,08

tп-р2ящ=15×40×0,08/1000=0,048

tп-р2ящ=20×40×0,08/1000=0,064

tп-р3ящ=10×60×0,08/1000=0,032

tп-р3ящ=25×60×0,08/1000=0,08

tп-р3ящ=25×60×0,08/1000=0,08

tп-р3ящ=15×60×0,08/1000=0,048

tп-р3ящ=20×60×0,08/1000=0,064

Определение времени погрузки-разгрузки автомобиля j-й марки при перевозке продукции на паллетах:

                                                                (6.33)

tп-р1пал=1×0,1=0,1

tп-р2пал=2×0,1=0,2

tп-р3пал=4×0,1=0,4

Таблица 6.4 Себестоимость перевозок вывоза продукции с терминала (потребители)


По минимальным значениям себестоимости в табл. 6.4 окончательно выбирают автомобиль для каждого потребителя. Для выбранных автомобилей составляют табл. 6.5 и 6.6.

Таблица 6.5 Вывоз ящиков с терминала


Таблица 6.6 Вывоз паллет с терминала


7. Составление графиков работы автомобилей

Графики работы автомобилей строим для ввоза и вывоза грузов с терминала. Весь автомобильный транспорт обслуживает клиентов с терминала.

В случае работы с поставщиками (прямое направление) технологические операции транспортного обслуживания выполняют в следующем порядке:

движение автомобиля без груза с терминала к поставщику;

погрузка груза у поставщика;

движение автомобиля с грузом от поставщика на терминал;

разгрузка груза на терминале.

В случае работы с потребителями (обратное направление) технологические операции транспортного обслуживания выполняют в следующем порядке:

погрузка груза на терминале;

движение автомобиля с грузом с терминала к потребителю;

разгрузка груза у потребителя;

движение автомобиля без груза от потребителя на терминал.

Перед построением графика группируем поставщиков и потребителей по маркам автомобилей.

Таблица 7.1 Группировка поставщиков по маркам автомобилей


Строим график работы автомобилей при обслуживании поставщиков. На данном графике отражаются все рейсы, связанные с завозом ящиков и паллет на терминал.

Таблица 7.2 Сводный перечень маршрутов при обслуживании поставщиков


Строим график работы автомобилей при обслуживании потребителей. На данном графике отражаются все рейсы, связанные с вывозом ящиков и паллет с термина к потребителю.

Таблица 7.3 Группировка потребителей по маркам автомобилей


Таблица 7.4 Сводный перечень маршрутов при обслуживании потребителей


Заключение

Произведя оценку работы автомобильного терминала и сделав расчет технологических показателей, определяющих варианты обработки грузопотоков, порядок выполнения складских и транспортных операций мы составили оптимальный сводный перечень маршрутов при обслуживании поставщиков и потребителей.

Список используемой литературы

1.   Ванчукевич В.Ф. Грузовые автомобильные перевозки: учеб. пособие / В.Ф. Ванчукевич, В.Н. Седюкевич, В.С. Холупов. - Минск: Вышейшая школа, 1989. - 272 с.

2.       Воркут А.И. Грузовые автомобильные перевозки. - Киев: Вища школа, 1986. - 447 с.

.        Милославская С.В. Мультимодальные и интермодальные перевозки / С.В. Милославская, К.И. Плужников. - М.: РосКонсульт, 2001. - 368 с.

.        Плужников К.И. Транспортное экспедирование: учебник. - М.: РосКонсульт, 1999. - 576 с.

.        Сханова С.Э. Транспортно-экспедиционное обслуживание / С.Э. Сханова, О.В. Попова, А.Э. Горев. - М.: Издат. центр. Академия., 2005 - 432 с.

Похожие работы на - Оценка работы грузового автомобильного терминала

 

Не нашли материал для своей работы?
Поможем написать уникальную работу
Без плагиата!
Без нейросетей!