Различные методы решения уравнений третьей степени
Содержание
Введение
1. Теоретическая часть
1.1 Основные понятия и
определения
1.2 Методы решения кубических
уравнений
1.3 Формула Кардано
1.4 Тригонометрическая
формула Виета
2. Решение задач
Заключение
Список использованных
источников
Введение
Уравнения. Можно утверждать наверняка, что не найдется ни одного
человека, который бы не был знаком с ними. Дети сызмала начинают решать «задачи
с иксом». Дальше - больше. Правда, для многих знакомство с уравнениями и
заканчивается школьными делами. Известный немецкий математик Курант писал: «На
протяжении двух с лишним тысячелетий обладание некоторыми, не слишком
поверхностными, знаниями в области математики входило необходимой составной
частью в интеллектуальный инвентарь каждого образованного человека». И среди
этих знаний было умение решать уравнения.
Уже в древности люди осознали, как важно научиться решать алгебраические
уравнения вида
a0xn + a1xn - 1 + … + an = 0
ведь к ним сводятся очень многие и очень разнообразные вопросы практики и
естествознания (конечно, здесь можно сразу предполагать, что а0 ¹ 0, так как иначе степень уравнения
на самом деле не n, а меньше).
Многим, разумеется, приходила в голову заманчивая мысль найти для любой степени
n формулы, которые выражали бы корни
уравнения через его коэффициенты, т.е., решали бы уравнение в радикалах. Однако
«мрачное средневековье» оказалось как нельзя более мрачным и в отношении
обсуждаемой задачи - в течение целых семи столетий требуемых формул никто не
нашел! Только в XVI веке
итальянским математикам удалось продвинуться дальше - найти формулы для n = 3 и 4. История их открытий и даже
авторство найденных формул достаточно темны по сей день, и мы не будем здесь
выяснять сложные отношения между Ферро, Кардано, Тартальей и Феррари, а изложим
лучше математическую суть дела.
Цель работы - исследовать различные методы решения уравнений третьей
степени.
Для достижения поставленной цели необходимо выполнить ряд задач:
- Анализ научной литературы;
- Анализ школьных учебников;
- Подбор примеров для решения;
- Решение уравнений различными методами.
Работа состоит из двух частей. В первой рассматриваются различные методы
решения уравнений. Вторая часть посвящена решению уравнений различными
способами.
1. Теоретическая часть
.1 Основные
понятия и определения
Кубическое уравнение - это уравнение третьей степени вида:

(1)
Число
x, обращающее уравнение в тождество, называется корнем или решением уравнения.
Оно является также корнем многочлена третьей степени, стоящего в левой части
канонической записи.
Над
полем комплексных чисел, согласно основной теореме алгебры, кубическое
уравнение всегда имеет 3 корня (с учётом кратности).
Так
как каждый вещественный многочлен нечётной степени имеет хотя бы один
вещественный корень, все возможные случаи состава корней кубического уравнения
исчерпывается тремя, описанными ниже. Эти случаи легко различаются с помощью
дискриминанта
Итак,
возможны только три случая:
Если
Δ
> 0, тогда уравнение имеет три
различных вещественных корня.
Если
Δ
< 0, то уравнение имеет один
вещественный и пару комплексно сопряжённых корней.
Если
Δ
= 0, тогда хотя бы два корня совпадают.
Это может быть, когда уравнение имеет двойной вещественный корень и ещё один
отличный от них вещественный корень; либо, все три корня совпадают, образуя
корень кратности 3. Разделить эти два случая помогает результант кубического
уравнения и его второй производной: у многочлена есть корень кратности 3 тогда
и только тогда, когда указанный результант так же равен нулю.
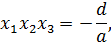
Корни
кубического уравнения 
связаны
с коэффициентами 
следующим
образом:
1.2 Методы
решения кубических уравнений
Наиболее распространенный метод решения кубических уравнений - метод
перебора.
Сначала
путём перебора найдём один из корней уравнения. Дело в том, что кубические
уравнения всегда имеют по крайней мере один действительный корень, причем целый
корень кубического уравнения с целыми коэффициентами является делителем
свободного члена d. Коэффициенты этих уравнений обычно подобраны так, что
искомый корень лежит среди небольших целых чисел, таких как: 0, ± 1, ± 2, ± 3.
Поэтому мы будем искать корень среди этих чисел и проверять его путём
подстановки в уравнение. Вероятность успеха при таком подходе очень высока.
Предположим, что этот корень 
.
Вторая
стадия решения - это деление многочлена 
на
двучлен x - x1. Согласно теореме Безу это деление без остатка возможно, и мы
получим в результате многочлен второй степени, который надо приравнять к нулю.
Решая полученное квадратное уравнение, мы найдём (или нет) оставшиеся два
корня.
Решение
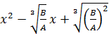
двучленного кубического уравнения
Двучленное
кубическое уравнение имеет вид 
(2)
Это
уравнение приводится к виду 
делением
на коэффициент A, отличный от нуля. Далее применяется формула
сокращенного умножения сумма кубов:
Из
первой скобки находим 
, а
квадратный трехчлен 
имеет
лишь комплексные корни.
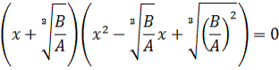
Возвратные
кубические уравнения
Возвратное
кубическое уравнение имеет вид 
и B -коэффициенты.
Проведем
группировку:
Очевидно,
что x=-1 является корнем такого уравнения, а корни
полученного квадратного трехчлена 
легко
находятся через дискриминант.
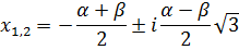
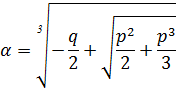
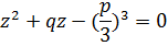
1.3
Формула Кардано
В
общем случае, корни кубического уравнения находятся по формуле Кардано.
Для
кубического уравнения 
(1)
находятся значения с помощью подстановки: x=
(2), и
уравнение приводится к виду:
неполное
кубическое уравнение, в котором будет отсутствовать слагаемое содержащее вторую
степень.
Считаем,
что уравнение имеет коэффициентами комплексные числа. Данное уравнение, всегда
будет иметь комплексные корни.
Обозначим
один из таких корней: 
. Введем
вспомогательную неизвестную u и рассмотрим многочлен f(u)=
.
Обозначим
корни этого многочлена через α и β, по теореме Виетта (см. стр. 8):
α+β=
(4)
αβ= - 
(5)
Подставим
в уравнение (3), выражение (4), получаем:
(α+β
+p(α+β)+
=0
Из
(5): 3


(6)
Отсюда
следует, т.е из формул (6), (7), что числа 
являются
корнями уравнения:
Из
последнего уравнения: 
Два
других корня, 
, 
,
находятся по формуле:
1.4
Тригонометрическая формула Виета
Эта формула находит решения приведенного кубического уравнения, то есть
уравнения вида
Очевидно, что любое кубическое уравнение можно привести к уравнению вида
(4), просто поделив его на коэффициент a. Итак, алгоритм применения этой
формулы:
. Вычисляем
2. Вычисляем
3.
а) Если 
,
то вычисляем
И
наше уравнение имеет 3 корня (вещественных):
б)
Если 
, то
заменим тригонометрические функции гиперболическими.
Вычисляем
Тогда
единственный корень(вещественный): 
Мнимые
корни:
где:

- знак 
В)
Если 
, то
уравнение имеет меньше трех различных решений:
2.
Решение задач
Пример
1. Найти действительные корни кубического уравнения 
Решение:
Применяем
формулу сокращенного умножения разность кубов:
Из
первой скобки находим 
,
квадратный трехчлен во второй скобке не имеет действительных корней, так как
дискриминант отрицателен.
Ответ:

Пример
2. Решить уравнение 
Решение:
Это
уравнение возвратное. Проведем группировку:

является
корнем уравнения. Находим корни квадратного трехчлена 

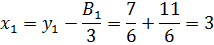
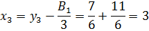
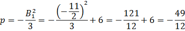
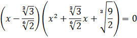
Пример
3. Найти корни кубического уравнения 
Решение:
Преобразуем
уравнение к приведенному: домножим на 
обе
части и проведем замену переменной 
.
Свободный
член равен 36. Запишем все его делители:

Подставляем
их по очереди в равенство 
до
получения тождества:
Таким
образом, 
является
корнем. Ему соответствует 
Разделим

на 
,
используя схему Горнера.
|

|
|
2
|
-11
|
12
|
9
|
|
-0.5
|
2
|
-11+2*(-0.5)=-12
|
12-12*(-0.5)=18
|
9+18*(-0.5)=0
|
Получаем
Найдем
корни квадратного трехчлена 
:
Очевидно,
что 
, то есть
его кратным корнем является 
.
Ответ:

.
Пример
4.Найти действительные корни уравнения 
Решение:

является
корнем уравнения. Найдем корни квадратного трехчлена 
.
Так
как дискриминант 
меньше
нуля, то действительных корней трехчлен не имеет.
Ответ:

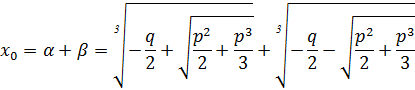
Пример
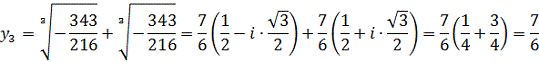
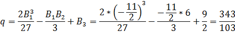
5. Найти корни кубического уравнения 2
.
Решение:
Имеем

.
Находим
Следовательно,
Подставляем в формулу Кардано:

принимает
три значения. Запишем их.
При 
имеем
При 
имеем
При 
имеем
Разобьем
эти значения по парам, которые в произведении дают 
Первая
пара значений 
и 
Вторая
пара значений 
и 
Третья
пара значений 
и 
Возвращаемся
к формуле Кардано
Таким образом,

Заключение
кубический уравнение
трехчлен
В результате выполнения курсовой работы были исследованы различные методы
решения уравнений третьей степени, такие, как метод перебора, формула Карано,
формула Виета, методы решения возвратных, двучленных уравнений.
Список использованных источников
1) Бронштейн
И.Н., Семендяев К.А. «Справочник по математике для инженеров и учащихся
ВТУЗов», М., 1986.
2) Колмогоров
А.Н. Алгебра и начала анализа. Учебное пособие для 9-го класса средней школы,
1977.
) Омельченко
В.П. Математика: учебное пособие / В.П. Омельченко, Э.В.Курбатова. - Ростов
н/Д.: Феникс, 2005.- 380с.