Характеристика биохимических процессов, происходящих в организме при скоростном беге на коньках на 1000 метров

  • Вид работы:
    Курсовая работа (т)
  • Предмет:
    Туризм
  • Язык:
    Русский
    ,
    Формат файла:
    MS Word
    1,32 Мб
  • Опубликовано:
    2014-02-27
Вы можете узнать стоимость помощи в написании студенческой работы.
Помощь в написании работы, которую точно примут!

Характеристика биохимических процессов, происходящих в организме при скоростном беге на коньках на 1000 метров















Курсовая работа

Характеристика биохимических процессов, происходящих в организме при скоростном беге на коньках на 1000 метров - 1.15.00

Введение

При выполнении физической нагрузки происходит сокращение поперечнополосных мышечных волокон, которые в качестве источника энергии используют энергию расщепления макроэргической связи молекулы АТФ. В целях обеспечения работы мышц не могут быть использованы другие макроэрги.

Количества молекул АТФ, находящихся в мышце хватит для 3 - 4 ее сокращений, такго количества АТФ было бы недостаточным не только для обеспечения энергией мышц при физической нагрузке во время занятий спортом, но и для обеспечения жизнедеятельности. Однако, молекула АДФ, являющаяся одним из конечных продуктов расщепления макроэргической связи, может быть фосфорелированна до АТФ. Такой процесс называется ресинтезом АТФ. Механизм ресинтеза АТФ является основной характеристикой мощности выполняемой работы.

Изменения биохимических процессов в организме при мышечной деятельности зависят от мощности и продолжительности упражнения, а также от тренированности спортсмена. Между мощностью работы и её продолжительностью существует обратная зависимость - чем больше мощность работы, тем меньше время, которое можно её поддерживать. В предложенной задаче работа выполняется 1 минуту 15 секунд, предположим, что испытуемый - женщина, следовательно ее результат соответствует разряду мастер спорта международного класса. Это означает, что испытуемый - спортсмен высококвалифицированный, биохимические сдвиги которого отличаются от спортсмена класса ниже.

Таким образом, работа выполняется тренированным спортсменом высокого класса в условиях соревнований, т.е. при максимальном физическом напряжении. Следовательно, основным критерием, от которого зависит характер биохимических сдвигов, является продолжительность работы. Хотя в каждом циклическом виде спорта имеются определенные особенности работы, тем не менее, на основе продолжительности работы можно судить о зоне мощности, в которой она выполняется, и о соотношении различных энергетических процессов. Зная относительное участие энергетических процессов при данной нагрузке, можно составить представление об изменениях обмена веществ во время работы и в период отдыха после неё.

Глава I. Зона мощности, в которой выполняется данная работа. Соотношение аэробных и анаэробных процессов энергообеспечения, и ведущие энергетические системы

Биохимические изменения в организме при выполнении физической нагрузки зависят от участия в энергообеспечении работы различных энергетических систем (механизмов ресинтеза АТФ). Механизмы энергообразования при выполнении работы существенно различаются в зависимости от её интенсивности и продолжительности. В зависимости от поступления кислорода в мышцы преимущественное значение имеют анаэробные (если кислорода недостаточно) или аэробные процессы. При кратковременной работе (до 20-30с) максимальной мощности основное значение имеет анаэробный алактатный механизм. Если работа более продолжительна (от 30с до 2-Змин), преимущественным механизмом образования АТФ является анаэробный гликолиз. А при нагрузках, продолжающихся больше 3 мин, увеличивается роль аэробного окисления.


Таким образом, с увеличением продолжительности нагрузки уменьшается доля анаэробных механизмов и увеличивается доля аэробного энерго образования. Однако, в условиях соревнований наблюдается максимальное усиление всех систем, обеспечивающих специальную работоспособность, а преобладание одной из систем зависит от продолжительности упражнения.

На основании сведений о продолжительности нагрузки (1.15.00) я определил, что эта работа выполняется в зоне субмаксимальной мощности мощности, а доминирующий механизм энергообеспечения - анаэробный. Исходя из диаграммы, представленной выше, разумно предположение о соотношении анаэробных и аэробных механизмов в долях 75/25, однако у спортсменов такого класса, как наш испытуемый, адаптация к нагрузке происходит быстрее, следовательно, включение аэробных механизмов будет протекать интенсивнее. Таким образом, соотношение механизмов энергообеспечения приблизительно равно 30/70. При работе в такой зоне мощности ответными реакциями организма служат следующие показатели:

Длительность работы, сек.

Источники энергии

ЧСС, Уд./мин.

Кислородный запрос, л

Кислородный долг, мин.

Уровень потребления кислорода, %от МПК

Лактат, ммоль/л

рН

Глюкоза, г/л

Белок в моче, %

От 20-30 до 120-180

КрФ, гликоген мышц и печени

180 и выше

20-40

20-25

100

Больше 10

6,9

До2

1,5


1.1 Специфические особенности конькобежного спорта

Поскольку описываемый спортсмен - конькобежец, то следует учесть, что в этом виде спорта применяется специфическая поза конькобежца (посадка). В такой позе ноги согнуты в полуприсед, спина согнута и округлена.

Посадка применяется для увеличения аэродинамики спортсмена - снижения силы сопротивления воздуху, а так же для усиления сокращения скелетных мышц бедра, после оптимального растяжения их.

В таком положении постоянно напряжены мышцы - сгибатели спины, работая в тоническом режиме, растянуты мышцы - разгибатели спины, а так же, на ногах, попеременно выступающими опорной, напряжены мышцы - сгибатели бедра и колена, растянуты разгибатели бедра и колена. Известно, что лишь при статических напряжениях, не превышающих 7-8% от максимальных, кровоснабжение мышц обеспечивает необходимый кислородный запрос. При 20% статических усилиях кровоток через мышцу снижается в 5-6 раз, а при усилиях более 30% от максимальной произвольной силы прекращается вовсе Как сокращение, так и растяжение мышцы негативно влияет на доступ в нее крови, поскольку уменьшается поперечная площадь капиллярной сети.

В связи со снижением поступления крови в отдельные группы мышц, образуется локальная гипоксия - недостаточное снабжение кислородом. Гипоксия приводит к невозможности обеспечения мышц АТФ аэробным путем на прежнем уровне, поэтому в данных группах мышц анаэробный гликолиз проходит интенсивнее остальной мускулаткры. Однако в работе мышц ног присутствует фаза расслабления - во время толчка нога распремляется, работают мышцы - антогонисты. В это время кровь имеет доступ к ранее малодоступной поверхности. Кроме того, в организме происходит выделение вазоактивных веществ, влияющих на тонус кровносных сосудов. Микрососуды очень чувствительны к растворенным в крови вазоактивным веществам и реагируют даже на такую их концентрацию, которая в 10-100 раз меньше необходимой для сужения или расширения крупных сосудов. Так, кожные сосуды проявляют высокую чувствительность к адреналину (полное закрытие просвета артериол происходит при его ничтожной концентрации в крови - кожные покровы бледнеют), в то время как микрососуды внутренних органов гораздо менее чувствительны, а микрососуды скелетных мышц и сердца при действии адреналина могут расширяться. Ионы калия, кальция, натрия, а также вещества, накапливающиеся в тканях при их интенсивной деятельности, приводят к расширению микрососудов. Наибольшей чувствительностью к действию вазоактивных веществ обладают прекапиллярные артериолы, наименьшей - крупные артериолы и венулы.

Таким образом вазоактивные вещества «пытались» адаптироваться под сокращенную мышцу, а при ее расслаблении создают гипероксию, которая частично покрывает кровяной долг в мышце. Тем не менее, с постоянной периодичностью происходит анаэробный ресинтез АТФ, сопровождающийся накоплением молочной кислоты и, как следствие, сдвигая pH в кислую сторону.

Такие же процессы происходят в мышцах спины, однако осанка в идеале должна оставаться неподвижной, следовательно гипероксии, как это было с мышцами ног, не происходит. При закислении активность ферментов, проводящих ресинтез АТФ, снижается, наступает истощение клеток и их разрушение, поэтому спортсмены ощущают физическую боль в области закисленных мышц.

Таким образом, при прохождении конькобежцем дистанции 1000м. закисление организма происходит больше, чем, например, бегуна того же уровня подготовки, проходящего дистанцию, соответствующую длительности 1.15.00. Данную особенность необходимо учитывать при подборе методики тренировок, важно уделять должное внимание специальной подготовке спортсмена (упражнения в посадке) и силовым статическим и стата - динамическим нагрузкам.

Глава II. Характеристика основной энергетической системы, обеспечивающей работу. Энергетические субстраты, описание процесса, конечные продукты. Механизм образования АТФ

Скоростной бег на коньках на дистанцию 1000 метров является нагрузкой субмаксимальной мощности, доминирующим механизмом ресинтеза АТФ в которй является анаэробный гликолиз. Однако, как следует из диаграммы в первой главе, мы можем судить, что и доля аэробного гликолиза присутствует, хотя и в меньшей степени. Кроме того, время развертывания гликолиза составляет 20-30с., до этого времени происходит фосфорелирование АТФ за счет разрыва макроэргических связей креатинфосфата. Опишем кажый механизм ресинтеза АТФ.

2.1 Алактатно-анаэробная система

Эта система развертывается за 0,5-1 секунды и сохраняет максимальную мощность в течении 8-10с., продолжительность до 30с.

При этом механизме энергообеспечения для ресинтеза АТФ используется кретинфосфатная реакция

Креатинфосфат (КрФ) является первым энергетическим резервом мышц. Его содержание в 3-4 раза больше чем АТФ и может увеличиваться в процессе тренировок.

КрФ - нестойкое соединение, он вступает в реакцию перефосфорелировани я с АДФ

Образовавшийся в результате креатинин выводится из организма с мочой

Креатинфосфокиназная реакция легко обратима, как только увеличивается скорость образования АТФ за счет аэробнах процессов, в мышцах происходит обратная реакция из АТФ и креатина => креатинфосфат и АДФ.

Максимальная мощность креатинфосфокиназной реакции = 3,8 кДж/кг (900-1100 кал/мин.*кг.). Эффективность процесса = 80%.

Этот процесс особенно важен для прохождения разгона спортсменом, именно этот процесс обеспечивает энергией первые 20% дистанции.

2.2 Анаэробно-гликолитическая система

При уменьшении КрФ, креатинфосфатная реакция уже не может обеспечить постоянство содержания АТФ в мышцах, увеличивается количество АДФ, которое активирует ферменты гликолиза.

Субстратами гликолиза выступает гликоген мышц и глюкоза крови, поступающая в кровь при распаде гликогена печени.

Расщепление глюкозы и гликогена осуществляется под действием пусковых ферментов: гексокиназа (для глюкозы) и фосфорилаза (для гликогена).

Структурная формула общей части распада углеводов в анаэробных и аэробных условиях

Далее в анаэробном пути метаболизма углеводов пируват, в присутствии НАД∙Н2 восстанавливается до лактата.


Таким образом роль гликолиза заключается в образовании макроэргических соединений: 1,3 дифосфоглицерат и фосфофенолпируват.

Скорость гликолиза зависит от активности пусковых ферментов. Под влиянием адреналина и фосфорной кислоты увеличивается активность фосфорилазы.

Максимальная мощность анаэробного механизма 750-850 кал/кг*мин. Время развертывания процесса = 20-30с., через 1 мин. анаэробный гликолиз - основной источник энергообеспечения. Его продолжительность составляет 2-3 мин. Эффективность гликолиза = 35-40%

При работе данного механизма вырабатывается молочная кислота, которая является токсичным соединением для организма, она сдвигает баланс pH в кислую сторону, поэтому энергетические возможности гликолиза зависят не только от содержания гликогена и ключевых ферментов, но и от состояния буферных систем организма и устойчивости его к закислению.

Данный процесс является основным механизмом энергообеспечения, скорость спортсмена во многом зависит от скорости протекания этой реакции и от способности организма обеспечивать максимальную работоспособность в условиях отравления организма молочной кислотой, для этого необходима высокая буферная система, способность ферментов поддерживать активность в измененном кислотно-щелочном балансе, а так же морально-волевые качества, позволяющие спортсмену терпеть боли в мышцах.

2.3 Аэробная система энергообеспечения

Аэробный механизм энергообеспечения, безусловно, протекает только в присутствии кислорода. Здесь, по мимо субстратного фосфорелирования, важную роль играет окислительное фосфорелирование молекул АДФ, которое проходит в дыхательной цепи митохондрий клеток.

Аэробный механизм является универсальным способом энергообеспечения для трех основных субстратов окисления:


В аэробном пути для окислительного фосфорелирования могут использоваться углеводы, жиры и белки. Однако даже при длительных физических нагрузках используется 12-15% белков, а расщепление жиров начинается только после 40 минут работы у нетренированных и 25-30 минут у тренированных людей. Следовательно только углеводы задействуются в аэробном гликолизе в достаточной степени, чтобы обеспечить работоспособность организма при беге спортсмена продолжительностью 1.15.00.

.3.1 Аэробный распад углеводов

Каким бы путем ни образовалась пировиноградная кислота (из фосфоенолпировиноградной или молочной кислоты), в аэробных условиях она подвергается дальнейшему окислению при участии специфической дегидрогеназы. Этот фермент действует на пировиноградную кислоту в комплексе с четырьмя различными коферментами: тиаминпирофосфатом - ТПФ (производным витамина В1), амидом липоевой кислоты, коферментом НАД и коферментом ацетилирования - НSКоА (производным витамина В3). Последовательное действие этих коферментов вызывает переход пировиноградной кислоты в активную форму, подвергающуюся затем декарбоксилированию и дегидрогенированию. Энергия окисления накапливается в макроэргической связи продукта этого процесса - ацетил-кофермента А, представляющего собой активную форму уксусной кислоты. Превращения пировиноградной кислоты получили название окислительного декарбоксилирования.

Схема этого процесса представлена ниже:

энергообеспечение мышца конькобежный нагрузка


Ацетил-кофермент А включается далее в цикл превращений, общий для обмена всех классов соединений, - цикл трикарбоновых кислот. В этот процесс поступают промежуточные продукты распада не только углеводов, но и липидов, и белков. Они расщепляются на углекислый газ и воду. Образование воды происходит не в самом цикле, а в сопряженных с ним реакциях переноса водорода по цепи дыхательных ферментов на кислород. В этих реакциях идет также накопление энергии биологического окисления в молекулах АТФ.

Превращения ацетил-кофермента А в цикле трикарбоновых кислот начинаются с реакции конденсации его со щавелевоуксусной кислотой, которая может образовываться в клетке при карбоксилировании пировиноградной или дезаминировании аспарагиновой кислот. В результате конденсации ацетил-кофермента А с щавелевоуксусной кислотой образуется лимонная кислота, которая через ряд промежуточных реакций перестраивается в свой изомер - изолимонную кислоту:


Изолимонная кислота подвергается окислению при участии специфической дегидрогеназы и кофермента НАДФ. Образовавшаяся щавелевоянтарная кислота декарбоксилируется, теряя СО2, и превращается в α-кетоглютаровую кислоту:


По строению и химическим свойствам α-кетоглютаровая кислота близка к пировинограднои кислоте и подвергается такому же процессу окислительного декарбоксилирования с участием тиамин-пирофосфата, амида липоевой кислоты, НАД и кофермента А. Продуктом этого процесса является активная форма янтарной кислоты - сукцинил-кофермент А:


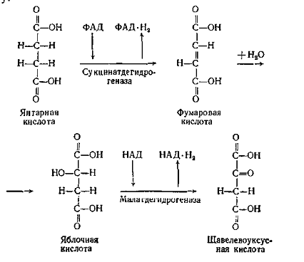
Сукцинил-кофермент А - макроэргическое соединение. Энергия его макроэргической связи может быть использована для образования АТФ из АДФ и НзР04. В качестве промежуточного переносчика энергии для образования АТФ выступает гуанозинтрифосфат (ГТФ). Синтез АТФ за счет энергии макроэргического соединения, образовавшегося из окисленного субстрата (а-кетоглютаровой кислоты), носит название субстратного фосфорилирования в цикле трикарбоновых кислот. К такому же типу реакций относятся и реакции образования АТФ в процессе гликолиза. В ходе субстратного фосфорилирования сукцинил-кофермент А превращается в янтарную кислоту, которая окисляется с помощью фермента сукцинат-дегидрогеназы, отличающейся от других дегидрогеназ тем, что в качестве кофермента использует ФАД, а не НАД. Образующаяся в результате окисления фумаровая кислота присоединяет воду и превращается в яблочную кислоту, которая, в свою очередь, окисляется малатдегидрогеназои в щавелевоуксусную кислоту:



На этой стадии цикл замыкается и снова становится возможным синтез лимонной кислоты, если ацетил-кофермент А продолжает образовываться в клетке. Общая схема превращений ацетила (остатка уксусной кислоты) в цикле трикарбоновых кислот представлена на рис.

Суммарно цикл трикарбоновых кислот можно представить уравнением:

CH3CO ~ KоА + ЩУК + 3НАД + ФАД + 2Н20 + АДФ + Н3Р04

2С02 + 3НАД*Н2 + ФАД*И2 + АТФ + НSКоА + ЩУК

Из этого уравнения видно, что в цикле трикарбоновых кислот углеродная основа ацетила превращается в две молекулы С02 (при этом источником кислорода для С02 являются молекулы воды), а 4 пары водородных атомов (две из ацетила и две из воды) присоединяются к коферментам биологического окисления. По системе дыхательных ферментов водород переносится на кислород образуется вода, и освобождается энергия (около 235 кДж/г-моль водорода). Одна половина ее преобразуется в тепло, а другая накапливается в макроэргических связях АТФ.

Окислительное декарбоксилирование пировиноградной кислоты цикл трикарбоновых кислот и перенос водорода на кислород происходят в митохондриях, где имеются все необходимые для этих процессов ферменты. Проницаемость митохондриальных мембран для субстратов окислительных процессов и кислорода меняется в зависимости от функционального состояния клетки, изменяя и скорость протекания окислительных реакций. Степень сопряжения переноса электронов и протонов на кислород с фосфорилированием АДФ также различна, так что максимальный выход АТФ во многих случаях, например в начале интенсивной мышечной работы, не достигается; вместе с тем увеличивается теплообразование, что повышению температуры организма.

Данному пути ресинтеза АТФ необходимо уделять внимание в системе тренировок не только, потому что он является одним из механизмов энергообеспечения во время прохождения дистанции, но и потому что этот механизм является основным при устранении избыточного лактата. В формате соревнований по спринтерскому многоборью по регламенту на отдых между дистанциями отводится не менее 40 минут, однако лактатный кислородный долг, в процессе которого осуществляется процесс глюконеогенеза, протекает в течении 1,5-2 часов. Для его ускорения необходима более мощная аэробная энергосистема, поскольку глюконеогенез протекает при участии АТФ, образующегося аэробным путем.

Глава III. Биохимические изменения в организме при выполнении данной физической нагрузки, а также в период отдыха. Изменения обмена углеводов, липидов, белков в мышцах, во внутренних органах, изменения содержания различных метаболитов в крови. Последовательность восстановления разных энергетических систем

Биохимические изменения в организме при физической работе в основном обусловлены тем. какие механизмы принимают участие в её энергообеспечении. В зависимости от продолжительности работы и особенностей ведущего механизма энергообеспечения будут затрачиваться креатинфосфат мышц, гликоген мышц, гликоген печени, липиды и белки. Нужно описать, какие энергетические субстраты затрачиваются при данной работе, какие метаболиты (конечные продукты распада) накапливаются в крови.

После окончания работы содержание различных метаболитов возвращается к исходному уровню. При этом происходит не только восстановление затраченных энергетических ресурсов, но и их сверхвосстановление. Принципиальная схема изменений уровня различных энергетических субстратов во время работы и в период отдыха показана на рис.

Биохимические изменения энергетических ресурсов в период отдыха после истощающей работы: 1 - фаза истощения; 2 - фаза восстановления: 3 - фаза сверхвосхлановления; 4 - фаза утраченного состояния

.В зависимости от вида нагрузки это могут быть различные субстраты (креатинфосфат, гликоген мышц, гликоген печени, липиды, белки. При изображении процесса восстановления нужно учесть гетерохронность (разновременность) развития компенсации и суперкомпенсации различных субстратов.

3.1 Биохимические изменения в скелетных мышцах

При выполнении физической работы в мышцах происходят глубокие изменения, обусловленные прежде всего интенсификацией процессов ресинтеза АТФ.

Использование креатинфосфата (КрФ) в качестве источника энергии приводит к снижению его концентрации в мышечных клетках и накоплению в них креатина (Кр).

Практически при любой работе для получения АТФ используется мышечный гликоген. Поэтому его концентрация в мышцах снижается независимо от характера работы. При выполнении интенсивных нагрузок в мышцах наблюдается быстрое уменьшение запасов гликогена и одновременное образование и накопление молочной кислоты. За счет накопления молочной кислоты (это довольно сильная кислота!) повышается кислотность внутри мышечных клеток (рН снижается). Увеличение содержания лактата в мышечных клетках вызывает также повышение в них осмотического давления, вследствие чего в миоциты из капилляров и межклеточных пространств поступает вода и развивается набухание мышц (в спортивной практике это явление нередко называют «забитостью» мышц)

Продолжительная мышечная работа небольшой мощности вызывает плавное снижение концентрации гликогена в мышцах. В данном случае распад гликогена протекает аэробно, с потреблением кислорода. Конечные продукты такого распада - углекислый газ и вода - удаляются из мышечных клеток в кровь. Поэтому после выполнения работы умеренной мощности в мышцах обнаруживается уменьшение содержания гликогена без значительного накопления лактата.

Еще одно важное изменение, возникающее в работающих мышцах, -повышение скорости распада белков. Особенно ускоряется распад белков при выполнении силовых упражнений, причем это затрагивает в первую очередь сократительные белки, входящие в состав миофибрилл. Вследствие распада белков в мышечных клетках повышается содержание свободных аминокислот и продуктов их последующего расщепления - кетокислот и аммиака.

Другим характерным изменением, вызываемым мышечной деятельностью, является снижение активности ферментов мышечных клеток. Одной из причин уменьшения ферментативной активности может быть повышенная кислотность, вызванная накоплением в мышцах лактата.

И наконец, мышечная деятельность может привести к повреждениям внутриклеточных структур - миофибрилл, митохондрий, разнообразных биомембран. Так, повреждение мембран саркоплазматического ретикулума ведет к нарушению проведения нервного импульса к цистернам, содержащим ионы кальция. Нарушение целостности сарколеммы (оболочки мышечных клеток) сопровождается потерей мышцами многих важных веществ, в том числе ферментов, которые через поврежденную сарколемму уходят из мышечных клеток в лимфу и кровь. Повреждение мембран также негативно влияет на активность иммобилизованных ферментов, т. е. ферментов, встроенных в мембраны. Эти ферменты могут полноценно функционировать только при наличии неповрежденной, целостной мембраны. Например, при мышечной работе может снижаться активность кальциевого насоса -фермента, встроенного в мембрану цистерн и обеспечивающего транспорт ионов кальция из саркоплазмы внутрь цистерн. Другой пример: при продолжительной физической работе уменьшается активность ферментов тканевого дыхания, локализованных во внутренней мембране митохондрий.

3.2 Биохимические сдвиги в головном мозге

Во время мышечной деятельности в мотонейронах коры головного мозга происходит формирование и последующая передача двигательного нервного импульса. Оба эти процесса - формирование и передача нервного импульса - осуществляются с потреблением энергии молекул АТФ. Образование АТФ в нервных клетках происходит аэробно, путем окислительного фосфорилирования. Поэтому при мышечной работе увеличивается потребление мозгом кислорода из протекающей крови. Другой особенностью энергетического обмена в нейронах является то, что основным субстратом окисления является глюкоза, поступающая стоком крови.

В связи с такой спецификой энергоснабжения нервных клеток любое нарушение снабжения мозга кислородом или глюкозой неминуемо ведет к снижению его функциональной активности, что у спортсменов может проявляться в форме головокружения или обморочного состояния.

3.3 Биохимические сдвиги в миокарде

Во время мышечной деятельности происходит усиление и учащение сердечных сокращений, что требует большего количества энергии по сравнению с состоянием покоя. Однако энергообеспечение сердечной мышцы осуществляется главным образом за счет аэробного ресинтеза АТФ. Анаэробные пути ресинтеза АТФ включаются лишь при очень интенсивной работе (ЧСС более 200 уд./мин).

Большие возможности аэробного энергообеспечения в миокарде обусловлены особенностью строения этой мышцы. В отличие от скелетных мышц в сердечной имеется более развитая, густая сеть капилляров, что позволяет извлекать из протекающей крови больше кислорода и субстратов окисления. Кроме того, в клетках миокарда имеется больше митохондрий, содержащих ферменты тканевого дыхания. В качестве источников энергии миокард использует различные вещества, доставляемые кровью: глюкозу, жирные кислоты, кетоновые тела, глицерин. Собственные запасы гликогена практически не используются; они необходимы для энергообеспечения миокарда при истощающих нагрузках.

Во время интенсивной работы, сопровождающейся увеличением концентрации лактата в крови, миокард извлекает из крови лактат и окисляет его до углекислого газа и воды. При окислении одной молекулы молочной кислоты синтезируется до 18 молекул АТФ. Способность миокарда окислять лактат имеет большое биологическое значение. Использование лактата в качестве источника энергии позволяет дольше поддерживать в крови необходимую концентрацию глюкозы, что очень существенно для биоэнергетики нервных клеток, для которых глюкоза является почти единственным субстратом окисления. Окисление лактата в сердечной мышце также способствует нормализации кислотно-щелочного баланса, так как при этом в крови снижается концентрация этой кислоты.

3.4 Биохимические сдвиги в печени

При мышечной деятельности активируются функции печени, направленные преимущественно на улучшение обеспечения работающих мышц внемышечными источниками энергии, переносимыми кровью. Ниже описаны наиболее важные биохимические процессы, протекающие в печени во время работы.

. Под воздействием адреналина повышается скорость глюкогенеза -распада гликогена с образованием свободной глюкозы. Образовавшаяся глюкоза выходит из клеток печени в кровь, что приводит к возрастанию ее концентрации в крови - к гипергликемии. При этом снижается содержание гликогена. Наиболее высокая скорость глюкогенеза в печени отмечается в начале работы, когда запасы гликогена еще высоки.

. Во время выполнения физических нагрузок клетки печени активно извлекают из крови жир и жирные кислоты, содержание которых в крови возрастает вследствие мобилизации жира из жировых депо. Поступающий в печеночные клетки жир сразу же подвергается гидролизу и превращается в глицерин и жирные кислоты. Далее жирные кислоты путем (^-окисления расщепляются до ацетил-КоА, из которого затем образуются кетоновые тела - ацетоуксусная и Р-оксимасляная кислоты. Синтез кетоновых тел обычно называется кетогенезом. Кетоновые тела являются важными источниками энергии. С током крови они переносятся из печени в работающие органы - миокард и скелетные мышцы. В этих органах кетоновые тела вновь превращаются в ацетил-КоА, который сразу же аэробно окисляется в цикле Кребса (ЦТК) до углекислого газа и воды с выделением большого количества энергии.

. Еще один биохимический процесс, протекающий в печени во время работы, - глюконеогенез. Этот процесс инициируется глюкокортикоидами. За счет глюконеогенеза в клетках печени из глицерина, аминокислот и лактата осуществляется синтез глюкозы. Этот процесс идет с затратой энергии АТФ. Обычно глюконеогенез протекает при длительной работе, ведущей к снижению концентрации глюкозы в кровяном русле. Благодаря глюконеогенезу организму удается поддерживать в крови необходимый уровень глюкозы.

. При физической работе усиливается распад мышечных белков, приводящий к образованию свободных аминокислот, которые далее де-заминируются, выделяя NНз.

Аммиак является клеточным ядом, его обезвреживание происходит в печени, где он превращается в мочевину. Синтез мочевины требует значительного количества энергии.

При истощающих нагрузках, несоответствующих функциональному состоянию организма, печень может не справляться с обезвреживанием аммиака, в этом случае возникает интоксикация организма этим ядом, ведущая к снижению работоспособности.

3.5 Биохимические сдвиги в крови

Изменения химического состава крови является отражением тех биохимических сдвигов, которые возникают при мышечной деятельности в различных внутренних органах, скелетных мышцах и миокарде. Поэтому на основании анализа химического состава крови можно оценить биохимические процессы, протекающие во время работы. Это имеет большое практическое значение, так как из всех тканей организма кровь наиболее доступна для исследования.

Биохимические сдвиги, наблюдаемые в крови, в значительной мере зависят от характера работы, и поэтому их анализ следует проводить с учетом мощности и продолжительности выполненных нагрузок.

При выполнении мышечной работы в крови чаще всего обнаруживаются следующие изменения:

. Повышение концентрации белков в плазме крови. Это происходит по двум причинам. Во-первых, усиленное потоотделение приводит к уменьшению содержания воды в плазме крови и, следовательно, к ее сгущению, в результате чего возрастают концентрации всех компонентов плазмы, в том числе белков. Во-вторых, вследствие повреждения клеточных мембран наблюдается выход внутриклеточных белков в плазму крови. Однако при очень продолжительной работе возможно снижение концентрации белков плазмы. В этом случае часть белков из кровяного русла переходит в мочу, а другая часть используется в качестве источников энергии.

. Изменение концентрации глюкозы в крови во время работы характеризуется фазностью. В начале работы обычно уровень глюкозы в крови возрастает. Это объясняется тем, что в начале работы в печени имеются большие запасы гликогена и глюкогенез протекает с высокой скоростью. С другой стороны, в начале работы мышцы тоже обладаютзначительными запасами гликогена, которые они используют для своего энергообеспечения, и поэтому не извлекают глюкозу из кровяного русла. По мере выполнения работы снижается содержание гликогена как в печени, так и в мышцах. В связи с этим печень направляет все меньше и меньше глюкозы в кровь, а мышцы, наоборот, начинают в большей мере использовать глюкозу крови для получения энергии. При длительной работе часто наблюдается снижение концентрации глюкозы в крови (гипогликемия), что обусловлено истощением запасов гликогена и в печени, и в мышцах.

. Повышение концентрации лактата в крови наблюдается практически при любой спортивной деятельности, однако степень возрастания концентрации лактата в значительной мере зависит от характера выполненной работы и тренированности спортсмена. Наибольший подъем уровня лактата в крови отмечается при выполнении физических нагрузок в зоне субмаксимальной мощности, так как в этом случае главным источником энергии для работающих мышц является анаэробный гликолиз, приводящий к образованию и накоплению молочной кислоты.

В покое, до работы содержание лактата в крови равняется 1-2 ммоль/л (0,1-0,2 г/л). После работы «до отказа» в зоне субмаксимальной мощности у спортсменов средней квалификации концентрация лактата в крови увеличивается до 8-10 ммоль/л, у высокотренированных этот рост может достигать 18-20 ммоль/л и выше. В литературе описаны случаи повышения лактата в крови у очень хорошо подготовленных спортсменов до 30-32 ммоль/л.

При проведении анализа крови на содержание лактата необходимо учитывать, что увеличение его концентрации в крови происходит не сразу, а через несколько минут после окончания работы. Поэтому забор крови следует делать примерно через 5 мин после завершения нагрузки. При взятии крови в более поздние сроки концентрация лактата окажется заниженной, так как часть его будет извлечена из кровяного русла клетками миокарда и печени.

. Водородный показатель (рН). Образующийся при интенсивной работе лактат является сильной кислотой и его поступление в кровяное русло должно вести к повышению кислотности крови. Однако первые порции лактата, диффундирующие из мышц в кровяное русло, нейтрализуются буферными системами крови. В дальнейшем, по мере исчерпания емкости буферных систем, наблюдается повышение кислотности крови, возникает так называемый некомпенсированный ацидоз. В покое значение рН венозной крови равно 7,35-7,36. При мышечной работе, вследствие накопления в крови лактата, величина рН уменьшается. При выполнении физических упражнений субмаксимальной мощности рН снижается у спортсменов средней квалификации до 7,1-7,2, а у спортсменов мирового класса снижение водородного показателя может быть до 6,8.

. Повышение концентрации свободных жирных кислот и кетоновых тел наблюдается при длительной мышечной работе вследствие мобилизации жира из жировых депо и последующим кетогенезом в печени. Увеличение концентрации кетоновых тел (ацетоуксусная и Р-оксимасляная кислоты) также вызывает повышение кислотности и снижение рН крови.

. Мочевина. При кратковременной работе концентрация мочевины в крови увеличивается незначительно, а при длительной физической работе уровень мочевины в крови может возрасти в 4-5 раз. Причиной увеличения содержания мочевины в крови является усиление катаболизма белков под воздействием физических нагрузок, особенно силового характера. Распад белков, в свою очередь, ведет к накоплению свободных аминокислот, при распаде которых образуется в большом количестве аммиак. В печени большая часть образовавшегося аммиака превращается в мочевину.

3.6 Биохимические сдвиги в моче

Выполнение физических нагрузок приводит также к значительным сдвигам в химическом составе мочи и существенно влияет на ее физико-химические свойства.

После завершения мышечной работы наиболее характерным является появление в моче химических веществ, которые в покое практически отсутствуют. Эти соединения часто называют патологическими компонентами, так как они появляются в моче не только после физических нагрузок, но и при ряде заболеваний. У спортсменов после выполнения тренировочных или соревновательных нагрузок в моче обнаруживаются следующие патологические компоненты:

. Белок. У здорового человека, не занимающегося спортом, в сутки выделяется не более 100 мг белка. Поэтому в порциях мочи, взятых для анализа до тренировки, обычными методами белок не обнаруживается. После выполнения мышечной работы отмечается значительное выделение с мочой белка. Это явление носит название протеинурия. Особенно выраженная протеинурия наблюдается после чрезмерных нагрузок, не соответствующих функциональному состоянию спортсмена. Вероятными причинами протеинурии являются повреждение почечных мембран, возникающее под влиянием мышечных нагрузок, а также появление в крови во время физической работы продуктов деградации тканевых белков - различных полипептидов, легко проходящих через почечный фильтр из кровяного русла в состав мочи.

. Глюкоза. В порциях мочи, полученных до выполнения физической нагрузки, глюкоза практически отсутствует. После завершения тренировки в моче спортсменов общепринятыми методиками нередко обнаруживается значительное содержание глюкозы (глюкозурия), что может быть обусловлено двумя основными причинами. Во-первых, как уже отмечалось, при выполнении физических упражнений в крови повышается уровень глюкозы (гипергликемия) и он может превысить почечный порог, вследствие чего часть глюкозы не будет подвергаться обратному всасыванию в извитых канальцах нефрона и останется в составе мочи. Во-вторых, из-за повреждения почечных мембран нарушается непосредственно процесс обратного всасывания глюкозы в почках, что также ведет к развитию глюкозурии.

. Кетоновые тела. До работы кетоновые тела в моче не обнаруживаются. После соревновательных или тренировочных нагрузок с мочой могут выделяться в больших количествах кетоновые тела - ацетоуксусная и Р-оксимасляная кислоты, а также продукт их распада - ацетон. Это явление называется кетонурией, или ацетонурией. Причины кетонурии аналогичны причинам, вызывающим глюкозурию. Это повышение в крови концентрации кетоновых тел (гиперкетонемия) и снижение реабсорбционной функции почек при мышечной работе.

. Лактат. Появление молочной кислоты в моче обычно наблюдается после тренировок, включающих упражнения субмаксимальной мощности. Каждое такое упражнение приводит к резкому возрастанию концентрации лактата в крови и последующему его переходу из кровяного русла в мочу. Таким образом происходит аккумулирование молочной кислоты в моче. В связи с этим по выделению лактата с мочой можно судить об общем вкладе гликолитического пути ресинтеза АТФ в энергообеспечение всей работы, выполненной спортсменом за тренировку.

5. Плотность. Вследствие повышения роли внепочечных путей выделения воды из организма (через кожу с потом, через легкие с выдыхаемым воздухом) объем мочи (диурез) после тренировки или соревнования, как правило, уменьшается. Это, в свою очередь, сказывается на плотности. Данный показатель после работы чаще всего повышается. В среднем плотность мочи до нагрузок колеблется в пределах 1,010-1,025 г/мл. После тренировки этот показатель может быть равен 1,030-1,035 г/мл и даже еще выше. Одной из причин увеличения плотности мочи является, как отмечалось выше, увеличение внепочечных потерь воды, что приводит к возрастанию концентрации растворенных в моче веществ. Другой причиной повышения плотности мочи после физической работы может оказаться появление в моче веществ, отсутствующих в ней в состоянии покоя (белок, глюкоза, кетоновые тела, лактат и др.).

По плотности можно рассчитать содержание растворенных химических соединений (сухой остаток) в отдельных порциях мочи. Для этого используется следующая формула:

Сухой остаток (г/л) = а • 2,6,

где а - величина, численно равная тысячным долям плотности (например: если плотность мочи 1,022 г/мл, то а = 22; если плотность мочи 1,030, то а = 30).

Это делает возможным оценивать экскрецию отдельных компонентов мочи в расчете на 1 г сухого остатка, что позволяет исключить влияние плотности мочи на эти показатели.

Кислотность. Вследствие выделения после тренировки с мочой молочной кислоты, а также кетоновых тел, которые тоже являются кислотами, рН мочи снижается. До работы при обычном питании рН мочи равен 5-6. После работы, особенно с использованием интенсивных нагрузок, рН мочи может быть в пределах 4-5, что соответствует примерно десятикратному увеличению концентрации в моче ионов водорода.

В заключение необходимо подчеркнуть, что глубина биохимических сдвигов, возникающих в мышцах, во внутренних органах, в крови и в моче, зависит от мощности и продолжительности физической работы. Чем выше интенсивность работы и чем дольше она длится, тем более глубоки и значительны биохимические изменения в организме спортсмена. Достигнув определенной глубины, биохимические сдвиги оказывают отрицательное влияние на возможность выполнения данной работы и приводят к снижению работоспособности спортсмена, т. е. вызывают утомление.

Глава IV. Биохимические закономерности восстановления после мышечной работы

Во время мышечной работы в организме возникают и нарастают разнообразные биохимические и функциональные сдвиги, приводящие в конечном счете к снижению физической работоспособности и развитию утомления. Устранение этих негативных изменений осуществляется после работы, в процессе восстановления.

Восстановление является важнейшим периодом в подготовке спортсмена, так как именно в это время в организме закладываются основы роста спортивной работоспособности, развития скоростно-силовых качеств и выносливости. Знание молекулярных механизмов восстановления необходимо тренеру для эффективного управления учебно-тренировочным процессом.

Восстановление условно делится на две фазы: срочное и отставленное.

4.1 Срочное восстановление

На этом этапе устраняются продукты анаэробного обмена, главными из которых являются креатин и лактат.

Креатин образуется и накапливается в мышечных клетках во время физических нагрузок за счет креатин фосфатной реакции:

Креатинфосфат + АДФ Креатин + АТФ

Эта реакция обратима. Во время отдыха она протекает в обратном направлении:

Креатин + АТФ Креатинфосфат + АДФ

Обязательным условием превращения креатина в креатинфосфат является избыток АТФ, который создается в мышцах после работы, когда уже нет больших энергозатрат на мышечную деятельность. Источником АТФ при восстановлении является тканевое дыхание, протекающее с достаточно высокой скоростью и потребляющее значительное количество кислорода. В качестве окисляемых субстратов чаще используются жирные кислоты.

На устранение креатина требуется не более 5 мин. (Здесь и далее приводятся максимальные сроки восстановительных процессов после тяжелой работы большого объема. После выполнения физических нагрузок небольшого объема восстановление протекает значительно быстрее.) В течение этого времени наблюдается повышенное потребление кислорода, называемое алактатным кислородным долгом.

Алактатный кислородный долг характеризует вклад креатинфос-фатного пути ресинтеза АТФ в энергообеспечение выполненной физической нагрузки.

Наибольшие величины алактатного кислородного долга (8-10 л) наблюдаются после выполнения физических нагрузок в зоне максимальной мощности.

Другой продукт анаэробного обмена - лактат - образуется и накапливается в результате функционирования гликолитического пути ресинтеза АТФ. Устранение молочной кислоты происходит преимущественно во внутренних органах, так как она легко выходит из мышечных клеток в кровяное русло.

Лактат, поступающий из крови в миокард, подвергается аэробному окислению и превращается в конечные продукты - С02 и Н20. Такое окисление требует кислорода и сопровождается выделением энергии, которая используется для обеспечения работы сердечной мышцы.

Значительная часть лактата из крови попадает в печень и превращается в глюкозу. Этот процесс называется глюконеогенезом. Синтез глюкозы из лактата требует энергии АТФ, источником которого служит тканевое дыхание, протекающее с повышенной скоростью и потребляющее избыточное (по сравнению с покоем) количество кислорода.

Другая часть лактата из крови поступает в почки. В почках, так же как и в миокарде, лактат может окисляться с участием кислорода до углекислого газа и воды, давая этому органу энергию. Часть лактата через почки поступает в состав мочи.

Выделяется из организма молочная кислота также в составе пота. У спортсменов содержание лактата в поте может значительно превышать его уровень в крови. Поэтому использование после тренировки сауны или бани позволяет ускорить выделение из организма молочной кислоты.

Для устранения избытка лактата обычно требуется не более 1,5-2 ч. В это время наблюдается повышенное (по сравнению с дорабочим уровнем) потребление кислорода, поскольку все превращения лактата протекают с участием кислорода.

Повышенное потребление кислорода в ближайшие 1,5-2 ч после завершения мышечной работы, необходимое для устранения лактата, называется лактатным кислородным долгом.

Лактатный кислородный долг характеризует вклад гликолитического пути ресинтеза АТФ в энергообеспечение проделанной работы. Наибольшие величины лактатного кислородного долга (18-20 л) определяются после физической нагрузки в зоне субмаксимальной мощности.

Частично креатин и лактат могут устраняться и во время тренировки: при снижении интенсивности выполняемых физических упражнений, а также в промежутках отдыха. Такое восстановление называется текущим.

.2 Отставленное восстановление

В этот период в организме восполняются запасы химических соединений и восстанавливаются внутриклеточные структуры, разрушенные или поврежденные во время мышечной работы. Основными биохимическими процессами, составляющими отставленное восстановление, являются синтезы гликогена, жиров и белков.

Синтез гликогена протекает в мышцах и в печени, причем в первую очередь накапливается мышечный гликоген. Синтезируется гликоген главным образом из глюкозы, поступающей в организм с пищей. Предельное время восстановления в организме запасов гликогена- 24-36 ч.

Синтез жиров осуществляется в жировой ткани. Вначале образуются глицерин и жирные кислоты, затем они соединяются в молекулу жира. Жир также образуется в стенке тонкой кишки путем ресинтеза из продуктов переваривания пищевого жира. С током лимфы, а затем крови ресинтезированный жир поступает в жировую ткань. Для восполнения запасов жира необходимо не более 36-48 ч.

Синтез белков в основном идет в мышечной ткани. Часть аминокислот (незаменимых) обязательно должна поступать с пищей. Максимальное время синтеза белков - 48-72 ч.

Отставленное восстановление также включает и восстановление (репарацию) поврежденных внутриклеточных структур. Это касается миофибрилл, митохондрий, различных клеточных мембран. По времени это самый длительный процесс; он требует до 72-96 ч.

Все биохимические процессы, составляющие отставленное восстановление, протекают с потреблением энергии, источником которой является АТФ, возникающий за счет тканевого дыхания. Поэтому для фазы отставленного восстановления характерно несколько повышенное потребление кислорода, но не такое выраженное, как при срочном восстановлении.

Важнейшей особенностью отставленного восстановления является наличие суперкомпенсации (или сверхвосстановления). Суть этогоявления заключается в том, что вещества, разрушенные при работе, во время восстановления синтезируются в больших концентрациях по сравнению с их дорабочим, исходным уровнем. На рис. 20 показана суперкомпенсация гликогена - вещества, которое расщепляется практически при любой работе.

Суперкомпенсация носит временный характер, она обратима. Но если суперкомпенсация возникает часто (при регулярных тренировках), то это ведет к постепенному росту исходного уровня данного вещества.

Основной причиной сверхвосстановления является повышенное содержание в крови гормонов, влияющих на синтетические процессы (инсулин, тестостерон и др.). Время наступления суперкомпенсации существенно зависит от скорости распада веществ при работе: чем выше скорость расщепления какого-либо вещества во время работы, тем быстрее происходит его синтез при восстановлении и раньше наступает суперкомпенсация. Высота суперкомпенсации (степень превышения исходного уровня) определяется глубиной распада веществ при работе. Чем глубже распад вещества при работе (в разумных пределах, так как чрезмерный распад приводит к переутомлению!), тем выраженнее и выше суперкомпенсация. Эта особенность суперкомпенсации заставляет тренера применять на тренировках упражнения большой мощности и продолжительности, чтобы вызвать в организме спортсмена достаточно глубокий распад тех веществ, от содержания которых значительно зависит работоспособность. Для спортсмена суперкомпенсация имеет исключительно важное значение. На высоте суперкомпенсации существенно возрастают все качества двигательной деятельности (сила, скорость, выносливость), что, несомненно, сказывается на спортивных результатах. Обязательным условием полноценного восстановления является качественное питание. Питание обеспечивает организм спортсмена источниками энергии (все процессы синтеза требуют энергии!) и строительным материалом для синтезов (аминокислоты, глюкоза, глицерин, жирные кислоты). Кроме этого, с пищей поступают витамины и минеральные вещества, потребность в которых после физической работы повышена.


Глава V. Качество двигательной деятельности, являющееся ведущим при выполнении данной работы. Методы его развития и контроля

Ведущим физическим качеством при беге на дистанцию 1000м. является скоростная выносливость.

Выносливость - это способность противостоять физическому утомлению в процессе мышечной деятельности. Мерилом выносливости является время, в течение которого осуществляется мышечная деятельность определенного характера и интенсивности. Например, в циклических видах физических упражнений (ходьба, бег, плавание и т.п.) измеряется минимальное время преодоления заданной дистанции. В игровых видах деятельности и единоборствах замеряют время, в течение которого осуществляется уровень заданной эффективности двигательной деятельности. В сложнокоординационных видах деятельности, связанных с выполнением точности движений (спортивная гимнастика, фигурное катание и т.п.), показателем выносливости является стабильность технически правильного выполнения действия.

В свою очередь, скоростная выносливость проявляется в основном в деятельности, предъявляющей повышенные требования к скоростным параметрам движений в зонах субмаксимальной и максимальной мощности работ.

Скоростная выносливость в максимальной зоне обусловлена функциональными возможностями анаэробного креатинфосфат-ного энергетического источника. Предельная продолжительность работы не превышает 15-20 с. Для ее воспитания используют интервальный метод. Часто используют прохождение соревновательной дистанции с максимальной интенсивностью. В целях увеличения запаса прочности практикуют прохождение более длинной дистанции, чем соревновательная, но опять же с максимальной интенсивностью.

Скоростная выносливость в зоне субмаксимальных нагрузок в основном обеспечивается за счет анаэробно-гликолитического механизма энергообеспечения. Продолжительность работы не превышает 2,5-3 мин.

Основным критерием развития скоростной выносливости является время, в течение которого поддерживаются заданная скорость либо темп движений.

Основной лимитирующий фактор в анаэробной энергетической системе - это образование молочной кислоты. Молочная кислота представляет собой побочный продукт анаэробного производства энергии, и приводит к ранней усталости мышц. Развитие анаэробной выносливости повышает терпимость мышц к выбросу молочной кислоты за счет улучшения буферной системы и адаптации фермнтов гликолиза к изменившемуся pH. И, таким образом, к меньшей усталости.

Наилучшим способом тренировки скоростной выносливости являются интервальные тренировки высокой интенсивности в зоне субмаксимальной мощности. Высокоинтенсивные интервальные тренировки значительно повышают физическую и анаэробную выносливость, при условии, что каждый раз вы выкладываетесь на 100%.

ВИИТ (высокоинтенсивные интервальные тренировки) - это кардиотренировки, где чередуются периоды высокоинтенсивных спринтов (80% - 95% максимальной частоты сердечных сокращений) и периоды низкой интенсивности - быстрая ходьба или бег (60% - 75% максимальной частоты сердечных сокращений).

Как правило, периоды высокой интенсивности более короткие, что бы можно было работать на максимально возможной скорости, а фазы низкой интенсивности - длиннее. Здесь пульс возвращается к исходному, который был до интенсивной фазы. А затем снова спринт. Следующие примеры представлены в порядке возрастающей сложности:

Пример №1

.        Разминка

.        30-секундный спринт при 90% МСР.

.        Лёгкий бег в течение 60 секунд, при 65% МСР.

.        Повторите подход спринт/лёгкий бег ещё 4 раза, что бы всего получилось 5.

.        Заминка

Пример №2

.        Разминка

.        60-секундный спринт, при 90% МСР.

.        Лёгкий бег в течение 120 секунд, при 65% МСР.

.        Повторите подход спринт/лёгкий бег ещё 4 раза, что бы всего получилось 5.

.        Заминка

Пример №3

.        Разминка

.        30-секундный спринт при 90% МСР.

.        Лёгкий бег в течение 45 секунд, при 65% МСР.

.        60-секундный спринт при 90% МСР.

.        Лёгкий бег в течение 90 секунд при 65% МСР.

.        Лёгкий бег в течение 120 секунд при 65% МСР.

.        Повторите подход спринт/лёгкий бег ещё 1 раз. Но начните со 120 сек спринт/120 сек лёгкий бег, постепенно уменьшая до 30сек спринт/ 30 сек лёгкий бег.

.        Заминка

.Данные примеры - возможные варианты анаэробной выносливости, которые могут применяться в тренировочном процессе, как в комплексе з развитием других физических качеств, так и самостоятельно.

Глава VI. Cистема ПОЛ, АОС

Перекисное окисление липидов (ПОЛ) протекает в клетках в норме. Оно является необходимым звеном таких процессов, как транспорт электронов в цепи дыхательных ферментов, синтез простагландинов и лейкотриенов, дифференцировка клеток, фагоцитоз, а так же ПОЛ участвует в процессах регуляции липидного состава биомембран и, как следствие, мембраносвязанных ферментов.

Интенсивность ПОЛ регулируется соотношением факторов активирующих (прооксиданты) и подавляющих этот процесс (антиоксиданты - АО).

К числу наиболее активных прооксидантов относятся самоокисляющиеся соединения, индуцирующие образование свободных радикалов (нафтохиноны, витамины А и Д), восстановители (НАДФ∙Н, НАД∙Н, липоевая кислота, низкие концентрации аскорбиновой кислоты), соединения, образующиеся в процессе обмена веществ - свободнорадикальные продкты различного происхождения (эндоперекиси простагландинов, продукты метаболизма лейкотриенов, адреналина).

Выраженый АО - эффект оказывают вещества токоферольного ряда (α-токоферол, тироксин, стероидные гормоны); убихиноны; селен и его соединения; вещества, содержащие тиоловую группу; анионы, связывающие железо; каталазы. Защитное, антиоксидантное действие оказывает белковое «прикрытие» липидного слоя мембраны (белок - «структурный» антиоксидант).

В реакции переоксидации могут вовлекаться соединения различного биохимического состава. Однако ведущее значение среди них имеет перекисное окисление липидов. Это определяется тем, что они в большей мере обеспечивают структурную и функциональную основу жизнедеятельности клеток, а так же легко вступают в оксидазные реакции.

6.1 Перекисный механизм окисления липидов

ПроцессПОЛ можно условно разделить на три этапа:

. кислородной инициации - «кислородный» этап;

. образование свободных радикалов - «свободнорадикальный» этап;

. продукции перекисей липидов - «перекисный» этап.


Изменение состава и вязкости липидов мембраны в результате протекания ПОЛ существенно влияет на активность мембраносвязанных ферментов, регулирующих процессы энергообеспечения клеток, транспорт катионов (АТФ-азы), синтез нуклеиновых кислот (ДНК-полимераза), чувствительность к нейроэффекторным и гуморальным влияниям (аденилатциклаза, холинэстеразы, миоаминооксидазы).

Инициирующим звеном свободнорадикальных перекисных реакций является образование активных форм кислорода: супероксидного радикала О2, гидроксильного радикала ОН*, перекиси водорода, которые воздействуют с компонентами структур клеток, прежде всего с липидами. В результате этого взаимодействия образуются активные радикалы липидов и их перекиси. Активные фрмы кислорода способны отнимать водород из определенных групп -СН2- ненасыщенной жирной кислоты, превращая их в свободнорадикальные группы -СН*-. Такой радикал жирной кислоты легко присоединяет молекулу кислорода и превращается в пероксидный радикал жирной кислоты:

НС* + О2 НС-О-О*

Перекисный радикал может отнимать водород от другой молекулы жирной кислоты:

НС-О-О* + СН2 НС-О-ОН + НС*

В этой реакции пероксидный радикал восстанавливается в гидропероксид за счет окисления другой молекулы жирной кислоты в свободный радикал. При этом реакция может приобрести цепной, «лавинообразный» характер. Это происходит тогда, когда в клетках подавлены, например, под влиянием повреждающего фактора антиоксидантные процессы, ограничивающие ПОЛ.

6.2 Активация процессов ПОЛ при стрессе

В данной курсовой работе мы рассматриваем физическую нагрузку в соревновательных условиях, то это - предельная спортивная работа, носящая стрессорный характер. Такая работа - стресс для организма, а одним из ведущих звеньев в реакциях организма на стресс является усиление свободнорадикального окисления (СРО). Показано, что аутоокисление адреналина в микросомах печени происходит под действием супероксидных анион-радикалов (О2), поставляемых NADPH - специфичным флавопротеидом. В этом случае электрон с флавопротеида принимает молекула кислорода, образуя О2, который затем реагирует с адреналином. В обычных условиях, в соответствии с описанным механизмом, образуется лишь незначительные количества супероксидного анион - радикала, поскольку, он либо не выделяется из структуры монооксигеназного комплекса, либо подвергается детоксикации в системе антирадикальной защиты.

При избытке в организме катехоламинов упорядоченное функционирование системы их метаболизма может нарушаться. При этом, образовавшиеся свободнорадикальные компоненты начинают атаковать полиненасыщенные жирные кислоты окружающих мембран, способствуя генерализации ПОЛ в различных органах с последующим повреждением их структуры и функции.

Активация ПОЛ в процессе распада катехоламинов

6.3 Антиоксидантная система клеток

В физиологических условиях интенсивность процессов ПОЛ незначительна. Это связано с функционированием сложной многокомпонентной антиоксидантной системы, которая обеспечивает связывание и модификацию радикалов, разрушение перекисей. В ее состав входят: гидрофильные и гидрофобные органические соединения с восстановительными свойствами; ферменты, поддерживающие содержание этих веществ; антиоксидантные ферменты.

По химической природе вещества, способные тормозит СРО, относятся к большому количеству различных соединений, и важнейшими из них являются: экранированные фенолы (токоферолы, эвгенол и его производные), полифенолы (конидендрин, пирокатехин), производные галловой кислоты, флавоноиды (рутин, кварцетин),некоторые стероидные гормоны, лецитин, кефалин, серосодержащие органические соединения, некоторые органические кислоты (аскорбиновая кислота, никотиновая, лимонная, дегидрокофеиновая), некоторые антибиотики, билирубин, убихинон.

Заключение

Таким образом, при выполнении предложенной нагрузки (1000м на коньках - 1.15.00) рассматривалась субмаксимальная зона мощности, продолжительность которой составляет от 30с. До 3мин. Эта зона мощности имеет анаэробную направленность. Основным механизмом образования АТФ является субстратное фосфорелирование в анаэробном гликолизе. Энергитическими субстратами в данной реакции является гликоген мышц и печени. В процессе тренировок увеличивается мощность, емкость и эффективность анаэробного пути энергообеспечения за счет адаптации организмак к закислению монечным продуктом - молочной кислотой, а точнее к ионам лактата, т.к. мышца фактически содержит не молекулы молочной кислоты, а отрицательно заряженный ион лактата (LА-) и положительно заряженный ион водорода (Н+).

Похожие работы на - Характеристика биохимических процессов, происходящих в организме при скоростном беге на коньках на 1000 метров

 

Не нашли материал для своей работы?
Поможем написать уникальную работу
Без плагиата!
Без нейросетей!