Проектування металоконструкцій мостового крана
Вступ
Метою курсового проекту є придбання
практичних навичок у проектуванні машин і устаткування на прикладі розробки
металоконструкції (МК) двобалочного мостового крана.
Конструкції підйомно-транспортних
машин безперервно удосконалюється, в зв'язку, з чим виникають нові завдання по
розрахунку, проектуванню, дослідженню та вибору оптимальних параметрів машин,
що забезпечують високі техніко-економічні показники і якість машин.
Машина повинна відповідати сучасним
екологічним нормам.
Конструкція машини повинна бути
досить міцною та надійною, простою в виготовленні та обслуговуванні. Доцільним
є використання при конструюванні сучасних надміцних матеріалів, які мають
невелику масу. Встановлені агрегати та вузли повинні бути уніфікованими, щоб
полегшити ремонт та технічне обслуговування машини. Для змащення поверхонь
тертя слід застосовувати сучасні мастильні матеріали та спеціальні присадки,
які дозволяють подовжити строк служби окремих елементів.
Для того щоб машина буда доцільною
для запуску її у виробництво і актуальною на сьогоднішній день, вона повинна
відповідати своєму призначенню, задовольняти цілому ряду умов.
Тим не менше всі вище перераховані
вимоги необхідно поєднати між собою. Саме ця задача є, мабуть найскладнішою для
конструктора. Адже необхідно досягти оптимального балансу між якістю і
технічним рівнем машини, що проектується і ціною. Дуже дорога машина може не
витримати конкуренцію з боку інших аналогічних зразків.
В сучасних умовах потокового та
автоматизованого виробництва значення підйомно-транспортних машин якісно
змінилося. Вони вийшли за рамки свого первісного призначення - допоміжного
обладнання для механізації трудомістких процесів виробництва, і є сполучними
ланками в технологічному ланцюгу, що забезпечують безперервність виробництва,
основним регулятором потокового виробництва, обмеженої частиною технологічних
процесів, що визначають ритм і продуктивність основного обладнання
підприємства. Підйомно-транспортні пристрої є основою комплексної механізації
та автоматизації виробничих процесів. Від правильного вибору найбільш
раціональних машин залежить високопродуктивна робота всього підприємства.
1. Загальні відомості
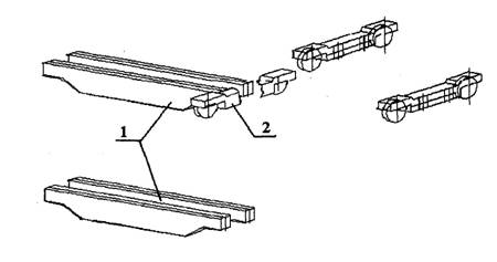
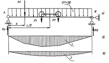
Металоконструкція двобалочного
мостового крана (рисунок 1.1) складається з двох головних балок - 1, з’єднаних
між собою двома поперечними опорними кінцевими балками - 2. Знизу однієї з
головних балок установлюється кабіна керування. На верхньому поясі головних
балок укладаються рейки для пересування вантажного візка. Металоконструкція
мостового крана передбачає наявність площадки та інших вузлів крана.
Рисунок 1.1 - Умовна схема мостового
крана
2. Визначення
основних розмірів головної балки
2.1 Основні лінійні розміри головної
балки
Вихідною величиною для вибору
основних геометричних розмірів моста є проліт L головної балки. Перетин
головної балки приведений на рисунку 2.1.
Рисунок 2.1 - Обрис головної балки
та її перетин у середені прольоту
Основні співвідношення розмірів
визначаються згідно з рекомендаціями:
При призначенні величини Н варто
враховувати, що її найбільше значення приводить до відносно великої маси, а
мінімальне - до збільшення прогину, часу загасання коливань та зменшення
жорсткості балки в бічному напрямку та при крутінні.
2.2 Визначення геометричних
характеристик перетину головної балки
Скориставшись співвідношеннями (2.1)
і характеристиками перетину на рисунку 2.1,визначаємо параметри Н, Н4, Н5, В.
Призначаємо товщину
В1 = (6…10) мм;(2.2)
В2 = (6…12) мм;
В7 = (15…30) мм;
У випадку, якщо (Н2/В1) ≥ 160,
у конструкції перетину необхідно передбачити подовжні ребра жорсткості.
Обчислюємо площу перетину головної
балки.
Площа перетину стінок, м2,
;(2.3)
.
Площа перетину полиць м2,
(2.4)
Площа перетину головної балки м2,
(2.5)
Визначаємо моменти інерції перетину
головної балки відносно осі Х-Х. Для однієї стінки, м4,
Для однієї полиці
Тоді загальний момент інерції та
момент опору перетину головної балки відносно осі Х-Х
(2.8)
.
Момент опору перетину головної балки
відносно осі Х-Х
Визначаємо момент інерції перетину
відносно осі Y-Y.
Для полиці
Для стінки
Загальний момент інерції та момент
опору перетину головної балки відносно осі Y-Y

3. Статичний розрахунок головної
балки моста
Кранові конструкції, що працюють в
умовах легкого та середнього режимів, розраховують на статичну міцність по
найбільших навантаженнях. При цьому розглядають дві найбільш несприятливі
комбінацій навантажень:
а) що виникає при нерухомому крані у
випадку підйому вільно лежачого вантажу максимально припустимої маси (підйом з
підхопленням) чи при різкому гальмуванні вантажу, що опускається;
б)що виникає при різкому гальмуванні
крана, що рухається з найбільшою швидкістю, або на початку руху (пуск крана) з
максимальним вантажем на гаку.
3.1 Розрахунок головної балки за
першою комбінацією навантажень
3.1.1 Вантажний візок знаходиться в
середині прольоту
При даній комбінації на головні
балки діють наступні навантаження від:
) маси вантажу Q = 4000 кг;
2) маси механізму пересування
Q1 = 500 кг;
) маси головної балки Q2 =
1000 кг;
) маси візка крана Q3 =400
кг;
) маси площадки з настилом
для обслуговування Q4 = 200 кг.
При цьому масу кабіни машиніста й
масу тролеїв можна не враховувати через їхню незначну величину.
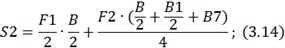
Розрахункова схема епюри згинальних
моментів, що виникають при дії на головну балку першої комбінації навантажень,
представлені на рисунку3.1.
Навантаження від власної маси балки
й маси площадки з настилом, що приходиться на 1 м довжини, Н/м,
Де G- прискорення вільного падіння
Рисунок 3.1 - Розрахункова схема
(а), а також епюри згинальних моментів від зосереджених (б) розподілених (в)
сил першої комбінації навантажень
Статичний прогин балки, м, від маси
вантажу, що піднімається, приблизно може бути визначений з рівняння
Де Е- модуль пружності матеріалу
балки, приймаємо
Па.
Коефіцієнт жорсткості моста крана
оцінюють за умовою
(3.3)
Статичне подовження канатів при
підйомі вантажу, м,
Де НЗ - висота підйому вантажу, НЗ
=6 м;
І - число канатів, на яких
підвішений вантаж (для одинарного поліспаста - кратність поліспаста) І = 2;-
площа поперечного перерізу дротів каната,
;
Е1 - модуль пружності каната,
приймаємо
Па.
Площа поперечного перерізу дротів
каната вибирається у залежності від розривного зусилля. Величина розривного
зусилля, Н,
де
коефіцієнт
запасу міцності каната, приймаємо
Обираємо канат типу ЛК-Р [4]
діаметром d=15мм; Розрахункова площа перетину проволок S=95
Динамічний коефіцієнт, що враховує
вплив прискорень на величину навантажень на конструкцію, для випадку підйому
вантажу з підхопленням розраховується,
Де АА - поправочний коефіцієнт,-
швидкість підйому (опускання) вантажу, м/с.
Величина поправочного коефіцієнта
Для випадку екстреного гальмування
вантажу, що опускається, величина динамічного коефіцієнта,
Надалі за розрахункову величину
параметра FD приймаємо найбільшу зі значень, отриманих з формул (3.5) і (3.7).
Навантаження, що припадає на одне
колесо візка,
Де К - коефіцієнт, що враховує
нерівномірність навантаження на колеса візка, приймаємо К=1,3.
Навантаження від маси механізму
пересування, N1, Н,
= K7·Q1·G;(3.9)
Де К7 - коефіцієнт перевантажень,
приймаємо К7=1,1.
= 1,1·500·9,81 = 5395,5 Н.
Найбільша напруга в конструкції від
дії першої комбінації навантажень,
де(М1 + М2) - сумарний згинальний
момент від дії зосереджених сил і розподілених навантажень у найбільш
завантаженому перетині головної балки (рисунок 3.1);- розрахунковий опір сталі
вигину,
Обираємо матеріал ВСт 3пс6-2, R2 =
270МПа ;
К1 - коефіцієнт умов роботи
конструкції.
Коефіцієнт умов роботи конструкції
деК2 - коефіцієнт, що враховує
відповідальності роботи елемента, приймаємо К2=(0,75...1,0);
КЗ - коефіцієнт неточності
виготовлення конструкції, приймаємо К3=(0,90...0,95);
Нормальні напруження всередині
прольоту головної балки складають 56 % від допустимих або S = 83 Мпа. При
розрахунковому опору матеріалу балки - 149 Мпа.
3.1.2 Вантажний візок знаходиться на
краю прольоту
Рисунок 3.2 - Схема до розрахунку
навантажень в опорному перетині балки при першій комбінації навантажень
Максимальна поперечна сила, що
викликає напруження зрізу в конструкції,
Де РА - навантаження, що приходиться
на одне колесо вантажного візка при знаходженні візка на краю прольоту;
С1 - відстань між точкою опори балки
та крайнім положенням колеса візка, м; С1=1,5м;- відстань між точкою опори
балки та точкою прикладання сили N, приймаємо Х = 4м.
Рисунок 3.3 - Опорний перетин
головної балки
Навантаження РА =
Статичний момент половини опорного
перетину (рисунок 3.3),
, відносно осі X -
X,
,
Те ж відносно осі Y-Y,
,
Момент інерції опорного перетину
відносно осі X - X,
,
Те ж щодо осі Y- Y ,
,
Найбільші дотичні напруження в
опорному перетині при даній комбінації навантажень
деRЗ - розрахунковий опір матеріалу
балки деформації зрушення, Па приймаємо R3, для Вст 3пс6-2 RЗ = 156 МПа.
3.1.3 Перевірка стійкості стінок
головної балки
З метою збереження стійкості стінок
головної балки усередині перетину встановлюються діафрагми за схемою,
зазначеною на рисунку 3.6.
Для оцінки стійкості стінок опорного
перетину використовуємо схему на рисунку 3.7. Величина критичного дотичного
напруження у стінці з урахуванням її защемлення біля стінок поясів
деS3 - крок установки діафрагм , м.
Крок SЗ установки діафрагм
визначається гнучкістю стінки за наступними умовами:
При
приймаємо
S3 = 2
Н2
= 0, 737 м.
Запас стійкості стінок повинен
відповідати умові,
Стійкість стінок на середній ділянці
балки перевіряємо за коефіцієнтом запасу стійкості
де SK-критична величина дотичних
напружень при вгині балки, Па,
Отже стійкість стінок на середній
ділянці складає
при мінімальному
допустимому 1,3.
3.1.4 Перевірка напружень у
верхньому поясі від місцевого вигину
У верхньому поясі балки крім
напружень від основних навантажень під впливом тиску коліс візка виникають
додаткові нормальні напруги від його місцевого вигину. Верхній поясний лист під
дією навантаження деформується разом з рейкою. Для того, щоб поясний лист не
служив опорою для рейки, улаштовуються додаткові опори у вигляді ребер
жорсткості.
Висота ребер жорсткості, м,
Відстань між ребрами LЗ, м,
вибираємо з умови
деW4- момент опору перетину рейки.
Відстань між ребрами L3 =
м,
що більше ніж крок установки діафрагм S3 = 0,737 м.
Отже додатково встановлювати ребра
жорсткості необхідності немає.
Рисунок 3.4 - Схема розрахунку
стійкості стінок головної балки
Перевірку міцності конструкції для
випадку перебування коліс візка між діафрагмами,
деS - напруження в
перетині;максимальний згинальний момент.
Напруження у верхньому поясі від
місцевого згину складають 12% від допустимих або S = 18 МПа при розрахунковому
опору матеріалу верхнього поясу 149 МПа.
3.1.5 Перевірка діафрагм на напругу
зминання
Перевірку напруги зминання на торці
діафрагм проводять за формулою
деS - напруження в перетині;
В6 - ширина площадки діафрагми, що
сприймає тиск від дії коліс візка;
В4 - товщина діафрагми, приймаємо
В4=В2;- розрахунковий опір матеріалу зминанню.
Напруження зминання на кінцях балки
становлять 11 % або 22 МПа, при розрахунковому опору 204МПа.
Ширина площадки діафрагми
Де ВЗ - ширина підошви рейки
(приймаємо за додатком В).
кран балка міст шов
3.2 Розрахунок головної балки за
другою комбінацією навантажень
При цій комбінації враховуються
наступні види навантажень від:
) маси вантажу Q = 4000 кг;.
2) маси механізму пересування
Q1 = 500 кг;
) маси головної балки Q2 =
1000 кг;
) маси візка крана Q3 =400
кг;
) маси площадки з настилом
для обслуговування Q4 =200 кг;
) сили інерції при
гальмуванні крана Рu.
3.2.1
Вантажний візок знаходиться в середині прольоту
Розрахункова схема повинна
враховувати вплив згинальних навантажень, що діють на головну балку у
вертикальній і горизонтальній площинах, а також вплив навантажень, що скручують
конструкцію.
Рисунок 3.5 - Схема дії навантажень,
прикладених до головної балки у вертикальній площині (а), епюри згинальних
моментів від зосереджених (б) і роззосереджених (в) сил.
.2.1.1 Згинальні навантаження у
вертикальній площині
Розглядаємо зусилля, що діють на
головну балку у вертикальній площині. До них відносяться:
навантаження на ходові візки,
навантаження від маси механізму
пересування
розподілене навантаження від маси
головної балки
розподілене навантаження від маси
площадки для обслуговування
Де К6 - коефіцієнт поштовхів,
приймаємо К6 = 1,1;
К7 і К8- коефіцієнти перевантажень,
приймаємо К7 = 1,1; К8 = 1,2.
.2.1.2 Згинальні навантаження в
горизонтальній площині
У горизонтальній площині на головну
балку діють:
Сили рухомих навантажень (вантажу та
візка)
сили інерції від маси механізму
пересування,
розподілене навантаження від маси
головної балки,
розподілене навантаження від маси
площадки для обслуговування
Де К9 - коефіцієнти підсилення
навантажень, приймаємо К9 = 1,5;
А1- уповільнення крана при
гальмуванні, для кранів, що працюють в умовах легкого та середнього режимів,
А1=(0,3.. 0,6) м/с2.
Горизонтальні сили інерції від маси
головної балки викликають загальний вигин головної балки в горизонтальній
площині, а інші - вигин і крутіння відносно центра тяжіння перетину.
.2.1.3 Навантаження від скручування
Для визначення розрахункової величини
крутильного моменту розглянемо умови рівноваги банки та її деформацій,
Де Мкр - момент сил, що скручують
балку;А, FВ - кути деформації балки від скручувальних навантажень.
Для опорних перетинів пролітної
балки розрахунковий момент, що скручує,
де
розподілені
та зосереджені навантаження, що скручують балку;
-
ексцентриситети відповідних навантажень щодо точки 0;
- відстань від
розглянутого опорного перетину до і-го скручувального зосередженого
навантаження.
М4 = МВ; М1=МА; М2 = МА-М7; МЗ =
МА-М7-М5-М6.
деМ5- момент, що скручує, від дії
маси площадки для обслуговування;
М7- момент, що скручує, від дії сили
РU;
М6- момент, що скручує, від дії маси
механізму пересування.
Рисунок 3.6 - Схема розрахунку
головної балки від дії сил у горизонтальній площині та від навантажень, що
скручують
Момент, що скручує, від дії маси
площадки для обслуговування:
Момент, що скручує, від дії сили PU:
,
Момент, що скручує, від дії маси
механізму пересування:
,
М4 = МВ = 307,755 Нм;
М1 = МА =
Нм;
М2 = МА-М7
М2 = 78,3451 Нм;
МЗ = МА - М7- М5 - М6 =
-
-
Рисунок 3.7 - Схема дії навантажень,
прикладених до головної балки у вертикальній площині (а), епюри згинальних
моментів від зосереджених (б) і роззосереджених (в) сил
Рисунок 3.8 - Схема дії навантажень,
прикладених до головної балки в горизонтальній площині (а), епюри згинальних
моментів від зосереджених (б) і роззосереджених (в) сил
Перевірку міцності головної балки
від загального вигину при перебуванні візка в середині прольоту проводимо за
формулою:
де Мв і Мг -
згинальні моменти відповідно у вертикальній і горизонтальній площинах у
найбільш навантаженому перетині головної балки,
Мв =
Нм,
Мг =
Нм
= 133 МПа
< 149 МПа
Найбільше напруження в головній
балці від сумісної дії згинальних навантажень складає 90% від допустимих або S
= 133 МПа, при розрахунковому опору матеріалу - 149 МПа. Напружений стан у
розрахункових перетинах від дії скручувальних навантажень:
де Мк і W2 -
відповідно скручувальний момент і момент опору перетину, що розраховується
Напруження від скручувальних
навантажень складає Т = 4 % від допустимих або Т = 3 МПа при розрахунковому
опорі матеріалу - 86 МПа
Момент опору крутінню перетину балки
в середині прольоту,
,
Те ж для опорного перетину,
,
Рисунок 3.8 - Схема дії навантажень,
що скручують, (а), епюри від дії зосереджених (б), роззосереджених (в) і
сумарних (г) скручувальних моментів
.2.1.4 Спільна дія згинальних і
скручувальних навантажень
Напруження в головній балці від
сумісної дії згинальних та скручувальних навантажень при знаходженні вантажного
візка на середині прольоту складає S = 90 % від допустимого або S = 133 МПа
при розрахунковому опорі матеріалу - 149МПа.
3.2.2 Вантажний візок знаходиться на
краю прольоту
У цьому розрахунковому положенні
найбільш небезпечними для міцності головної балки є дотичні напруження, що
викликані дією поперечних сил у вертикальній площині, а також крутильного
моменту.
Дотичні напруження, що діють у
найбільш навантаженому перетині головної балки, визначаються як
деТ1, Т2. і ТЗ- відповідно дотичні
напруження від дії поперечних сил у вертикальній площині, а також від
скручувальних навантажень.
Перераховані вище дотичні напруження
визначають за формулами:
деQV i QG - сумарні поперечні сили у
вертикальній і горизонтальній площинах головної балки;
- момент від дії
навантажень, що скручують головну балку відносно осі 0 (рисунок 3.7).
Максимальні значення поперечних сил

Максимальний момент, що скручує,
розраховуємо за формулою
Сумарні напруження від сумісної дії
поперечних і скручувальних навантажень складає 75% від допустимих 65 МПа або 86
МПа.
Рисунок 3.9 - Схема до розрахунку
головної балки від дії згинальних навантажень у вертикальній (а) і
горизонтальній (б) площинах, а також від скручувальних (в) моментів
4. Розрахунок зварних швів
Розрахунок проводиться на прикладі
швів верхнього поясу та стиків вертикальних стінок балки.
4.1 Розрахукок стикових швів
верхнього поясу
Найбільш навантажена ділянка шва
розташована біля опори балки. Зусилля зрізу, що приходиться на одиницю довжини
шва,
деS4 - статичний момент інерції
верхнього поясу щодо горизонтальної осі Х-Х.
Статичний момент інерції верхнього
поясу
Висота В5 катета зварних швів
повинна бути не менше 0,148 мм і повинна не перевищувати найбільшу товщину
зварювальних елементів більш ніж на 20%.
Необхідна мінімальна довжина зварних
швів у розрахунку на 1м довжини балки, м,
Де В5 - висота катета зварного шва,
м;- розрахунковий опір руйнуванню матеріалу зварного-шва Па. приймаємо R5 = 200
Па.
Приварку верхнього поясу до стінок
виконуємо переривчастими швами довжиною не менш ніж
і
з кроком 100...150 мм.
4.2 Розрахунок стикових швів
вертикальних листів (стінок)
Перевіряємо стики вертикальних
листів балки (стінок). Вважаємо, що стики розташовані на відстані L4 від краю
балки, а пояса (горизонтальні листи) з'єднуються поза цими стінками. Розрахунок
проводиться на напруження від вигину при найбільш невигідному положенні колеса
візка над стиком при першій комбінації навантажень. Для цього використовуємо
схему, зображену на рисунку 3.4 за винятком того, що розмір С1 замінимо на L4.
Тоді реакція від рухомих
навантажень,
Згинальний момент від цього
навантаження у шві, що розраховується,
Те ж від рівномірно розподіленого
навантаження
Звідси напруження в розглянутому
зварному шві,
Де К5- коефіцієнт, що характеризує
опір зварних з'єднань розтяганню та вигину, К5=0,85.
Напруження від згину в зварних швах
вертикальних листів складають S =71 МПа при розрахунковому напруженні згину в
зварних швах 149 МПа.
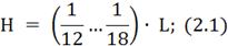
5. Перевірка жорсткості головної
балки
5.1 Визначення величини прогину
Внаслідок прогину головної балки
може відбуватися інтенсивний знос реборд коліс крана, а також підскік (при
миттєвому розвантаженні крана) чи мимовільне скочування до середини прольоту
візка. Для попередження цих явищ значення допустимого прогину F4 обмежується величиною
від
прольоту L.
У нашому випадку допустимий прогин
складає, м,
F4
= 1/700·5 = 0,00714 м.
Прогин F4 визначається з урахуванням статично діючого
рухомого навантаження відповідно до схеми на рисунку 5.1
Прогин головної балки складає 84%
від допустимого або F4 =
м, при допустимих
0,00714 м.
5.2 Визначення часу загасання
коливань головної балки
Важливою характеристикою конструкції
крана є час загасання його коливань без навантаження. Цей параметр впливає на
продуктивність крана, точність установки вантажу, на термін служби конструкції
з урахуванням явищ утоми її матеріалу, на самопочуття крановика внаслідок
впливу вібрацій.
Час загасання коливань, с,
деРЗ- частота власних коливань
моста, Гц;- логарифмічний декремент загасань, при Н> (І./20) приймаємо
D1=0,6, при Н<(L/20) D=0,65.
Частота власних коливань моста,
де
- жорсткість балки, Н/м;
- приведена
еквівалентна маса балки, кг
с2/м.
Жорсткість балки
Приведена маса балки орієнтовно
визначається як
6. Розрахунок кінцевих балок
Рисунок 6.1 - Схема до розрахунку
кінцевих балок
Максимальне навантаження на кінцеву
балку
,4
Прийнявши перетин кінцевих балок
аналогічно опорному (рисунок 3.5), величина напружень у перетині, Па,
Напруження в перерізі кінцевих балок
складають 91 % від допустимих або S=135 МПа при розрахунковому опору матеріалу
149 МПа.
Список літератури
1. ТУ
14-1-3023-80
2. Методичні
вказівки до виконання курсового проекту з дисципліни «Теоретичні основи
створення машин» на тему «Проектування металоконструкції мостового крану» для
студ. Спец. 7.090214 «Підйомно - транспортні, буд., дор., меліор. машини і
облад.» усіх форм навчання (№973). - Х.: УкрДАЗТ, 2002.-50с.
. Коновалов
Є.В., Козар Л.М. Студентська навчальна звітність. Текстова частина
(пояснювальна записка). Загальні вимоги до побудови, викладення та оформлення:
Методичний посібник з додержання вимог нормоконтролю у студентській навчальній
звітності.- Х: УкрДАЗТ, 2004.-28с.
. ГОСТ
2688-80. Канат двойной свивки типа ЛК-Р Конструкції 6х19(1+6+6/6)+1 о. с.
Сортамент
. ГОСТ
4121-62