Разработка калькулятора для оценки эффективности мультивалютных вкладов
МИНИСТЕРСТВО ОБРАЗОВАНИЯ И НАУКИ РОССИЙСКОЙ
ФЕДЕРАЦИИ
Федеральное государственное бюджетное
образовательное учреждение высшего профессионального образования
«КУБАНСКИЙ ГОСУДАРСТВЕННЫЙ УНИВЕРСИТЕТ»
Кафедра прикладной математики
ВЫПУСКНАЯ
КВАЛИФИКАЦИОННАЯ РАБОТА Бакалавра
РАЗРАБОТКА
КАЛЬКУЛЯТОРА ДЛЯ ОЦЕНКИ ЭФФЕКТИВНОСТИ МУЛЬТИВАЛЮТНЫХ ВКЛАДОВ
Работу
выполнила И.А.Кудрина
Научный руководитель
В.Н.Кармазин
Краснодар
2013
Содержание
Введение
.
Мультивалютный вклад
.1
Понятие мультивалютного вклада
.2
Мультивалютные вклады в России
.3
Мультивалютные вклады в других странах
.4
Сравнение мультивалютных вкладов в России и странах СНГ
.5
Страхование вкладов
.
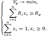
Модели построения портфелей
.1
Инвестиционный портфель
.2
Построение портфеля
.3
Принятие решений на основе метода анализа иерархий
.3.1
Иерархическое представление
.3.2
Шкала отношений
.3.3
Матрица парных сравнений
.3.4
Вычисление вектора приоритетов
.3.5
Согласованность матрицы парных сравнений
.3.6
Анализ иерархий
.4
Метод анализа сценарий
.4.1
Постановка задачи
.4.2
Принцип максимина
.4.3
Минимаксное сожаление
.4.4
Алгоритм решения задачи
.5
Портфель Марковица
.5.1
Основная схема
.5.2
Построение портфеля
.
Разработка калькулятора оценки эффективности мультивалютного вклада
.1
Платформа .NET
.2
Основная схема разработки
.3
Разработка приложения
Заключение
Список
использованных источников
Введение
Вложение сбережений в банки - это один из
способов не только их сбережения, но в некоторых случаях способ значительно
увеличить вложенную сумму. Банки предлагают различные виды вкладов с
разнообразными привлекательными условиями, но неопытному вкладчику тяжело
разобраться во всем этом многообразии. Основными предложениями банков являются
вклады в одной валюте. Такой валютой может быть, как и местная, так и любая
другая. Это уже зависит от банка, его работы, предложений, надежности,
местоположения и многое другое. Для многих вклад сразу в нескольких валютах
является чем-то неизвестным, или как говорят «в диковинку». И это не смотря на
то, что они существуют в нашей стране не меньше восьми лет. На вопрос в местном
отделении «Сбербанка» об открытие счета в нескольких валютах, мультивалютном
вкладе, сотрудники этого банка ответили, что не стоит «заморачиваться» с
непопулярным вкладом и начали предлагать другие виды услуг, по их мнению,
наиболее популярными.
Многие банки предлагают на своих сайтах
возможность различных вычислений, так называемые калькуляторы. С помощью этих
калькуляторов можно выбрать вклад с максимальной доходностью, рассчитать
полученную сумму для конкретного вклада, или сумму, которую необходимо будет
выплатить банку при оформлении кредита. Но большинство предлагаемых
калькуляторов настолько примитивные, что позволяют выбирать только одну из
предложенных валют, и если вкладчик захочет воспользоваться им для
мультивалютного вклада, то это у него не получится. Таким образом, вкладчик
вынужден либо не принимать его в расчет или искать приложения, для оказания
такого вида услуг, в других местах. Зачастую такие приложения ненамного
превосходят предлагаемые банками и имеющие высокую цену. Актуальность и
практический аспект данных проблем связаны с тем, что нет «инструмента»,
который помогает вкладчику построить эффективный мультивалютный портфель.
Объектом исследования являются мультивалютные вклады. Предметом исследования -
оптимальные инвестиционные портфели для мультивалютного вклада, получаемые на
основе различных математических методов.
Целью работы является разработка приложения для
оценки эффективности и риска мультивалютного вклада на основе математических
методов построения инвестиционного портфеля.
Задачами дипломной работы в связи с указанной
целью являются:
проанализировать условия мультивалютных вкладов
в банках РФ и зарубежных странах;
исследовать надежность вложения средств в мультивалютные
вклады в банках РФ;
раскрыть понятие оптимального инвестиционного
портфеля для мультивалютного вклада;
исследовать методы для построения оптимального
портфеля;
разработать калькулятор для оценки эффективности
мультивалютного вклада.
Создание такого калькулятора поможет вкладчику
на основе исследованных методов построить оптимальный портфель, с учетом его
предпочтений, изменения курсов валют, с указанным риском.
Основными методами в достижении поставленной
цели являются анализ литературы построения инвестиционных портфелей и
управление финансовыми рисками, изучение условий мультивалютных вкладов
различных банков на сетевых ресурсах, изучение языка программирования Visual
C# и практика
программирования в среде Visual
Studio 2010 на платформе Net.Framework
4.0.
Работа состоит из трех глав. В первой главе
рассматриваются само понятие мультивалютного вклада, чем такой вид вклада
отличаются от других, зарубежные и российские банки предлагающий такой вид
услуги, различия между условиями и надежность вклада в российских банках.
Вторая глава посвящена исследованию
математических методов построения оптимального портфеля. Включает определение
понятия оптимального портфеля, описания методов построения портфеля.
Третья глава описывает разработанный калькулятор
для оценки эффективности вкладов.
1. Мультивалютный вклад
.1 Понятие мультивалютного вклада
Мультивалютные вклады - это такие депозиты, в
которых деньги хранятся в нескольких одновременно.
Суть такого депозита заключается в том, что
подписывая один договор на открытие вклада в банке, фактически открывается
несколько счетов в разных валютах [1]. У вкладчиков имеется возможность
конвертировать средства из одной валюты в другую без потери процентов. Это
является главным преимуществом мультивалютных вкладов получения прибыли не
только за счёт процентов, но и за счет своевременной конвертации средств. Тем
самым, храня деньги в нескольких валютах, потери от снижения курса одной валюты
компенсируются повышением курса другой.
Но, не смотря на описанные преимущества, у
вклада имеется ряд недостатков связанных с колебанием курсов валют и знаний,
необходимых для прибыльного управления вкладом. Кроме того введение
мультивалютного счета обходится банку дороже, чем обслуживание обычного вклада,
поэтому банкиры стараются компенсировать свои расходы за счет привлечения более
крупных сумм. То есть минимальная сумма взноса на мультивалютный депозит
составляет 0.5-1 тыс. долларов [2].
Мультивалютный вклад появился не так
давно, вот что об это говорит начальник департамента персонального банковского
обслуживания «Локо-банка» Андрей Попович: « Мультивалютный вклад
<#"701560.files/image001.gif">
, в долларах США - 
, в евро 
, подробнее в таблице 4.
Таблица 4 - Ставки по вкладу
«Мультивалютный» банка Росбанк
|
Ставки
по вкладу «Мультивалютный» банка Росбанк
|
|
Срок
вклада
|
Сумма
вклада, рублей
|
|
От
30 000
|
От
200 000
|
От
300 000
|
|
3
месяца
|
6,95
|
7,10
|
7,20
|
|
6
месяцев
|
7,70
|
7,85
|
7,95
|
|
9
месяцев
|
7,80
|
7,95
|
8,05
|
|
12
месяцев
|
8,20
|
8,35
|
8,45
|
|
Сумма
вклада, долларов США
|
|
От
1 000
|
От
6 000
|
От
10 000
|
|
3
месяца
|
1,10
|
1,15
|
1,20
|
|
6
месяцев
|
1,75
|
1,80
|
1,85
|
|
9
месяцев
|
2,20
|
2,25
|
2,30
|
|
12
месяцев
|
2,65
|
2,70
|
2,75
|
|
Сумма
вклада, евро
|
|
От
1 000
|
От
6 000
|
От
10 000
|
|
3
месяца
|
0,90
|
0,95
|
1,00
|
|
6
месяцев
|
1,55
|
1,60
|
1,65
|
|
9
месяцев
|
1,85
|
1,90
|
1,95
|
|
12
месяцев
|
2,10
|
2,15
|
2,20
|
|
|
|
|
|
|
|
Из таблицы 4 можно сделать вывод, что банк
предлагает более высокие процентные ставки и меньший риск чем «Сбербанк», так
как сроки вклада малы.
В эту же группу можно отнести «Райффайзенбанк»,
дочерний банк ЗАО «Райффайзенбанк Австрия» [11], «ЮниКредит Банк»,
принадлежащий UniCredit
Bank Austria
AG[12].
Финансовая система европейских стран традиционно
считается одной из самых надежных и устойчивых в мире, и даже проблемы еврозоны
не способны поставить под сомнение этот статус. Это является основной причиной,
по которой вкладчики всегда были заинтересованы в размещении своих средств в
одной из стран европейского содружества - тем самым обеспечив их сохранность. К
финансовой системе России и других странах СНГ инвесторы все еще относятся с
некоторой осторожностью, особенно это касается долгосрочных вложений. Поэтому,
для размещения средств - хотя бы в частичном объеме с целью распределения
рисков - привлекательными являются европейские финансовые институты. Однако
существует и обратная сторона медали - европейские банки никогда не предлагали
высоких ставок по депозитным вкладам.
Rietumu
- частный латвийский банк [13], широко работающий на международном рынке и
предоставляющий полный спектр финансового сервиса. Мультивалютный вклад
оформляет в двух валютах: евро и долларах США. Вкладчик может открыть вклад на
год с процентной ставкой 0,85% по обеим валютам.
Особую популярность мультивалютные
вклады приобрели в Азии. Некоторые банки [14
<#"701560.files/image004.gif">
С учетом последних вычислений денежные средства
распределяются таким образом, как указано в Таблице 7.
Таблица 7 -Распределение денежных средств
вкладчика
|
Валюта
|
Сумма
|
|
Евро
|
|
|
Фунт
стерлингов
|
|
|
Рублей
|
|
Таким образом, сформировался следующий портфель
(евро, фунты стерлингов, рубли):
Не трудно заметить, что вкладчик ограничен в
своих возможностях выбора того или иного портфеля. Для любого мультивалютного
вклада, можно составить такой же минимальный портфель. Таким образом, банки
стремятся обезопасить себя. Интересен тот факт, что чем более высокие годовые
процентные ставки и спектр возможных дополнительных возможностей, тем выше
минимальная сумма взноса. Украинские банки предлагают вложение средств под
большие процентные ставки, чем банки нашей страны Таблицы 5,6. Это связано с
тем, что банкам Украины не хватает ресурсов. Такая «щедрость» банкиров [22]
является вынужденной, потому что в конце лета 2011 года, они впервые
столкнулись с оттоком гривневых средств. В среднем годовая процентная ставка
выше на 1-2%. Председатель правления ПАО «Дочерний банк Сбербанка России» Игорь
Юшков отметил, что «соотношение вкладов в гривне, долларах и евро понемногу
меняется в пользу последних, и, повышая ставки по гривенным депозитам, банки
выравнивают баланс между вкладами».
.5 Страхование вклада
Для того чтобы обезопасить сбережения вкладчика
в нашей стране предусмотрены специальные законы рассмотренные ниже. Не стоит
обольщаться на высокие процентные ставки и "минимизированные"
минимальные суммы взносов, которые предлагают банки, особенно это касается мультивалютных
вкладов. По данным рассмотренным в подпунктах 1.2 и 1.3 процентные ставки
именно этих вкладов ниже, чем в других депозитов.
Страхование вкладов в Российской Федерации
осуществляется в соответствии с Федеральным законом "О страховании вкладов
физических лиц в банках Российской Федерации" №177-ФЗ от 23 декабря 2003
года. Целями этого Федерального закона является защита прав и законных
интересов вкладчиков банков Российской Федерации, укрепление доверия к
банковской системе нашей страны и стимулирование привлечения сбережений
населения в банковскую систему. На основании этого закона в 2004 году создано
Агентство по страхованию вкладов.
Защита финансовых интересов граждан является
одной из важных социальных задач государства [23]. Системы страхования вкладов
действуют в более чем ста странах мира: во всех государствах-членах
Европейского Сообщества, в США, Японии, Бразилии, а также у наших ближайших
соседей в Азербайджане, Армении, Беларуси, Казахстане, на Украине. Агентство по
страхованию вкладов - некоммерческая организация, созданная государством для
обеспечения работы Системы страхования вкладов и защиты интересов вкладчиков.
Именно это агентство организует выплату
физическим лицам возмещения по вкладам из средств фонда обязательного
страхования вкладов. Фонд состоит из имущественного взноса Российской
Федерации, страховых взносов банков и доходов от размещения средств фонда в
государственные и корпоративные ценные бумаги.
В настоящее время размер страховых взносов
банков составляет 0,1% расчетной базы. По данным на 23 мая 2013 г.
банками-участниками являются 889 банков.
Застрахованными являются денежные средства в
рублях и иностранной валюте, размещенные физическим лицом в банке во вклад или
на банковский счет. Исключения составляют некоторые формы размещения денежных
средств, указанные в Федеральном законе [25].
Выплата возмещения по вкладу осуществляется в
рублях. Если вклад размещен в иностранной валюте, то сумма возмещения по вкладу
рассчитывается в рублях по курсу, установленному Центральным банком Российской
Федерации на день наступления страхового случая. Так как мультивалютный вклад
предполагает вложения в нескольких валютах и открытия счета для каждой валюты
отдельно, то в страховом случае все денежные средства переводятся в рубли.
Страховым случаем для целей Федерального закона
[25] является либо отзыв у банка лицензии Центрального банка РФ на
осуществление банковских операций в соответствии с Федеральным законом "О
банках и банковской деятельности", либо введение Центрального банка РФ в
соответствии с законодательством Российской Федерации моратория на
удовлетворения требований кредиторов банка. Максимальная сумма возмещения по
вкладам составляет 700тыс. рублей. Если сумма превышает страховые выплаты, то
оставшаяся часть вкладов погашается в рамках ликвидационных процедур. Для того,
что бы обезопасить сбережения, необходимо проверить, что выбранный банк
является участником системы страхования вкладов. Для полной защиты денежных
средств накопления свыше 700тыс. рублей, целесообразно разместить в разных
банках.
2. Модели построения портфелей
.1 Инвестиционный портфель
В самом широком смысле инвестиции обеспечивают
механизм, необходимый для финансирования роста и развития страны. Лоренс Дж.
Гитман и Майкл Д. Джонк не останавливаются на конкретном термине «инвестиции»,
а в общем случае определяют это понятие следующим образом: «инвестиция - это
любой инструмент, в который можно поместить деньги, рассчитывая сохранить или
умножить их стоимость и (или) обеспечить положительную величину дохода». Таким
образом, даже сберегательный счет в банке можно назвать инвестиций, так как
такой счет принесет доход[25].
Портфель - это набор инвестиционных инструментов
для достижения общей цели [25].
В случае анализа мультивалютного вклада, целью
будет являться формирование портфеля, отвечающего следующим требованиям:
минимизировать риск,
максимизировать доходность,
учитывать мнения вкладчиков.
В качестве инструментов будем рассматривать
всевозможные доли вкладов валют. То есть подбирать такие варианты долей валют,
чтобы вклад соответствовал портфелю целей.
.2 Построение портфеля
Процесс построения портфеля, обеспечивающий
приемлемое соотношение риска и доходности, базируются на строгой математической
концепции. Рассмотрим только лишь некоторые методы такого построения: метод
анализа иерархий, анализ сценариев и дисперсионный метод.
Методами формируется портфели, который вкладчик
анализирует и выбирает по своему желанию. Портфель представляет собой вектор
(1)
где 
- доля i-й валюты в
депозите, n- количество
предлагаемых валют для размещения средств.
Таким образом, в зависимости от
предложений банков n может быть разным. Если n=1, то вклад
не является мультивалютным.
Вектор x
удовлетворяет следующим свойствам:
.
,
.
.3 Принятие решений на основе метода
анализа иерархий
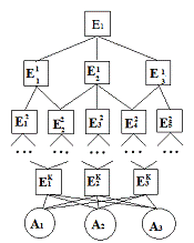
.3.1 Иерархическое представление
Иерархия[27] - определенный тип
системы, основанный на предположении, что элементы системы могут группироваться
в несвязные множества. Элементы каждой группы находятся под влиянием элементов
некоторой вполне определенной группы. То есть метод анализа иерархий [26] -
декомпозиция проблемы на более простые составляющие ее части и обработку
суждений лица, принимающего решение. В результате определяется относительная
значимость исследуемых альтернатив для всех критериев, находящихся в иерархии.
Относительная значимость выражается численно в виде векторов приоритетов
(вектора x). Иерархия
[26] включает в себя цель, расположенную в вершине, промежуточные уровни и
альтернативы - нижний уровень иерархии как на рисунке 2.1
Рисунок 2.1- Общий вид иерархии
.3.2 Шкала отношений
Для установления относительной важности
элементов иерархии используется шкала отношений [26]. Данная шкала позволяет
ставить в соответствие степеням предпочтения одного сравниваемого объекта перед
другим некоторые числа.
Допустим, даны элементы A
и B, для установления
значений между ними воспользуемся шкалой отношений от 1 до 9 представленной в
таблице 8.
Таблица 8 - Шкала отношений элементов А и В
|
Определение
|
Степень
значимости
|
|
А
и В одинаково важны (значимы)
|
1
|
|
А
незначительно важнее В
|
3
|
|
А
значительно важнее В
|
5
|
|
А
явно важнее В
|
7
|
|
А
абсолютно превосходит B
|
9
|
|
Облегчение
компромиссов между слегка отличающимися от основных предложенных значений
|
2,4,6,8
|
При сравнении элемента самим с собой имеет место
одинаковая значимость равная единице.
2.3.3 Матрица парных сравнений
Матрица парных сравнений является квадратной.
Для её построения в иерархии выделяют элементы двух типов: элементы -
«родители» и элементы - «потомки». Элементы - «потомки» воздействуют на
соответствующие элементы вышестоящего уровня иерархии, являющиеся по отношению
к первым элементами - «родителями». Матрицы парных сравнений строятся для всех
элементов - «потомков», относящихся к соответствующему элементу - «родителю».
Элементами - «родителями» могут являться элементы, принадлежащие любому
иерархическому уровню, кроме последнего. Парные сравнения проводятся в терминах
доминирования[26]. Доминирование одного элемента над другим выражается с
помощью шкалы отношений.
Заполнение квадратных матриц парных сравнений
осуществляется по следующему правилу. Если элемент A
доминирует над элементом B,
то клетка матрицы, соответствующая строке A
и столбцу B,
заполняется
целым числом, а клетка, соответствующая строке B
и столбцу A, заполняется
обратным к нему числом и наоборот, то есть матрица обратно-симметричная.
Таким образом, матрица парных сравнений примет
вид:
.3.4 Вычисление вектора приоритетов
Если А-матрица значений парных
сравнений, то для нахождения вектора приоритетов 
можно сформулировать [27] следующую
задачу:
Докажем, что это так.
Предположим[27],что 
-элементы некоторого уровня
иерархии. Определим веса 
их влияния на элемент следующего
уровня. Пусть 
матрица значений 
, соответствующая значимости
элемента 
, которая является
обратно-симметричная, то есть 
. Таким образом, А-согласованная: 
.

(2)
Тогда Рассмотрим матричное уравнение
Где 
и 
, которое соответствует системе
уравнений:
Из (2) получаем:
Следовательно,
Или
Что эквивалентно выражению
(3)
В теории матриц эта формула отражает
то, что 
- собственный вектор матрицы А с
собственным значением n.Рассмотрим следующие два факта.
. если 
числа, удовлетворяющие уравнению
То есть являются собственными
значениями матрицы А, и если 
, то
Поэтому, если имеет место (3), то
все собственные значения-нули, кроме одного, который равен n. В Случае
согласованности n -наибольшее собственное значение А.
. Если элементы 
обратно симметричной матрицы А
положительны незначительно изменить, то собственные значения также изменятся
незначительно.
Из фактов следует, что если
диагональ матрицы А состоит из единиц и она согласованная, то при малых
изменениях в 
наибольшее собственное значение 
остается близким к n, а
остальные собственные значения - близкими к нулю. Что и требовалось доказать.
Для положительной квадратной матрицы
А собственный вектор 
, соответствующий максимальному
собственному значению 
, с точностью до постоянного
сомножителя C можно
вычислить[2] по формуле
(4)
Где

С-константа,
Т-знак транспонирования. Вычисление собственного
вектора 
по выражению (4) производятся до
достижения заданной точности.
Максимальное собственное значение
вычисляется по формуле:
.3.5 Согласованность матрицы парных
сравнений
В практических задачах однородность
суждений нарушается, что связано с такими человеческими качествами как
усталость, невнимательность, незнание и т.д. Согласованность положительной
обратно-симметричной матрицы A 
эквивалентна требованию равенства
её максимального собственного значения 
с n.
Однородность суждений оценивается
индексом однородности (ИО)
или отношением согласованности (ОО)
Где М (ИО)- среднее значение
(математическое ожидание) индекса однородности. Среднее значение индекса
однородности зависит от порядка матрицы как показано в таблице 9.
Таблица 9 - М (ИО) для 
|
Порядок
матрицы(n)
|
М
(ИО)
|
|
1
|
0,00
|
|
2
|
0,00
|
|
3
|
0,58
|
|
4
|
0,90
|
Приемлемым считается 
.
.3.6 Анализ иерархии
Анализ иерархии на рисунке 2.1
начинается с построения матриц парных сравнений для каждого её элемента.
Эксперт определяет приоритеты элементов с помощью шкалы отношений. Можно
выделить следующие этапы анализа[2].
)Вычисление векторов приоритетов 
для i-го элемента
j-го уровня
иерархии, которое подробно рассмотрено в подпункте 2.3.4. В результате для
каждого уровня определяется множество векторов
Где k-количество
элементов j-го уровня.
Каждый вектор 
имеет структуру
Где n-количество
элементов (j+1)-го
уровня.
Вектор приоритетов альтернатив
относительно элемента 
предпоследнего уровня обозначим 
вычислим таким же образом как
вектора предыдущих уровней 
:
В итоге определяется множество
векторов
Которые впоследствии используются
при определении векторов приоритетов альтернатив относительно всех элементов
иерархии.
) Последовательное построение
векторов приоритетов альтернатив проводится в направлении от нижних уровней
иерархии к верхним с учетом конкретных связей между элементами иерархии.
Вычисление проводится перемножением соответствующих векторов и матриц.
Общий вид выражения для вычисления
векторов приоритетов альтернатив определяется следующим образом [26]:
Определение векторов приоритетов для
второго уровня рисунка 2.1 имеет вид:
Тогда вектор приоритетов альтернатив
относительно корневой вершины иерархии 
вычисляется следующим образом:
Таким образом, сформированный вектор

является портфелем, который
соответствует мнению, в нашем случае, вкладчику.
2.4 Метод анализа сценарий
.4.1 Постановка задачи
Рассмотрим задачу [28] при
неопределенности

(5)
Где 
- решения (альтернативы), 
. 
некоторое множество, как частный
случай множество 
может быть частью евклидового n-мерного
пространства. Выбор x находится в полном распоряжении
лица, принимающего решение.
Цель лица, принимающего решение,
является выбор такого 
, для которого скалярный критерий 
достигает, возможно, наибольшего
значения. При этом учитывается действия непредвиденных ситуаций и других видов
неопределенностей 
, о которых только известно, что они
принимают значения их множества 
.
Роль лица может выполнять
руководители предприятий, фирм, банков и так далее. Для каждого лица определен
круг действий, каждое из которых является решением (альтернативой).
Решение (альтернатива)- это правило,
которое ставит в соответствие выбору лица то или иное действие (поведение) из
возможных действий (поведений), допустимые при данном выборе. Например, для
руководителя предприятий альтернативами могут быть выплата различных премий,
штрафов. Для мультивалютных вкладов - варианты построения портфеля валют.
Для конкретного решения неизбежны
возмущения, ошибки и другие неопределенности, которые существенно влияют на
исход. Причем у них известны лишь границы изменения. Если взять во внимание
выплату премий, то неопределенностями могут быть аварийные ситуации,
инновационные предложения и так далее. Для мультивалютных вкладов - различные
ситуации (кризисная, посткризисная, нынешняя) построения портфеля валют.
Исход задачи(5) оценивается
значением 
, которая определена на
произведении 
и называется критерием для лица,
принимающего решение.
В случае конечного числа альтернатив
и неопределенностей задачу (5) можно представить следующим образом.
Предполагаем, что лицо желает
сделать выбор на конечном множестве решений (альтернатив)
Исход зависит от следующих
неопределенностей:
Таким образом, задача (5) сводится к
следующему: дана постоянная прямоугольная 
матрица 
и лицу, принимающему решение, нужно
выбрать строку 
. При этом ему неизвестно, какое из
возможных неопределенностей (состояний) 
может осуществиться, то есть учитывается
появление любого 
как определено в таблице 10.
Таблица 10 - Постановка задачи
Таким образом, задача (5) может быть задана в
виде упорядоченной тройки
(6)
где выбор альтернативы 
осуществляет лицо, принимающее
решение; реализуется некоторая неопределенность (состояние) 
Задана постоянная матрица
.4.2 Принцип максимина
Общепринятый подход к принятию
решения [28] в задаче (5) основывается на принципе максимина. Пусть 
- не улучшаемое решение, выбираемое
максиминной стратегией:
(7)
Смысл принципа максимина в том, что,
если лицо, принимающее решение, выбрал и использовал произвольное решение 
, то он гарантирует себе
Это следует из неравенств
Наибольшая гарантия реализуется на
решении 
из (7) так, потому что из (7)
справедливо два неравенства:
Применение принципа максимина
приводит к 
- максимальный из всех возможных
гарантий 
.
.4.3 Минимаксное сожаление
Пусть каждой неопределенности 
поставим в соответствие число,
которое является наибольшим значением критерия 
при указанной неопределенности:
(8)
Далее лицо, принимающее решение,
строит разность между (8) и значением этого же критерия при любом решении 
:
(9)
Где 
фиксированная неопределенность.
Выражение (9) означает численное оценивание
«сожаления» в том, что лицо принимающее решение использовал решение 
, а не 
То есть разность (9) определяет
риск, который возникает с тем, что лицо принимающее решение, не знает точно,
какая неопределенность 
может быть реализована.
Затем выбирается такое решение 
, при котором риск был бы
наименьшим. Для этого применим принципу максимина, описанного в подпункте
2.4.2, к следующей задаче
Что приводится к
Где функция риска
Формальное определение [28] по
Севиджу гарантированного по риску решением задачи (5) назовем пару 
, определяемую цепочкой равенств
Лицо, принимающее решение,
придерживаясь 
, обеспечил себе риск 
, который при любой неопределенности

не может стать больше его
гарантированного значения 
. Используя полученные знания
подпунктов 2.4.2 и 2.4.3 приходим к выводу, что принцип максимина-это
ориентация на самый плохой исход, который только может произойти, а принцип
максиминного сожаления-это ориентация на самый лучший.
Но кроме положительных сторон
принцип максиминного сожаления имеет также ряд негативных свойств: - риск для
решения 
при реализации двух разных
неопределенностей 
может оказаться равными, хотя одна
из них явно хуже другой; - добавление или удаление элементов из множества X решений
может изменить упорядоченность предыдущих решений по отношению к критерию 
минимаксного сожаления.
2.4.4 Алгоритм решения задачи
Будем рассматривать задачу, заданную
в виде упорядоченной тройки (6):
Где выбор альтернативы 
осуществляет лицо, принимающее
решение; реализуется некоторая неопределенность (состояния) 
Задана постоянная матрица
Согласно критерию Севиджа подпункта
2.4.3 решением задачи (6) будем называть пару 
, такую что

Где функция риска

Численно оценивает риск лица,
принимающего решения, что он при неопределенности 
выбрал решение 
, а не 
такое, что
Смысл риска 
в том, что используя решение 
, определяемую равенством (11), обеспечивается
риск не больший чем 
:
Какая бы неопределенность 
не реализовалась в задаче (6).
Приведем схему решения задачи (6) с
использованием формул (11) и (12) на Рисунке 2.4.5.



Рисунок 2.4.5 - Схема решения задачи
с помощью алгоритма минимаксного сожаления
Полученная пара 
будет гарантированным по риску
решением задачи(6).
.5 Портфель Марковица
.5.1 Основная схема
Обозначим ожидаемое значение
случайной величины R, как

Где 
операция вычисления математического
ожидания, применяемая к случайной величине 
. Ожидаемое значение интуитивно
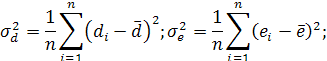
понимается как среднее по всем значениям. Тогда с учетом (13) дисперсия
(вариация) случайной величины и стандартное (среднеквадратичное) отклонение
соответственно примут вид


Если вариация эффективности равна
нулю, то эффективность не отклоняется от ожидаемого значения, то есть, нет
неопределенности и как определялось в пункте 2.4 нет и риска. Чем больше
вариация, тем больше отклонение и соответственно риск. Поэтому величину
вариации (или среднеквадратичное отклонение) считают мерой риска.
Второй - корреляция доходности пары
ценных бумаг. Корреляция измеряет связь, если она существует, между двумя
числовыми рядами, которые представляют определенный вид данных, которыми могут
быть доходности, объемы продаж, курсы валют и другое. Коэффициент корреляции -
степень зависимости данных одного ряда от другого, которая находится в
промежутке 
. Абсолютно положительно
коррелированные ряды, имеющие коэффициент корреляции единицу, изменяются
параллельно друг другу, в то время как абсолютно отрицательно коррелированные
ряды - в прямо противоположных направлениях. Если коэффициент корреляции
нулевой, то ряды не зависимы [29]. Ковариация - это мера линейной зависимости
двух случайных величин и можно рассматривать как частный случай корреляции.
Ковариация определяется по формуле
(16)
Где 
и 
- случайные величины, а 
и 
соответствующие им ожидаемые
значения.
.5.2 Построение портфеля
Рассмотрим портфель (1), в котором 
доля вклада, приходящаяся на i-й вид
ценных бумаг или, в нашем случае, валюту. Отметим, что
Эффективность портфеля 
равна
(17)
Где 
эффективность j-го вклада.
Ожидаемое значение эффекта портфеля
согласно формуле (13) определяется следующим образом:
(18)
Отклонение от ожидаемого значения
имеет вид
(19)
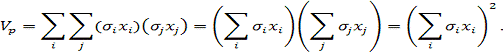
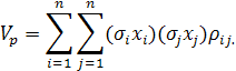
Вариация (дисперсия) портфеля
Где 
ковариация случайных величин 
и 
, которая вычисляется по формуле
(16). Очевидно, что 
являются дисперсиями 
Рассмотрим влияние корреляции на
эффективность портфеля.
Коэффициентом корреляции является
величина
((21)
С учетом формулы (21) вариация
портфеля из (20) примет вид
((22)
При 
формула (22) примет вид
((23)
Пусть вкладчик (инвестор) вложил
средства равными долями, то есть 
. Тогда он получил средний ожидаемый
доход (эффект)
Причем риск равен
Пусть 
, тогда
Оказывается, при росте числа n , риск
портфеля ограничен и стремится к нулю при 
Из этого можно сделать вывод: для
повышения надежности эффекта от вклада разумней делать вложения не в один вид,
а составлять портфель, содержащий возможно большее разнообразие.
Для того чтобы понять влияние
корреляции предположим, что 
. Тогда
Пусть 
Если 
, то при всех 
При полной корреляции диверсификация
не дает положительного эффекта, потому что риск портфеля, оказывается, просто
равен среднему риску от отдельных вложений и не стремится к нулю с увеличением
числа видов ценных бумаг.
Положительная корреляция между
эффективностями двух ценных бумаг имеет место [30] , когда курс обеих
определяется одним и тем же фактором, действие которого происходит в одну и ту
же сторону. Эффективность портфеля на столь же случайна, сколько случайно принимаемое
значение этого фактора. При полной обратной корреляции (
возможно такое распределение
вложений [30], что риск полностью отсутствует. Но такая корреляция достаточна
редка. Наиболее реальными являются ситуации, когда ни полной прямой и полной
обратной корреляции, но разумная диверсификация приводит к снижению риска без
потери эффективности.
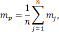
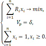
Портфель Марковица минимального
риска сводится к построению портфеля 
, который согласно (22)
удовлетворяет следующим условиям:
((24)
Портфель Марковица максимальной
доходности заданного риска 
сводится к построению портфеля 
, который согласно формуле (17)
((25)
Портфель Марковица минимальной
доходности сводится к построению портфеля 
, который согласно формуле (17)
((26)
3. Разработка калькулятора оценки
эффективности мультивалютного вклада
.1 Платформа .NET
.NET - это
платформа от компании Microsoft, состоящая
из полного набора инструментов для разработчиков (.NET Framework) и для
пользователей. .NET Framework состоит из
множества библиотек и классов, которые можно использовать для создания
собственных приложений. К основным преимуществам этой платформы [31] относит:
универсальный API;
защищенный код;
полная ориентированность на объекты,
которые обеспечивают удобство и скорость разработки;
сборка мусора;
визуальное программирование;
распределенные вычисления;
открытость стандартов;
поддержка устройств.
За последние восемь лет платформа
развивалась от .NET Framework 2.0 до .NET Framework 4.0.
Платформа не стоит на месте, а очень быстро развивается.
Платформа Win32 имеет
очень слабое звено - незащищенность кода и возможность перезаписывать любые
участки кода, что в .NET разработчики свели к
минимуму. Но это не значит, что платформа абсолютно безопасна, потому что
существуют ошибки логики работы программы.
Одной из сильных преимуществ
платформы .NET является визуальное
программирование. Визуальность упрощает создание графического интерфейса и
ускоряет разработку.
Открытость стандартов - это
неоспоримое преимущество, потому что предоставляет разработчику большую
свободу. Платформа .NET ускоряет разработку приложений с
распределенными вычислениями, что важно для корпоративного программного
обеспечения. В качестве транспорта взаимодействия используются технологии
открытых стандартов HTTP, протокол передачи гипертекстовых
файлов, XML,
расширяемый язык разметки, и SOAP, простой протокол доступа к
объектам.
С помощью среды разработки Visual Studio.NET можно
разрабатывать приложения любой сложности с использованием .NET Framework, которые
очень просто интегрируются с серверами и сервисами от Microsoft.
Центральное звено платформы - это .NET Framework. Среда .NET Framework состоит из
двух элементов [32]: общеязыковой исполняющей среды (Common Language Runtime-CLR), в которой
выполняются программы, и набора библиотек, которые называются библиотеки
классов .NET Framework. Библиотека
классов - это функциональная поддержка, которая необходима коду при выполнении
под управлением CLR и не зависит от языка
программирования, таким образом, программы .NET, написанные
на C++,C# или любом
другом языке, который поддерживает .NET Framework, используют
одни и те же библиотеки .NET.
Платформа .NET не зависит
от языка программирования, и для нее можно писать на многих различных языках,
но самым популярным является C#, потому что он разрабатывался
именно для этой платформы и создавался с нуля. Язык C# визуален и
по своим возможностям не уступает самой мощной среде разработки Delphi. Можно
сказать, что он объединил в себе лучшее от C++ и Delphi. C#- это
полностью объектный язык, в котором все построено вокруг понятий объект и
класс.
Реализуем калькулятор эффективности
мультивалютных вкладов в среде Microsoft Visual Studio 2010,
показанной на рисунке 3.1, платформе .NET Framework 4.0 c помощью
языка программирования Visual C#.
Рисунок 3.1 - Проект создания приложения
с пользовательским интерфейсом Windows Forms Visual C# в Microsoft Visual Studio 2010
платформе .NET Framework 4.0
.2 Основная схема разработки
Программа «Калькулятор эффективности
мультивалютных вкладов» предназначена для людей, которые хотят извлечь
наибольшую выгоду с минимальным риском, а также без труда рассчитать доходность
для различных вариантов, самостоятельно с помощь специальных методов построить
оптимальный инвестиционный портфель, удовлетворяющий их пожеланиям, при
вложении денежных средств в мультивалютный вклад. Основными этапами в
достижении этой цели является решение следующих задач: - открытость для любых
вариантов;
правильный расчет;
построение удобного и доступного
интерфейса;
учитывающие мнение и желание
вкладчика;
предложение оптимального
инвестиционного портфеля в любых ситуациях;
использование математических и
статистических методов.
В разделе 1 рассмотрены различные
банки, предлагающие вкладчикам мультивалютные вклады. Для таких вкладов в
Российских банках существует небольшой «круг» характеристик, которые общие для
всех банков. К таким характеристикам можно отнести вложение средств в трех
валютах: рублях РФ, долларах США и евро. Но каждый банк предлагает свои годовые
процентные ставки, срок вклада, начисление процентов. Именно это определяет
свойство открытости, то есть возможность учитывать любые варианты, не
останавливаясь на конкретных числах конкретного банка. При этом учитывается
мнение и желание вкладчика, который сам вводит необходимые данные выбранного им
банка. Использование математических и статистических методов для построения
оптимальных решений, открывает возможность анализировать их и выбирать более
подходящий. В калькуляторе будем использовать методы, подробно изложенные в
разделе 2: анализ иерархий, анализ сценариев и статистический анализ.
Верный расчет - свойство актуальное
для любых видов калькуляторов, поэтому решение этой задачи является центральным
в достижении поставленной цели.
Политическая и экономическая
ситуация в стране и во всем мире может в любой момент меняться, этому может
служить как природные явления так и банкротство каких-либо компаний и многое
другое. Поэтому, вкладывая денежные средства, нельзя быть абсолютно уверенным,
что вклад принесет доход, а не наоборот. Одним из этапов разработки калькулятора
является предложение оптимального инвестиционного портфеля в любых ситуациях,
учитывая кризисную, посткризисную и нынешнюю ситуации последних пяти лет.
Построение удобного и доступного
интерфейса - это одна из основных задач. Это связано с тем, что каждое
перечисленное выше качество абстрактно понятно, но все они должны быть
взаимосвязаны между собой такой «паутиной», которая облегчит, а не усложнит
работу с пользователем. Здесь должна учитывать семантическая связь между
характеристиками вклада, психологическая обстановка для пользователя,
профессиональные комментарии.
.3 Разработка приложения
На основе проведенных исследований
мультивалютных вкладов в разделе 1, главная форма (окно) должна содержать
следующие данные
сумма вклада;
валюта суммы вклад;
курс доллара и евро;
процентная ставка для рублей,
долларов и евро;
срок вклада;
предположительные курсы валют на
момент окончания срока вклада;
желаемые доли вкладов для каждой
валюты.
Главная форма программы имеет вид,
показанный на рисунке 3.2.
Рисунок 3.2 - Главная форма
приложения «Калькулятор эффективности мультивалютных вкладов»
Справа на форме помещено текстовое
поле, которое предназначено для вывода результата вычислений. В нем выводятся
все результаты, независимо от выбранных вычислений и при каждом новом
вычислении новый результат добавляется в конце имеющихся. Таким образом,
вкладчик может легко просмотреть все результаты вычислений до тех пор, пока не
закроет программу или очистит с помощью клавиатуры, или с помощью
последовательности 
или 
.
Меню является неотъемлемой частью
большинства приложений. В нашем случае меню, изображенное на рисунке 3.3,
выполняет пару команд. Его использование целесообразней, чем размещение
дополнительных кнопок, так как большинство пользователей привыкли искать нужную
команду в меню. Панель меню состоит из двух пунктов: 
и 
. 
включает подпункт

;

в отличие от предыдущей операции
очистит отчет и все вводимые данные;
Выход, закрытие приложения.
Рисунок 3.3 - Элемент приложения
меню menu Strip
Пункт «
» содержит единственный подпункт «
». Для такого приложения, как
разрабатываемый калькулятор, справка должна быть мощным инструментом, потому
что не всем пользователя понятны анализы, используемые в расчетах. Таким
образом, она должна содержать доступную информацию.
На форме, изображенной на рисунке
3.3, помещены две кнопки, соответствующие второму уровня дерева,
представленного на рисунке 3.2 общей схеме решения. Методы построения портфеля
третьего уровня дерева размещены на панелях в нижней части приложения.
Кнопка «Простой расчет»
предназначена для вычисления доходности и суммы, полученной в конце срока. То
есть, вкладчик самостоятельно определяет инвестиционный портфель, показанный на
рисунке 3.4, определяя долю для каждой валюты, и предполагает какими будут
курсы валют на момент окончания срока вклада на панели, изображенной на рисунке
3.5. Удобнее использовать не десятичные числа, а проценты. Тем самым первое
свойство будет равно 100%. То есть в простом расчете вкладчик сам устанавливает
долю для каждой валюты и сумма долей должна быть равной ста процентам. Если
сумма не удовлетворяет этому условию, то появляется окно с ошибкой, показанное
на рисунке 3.5, и не происходит никаких вычислений. Кнопка «Сумма» упрощает
пользователю процесс расчета долей.
Рисунок 3.4 - Панель, для указания
долей каждой валюты в инвестиционном портфеле и сообщение при неправильном
вводе
Риск вложения денежных средств в
иностранной валюте заключается в неизвестном заранее курсе валюты. Так как
простой расчет не предполагает никакого анализа, вкладчик в силу своих
предположений или предсказыванием финансовых аналитиков, определяет на панели,
изображенной на рисунке 3.5, курс валют на момент окончания срока вклада.
Рисунок 3.5 - Панель предполагаемых
курсов валют в конце срока
Кнопка «Скопировать» копирует соответствующие
данные из панели «Курсы валют», имея ввиду, что курсы валют на момент вложения
и окончания срока вклада одинаковые.
На панели «Начисление процентов» на
рисунке 3.3 можно выбрать начисление процентов:
раз в год;
раз в месяц;
раз в 3 месяца;
раз в полгода.
Автоматически выпадающий список combo Box
устанавливается на начисление процентов раз в год, но пользователь может
изменить на любой из списка. В зависимости от выбранного варианта применяется
формула для вычисления суммы, которая будет получена в конце срока вклада.
Предположим, что вкладчик собирается
поместить в банк 
рублей. При этом банк для каждой из
валют определяет процентную ставка: для рубей -
, для долларов - 
, для евро - 
. При этом инвестиционный портфель имеет
вид 
, который удовлетворяет свойствам
описанным в разделе 2.2. Курс доллара обозначим как 
, евро - 
. Курс, который буде в конце срока
для доллара обозначим 
, для евро -
.
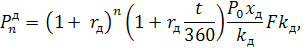
Тогда если начисления сложного
процента раз в год или в конце каждого года и срок вклада некоторое количество
лет, то полученная сумма для вклада открытого в рублях вычисляется по формуле
[33]
(25)
Для вклада открытого в долларах
полученная сумма в рублях
(26)
Для вклада - в евро
(27)
В конце срока вкладчик получит
сумму, накопленную на всех трех счетах
(28)
Начисление процентов несколько раз в
год также определяется формулой (28), но расчет 
производится по формулам
29
30
31
Где m-периодичность
начисления процента в течение года. В общем случае при m=1, то есть
начисление один раз в год, формулы (29), (30) и (31) примут вид формул (25),
(26) и (27). Поэтому в расчетах в программе будем использовать формулы (29),
(30) и (31).
Если срок вложения не исчисляется в
годах, а может быть в месяцах, днях или год и несколько месяцев, то есть
комбинированным или как это назвал «Сбербанк» индивидуальным, тогда
рассмотренные формулы для такого расчета не подходят. В этом случае используются
формулы комбинации простого и сложного процента. Слагаемые в формуле (28)
рассчитываются по формулам
32
33
34
Где t- число
дней, за которые начисляются простые проценты. При n=0 получим
расчет полученной суммы, вложенной на некоторое количество дней.
Вкладчик сам определяем период
начисления процентов и срок вклада, по которым программа автоматически выбирает
нужную для расчета формулу.
Проверим правильность расчета,
который основан на вышеописанных формулах. Предположим, что вкладчик собирается
вложить 500 тыс. рублей в «Мультивалютный Сбербанка России». Воспользуюсь
данными таблицы 1, заполним главную форму, так как показано на рисунке 3.6.
Рисунок 3.6 - Простой расчет в
приложении «Калькулятор эффективности мультивалютных вкладов»
Так как начисления процентов
осуществляется раз в 3 месяца, а срок вклада 1 год воспользуемся формулами
(29), (30) и (31)
Подставляем полученные результаты в
формулу (28)
Доходность - это относительный
показатель, который говорит о том, какой процент приносит рубль инвестированных
средств за определенный период и выражается в процентах [3].Доходность за
период - это доходность, полученная инвестором за определенный период времени.
Она определяется по формуле
((35)
Для рассматриваемого выше случая
доходность будет равной
Кнопка «Расчет с анализом» выполняет
расчет доходности, полученной в конце срока вклада, суммы и риска портфеля,
введенного пользователем. В этом расчете используется среднее значение курса
валют за последний год. Для рассматриваемого выше примера, результат выполнения
расчета с анализом показан на рисунке 3.7.
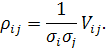
Риск портфеля рассчитывается с
учетом (23) по формуле
((36)
Здесь
Рисунок 3.7 - Главная форма
приложения «Калькулятор эффективности мультивалютных вкладов» после нажатия
кнопки «Расчет с анализом»
Где 
- курсы валют, соответственно
доллара и евро; 
-средние значения; 
- доли соответственно долларов и
евро в портфеле.
Список курсов валют хранятся в
отдельном файле. Для доллара и евро - это отдельные файлы. Среднее значение для
доллара и евро вычисляются программой автоматически. Каждый метод построения
портфеля помещен на панель, которая имеет свой фоновый цвет. С помощью
цветового разделения, пользователю будет легче различать методы и правильно
заполнять все панели. Кнопка на панели «Анализ иерархий» открывает новое окно,
представленное на рисунке 3.9. В этой форме строится рассмотренная в разделе
2.3.3, матрица парных сравнений.
Рисунок 3.8 - Окно метода «Анализ
иерархий»
После нажатия на кнопку «Начать»
пользователь строит вектор приоритетов по иерархии рисунка 3.9.
Рисунок 3.9 - Иерархия для
определение лучшей валюты
Построение вектора приоритетов,
осуществляется с помощью ответов на следующие вопросы:
- Какая валюта, по
Вашему мнению, доминирует в мире?
Курс, какой валюты, по Вашему мнению, более
устойчивый?
Какая валюта более подкреплена запасами
драгоценных металлов, нефтью т. д.?
Какая валюта более ликвидная?
Какая валюта более чувствительна к политическим
и экономическим нестабильностям в странах-носителях этой валюты?
Именно эти вопросы помогают
вкладчику определить, какая валюта является для него более доходной, тем самым
определить долю в портфели каждой валюты. Матрица парных сравнений заполняется,
таким образом, как на рисунке 3.10. С помощь выпадающего списка на пересечении
разных валют, пользователь выбирает на сколько «
» имеет большее преимущество, чем «
» в данном вопросе. При каждом
нажатии кнопки «Далее» и отвечая на вопрос, формируется вектор приоритетов
по формулам из раздела 2.3.4
Рисунок 3.10-Построение матрицы парных сравнений
Если индекс согласованности заполненной матрицы
не удовлетворяет необходимым условиям из раздела 2.3.5, то появляется
сообщение, изображенное на рисунке 3.11, которое позволит снова ответить на
вопрос.
Рисунок 3.11-Сообщение, предупреждающее, что
индекс согласованности не соответствует норме
После ответа на все вопросы сформируются векторы
приоритетов. Алгоритм, описанный в разделе 2.3.6, построит оптимальный портфель
и на основе введенных данных выполнится простой расчет, где в качестве
предположительного курсов валют будут взяты средние курсы валют за последний
год, и выведется результат, как показано на рисунке 3.12.
Рисунок 3.12 - Главная форма приложения
«Калькулятор эффективности мультивалютных вкладов» после выполнения «Анализа
иерархий»
То есть метод помогает пользователь разобраться
в его отношении к валютам посредством вопросов, строя при этом соответствующий
портфель.
Постановка задачи для метода «Анализ сценариев»
сводится к построению тройки вида (6) из раздела 2.4.1
Где выбор альтернативы 
осуществляет лицо, принимающее
решение; реализуется некоторая неопределенность (состояние) 
Задана постоянная матрица
Пусть - это различные сценарии
развития курса валют к моменту окончания срока вклада
X - вектор
хранящий различные варианты формирования портфеля, то есть 
Элементом матрицы А= 
является сумма, полученная в конце
срока вклада, которая соответствующему сценарию из 
и доли валют распределены, таким
образом, как их определяет i-й элемент вектора X. Для
каждого сценария данные о курсах валют содержатся в текстовом файле, который
находятся в той же папке, что и сама программа. Работа с такими файлами
возможна только при подключении пространства имен System.IO. Курсы
валют для каждого сценария разные, это связано с различными подходами анализа
сценариев.
Данные содержат в себе информацию о
курсах за последние шесть лет, взятые из архива Центрального Банка Российской
Федерации [4]. В этот период входит экономический кризис 2008 года, а также
посткризисная обстановка и все изменения валют до нынешнего года. Таким
образом, «Оптимистический сценарий» содержит средние из наивысших значений
курсов валют за этот период, «Консервативный сценарий» - средние за весь
период, «Пессимистический сценарий» - средние из наименьших значений курсов
валют, включающие показатели с 2010 г, «Кризисный сценарий» - средние
показатели курсов валют за период с 2008 -2010 г. Легко заметить разделения на
сценарии на графиках курса валют за 2010-2012 года, показанных на рисунке 3.13.
-курс доллара США, 2 - курс евро.
Рисунок 3.13 - График изменения
курса валют с 01.01.2010 по 28.12.2012 г по данным ЦБ РФ
Тенденции изменения курса валют, как
доллара, так и евро сохраняется из года в год. Стоимость валюты изменяется в
соответствии с сезоном, так осенью заметен рост цены вверх, а весной - вниз. Но
это не относится к кризисному периоду, в котором наблюдались резкие изменения
курса валют. В связи с этим срок вклада может «попасть» в любой из периодов
изменения, поэтому необходимо учитывать их все.
В «Анализе сценариев» для расчета
полученной суммы по вкладу используются предположительные курсы валют не
введенные пользователем, а взятые из текстовых файлов, описанных ранее.
Результат метода достигается с
помощью выполнения алгоритма, описанного в разделе 2.4.5. В текстовом поле
выводится оптимальный портфель, а также вычисленная с его учетом сумма для
каждого сценария как показано на рисунке 3.14 . Это поможет вкладчику сделать
вывод об ожидаемой доходности для различных неопределенностей.
Рисунок 3.14 -Расчет с помощью
метода «Анализ сценариев» в приложении «Калькулятор эффективности
мультивалютных вкладов»
«Статистический анализ» строит
портфель с максимальным или минимальным уровнем доходности с заданным уровнем
риска. Вычисления проводятся по формулам (25),(26) , (27) и с помощью формул,
описанных в разделе 2.5.
Минимальная доходность с заданным
риском, включенная в этот метод, позволяет получить портфель, который принесет
наименьший доход. Такая информация позволит пользователю рационально оценивать
доли валют. Риск вычисляется по формуле (36). Пользователь самостоятельно
определяет риск (
, который удовлетворяет условию
Минимальное значение отлично от
нуля, потому что нулевой риск соответствует только лишь тому, что валюта вклада
это без рисковая валюта, в нашем случае рубль. Но так как портфель должен иметь
ненулевые значения, этот вариант не рассматриваем.
Панели «Статистический анализ»
показаны на рисунке 3.15. Вычисление необходимой доходности, выберется с
помощью галочки. Автоматически такая галочка установлена для максимальной
доходности. Если не выбрать ни один из предложенных вариантов, то приложение
рассчитает все возможные портфели для заданного уровня риска.
Рисунок 3.15- Панели для метода
«Статистический анализ»
Данные для этого анализа, то есть
курсы валют, взятые за последний год, и возможные варианты составления
портфеля, хранятся в текстовом файле, который находится в той же папке, что и
приложение
После нажатия кнопки «Расчет», в
приложении проводятся вычисления, и результат выводится в отчет, как показано
на рисунке 3.16, на котором проводятся вычисления максимальной и минимальной
доходности для минимального риска. «Примерная итоговая сумма» в отчете является
суммой полученной в конце срока вклада, для расчета которой в качестве предполагаемых
курсов валют берутся средние значения курсов валют за последний год. Таким
образом, для рассматриваемого метода не нужно заполнять панель
«Предположительные курсы валют в конце срока».
Рисунок 3.16 - Расчет с помощью
метода «Статистический анализ» в приложении «Калькулятор эффективности
мультивалютных вкладов»
Пакет приложения «Калькулятор
эффективности мультивалютных вкладов» состоит из классов и форм, изображенных
на рисунке 3.17. Для каждого рассмотренного метода имеется свой класс или
форма. Класс Matrix.cs содержит
процедуры и функции для вычисления формул расчета суммы (29), (30) ,
(31),(32),(33) и (34), полученной в конце срока вклада, и вычисления матрицами
и векторами, необходимые для метода «Анализ иерархий».
Классы MethodAnalisScenario.cs и MethodStatistic.cs имеют
методы работы с текстовыми файлами и построения алгоритмов для решения
соответственно методов «Анализ сценариев» и «Статистический анализ». Форма MethodHierarchies.cs - это форма
метода анализа иерархий, содержащая в себе методы работы с матрицей парных
сравнений из раздела 2.4. «Form1» - это главная форма
приложения, она содержит объекты всех выше описанных классов.
Рисунок 3.17 - Обозреватель решения
проекта «Калькулятор эффективности мультивалютных вкладов» в Visual Studio 2010
Заключение
Для человека всегда актуальной
проблемой будут деньги и выгодное обращение с ними. Поэтому банки предлагают
разнообразные предложения, как вкладов, так и кредитов. Человеку остается лишь
выбрать из этого многообразие выгодное для него предложение. Но это не так
просто сделать. Тогда на помощь предлагаются калькулятора, которые помогают
производить различные финансовые вычисления.
Мы выяснили, что мультивалютный
вклад отличается от всех остальных тем, что для него открывается сразу
несколько счетов в разных валютах.
В дипломной работе рассмотрены
различные предложения мультивалютных вкладов отечественных и зарубежных банков.
Мультивалютные вклады в России предлагаются открывать в трёх валютах: рублях
РФ, долларах США и евро. Но заграницей они открываются и в двух и даже в
пяти-шести валютах.
Общей чертой условия банков,
предлагающие такой вид услуги то, что годовая процентная ставка ниже, чем для
любого другого вклада. Как мы выяснили, это связано с колебанием курса валют,
что компенсирует эту разницу.
Минимальная сумма взноса для такого
вклада обычно более высокая. Это связано с тем, что банки возмещают таким
образом все расходы, связанные с соответствующим видом вклада. Так же с помощью
минимальной суммы для каждой валюты банк формирует инвестиционный портфель,
который может исключить некоторые варианты портфелей в зависимости от той
суммы, которую хотели бы вложить.
В мультивалютном вкладе редко
предполагается частичное снятия денежных средств, что неудобно для вкладчика.
Но предлагает пополнение вклада. Мы выяснили, что если все-таки возможен
вариант снятие денежных средств, то банк устанавливает достаточно высокую сумму
минимального взноса. Одним из главных преимуществ мультивалютных вкладов
получения прибыли не только за счёт процентов, но и за счет своевременной
конвертации средств.
Мы рассмотрели ситуацию банкротства
банка. В таком случае денежные средства будут конвертированы в рубли РФ по
курсам на ЦБ РФ в день, когда банк был признан банкротом. Коммерческие банки
предлагают мультивалютные вклады с достаточно высокими годовыми процентными
ставками, поэтому не стоит обольщаться на это. Прежде всего, необходимо
проверять их на вхождение банка в Ассоциацию страхования вкладов.
Мы выяснили, что риск
мультивалютного вклада заключается в колебании курсов валют. Но колебания
курсов может принести значительную выгоду вкладчику. Поэтому решение задачи
построения оптимального портфеля сводится к построению с помощью математических
методов.
Метод анализа иерархий позволяют
вкладчику с помощью наводящих вопросов сформировать портфель, отвечающий его
предпочтениям.
Метод анализа сценариев исследует
различные сценарии развития курсов валют и выводит результат в виде
оптимистического, консервативного, пессимистического результата и дополнительно
кризисной ситуации.
Метод статистического анализа
позволяет определить максимальную и минимальную доходность с заданным уровнем
риска.
Таким образом, на основе исследуемых
методов разработан калькулятор эффективности мультивалютных вкладов не просто
для обычного расчета получаемой суммы в конце периода, а калькулятора, который
анализирует введенные данные и строит оптимальное решение.
Калькулятор позволит вкладчику не
только провести анализы введенных данных, но и самому попробовать провести
простой расчет с введенным им портфелем и варьировать им по его усмотрению, тем
самым выбирая необходимый для него вариант.
В дальнейшем можно дополнить
калькулятор новыми валютами и еще каким-либо языком, например английский,
интерфейса. Таким образом, калькулятор можно будет использовать не только в
России и странах СНГ, но и в других странах.
Разработанный нами калькулятор
поможет вкладчикам построить оптимальный для них портфель. Таким образом, можно
сказать, что цели работы достигнуты.
Список литературы
1.Мультивалютный
вклад//Информационный портал Bankingsite.ru - 2012. (Рус.) - URL:
<http://bankingsite.ru/bankovskaja_teorija/65-multivalyutnyy-vklad.html>
(дата обращения: 22.05.2013).
.Мультивалютные
вклады. Плюсы и минусу мультивалютных вкладов// Проект «Личный финансовый
план/средства разработки» -2009. (Рус.) - URL:
<http://www.pfptools.ru/> (дата обращения: 22.05.2013).
.Правление
Банка//Банк ЗЕНИТ - 2012.(Рус.) -URL:
<http://www.zenit.ru/group/rus/ZENIT_headbank/>(дата обращения:
22.05.2013).
.Развитие
банковского дела в России// Ресурс, специализирующийся на вкладах в банках
России -2004.(Рус.) URL: <http://www.sredstva.ru>
(дата обращения: 23.05.2013).
.
Вклады физических лиц сроком от 1 года до 3лет// Ассоциация Российских банков
-1991.(Рус.) - URL:
<http://arb.ru/banks/ratings/> (дата обращения: 22.05.2013).
.Вклад
«Мультивалютный Сбербанка России»//Сбербанк России-1997.(Рус.) - URL:
<http://sberbank.ru/krasnodar/ru/person/contributions/> (дата обращения:
23.05.2013).
.Мой
мультивыбор // официальный сайт банка «Промсвязьбанк»-(Рус.) URL: <http://www.psbank.ru/Personal/Everyday/Saving/MyMultyChoice> (дата
обращения: 24.05.2013).
.Вклад
«УРАЛСИБ|Мультивалютный» // официальный сайт банка «Уралсиб» -2005. (Рус.) URL:<https://www.bankuralsib.ru/retail/deposits/multicurr.wbp>
(дата обращения: 24.05.2013).
.Вклад
«Возрождение-Мультивалютный»// официальный сайт банка «Возрождение» -2000.
(Рус.) URL:<http://www.vbank.ru/krasnodar/personal/assistant_deposits/multivalyutniy/>
(дата обращения: 24.05.2013).
.
О банке//официальный сайт банка «Россбанк» -2007. (Рус). URL:
<http://www.rosbank.ru/ru/about/> (дата обращения: 27.05.2013).
.
О банке// ЗАО «Райффайзенбанк» -2003. (Рус). URL:
<http://www.raiffeisen.ru/about/> (дата обращения: 27.05.2013).
.
О банке// официальный сайт «ЮниКредит Банка» -(Рус). URL: <http://www.unicreditbank.ru/rus/about/index.wbp> (дата
обращения: 27.05.2013).
.Информация
о банке и о вкладах// официальный сайт латвийского банка «Rietumu» -1992.
(Рус.) URL:
<http://www.rietumu.ru/bank> (дата обращения: 27.05.2013).
.
Информация о банке и о вкладах// официальный сайт азиатского банка «DBS» -2009.
(Англ.) URL:
<http://www.dbs.com.hk/en> (дата обращения: 27.05.2013).
.
Информация о мультивалютных вкладах// официальный сайт международного банка «ANZ» -(Англ.) URL:
<http://www.anz.com/singapore/en/private-bank/product-services/deposits-liquidity/multi-currency-term-deposit/>
(дата обращения: 27.05.2013).
.
Информация о мультивалютных вкладах// официальный сайт азиатского банка «Lloyds TSB» -(Англ.) URL:
<http://www.lloydstsb-asia.com/> (дата обращения: 27.05.2013).
.
Информация о мультивалютных вкладах// официальный сайт международного банка «CitiBank» -(Англ.) URL: <http://www.citibank.com>.
.
Информация о банке и о вкладах// официальный сайт беларусского банка «МТБанк»
-(Рус.) URL:
<http://www.mtbank.by/>(дата jбращения:28.05.2013).
.
Информация о банке и о вкладах// официальный сайт азербайджанского банка
«Международный банк Азербайджана» -1992. (Рус.) URL:
<http://www.ibar.az/> (дата обращения: 28.05.2013).
.
Информация о банке и о вкладах// официальный сайт украинского банка «КБ
«ПИВДЕНКОМБАНК» -2003. (Рус.)
URL:
<http://www.pivdencombank.com/> (дата обращения: 29.05.2013).
.
Информация о банке и о вкладах// официальный сайт украинского банка «Банк
Национальный кредит» -2010. (Рус.)URL:
<http://bnk.ua/> (дата обращения: 29.05.2013).
.
Повышение годовых процентных ставок на Украине после 2011года// Бизнес-журнал
Украины Bizkiev.com -2005(Рус.)
URL:
<http://bizkiev.com/> (дата обращения: 30.05.2013).
.Информация
о страховании вкладов в России// Агенство по страхованию вкладов -2004 (Рус.) URL:
<http://www.asv.org.ru/> (дата обращения: 30.05.2013).
.
Федеральный закон "О страховании вкладов физических лиц в банках
Российской Федерации" №177-ФЗ от 23 декабря 2003 года.
.
Гитман Л.Дж. Основы инвестирования/ Л.Дж. Гитман, М.Д. Джонк - М :Изд-во
«Дело»,1997.-1005с.
.
Андрейчиков А.В Анализ, синтез, планирование решений в экономике/ А.В.
Андрейчиков, О.Н.Андрейчикова - М: Финансы и статистика,2000.-205с.
.
Саати Т. Принятие решений. Метод анализа иерархий - М: Изд-во «Радио и
связь»,1993.-278.
.
Жуковский В.И. Риск в многокритериальных и конфликтных системах при
неопределенности/ В.И. Жуковский, Л.В. Жуковская - М: Изд-во «Едиториал УРСС»,
2004-267 c.
.
Гмурман В.Е. Теория вероятностей и математическая статистика-М: Высшая
школа,2003. - 479 c.
.
Первозванский А.А. Финансовый рынок: расчет и риск/ А.А.Первозванский, Т.Н.
Первозванская - М.: Инфа,1994г.-192 с.
.
Фленов М.Е. Библия С#.-2-е изд., - СПб.: БХВ-Петербург,2011.-560с.
32. Horton I. Beginning Visual C++
2005. Wiley
Publishing, Inc.