Метричні простори
Зміст
метрика аксіома гомеоморфізм ізоморфізм
Вступ
. Поняття метрики. Визначення метричного простору
. Приклади метричних просторів
. Метричні простори та аксіоми зліченності
. Відкриті і замкнуті множини, топологія і збіжність
. Гомеоморфізм. Ізоморфізм
. Типи метричних просторів
.1 Повні простори
.2 Нормовані простори
Висновок
Література
Вступ
Одним iз фундаментальних понять сучасної математики є поняття
вiдстанi, яке за своєю природою є геометричним. Так, у шкільному курсі
геометрiї зазначається:якщо точки A i B рiзнi, то вiдстанню мiж ними називають
довжину вiдрiзка AB [20]. Якщо точки A i B збiгаються, то вiдстань мiж ними
приймається рiвною нулю. Крiм того, доводиться теорема, що якi б не були три
точки на площинi, то вiдстань мiж будь-якими двома з цихточокнебiльша суми
вiдстаней відних до третьої точки. На координатнiй прямiй (площинi, просторi)
вiдстанню мiж двома точками фактично є довжина вiдрiзка, що виражається через
координати цих точок.
Це поняття узагальнюється у вузiвських курсах геометрiї та алгебри, а
саме вiдстанню мiж точками A i B евклiдового простору En називають довжину вектора 
.
Разом з тим тут встановлюється, що вiдстань у цьому просторi у рiзних формах
можна подати з допомогою будь-якої додатно визначеної квадратичної форми.
Однак, як би не була означена вiдстань, вона обов’язково задовольняє
таким умовам:
. Вiдстань мiж точками є невiд’ємне число i дорiвнює нулю тодi i тiльки
тодi, коли точки збiгаються.
. Вiдстань вiд точки A до точки B дорiвнює вiдстанi від точки B до
точки A.
. Вiдстань мiж будь-якими двома точками не перевищує суми вiдстаней вiд
них до будь-якої третьої точки.
Якраз цi властивостi французьким математиком Морiсом Фреше були
прийнятi за характеристичнi властивостi вiдстанi (аксiоматичне означення
вiдстанi) i на цiй пiдставi у 1906 роцi ним було введено поняття метричного
простору. Теорiя метричних просторiв була в основному побудована пiсля 1920
року у роботах Урисона П.С., Александрова П.С., Банаха С..
1.
Поняття метрики. Визначення метричного простору
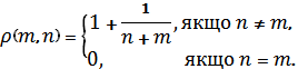
Означення 1.1. Кажуть, що непорожня множина X надiлена
метрикою (мiж елементами множини X задано вiдстань), якщо задана вiдповiднiсть
d, яка кожнiй парi елементiв x i y з X вiдносить число d(x, y) i задовольняє
такi умови (аксiоми):
. ∀x, y ∈Xd(x, y) ≥ 0) i d(x, y)
= 0 ⇐⇒x = y);
. ∀x, y ∈Xd(x, y) = d(y, x) (аксiома
симетрiї);
. ∀x, y, z ∈Xd(x, y) ≤ d(x, z) +
d(z, y) (аксiома трикутника).
Iнакше, функцiя d: X Ч X → R, яка задовольняє умови 1◦-3◦, називається вiдстанню (або метрикою).
Означення 1.2. Непорожню множину X iз заданою у нiй метрикою
d називають метричним простором i позначають(X, d). Елементи множини X
називають точками метричного простору, а значення функцiї d для точок x i y -
вiдстанню мiж точками x i y.
Надiлити множину X метрикою означає задати функцію d: X Ч X →
R з властивостями 1◦ -3◦.
Зауваження. В однiй i тiй же множинi метрику можна вводити по
рiзному. Так, наприклад, при f (x) = x маємо метричний простiр (R, d1), де
d1(x, y) = |x − y| евклiдова вiдстань на прямiй, а при f (x) = arctg x
метричний простiр (R, d2), де d2(x, y) = | arctg x − arctg y| є вiдстань,
яка характерна тим, що для будь-яких двох точок прямої вона не може
перевищувати число р.
Зауважимо також, що будь-яку непорожню множину можна надiлити
так званою тривiальною метрикою. Однак
теорiя метричних просторiв з такою метрикою (простiр з дискретною метрикою)
занадто "убога", щоб бути предметом вивчення.
2.
Приклади метричних просторів
1. Простір ізольованих точок
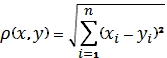
2. Множина дійсних чисел утворює метричний простір
3. Множина впорядкованих груп з n дійсних чисел 
з
відстанню
називається n-вимірним арифметичним евклідовим простором
<#"701403.files/image007.gif">.
. Ту саму множину впорядкованих груп з n дійсних чисел
,
але з відстанню позначимо простором
.
5. Знову візьмемо ту саму множину, що в прикладах 3 і 4, і
визначимо відстань між його елементами формулою:
Цей простір 
,в багатьох питаннях аналізу не менш зручний,
ніж евклідовий простір
.
. Множина 
всіх
неперервних дійсних функцій, визначених на проміжку [a,b]з
відстанню
7. Позначимо через
метричний
простір, точками якого слугують всі можливі послідовності 
дійсних
чисел, що задовільняють умові:
а відстань визначається формулою:
8. Розглянемо, як і в прикладі 6, сукупність усіх функцій,
неперервних на відрізку [a,b], але відстань визначимо по-іншому, а саме:
Такий метричний простір позначимо 
і
будемо називати простором неперервних функцій з квадратичною метрикою.
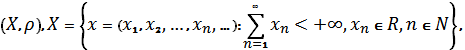
. Розглянувши множину усіх обмежених послідовностей 
дійсних
чисел, отримаємо простір
з метрикою:
10. Множина впрядкованих груп з n дійсних чисел з відстанню
де p- будь-яке
фіксоване число p
. Цей простір позначимо 
3.
Метричні простори та аксіоми зліченності
Лема 3.1. Будь-який метричний простір задовольняє другу
аксіому зліченності
<#"701403.files/image025.gif">- довільна точка метричного простору
, тоді в якості зліченної визначальної системи околів
можна взяти кулі
Тоді, для кожної граничної точки знайдеться збіжна послідовність точок
із цієї множини.
Лема 3.2. Якщо метричний простір сепарабельний, то він
задовольняє другу аксіому зчисленності
<#"701403.files/image028.gif">
де
- зліченна скрізь щільна множина
<#"701403.files/image030.gif"> та множина X належать Г.
2. Об'єднання
<#"701403.files/image031.gif">метричного
простору
визначимо
відкриту <#"701403.files/image032.gif">з центром в точці
,
як множину
.
Такі відкриті кулі породжують топологію на
, а значить і топологічний простір. Породжена
топологія задовольняє багатьом хорошим умовам, як наприклад всі аксіоми
віддільності
<#"701403.files/image034.gif"> метричного простору
називається відкритою, якщо
, такий що
Означення4.3. Доповненням до відкритої множини називається
замкнута множина
<#"701403.files/image037.gif">називається
будь-яка відкрита підмножина
,
що містить
.
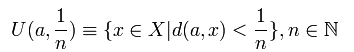
Означення 4.5. Послідовність
метричного
простору
називається збіжною до границі
тоді і тільки тоді, коли
Також можна використовувати загальне означення збіжності для
топологічного простору.
Теорема 4.1 Для
того, щоб множина A точок метричного простору X була вiдкритою, необхiдно i
достатньо, щоб її доповнення CA до простору X було замкненим.
Теорема 4.2 Об’єднання
будь-якого сiмейства вiдкритих множин є вiдкрита множина.
Теорема 4.3
Перерiз скiнченного числа вiдкритих множин є вiдкрита множина.
Теорема 4.4
Перерiз будь-якої сiм’ї замкнених множин є множина замкнена.
Теорема 4.5
Об’єднання скiнченного числа замкнених множин є множина замкнена.
5.
Гомеоморфізм. Ізоморфізм
Якщо відображення
взаємно
однозначне, то існує обернене відображення 
простору
на простір
.
Якщо відображення
взаємно однозначне і взаємно неперервне, то воно
називається гомеоморфним відображенням або гомеоморфізмом, а самі простори
та
,
між якими можно встановити гомеоморфізм, називаються гомеоморфними між собою.
Важливим окремим випадком гомеоморфізму є так зване ізометричне відображення.
Лема 5.1. Бієкція
між
метричними просторами
і
є ізометрією, якщо
.
Означення 5.1. Простори
і
, між якими можна встановити ізометричне
співвідношення, називаються ізометричними.
Ізометрія просторів означає, що метричні зв'язки між їх елементами одні
і ті ж самі; різною може бути лише природа їх елементів, що з точки зорутеорії
метричних просторів несуттєве. Ізометричні між собою простори можна розглядати
як тотожні.
6.
Типи метричних просторів
6.1 Повні простори
Означення 6.1.
Метричний простір називається повним, якщо в ньому будь-яка фундаментальна
послідовність має границю.
Приклад 1. 
.
Приклад 2.
Означення 6.2. Бієктивне відображення 
одного
метричного простору 
на інший 
називається,
якщо
Означення 6.3. Повний метричний простір 
називаєтьсяпоповненням метричного простору 
, якщо
) 
;
2) 
Теорема 6.1. Про
поповнення метричного простору (Хаусдорф).
Будь-який метричний простір має поповнення, єдине з точністю
до ізометрії, що залишає точки простору нерухомими.
Лема 6.1. Якщо фундаментальна
послідовність містить збіжну підпослідовність, то сама послідовність збігається
до тієї ж границі.
Доведення. Припустимо, що

,
Тобто
За нерівністю трикутника
Оскільки послідовність 
є
фундаментальною,
Таким чином,
Лема 6.2. Будь-яка підпослідовність фундаментальної
послідовності є фундаментальною.
Доведення. За нерівністю трикутника
Оскільки послідовність 
є
фундаментальною,
Отже,
Теорема 6.1 (принцип вкладених куль). Для того щоб метричний
простір був повним, необхідно і достатньо, щоб у ньому будь-яка послідовність
замкнених вкладених одна в одну куль, радіуси яких прямують до нуля, мала
непорожній перетин.
Доведення. Необхідність. Нехай 
- повнийметричний
простір, а 
Вкладені одна в одну замкнені кулі.
Послідовність їх центрів є фундаментальною, оскільки 
при

а

при
Оскільки
- повний метричний простір,існує елемент
Покажемо,що x належить всім кулям 
, 
Тобто
Дійсно, оскільки 
, то
Значить,в довільному околі точки x знайдеться нескінченна кількість точок із послідовності{xn },починаючи
з деякого номера N. Оскільки кулі вкладені одна в одну, ці точки належать всім
попереднім кулям 
.
Отже, для довільного n точка x є точкою дотику множини
,
тобто належить його замиканню. Оскільки кожна куля є замкненою, точка x
належить всім
.
Це означає, що
Достатність. Покажемо,що якщо
фундаментальна послідовність, то вона має границю 
1. Оскільки послідовність {xn } є фундаментальною, то

.
Поклавши
, ми можемо вибрати точку
так,
що
Для довільного. Зробимо точку
центром
замкненої кулі радіуса 1: 
.
2. Оскільки підпослідовність
є фундаментальною1(за лемою. 2), то поклавши
, можна вибрати точку
таку,
що 
для
довільного
.
Зробимо точку
центром
замкненої кулірадіуса: 
.. Нехай 
,
де 
уже
вибрані.Тоді,оскільки
підпослідовність
Є фундаментальною, покладемо
і
виберемо точку
так,
щоб виконувалися умови
для
довільного
.Як
і раніше, будемо вважати точку 
центром
замкненої кулі радіуса
: 
.
Продовжуючи цей процес, ми отримаємо послідовність замкнених
куль, радіуси яких прямують до нуля. Покажемо, що ці кулі вкладаються одна в
одну, тобто
Нехай точка

.
Значить,

.
За нерівністю трикутника
Оскільки 
,
То

.
Значить,
Інакше кажучи,

Крім того, за побудовою,
коли 
.
Таким чином,фундаментальна
послідовність 
містить
підпослідовність 
,
що збігається до деякої точки впросторі

. Із леми.1випливає,що і вся послідовність 
прямує
то тієї ж точки. Таким чином,простір

є
повним.
Зауваження. Покажемо, що умову 
зняти
неможна. Розглянемо метричний
простір 
, де N - множина
натуральних чисел, а
Визначимо послідовність замкнених куль з центрами в точках n і радіусом
.
Ці кулі є вкладеними одна в одну і замкненими, простір є повним, але
перетин куль є порожнім (яке б число ми не взяли, знайдеться нескінченна
кількість куль, які лежать правіше цієї точки). Отже, необхідні умови в принципі
вкладених куль не виконуються.
Означення 6.5. Підмножина M метричного простору 
називається
множиною першої категорії, якщо його можна подати у вигляді об’єднання не більш
ніж зліченої кількості ніде не щільних множин.
Означення 6.6. Підмножина M метричного простору 
називається
множиною другої категорії, якщо вона не є множиною першої категорії.
Теорема 6.2 (теорема Бера про категорії). Нехай 
- непорожній повний метричний простір,тоді Xє множиною другої категорії.
Доведення. Припустимо супротивне, тобто
і кожна множина 
є
ніде не щільною в X.
Нехай 
- деяка
замкнена куля радіуса 1.
Оскільки множина 
є
ніде не щільною, існує замкнена куля 
, радіус якої менше, така що 
і

(Якщо існує куля радіуса більше, що задовольняє таким умовам,
то ми виберемо в ній кулю, радіуса менше.)
Оскільки множина 
є
ніде не щільною, існує замкнена куля 
, радіус якої менше
, така що

і

Продовжую чи цей процес, ми отримаємо послідовністьвкладених одна в одну замкнених куль 
, радіуси яких прямують до нуля. За
принципом вкладених куль існує точка
Оскільки за побудовою 
,
то 
.
Значить
Це суперечить припущенню, що
Означення 6.7. Відображення 
називається
стискаючим,якщо існує таке число 
,
що
для довільних
Теорема 6.3.
Будь-яке стискаюче відображення є неперервним.
Доведення. Нехай
, а 
є
стискаючим відображенням. Тоді
Отже, 
,
коли 
Теорема 6.4 (принцип стискаючих відображень Банаха). Будь-яке
стискаюче відображення повного метричного
простору 
в
себе має лише однунерухому точку,
тобто
Доведення: Нехай
-деяка
точка із X. Визначимопослідовність
точок 
за таким правилом:
Покажемо, що ця послідовність є фундаментальною.
Дійсно, якщо m >n, то
Таким чином, оскільки
Внаслідок повноти простору 
в
ньому існує границяпослідовності 
.Позначимо її через
Із теореми.3 випливає, що
Отже, нерухома точка існує.
Доведемо її єдиність. Якщо

і

,
то
тобто
За аксіомоютотожності це означає, що x = y.
Наслідок 1. Умову 
не
можна замінити на 
.
Доведення. Якщо відображення
має властивість

,
то нерухомої точки може не бути. Дійсно, розглянемо простір
і визначимо відображення

g (x).
Тоді
Оскільки для жодного
нерухомої точки немає.
Приклади
повних метричних просторів
1. Метричний простір
(тобто з евклідовою метрикою
<#"701403.files/image171.gif">
2. Метричний простір
Коротке позначення цього простору: 
.
3. Метричний простір

.
Коротке позначення цього простору: 
.
4. Метричний простір

.
Коротке позначення цього простору: 
.
. Метричний простір 
,
де C[a,b] - множина всіх неперервних
<#"701403.files/image178.gif"> - чебишовська (рівномірна) метрика
<#"701403.files/image179.gif">
.
Коротке позначення цього простору: C[a,b].
Приклад
неповного метричного простору
· Метричний простір (C[a,b],d), де C[a,b] - множина всіх
неперервних <#"701403.files/image178.gif">- метрика, означена рівністю:
Коротке позначення цього простору: 
6.2 Нормований
простір
Векторний простір <#"701403.files/image182.gif">
називається
нормованим, якщо кожному елементу цього простору поставлено у відповідність
дійсне число
<#"701403.files/image183.gif"> (невід'ємність)
2.
(однорідність)
3.
(нерівність
трикутника
<http://uk.wikipedia.org/wiki/%D0%9D%D0%B5%D1%80%D1%96%D0%B2%D0%BD%D1%96%D1%81%D1%82%D1%8C_%D1%82%D1%80%D0%B8%D0%BA%D1%83%D1%82%D0%BD%D0%B8%D0%BA%D0%B0>)
Тоді це число називається нормою
<http://uk.wikipedia.org/wiki/%D0%9D%D0%BE%D1%80%D0%BC%D0%B0_(%D0%BC%D0%B0%D1%82%D0%B5%D0%BC%D0%B0%D1%82%D0%B8%D0%BA%D0%B0)>
вектора.
Висновок
Метричний простір - множина об’єктів довільної природи, для
яких введено поняття відстані між елементами (числами, n-дійсними числами, n-вимірними векторами, функціями,
наборами функцій і т.д.). А одним з основних понять метричного простору є
метрика. Як правило, метрика у конкретнiй множинi є ефективним iнструментом
дослiдження у тому випадку, коли вона пов’язана з природою елементiв цiєї
множини та орiєнтується на задачi, якi виникають при такому дослiдженнi.
Крiм числових множин (множини, елементами яких є або дiйснi, або
комплекснi числа) в аналiзi об’єктами дослiдження є множини, елементами яких є
n-ки чисел або ж функцiї, зокрема послiдовностi. Не можна обминути множин,
елементами яких є матрицi. Слід зазначити, що трохи пізніше було усвідомлено,
що метричний простір - це частковий випадок загальнішого поняття, топологічного
простору
<http://uk.wikipedia.org/wiki/%D0%A2%D0%BE%D0%BF%D0%BE%D0%BB%D0%BE%D0%B3%D1%96%D1%87%D0%BD%D0%B8%D0%B9_%D0%BF%D1%80%D0%BE%D1%81%D1%82%D1%96%D1%80>
і основним поняттям функціонального аналізу.
Нами було детально досліджено історію поставленої проблеми.
Знайдено і опрацьовано літературу, яка присвячена метричним просторам.
Самостійно наведені приклади.
Література
1. Антоновский М.Я., Архангельский А.В.
Метрические пространства. - М.: Знание, 1972 - 48 с.
2. Архангельский А.В., Пономарёв В.И. Основы общей
топологии в задачах и упражнениях. - М.:Наука, 1974.- 423с.
. Вайнберг М.М. Функциональный анализ. - М.:
Просвещение, 1979. - 128 с.
. Виленкин Н.Я., Балк М.Б., Петров В.А.
Математический анализ: Мощность, метрика, интеграл - М.: Просвещение, 1980. - 143
с.
. Давидов М.О. Курс математичного аналiзу: У 3
ч.- К.:Вища школа, 1992. - Ч.3 - 340 с.
6. Дороговцев А.Я. Математический анализ:У2 ч.
К.:Либiдь, 1994. - Ч.2 - 302 с.
7. Канторович Л.В., Акилов Г.П. Функциональный анализ. - М.: Наука, 1977. -
742 с.
8. Коллатц Л. Функциональный анализ и
вычислительная математика. - М.: Мир, 1969. - 447 с.
. Кудрявцев Л.Д., Кутасов А.Д., Чехлов В.И.,
Шабунин М.И. Сборник задач по математическому анализу: Функции нескольких
переменных. - М.: Наука, 1995. - 496 с.
. Петров В.А., Виленкин Н.Я., Граев М.И.
Элементы функционального анализа в задачах. - М.: Просвещение, 1978. - 128 с.
11. Погорелов А.В. Геометрия. 7-11.- М.:
Просвещение. 1993. С. 106-107.
12. Шварц Л. Анализ: В 2 т. - М.: Мир, 1972. - Т.1
- 824 с.
13. Шилов Г.Е. Математический анализ. - М.:
ГИЗФМЛ, 1960. - 388 с.
14. Энгелькинг Р. Общая топология. М.: Мир, 1986. -
751 с.