Інваріантні тори різницевих рівнянь
Курсова робота
на тему
Інваріантні тори різницевих
рівнянь
Вступ
рівняння тороїдальний многовид
Розвиток технічних наук обумовив інтерес до різницевих
рівнянь, що виявилось досить зручною моделлю для опису імпульсних та дискретних
динамічних систем. Крім того, різницеві рівняння зустрічаються при чисельному
розв’язуванні багатьох класів диференціальних рівнянь за допомогою методу
скінченних різниць.
Початок вивчення різницевих рівнянь було покладено в роботах
Лагранжа, Ейлера, Пуанкаре, Перрона. Однак систематичне дослідження таких
рівнянь почалось лише в другій половині нашого сторіччя.
При використанні електронно-обчислювальних машин усі
неперервні за часом процеси дискретизуються. Від неперервно змінних аргументів
переходять до дискретно змінних аргументів, бо цифрова машина може діяти тільки
з числами. При цьому від диференціальних рівнянь переходять до різницевих
рівнянь.
Протягом останнього десятиріччя опубліковано декілька
наукових праць, в яких метод функцій Гріна-Самойленка застосовано до
дослідження інваріантних торів зліченних систем диференціально-різницевих та
різницевих рівнянь. Проте цих праць зовсім мало і вони далеко не вирішують
проблему побудови теорії інваріантних тороїдальних многовидів для систем
вказаного виду. Оскільки різницеві рівняння є дискретними аналогами
диференціальних, то стає зрозумілою доцільність розвинення теорії інваріантних
торів для зліченних систем різницевих рівнянь, чому і присвячена дана курсова
робота.
Основною задачею курсової роботи є теоретичне дослідження
основних теорії інваріантних тороїдальних многовидів для зліченних систем
лінійних та нелінійних різницевих рівнянь, що визначені на скінченновимірних та
нескінченновимірних торах і містять незалежні відхилення дискретного аргументу.
Курсова робота складається, з вступу, трьох розділів
основного тексту, висновку та списку використаних джерел. Обсяг курсової роботи
становить сторінок.
Розділ 1. Різницеві рівняння
1.1 Лінійні різницеві рівняння зі сталими коефіцієнтами
Означення. Лінійним різницевим рівнянням n-го порядку
називається рівняння
(1)
де - сталі коефіцієнти. Якщо виразимо оператори різниць
через оператор зсуву S, то можемо записати
різницеве рівняння в рівнозначній формі
(2)
Число n називається порядком різницевого рівняння. Це
рівняння можна також записати в операторній формі
(3)
Якщо f(k) = 0, то різницеве рівняння називається однорідним,
якщо (k) ≠ 0, то рівняння називається неоднорідним.
Нагадаємо, що оператор зсуву S
(4)
Для однозначного визначення розв’язків різницевого рівняння
достатньо задати початкові умови
(5)
Означення. Розв’язком різницеве рівняння (2) називається
послідовність yk (k = 0, 1, 2, .), яка при підстановці її в різницевих
рівняннях (2) перетворює його в тотожність.
Приклад. Покажемо, що послідовність є розв’язком різницевого
рівняння
Підставляючи значення yk = 2k, в різницевих рівнянях,
одержимо тотожність
k+1 - 2 2k = 0 (k = 0, 1, 2, …).
.2 Однорідні різницеві рівняння
Наведемо деякі властивості розв’язків однорідного різницевого
рівняння
(6)
. Якщо різницеве рівняння (6) має частинні розв’язки
= yk,1 (k = 0, 1, 2, …),
то воно має також розв’язок yk = Ck,1, C = const
. Якщо різницеве рівняння (6) має два розв’язки yk = yk,1, yk
= yk,2, то воно має також розв’язок yk = yk,1+ yk,2 Звідси маємо, що різницеве
рівняння має розв’язок:
Означення. Розв’язок різницевого рівняння (6) при
(7)
називають загальним, якщо за рахунок вибору довільних сталих
С1, С2, ., Сn можна задовольнити довільні початкові умови (6).
Якщо yk (7) загальне рішення різницевого рівняння (7), то
система лінійних алгебраїчних рівнянь
завжди має розв’язок відносно сталих С1, С2, ... , Сn.
Означення. Визначник
називається визначником Вронського. Замінюючи k на k+1 у
визначнику (8), одержимо рівняння для визначника Вронського
Л. Ейлер запропонував загальний метод розв’язання різницевих
рівнянь (6). Розглянемо спочатку різницеве рівняння першого порядку

З рівняння при k = 0, 1, 2, … одержимо рівняння
Виходячи з цього, різницеве рівняння (6) має частинний
розв’язок.
Розв’язок yk = ak y0 (k = 0,1,2, …) обмежено при |a| ≤
1 , прямує до нуля при якщо |a| < 1 необмежено зростає по модулю при |a|
> 1.
Л. Ейлер запропонував шукати розв’язок різницевого рівняння
(6) у вигляді Число м називається мультиплікатором розв’язків різницевого
рівняння (6).
Оскільки справедлива рівність, то для визначення
мультиплікаторів одержимо алгебраїчні рівняння або
Це рівняння називається мультиплікаторним або
характеристичним.
Якщо рівняння L(м) = 0 має n різних коренів м1, м2,…, мn, то
загальний розв’язок різницевого рівняння (6) має вигляд
Частинні розв’язки будуть лінійно незалежні, так як визначник
Вронського є визначником Вандермонда і відрізняється від нуля при мk ≠
мi, (k,i = 1,2,…, n; k ≠ i)
Приклад. Знайдемо загальний розв’язок різницевого рівняння
Мультиплікаторне рівняння м2-5м+6 = 0 має розв’язок у1 = 2,
у2 = 3. Тому різницеве рівняння має загальний розв’язок
(k = 0, 1, 2, ...).
з початковими умовами у0=0, у1=1.
Мультиплікаторне рівняння м2-25м+4 = 0 має комплексні корені
Загальний розв’язок в комплексній формі має вигляд
= (0, 1, 2, ...).
Цей розв’язок у дійсній формі має вигляд
Для визначення сталих С3, С4 одержимо систему лінійних
алгебраїчних рівнянь


З цієї системи рівнянь знайдемо С3 = 0, С4 = . Остаточно
знаходимо
частковий розв’язок
що задовольняє задані початкові умови.
Якщо рівняння L(м) = 0 має корінь м1 кратності n1, то
різницеве рівняння (6) має n1 лінійно незалежних часткових розв’язків
Наведемо теорему про загальний розв’язок різницевого рівняння
(6).
Теорема. Якщо мультиплікаторне рівняння L(м) = 0 має корені
м1,…, мn кратності n1, …, ni (n1 + n2 + …+ ni= n), то загальний розв’язок
різницевого рівняння (6) одержимо у вигляді
Приклад. Знайдемо загальний розв’язок різницевого рівняння
Мультиплікаторне рівняння м3-м2+12м-8 = 0 має трикратний
корінь
м = 2. Тому загальний розв’язок має вигляд
1.3 Неоднорідне різницеве рівняння
Неоднорідне різницеве рівняння
(9)
завжди може бути зведене до підсумовування відомих функцій,
якщо використовувати метод варіації довільних сталих.
Загальний розв’язок неоднорідного різницевого рівняння (9) є
сумою частинного розв’язку неоднорідного різницевих рівнянь та загального
розв’язку однорідного різницевого рівняння.
Найбільш часто зустрічається різницеве рівняння
(10)
де Qq(k) - многочлен від k степеня q. Має місце теорема.
Теорема. Якщо L(м) ≠ 0, то рівняння (10) має частковий розв’язок виду де
(k) деякий многочлен від k степеня q.
Якщо м є коренем кратності m рівняння L(м) = 0, то різницеве
рівняння (10) має частковий розв’язок виду
Многочлен Rq(k) можна знайти методом невизначенних
коефіцієнтів.
Приклад. Знайдемо частковий розв’язок різницевого рівняння
Частковий розв’язок знаходимо у вигляді
Підставляючи у різницеве рівняння, одержимо рівняння для
визначення А, В.
з якого знаходимо
Розв’язок різницевого рівняння (10) можна знайти у вигляді
При цьому приходимо до різницевого рівняння
і розв’язок zk шукається у вигляді многочлена
де m - кратність кореня м рівняння L(m) = 0.
Розділ 2. Достатні умови існування неперервного інваріантного тору
Розглянемо систему рівнянь
(1)
в якій
де
функції і нескінченна матриця 
дійсні
та періодичні відносно 
з
періодом 
;

;

-
цілочислові параметри, які зумовлюють відхилення аргументу; 
-
дійсний параметр. Інтерпретуючи 
як
кутові координати, вважатимемо, що система рівнянь (1) визначена на 
вимірному
торі 
.
Надалі вважатимемо також, що відображення 
оборотне
при кожному 

Причому 
-
додатні сталі, що не залежать від 
,
.
Через
позначимо розв’язок першого рівняння (1), такий, що 
при
кожному 
.
Означення. Інваріантним тором 
системи
рівнянь (1) назвемо множину точок 
якщо функція 
визначена
при будь-яких 
2р-періодична
відносно 
обмежена
за нормою і при будь-яких 
задовольняє
рівність
Припустимо, що однорідне рівняння
має функцію Гріна-Самойленка це означає, що існують матрицант 
рівняння
(2) і 2р-періодична відносно 
обмежена
за нормою нескінченна матриця 
,
така, що функція
Задовольняє нерівність 
для
всіх 
,
де 
і

додатні
сталі, що не залежать від 
-
нескінченна одинична матриця.
Легко бачити, що для існування функції Гріна-Самойленка рівняння (2)
при довільному 
досить,
щоб вона існувала при 
Зауважимо
також, що у випадку існування обмеженої за нормою оберненої матриці 
матрицант рівняння (2) зображується у вигляді
Причому матриця 
обортна
і 
Якщо рівняння (2) має функцію Гріна-Самойленка, то неважко
переконатись, що 
,
система рівнянь (1) має інваріантний тор, який породжується функцією
(3)
Цей тор називають неперервним або гладким відносно 
,
якщо відповідну властивість має породжуючи його функція 
Розглянемо спочатку систему рівнянь виду (1), яка не залежить від
параметра 
(4)
Через 
позначимо
множину ліпшицевих відображень 
,
визначених на 
Додатну
сталу 
,
яка забезпечує нерівність 
,
назвемо коефіцієнтом, з яким 
входить
у цю множину.
Теорема. Нехай при 
існує
функція Гріна-Самойленка рівняння

,
,
і виконуються умови:
) при будь-яких 
і

це
рівняння має єдиний обмежений на множині 
розв’язок

) 
коефіцієнтами 
відповідно.
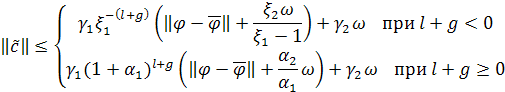
Тоді інваріантний тор системи рівнянь (4) породжується функцією виду
(3), яка задовольняє умову Гельдера
де 
стала,
що не залежить від 
,

-
довільне додатне дійсне число, яке задоволняє нерівність

при
і
нерівність 
при
.
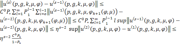
Доведення. При умовах сформульованої теореми


(5)
справджується рівність
де через
і 
позначено
різниці 
і

відповідно.
Не становить труднощів одержати оцінки


(6)
що справджується для довільного додатного числа 
.
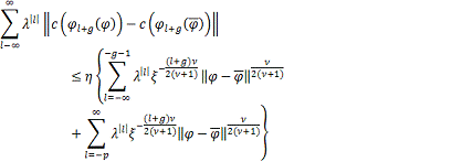
Індуктивними міркуваннями переконуємось у правильності нерівностей
(7)
при всіх 
Співвідношення (5), (6) забезпечують правильність оцінка
(8)
де
Враховуючи (7) одержуємо нерівність
Далі розглянемо два випадки.
Випадок а): 
При

маємо,
що 
і

,
де 
(9)
Якщо ж 
,
то для 
справджується
та ж сама оцінка, але 
обирається
з умови
Випадок б): 
При

маємо,
що 
.
Тут 
,
де, в свою чергу,
Якщо 
,
то для 
справджується
та ж сама оцінка,але н слід підпорядкувати умові (9).
Аналогічно записуємо оцінку для 
:
Знову слід розглянути два випадки.
Випадок а): 
У
цьому разі справджується оцінка 
де

,
а 
задовольняє
умову
(10)
Випадок б): 
Для
справджується нерівність
де
а 
обирається
з умови (10).
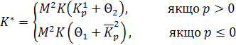
Враховуючи (8), маємо оцінку
де
У випадку 
оцінка
(11) справджується при всіх 
що
задовольняють умову (6.10), а у випадку
- умову

(12)
Позначимо через 
різницю

і
запишемо нерівність
За аналогією до (6) неважко отримати оцінку
де 
обирається
в залежності від 
,
як це було вказано вище. Тоді
де 
Взявши до уваги (6), (7) і позначивши через 
вираз
,
Записуємо наступну нерівність

що приводить у свою чергу до оцінки
Позначимо першу і другу суми, що стоять в правій частині останньої нерівності,
через 
та

відповідно.
Для кожної з них знов розглянемо два випадки.
Випадок в): 
Неважко
перевірити, що 
,
де 
,
а 
-
довільне дійсне число при 
і
підкоряється умові (13)
при 
.
Випадок г): 
Позначивши

одержуємо оцінку 
При
цьому 
-
довільне дійсне число при 
і
підкоряється умові (6.13) при 
Тепер випадки в) і г) розглянемо для суми 
.
Випадок в): 
Справджується
оцінка

де

задовольняє
умову
Випадок г): 
Справджується
нерівність 
,
де 
,
а 
задовольняє
умову (14).
Тепер неважко переконатись у правильності нерівності

(15)
де
У випадку 
оцінка
(15) справджується при всіх 
,
які задовольняють умові (14), а якщо 
-
при всіх 
,
які задовольняють нерівність

.
Тепер можемо записати оцінку 
.
У випадку 
вона
справджується 
,
що задовольняють умову (10), у випадку 
,
що задовольняють нерівність (12). Поклавши 
,
закінчуємо доведення теореми.
Тепер повернемось до розгляду системи рівнянь (1). Позначимо через 
деяку
неперервну неспадну на відрізку 
скалярну
функцію таку, що 
Теорема. Нехай при 
існує
функції Гріна-Самойленко рівняння (6.2) і при всіх 
) 
де 
-
додатні сталі, що не залежать від
) при 
рівняння (2) має єдиний обмежений на 
розв’язок

) 
Тоді функція 
породжуюча
інваріантний тор системи рівнянь (1), неперервна за сукупністю змінніх 
причому
справджується нерівність

(16)
де 
-
додатна стала, яка не залежить від 
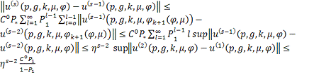
Доведення. Не становить особливих труднощів за допомогою індуктивних
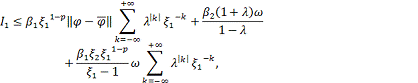
міркувань перкконатися в правильності наступних нерівностей:

(17)
Для зручності введемо позначення

Записуючи рівність, аналогічну до (5), одержуємо оцінку виду (8):
(18)
де
Для 
маємо:
що при умові 3 теореми приводить до нерівності
де
Аналогічно одержуємо оцінку для 
де
Використовуючи (18), одержуємо нерівність

(19)
де 

.
Беручи до уваги (19), легко побачити, що
Звідки випливає оцінка

(20)
де 
Із співвідношення
Випливає оцінка

(21)
в якій
Для 
одержуємо
оцінки:

(22)
де 
,

Врахувавши (20) - (22) і позначивши вирази

через 
відповідно,
одержуємо нерівність

яка приводить до оцінки (16), якщо через 
позначити
вираз 
.
Теорему доведено.
Розділ 3. Про існування інваріантних торів нелінійних систем
Розглянемо систему рівнянь


(1)
Для якої виконуються вимоги, накладені на систему (1), 
-
параметр,

Інваріантним тором 
системи
рівнянь (1) називають множину точок 

якщо функція 
визначена
при будь-яких 

-періодична
відносно 
обмежена
за нормою 
і
при будь-яких 
задовільняє
рівність
(2)
Теорема. Нехай на множині

матриця 
оборотна,

і
справджуються такі умови:
) матриця 
є
лівшицевою відносно змінної 
з
коефіцієнтом, що не залежить від 
) для всіх 
виконується
нерівність
де 
-
додатна стала, що не залежить від 
) мають місце оцінки :
Тоді при всіх 
система
рівнянь (1) має інваріантний тор 
Доведення. Запишемо формальну послідовність функцій
кожна з яких при 
визначає
інваріантний тор системи рівнянь

3)
Така послідовність дійсно існує. Індуктивними міркуваннями
встановлюємо, що матрицант 
однорідного
рівняння
(4)
при 
визначається
рівністю

Оскільки 
то
функції Гріна-Самойленко рівняння (4) має вигляд
Тоді функція


Це означає, що справджується рівність
(5)
Покажемо, що послідовність 
збігається
в 
при
рівномірно відносно 
Нерівності
Доводять фундаментальність послідовності 
оскільки

Її
збіжність до деякої 
-періодичної
відносно 
функції

випливає
з повноти простору 
.
Висновок
Курсова робота в першу чергу є теоретичним дослідженням.
Доведені в ній теореми, що стосуються диференційовності інваріантних торів
різницевих систем, визначених на нескінченновимірних торах, не мають аналогу у
створеній на цей час теорії інваріантних торів аналогічних систем
диференціальних та диференціально-різницевих рівнянь. Оскільки різницеві
рівняння становлять дискретний аналог диференціальних, то результати
теоретичних досліджень можуть знайти практичне застосування в розв’язуванні
різноманітних задач з теорії нелінійних коливань, математичної та теоретичної
фізики.
Під час написання курсової роботи було опрацьовано ряд
літературних джерел та застосовано на практиці отримані знання. Мету,
поставлену на початку написання курсової роботи було досягнуто.
Список використаних джерел
1. Демидович Б.П. Лекции по математической теории
устойчивости / Б.П. Демидович. - М., 1967. - 472 с.
2. Ляшко I.I. Диференцiальнi рiвняння. / І.І.
Ляшко - Київ: Вища школа, 1981. - 356 с.
. Петровский И.Г. Лекции по теории обыкновенных
дифференциальных уравнений / И.Г. Петровский; под ред. А.Д. Мышкиса, О.А.
Олейник. - М., 1984. - 295 с.
. Самойленко А.М. Елементи математичної теорії
еволюційних рівнянь у бананових просторах / А.М. Самойленко, Ю. В. Теплінський.
- К., 2008. - 496 с.
. Самойленко А.М. О сохранинии инвариантного
тора при возмущении. / А.М. Самойленко // Изв. АН СССР, сер. мат. - 1970. - №6.
- Т.34. - 1568 с.
. Самойленко А.М. Об экспоненциальной
устойчивости инвариантного тора динамической системы. / А.М. Самойленко //
Дифференц. Уравнения. - 1975. - №5. - Т.11. - 946 с.
. Степанов В.В. Курс дифференциальных уравнений
/ В.В. Степанов. - М., 1959. - 468 с.