Проектування автоматизованої інформаційної системи для фінансового відділу підприємства

  • Вид работы:
    Курсовая работа (т)
  • Предмет:
    Информационное обеспечение, программирование
  • Язык:
    Украинский
    ,
    Формат файла:
    MS Word
    293,17 Кб
  • Опубликовано:
    2014-02-15
Вы можете узнать стоимость помощи в написании студенческой работы.
Помощь в написании работы, которую точно примут!

Проектування автоматизованої інформаційної системи для фінансового відділу підприємства

Зміст

Вступ

.        Характеристика та аналіз об’єкту дослідження

.1      Характеристика об’єкту дослідження

.2      Аналіз дослідженої задачі

.3Обґрунтування запропонованих проектних рішень

.        Постановка задачі та алгоритм їх розв’язання

.1      Постановка задачі

.2      Еконмічно-математична модель та алгоритм розв’язання

.        Організація інформаційного, технологічного та 17 програмного забезпечення

.1      Організація інформація

.2      Організаційне забезпечення

.3      Технічне та програмне забезпечення

.4      Приклад реалізації

Висновки

Література

Вступ

Проектування автоматичних інформаційних систем - це процес спрямований на вдосконалення економіко інформаційної системи об’єкта управління, що передбачає створення та впровадження комплексного розв’язання задач із застосуванням сучасних електронно-обчислювальних машин (ЕОМ) і технічних засобів управління. В даній курсовій роботі буде проведено проектування АІС фінансового відділення підприємства, а саме УГМК(Українсько Гірно Металургійна Компанія).

Створення і функціонування підприємств, їх господарська діяльність пов’язані з грошовими відносинами, які опосередковують процеси виробництва і продажу продукції, отримання доходів і накопичень та їх розподілом, за відповідними фондами. Матеріальною умовою появи і функціонування фінансів є гроші, покладені в основу існування відповідних видів грошових відносин підприємств. Фінансовий обіг в підприємстві, це свого роду кровоносна система по якій курсують різноманітні документи з інформацією про фінансовий стан тих чи інших справ підприємства. Таким чином якщо якісь документи зникнути чи дані будуть загублені, то буде на рушена вся так звана кровоносна система підприємства і воно вийде із строю. Тому потрібно щоб дані з документів заносились в БД і аналізувались. В даному випадку автоматизована інформаційна система - це реляційна БД і локальна мережа із обмеженим виходом до мережі Internet, ЕОМ для роботи в даній БД і файл сервери.

1. Характеристика та аналіз об’єкту дослідження

.1 Характеристика об’єкту дослідження

У фінансовій системі держави головною, визначальною її ланкою є фінанси підприємства, оскільки воно функціонує у сфері суспільного виробництва, в якій створюється матеріальні блага, валовий внутрішній продукт (ВВП) і національний дохід суспільства, а також формується основна частина фінансових ресурсів держави.

Використання фінансів дає можливість підприємствам сфери матеріального виробництва забезпечити безперервність процесу відтворення, вирішення виробничих, економічних та соціальних завдань, формування централізованих і децентралізованих фондів грошових коштів на рівні держави, так і суб’єктів господарювання.

Економічна сутність фінансового підприємства розкриває сукупність грошових відносин, які виникають у суб’єктів господарювання у процесі їх створення і здійснення ними виробничо-фінансової діяльності. Це грошові відносини:

Між підприємствами та їх засновниками, які виникають при формуванні капіталу - одержання грошей з державного бюджету, надходження пайових внесків;

Між підприємством та іншими суб’єктами господарювання, постачальниками, покупцями, будівельними та іншими організаціями, що виникають у процесі купівлі-продажі продукції, надання послуг тощо;

Між підприємствами та різноманітними ланками фінансово-кредитної системи що до внесків у ці ланки різних видів податків та платежів і отримання з них коштів на різні цілі. До них належать також фінансові відносини підприємств з установами банків, які виникають у процесі отримання та погашення кредитів, безготівкових розрахунків, а також відносини з органами майнового і особистого страхування з приводу сплати в них підприємствами страхових внесків і отримання від них відповідних страхових відшкодувань. У цю групу також включаються відносини підприємств з фондовим ринком та інвестиційними фондами;

Між підприємством і зайнятими на ньому працівниками з приводу формування фонду оплати праці, її виплати, матеріального заохотчиння; виплати дивідендів за акціями, а також стягнення грошей за завдані збитки і утримання податків;

У межах підприємств, які виникають при розподілі отримуваних доходів і накопичень, формуванні різноманітних фондів грошових коштів. Так, при розподілі отримуваного виторгу частина його підприємства спрямовують передусім на відшкодування вартості спожитих у виробництві основних і оборотних фондів, потім на відшкодування витрат живої праці, а з частини яка залишиться, формують чистий дохід (прибуток), з якого створюється і поповнюється відповідні резерви і фонди: резервний, статутний, розвитку виробництва, дивідендний(в акціонерних товариствах) тощо.

Ефективна діяльність кожного підприємства багато в чому залежить від повної і своєчасної мобілізації фінансових ресурсів та правильного їх використання для забезпечення нормального процесу виробництва і розширення виробничих фондів. У цьому зв’язку для кожного підприємства важливу роль відіграє ефективна організація фінансової роботи, відповідно яку виконує фінансовий відділ підприємства.

Фінансова робота - це система економічних заходів визначення фінансових ресурсів в обсягах, необхідних для забезпечення виконання планів економічного і соціального розвитку підприємства, контролю за їх цільовим та ефективним використанням.

До основних завдань фінансової роботи належать:

·        Мобілізація фінансових ресурсів у розмірі, необхідному для підтримки нормального виробничого процесу і розширення виробничих фондів в обсягах, встановлених планами;

·        Пошук шляхів збільшення прибутку і підвищення рентабельності виробництва;

·        Своєчасне виконання забовязань перед ланками фінансової-кредитної системи, зокрема:

§  Перед бюджетом - зі сплати встановлених податків і платежів;

§  Перед централізованими позабюджетними фондами - зі сплати встановлених платежів;

§  Перед банками - з повернення кредитів і сплати відсотків за ними;

·        Своєчасним виконання забовязань перед постачальниками з оплати товарно-матеріальних цінностей, пере працівниками - з оплати праці;

·        Контроль за збереженням та використанням оборотних активів і прискоренням їх обороту;

·        Контроль за раціональним і цільовим використанням фінансових ресурсів.

Фінансовий відділ підприємства займається розподілом фінансів, коштів, на потреби підприємства і створенням детального звіту по цьому розподілу.

Компанія УГМК, Українська гірничо-металургійна компанія була створена в березні 1998 р. з метою забезпечення широкого кола споживачів необхідним асортиментом металопрокату високої якості, пропонуючи при цьому широкий спектр сервісних послуг. Довгі роки УГМК є офіційним представником великих національних виробництва металопрокату, це :

1.       ОАО «Алчевський металургійний комбінат»

2.      ОАО «Дніпровський металургійний комбінат імені Дзержинського»

.        ОАО «Дніпропетровський трубний завод імені Леніна»

.        ОАО «Краматорський металургійний завод імені Куйбищева»

Основною цілю створення Української Гірно-Металургійної компанії стало забезпечення широкого круга споживачів потрібним асортиментом металопрокату високої якості, пропонуючи при цьому широкий спектр сервісних послуг і найбільш вигідну схему оплати.

На сьогоднішній день УГМК об’єднує 35 металоторгових площадок по всій Україні. А саме в таких головних містах України: Київ, Дніпропетрівськ, Донецьк, Запоріжжя, Івано-Франківськ, Кіровоград, Кривий Ріг, Кременчуг, Сімферополь, Севастополь і ін. Загальна площа регіональних метало-торгових площадок УГМК в Україні досягає 130Га, де працю більш ніж 1500 робітників. На базах і складах налічується близько 68кранів ( різного виду ) і більш ніж 20 грузових машин. Наданий момент компанія стрімко продовжує розвиватись.

Фінансовий обіг в даній компанії можна навести на рис.1

Рис.1 Схема роботи підприємства та вплив фінансового відділу на нього. Р - робочі; С - сировина; П+ - прибуток; Т - товар; К. і В.С. - кількість і вартість сировини; О - видача грошей; Інфо. по Р. і З. - інформація по розподілу коштів і звіт по роботі; Інфо. - інформація (про кількості проданого товару і кількість закупленої сировини).

Для створення даної схеми використовується стандарт проектування IDEF0, суть даного стандарту є методологія для моделюванні функцій. Сам пособі стандарт IDEF, використовується для специфікації і та в проектуванні великих автоматизованих систем.

Як видно із наведеної схеми на рис.1, фінансових відносин у даному підприємстві, по самому підприємстві курсує велика кількість досить важливих документів які потрібно включити в АІС.

Фінансовий відділ даної компанії має такі обов’язки:

·        Розрахунок рентабельність підприємства;

·        Розрахунок витрат на сировину, постачу сировини;

·        Розрахунок доходу від реалізованого товару;

·        Розрахунок погашення кредиту, якщо він є;

·        Розрахунок оплати за роботу людям;

·        Розрахунок ціни за товар і доставку товару;

·        Складання фінансового звіту за неділю, місяць, квартал, рік.

Це основні забовязання фінансового відділення підприємства.

Рентабельність - це відносний показник інтенсивного виробництва, який характеризує рівень прибутковості (окупності) відповідних складових процесу виробництва або сукупності витрат підприємства.

Рентабельність реалізованої продукції розраховується у відсотках як відношення прибутку, отриманого від продажу всієї продукції до її собівартості:

Р = ( П : С ) * 100%

де П - прибуток, отриманий від продажу всієї продукції, грн.; С - собівартість всієї проданої продукції.

У зв’язку із розростанням даної компанії і росту як фінансових вливань так їх відтоку, потрібно покращити інформаційну систему і до максимальності автоматизувати фінансовий відділ. Таким чином автоматизована інформаційна система мусить мати такі функції:

1.       Зручне і швидке занесення інформації;

2.      Швидкий і точний розрахунок даних в БД;

.        Збереження інформації на досить довгий час;

.        Журнал про втручання і зміни інформації в БД;

.        Складання звіту по фінансовим операціям продовж неділі і складання загального звіту за поточний місяць;

В даному випадку автоматизована інформаційна система - це реляційна БД і локальна мережа із обмеженим виходом до мережі Internet, ЕОМ для роботи даної БД, файл сервери ( декілька файл серверів, один основний для постійної роботи і один архівний для надзвичайних випадків). Доступ до даної БД буде мате обмежене коло користувачів, а саме: генеральний директор, директор по фінансам і фінансовий відділ (для занесення нових даних), відділ кадрів (для занесення нових даних).

.2 Аналіз дослідженої задачі

Визначивши основне направлення даного підприємства і цілі роботи фінансового відділення в даному підприємстві можна приступити до аналізу поставленої задачі і знаходженню проектних рішень.

Фінансовий обіг в підприємстві, це свого роду кровоносна система по якій курсують різноманітні документи з інформацією про фінансовий стан тих чи інших справ підприємства. Таким чином якщо якісь документи зникнути чи дані будуть загублені, то буде на рушена вся так звана кровоносна система підприємства і воно вийде із строю. Тому потрібно щоб дані з документів заносились в БД і аналізувались. Більш розгорнутий план задач і розв’язання їх наведено в таб.1

Таблиця 1

Задача

Рішення

1

Велика кількість бумажної інформації і розрахунків

Для оптимізації данного виду роботи поставити реляційну БД, з урахуванням її зв’язку із іншими відділами і рівнями доступу.

2

Розрахунок витрат на сировину і постачу сировини.

Даний вид розрахунку можна автоматизувати, за рахунок перевірки основних ринкових цін на сировину і пальне для доставки, та занесення цих даних в одну із робочих таблиць БД, де будуть виконуватись обрахунки із даним видом витрат.

3

Розрахунок оплати робочим.

Даний тип розрахунку можна автоматизувати створивши БД декілька таблиць, а саме:  1.Класифікація робочих відділень і їх роль загальна оплата на відділ; 2.Таблиці класифікацій (наприклад: фінансисти, водії, крановики…); 3.Список робочих і їх робочих місць, особиста оплата; 4.Біографія робочих ( П.І.П, сімейний стан, освіта, особисті навички, стаж, посада, час в прогулах).  Дані на робочих мають бути введені зразу по завірені приказу про прийняття на роботу, відділом кадрів. А розподіл зарплати між робочими автоматизувати в ураховуючи такі основні дані:  1. Класифікація; 2. Освіта; 3. Стаж; 4. Прожитковий мінімум; 5. Шкідливість; 6. Сімейний стан; 7. Час прогулу.

4

Розрахунок ціни на товар

Для автоматизації цього пункту потрібно створити таблицю в БД, в якій би враховувались такі параметри: 1. Вид товару; 2. Вартість сировини і доставку; 3. Затрати на страхування товару і робочих які працювали із даним товаром; 4. Податкове мито;  5. Оплата робочим; 6. % для накопичення фінансів, або для виплати за стартовий капітал(кредит); 7. Кінцева ціна. Таким чином опираючись на ці 7-м пунктів можна маніпулювати всіма цінами даного підприємства.

5

Розрахунок чистого доходу

Для автоматизації цієї задачі потрібно створити таблицю в БД, в якій потрібно врахувати такі параметри: 1. Вид товару; 2. Затрати на сировину і доставку; 3. Оплата робочим; 4. Затрата на страховку; 5. Податки; 6. Чистий прибуток за даний вид товару.

6

Складання фінансового звіту за неділю, місяць, квартал, півріччя, рік.

Для цього створюється таблиця яка буди враховувати такі параметри: 1. Загальний прибуток; 2. Витрати на сировину; 3. Витрати на доставку; 4. Витрати на оплату робочим; 5. Податкове мито; 6. Оплата банкових послуг; 7. Витрати на офісні потреби; 8. Чистий прибуток. Для місячного звіту буди складатись таблиця в якій буде враховуватись чотири недільних звіта. І за схожим алгоритмом квартальний, піврічний, річний. Це все можна автоматизувати за рахунок витягнення даних із попередніх таблиць.


Для реалізації даного розв’язання потрібно створити розширену локальну мережу в рамках самого підприємства, з можливістю виходу в інтернет для отримання таких даних:

. Прибуток;

. Обміну документації із банком;

. Зв'язок із постачальником;

. Обмін інформацією із відділом кадрів.

Сама локальна мережа мусить мати декілька локальних файл серверів, для збереження даних БД і збереження архівної копії БД.

.3 Обґрунтування запропонованих проектних рішень

Основним аспектом у даному проектному рішенні є автоматизування інформаційної системи фінансового відділення, яке в свою чергу працює із великою кількістю різної вхідної інформації. Ця вхідна інформація переважно є задокументована у великій кількості і її всю потрібно опрацювати. Для зручності розповсюдження документу і автоматизації опрацювання їх потрібно розробити реляційну базу даних із подальшим збереженням цих даних на файл серверу і архівному сервері. Доступ до реляційної БД, для збереження конфіденційних даних, буде авторизований і розподілений так: Директор (Засновник підприємства, компаній), Директор фінансового відділу, співробітники фінансового відділу, відділ кадрів. Для контролю введених даних, виведених даних, копіювання, розпечатування чи тощо будуть заноситись до спеціального журналу протоколів «вхідних/вихідних даних», даний журнал буде вестись в самій БД і доступ для перегляду матимуть усі бажаючі користувачі цієї БД. Але для ще кращого контролю на більш захищеному рівні мусить бути ще один так званий журнал «Прихований», який буде вести повний нагляд за внесеними даними і переглядом журналу «вхідних/вихідних даних». Для підтримки робочого стану даної БД і її файл серверу, потрібно щоб на підприємстві був програміст головним завданням якого буде нагляд за роботою БД.

Щоб прискорити обмін інформації в межах даного підприємства краще використати локальну мережу із топологію: «Зірка» із використанням HUBа. Дана топологія локальної мережі дозволяє ефективно виконувати обмін із сервером декількох робочих місць, без очікування на дозвіл зєднання із сервером. Розміщення HUBа для того щоб збільшити кількість користувачів мережі. Також для страхування даних від втрат потрібно розмістити і ще один файл сервер на який раз у добу буде копіюватись змінена за цю добу БД.

Процесор для робочого місця користувача даної інформаційної системи має бути таким: для відносної швидко дії робочого місця користувача краще взяти процесор Sempron 2,4 Ггц; для підтримки відносно швидкої роботи ОС із операціями та обміном інформації з файл сервером БД підійди оперативна пам'ять обсягом 512Мб; для розміщення ОС і програм редакторів чи програми «1С:бухгалтерія 7.5 - 8.0» вінчестер на 30- 50Гб. Монітор для даного робочого місця згодиться Samsung SyngMaster 757NF , або якийсь інший із урахуванням спів відношення ціна-якість.

ПЗ даної ІС можна використати операційна система: Windows 2000/NT/XP, тому що переважно більша кількість робітників більш менш знайома із даною ОС, що в свою чергу зменшить потреби в роз’ясненню роботи ОС і її підпрограм. Плюс дана операційна система має в будований налагоджувавльник локальної мережі. Для реляційної БД буде взята програма фірми «1С» 1С:бухгалтерія 7.5/8.0, тому що це досить сильна автоматизована інформаційна система нового покоління яка дозволяє налаштувати роботу підпрограм, автоматичного створення звітів з інформації яка міститься в таблицях. Для збереження даних використовуватиметься MySQL, та для створення обов’язкової документації використовується Microsoft Office 2000/03/07.

інформація автоматизований програмний

2. Постановка задачі і алгоритм їх розв’язання

.1 Постановка задачі

Фінансовий відділ виконує розрахунки фінансові операції на фірмі, їх прибутком і розтратами на виробництво, модернізацію чи зарплату. При збої роботи фінансового відділення, підприємство фактично перестане працювати, тому при розробці АІС потрібно врахувати значуще місце цього відділення. Якщо розглянути схематично (рис.2) даний відділ то можна побачити, що до неї потрапляє велика кількість документів.

Рис.2 Інформаційний ввід і вивід фінансового відділення.

Вхідна інформація відображається на таблиці 2, де іде перелік потрібних для роботи фінансового відділу даних від кого і який зміст мають.

Таблиця 2

Назва вхідної інформації

Ідентифікатор

Форма подання

Термін і чистота надходженння

Вміст інформації

Від кого

1

Розпорядження або наказ.

N

На А4

За потреби

В даному документі іде перелік даних про виділення коштів на такі потреби: Модернизація підприємства; Премія: відділу, працівникам; І інші затреби.

Від директора

2

Інформаці про робітників

R

В виді довідки на А4

За потреби

В даному документі іде перелік даних про працівників а саме: 1. Загальна інформація про працівника; 2. В якому відділу працює; 3. Посада; 4. Сімейний стан; 5. Дні відгулу.

Відділ кадрів

3

S

В виді документа на А4

2-4 рази в місяць

В даному документі міститься інформація про тип сировини і кількість, яку заказало дане підприємство для виробничого процесу.

Постачальники сирови-ни

4

Інформація про витрати

W

В виді документа на А4

10-20раз в місяць

В даному пакеті документів міститься інформація про витрати на повсякденні справи.

Даний пакет документів надається робітниками

5

Прибуток

P

В виді документа на А4

1-2 рази в місяць

В даному документі надаються дані про кількість проданих товарів, по якій ціні, тип товару. Від банку надається інформація про кількість надходжень фінансів від відділу реалізації товару.

Відділ реалізації товару і банк


За наявності даного набору інформації фінансовий відділ надає свой пакет документів їх перелік в таблиці 3. Але при відсутності одних із даних документів до певної дати, робота даного відділу буде збита і інформацію яку надає відділ не буде.

Даний інформаційний набір дає чітку картину чим саме займається даний відділ. Надання вхідної/вихідної інформації визначається статутом фірми і потребами в звітності державної податкової служби.

Таблиця 3

Назва вихідної інформації

Кому

Ідентифікатор

Форма подання

Термін видання

Допустимий час затримки

Вміст інформації

1

Звіт, податковий звіт

Директорові, податковій службі

X

В печатному тексті на А4 документ

4 оази загальний звіт і 1 раз звіт для податкової

1 день

В даних документах надається загальна інформація про прибуток підприємства і затрати.

2

Інформація про виділення коштів

Банку в якому зберігаються кошти даного підприємства

F

В печатному тексті на А4 документ

1-5 рази в місяць.

1-2 дня

Інформаційний пакет із таким змістом: 1. Розподіл і оплата робочим; 2. Оплата за сировину; 3. Інші потреби.

3

Інформація про ціну товару

Відділу збуту товару

C

В печатному тексті на А4 документ

Відповідну до світового ринку

12 год

В даному документі міститься інформація про ціну на товар із урахуванням всіх витрат на його виготовлення.


Основною задачею для розробки інформаційної системи даного відділу забовязання фінансового відділу:

1.      Розрахунок витрат на сировину, постачу сировини;

2.      Розрахунок доходу від реалізованого товару;

.        Розрахунок погашення кредиту, якщо він є;

.        Розрахунок оплати за роботу людям;

.        Розрахунок ціни за товар і доставку товару;

.        Складання фінансового звіту за неділю, місяць, квартал, рік.

Рішення цих задач наведено в таблиці, дані рішення не будуть виконуватись при таких обставинах:

·        Відсутність вхідної інформації;

·        Відсутність струму на підприємстві.

2.2 Економіко-математична модель та алгоритм розв’язання

Як вже було сказано раніше проектування АІС в даному випадку підрозумовує розроблення реляційної бази даних, сам зв'язок таблиць БД і співвідношення інформації можна представити у вигляді математичних формул. Для цього будуть використовуватись позначки із стовпчика ідентифікатор а саме:

Вхідна інформація:

1.      Розпорядження або наказ - N ;

2.      Інформація про робітників - R;

.        Інформація про вартість і кількість сировини - S ;

.        Прибуток - P;

Вихідна інформація:

1.      Звіт, податковий звіт - X ;

2.      Інформація про виділення коштів - F;

.        Інформація про ціну товару - C ;

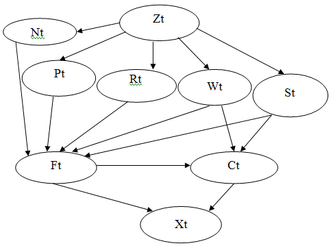
Таким чином використовуючи отримані дані для представлення моделі БД для даної АІС.

Для основи візьметься загальна таблиця і визначити її, як Zt;

= Nt + Wt + Pt + St + Rt + Ft + Ct + Xt;

- це таблиця із переліком наказів, Nt = N;- це таблиця із переліком затрат, Wt = W;- це таблиця із прибутком, Pt = P;- це таблиця із переліком постачі вартості і кількості сировини, St = S;- це таблиця із переліком робітників, Rt = R;- це таблиця із переліком виділенні коштів, Ft = F=N+W+P+S+R;- це таблиця із переліком типів товару і цін на нього, Ct = C = W+S;-це таблиця із переліком звітів і їх вмістом, Xt = X = N+P+F+Ct;

Рис.3 співвідношення таблиць в БД

Даний малюнок відображає вид зв’язків таблиць в даній БД для АІС.

Для розрахунків деяких фінансових рішень в таблицях БД будуть використовуватись формули із таблиці 4.

Таблиця 4

Показник

Розрахункова формула

1

Рентабельність основної діяльності

(Прибуток від реалізації продукції): (Витрати на виробництво і реалізацію продукції)

2

Рентабельність основного капіталу

(Чистий прибуток): (Підсумковий баланс)

3

Рентабельність власного капіталу

(Чистий прибуток): (середня величина власного капіталу)

4

Оборотність матеріалів (оборотних) активів

(Виручка від продажу): (Підсумок другого розділу активу балансу)

5

Оборотність власного капіталу

(Виручка від продажу): (Підсумок першого розділу пасиву балансу)


Алгоритм рішення задач даної АІС.

1.     Визначити територію на якій буде проводитесь локальна мережа для даної БД, в загалом це приміщення де розміщується офіс;

2.      Визначити місце розміщення файл серверів для даної БД;

.        Провести локальну мережу, по робочим точкам території де буде розміщуватись фінансовий відділ та провести точки до директора і файл серверів, із урахуванням можливості її розширення;

.        Встановлення допоміжного обладнання для локальної мережі;

.        Підключення до локальної мережі файл сервера і ЕОМ.

.        Налаштування синхронності роботи всіх ЕОМ із файл сервером;

.        Налагодження роботи ПЗ ( з обов’язковим налаштуванням рівнів захисту)

.        Підключити архівний файл сервер і налаштувати перезапис даних БД;

.        Налаштування таблиць БД і їх зв’язків.

.        Автоматизувати створення таблиці «Звіт», «Вирахування ціни»;

.        Підключення до мережі Інтернет;

.        Автоматизувати аналіз отриманої інформації із Інтернету;

.        Налаштування захисту локальної мережі від хакерського проникнення із мережі інтернет;

.        Протестувати систему на стійкість.

3. Організація інформаційного, організаційного, технічного та програмного забезпечення

.1 Організація інформації

Інформаційне забезпечення даного відділу, це переважно документи які надаються такими відділами, особами:

§ Директор;

§ Відділ кадрів;

§  Постачальник сировини;

§  Відділ реалізації товару;

§  Банк;

§  Інформаційно-документований пакет про витрати.

Більш розширено про вміст цих документів і їхнє місце в БД можна переглянути в таблиці 2 і в таблиці 3 документи які видає даний відділ.

Наказ від директора, надходить до директора фінансового відділу. Директор фінансового відділу перевіряє документ на достовірність і відповідно до нього віддає розпорядження робітникам фінансового відділу. Якщо документ, наказ має де що сумнівну інформацію директор фінансового відділу задає запит-роз`яснення, в якому просить про підтвердження наказу. Якщо згідно того ж наказу час на виконання розпорядження обмежений, то директор фінансового відділу телефонує до директора про підтвердження. Цю операцію можна автоматизувати налаштувавши в локальній мережі даної АІС свого роду електрону пошту. Для захисту, кожне повідомлення документ підписувати спеціальним ІР-кодом, який буде іти як супроводжувальна інформація до даного пакету даних. ІР-код буде унікальний як підпис кожної людини. Також дані про передачу інформаційного пакету будуть міститись в журналі: «передач між ПК в даній мережі». Переваги в цьому виді надсилання наказу заключають-ся у:

1.       досить швидкій передачі наказу від ген. директора до директора фінансового відділення;

2.      конфіденційності передачі документа від інших осіб;

.        вразі потреби в ознайомлені з документом, працівників відділу непотрібно збирати осіб чи по ручній передачі документа від одного-до-іншого.

Відділ кадрів надає інформацію про робітників. Дана інформація надається в виді картотеки і довідок. Доступ до даного виду документів має відділ кадрів, фінансовий відділ, і відповідно директоріат. Для покращення і цього виду вхідної інформації дані про працівників можна зберігати в таблицях БД, що дозволить зменшити об’єм бумажної інформації та використовуючи розбиття працівників на підрозділи і тип роботи, що в свою чергу дозволяє автоматизувати розподіл оплати за роботу. Для захисту даного типу інформації від недостовірних свідчень потрібно звіряти певний ряд даних: Номер паспорту; інднтифікаційний-код, За наявності посвідчень про навчання звіряти код дипломів із кодом в БД українського міністерства освіти.

Постачальник сировини надає накладні про тип сировини яку заказувало підприємство та кількість заказаної сировини. Ці дані надходять для того щоб можна було про аналізувати та звірити затрати на сировину із затратами які були розраховані раніше. Також ця інформація використовується для грошових підрахунків за сировину. Для перевірки достовірності про тип і кількість сировини, отримується інформація із відділу виготовлення товару тут УГМК, який відмічено на рис.1. Коли інформація звірилась і є достовірною виконується підрахунок і створення наказу на відправлення коштів постачальнику. Цю частину можна автоматизувати використавши для занесення даних анкету по якій інформація буде заноситись і звірятись, а потім автоматично підраховуватись і відсилати запит із сформульованим наказом на виплату до фінансово директора який буде звірятиме дані для точності і відправлятиме банку.

Відділ реалізації товару надає інформацію про кількість проданого товару, тип товару, ціна на певний тип товару і загальний виторг з нього. Самі кошти зразу надходять до банку. Для перевірки даної інформації перевіряється яка загальна кількість товару до виторгу, ціна яку встановив фінансовий відділ і кількість товару після продажу і ціна по які його збували. Отримавши ці дані видно чітку картину прибутку, також до цих даних добавляється інформація із банку про кількість отриманих коштів на рахунок підприємства. Для автоматизації можна виконати такі доповнення:

·      надання інформації про витрати у вигляді анкети, яку мусить відправити відділ збуту товару;

·        схожа анкета від банку про кількість нарахованих коштів на рахунок підприємства;

·        сама система має аналізувати отримані із анкет інформацію складати своєрідний звіт про стан рахунку.

Переваги зменшення часу на аналізування отриманої інформації і розрахунок.

Банк надає інформацію про баланс коштів даного підприємства. За звичай банк відправляє коротке повідомлення про зміну балансу їхнього клієнта із зазначенням часу коли поступили кошти. І як було зазначено вище для автоматизації потрібно використати анкетування, яке можна теж автоматизувати.

Інформаційно-документований пакет про витрати, даний набір документів надається начальником відділу складу, який входить до схеми на рис.1 в блок УГМК, дана документація містить таку інформацію:

·        Витрати на канцтовари;

·        Витрати на деталі.

Автоматизувати дану інформаційне забезпечення можна, ввівши до відділ складу, спеціальну БД в яку будуть заноситись зміни про наявність і кількість того чи іншого типу затребуваних товарів для виробництва і роботи даного підприємства. Це буде відбуватись так, БД із складу має свій набір таблиць який оновлюється круговим чином, тобто зі складу відправляється повідомлення про відсутність певних товарі необхідних для функціонування підприємства, виділяються кошти на закупку товарів і коли товари приходять водиться номер чеку-накладної, це і буде підтвердженням що кошти не вийшли на вітер. Дані фіксуються і відправляються до таблиці в фінансову БД. А коли якість товари забираються їх код пробивається і в БД складу ставиться «-» того чи іншого товару. Схожа система використовується в БД супермаркетів, де інформація про кількість товару зв’язана із штрих кодом і коли клієнт купляє певний товар то в БД ставиться «-» 1 того товару який купляється.

Для зручності перегляду змісту таблиць в БД фінансового відділу, буде в таблиці 5.

Таблиці 5

Назва таблиці та її обоз начиння

Поля таблиці

Звязки таблиці

Сенс таблиці

1

Загальна(Zt)

1. №; 2. Вміст таблиці; 3. Час оновлення таблиці;

Це основна таблиця яка з’єднується із 5-ма першими таблицями

Дана таблиця призначена для перегляду та швидкого пересування по БД

2

Наказ, розпорядження (Nt)

1. №; 2. Назва наказу; 3. Хто саме видав; 4. Дата; 5. Вміст наказу.

Zt

Дана таблиця призначена для перегляду наказів і розпоряджень. Для зручності пошуку наказів і розпоряджень.

3

Інформація про витрати (Wt)

1. №; 2. Тип; 3. Дата; 4. Сума.

Zt

Для перегляду витрат.

4

Інформація про прибуток (Pt)

1. №; 2. Дата; 3. Тип товару; 4. Ціна; 5. Кількість; 6. Сума; 7. Послуги; 8. Хто закупив.

Zt

Для перегляду прибутку з певного типу товару за певний час.

5

Інформація про вартість і кількість сировини (St)

1. №; 2. Тип; 3. Дата заказу; 4. Вартість; 5. Кількість;  6. Загалом.

Zt

Для перегляду затрат на сировину і кількість закупленої

6

Інформація про робітників (Rt)

1. №; 2. Відділ; 3. Тип відділу; 4. Кількість робітників; 5. Керівники; 6. Оплата на відділ.

Zt

Для перегляду відділів робочих, оплати і причини оплат.

7

Інформація про виділення коштів(Ft)

1. №; 2. Тип виділених коштів; 3. Дата поступлення наказу; 4. Баланс до виділення; 5. Кількість виділених коштів; 6. Дата видачі; 7. Баланс після виділення.

Nt,Wt,St,Rt,Pt

Розрахунок виділених коштів.

8

Інформація про встановлену ціну(Ct)

№; Тип товару; Назва; Затрати на сировину; Час на виготовлення; Кількість осіб; Відділи які працювали; Доставка; Ціна.

Ft,Wt,St

Розрахунок ціни на товар.

 

9

Звіт (Xt)

№; Тип звітів; Дата; Для кого.

Ct,Ft

Дана таблиця веде автоматичний розрахунок рентабельності і інших потрібних для звіту розрахунки. Сама пособі це головна таблиця яка за заданими параметрами створює звіт по тих чи інших даних БД.

 


Для відображення точніших зв’язків і ключів БД, буде наведено в 2-й нормативній формі на рис.4. Нормативна форма - це розбиття загальної таблиці, або як ще називається плоскої бази даних, на ієрархічні БД, на мережеві БД і на реляційні БД.

Рис.4 2-га нормативна форма БД

3.2   Організаційне забезпечення

Для роботи в даній АІС потрібно близько 2-х осіб із фінансовим чи бухгалтерськими знаннями та стандартними навичками роботи на ПК, та одного програміста чи компютерщика для підтримки роботи АІС і в разі неполадок в роботі відновити. Дана кількість осіб обумовлена тим, що потрібно наглядати за роботою системи і вразі крайньої потреби коректувати розрахунок чи внесення змін у дану БД.

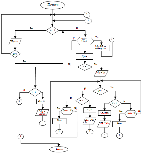
Автоматизований збір даних виконується за такою схемою

Рис.5 робота АІС: П - пароль; А - авторизація; V -вибір; З - звіт; І - інформаційний збір.

- повідомленя про некоректні дані, надається програмісту який підтримує дану АІС.

Посібник користувача:

Вступ

Дана розробка АІС призначена для швидко і якісної обробки даних фінансового відділення.

1.     Призначення та умови користування

Дана АІС призначена для прискорення роботи фінансового відділення та скорочення робочих місць в фінансовому відділі.

2.     Підготовка до роботи

3.     Аварійні ситуації

При виникненні неполадок звертайтесь до програміста (компюторщика), який мусить підтримувати дану АІС.

4.     Рекомендації щодо освоєння

Для освоєння основи роботи даної АІС потрібно знати такі дані:

1.    роботу БД

2.    знання в користувані 1С: Бухгалтер 7-8

.3 Технічне та програмне забезпечення

Для реалізації даної АІС системи потрібно такі технічні засоби:

Процесор для робочого місця користувача даної інформаційної системи має бути таким: для відносної швидко дії робочого місця користувача краще взяти процесор Sempron 2,4 Ггц; для підтримки відносно швидкої роботи ОС із операціями та обміном інформації з файл сервером БД підійди оперативна пам'ять обсягом 512Мб; для розміщення ОС і програм редакторів чи програми «1С:бухгалтерія 7.5 - 8.0» вінчестер на 30- 50Гб. Монітор для даного робочого місця згодиться Samsung SyngMaster 757NF , або якийсь інший із урахуванням спів відношення ціна-якість.

ПЗ даної ІС можна використати операційна система: Windows 2000/NT/XP, тому що переважно більша кількість робітників більш менш знайома із даною ОС, що в свою чергу зменшить потреби в роз’ясненню роботи ОС і її підпрограм. Плюс дана операційна система має в будований налагоджувавльник локальної мережі. Для реляційної БД буде взята програма фірми «1С» 1С:бухгалтерія 7.5/8.0, тому що це досить сильна автоматизована інформаційна система нового покоління яка дозволяє налаштувати роботу підпрограм, автоматичного створення звітів з інформації яка міститься в таблицях. Для збереження даних використовуватиметься MySQL, та для створення обов’язкової документації використовується Microsoft Office 2000/03/07.

.4 Приклад реалізації

Щоб перевірити роботу стійкість даної АІС мережі можна виконати такі експерименти:

. Різки від’єднання від електропостачання. В цьому випадку система при втраті даних вони будуть відновлені із файл сервера 2, який слугує архівним;

. При вірусному втручання. АІС провіряє до якого типу даних він належить якщо даний файл немає типу даних який знає АІС то такий файл відправляється в ізолятор. Де повністю блокується.

3. Якщо дані які надходять є невірними програма задає свій запит до істочника який надіслав їх, якщо дані знов невірні програма відправить повідомлення до програміста який підтримує дану АІС.

Висновок

Тема даного курсового проекту «Проектування автоматизованої інформаційної системи для фінансового відділу підприємства». Проаналізувавши роботу фінансового відділу та виділивши основні задачі і їх залежність від вхідної інформації, була розроблена АІС. Основною цілю даної АІС є: збір інформації, її аналіз та запис, відповідно до типу вхідної інформації, в таблиці; розрахунок із отриманої інформації звітів та іншої потрібної інформації для директорату.

Таким чином розробивши в даному курсовому проекті АІС можна зробити висновок, що проектування інформаційних систем, це досить нелегка і клопітлива робота. В якій потрібно провести велику кількість інформаційного аналізу з використанням різного типу методичного матеріалу. Тобто потрібно досить непогано оволодіти знаннями про об’єкт досліджень і його роботи.

Література

1. Фінанси підприємств: Навч. посіб. - 2-ге вид. - К.:МАУП, 2004.-328с.:іл. - Бібліогр.: с.318-321.

. MySQL.Руководство администратора.: Пер.с фнг. - М.: Издательський дом «Вильямс»,2005.-642с.

. Советов Б.Я., Яковлев С.А. Моделирование систем: Учеб.для вузов - 3-е изд., -- М.:Высш.шк., 2001. - 343 с.:ил.

. Проектування інформаційних систем: Посібник/ За редакцією В.С. Пономаренка. - К.:Видавничий центр «Академія», 2002. - 488с.

Похожие работы на - Проектування автоматизованої інформаційної системи для фінансового відділу підприємства

 

Не нашли материал для своей работы?
Поможем написать уникальную работу
Без плагиата!
Без нейросетей!