Электропривод ножниц с наклонным ножом
1. Техническое задание
Радиус кривошипа, м R=0.125
Длина шатуна, м l=1.2
Перекрытие ножей, м h0=15
Зазор между ножами, мм hз=110
Угол наклона ножа, град β=4⁰16`
Момент инерции механизма,
приведённый к валу, кг·м2 JМ=0.45
Передаточное число редуктора, i=37
Толщина разрезаемого металла, мм h=10
Число резов в минуту z=4
2. Расчёт и построение
зависимости Мс=f(α)
Усилие, прикладываемое к ножу в
течение всего процесса резания:
где σ
- временное сопротивление резанию, для металлургической стали σ=500
Н/мм2; S
- мгновенное перерезаемое сечение, испытывающее усилие среза (рисунок 1-б).
Тогда:
При достаточной ширине
листа усилие на ноже в течение половины цикла резания или полуоборота кривошипа
неизменно. Однако, двигатель должен преодолевать момент, определяемый
тангенциальным усилием FT
на окружности кривошипа. Это же усилие, напротив, изменяется в широких
пределах:
Где α
- угловой путь механизма (рисунок 2).
Так как угол γ
слишком мал, пренебрежем его значением:
Рисунок 2 - Определение
тангенциального ускорения
Статический момент на
валу кривошипа:
Статический момент,
который будет преодолевать двигатель:
где Мс0 -
момент холостого хода, составляющий 7-10% от максимальной статической нагрузки,
-
КПД передачи (0.7-0.8).
Тогда:
где
Рисунок 3 - Зависимость
статического момента от угла поворота вала кривошипа Мс=f(α)
3. Определение
предварительной мощности двигателя и выбор его по каталогу
Для построения
упрощённой нагрузочной диаграммы Mc=f(t) необходимо найти соотношение между углом α
и линейным перемещением ножа.
Угловая скорость
кривошипа при установившемся движении для заданной скорости двигателя:
Зададимся скоростью
вращения двигателя: nдв=500
об/мин, тогда:
Средняя скорость
кривошипа за полный его оборот, 1/с:
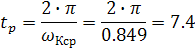
Тогда время работы
кривошипа составит, с:
Скорость перемещения
ножа:
Перемещение ножа:
Рисунок 4 - Зависимости
скорости vH, и перемещения ножа LH от времени
Пользуясь графиком LH(t)
определяем время перемещения ножа на расстояние h3-h=110-10=100 мм: t1=0.83
c.
Время цикла, с:
Время паузы, с:
Относительная
продолжительность включения:
Рисунок 5 - Упрощённая
нагрузочная диаграмма механизма ножниц
Для предварительного
выбора мощности двигателя воспользуемся методом эквивалентного момента, для
чего кривую Мс(t)
разбиваем на участки и заменяем ступенчатым ломаным графиком.
Эквивалентный момент
согласно упрощённой нагрузочной диаграмме составит, Н·м:
Расчётный номинальный
момент из условия перегрузочной способности, Н·м:
Расчётную мощность
двигателя определяем по большему значению момента, т.е. по эквивалентному:
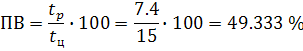
При определении ПВ
предполагалось, что нагрузка прикладывается к двигателю в течении времени
работы: tp=7.4 с, в действительности время
приложения ударной нагрузки составляет 2.8 с (рисунок 5). Тогда
продолжительность нагрузки составит:
При пересчёте мощности
на ПВ=40%:
С учётом динамических
перегрузок, которые будет преодолевать двигатель при пуске и торможении,
следует увеличить мощность двигателя на 30-40%, Таким образом, потребная
мощность двигателя составит, кВт:
Выбираем
краново-металлургический двигатель постоянного тока последовательного
возбуждения серии Д ПВ=40%:
Тип двигателя: Д-818; Рн=106
кВт, nH=500 об/мин, UH=440 В, IH=265
A, rП=0.0148
Ом, rя=0.026 Ом, J=26.5
кг·м2.
4. Расчёт сопротивлений
пускового реостата
Для двигателей
последовательного возбуждения невозможно выразить математически естественные
характеристики двигателя, так как поток полюсов не постоянен и зависит не
только от тока последовательной обмотки, являющейся общей с якорем, но и от
магнитной системы, которая насыщаясь, нарушает пропорциональность между потоком
и током. Поэтому при построении характеристик пользуются универсальными
характеристиками.
Коэффициент
пропорциональности между ЭДС и скоростью при номинальных параметрах, В·с:
Номинальный момент
двигателя, Н·м:
Таблица 1 -
Универсальная и естественная характеристики двигателя
|
i
|
ν
|
µ
|
I, A
|
ω, 1/c
|
M, H·м
|
|
0.27
|
2.4
|
0.14
|
71.55
|
125.664
|
304.105
|
|
0.4
|
1.7
|
0.26
|
106
|
564.766
|
|
0.6
|
1.27
|
0.48
|
159
|
66.497
|
1043.42
|
|
0.8
|
1.09
|
0.74
|
212
|
57.072
|
1607
|
|
1
|
1
|
1
|
265
|
52.36
|
2172.56
|
|
1.2
|
0.9
|
1.3
|
318
|
47.124
|
2824.66
|
|
1.6
|
0.8
|
1.9
|
424
|
41.888
|
4127.963
|
|
2
|
0.74
|
2.55
|
530
|
38.746
|
5539.458
|
Примем значение пускового тока, А:
Суммарное сопротивление цепи
двигателя при пуске, включая сопротивление якоря, Ом:
Зададимся током переключения из
условия:
Для этого тока определяем скорость
вращения ωи при полностью введённом
сопротивлении пускового реостата Rпр
Для значений токов I1 и I2 обозначим на
естественной характеристике точки e, f, а на искусственной характеристике при полностью введённом
сопротивлении Rпр точки a, b. Через точки e-f и a-b проводим прямые до пересечения их в
точке t. Проведя луч из точки t, строим пусковую характеристику c-d (рисунок 2).
Определяем сопротивление пускового
реостата, Ом:
Сопротивления ступеней пускового
реостата составят, Ом:
Учитывая массогабаритные показатели,
а также условия безопасности, выбираем блок резисторов с литыми плоскими
резисторными элементами типа RC3:
R1=0.35 Ом R2=0.16 Ом;
Рисунок 6 - Пусковая
диаграмма электропривода
5. Выбор способа
торможения и расчёт соответствующей характеристики
В качестве рабочего
торможения используется динамическое торможение с независимым возбуждением.
Следует заметить, этот режим экономичен, надёжен и применяется для точной
остановки электропривода. Имеет достаточно простую схему включения и обладает
плавностью торможения.
Динамическим торможением
двигателя называется его генераторный режим, при котором механическая энергия
преобразуется в электрическую и расходуется в замкнутом контуре, электрически
не связанном с сетью.
При этом методе
получается постоянный магнитный поток двигателя в процессе всего периода
торможения. Для точной остановки ножниц в исходном положении обычно
предусматривается наряду с электрическим механическое торможение с помощью
электромагнитных короткоходовых тормозов, выполняющих работу торможения лишь в
области малых скоростей.
Для обеспечения
номинального магнитного потока ток возбуждения должен быть равен номинальному,
а обмотка возбуждения подключена к сети через добавочное сопротивление:
Начальный тормозной ток:
Так как торможение будет
происходить с номинальной нагрузкой Мсmin=443.817
Н·м, то начальная скорость торможения составит: ωнач=95.187
1/с.
Для ограничения
начального тормозного тока до принятой величины необходимо, чтобы полное
сопротивление цепи якоря составляло:
Величина тормозного
сопротивления, Ом:
Рисунок 7 -
Электромеханическая характеристика при динамическом торможении с независимым
возбуждением
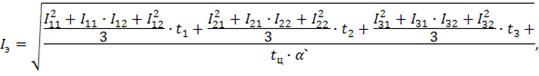
6. Построение кривых
скорости, тока и момента двигателя в функции времени при пуске и торможении
методом конечных приращений и методом Савинкова
Перестроим пусковые
характеристики ω=f(I), в механические. Для этого построим вспомогательную кривую сеФ=(Е/ω)е=f(I), пользуясь естественной электромеханической характеристикой.
Таблица 2 - Расчёт
кривой сеФ=(Е/ω)е=f(I)
|
Iв,
А
|
ω, 1/с
|
Е, В
|
(Е/ω)е,
В·с
|
M, H·м
|
|
71.55
|
125.664
|
437.081
|
3.478
|
248.864
|
|
106
|
89.012
|
435.675
|
4.895
|
518.825
|
|
159
|
66.497
|
433.513
|
6.519
|
1037.103
|
|
212
|
57.072
|
431.35
|
7.558
|
1602.103
|
52.36
|
429.198
|
8.197
|
2172.265
|
|
318
|
47.124
|
427.026
|
9.062
|
2882.654
|
|
424
|
41.888
|
422.701
|
10.091
|
4279.854
|
|
530
|
38.746
|
418.376
|
10.798
|
5723.555
|
Рисунок 8 -
Вспомогательная кривая (Е/ω)е=f(I)
Пользуясь полученной
кривой строим пусковые механические характеристики:
Для расчётов переходных
процессов при пуске воспользуемся методом конечных приращений. Для этого, зависимость
ω=f(M) разбиваем на ряд участков приращения скорости Δωх,
на каждом их которых, момент принимаем постоянным и равным среднему значению и
определяем приращение времени:
Рисунок 9 - Механические
пусковые характеристики двигателя
Определяем приращение
пути для нахождения времени перехода привода в режим приёма нагрузки:
Результаты расчётов
сведены в таблицу 3:
По кривой α(t) (рисунок 11) для α=2.01 находим
уточнённое время вхождения ножа в металл, т.е. начало режима приёма нагрузки (t1≈1.2). При этом двигатель разгоняется до скорости ω1=95
1/с, а момент достигнет величины 750 Н·м. Полученные величины скорости, пути и
момента являются начальными значениями для режима приёма нагрузки или режима
резания.
Рисунок 10 - К расчёту
переходных процессов при пуске методом пропорций
Таблица 3 - Расчёт
переходного процесса электропривода ножниц
|
№ участка
|
Скорость, 1/с
|
Приращение скорости, 1/с
|
Момент, Н·м
|
Время, с
|
|
мин
|
макс
|
ср
|
|
мин
|
макс
|
ср
|
За рассматриваемый период
|
От начала пуска
|
|
1
|
0
|
9
|
4.5
|
9
|
5050
|
6516
|
5783
|
0.054
|
0.054
|
|
2
|
9
|
18
|
13.5
|
9
|
3550
|
5050
|
4300
|
0.074
|
0.128
|
|
3
|
18
|
25
|
21.5
|
7
|
2460
|
3550
|
3005
|
0.087
|
0.215
|
|
4
|
30.5
|
36
|
33.3
|
5.5
|
4450
|
6516
|
5483
|
0.035
|
0.25
|
|
5
|
36
|
44
|
40
|
8
|
2460
|
4450
|
3455
|
0.084
|
0.334
|
|
6
|
44
|
52
|
48
|
3600
|
6516
|
5058
|
0.055
|
0.389
|
|
7
|
52
|
59
|
55.5
|
7
|
2250
|
3600
|
2925
|
0.09
|
0.479
|
|
8
|
59
|
65
|
62
|
6
|
1450
|
2250
|
1850
|
0.135
|
0.614
|
|
9
|
65
|
75
|
70
|
10
|
1000
|
1450
|
1225
|
0.406
|
1.02
|
|
10
|
75
|
82
|
78.5
|
7
|
800
|
1000
|
900
|
0.487
|
1.507
|
|
11
|
82
|
90
|
86
|
8
|
600
|
800
|
700
|
0.991
|
2.498
|
|
12
|
90
|
98
|
94
|
8
|
500
|
600
|
550
|
2.392
|
4.89
|
Переходные процессы при набросе
нагрузки рассчитаем методом Савинкова. В основу этого метода положено
постоянство приращения времени, поэтому принимаем Δt=0.2 с=const. Тогда динамический момент определяется:
где с1=JΣ/Δt=31.75/0.2=158.75 (кг·м2)/с.
Угловой путь вала кривошипа при этом
будет равен:
где с2=Δt/i=0.2/37=0.0054;
Результаты расчёта представлены на
рисунке 12.
Переходные процессы при торможении
можно рассчитать аналитическим методом по формулам:
где ТМ -
электромеханическая постоянная времени:
Мс и ωс - установившиеся значения момента и скорости на соответствующих
ступенях пуска, Мнач и ωнач - начальные значения
скорости и момента;
Время переходного процесса, с:
Тогда:
Рисунок 13 - Переходной
процесс момента при динамическом торможении
Рисунок 14 - Переходной
процесс скорости при динамическом торможении
7. Полная нагрузочная
диаграмма электропривода
Полная нагрузочная
диаграмма электропривода представлена на рисунке 15.
Для проверки выбранного
двигателя на нагрев необходимо пересчитать нагрузочную диаграмму М=f(t) в диаграмму токов I=f(t), пользуясь зависимостями ω=f(t) и ω=f(I). На рисунке 16 представлена нагрузочная диаграмма токов за
период полного оборота вала кривошипа.
Разбивая нагрузочную
диаграмму на ряд участков, действительную кривую I=f(t) заменяем ступенчатой ломанной линией. Для каждого значения
определяем среднеквадратичное значение тока. Полученные результаты используются
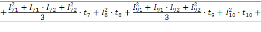
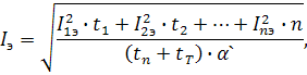
при вычислении эквивалентного тока двигателя в течение одного цикла. Тогда
значение эквивалентного тока можно вычислить по формуле:
где Inэ
- среднеквадратичное значение тока на каждом участке, tn
- время участка, α` - коэффициент, учитывающий ухудшение охлаждения двигателя. Для двигателя
постоянного тока α`≈0.75.

По нагрузочной диаграмме
определяем фактическую продолжительность включения:
Перерасчёт значения
эквивалентного тока:
Номинальный ток
двигателя IH=265 А, следовательно в тепловом
отношении двигатель выбран правильно IЭ<IH.
8. Количество
кинетической энергии, отдаваемой маховыми массами на вал привода в моменты реза
и запасаемой в периоды холостого хода
Количество кинетической
энергии запасаемой при ускорении, кДж:
Количество кинетической
энергии отдаваемой при замедлении, кДж:
При пуске, кДж:
При динамическом
торможении, кДж:
9. Определение потерь
энергии при пуске и торможении
Потери при пуске состоят
из трёх составляющих, соответствующих пусковым ступеням, Вт:
Потери при торможении,
Вт:
10. Рекомендации по
снижению потерь электроэнергии
В электроприводе, где
время переходных процессов занимает значительное время в цикле, потери
оказывают значительное воздействие на энергетику электропривода. Уменьшение
потерь может привести к росту КПД двигателя. Для уменьшения потерь следует
уменьшить суммарный момент инерции. Этого можно достичь следующими способами:
· Применением
малоинерционных двигателей, имеющие пониженный момент инерции якоря (повышенное
отношение длины якоря к его диаметру)
· Заменой одного
двигателя двумя, имеющими половинную номинальную мощность заменяемого
двигателя.
11. Структурная схема
электропривода. Исследование реакции системы на скачок управляющего и
возмущающего воздействий
-
Рисунок 17 - Структурная схема
электропривода с линейной механической характеристикой
В общем виде электромеханическую
систему с жёсткими обратными связями можно описать уравнениями:
где Мс - статический
момент, Н·м; β - статическая
жёсткость системы, Н·м·с, ТЭ - электромагнитная постоянная времени,
с;
Индуктивность якорной цепи
двигателя, Гн:
Электромагнитная постоянная времени,
с:
Коэффициент, определяемый
конструктивными параметрами двигателя:
Модуль статической жёсткости
линеаризованной механической характеристики:
где кф=ΔФ/ΔI=0.06·10-3, Вб/А.
Электромеханическая постоянная
времени, с:
Суммарная постоянная времени обмотки
возбуждения, с
Электромагнитная постоянная времени
якорной цепи двигателя, с:
Соотношение постоянных времени:
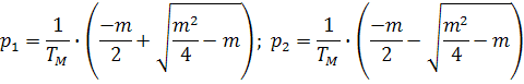
Корни характеристического уравнения
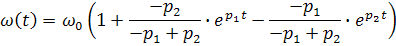
Переходная функция при скачке
задания:
Зависимость ω(t) при задающем воздействии
Определим значение допустимого по перегрузочной
способности двигателя скачка управляющего воздействия ω0 при МС=0.
Найдём производную скорости по
времени:
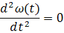
Время, при котором производная
скорости достигает максимума, найдем из условия равенства нулю второй
производной скорости:
Отсюда находим время максимума
производной скорости tMAX=1.398 c.
Максимум производной при этом
составит:
Допустимый по перегрузочной
способности момент двигателя: М=6516.62, Н·м.
Подставив в уравнение движения
электропривода Мс=0, М=6516.62 и
получим:
.62=
Закон изменения момента двигателя:
Рисунок 18 - Переходной
процесс скорости при подаче управляющего воздействия
Рисунок 19 - Переходной
процесс момента при подаче управляющего воздействия
Заключение
резание двигатель
савинков электропривод
В данном курсовом
проекте спроектирован электропривод ножниц с наклонным ножом. В качестве
привода выбран двигатель постоянного тока последовательного возбуждения.
По результатам
построения полной нагрузочной диаграммы и расчёта эквивалентного тока, можно
сделать заключение о пригодности выбранного двигателя в тепловом отношении.
Список источников
1. Андреев В.П., Основы электропривода. / В.П. Андреев, Ю.А.
Сабинин - М.: Госэнергоиздат, 1963. - 749 с.
2. Вешеневский С.Н. Характеристики двигателей в
электроприводе. / С.Н. Вешеневский - М.: Энергия, 1977. - 432 с.
. Сим Б.М. Выбор мощности электроприводов производственных
механизмов: Учебн. пособие. / Б.М. Сим - Комсомольск-на-Амуре:
Комсомольский-на-Амуре гос. техн. ун-т, 1997. - 127 с.
. Сим Б.М. Теория электропривода в примерах и расчётах:
Учебн. пособие./ Б.М. Сим - Комсомольск-на-Амуре: Комсомольский-на-Амуре гос.
техн. ун-т, 1998. - 137 с.
. Сим Б.М. Теория электропривода: Курс лекций: Учебн.
пособие. / Б.М. Сим - Комсомольск-на-Амуре: Комсомольский-на-Амуре гос. техн.
ун-т, 2006. - 187 с.