Участок производственного подразделения по изотермическому отжигу поковок
БЕЛОРУССКИЙ НАЦИОНАЛЬНЫЙ
ТЕХНИЧЕСКИЙ УНИВЕРСИТЕТ
Кафедра «Материаловедение
в машиностроении»
ПОЯСНИТЕЛЬНАЯ ЗАПИСКА
к курсовому проекту на
тему:
«Участок
производственного подразделения по изотермическому отжигу поковок»
Руководитель Стефанович В.А.
Исполнитель, Бородич С.А.
Минск 2011
Реферат
ПОКОВКА, ОТЖИГ, СТАЛЬ, ТЕХНОЛОГИЧЕСКИЙ ПРОЦЕСС, ПЛАНИРОВКА,
СТРОИТЕЛЬНЯ ЧАСТЬ.
Цель курсового проекта - разработать технологический процесс,
планировку и спроектировать участок изотермического отжига поковок в условиях
ОАО «МАЗ».
В курсовом проекте последовательно разработаны основные этапы
проектирования участка изотермического отжига поковок, расчет программы цеха,
выбор марки стали, расчет производительности оборудования и определение его
количества, разработка планировки, проектирование технологического процесса,
теплотехнический расчет оборудования и строительная часть.
Содержание
Реферат
Введение
. Расчет
программы цеха
. Выбор
марки стали
. Расчет
производительности и количества оборудования
.1
Расчет производительности
.2
Расчет количества оборудования
. Проектирование
технологического процесса
. Определение
площади цеха и разработка планировки
. Тепловой
расчет оборудования
.1
Сравнительный расчет потерь тепла теплопроводностью через футеровку печи
.2
Определение суммарных тепловых потерь
. Строительная
часть
Литература
Введение
Минский автомобильный завод является одним из старейших и
крупнейших автомобильных заводов на территории СНГ. Основная доля продукции
завода приходится на тяжёлые грузовики, но также выпускается и другая техника:
прицепы, спецтехника, автобусы. Минский автомобильный завод был основан 9
августа 1944 года с постановления Государственного комитета обороны об
организации автобусного завода в Минске. В октябре 1947 года на заводе были
собраны первые пять МАЗов.
Получение заданных свойств деталей автомобиля, адекватных
условиям её эксплуатации, всегда была актуальна, так как решение данной задачи
позволяло получить равнопрочную конструкцию автомобиля, что является оптимальным
как с технической, так и экономической стороны. Для деталей, которые в процессе
изготовления подвергаются различным видам технологических операций, связанных с
многократным нагревом, прогнозирование заданных свойств конечной детали следует
начинать на самых первых стадиях её изготовления. Это касается в первую очередь
процессов регулирования скоростей термического воздействия (нагрева, выдержки и
охлаждения) на операции горячего формообразования: ковке, штамповке. Известно,
что в процессе горячей штамповки или ковки детали предварительно подвергают
нагреву до интервала ковочных температур порядка 1150-1250 °С. Для достижения
равномерного температурного поля по сечению заготовки, в первую очередь
массивной заготовки, требуется длительная выдержка в интервале высоких
температур, что приводит к росту зерна и формированию грубой ковочной
структуры.
Из вышесказанного следует, что вторым важнейшим параметром,
определяющим качество поковок, после обеспечения размеров и минимальных
припусков, является формирование требуемой структуры металла, которое
достигается предварительной термической обработкой.
Введение в эксплуатацию современного автоматизированного
оборудования для изотермического отжига позволило существенно увеличить
производительность при предворительной ТО без увеличения производственных
площадей, обеспечить выполнение возросших требований к качеству, снижение
энергозатрат.
1.
Расчет программы цеха
При проектировании термического цеха производственная
программа может быть: точной, приведенной и условной. В термических
подразделениях обработке подвергается большая номенклатура изделий, поэтому при
проектировании данных подразделений используется приведенная производственная
программа. При расчете приведенной производственной программы номенклатура
изделий разбивается на группы деталей, которые имеют близкие размеры, вес и
обрабатываются по одинаковым технологическим процессам.
Наименование, размеры и вес выпускаемых деталей представлены
в таблице 1.
Таблица 1 - Производственная программа
|
№
|
Наименование
деталей
|
Марка стали
|
Габаритные
размеры, мм
|
Вес изделия, кг
|
Годовая
программа
|
|
|
|
|
|
шт.
|
тонн
|
|
1
|
2
|
3
|
4
|
5
|
6
|
|
1
|
Вал-шестерня
|
20ХН3А
|
Ø130×240
|
10,98
|
27572
|
302,7406
|
|
2
|
|
|
Ø130×246
|
11,26
|
44100
|
496,566
|
|
3
|
|
|
Ø130×260
|
11,72
|
49077
|
575,1824
|
|
4
|
|
|
Ø143×260
|
12,58
|
51660
|
649,8828
|
|
5
|
|
|
Ø143×295
|
12,98
|
33795
|
438,6591
|
|
6
|
|
|
Ø143×308
|
13,28
|
46406
|
616,2717
|
|
7
|
|
|
Ø143×314
|
13,46
|
30030
|
404,2038
|
|
8
|
|
|
Ø143×322
|
13,95
|
21000
|
292,95
|
|
9
|
|
|
Ø151×322
|
14,69
|
54430
|
799,5767
|
|
10
|
|
|
Ø151×327
|
15,46
|
20853
|
322,3874
|
|
11
|
|
|
Ø153×338
|
15,72
|
46400
|
729,408
|
|
Среднее
значение:
|
|
13,28
|
|
|
|
Сумма:
|
|
|
425323
|
5627,8
|
|
|
|
|
|
|
|
|
|
|
Масса детали представителя определяется по формуле:
m=Σmi/n,
где m - масса детали представителя, кг.;- количество деталей
в группе;- масса i-ой детали, кг;=146,08/11=13,28кг
В качестве детали-представителя принимаем вал-шестерню массой
13,28 кг, т.к. она является преобладающей деталью, которую обрабатывают на
данном агрегате.
Суммарная программа выпуска:
Рвып= 425323шт; Рвып=5627,8 тонн.
Определяем программу запуска, т.е. необходимое количество
деталей для выполнения плана:
Рзап=Рвып(1+k),
где k- коэффициент в долях единицы, учитывающий брак на всех
стадиях изготовления детали, k<=0,01;
Рзап=425323(1+0.01)=429576 шт.
Рзап=5627,8(1+0,01)=5684,0443 тонн.
2.
Выбор марки стали
Выбор марки стали осуществляется путем сравнения
механических, технологических свойств и стоимости различных марок стали.
Окончательной ТО поковок является цементация с последующей
закалкой и отпуском. Для цементации выбирают стали с пониженным содержанием
углерода, стали типа 20ХНР, 20ХГНМ, 12ХН3А. Предложенной сталью используемой на
заводе является сталь марки 20ХН3А. Сталь является универсальной для массового
производства цементации шестерен, но она не соответствует механическим
свойствам, которые необходимы для эксплуатации шестерен. Механические свойства
предъявляемые к изделию указаны в таблице 2.
Таблица 2 - Механических свойства предъявляемые к изделию с
учетом марки стали
|
Марка стали
|
Свойства
|
|
σт, МПа
|
σв, МПа
|
δ, %
|
KCU, Дж/см2
|
h, мм
|
|
Заданные
|
≥940
|
≥1000
|
≥10
|
≥90
|
1.2-1.4
|
|
20ХН3А
|
-
|
-
|
+
|
+
|
+
|
|
25ХГТ
|
+
|
+
|
+
|
-
|
+
|
|
12Х2Н4А
|
+
|
+
|
+
|
+
|
+
|
|
30ХГТ
|
-
|
+
|
+
|
-
|
+
|
|
18ХГТ
|
-
|
+
|
-
|
-
|
+
|
|
20ХНР
|
+
|
+
|
+
|
-
|
+
|
|
12ХН2А
|
-
|
-
|
+
|
+
|
+
|
|
12ХН3А
|
-
|
-
|
+
|
+
|
+
|
|
20ХГНР
|
+
|
+
|
+
|
+
|
+
|
Выбираем для изготовления вал-шестерни сталь 20ХГНР, т.к. она
удовлетворяет требуемым свойствам и более дешевая, чем 12Х2Н4А.
Химический состав стали, механические и технологические
свойства приведены ниже.
Таблица 3 - Химический состав стали 20ХГНР
|
Химический
элемент
|
% (масс)
|
|
Бор (B)
|
0.001-0.005
|
|
Кремний (Si)
|
0.17-0.37
|
|
Медь (Cu), не
более
|
0.30
|
|
Марганец (Mn)
|
0.70-1.00
|
|
Никель (Ni)
|
0.80-1.10
|
|
Титан (Ti), не
более
|
0.06
|
|
Фосфор (P), не
более
|
0.035
|
|
Хром (Cr)
|
0.70-1.10
|
|
Сера (S), не
более
|
0.035
|
Температуры критических точек, oC:=740, Ac3=830,
Ar3=725, Ar1=650, Mн=365
Таблица 4 - Технологические свойства
|
Температура
ковки
|
Начала 1150,
конца 800. Сечения долее 60 мм охлаждаются замедленно.
|
|
Свариваемость
|
РДС.
Рекомендуется подогрев и последующая термическая обработка.
|
|
Склонность к
отпускной хрупкости
|
Склонна
|
|
Флокеночувствительность
|
Чувствительна
|
Таблица 5 - Механические свойства прутка
Таблица 6 - Прокаливаемость
|
Расстояние от
торца, мм
|
Примечание
|
|
1,5
|
3
|
4,5
|
6
|
9
|
12
|
15
|
21
|
27
|
39
|
Закалка 860 ºС
|
|
Прокаливаемость
|
|
|
43-48,5
|
43,5-49
|
43-49,5
|
42,5-49,5
|
41-49,5
|
39,5-49
|
38-48,5
|
35-47,5
|
31-45
|
26-40
|
Твердость для
полос прокаливаемости, HRCЭ
|
3.
Расчет производительности и количества оборудования
3.1 Расчет производительности
Агрегат изотермического отжига поковок, с газовым обогревом,
фирмы «Elterma» состоит из отдельных устройств, составленных в
последовательности, соответствующей их функциям. Работа агрегата
изотермического отжига автоматизирована; операции, связанные с транспортировкой
обрабатываемых изделий через составные части агрегата, совершаются
автоматически при контроле управляющей системой. Управляющая система включает
аппаратуру, регулирующую рабочие параметры всех узлов, включает приборы,
регистрирующие расход газа, состав и температуру отходящих газов.
При расчете времени нагрева деталей сложной формы
рассчитывается характеристический размер детали, учитывающий количество и
расположение деталей на поддоне, размеры поддона.
где m - масса детали,- количество деталей в садке,,b,c -
размеры садки.
Эффективный характеристический размер Xэфф определяется
по формуле:
Схема контейнера и схема расположения деталей в контейнере
приведены на рисунке 1.
Рисунок 1 - Схема контейнера и схема расположения деталей в
контейнере
Отжиг проводят с температуры tотж=880OC,
тогда Тмк=1153 К; Тмн=293К,
Температура в печи равна: Т0= Тмк+50=1203К
Определяем критерий Био по формуле:
в которой необходимо найти 2 неизвестные. Для этого найдём среднюю
температуру поверхности садки в процессе нагрева (Тср). С учетом
того, что зависимость Т(τ) нелинейная
Тср найдём по формуле:
Тср = 2/3(Тмк+ Тмн)
= 2/3(1153+293) = 963К = 690 оС
Найдём теплопроводность при температуре 690 оС:
λ600=37,1Вт/мК; λ700=34,2 Вт/мК (табл.)
тогда:
λ690=37,1-((37,1-34,2)/100)90=34,5 Вт/мК
Рассчитаем суммарный коэффициент теплоотдачи
:

где 
- коэффициент теплоотдачи излучением;

- коэффициент теплоотдачи конвекцией.
Примем 
Найдём коэффициент теплоотдачи излучением по формуле:
1=0,79
- степень черноты металла
2=0,59
- степень черноты кладки
Спр=0,663.5,7=3,779
Тогда суммарный коэффициент теплоотдачи равен:
Найдём критерий Био:
Т.к. критерий био равен 0,28 что попадает в промежуточную область,
то расчет ведём по формулам для теплотехнически массивных тел используя
номограммы Будрина.
Найдём температурный критерий:
Находим критерий Фурье по номограммам Будрина: F0=7.5
(для центра)
Определяем время нагрева по формуле:
где а - среднее значение коэффициента температуропроводности.
а600=6,3910-6 м2/с; а700=510-6
м2/с. (табл.)
тогда:
Примем время выдержки 3ч, тогда время пребывания садки в печи
равно Tв=6ч 35мин = 395мин.
Определяем темп толкания: Tт=Тв/n*,
где n* = n/2. N- количество поддонов в печи (загрузка по 2 поддона).
Тт=395/13=30 мин = 0,5ч.
Производительность агрегата определяем по формуле:
=Nс/Тт,
где Nc - вес деталей (без учета веса поддонов) в 1
загрузке.= 20213,98/ 0,5 = 1118,4 кг/ч.
3.2 Расчет количества оборудования
Определяем требуемое количество оборудования. Для этого
определяем суммарное количество агрегато-часов по рассчитываемому оборудованию.
Берем программу запуска (кг) и делим на производительность агрегата.
Определяем расчетное количество оборудования по формуле:
где Фд - действительный годовой фонд работы
оборудования.
Фд определяем по формуле:
где К - коэффициент, К = 0,9 при данном режиме работы;
Фн - время, в течении которого оборудование может
работать при заданном режиме.
Фн определяем по формуле:
где К - число дней в году, К=365;
П - число праздничных дней в году, П=8;
В - количество выходных дней в году, В=104;
См - число смен;
Д - длительность смены.
Фн = (365-8-104).3.8 = 6072ч.
Фд = 6072.0,9 = 5464,8ч.
Принимаем количество оборудования Nпр=1.
Рассчитываем коэффициент загрузки:
4.
Проектирование технологического процесса
Под технологическим процессом понимают совокупность операций,
связанных с изменением структуры детали путем нагрева, выдержки, охлаждения, с
целью получения требуемых свойств.
При разработке тех. процесса ТО необходимо выбирать наиболее
целесообразный тепловой режим нагрева и охлаждения изделий, а также правильно
подбирать среду, взаимодействующую с поверхностью изделия. В большинстве
случаев наиболее длительными являются операции нагрева, поэтому их
продолжительность часто предопределяет производительность и количество
необходимого основного оборудования: печей и нагревательных устройств.
Увеличение скорости нагрева существенно повышает производительность
оборудования, снижает себестоимость продукции и в ряде случаев улучшает
механические свойства обрабатываемых изделий.
Схемы технологического процесса (отжиг поковок из стали
20ХГНР) представлены на рисунке 2:
Рисунок 2 - Варианты технологического процесса.
Из схем видно что отжиг поковок можно провести по 3
вариантам:
. полный отжиг (а)
. неполный отжиг (б)
. изотермический отжиг (в)
Варианты 1 и 2 экономически нецелесообразны так как
достижение необходимой скорости охлаждения (10..30 оС в час) влечет
за собой большие экономические потери чем в варианте 3, обусловленные
удлинением тех. процесса и необходимостью поддержания и контроля скорости
охлаждения.
Третий график (в) является наиболее удачным для данной марки
стали (20ХГНР), позволяет добиться хорошего уровня механический свойств,
минимального брака, и является достаточно технологическим, что позволяет
снизить себестоимость и повысить качество продукции.
Маршрутная технология представлена на рисунке 3:
Рисунок 3- Маршрутная технология
|
термические
операции механические операции
|
Предварительная
ТО
|
Основная
упрочняющая ТО
|
Термостабилизация
|
|
Нормализация
|
Отжиг
|
Высокий отпуск
|
Улучшение
|
ХТО
|
Кондиционирование
структуры после ХТО структуры структуры
|
Обработка
холодом
|
Отпуск(упрочняющее
старение)
|
1-йстабилизирующий
отпуск
|
2-йстабилизирующий
отпуск
|
Стабилизирующее
старение
|
Заключительное
старение
|
|
Заготовительные
операции
|
Металлургические
(литье)
|
|
|
Механические
(отрезка)
|
|
|
|
Предварительная
мех. обработка
|
Черновая
(обдирочная)
|
|
|
|
|
|
|
Основная
(ковка)
|
|
|
|
|
|
|
Получистовая
|
|
|
|
|
|
|
Окончательная
мех. обработка обработка
|
Чистовая
|
|
|
|
|
|
|
Окончательная
(отделочная)
|
|
|
|
|
|
|
То же 2-ая
операция
|
|
|
|
|
|
Доводочная
(финишная)
|
|
|
|
|
|
То же 2-ая
операция
|
|
|
|
|
|
|
Антикоррозионная
обработка
|
|
|
|
|
|
|
|
Сборка
|
Узловая
|
|
|
|
|
|
|
Окончательная
|
|
|
|
|
|
|
|
|
|
|
|
|
|
|
|
|
|
|
|
|
|
|
|
|
Разрабатываем технологическую карту термической обработки на
агрегате API - 1800G.
Таблица 7 - Технологическая карта термической обработки на
агрегате API - 1800G.
|
№ операции
|
Наимен.
операции
|
Оборудование
|
Транс порт
|
Параметры
|
Контроль
|
Примечание
|
|
01
|
Транспортирование
|
Кран мостовой
Q=5т Автопгрузчик Q=5т
|
-
|
Тара: Ор
613-00000 Ор 893-00000 Ор 981-00000 Ор 877-00000 Ор 2598-00000
|
-
|
Подать поковки
с участка складирования к агрегату изотермического отжига
|
|
02
|
Контроль
|
Контроль
но-изме рительный инстру мент в соответ ствии с КТИ
|
Вручную
|
-
|
Наличие
загрязн.поверхностей, трещин, волосовин и щтампов. дефектов Проверить
соответствие поступивших поковок чертежу
|
3% от
операционной партии При наличии дефектов или несоответст вий чертежу, вернуть
партию на участок-отправитель
|
|
03
|
Загрузка
|
Кран консоль
ный, стол загрузоч ный Приспособление 13325.12
|
Произво дить
загрузку вручную или при помощи крана консольного
|
Положение
поковок в корзине: вертикальное Расстояние между поковками: 15-40 мм
|
Поковки не
должны выступать за габариты корзины.
|
Опустить стол в
крайнее нижн. полож., загрузить поковки, поднять стол в исходн.полож. нажать
контрольную кнопку загрузки.
|
|
04
|
Выбор программы
|
-
|
-
|
Произвести
выбор программы согласно КТИ
|
-
|
Режимы ТО в
программе устанавливает инжененр-технолог
|
|
05
|
Аустениза ция
|
Печь
аустенизации PPN-1800G Приспособление 13325.12
|
-
|
Согласно КТИ
|
Контроль
температуры для каждой партии поковок не менее 2-х раз в смену с записью в
журнале
|
Все операции
выполняются автоматическиПри несоответств. темпер. режима КТИ сообщить
мастеру
|
|
06
|
Перемеще ние
|
Боковой
перегрузочный стол Приспособление 13325.12
|
-
|
-
|
-
|
Все операции
выполняются автоматически
|
|
07
|
Подстуживание
|
Камера
подстуживания Приспособление 13325.12
|
-
|
Согласно КТИ
|
Контроль для
каждой партии поковок температур ный режим охлаждения
|
Все операции
выполняются автоматическиПри несоответств. темпер. режима КТИ сообщить
мастеру
|
|
08
|
Перемеще ние
|
Загрузоч ный
толкатель Приспособление 13325.12
|
-
|
-
|
-
|
Все операции
выполняются автоматически
|
|
09
|
Изотерм.
выдержка
|
Печь
изотермической выдержки PPI-1800G
|
|
Согласно КТИ
|
Время выдержки
|
Все операции
выполняются автоматически
|
|
10
|
Перемеще ние
|
Толкатель
|
-
|
-
|
-
|
Все операции
выполняются автоматически
|
|
11
|
Охлаждение
|
камера быстрого
охлажде ния КО-2 Приспособление 13325.12
|
-
|
|
-
|
Все операции
выполняются автоматически
|
|
12
|
Перемеще ние,
перегрузка, выгрузка
|
Приспособление
13325.12 Приспособление 072941-01
|
Перегрузочный
стол, опрокидыватель
|
Тара: Ор
613-00000 Ор 893-00000 Ор 981-00000 Ор 877-00000 Ор 2598-00000
|
Застрявшие
поковки из корзины извлекаются приспособлением 072941-01 При заполнении тары,
повесить на неё индификационную бирку.
|
Перемещение
поддона в опрокидыва тель и выгрузка поковок в тару происходит автоматически
после нажатия контрольной кнопки выгрузки.
|
|
13
|
Зачистка
|
Станок мод.
3М-636 Круг шлифов. 1600х63х х305
|
Вручную
|
-
|
-
|
5-8 штук от
партии
|
|
14
|
Контроль
|
Стол
металлический черт. 9788-1404 Твердомер ТШ-2М
|
Вручную
|
Сколы, трещины
и др. внешние дефекты HB
|
Визуально проверить
состояние поверхности Измерить твердость
|
5% от партии
5-8 штук от партии
|
|
|
|
|
|
|
Не менее 1 раза
в неделю сдавать в ЦЗИЛ для металлограф. анализа поков ки согласно указаниям
КТИ и утвержденному графику проверки. После остановки и запуска агрегата сдавать
поковку в ЦЗИЛ для проверки качества изотермического отжига
|
|
01
|
Транспортирование
|
Кран мостовой
Q=5т
|
-
|
Тара: Ор
613-00000 Ор 893-00000 Ор 981-00000 Ор 877-00000 Ор 2598-00000
|
Не допускается
транспортировка тары с поковками, выступающи ми за её габариты
|
Подать
термообработанные поковки на участок очистки
|
|
15
|
Очистка
|
Дробеметная
установка мод.В10х 12,5S/W2C/SK/MS
|
Кран мостовой
Q=1т
|
Произвести
очистку согласно указаниям в КТИ
|
-
|
-
|
|
01
|
Транспортирование
|
Кран мостовой
Q=5т
|
-
|
Тара: Ор
613-00000 Ор 893-00000 Ор 981-00000 Ор 877-00000 Ор 2598-00000
|
Не допускается
транспортировка тары с поковками, выступающи ми за её габариты
|
Подать
термообработанные поковки на участок готовой продукции
|
5.
Определение площади цеха и разработка планировки
В курсовом проекте определяем производственную и
вспомогательную площадь, необходимую для разработки планировки.
Производственной площадью называется площадь отделений и
участков, непосредственно предназначенных, для осуществления технологических
процессов и включает площади, занимаемые, площади хранения изделий до и после
ТО, а также площади занимаемые тележками и конвейерами.
Агрегат API - 1800G является многофункциональным
технологическим оборудованием.
Определяем площадь, приходящуюся на единицу оборудования:’об
= A/Sq = 5684.0443/12=473 м2
Так как используется только 1 агрегат, то суммарная площадь,
занимаемая оборудованием, равна площади приходящейся на единицу оборудования:об
= S’об = 473 м2.
Определяем общую производственную площадь с учетом
вспомогательной. Вспомогательная площадь включает кладовые хранения деталей,
вспомогательный материалов, технологической оснастки. Вспомогательную площадь
обычно принимают 25…35% от величины производственной площади:’общ
= (1,25..1,35). Sоб = 1,35.473 = 639 м2.
Все полученные данные сводим в таблицу 8:
Таблица 8 - Определение площади участка
|
Наимен. оборуд.
|
Наимен. ТО
|
Год. прогр.,
тонн
|
Произв., кг/ч
|
Фд,
час
|
Кол-во оборуд.
|
Кз,
%
|
Определение
площади
|
Sy,
м2
|
|
|
|
|
|
Nрас
|
Nпр
|
|
S’об,
м2
|
Sоб,
м2
|
S’общ,
м2
|
|
|
API-1800G
|
Изотерм. отжиг
|
5684,0443
|
1118,4
|
5464,8
|
0,93
|
1
|
0,93
|
473
|
473
|
639
|
639
|
В таблице 9 представлены позиции оборудования и оснастки,
находящиеся на участке.
Таблица 9 - Список единиц оборудования и оснастки
|
№ позиции на
схеме планировки
|
Наименование
составных частей и узлов агрегата
|
|
1 2 3 4 5 6 7 8
9 10 11 12 13 14 15 16, 17
|
Загрузочный
стол с поворотным стендом, с возможностью подъема и опускания; Конвейер
поковок; Загрузочный толкатель печи аустенизации; Печь аустенизации; Конвейер
разгрузки поддонов из печи аустенизации; Боковой перегрузочный стол;
Воздушная камера подстуживания для изотермической выдержки; Загрузочный
толкатель печи изотермической выдержки; Печь изотермической выдержки;
Воздушная камера быстрого охлаждения; Конвейер разгрузки поддонов из печи
изотермической выдержки; Опрокидыватель; Боковой прегрузочный стол; Конвейер
поковок; Шкаф управления Контейнеры с поковками до и после ТО
|
6.
Тепловой расчет оборудования
6.1 Сравнительный расчет потерь тепла
теплопроводностью через футеровку печи
изотермический отжиг поковка
- температура внутренней поверхности стенки 880 °С,
температура окружающей среды 20°С.
Вариант 1
Стенка состоит из 2-хслоев:
шамот тяжеловес класса А - 230мм;
диатомитовый кирпич - 230мм;
Вариант 2
Стенка состоит из 3-хслоев:
шамот тяжеловес класса А - 230мм;
диатомитовый кирпич - 230мм;
вермикулярные плиты - 30мм.
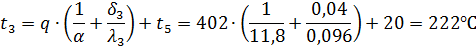
Определение теплового потока через футеровку по варианту 1:
Распределение температур показано на рисунке 4:
t1
q t2
t4
t3
δ1
δ2
Рисунок 4 - Распределение температур по сечению кладки (δ1=δ2=230мм).
λ1 = 0,7+0,00064t; λ2 = 0,116+0,00015t; 1 = 930°С; t4 = 20°С;
Примем t3= 70°С.
где a - коэффициент
теплопередачи, 
l - коэффициент теплопроводности,
т.к. λ зависит от температуры,
то необходимо брать среднее значение теплопроводности для каждого слоя, для
каждого слоя, для этого необходимо знать температуры на границах слоев t2,
t3 и t4.
λ1 =
0,7+0,00064.677,5=1,134Вт/м2К;
λ2 =
0,116+0,00015.272,5=0,157 Вт/м2К;

.
Тогда:
Поскольку найденное значение плотности теплового потока было
определено при допущении, что температура от t1 до t3
меняется по прямой линии, то необходимо проверить вычисления:
λ1 =
0,7+0,00064.830=1,231Вт/м2К;
λ2 =
0,116+0,00015.417,5=0,179 Вт/м2К;

.
Тогда:
Определяем ошибку:
Т.к. ошибка превышает 5%, то проводим уточнение.
λ1 =
0,7+0,00064.828=1,23Вт/м2К;
λ2 = 0,116+0,00015.419=0,179
Вт/м2К;

.
Тогда:
Определяем ошибку:
Таким образом, тепловой поток равен 557 Вт/м2,
выделяющийся через двухслойную футеровку.
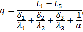
Определение теплового потока через футеровку по варианту 2:
Распределение температур показано на рисунке 5:
t1
q t2
t3 t4 t5
δ1
δ2 δ3
Рисунок 5 - Распределение температур по сечению кладки (δ1=δ2=230мм, δ3=40мм)
λ1 = 0,7+0,00064t; λ2 = 0,116+0,00015t; λ3 = 0,081+0,00023t 1
= 930°С; t5 = 20°С; Примем t4= 30°С.
где a - коэффициент
теплопередачи, 
l - коэффициент теплопроводности,
т.к. λ зависит от температуры,
то необходимо брать среднее значение теплопроводности для каждого слоя, для
каждого слоя, для этого необходимо знать температуры на границах слоев t2,
t3 и t4.
λ1 =
0,7+0,00064.685=1,138Вт/м2К;
λ2 = 0,116+0,00015.294=0,160
Вт/м2К;
λ3 =
0,081+0,00023.64=0,096Вт/м2К;

.
Тогда:
Поскольку найденное значение плотности теплового потока было
определено при допущении, что температура от t1 до t4 меняется
по прямой линии, то необходимо проверить вычисления:
λ1 =
0,7+0,00064.839=1,234Вт/м2К;
λ2 =
0,116+0,00015.510=0,193Вт/м2К;
λ3 = 0,081+0,00023.138=0,113
Вт/м2К;

.
Тогда:
Определяем ошибку:
Т.к. ошибка превышает 5%, то проводим уточнение.
λ1 = 0,7+0,00064.826=1,229
Вт/м2К;
λ2 = 0,116+0,00015.499=0,191
Вт/м2К;
λ3 = 0,081+0,00023.141=0,113
Вт/м2К;

.
Тогда:
Определяем ошибку:
Таким образом, тепловой поток равен 472 Вт/м2,
выделяющийся через двухслойную футеровку.
Потери тепла через футеровку печи найдём по формуле: Qкл=F.q,
где F- средняя площадь футеровки. Зная размеры рабочего пространства печи
(1,9х2,06х9,8м) и толщину футеровки найдём F.
При двухслойной футеровке:
кл = 86,2 . 557 = 48013 Вт = 48,013 кВт
При трехслойной футеровке:
кл = 86,9 . 472 = 41017 Вт = 41,017 кВт
6.2 Определение суммарных тепловых потерь
Для определения тепловых потерь необходимо составить тепловой
баланс который основан на законе сохранения энергии:
Теплота, от сжигания топлива и вносимая с подогретым воздухом
определяется по формуле:
где 
- тепло от сгорания топлива;

- физическое тепло воздуха;

- Физическое тепло топлива;

- тепло экзотермических реакций.
Определим все составляющие:
где 
- расход топлива;

- Теплотворность топлива, 
где G - производительность печи в кг/с;
а = 0,01 - 0,015.
Тогда:
Теплота, расходуемая при работе печи определяется по формуле:
где 
- тепло, расходуемое на нагрев металла;

- потери тепла с уходящими дымовыми газами;

- потери тепла от химического недожога топлива;

- потери тепла от химической неполноты нагрева;

- потери тепла в окружающую среду;

- потери тепла на разогрев кладки печи;

- неучтенные потери.

- тепло, расходуемое на нагрев поддонов.
Подбором конструкций горелок, а также условий сжигания топлива
можно добиться минимальных потерь 
. Так как агрегат полностью остывает очень редко(только при плановых
ремонтах и авариях), потери тепла 
- не рассчитываются так как они играют небольшую роль в общих
потерях тепла. С учетом вышесказанного теплоту, расходуемую при работе печи,
определяем по формуле:
Найдём тепло, расходуемое на нагрев металла и тепло, расходуемое
на нагрев поддонов.
где G - производительность печи кг/с;

- конечное и начальное теплосодержание металла.
Тогда

Найдём потери тепла с уходящими дымовыми газами:
Найдём потери тепла в окружающую среду:
где 
- потери тепла через отверстие печи;

- потери тепла через крышки.
где 
- площадь отверстия;

- относительное время открывания отверстия.
Найдём потери тепла через крышки. Матерал крышки - динас легковес
ДНА. Толщина 230мм. λ = 0,29+0,00037.t. t2 примем 70 оС.
λ = 0,29+0,00037.475 = 0,466 Вт/м2К; 
λ = 0,29+0,00037.503,7= 0,476 Вт/м2К; 
Площадь крышки: Fкр = 2,06.1,9=3,9м2.
Найдём 
:
Найдём неучтенные потери: 
Тепловые потери и КПД соответственно равны.
Для футеровки в 2 слоя:
Из условия 
найдём В:
Тогда:
Для футеровки в 3 слоя:
Из условия 
найдём В:
Тогда:
7. Строительная часть
Агрегат «API -1800G» занимает размеры участка цеха для
цементации равные 11,4x28,9 метра. Для таких цехов ориентируются на сборные
железобетонные конструкции, они значительно дешевле, требуют меньшего расхода
металла, несгораемые, меньше подвержены коррозии. На колоннах имеются консоли,
на которые размещаются подкрановые балки. Используем трехопорный кран.
Подкрановые балки применяем Т-образного сечения с шириной полки 0,57м и высотой
0,8м при кранах грузоподъемностью 5т. Размер подошвы фундамента, определяется
крановой нагрузкой, массой конструкции и характером грунта. Заглубление подошвы
фундамента должно быть ниже промерзания грунта.
Фермы перекрывающие пролет выполняют металлическими. Наружные
стены здания термических цехов делают из блоков легковесного бетона марки не
ниже 75, толщиной 400 - 500мм.
Окна для термических цехов следует делать с одинарным
остеклением со стальными переплетами с рамами шириной 1,5 и 2м, высотой кратной
1,2.
Двери промышленного здания термического цеха делают высотой
2,3м и шириной 1,4м. Размеры цеховых ворот делают 3x3м или 4х4м, в воротах
устраивают двери для прохода людей.
Пол делаем металлический на бетонной стяжке.
Для освещения берутся продольные фонари с вертикальным
остеклением - являются простыми по конструкции и обеспечивают более равномерное
освещение.
Высота пролета Н до подкрановых путей определяется высотой
оборудования, длинной обрабатываемых изделий, грузоподъемностью крана.
Максимальная высота оборудования h
= 4794 мм, таким образом, расстояние от уровня пола до верха головки
рельса Н
= 9000 мм. Высота h
=1200 мм включает размер крана и 200-250
мм, которые учитывают прогиб фермы. Тогда высота цеха H = 10,8 м.
Железобетонные фермы, тип колонн с подвесными кранами при L=18м,
H=10,8 м крайние колонны=0,5х0,5; средние=0,6х0,6. Фундамент под колонны
проектируется в виде отдельно стоящих железобетонных конструкций. Сечение
колонн b*a=500*500, сечение подколонн b
*a
=1200*1200, размеры подошвы B*A=1800*3000;
Литература
1. М.В.
Логачев, Н.И. Иваницкий, Л.М. Давидович Расчеты нагревательных устройств. -
Минск, 2007.
. К.Н.
Соколов, И.К.Коротич Технология термической обработки и проектирование термических
цехов. - М.: Металлургия, 1988.
. Р.И.
Коплун Проектирование термических цехов. - Санкт-Петербург, 1971.
. Г.Ф.
Протасевич, В.А. Стефанович, В.А. Смёткин Учебно-методическое пособие по
дипломному проектированию. - Минск, 2002.