Технология очистки нефтепровода 'Монги-Погиби'

  • Вид работы:
    Дипломная (ВКР)
  • Предмет:
    Другое
  • Язык:
    Русский
    ,
    Формат файла:
    MS Word
    1,74 Мб
  • Опубликовано:
    2013-12-19
Вы можете узнать стоимость помощи в написании студенческой работы.
Помощь в написании работы, которую точно примут!

Технология очистки нефтепровода 'Монги-Погиби'

Содержание

Перечень сокращений, условных обозначений, символов и терминов

Введение

1. Общая часть. Обзор существующих методов и средств очистки нефтепродуктопроводов

1.1 Анализ динамики изменения шероховатости и количества внутритрубных отложений при эксплуатации нефтепроводов

.2 Влияние скопления жидкости и газа на эксплуатационные характеристики трубопроводов

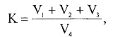
.3 Методы очистки нефтепродуктопроводов от внутритрубных отложений и скоплений воды и газов

2. Технологическая часть

2.1 Разработка составов и способов изготовления гельных очистных систем

.2 Разработка рекомендаций по выбору технологический параметров эксплуатации трубопроводов при их очистке гельными системами

.3 Технология очистки нефтепровода "Монги-Погиби"

3. Безопасность жизнедеятельности

3.1 Разработка мероприятий по охране труда, технике безопасности

.2 Мероприятия по устранению опасных и вредных факторов

4. Экологическая безопасность

4.1 Мероприятия по защите окружающей среды

5. Экономическая часть

5.1 Определение экономической эффективности разработанных технических мероприятий

Заключение

Список литературы

нефтепровод внутритрубный отложение очистка


Перечень сокращений, условных обозначений, символов и терминов


Æ - диаметр

g- ускорение свободного падения - 9,80665 м/с (точно)

t° - ДНС - динамическое напряжение сдвига

m - коэффициент трения

s - напряжение

sт - предел текучести

Q - расход

Рви - внутреннее избыточное давление

Рни - наружное избыточное давление

Re - число Рейнольдса

ЕНВ - единые нормы времени

МПа - мегапаскаль

СНС - статическое напряжение сдвига

Т - абсолютная температура

Тв.ф. - твердая фаза НПП - нефтепродуктопровод ГОС - гельная очистная система ВТО - внутритрубные отложения МНП - магистральный нефтепровод КГС - коэффициент гидравлического сопротивления ЛПДС - линейная перекачивающе-дожимная станция



Введение


Уменьшение объемов трубопроводного транспорта нефтепродуктов привело к тому, что некоторые нефтепродуктопроводы (НПП) оказались загруженными на 30 - 40% от проектной производительности.

Практически это заставляет либо уменьшать скорости перекачки, либо работать циклически, с частыми остановками. И то, и другое провоцирует процессы образования водяных и газовых скоплений. Уменьшение объемов перекачки дополнительно увеличивает абсолютную шероховатость стенок труб, ускоряет процессы образования внутритрубных отложений различной природы, увеличивает темпы коррозионного износа внутренней поверхности трубопроводов.

Наряду с уменьшением уровня надежности эксплуатации эти процессы способствуют и увеличению гидравлического сопротивления нефтепродуктопроводов, что в конечном итоге приводит к росту удельных энергозатрат на транспорт нефтепродуктов.

Одним из наиболее эффективных способов уменьшения гидравлического сопротивления трубопроводов является очистка его внутренней полости тем или иным методом. Наиболее распространенным из них является пропуск очистного устройства. Однако в большинстве случаев несущая способность действующих в настоящее время нефтепродуктопроводов ослаблена настолько, что создание дополнительного перепада давления, необходимого для вытеснения жесткого разделительного манжетного устройства, способно разрушить трубопровод. Кроме того, существующие системы нефтепродуктопроводов отличаются наличием большого количества местных сопротивлений и переходов на различные диаметры, что делает невозможной в ряде случаев очистку этих систем без вскрытия линейной части и извлечения очистных устройств.

В связи с этим особое значение приобретают исследования, направленные на создание специализированных систем, способных осуществлять очистку действующих нефтепродуктопроводов.

1.       Общая часть. Обзор существующих методов и средств очистки нефтепродуктопроводов

Старение труб системы трубопроводного транспорта нефтепродуктов способствует увеличению их гидравлического сопротивления, что крайне негативно влияет на энергоемкость технологических процессов. Этому способствует и уменьшение объемов перекачки, что приводит к снижению скорости транспорта нефтепродуктов и частым остановкам НПП, а это в свою очередь вызывает ускорение процессов коррозии стенок труб вследствие выпадения воды в застойных зонах. Энергозатраты растут и в результате образования газовых скоплений в повышенных участках трассы НПП.

Конечным итогом воздействия всех этих негативных факторов является рост гидравлического сопротивления НПП и снижение уровня надежности эксплуатации трубопроводов.

Единственным методом снижения энергозатрат на перекачку нефтепродуктов при одновременном увеличении безопасности эксплуатации трубопроводов является их периодическая очистка как технологическими способами, так и применением специальных очистных систем.

Первая глава дипломной работы посвящена литературному обзору существующих методов и средств очистки НПП от внутритрубных отложений и инородных скоплений различной природы.

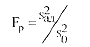
.1       Анализ динамики изменения шероховатости и количества внутритрубных отложений при эксплуатации нефтепроводов

Опыт эксплуатации систем нефтепродуктопроводов показывает, что по мере функционирования их пропускная способность резко снижается. Одной из основных причин подобного рода процессов является образование мощных внутритрубных отложений, состоящих из строительного мусора, металлической окалины, образующейся при проведении ремонтных работ, продуктов коррозии и т.д. Оседая на внутренней поверхности трубопроводов, эти отложения способны полностью перекрывать проходное сечение НПП. Этим процессам особенно способствуют частые остановки нефтепродуктопроводов, провоцирующие ускоренное выпадение механических примесей из нефтепродуктов. Различные аспекты эксплуатации нефтепродуктопроводов рассматривались в работах Е.А. Армейского, В.Е. Бычкова, Е.И. Дизенко, Б.Н. Мастобаева, В.Ф. Новоселова, А.Р. Сумбатовой, П.И. Тугунова и других, которые исследовали механизмы образования отложений различной природы.

Образование отложений в трубах представляет собой комплексный процесс, зависящий от физико-химических свойств транспортируемой жидкости, материала трубопровода, характеристики покрытия, а также от гидравлических параметров - средней скорости потока, давления жидкости и диаметра трубы. В работе А.Д. Альтшуля [2] отмечается, что образование отложений и коррозионных повреждений на внутренней поверхности труб приводит к увеличению шероховатости. На основании обобщения многочисленных экспериментальных данных (без учета физико-химических свойств перекачиваемых сред и характеристик металла труб) А.Д. Альтшуль предлагает линейную зависимость роста шероховатости от времени эксплуатации труб [4]:

Кг-Ко+а-г, (1.1)

где Ко - начальное значение высоты выступа шероховатости, мм; а - скорость увеличения выступа шероховатости, зависящая от физико- химических свойств среды, мм/год.

Исследования А.Д. Альтшуля показали, что толщина отложений на стенках трубы в общем случае явно не зависит от ее диаметра. Однако, как отмечает автор, относительная пропускная способность труб меньших диаметров (100-200 мм) снижается значительно быстрее (при прочих равных условиях), чем пропускная способность труб больших диаметров (300-1500 мм). Экспериментальные исследования, проведенные в работе А.Р. Сумбатова Идентификация параметров магистрального нефтепродуктопровода. Транспорт и хранение нефтепродуктов и углеводородного сырья, показали, что предложенная зависимость в общем, правильно отражает процесс старения трубопровода, но дисперсия адекватности этой линейной модели варьируется в весьма широком диапазоне, определяемом условиями эксплуатации трубопроводов и физико-химическими свойствами перекачиваемых сред.

Для повышения достоверности оценки изменения состояния внутренней поверхности нефтепродукте проводов (шероховатость стенок), т.е. расчета коэффициента гидравлического сопротивления, а также коэффициента теплоотдачи от трубопровода в окружающую среду, изменение которых вызвано образованием отложений на стенках труб, А.Р. Сумбатова в своей работе предлагает обрабатывать диспетчерские данные методами параметрической идентификации.

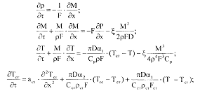
В качестве исходной используется математическая модель продуктопровода, состоящая из дифференциальных уравнений энергии, теплопроводности, неразрывности и движения в виде:

 (1.2)

где Р, Т, М давление, температура и массовый расход перекачиваемого нефтепродукта;

ρ, Ср - плотность, теплоемкость продукта;

Тст - температура стенки трубопровода;

аст, Сст, ρст - температуропроводность, теплоемкость и плотность материала стенки продуктопровода;

а1 и а2 - коэффициент теплоотдачи от продукта к внутренней поверхности трубопровода и от продуктопровода в окружающую среду;

τ - время; х - продольная координата;

F, Fсх - площади сечения потока продукта и стенок трубопровода;

D, Dсх - внутренний и наружный диаметры трубопровода.

Граничные условия модели (1.2) определяются на основе обработки диспетчерских данных. Методами идентификации коэффициенты гидравлического сопротивления и теплоотдачи рассчитываются так, чтобы определяемые по (1.2) значения давления, температуры и массового расхода продукта с заданной точностью соответствовали данным диспетчерских служб.

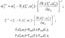
Решение обратной задачи расчета коэффициентов ξ и а2 проводится в два этапа. На первом этапе ξ и а2 находятся из решения стационарной задачи; на втором - рассчитываются коэффициенты гидравлического сопротивления и теплоотдачи при нестационарной перекачке продукта. В этом случае стационарные параметры ξ и а2 являются начальными значениями. Для решения задачи идентификации нефтепродуктопровода применяется метод Ньютона и его модификации. Перед применением метода Ньютона производится интегральное преобразование дифференциальных уравнений.

На первом этапе идентификации решается стационарная задача. При этом в качестве первого приближения используются значения коэффициентов ξ и а2, рассчитанные по формулам В.Г. Шухова и Л.С. Лейбензона. Значения параметров на следующих (S+1)-ых итерациях определяются по методу Ньютона:

 (1.3)

где Ppac(L), Tpac(L) - расчетные значения давления и температуры продукта в конце трубопровода при значениях восстанавливаемых параметров £,s и as2;

Рзам(L), Тзам(L) - замеренные значения давления и температуры (данные диспетчерских служб) в конце трубопровода.

Итерационный процесс определения ξ и а2 считается завершенным, когда погрешность расчета давления и температуры продукта становится меньше или равной известной первичной погрешности измерения давления и температуры.

Отличие второго этапа идентификации (решение нестационарной задачи) от первого состоит в том, что функции F1(ξ,a2) и F2(ξ,a2) после интегральных преобразований уравнений (1.2) принимают вид:


Разработанный алгоритм использовался при расчетах режимов эксплуатации реальных продуктопроводов. В результате при расчете стационарного процесса течения автор получила количественные оценки технологических параметров перекачки, погрешность расчета которых находилась в пределах 0,3-0,5%. Для нестационарных условий перекачки (0<τ <7200 с) погрешность расчета находилась в пределах 0,6-0,9 %.

В случае, когда диспетчерские данные значительно меняются во времени, автор предлагает определять кусочно-линейные аппроксимации восстанавливаемых параметров. Так, для нестационарного случая были получены значения параметров, погрешность определения которых находилась в пределах 0,8-1,0%. Однако столь высокая точность расчетов вызывает определенные сомнения, так как используемые средства измерения на НПП имеют точность никак не выше 1,5...2%.

Одним из основных методов борьбы с коррозионными и адгезионно слабосвязанными механическими отложениями является промывка трубопроводов в пусковых режимах после предварительной остановки НПП. Реализация этого метода предполагает, что используются повышенные скорости перекачки, создание которых требует увеличения перепада давления. Главной задачей при этом является определение необходимой скорости потока, позволяющей произвести смыв отложений.

В работах В.Е. Бычкова, Ю.Н. Васильева, О.В. Науменко, В.А. Юфина и др. приводимых в трудах ЦНИИТЭнефтехим рассмотрены теоретические предпосылки создания оптимальных условий промывки трубопроводов перекачиваемым продуктом. Авторы отмечают, что в трубопроводе происходит постоянное накопление механических частиц, смытых потоком с внутренней поверхности труб. При остановках перекачки в начальных участках трубопровода скапливается наибольшая часть загрязнений и образуется так называемая "головка". В процессе промывки происходит изменение концентрации загрязнений по длине "головки" - концентрация от максимального значения, наблюдаемого в начале "головки", постепенно убывает и стремится к постоянному значению, соответствующему начальной чистоте закачиваемого в трубопровод продукта.

Опираясь на данные экспериментов, авторы в своей работе предлагают следующую формулу для определения коэффициента интенсивности промывки β:

 (1.4)

где U - скорость движения жидкости;

Т - время промывки от концентрации С в момент выхода "головки" из трубопровода до концентрации С0, соответствующей начальной чистоте продукта.

Е.И. Дизенко, В Ф. Новоселов, П.И. Тугунов в своей работе "Определение критической скорости потока жидкости для выноса механических отложений из трубопровода" отмечают, что при промывке НПП со скоростью, обеспечивающей вынос всех частиц загрязнений, величина Р должна определяться исключительно способом промывки (свободным, с разделителем, пульсирующим и т.д.). При заданном режиме работы НПП время промывки Т зависит от исходной загрязненности трубопровода, определяемой количеством загрязнений, попавших в него при монтаже или в ходе ремонтных работ и осевших при остановках перекачки. В этом случае авторы предлагают время промывки при известной загрязненности нефтепродуктопровода определять по следующей зависимости:

 (1.5)

где L - протяженность трассы;

F - площадь проходного сечения трубопровода.

Для определения загрязненности нефтепродуктопровода при промывке со скоростями выше критической, авторы предлагают использовать зависимость вида:

 (1.6)

где σ, м3/м - удельное количество отложений на метр длины трубопровода.

Для оценки степени адекватности предлагаемых зависимостей в работе Е.И. Дизенко, В.Ф. Новоселова, П.И. Тугунова. Определение критической скорости потока жидкости для выноса механических отложений из трубопровода был проведен эксперимент: перекачивалось дизельное топливо ДЛ с плотностью р=847 кг/м3 по нефтепродуктопроводу диаметром 150 мм и протяженностью 1400 м. Эксперимент проводился при скорости перекачки заведомо выше критической. В результате обработки экспериментальных данных были получены следующие значения: р=5-102 м2/с, а = 0,95-104 м3/м. По полученным значениям 3 и о авторами была построена теоретическая зависимость изменения концентрации загрязнений в нефтепродукте от времени промывки. При сравнении полученных результатов с экспериментальными данными было отмечено, что их различие находится в пределах 1-3 %.

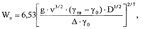
Как уже было отмечено выше, основным фактором, влияющим на эффективность выноса механических отложений из внутренней полости нефтепродуктопровода, является скорость потока. Для определения критической (минимальной) средней скорости потока жидкости, обеспечивающей вынос механических отложений, В.Ф. Новоселовым и П.И. Тугуновым была предложена следующая зависимость:

 (1.7)

где Wn - критическая скорость потока, см/с;

g = 981 см/с - ускорение свободного падения;

ν - кинематическая вязкость жидкости, см2/с;

γтв - удельный вес частиц выносимых отложений, г/см3;

γо - удельный вес жидкости, г/см3;

D - диаметр трубопровода, см;

∆ - размер выносимой частицы, см.

Авторы рекомендуют применять предлагаемую формулу при соблюдении условия:

 (1.8)

Если ограничение имеет вид А < А < 6А, то определение величины W, представляет определенные трудности, поэтому критическую скорость потока удобнее определять графическим методом. Как отмечается в работе Е.И. Дизенко и др. "Определение критической скорости потока жидкости для выноса механических отложений из трубопровода", предложенную методику можно использовать и при расчете параметров промывки нефтепровода, который переводится на перекачку светлых нефтепродуктов.

Практика перевода нефтепроводов на перекачку нефтепродуктов распространена достаточно широко, но связана со значительными технологическими проблемами. Бензины и дизельные топлива являются значительно более лучшими растворителями по сравнению с сырыми нефтями, постепенно растворяющими пристенные отложения, что приводит к постоянному ухудшению сортности нефтепродуктов. Решению вопроса сохранения качества нефтепродуктов и промывки подобных НЛП посвящены работы Е.А. Армейского, Б.Н. Мастобаева, О.В. Науменко, В.Ф.Новоселова, А.М. Стоина, П.И. Тугунова и др.

Как отмечено в работе Б.Н. Мастобаева, Е.А. Арменского "К вопросу отмывки пристенных парафиносмолистых отложений", в процессе удаления пристенных отложений путем перекачки по трубопроводу растворителей нарушается фазовое равновесие вещества пристенных отложений и происходит переход его в перекачиваемый растворитель. Поэтому при изучении механизма удаления пристенных отложений необходимо учитывать процесс их набухания и срыва со стенок трубопровода и возможного дальнейшего растворения в потоке.

Эффективность прямоточной промывки трубопроводов зависит от скорости движения промывочной жидкости, природы и состава загрязнений и других факторов. Особенно резко снижается эффективность промывки при наличии на внутренних поверхностях труб консервационных покрытий (например, ЦИАТИМ-217). В работе В.Е. Бычкова, В.А. Юфина и др. "Устройство для интенсификации промывки трубопроводов гидравлическим ударом" в качестве одного из методов интенсификации промывки предлагается применять гидроудар - резкий сброс части перекачиваемой жидкости. Механизм интенсификации промывки в этом случае обусловлен местной кавитацией жидкости, а также возрастанием скорости перекачки на участке трубопровода до точки сброса жидкости. Там же предлагается зависимость, позволяющая определять объем и место сброса жидкости для получения необходимой критической скорости промывки.

Многими авторами отмечается значительное влияние состава отложений на эффективность промывки нефтепродуктопровода. В частности, в работе К.В. Рыбакова, В.Е. Турчанинова и Э.И. Удлера приведены результаты специальных исследований по определению уровня, состава, причин и источников загрязнений топлива при перекачке по различным трубопроводам после их пневматической зачистки. Исследования проводились на установке, смонтированной из трубопроводов различной длины диаметром 100 и 150 мм, состоящих из оцинкованных и окрашенных стальных труб. Пневматическая зачистка производилась с применением разделителя РЭМ, который перемешивался сжатым воздухом. Авторы отмечают, что наибольший эффект промывки достигался при перекачке с двумя разделителями (с промежутком между запусками 30-40 с). Дальнейшее увеличение числа разделителей существенного эффекта не дало. Дисперсный и элементный анализ состава загрязнений показал, что основным источником загрязнений светлых нефтепродуктов являются загрязнения, накопленные при хранении труб. Большую же часть загрязнений составляют продукты коррозии металла труб и антикоррозионного покрытия. Сравнительно небольшое количество элементарного кремния говорит о том, что при пневматической зачистке все частицы загрязнений выталкиваются из нефтепродуктопровода разделителем, а остаются только те, которые продолжительное время накапливались во внутренней полости труб, и имеют значительные силы адгезии. Отмечается, что удалить такие частицы загрязнений из трубопровода довольно сложно и не всегда возможно даже при промывке с применением разделителей.

Это же подтверждают и результаты очистки, предварившей проведение диагностических работ на участке "Черкассы - Прибой" магистрального нефтепродуктопровода "Уфа - Западное направление", проведенных Центром технической диагностики "Диаскан"[6]. Протяженность диагностируемых участков со ставляла 309 и 271 км. Перед пуском дефектоскопа "Ультраскан" внутренняя полость трубопровода очищалась многократно (от 12 до 20 раз), причем в данном случае наиболее эффективным оказался пропуск "поездов", состоящих из трех скребков. При пропуске каждого "поезда" образовывалось до 4-5 тыс. т. загрязненного нефтепродукта, который затем отстаивался в резервуарах на конечном пункте. На том же нефтепродуктопроводе ранее проводилось тестирование двух участков общей протяженностью 205 км. Во время подготовки трубопровода к диагностированию на отдельных участках было пропущено свыше 40 скребков, причем наилучшие показатели достигались, когда в сутки пропускались по два и более скребка.

Обобщая опыт работ по очистке нефтепродуктопроводов от внутритрубных отложений различной природы, Г.П. Савельев и М.Э Шварц в своей работе "Очистка внутренней полости нефтепродуктопроводов" выделяют ряд обстоятельств, вызывающих наибольшие осложнения:

необходимость применения очистных устройств, обладающих повышенной проходимостью при переходе через местные сужения (смятые трубы, задвижки с меньшим проходным сечением и т.д.) и через запорную арматуру, диаметр проходного отверстия которой больше, чем у основной трубы;

необходимость контролировать продвижение очистного устройства и скопившейся перед ним пробки из механических ВТО на всем протяжении трубопровода и потребность оперативно определять место застревания очистного устройства;

необходимость вскрывать нефтепродуктопровод, заполненный перекачиваемым продуктом, для удаления устойчивой пробки из строительного мусора или застрявшего очистного устройства.

По данным работы Д.А. Черняева, Е.И. Дизенко "Очистка и ремонт магистральных нефтепродуктопроводов", обобщающей опыт очистки магистрального продуктопровода диаметром 350 мм и протяженностью 915 км, по которому в течение 20 лет перекачивался в основном этилированный бензин, при очистке трубопровода с использованием щеточных скребков наблюдались частые их остановки из-за скопления механических отложений в виде сплошной массы-пробки, длиной иногда до 10-15 м. В процессе очистки по продуктопроводу было пропущено 49 щеточных очистных устройств.

Обобщая опыт использования жестких скребков для очистки нефтегазопроводов от механических отложений, можно утверждать, что их применение связано со значительными трудностями вследствие изменения диаметров нефтегазопроводов и частыми остановками перекачки даже в процессе проведения очистки, что приводит к слеживанию и затвердеванию вытесняемых внутритрубных отложений.

Значительно более успешным следует считать опыт очистки НПП от механических отложений гельными системами, разработанными А.Х. Мирзаджанзаде, Г.М. Панаховым, А.М. Шаммазовым и др. Подобные полимерные системы способны проходить через такие сужения труб, через которые не пройдет ни один из жестких каркасных скребков. Кроме того, помимо поршневого вытеснения гели "приклеивают" механические отложения, увеличивая при этом свой объем. Этому посвящены работы "Гидродинамика трубопроводного транспорта нефти и нефтепродуктов", "Экспериментальное исследование вязкоупругих разделительных пробок с магнитным наполнителем".

Результаты применения гельных систем, использованных для очистки НПП от внутритрубных отложений, обсуждаются в работе В.И. Губанова, И.Т. Ишмухаметова, Р.М. Саттарова и др. "Эффективность применения гелеобразных составов при разделении нефтепродуктов и очистке трубопровода "Грозный-Армавир"". Испытания проводились на участке нефтепродуктопровода "Подкумок 2-Армавир" протяженностью 234 км и диаметром 500 мм. Приготовление, заправка и пуск разделителя осуществлялся с промежуточного пункта перекачки Подкумок 2. После приготовления полного объема (2,5 м3) разделителя пробка выдерживалась в камере пуска под давлением в течение суток для придания ей целостной структуры. Разделительная пробка запускалась в смесевую зону контакта дизельного топлива и автобензина. В момент прихода ее в ЛПДС "Армавир" наблюдался выход большого количества воды и воздуха, а также наличие механических примесей в отобранных пробах. Иногда в местах отбора проб была зафиксирована только вода. Прохождение разделителя определяли по полному прекращению циркуляции нефтепродукта.

В работе P.M. Саттарова, А.И. Гермашева, Г.М. Панахова и др. "Промышленное внедрение вязкоупругого магнитоактивного разделителя для очистки трубопроводов" приведены результаты испытаний магнитоактивного эмульсионного разделителя, разработанного в АзИНЕФТЕХИМ им. М. Азизбекова. Состав содержит керосин, водный раствор полиакриламида (ППА), раствор поверхностно-активного вещества (ПАВ) и поливалентного металла. Удельный вес и реологические параметры вязкоупругого разделителя регулировались добавлением порошка γ-окиси железа и постоянной обработкой магнитным полем. Промышленные испытания проводились на нефтепродуктопроводе протяженностью 273 км и диаметром 250 мм при наличии задвижек различного сечения. Скорость потока составляла 0,92... 1,1 м/с, давление в конечном пункте поддерживалось на уровне 0,1 МПа, режим перекачки - турбулентный. В результате в ходе проведения испытаний давление в начальной точке перекачки за 90 часов (время прохождения разделителя) снизилось от 5,6 до 3,2 МПа при неизменном конечном давлении и примерно постоянной скорости потока ~ 1 м/с. Последующий физико-химический анализ нефтепродукта показал отсутствие в нем механических примесей и наличие воды в пределах допустимых норм. Авторы для обеспечения нормальной работы трубопровода рекомендуют использовать разделитель с одновременным воздействием на поток переменными динамическими нагрузками. Исследования показали, что такие нагрузки малой амплитуды на поток позволяют в 2 раза снизить величину среднего давления, при котором наблюдается вынос скоплений, по сравнению со случаем, когда переменные нагрузки отсутствуют.

Проведенный обзор литературы свидетельствует о том, что наличие во внутренней полости нефтепродуктопровода скоплений строительного и ремонтного мусора, продуктов коррозии и др. отложений значительно ухудшает гидравлические характеристики трубопроводов, приводит к загрязнению перекачиваемых светлых нефтепродуктов механическими примесями выше допустимых норм, увеличивает энергетические затраты на их перекачку и очистку, затрудняет проведение диагностических работ во внутренней полости нефтепродуктопроводов.

Применяемые в настоящее время механические очистные устройства не обеспечивают необходимой степени очистки, особенно в трубопроводах сложного профиля, где наблюдаются местные сужения или увеличения проходного сечения (смятие труб, задвижки с несоответствующим проходным сечением и т.д.). Наиболее перспективным для очистки НПП от внутритрубных отложений следует считать направление, связанное с развитием гелевых очистных систем, отличающихся лучшими технологическими характеристиками по сравнению с механическими системами.

.2       Влияние скопления жидкости и газа на эксплуатационные характеристики трубопроводов

Наряду с внутритрубными отложениями механической природы увеличению затрат на перекачку способствуют и скопления воды и газов, образующиеся в застойных зонах рельефа трассы НПП. Трубопроводный транспорт многокомпонентных потоков сопровождается разделением фаз транспортируемой жидкости и образованием жидкостных и газовых скоплений соответственно в пониженных и повышенных участках трассы трубопроводов. Это приводит к снижению пропускной способности продуктопроводов и ускорению коррозии в местах скопления жидкости.

Удаление скоплений при пуске нефтепродуктопроводов (НПП), а так же в процессе их эксплуатации представляет значительные трудности и может производиться различными способами. Наиболее простым и эффективным является вынос скоплений потоком перекачиваемого продукта. Однако при пуске трубопроводов в эксплуатацию после гидравлических испытаний скопления жидкости и газов долгое время не могут быть удалены подобным образом. Они уменьшают проходное сечение трубопровода, а значит - увеличивают коэффициент гидравлического сопротивления и тем самым снижают пропускную способность НПП. Кроме того, по ряду причин газожидкостные скопления в эксплуатирующихся трубопроводах могут возникать и вне режимов гидравлических испытаний и пуска.

В частности, в нефтях, транспортирующихся по трубопроводам, почти всегда содержатся растворенные попутные газы, а в нефтепродуктах - воздух. По этой причине на возвышенных участках трубопроводов могут образовываться скопления воздуха или газа, выделившегося из жидкости при понижении давления. Кроме того, экспериментально было установлено, что снижение производительности нефтепродуктопровода также способствует созданию благоприятных гидравлических условий для образования газовых скоплений в повышенных участках трассы продуктопровода.

Другим фактором, оказывающим отрицательное влияние на пропускную способность трубопроводов, является перекачка обводненных нефтепродуктов. Наличие воды приводит к увеличению расходов по транспортировке перекачиваемого продукта и образованию скоплений жидкости в пониженных участках трассы трубопровода.

По вопросам влияния скоплений жидкости или газа на эксплуатационные характеристики магистральных нефтепродуктопроводов в разное время выполнены многочисленные работы. Этой проблемой занимались И.А. Чарный, Ф.И. Багаутдинов, И.Р. Байков, В.А. Васильев, И.В. Воронин, А.К. Галлямов, В.Е. Губин, А.И. Гужов, Ч.С. Гусейнов, A.C. Дидковская, В.К. Касперович, 3.Л. Конторович, Е.Г. Коробков, A.A. Коршак, М.С. Левин, A.M. Несговоров, A.M. Нечваль, Г.Г. Поляков, В.Г. Титов, В.И. Черникин, A.M. Шаммазов, E.H. Ярыгин и др. Большинство из названных работ посвящено опыту ввода в эксплуатацию некоторых НПП.

В работе В.К. Касперовича и В.И. Черникина в результате проведенных экспериментальных исследований условий удаления жидкости из НПП получена зависимость для определения критической скорости перекачки нефтепродукта, при которой происходит вынос скоплений жидкости. Однако использование этой формулы затрудняется из-за сложности определения диаметра капель скопления.

Экспериментальные исследования влияния скоплений конденсата на гидравлическое сопротивление газопроводов выполнены Ч.С. Гусейновым, в результате обработки которых получена весьма сложная зависимость между коэффициентом гидравлического сопротивления и критерием Рейнольдса - Re.

Одной из первых фундаментальных теоретических работ, посвященных влиянию скоплений газа и жидкости на гидравлические характеристики нефтепродуктопроводов, является исследование И.А. Чарного "Влияние рельефа местности и неподвижных включений жидкости или газа на пропускную способность трубопроводов", который показал, что на величину потери давления при движении газожидкостных смесей по продуктопроводам большое влияние оказывает профиль трассы. Это объясняется накоплением жидкости в пониженных, а также образованием газовых "шапок" в повышенных участках трассы. Для гидравлического расчета таких трубопроводов автор предложил использовать метод, применяемый в теории неравномерного движения жидкости в открытых руслах. Им получены дифференциальные уравнения для определения размеров живого сечения трубопроводов, соотношения для определения потери давления перекачиваемого продукта, а также определены условия для выноса скоплений газа и жидкости соответственно из повышенных и пониженных участков трассы трубопровода.

В работе И.А. Чарного автором предложена формула для определения критической скорости перекачки нефтепродукта, при которой происходит вынос газожидкостных скоплений:

 , (1.9)

где α - угол наклона оси трубопровода к горизонту;

Δρ=ρс - ρ;

ρс - плотность скопления;

ρ - плотность перекачиваемого продукта;

λ - коэффициент гидравлического сопротивления нефтепродуктопровода; D - внутренний диаметр трубопровода.

В работе приводится качественное исследование формы границы раздела между текущей жидкостью и скоплениями конденсата по построению поля изоклин соответствующего дифференциального уравнения; предложена зависимость для определения объема скоплений жидкости в пониженных участках трассы нефтепродуктопровода.

Однако экспериментами А.К. Галлямова было установлено, что это соотношение дает завышенное значение критических скоростей. Одной из причин такого отклонения результата расчета от фактических скоростей выноса скоплений явилось то, что полученные выводы были сделаны без учета циркуляции газа или жидкости внутри скопления. Поэтому в работах различных авторов делаются попытки внести поправку в формулу А. И. Чарного для ее уточнения. Учет названных факторов был реализован в работе Б.В. Гейера "Повышение эффективности эксплуатации магистральных нефтегазопроводов на основе использования реологических характеристик перекачиваемых веществ", где проведенными экспериментальными исследованиями было обосновано, что наличие газового скопления создает дополнительное гидравлическое сопротивление в нефтепродуктопроводе и приводит к уменьшению его производительности. На основании обработки данных лабораторного эксперимента, представленного в работе А.К. Галлямова "Исследование по повышению эффективности эксплуатации нефтегазопроводов" и проведенного на кафедре трубопроводного транспорта Уфимского нефтяного института, получена полуэмпирическая зависимость для определения скорости потока перекачиваемого продукта, обеспечивающей вынос скоплений из пониженных участков трубопровода:

 (1.10)

где ν0 - отношение коэффициентов кинематической вязкости нефтепродукта и жидкого скопления. Остальные обозначения соответствуют обозначениям (1.9).

Кроме того, в названной работе получено соотношение для определения объема скопления конденсата в газопроводе и весового расхода газа, при котором происходит полный вынос скопления конденсата из пониженных участков нефтепродуктопровода:

 (1.11)

где ω - площадь поперечного сечения нефтепродуктопровода;

ρн, Рн - плотность и давление скопления газа в нижней точке трубопровода.

Однако в практике трубопроводного транспорта нефтепродуктов нередки такие ситуации, когда пропускной способности трубопровода бывает недостаточно для обеспечения выноса скоплений перекачиваемым продуктом. В подобном случае единственным способом вытеснения скоплений из трассы трубопровода является пропуск очистного устройства. В работе А.К. Галлямова "Исследование по повышению эффективности эксплуатации нефтегазопроводов" представлены результаты проведения лабораторных испытаний по выносу скоплений жидкости и газа соответственно из пониженных и повышенных участков трассы трубопровода вязкоупругим разделительным поршнем длиной около 50 диаметров трубопровода. Аналогичные эксперименты в промышленных условиях описываются в работе М.Х Ведзижева.

Для проверки полученных теоретических зависимостей для определения скорости выноса скоплений жидкости и газа на кафедре нефтегазовой и подземной механики МИНХиГП были проведены лабораторные эксперименты на стеклянной модели "рельефного" трубопровода, в которых рассматривался механизм образования скоплений жидкости или газа отдельно в восходящих и нисходящих участках лабораторной модели трубопровода.

Эксперименты показали, что при движении жидкости и газа на нисходящих участках при скорости, недостаточной для выноса скоплений перекачиваемым продуктом, образуются "шапки" газа. По мере подхода газа они увеличиваются в размерах по длине и прорываются через концевое сечение. После прорыва газа имеет место раздельное движение газа и жидкости, причем газ движется очень медленно. При этом величина потерь давления, определенная и по формуле А.И. Чарного, и по экспериментальным данным, практически совпадает.

На восходящем же участке трубопровода газ движется гораздо быстрее, чем жидкость. Медленно движущаяся жидкость накапливается, занимая от 15% до 80% поперечного сечения трубопровода. С увеличением количества жидкости, задерживающейся в пониженном участке трубопровода, возрастает и потеря давления. Поэтому движение газожидкостной смеси, происходящее чаще всего в пробковом режиме, можно уподобить движению газа при наличии скоплений в трубопроводе.

По результатам проведенных в работе А.К. Галлямова "О потерях давления при движении газожидкостных смесей в "рельефном трубопроводе"" исследований автором сделаны выводы о том, что на ниспадающих участках трубопроводов, перекачивающих газожидкостные смеси, при скоростях, недостаточных для выноса скоплений, происходит раздельное движение жидкости и газа, тогда как на восходящих участках при аналогичных условиях перекачки продукта наблюдается аккумуляция жидкости, которая вызывает интенсивные колебания давления. При отсутствии "захлебывания" трубопровода потерю давления и размеры живого сечения трубопровода можно с достаточной степенью точности определять по формулам А. И. Чарного. Проведенные эксперименты обосновывают необходимость при гидравлических расчетах трубопроводов, перекачивающих газожидкостные смеси, определять потерю давления отдельно на нисходящих и восходящих участках трассы.

В работе А.К. Галлямова, И.Р. Байкова, P.M. Аминева "Оценка эффективной скорости выноса водяных и газовых скоплений из трубопроводов" предлагается ввести поправку к формуле А.И. Чарного в виде коэффициента Кж:

 (1.12)

где Кж=[2,435 · (sinα)0,271 - 1] · [0,065 · 1nv0 - 0,278] +0,564 - 0,133 - 1nv0.

Дальнейшее исследование полученной формулы (1.10) реализовано в ОАО "Сибтранснефтепродукт". В работе Ф.И. Багаутдинова "Очистка магистральных нефтепродуктопроводов от скоплений воды" автором подчеркивается, что проблема образования газовых и жидкостных скоплений особенно актуальна для трубопроводов Сибири, где пересеченная местность преобладает в ландшафте региона. Кроме того, в последние годы специфика развития экономики России такова, что значительное время в течение эксплуатации нефтепродуктопроводы вынужденно работают с неполной загрузкой на уровне 25 - 30% от номинальной производительности. Этот факт также создает благоприятные условия для образования газожидкостных скоплений в пониженных и повышенных участках трассы.

В рамках решения поставленных задач рассматриваются магистральные нефтепродуктопроводы "Омск-Сокур" на участке "Чулым-Сокур", "Омск- Петропавловск" - восходящий участок па переходе через р. Иртыш. "Сокур - Кемерово" (Плотниково). Критическая скорость перекачки нефтепродукта, соответствующая началу выноса скоплений, определяется таким же образом, как и в работе А.К. Галлямова. Автором уравнение (1.10) было решено относительно критического расхода нефтепродукта Qкр, выше которого происходит вынос образовавшихся в трубопроводе скоплений:

 (1.13)

обозначения в которой совпадают с упомянутыми выше.

В результате проведенных теоретических исследований автором сделаны выводы о том, что в восходящих участках нефтепродуктопроводов при близких значениях вязкости скопления и перекачиваемого продукта требуется меньшая скорость перекачки, соответствующая выносу скоплений. Сравнительный анализ результатов вычислений Qкр с пропускной способностью некоторых нефтепродуктопроводов ОАО "Сибтранснефтепродукт" позволил установить, что, в частности, в подводном переходе через р. Обь КПП "Омск-Сокур" условий для образования газожидкостных скоплений нет. Для удаления же скоплений воды в подводном переходе через р. Иртыш (НПП "Омск-Петропавловск", перекачивающий дизельное топливо) необходимо запускать НС "Исилькуль". Наиболее сложная ситуация возникает при эксплуатации магистрального нефтепродуктопровода "Сокур-Плотниково" в режиме "Сокур-Кемерово", где пропускной способности трубопровода и мощности НС недостаточно для обеспечения критических расходов нефтепродукта. В данной ситуации удаление образовавшихся скоплений жидкости должно производиться пропуском по трассе очистных устройств.

Вопросы идентификации условий выноса скоплений жидкости и газа из пониженных и повышенных участков трубопроводов рассматриваются и в работах ГАНГ им. И.М. Губкина. Авторами предлагается для уточнения формулы И.А. Чарного учитывать поверхностное взаимодействие потоков перекачиваемого продукта и скопления жидкости. В рамках изучения поставленной проблемы были проведены теоретические и экспериментальные исследования на реальных нефтепродуктах - дизельном топливе и бензине, в результате которых было получено соотношение для определения минимальной скорости выноса жидкостных скоплений перекачиваемым нефтепродуктом:

 (1.14)

где Сf0 и Cf - коэффициенты поверхностного трения на границе раздела фаз "нефтепродукт - скопление" и стенках трубопровода соответственно.

Для определения Cf0, прежде характеризующегося весьма значительной неопределенностью, были проведены эксперименты на реальных нефтепродуктах, перекачиваемых ЛПДС "Володарская" АО "Мостранснефтепродукт". В результате обработки статистического материала было получено соотношение:

 (1.15)

позволяющее определять коэффициент поверхностного натяжения Cf0 на границе раздела перекачиваемого нефтепродукта и образовавшегося жидкостного скопления. К сожалению, авторами не приводятся результаты сравнения расчетных и фактических значений скоростей выноса скоплений, что оставляет открытым вопрос об окончательном выборе соотношения, наиболее адекватно определяющего критическую скорость перекачки нефтепродукта.

Вопрос вытеснения газовых скоплений из нефтепродуктопроводов изучался и в ряде исследовательских работ, проведенных в Уфимском нефтяном институте [51, 61]. Лабораторные эксперименты позволили установить, что при достаточной скорости перекачки газовое скопление удаляется транспортируемой жидкостью в виде сплошной газовой пробки. Обработка статистического материала привела к эмпирическому соотношению для определения скорости перемещения газовой пробки в нисходящем участке трубопровода, наклоненного к горизонту под углом а, следующего вида:

 (1.16)

где Wг - скорость перемещения газовой пробки;

WЖ - средняя скорость перекачки нефтепродукта.

С целью проверки полученных эмпирических зависимостей был поставлен промышленный эксперимент по определению истинных скоростей перемещения газовых пробок в потоке перекачиваемого нефтепродукта. Исследования были проведены на отводе к Иглинскому нефтеродуктопроводу от магистрального нефтепродуктопровода "Уфа - Омск" и "Уфа - Петропавловск". Сравнительный анализ измеренных фактически скоростей с расчетными значениями скорости движения газовых пробок установил, что фактические скорости во всех случаях перекачки нефтепродуктов (бензина А-76, дизельного топлива ДЛ-02-40) были выше расчетных значений в среднем на 6,4%, что соизмеримо с погрешностью эксперимента.

Анализ данных промышленных и лабораторных экспериментов позволил установить, что практически всем контролируемым при эксплуатации трубопроводов параметрам присуща значительная дисперсия. Это свойство исходных данных при отдельных сочетаниях условий эксперимента приводит к определению поправочного коэффициента Кж с погрешностью до 70%. В работе И.Р. Байкова, Т.Г. Ждановой, Э.А. Гареева "Моделирование технологических процессов трубопроводного транспорта нефти и газа" авторами предлагается ряд математических методов обработки данных эксперимента, способствующих наиболее полному использованию априорной информации и существенному уточнению результатов расчета скоростей выноса скоплений. В частности, на примере данных промышленной эксплуатации одного из нефтепродуктопроводов было установлено, что если традиционные методы определяют Кж с погрешностью около 50%, то метод асимптотических координат, предлагаемый как альтернатива классическим методам математической статистики, позволяет снизить ошибку вычисления названного коэффициента до 10%.

В работе А.К. Галлямова и др. "Оценка скорости выноса скоплений жидкости из пониженных участков трубопроводных систем", посвященной вопросам применения методов математического моделирования к решению проблем трубопроводного транспорта нефтепродуктов, использовалось соотношение (1.10) для уточнения значения критической скорости выноса скоплений из трубопровода. В результате несложных преобразований формула А.И. Чарного была приведена к виду:

w=а·(sinα)b. (1.17)

На стадии обработки статистического исходного материала авторами работы делается вывод о том, что внесение ошибок в измерения и зависимой переменной, и аргумента рассматриваемой линейной модели значительно усложняет задачу статистического исследования гидродинамических характеристик продуктопровода. Для повышения достоверности определения параметров а и b авторами обосновывается реализация схемы конфлюэнтного анализа обработки диспетчерских данных, предложенной В.В. Кафаровым для оценки состояния магистральных газопроводов.

Предложенный метод позволяет производить оценку параметров монотонных эмпирических зависимостей по экспериментальным данным, измеренным с высоким уровнем шума. При этом дисперсия адекватности уменьшается в 4...5 раз по сравнению с оценкой параметров, полученной стандартным методом наименьших квадратов.

В результате анализа материалов, опубликованных по вопросам механизма образования газожидкостных скоплений и их влияния на гидравлические характеристики нефтепродуктопроводов, можно сделать вывод о том, что задача идентификации скоплений жидкости или газа в полости трубопровода и его объема по-прежнему является весьма актуальной. Рельеф трубопровода и его геометрические характеристики не всегда позволяют реализовать вытеснение скопления перекачиваемым продуктом, поэтому реально существует потребность в разработке технически и экономически эффективных очистных средств.

1.3     Методы очистки нефтепродуктопроводов от внутритрубных отложений и скоплений воды и газов

Проведенный обзор работ, посвященных исследованию основных факторов, осложняющих эксплуатацию нефтепродуктопроводов, показал, что в подавляющем большинстве случаев удалить скопления жидкости и газов и уменьшить гидравлическое сопротивление НПП можно лишь на основе применения специальных средств очистки.

Очистка внутренней полости магистральных трубопроводов является регулярной операцией. Это объясняется тем, что еще в процессе строительства любого трубопровода возникает необходимость очистки готовых участков от строительного мусора, а после гидравлических испытаний на прочность -полного удаления опрессовочной воды [107].

При эксплуатации НПП на внутренней поверхности труб образуются смолистые отложения, а также металлоотслоения и окалина, являющиеся результатом непрерывной коррозии металла. По этой причине в перекачиваемых по трубопроводу нефтепродуктах имеются механические примеси, ухудшающие их качество. Таким образом, с момента сооружения и до конца эксплуатации существует необходимость в очистке их внутренней полости. Эту операцию производят одним из следующих способов: промывкой с пропуском очистных поршней или поршней-разделителей, продувкой с пропуском очистных поршней, а при необходимости и поршней-разделителей, продувкой без пропуска очистных поршней. Необходимость, возможность, а также качественные критерии каждого из этих способов определены нормативными требованиями СНиП Ш-42-80. С целью повышения качества очистки полости трубопроводов, монтируемых без применения внутренних центраторов, нормативами предусматривается предварительная очистка полости способом протягивания [48].

На магистральных трубопроводах наибольшее распространение получил способ механической очистки внутренней полости с помощью скребков, разделителей, поршней и т.д.

Для реализации этого способа очистки разработано и применяется различное специальное оборудование: камеры пуска и приема очистных устройств, различные конструкции очистных устройств, методы и средства их обнаружения в трубопроводах, устройства для удаления выносимых из трубопровода загрязнений.

Конструкции, применяемые для очистки магистральных газонефтепроводов, по принципу действия (по принципу удаления загрязнений) и области применения можно разделить на две группы [107].

К первой группе относятся устройства, которые в процессе движения вытесняют загрязнения из трубопровода с помощью уплотнительных элементов, перекрывая сечение трубопровода, обеспечивая вынос загрязнений и остатков нефтепродуктов из полости и перепад давлений, необходимый для движения устройства. К первой группе можно отнести разделители РШ, РМ-ПС, ОПР-М с полиэтиленовыми манжетами, ДЗК, ГРВС и другие. В основном они используются для разделения жидкостей, перекачиваемых по трубопроводу, и для очистки его внутренней поверхности.

Процесс очистки контролируют по показаниям манометра на узле подключения, а также по интенсивности выхода и степени загрязненности вытесняемой среды. Перемещение поршней-разделителей типа ОПР-М, ОПР-М-Э, РМ-ПС можно контролировать прибором "Волна", монтируемым на металлическом корпусе этих поршней.

Особенностью устройств второй группы является то, что они предназначены для разрушения, снятия и выноса отложений с внутренней поверхности стенки трубопровода. Для этого кроме уплотнительных элементов они снабжены специальными очистными элементами: скребками в виде ножа, ножа-щита, щетками.

Благодаря их наличию, эти устройства в процессе движения практически полностью удаляют из трубопровода все виды загрязнений. Из этой группы наибольшее распространение в практике очистки трубопроводов получили щеточные скребки ЩС, ЩСР, ЩСГ.

Уже в первые годы существования трубопроводного транспорта было известно, что пропуск "ерша", снабженного кожаными дисками, через трубопровод удаляет внутритрубные отложения (ВТО), повышая пропускную способность трубопровода без увеличения затрат энергии. В дальнейшем это устройство было оборудовано ножами для увеличения его эффективности, что позволило уменьшить необходимое количество пропусков скребка, а следовательно, и стоимость очистки трубопровода.

Трубопроводные скребки применяют как в ходе строительства, так и при эксплуатации НПП [22]. В соответствии с заданным графиком их можно пропускать по трубопроводу либо в одноразовом режиме, либо регулярно. Назначение трубопроводных скребков состоит в следующем: эффективное заполнение, опорожнение и очистка трубопровода, борьба с внутренней коррозией трубопровода, разделение перекачиваемых по трубопроводу продуктов, сбор информации о состоянии трубопровода.

На стадии строительства трубопровода скребки применяют для удаления камней, строительного мусора. Для этого оптимально подходит конструкция со сравнительно плоской передней поверхностью для предотвращения перекатывания скребка через посторонние предметы, находящиеся в трубопроводе.

При заполнении или опорожнении трубопровода в конструкции скребка должен быть предусмотрен плотный затвор, обеспечивающий его эффективную работу. Опыт эксплуатации НПП показал, что после прохода одного скребка по трубопроводу небольшое количество воды снова накапливается в пониженных участках трассы. Экспериментально было обнаружено, что эффективность процесса повышается, если скребок проталкивать сухим газом (воздухом, азотом, метаном); сухой газ подберет пары воды и осушит трубопровод.

В случае ограниченности запасов воды в данной местности или невозможности ее сброса возникает необходимость возврата опрессовочной воды. Для этих целей используются двухходовые скребки, снабженные надежными уплотнениями для возможности движения в обоих направлениях вдоль оси трубопровода. Недостатком их является невысокое качество уплотнений по сравнению с одноходовыми скребками.

Скребки с коническими манжетами представляют собой конструкцию лучшего качества, которое достигается за счет использования пары или группы манжет с уплотняющим воротником на периферии каждой манжеты. Работа такого скребка эффективна при движении его только в одном направлении. Скребок с коническими манжетами гибок и надежен на сотнях километров пути с сохранением герметичности уплотнений.

Непосредственно перед или сразу же после заполнения трубопровода продуктом используют калибровочный скребок, который имеет круглую пластинку-калибр с металлической облицовкой диаметром 92,5% от внутреннего диаметра трубопровода.

С помощью калибровочных скребков из трубопровода удаляются предметы, случайно оставленные в нем, обнаруживаются места овальности труб. Регулярные его пропуски могут выявить деформацию трубопровода задолго до его разрушения. Однако калибровочные скребки не могут выявить небольшие деформации, более того, они сами могут создать гофры и царапины на исправном трубопроводе.

Этих недостатков лишен скребок-нутромер. Благодаря особенностям конструкции, контакт его металлических деталей с металлом трубопровода исключен. Однако любой дефект формы трубопровода скребком регистрируется. Благодаря коническим манжетам и корпусу малого диаметра, крупные препятствия внутри трубопровода нутромер может обходить, а надежное уплотнение обеспечивает возможность использования скребка как эффективного средства заполнения и опорожнения трубопроводов. Регулярные пропуски скребка по эксплуатирующемуся трубопроводу позволяют с небольшими затратами обновлять данные о состоянии трубопровода.

Регулярные пропуски скребков позволяют удалять и жидкостные "карманы" (вода, оставшаяся от строительства или гидростатических испытаний, или вода и конденсат, введенные в трубопровод вместе с транспортируемым продуктом из скважин, танкеров или резервуаров) и передвигать их сплошной массой к концу трубопровода для сброса. Во избежание образования взрывоопасной смеси в трубопровод перед скребком запускают азот или другой инертный газ. Кроме того, это способствует поддержанию противодавления на скребке, что является необходимым при заполнении трубопровода.

Частота пропуска скребков зависит от параметров трубопровода, физических свойств и расхода жидкости и даже от температуры и времени года. У каждого трубопровода свое значение оптимальной частоты пропуска скребков.

Поддержание в чистоте внутренней поверхности трубопровода означает удаление не только посторонних загрязнений, но и продуктов коррозии металла труб. Образование продуктов коррозии и коррозионных каверн снижает пропускную способность трубопровода, кроме того, они могут увеличиться до такой степени, что утоньшение стенок труб станет серьезной угрозой для целостности трубопровода.

Регулярный пропуск скребков со стальными щетками помогает срывать окалину и удалять ее вместе с грязью и водой. Для удаления парафинов и смолистых отложений из трубопровода эффективно применение скребков с ножами, т.к. мягкий парафин и смола склеивают проволочные щетки и препятствуют контакту проволочных концов с внутренней поверхностью трубопровода.

Если в трубопровод постоянно поступает жидкость в виде сконденсированных паров из транспортируемого газа, то надеяться полностью удалить жидкость из трубопровода скребком бессмысленно [23]. В этом случае следует пропускать трубопроводные шаровые разделители, заполненные водой или гликолем, автоматически связав частоту пропусков со временем или потерей давления в трубопроводе.

При выборе того или иного механического устройства необходимо учитывать специфику их воздействия на пристенные отложения. Это положение подтверждается опытом очистки целого ряда отечественных и зарубежных трубопроводов. В частности, ярким примером является опыт очистки трубопровода "Шаим - Тюмень", который неоднократно очищался различными устройствами с различной степенью эффективности.

Различное качество очистки полости нефтепровода "Шаим - Тюмень" было обусловлено применением очистных устройств различной конструкции [50]. Традиционно трубопровод очищался шаровыми разделителями. Анализ показал, что коэффициент эффективности работы нефтепровода после пропуска шара колеблется от 0,82 до 0,91. Это объясняется тем, что шар хорошо срезает малопрочные гелеобразные верхние слои парафина, уплотняя самые прочные, жесткие пристенные слои отложений. Расчеты показали, что эффективная толщина уплотненного пристенного слоя составляет 6 мм. Кроме того, очистка с помощью механических разделителей была сопряжена с остановкой промежуточной НПС на 200 километрах трассы для пропуска разделителя, что сказалось на экономичности перекачки нефти.

В 1974 году этот трубопровод впервые был очищен скребком. Результаты очистки показали, что при этом из трубопровода были вынесены как рыхлые, так и напрессованные слои парафина, а толщина отложений после очистки не превышала 2 мм.

В последние годы появился ряд экспериментальных работ по исследованию эффекта отрицательного давления и использование его для очистки трубопроводов. Отрицательное давление является одним из метастабильных состояний, при котором происходит растяжение жидкости с последующим ее разрывом.

Ф.Г. Велиевым и А.М. Шаммазовым экспериментально была установлена возможность [21, 103] получения отрицательных давлений в реальных гетерогенных системах. В серии лабораторно-экспериментальных исследований [103] изучалось влияние эффекта отрицательного давления на вынос скоплений воды из трубопровода. Были проведены две серии опытов при медленном (в течение 30 сек) и при быстром (0.05. сек) открытии клапана- отсекателя. При этом регистрировалось давление в трубе и определялся объем вынесенных водяных скоплений.

Результаты экспериментов показали, что при быстром раскрытии потока объем вынесенных скоплений воды возрастает примерно в 2 раза. Это дает основание считать перспективным использование эффекта отрицательных давлений в реальных трубопроводных системах для выноса скоплений различной природы.

Основным недостатком механических скребков является то, что в процессе очистки НПП неизбежно изнашивается металл стенки труб, возникают царапины и подрезы, что дополнительно уменьшает и без того незначительный остаточный ресурс трубопроводов.

Кроме того, механические средства полностью непригодны для очистки НПП переменного сечения и сложного профиля, к каким относится большинство действующих нефтепродуктопроводов.

Для очистки подобных НПП используются системы нового поколения - эластичные гельные разделители на основе гидрофильных полимеров [82]. Промышленное использование подобных систем на магистральные нефтепроводах "Нижневартовск-Усть-Балык" и "Шаим-Тюмень" позволило увеличить их пропускную способность на 7-9% и уменьшить рабочее давление [50].

Гелеобразные поршни могут равноценно выполнять большинство функций механических поршней, отличаясь при этом способностью к некоторым химическим реакциям, что позволяет закачать их непосредственно в полость трубопровода [84].

В настоящее время при обслуживании трубопроводных коммуникаций применяются гели 4 типов: гели-разделители партий нефтепродуктов, гелеобразные поршни для выноса мусора из полости трубопровода, углеводородные гели, осушающие гели.

Гельные системы обладают целым набором полезных свойств; псевдопластичностью, вязкоупругостью, когезионностью, способностью к самовосстановлению формы и уменьшению напряжений сдвига. Разделительные гели полностью предотвращают перетоки разделяемых жидкостей, тогда как при применении механических скребков не менее 1% проталкивающей жидкости проникает в проталкиваемую [84].

В работе Р. Пуритона и С. Митчела [118] показано, что разделительный поршень из геля может быть использован самостоятельно или в комбинации с механическим разделителем, в результате чего устраняется опасность застревания последнего. Кроме того, гелевые поршни высокоэффективны для удаления механических разделителей, застрявших в трубопроводе вследствие износа уплотнительных манжет или накопления впереди них мусора. Длина гелевых разделительных поршней колеблется от 60 до 600 метров.

Гелевый поршень для удаления мусора имеет другой состав и свойства, нежели разделительный. Он характеризуется высокой вязкостью и адгезионнстью к загрязняющим материалам, которые захватываются и переносятся в центральную часть гелевого поршня в процессе его движения, поэтому опасность его застревания сведена до минимума. Так как гелевые поршни легко диспергируются водой, спереди и сзади они должны быть изолированы разделительными поршнями, чтобы избежать их контакта с водой. Но даже при некотором растворении водой очистной поршень удерживает определенное количество загрязнений, тогда как при полном сохранении целостности его несущая способность возрастает в 4 раза при том же самом давлении проталкивания.

Углеводородные гели, или органогели, с использованием в качестве дисперсионной среды дизельного топлива или керосина характеризуются высокой степенью герметичности при использовании их в качестве разделителей. Органогели весьма эффективны для удаления накопившейся воды, мусора из нефтепроводов и конденсата из газопроводов. В гелях такого рода массовая доля ингибиторов коррозии может быть доведена до 20%, что доказано на газопроводных системах ФЛАГС и "Статпайп".

Осушающие гели на основе, например, спиртов используются для повышения эффективности осушки полости трубопроводов. Образовать гель из такого осушающего растворителя, как метанол, можно путем использования другого биодеградируемого полимера - производной целлюлозы. Применение такого геля может сократить число прогонов механических поршней.

В отечественной практике, для разделения потока различных нефтепродуктов при перекачке их по нефтепродуктопроводу переменного сечения в качестве универсальных полимеров-разделителей И.Н Порайко, П.П. Беляниновым и В.П. Соколович предложено использовать высокоэластичные упругие студни частично сшитого метилольного полиакриламида ПАА, нерастворимые в нефтепродуктах и набухающие в воде [96].

Практическая реализация полного разделения потока на магистральных трубопроводах большого диаметра и переменного сечения гельными системами была осуществлена в феврале 1981 года на конечном участке вновь построенного нефтепровода "Сургут-Полоцк" при вытеснении опрессовочной воды нефтью. При этом было сохранено полное разделение безводной нефти и опрессовочной воды на контрольном участке длиной 88 км, где наблюдалось полное вытеснение воды без следов нефти и запаха углеводородных паров.

В настоящее время к полимерным составам, применяемым в трубопроводном транспорте нефти и нефтепродуктов, предъявляются следующие требования [75]:

-          высокая поверхностная и объемная активность не только в лабораторных, но и в реальных гидродинамических условиях;

-          высокая технико-экономическая эффективность;

-          повышенные адсорбционная и адгезионная и пониженная десорбционная способность в динамических условиях;

-          ярко выраженное флокулирующее действие на коллоидно-дисперсную фазу гидрофобных сред;

-          способность снижать коллоидную растворимость воды в нефти;

-          способность образовывать на стенках трубопровода гидрофильный слой полимера в результате прокачки его рабочего раствора, предохраняющий поверхность металла от действия электролитов и кристаллизации пристенных отложений;

способность сохранять и повышать эффективность действия других реагентов и деэмульгаторов,

-          значительный молекулярный вес, высокая эластичность и набухаемость макромолекул,

-          удовлетворительная стабильность к механической и термической деструкциям и способность создавать скользящий пограничный слой, способствующий снижению пристенного трения жидкости.

В той или иной мере вышеперечисленным требованиям удовлетворяют полиакриламид (IIAA, АМФ) и его модификация (МПАА), карбоксиметил- целлюлоза (КМЦ), полиакрилонитрил (гипан), поливиниловый спирт (ПВС).

На сегодняшний день наиболее доступна технология формирования полимерной "пробки" при использовании 1,2...1,8 %-ного МПАА с сохранением текучести в течение 3...4 суток и очистных свойств в течение 20 и 772 суток соответственно для АМФ и ПАА. Образование полимерной "пробки" на основе 1,5...7,5%-ного МПАА идет при любой положительной температуре нефти при наличии твердых осадков в присутствии доступных наполнителей (глины, песка, пемзы, древесных опилок). Продолжительность формирования нерастекаемой пробки сокращается с 3 суток до 4...6 часов при использовании 4...7,5%-ного МПАА. При нагреве 1,2 и 1,8%-ного МПАА до 45...65 °С время формирования пробки сокращается соответственно до 2 часов и до 35... 55 минут, при этом повышаются эксплуатационные свойства МПАА и сокращается его расход.

Через любое удобное время от 2 часов до 300 суток полученный разделитель вытесняют нефтяным потоком со скоростью не менее 0,2 м/с по схеме запуска скребка. Режим эксплуатации нефтепровода при этом существенно не изменяется. Прием выносимых скоплений осуществляется в отдельный резервуар в конечном пункте нефтепровода или на НПЗ.

Представляют интерес результаты промышленных испытаний, проведенных на трубопроводе, транспортирующем мангышлакскую нефть. Интенсивная внутренняя коррозия сероводородом и сульфовосстанавливающими бактериями на участках скоплении воды поставили проблему своевременного удаления жидких скоплений и механических примесей (продуктов коррозии, глины, песка), осаждающихся на внутренней поверхности трубопровода.

Пониженная прочность стенок трубопровода, подвергнутого интенсивной коррозии, не позволяла пропустить устройства механической очистки. Поэтому на опытном участке "Жетыбай-Шевченко" горячего нефтепровода "Узень-Шевченко" был использован водорастворимый ПАА с адгезионными добавками.

В результате пропуска по участку полимерной пробки длиной 25 метров из полости трубопровода было вытеснено свыше 30 т механических примесей. Однократный пропуск полимерной пробки по участку "Жетыбай-Шевченко" нефтепровода "Узень-Шевченко" позволил полностью очистить полость среднего участка и увеличить производительность всего нефтепровода на 3-7% в течение 30 суток эксплуатации и на 2 - 3% в течение 8 месяцев последующей бесперебойной работы.

Применение вязкоупругих разделителей, обладающих рядом преимуществ, может вызвать осложнения, связанные с их низкой механической прочностью. Разрушение разделителя вызывает не только некачественное разделение нефтепродуктов, но и повышение гидравлического сопротивления трубопровода в случае повышенной адгезии к внутренней поверхности трубы нерастворенного в нефтепродукте разделителя.

В связи с вышеуказанным, представляют интерес исследования Р.Я. Хайбуллина, А.М. Шаммазова и Р.Я. Шарифуллина по оценке устойчивости вязкоупругой разделительной среды в различных гидравлических режимах вытеснения [108]. По результатам лабораторных экспериментов ими было установлено, что скорость движения границы контакта нефтепродуктов и силы поверхностного натяжения в этой зоне влияют на качество вытеснения вязкой жидкости вязкоупругими разделителями.

Промышленные испытания гельных разделителей проводились и на участке               нефтепровода Подкумок 11-Армавир протяженностью 234 км и диаметром 500 мм, имеющем сложный профиль в сочетании со скоплениями газа и воды с механическими примесями в повышенных и пониженных участках соответственно [88]. Разделительная пробка объемом 2,5 м3 запускалась в смесевую зону контакта дизельного топлива и автомобильного бензина. В зоне контакта нефтепродуктов наблюдался выход большого количества воды и воздуха, а также наличие механических примесей в отобранных пробах. Вытесненный из полости трубопровода объем воды составил 15 м3.

Эффективность гелей показал и опыт очистки морского газопровода ФЛЭГС перед его вводом в эксплуатацию [16]. С момента окончания его укладки на морское дно в 1978 году трубопровод оставался наполненным водой под атмосферным давлением. Лабораторные испытания и предварительные расчеты показали, что общее количество осадков в газопроводе (хлопья защитного слоя латэкса, окалина, ржавчина, шлак от проведенных сварочных работ) оценивается значением 350 т. Для очистки этого трубопровода была использована гельная смесь полимера "Кельцан-ХС" с пресной водой. Особенностью этой системы являлась ее способность к саморазрушению при достаточно длительном контакте с морской водой.

Схема очистного комплекса при средней скорости потока 0,305 м/с представляла собой комбинацию из трех порций "Кельцана-ХС", разделенных механическими модифицированными скребками, общей длиной 5490 метров и двух порций буферной жидкости в голове и хвосте очистного комплекса, каждый длиной по 610 метров. Очистной комплекс был введен в газопровод на береговом склоне Шотландии Сент-Фергюс и выведен на морском дне в северной части Северного моря через 17 суток.

Последующие гидравлические расчеты показали, что из трубопровода с помощью этой системы было извлечено около 320 т осадков. Разгрузка очистного комплекса была произведена непосредственно в море. Через несколько часов после окончания разгрузки взятые на анализ пробы воды не содержали никаких следов геля.

Гидравлические  характеристики трубопровода после очистки существенно улучшились, шероховатость внутренней поверхности стенок трубопровода уменьшилась на порядок.

Еще одним достоинством гельных систем является то, что, истираясь, гели образуют па внутренней поверхности труб тонкий вязкоупругий подслой, который уменьшает шероховатость стенок труб и препятствует образованию ВТО. Поэтому в некоторых случаях используется двухстадийная очистка.

Эта схема была применена при очистке МНП "Нижневартовск-Усть- Балык" высоковязкими полимерами [77], которые, как показали исследования И.Н. Порайко и С.К. Василенко, имеют ярко выраженные очистные и антифрикционные свойства [78, 79] при малых концентрациях в потоках воды и нефти.

На первом этапе в нефтепровод непрерывно подавали 0,8%-ный водный раствор ПАА в количестве 3 г/т, в результате чего через 20 часов производительность трубопровода увеличилась на 1,2 - 1,5%.

На втором этапе были использованы высоковязкие гели 8%-ного ПАА в количестве 3,5 т. В результате пропуска гелеобразного поршня по основным и резервным ниткам нефтепровода в резервуары поступило более 800 т жидких скоплений и механических примесей в виде текучей суспензии, а на решетках фильтров НПС было обнаружено большое количество мелких предметов.

Высокого качества очистки полости нефтепровода удалось достигнуть с помощью высоковязких гелевых разделителей на участке 0 - 208 км нефтепровода "Мичуринск-Кременчуг" диаметром 729 мм [80]. При интенсивной парафинизации полости трубопровода частые пропуски механических скребков привели к спрессовыванию парафиносмолистых отложений, которые невозможно было полностью удалить известными способами [25].

Испытания проводились в ноябре, когда парафинизация полости трубопровода наиболее интенсивна. После перемешивания компонентов смесь была выдержана в течение 60 часов с образованием эластичной пробки длиной 11-12 метров. По мере продвижения пробки по нефтепроводу ее объем увеличился до 1000 м3. В дальнейшем было произведено отделение грязепарафиновой суспензии от выносимых крупных частиц повышенного объемного веса. Для этой цели выносимые скопления были пропущены по параллельной нитке на 176 - 208 км без отключения основной, по которой происходило дальнейшее движение основной массы грязепарафиновой суспензии. Крупные агломераты оседали в полости резервного трубопровода. Выпавшие скопления были удалены пропуском по лупингу резинового шара-разделителя. Вскрытие камеры пуска скребка, узла фильтра-грязеуловителя подводящих линий показало наличие большого количества (190 - 200 шт.) напрессованных парафиносмолистых дисков, шаров, эллипсоидов весом от 6 до 15 кг. В полости камеры приема скребка были обнаружены отдельные парафиновые диски диаметром до 800 мм. Прочность этих образований в начальный период была незначительна и они легко разрушались до мелких частиц на решетках фильтров и в насосных агрегатах.

На заключительном этапе испытаний через 15 суток по уже очищенному участку был пропущен резиновый шар-разделитель, который был принят в камеру скребков без парафиносмолистых отложений, что свидетельствует о высоком качестве очистки трубопровода высоковязким эластичным поршнем.

Весьма интересен и опыт еще одной очистки нефтепровода "Шаим- Тюмень", отложения на внутренней поверхности которого обладают повышенной пластичностью. Опасность разрушения МНП щеточным скребком заставила использовать для удаления парафинистых отложений полимерный гель [50]. Запуск полимера осуществлялся по общей схеме проталкивания скребка путем включения потока нефти через камеру запуска разделителя. Цилиндрическая очистная пробка длиной около 4 диаметров трубопровода из 0,36 м3 8%-ного ПАА была сформирована после 7-8 часов движения по нефтепроводу, легко скользя через местные сопротивления трубопровода [64] со средней скоростью потока 0,84...0,85 м/с. В результате однократного пропуска очистной пробки из водорастворимого полимера было снижено давление на выкиде станции на 0,2 МПа и увеличена часовая производительность, что соответствовало изменению данных параметров после пропуска резинового шара. После прохождения полимерной пробки по участку был запущен щеточный скребок, действие которого не обеспечило заметного эффекта, что подтверждает достаточную очистку полости нефтепровода высоковязким гелем ПАА.

На второй стадии экспериментов проводилась непрерывная дозировка на прием подпорного насоса водных растворов полимеров с целью ингибирования процесса повторного образования парафиносмолистых отложений. Предварительные опыты показали, что водный раствор полиакриламидного состава оставляет на внутренней поверхности трубопровода мозаичный гидрофильный слой толщиной 0,5 - 0,8 мм. Полученная пленка удерживалась в течение продолжительного времени (около 6 мес.) последующей эксплуатации нефтепровода при пониженных потерях давления и замедлении образования парафиновых отложений, что позволило обойтись без каких-либо специальных работ по борьбе с отложениями парафина на ингибированном участке длиной около 100 км.

Проведенный обзор опубликованных научных исследований, посвященных вопросам очистки магистральных трубопроводов от ВТО различной природы, показал, что наиболее перспективными средствами очистки изношенных трубопроводных коммуникаций являются гельные полимерные системы, которые обеспечивают безопасное послойное удаление отложений и вытеснение водяных и газовых скоплений.

На основании проведенных в первой главе исследований можно сделать следующие выводы.

Существующий на сегодняшний день остаточный ресурс нефтепродуктопроводов не позволяет применять при их очистке от внутритрубных отложений и скоплений воды и газов жесткие механические скребки, травмирующие внутреннюю поверхность НПП.

Уменьшение объемов перекачки нефтепродуктов не позволяет увеличивать скорости потоков нефтепродуктов до критических величин, обеспечивающих вынос жидкостных и газовых скоплений из застойных зон рельефных участков НПП. В сложившейся ситуации наиболее перспективными средствами очистки являются органические и водорастворимые гели, способные проводить очистку НПП сложного профиля и переменного диаметра.

Используемые гельные очистные системы имеют достаточно низкую износостойкость и большую длину, что требует при их использовании применения специального оборудования для закачки их в трубопроводы.

Актуальным представляется создание гельных систем повышенной износостойкости, объединяющих достоинства как механических скребков, так и полимерных гелей, применение которых не требует использования и модернизации имеющихся узлов приема-запуска разделителей.

2.       Технологическая часть

Приведенный в первой главе анализ эффективности применения различных средств очистки внутренней поверхности трубопроводов показал, что в настоящее время наблюдаются устойчиво выраженные тенденции к использованию для этой цели гельных сред на полимерной и углеводородной основе.

Для нефтепродуктопроводов (НПП), которые не образуют отложения парафинов и асфальто-смолистых веществ, обладающих наибольшей степенью адгезии к внутренней поверхности труб, гельные очистные системы представляются наиболее эффективными средствами уменьшения гидравлического сопротивления НПП и ликвидации газовых и водяных скоплений. Кроме того, гельные системы сравнительно дешевы и могут использоваться в трубопроводах переменного сечения, без устройства дополнительных камер приема-запуска разделителей. Необходимо также учитывать и современный уровень надежности НПП. Дополнительные риски и надрезы, возникающие при использовании механических средств очистки, ни в коей мере не способствуют уменьшению интенсивности отказов линейной части. Таким образом, особую актуальность приобретают задачи выбора составов и рецептуры приготовления гельных очистных устройств позволяющих получить удовлетворительное качество очистки с учётом реальных условий эксплуатации конкретных нефтепродуктопроводов.

.1       Разработка составов и способов изготовления гельных очистных систем

С учетом высказанных выше соображений о требованиях к очистным устройствам, использующимся на современных трубопроводах, мы придерживались следующего плана проведения экспериментов по созданию рецептуры гельных очистных систем.

Основой гельного очистного устройства должен быть инертный и пожаровзрывобезопасный водорастворимый или углеводородный полимер.

Определяющими факторами, влияющими на рецептуру и порядок изготовления подобного очистного устройства, должны являться сравнительная дешевизна и доступность полимера.

Полимерное гельное устройство должно быть достаточно инертно в перекачиваемой среде, при наличии возможности одновременного регулирования продолжительности существования самой гельной среды.

И, наконец, основным требованием явилось наиболее эффективное качество очистки, уменьшающее гидравлическое сопротивление трубопровода до состояния близкого к проектному.

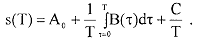
Для решения этой многофакторной задачи нами использовались основные положения теории планирования инженерного эксперимента, в соответствии с которыми оптимум определяется по математической модели объекта исследования [1].

В общем виде модель объекта исследования имеет вид [1]

Y=f(Х,В), (2.1)

где: Y - переменная состояния объекта исследования, (качество очистки в % относительно новых труб);- матрица факторов, регулируемых в процессе проведения экспериментов;

В - матрица коэффициентов.

Коэффициенты В можно интерпретировать, как коэффициенты ряда Тейлора, в который удаётся разложить функцию (2.1). В соответствии с рекомендациями [40, 52, 104, 106] и конечностью выборки полученных экспериментальных данных, нами использовался следующий вид математической модели исследования гельных очистных систем:


где b0, bi - оценка элементов матрицы факторов B в уравнении (2.1);i - регулируемые факторы эксперимента.

В математической теории планирования инженерного эксперимента разработаны оптимальные планы получения математических моделей подобных (2.2) и использования их для поиска экстремума. Планы экстремального эксперимента реализовались нами в соответствии с концепцией последовательного анализа [1]. В соответствии с этой концепцией нами были выделены две переменные, характеризующие процесс очистки внутренней поверхности нефтепродуктопроводов: у1 - качество очистки (в %), у2 - стоимость гельной очистки системы (с учётом технологичности ее изготовления), определяемая ценой составляющих её ингредиентов.

Проведенные предварительные исследования ассортимента выпускаемой продукции предприятий химической промышленности России, позволили выделить наиболее перспективные для наших целей гелеобразующие полимеры:

- на водной основе: полиакриламид (ПАА);

- на углеводородной основе: синтетический каучук (СКИ-3), гуттаперча (ГС), бутил каучук (БК), бутадиеновый каучук (СКД-2), сополимер стирола с бутадиеном СКМС-30, маслонаполненный сополимер стирола с бутадиеном (АРКМ-15).

Поскольку наименее токсичным и наиболее инертным гелеобразующим полимером является ПАА, то исследования по созданию гельных систем предназначенных для очистки нефтепродуктопроводов были начаты именно с него. Рассмотрим процесс выбора оптимального состава гельной очистной системы (ГОС), основанной на использовании теории инженерного эксперимента.

Проведенный в первой главе анализ применения гельных полимеров в практике трубопроводного транспорта нефти и газа позволил нам выделить следующие значащие факторы, влияющие на очистные и вытесняющие характеристики ГОС: содержание ПАА (в массовых процентах), величина рН водного раствора, масса воды, масса сшивающего реагента, относительная длина ГОС (отношение длины гельной пробки к диаметру трубопровода).

На стадии лабораторных исследований ГОС изготавливалась следующим образом. В заранее подкисленную воду добавлялся сшивающий реагент, после чего раствор тщательно перемешивался. В приготовленную таким образом среду при непрерывном перемешивании добавлялся сухой порошок ПАА. После начала набухания полученного состава, он немедленно заливался в начальный участок лабораторного трубопровода переменного сечения и сложного профиля, где выдерживался до окончания процесса сшивания высокомолекулярных цепочек ПАА. Лабораторный трубопровод предварительно загрязнялся механическими и минеральными добавками, водой, мусором и т.д., совокупный вес и объём которых предварительно измерялся (рисунок 2.1). Вытеснение ГОС производилось как водой, так и нефтепродуктами (дизельное топливо, керосин).

О качестве вытеснения судили по соотношению веса загрязнений до и после очистки. Вес загрязнений измерялся на весах типа ВНЦ марки ВТЦ-10 с погрешностью измерения 5 ·10-3 кг. Масса ингредиентов состава гелеобразного поршня измерялась на рычажных весах типа АДВ-200, погрешность измерений которых составляет 0,1 · 10-6кг.

Для определения максимальных интервалов варьирования факторов в инженерном эксперименте нами были проведены предварительные исследования. Результаты этих экспериментов показали следующее.

1 - сосуд для изготовления ГОС;

- экспериментальный трубопровод переменного сечения, L=6,5 м;

3 - камера ввода (запуска) ГОС;

- емкость для сбора вытесненных материалов;

5 - вентили.

Рисунок 2.1 - Лабораторная установка для моделирования степени вытеснения внутритрубных отложений и инородных скоплений различной природы

Водные растворы ПАА содержащие более 50% ПАА (по массе) имеют хрупкую структуру. К аналогичному результату приводит повышение концентрации сшивающего реагента свыше 20 % и увеличение концентрации ионов водорода свыше рН=5.

Как показано в первой главе работы, длины гелеобразных разделителей могут достичь нескольких километров. Снижение длины ГОС (а значит и снижение её стоимости) при неизменном качестве очистки - одна из главных составляющих поставленной выше задаче планирования эксперимента.

Принимая во внимание рекомендации, представленные в работе А.Х. Мирзаджанзаде, И.Р. Байкова, Б.В. Гейера и др. [13, 32, 83, 92], и нормативные длины существующих камер приема - запуска скребков на магистральных НПП, мы в своих исследованиях ограничили длину ГОС 30 диаметрами очищаемого нефтепродуктопровода.

Используя все вышеперечисленные допущения, окончательно формализуем нашу задачу:

определить состав, который бы обеспечил максимальную степень очистки и вытеснения жидкостных и газовых скоплений при наименьших затратах и принятых выше допущениях по факторам.

В нашем случае, на первом этапе планирования эксперимента, это запишется как

y=b0+b1x1+b2x2+bзxз+b4x4+b5x5, (2.3)

при условии

 (2.4)

где xi - содержание ПАА, величина рH, масса воды, масса сшивающего реагента, относительная длина ГОС, соответственно по индексу i;

ŷ - экспериментальная оценка качества очистки трубопровода.

Заметим, что в уравнении (2.4) отсутствует такой фактор, как время сшивания ГОС. Это было сделано преднамеренно, так как в работе [13] доказано, что основным фактором, влияющим на продолжительность существования сшитых водорастворимых гелей, при прочих равных условиях, является продолжительность созревания геля.

Влияние этого фактора будет рассмотрено нами ниже в зависимости от конкретных особенностей очищаемых трубопроводов.

Для всех выбранных факторов по результатам предварительного эксперимента была принята следующая область существования факторов:

5%=х1=20%; 0=x2=5,5%; 70%=xз=95%; 5%=x4=15%;

D=x5=30D (D - диаметр трубопровода).

Для реализации этого этапа планирования эксперимента в факгорном пространстве была выбрана область варьирования относительно нулевых уровней:

Δх1=3%; Δх2=0,5(рН); Δхз=3%; Δх4=3%; Δх5=7D.

Для определения коэффициентов уравнения регрессии (2.3) с пятью факторами необходимо провести 25 экспериментов. Однако для получения достаточно точных оценок коэффициентов регрессии можно обойтись и меньшим количеством опытов плана дробного факторного эксперимента (ДФЭ), который является частью от опытов полного факторного эксперимента

Для получения оптимальной модели мною использовался план ДФЭ 25-2 (табл.2.1).

После вычисления коэффициентов регрессии bi мною был проведён статистический анализ уравнения регрессии, который включает три этапа: оценку ошибки опыта, оценку значимости коэффициентов bi, оценку адекватности модели.

Оценка ошибки опыта S20 производилась на основании параллельных опытов в предположении, что условие однородности дисперсии во всех точках факторного пространства выполняется [1].

Величина S20 оценивалась, как


где    уок - значение переменной состояния в центре плана;

yо - среднее значение переменной состояния в центре плана;o - число опытов в центре плана.

Таблица 2.1 - Матрица планирования эксперимента для поиска оптимального состава ГОС на основе ПАА

Наименование

x1

x2

x3

х4

x15

Коэффициенты








регрессии

Нулевой уровень

12,5%

2,75%

82,5%

10%

14D


Интервал варьирования

3%

0,5%

3%

3%

7D

bo=64,3,bt=3,3,b2=2,46, b3=2,1l,b4=-0,91,b5=l,62

Опыты



ПЛАН



Переменные








состояния уи


x0

x1

х2

xз

х4

х5


№1

+ 1

-1

-1

-1

-1

-1

63,8

№2

+ 1

-1

+1

+ 1

-1

72,3

№3

+ 1

-1

-1

+1

+ 1

-1

64,1

№4

+ 1

+ 1

-1

+1

-1

+ 1

78,4

№5

+ 1

-1

+ 1

+ 1

-1

+ 1

81,6

№6

+ 1

+ 1

-1

-1

+ 1

+ 1

70,3

№7

+ 1

-1

+ 1

-1

+ 1

+ 1

62,3

№8

+ 1

+ 1

+ 1

+1

+ 1

- 1

76,3


Дисперсия коэффициентов регрессии оценивалась по формуле:


где N - число опытов.

Оценка значимости коэффициентов регрессии (2.3) осуществлялась по доверительному интервалу Δbi

Δbi=±tc·Sbi, (2.7)

где    tc - кванитль Стьюдента (с уровнем значимости q);

Sbi - среднеквадратичное отклонение соответствующего коэффициента

регрессии. В расчёте был принят 5% уровень значимости.

Пригодность линейного уравнения регрессии для решения задачи поиска оптимального состава ГОС проверялась с помощью дисперсионного анализа, целью которого являлось сравнение оценки дисперсии S2ад, показывающей рассеяние опытных данных переменной состояния уи относительно тех значений переменной уи, которые предсказаны полученным линейным уравнением регрессии и дисперсии воспроизводимости (ошибки опыта):


где    fад=N-(N0-1) - число степеней свободы. Адекватность проверялась оценкой


по критерию Фишера, для степеней свободы f, fo при заданном уровне значимости q.

В результате проведения лабораторных экспериментов было установлено, что наиболее адекватное уравнение регрессии, описывающее качество очистки трубопроводов гельными очистными системами, изготовленными на основе полимера ПАА, имеет следующий вид:

ȳ = 64,3 + 3,3 · x1 + 2,46 · х2 + 2,11· xз - 0,91 · х4 +1,62 · х5.

В результате реализации метода крутого восхождения в опыте № 9 была достигнута наивысшая степень очистки. В соответствии с этим было принято решение о постановке плана ДФЭ типа 25-2. По итогам этих экспериментов была получена искомая модель на основании которой было принято решение о переходе к методу крутого восхождения. Крутое восхождение оказалось эффективным - в опыте №3 была достигнута наивысшая степень очистки трубопровода от внутритрубных отложений (98,1 %).

В результате проведённых исследований было установлено, что ГОС на основе водорастворимого полимера ПАА имеет следующий оптимальный (с точки зрения качества очистки) состав:

рН=2;

вода - 80%;

ПАА - 10%;

сшиваюнщй реагент - остальное.

Предложенный состав может варьироваться за счёт изменения количества воды, в зависимости от типа используемого сшивающего реагента, в качестве которого нами были использованы 40%-ный раствор формальдегида и хромовая смесь.

Выбор того или иного типа сшивающего реагента был обусловлен тем, какие технологические средства запасовки ГОС имеются на конкретном трубопроводе, и каким временем до начала технологической операции по очистке мы располагаем.

Если времени достаточно (сутки и более), то более предпочтительна сшивка формалином, так как в этом случае достигается объёмное сшивание, в отличие от поверхностной сшивки хромовой смесью, что отрицательно сказывается на прочности ГОС.

Проведённые мною исследования ГОС, с использующих в качестве сшивающего агента хромовую смесь, показали, что такой состав является высокоэффективным средством очистки внутренней поверхности трубопроводов, к несомненным достоинствам разработанного разделителя относится быстрота его изготовления. После обработки поверхности полученной ГОС хромовой смесью, она сразу готова к употреблению. Форма разделителя после обработки сшивающим реагентом не изменяется во времени.

Времена релаксации формы ГОС в первоначальное состояние после приложения любых усилий (кроме разрывающих их структуры) составляют величины порядка 2...3 секунд.

Данный агент вполне может использоваться для очистки внутренней полости трубопровода "Монги-Погиби".

Однако в некоторых ситуациях не представляется возможным запасовать изготовленный поршень в трубопровод (отсутствует камера запуска разделителя или нет возможности приостанавливать технологические процессы транспорта нефти и газа). В этом случае в качестве сшивающего агента следует использовать формалин. Замедленная скорость сшивания, кроме увеличения прочностных свойств позволяет заливать или закачивать полученную массу в любое место трубопровода. Полученный раствор полимеризуется непосредственно в трубопроводе в течение 8-24 часов (в зависимости от температуры окружающей среды).

В РГУ нефти и газа имени И.М. Губкина были проведены аналогичные исследования и для полимеров на углеводородной основе. Для углеводородных полимеров в качестве базовых структурирующих систем использовались окислительно-восстановительные инициирующие системы содержащие гидроперекись изопропилбензола (гипериз). Эти системы модифицировались добавками, для ускорения вулканизации и увеличения скорости сшивания макромолекул полимера (сера, акрилаты, стирол).

Для создания гельных систем на углеводородной основе использовалась "холодная" вулканизация эластомеров однохлористой серой, предложенная в работе Б.А. Догадкина [39]. В отличие от широко используемой "горячей" серной вулканизации процесс сшивки полимера протекает при обычной температуре, что позволяет использовать этот способ в полевых условиях непосредственно возле узлов запуска-приёма разделителей.

Предварительные эксперименты показали, что для получения прочных эластичных гелеобразных продуктов необходимо использовать растворы эластомеров в углеводородной среде, причём концентрация полимера не должна превышать 3...5% по массе. В качестве эластомеров используются каучуки общего назначения СКИ-ЗНТ, СКД, СКМС-30 АРКМ-27, СКС-ЗОАКО, СКЭПТ, а также карбоксилосодержащий каучук СКДК, получаемый коагуляцией промышленного латекса СКД-К1С.

Растворителями могут служить бензин, керосин (ТС), дизельное топливо (ДТ), нефть, а также их смеси в различных соотношениях. Однохлористую серу (S2С12) удобно использовать в виде 20-30%-го раствора в том или ином растворителе.

Процесс создания и формирования гелеобразных пробок на углеводородной основе заключалось в следующем. Растворы выбранных выше полимеров и однохлористой серы в различных растворителях смешивались между собой в различных соотношениях. Затем полученная смесь заливалась в камеру ввода состава (позиция 3 рис.2.1) и выдерживалась в течение 5-30 минут, после созревания геля в течение 1-2 часов начинался процесс очистки лабораторного трубопровода (рис.2.1) при условиях, идентичных условиям вытеснения внутритрубных отложений и скоплений воды и газа в опытах с ПАА.

Результаты этих предварительных экспериментов на лабораторной установке, схема которой представлена на рис.2.1, показаны в табл.2.2.

Однако в процессе проведения описываемых экспериментов испытующие столкнулись с таким крайне неприятным фактором, как чрезвычайно высокая адгезия получаемого геля к внутренней поверхности трубопровода. В частности, если в качестве камеры запуска (рис.2.1) использовалась обыкновенная металлическая труба, то гели настолько прочно прилипали к ее внутренней поверхности, что при создании необходимого градиента давления, соответствующего давлению разделителя, происходил пробой тела геля. Очевидно, что подобное свойство углеводородных гелей полностью исключало возможность их промышленного использования.

В связи с этим был проведен комплекс дополнительных экспериментальных исследований по изучению влияния различных добавок на адгезионные свойства гелей на углеводородной основе. Был использован ряд добавок, которые могли бы снизить прилипаемость гелей. Итак, введение в раствор полимера поверхностно-активного компонента ОП-7 в количестве

Таблица 2.2 - Рецептура гельных очистных систем на основе углеводородных полимеров (на стадии предварительных экспериментов)

№ п/п

Полимер % масс

S2C12, % масс

Растворитель, % масс

Время гелеобр., мин.

Характеристика геля*** (визуальная)

1

СКИ-3(3,0)

1,0

Бензин (96,0)

5

Однородный липкий текучий

2

СКИ-3(5,0)

0,5

ДТ (94,5)

5

Однородный липкий вязкий

 3

СКИ-3(5,0)

0,5

ТС (94,5)

5

Однородный липкий вязкий

4

СКИ-3(5,0)

1,0

Нефть (94,0)

10

Однородный липкий эластичный

5

СКС-30(5,0)

0,7

ДТ (94,3 )

5

Однородный липкий эластичный

6

СКС-30(4,0)

0,4

ДТ (94,6)

5

Однородный липкий текучий

7

СКД(5,0)

0,5

Бензин (94,5)

5

Однородный липкий эластичный

8

СКМС-30(5,0)

0,6

ДТ (94,4)

8

Однородный липкий эластичный

9

АРКИ-27(5,0)

0,7

ДТ (94,3)

5

Однородный липкий эластичный

10

СКЭПТ(5,0)

0,5

ТС (94,5)

2 суток

Однородный липкий хрупкий

11

СКЭПТ(5,0)

0,5

ДТ (94,5)

2 суток

Однородный липкий хрупкий

12

СКДК(5,0)

0,5

ТС (94,5)

30

Однородный нелипкий хрупкий

13

СКДК(5,0)

 5,0*

ДТ (90,0)

Мгновенно

Однородный** нелипкий эласт.

14

ОП-2А(8,0)

-

ДТ (91,3)

60-120

Однородный жёсткий.

15

ОП-2А(3,0)

-

ДТ (96,8)

60-120

Однородный текучий


*- структурирование производится ЦИАТИМ-339;

**- в процессе структурирования необходимо интенсивное перемешивание;

***- плотность геля на 0,02 г/см больше, чем растворителя.

,5-5,0% по массе способствовало некоторому снижению липкости, а также стабилизировало систему. Присутствие воды и аминов (-1,0% масс) препятствует гелеобразованию вследствие быстрого химического взаимодействия этих компонентов с однохлористой серой. Минеральные наполнители (окись кальция, аэросил, силикагель), а также парафин на прилипаемость практически не влияли (табл.2.3).

Для уменьшения липкости в систему вводились также полимерные наполнители (резиновая крошка, вальцованная резина, пенорезина), однако, значительно снизить прилипаемость гелей этим способом не удалось, тогда как прочностные характеристики ухудшались.

Таблица 2.3 - Исследование влияния модифицирующих добавок на адгезию углеводородных гелей к внутренней поверхности камер приема-запуска разделителей



Существовала также проблема недостаточной прочности и эластичности углеводородных гелей. Эту проблему удалось решить путем введения в состав гелей добавок нефтей и битумов. Так, например, добавка 30-50% нефти в раствор эластомеров не только стабилизирует гель, но значительно повышает его прочность и эластичность. Не менее эффективные результаты удалось получить и на чистой нефти (как растворителе). Адгезия таких систем к внутренней поверхности камеры запуска также ниже, чем без модификации.

Введение в рецептуру добавки строительного битума в количестве 10... 15% по массе позволяет получить прочные, эластичные гели, имеющие реологические характеристики, удовлетворяющие требованиям, предъявляемым к пробкам. При этом технология приготовления таких гелей практически не меняется, битум вводится в систему в виде 40%-ного раствора, например, в дизельном топливе, который легко совмещается с раствором полимера.

Следует учитывать, что в случае использования в качестве полимерного компонента карбоксилсодержащего каучука СКДК, процесс гелеобразования однохлористой серой замедляется, в среднем до 25-30 мин, а полученный гель практически не прилипает к поверхности камеры запуска. Однако, как показали эксперименты, полученные ГОС обладают в данном случае низкой механической прочностью.

На основе этих наблюдений мы предположили, что использование смешанной полимерной основы, состоящей как из нефункционализированных эластомеров типа СКИ-ЗНТ и СКС-30 АКО, так и карбоксилосодержащего каучука СКДК приведет к снижению липкости получаемых гелей. Растворы полимеров смешивались в различных соотношениях (СКИ-3: СКДК = 1:4,1:1,4:1) при неизменном общем содержании полимеров в растворе (5,0% масс). В систему вводился битум в количестве 10... 15% по массе. Во всех случаях получаются гелеобразные эластичные продукты, для которых наблюдается следующая зависимость: чем больше содержание СКИ-3 или выше адгезия к стенкам трубопровода, чем больше СКДК, тем ниже прочность.

Еще одним способом получения углеводородных гелей рассмотренным на стадии предварительных экспериментов явилось структурирвание карбоксилосодержащих полимеров, например, каучука СКДК, алкилтиофенолятом бария (присадка ЦИАТИМ-339). Оптимальное количество полимера в этом случае составляет 5,0% по массе, количество структурирующего агента может колебаться в широких пределах (1,0...5,0% по массе), в зависимости от желаемой вязкости и прочности конечного продукта. Лучшие результаты получены при соотношении каучук: ЦИАТИМ 339=1:1 (табл.2.2). В этом случае получается прочный, эластичный гель, практически не прилипающий к стеклянной и металлической поверхности.

Процесс получения таких гелей в принципе не отличается от вышеописанного структурирования однохлористой серой. Однако существенной особенностью этого процесса является очень высокая скорость гелеобразования, практически гелеобразование протекает мгновенно при введении раствора сшивающего агента в раствор полимера. Это усложняет технологию получения однородных гелей, поскольку не всегда удается равномерно распределить структурирующий агент по всему объему полимерной части. В результате могут образоваться жесткие комки геля, плавающие в неструктурированном растворе полимера. Такие неоднородные продукты не могут использоваться в качестве пробок. Для равномерного смешения компонентов необходимы мощные и надежные перемешивающие устройства, которые не всегда доступны в полевых условиях. К недостатку таких систем относится также их способность к "проседанию" в объеме трубы, растяжению в виде "языка" при действии давления, образованию пустот при перегрузке из емкости в очищаемую трубу. Существует также проблема производства исходного сырья, поскольку каучук СКДК не является промышленным продуктом, коагуляция промышленного латекса СКД-1С производится в условиях опытного производства.

Еще один тип органогелей, который был разработан, основан на структурировании растворов алюминиевых солей карбоновых кислот различными полимерами (табл.2.2). Эти гели относительно легко образуются при перемешивании структурообразователей с углеводородным растворителем в течение 1,5...2 часов (при комнатной температуре) и некоторого созревания в течение последующих 3...5 часов. Они могут изготавливаться в любом растворителе от бензина до нефти.

Описанные выше предварительные эксперименты позволили перейти к работам по созданию оптимальной рецептуры гельных очистных систем на углеводородной основе.

В качестве переменных состояния объектов исследования выступали качество очистки лабораторного трубопровода и стоимость очистки. В качестве регулируемых факторов эксперимента выступали: x1 - масса углеводородного полимера, х2 - количество сшивающего реагента, х3 - растворитель, х4 - наполнитель, х5 - длина ГОС.

Эксперименты проводились на стенде схема, которого представлена на рис.2.1. Методика проведения эксперимента в лабораторных условиях заключалась в следующем.

В емкость 1 (рис.2.1) помещался раствор полимера, затем вводились модифицирующие добавки (табл.2.3), затем при перемешивании добавлялся раствор S2Сl2- Полученная смесь немедленно вливалась в предварительно снятую и вертикально установленную камеру запуска 3 (рис.2.1). После полимеризации смеси (1...2 часа) камера запуска (на фланцах) устанавливалась в прежнее положение и производилась очистка предварительно загрязнённого лабораторного трубопроводного стенда.

Как и ранее, использовался план дробного факторного эксперимента (ДФЭ 25-2). Окончательные результаты определения оптимальной рецептуры изготовления гельных очистных систем на углеводородной основе представлены в табл.2.4. Степень очистки трубопровода во всех случаях находилась на уровне 90-95%.

Таким образом, на основании проведённых экспериментов, можно сделать следующие выводы.

Разработаны составы гельных очистных систем, основанные на использовании как водорастворимых, так и углеводородных полимеров. Эффективность очистки трубопровода при помощи ГОС достигает 90-95%.

Таблица 2.4 - Оптимальный состав гельных очистных систем на углеводородной основе


При одинаковой эффективности гельные очистные системы на основе ПАА значительно дешевле (не менее, чем в 3 раза) и технологичнее в изготовлении, по сравнению с аналогичными углеводородными гелями, но и в 3...4 раза длиннее, что в промышленных условиях требует в большинстве случаев модернизации камеры запуска скребков.

.2       Разработка рекомендаций по выбору технологический параметров эксплуатации трубопроводов при их очистке гельными системами

Приведенные выше исследования по выбору оптимальных составов ГОС носили главным образом статический характер. Для выявления всех характерных особенностей применения ГОС и выбора наиболее эффективных режимов эксплуатации трубопроводов, обеспечивающих наилучшее качество очистки, мною был проведен соответствующий анализ исследования гельных очистных систем проведенных на специально созданном промышленном стенде опытной базы института ВНИИСПТнефть.

Производственный лабораторный стенд - (ЦЕПР - цех экспериментально - производственных работ ВНИИСПТнефть) - состоит из трубопровода 1, 114x7, длиной А - 3000 м, Б - 600 м, С - 1200 м, камеры запуска 2, камеры приёма 3 гель-поршня, запорной арматуры 4, и центробежного насоса МВН-25 (рис.2.2).

В качестве рабочей среды при испытаниях использовались: вода, моторное топливо, дизельное топливо, бензины, нефть. Технические возможности используемого оборудования позволяли для всех перечисленных сред варьировать скорость потока в диапазоне 0,2...2,8 м/с (Q=0,0016...0,022m3/c, Re=2000...280000). Скорость перекачки и параметр Re охватывали весь диапазон изменения соответствующих параметров нефте- и нефтепродуктопроводов.

Регулировка производительности осуществлялась перепуском по байпасу между нагнетанием и всасыванием насоса МВН-25, а также дросселированием потока на выходе из насоса. Избыточное давление при испытаниях выдерживалось в пределах 0,1... 1,5 МПа.

Скорость перекачки определялась расчётным путём - при установившемся режиме измерялось время заполнения фиксированного объема (V=l,58 м3) в камере приёма гельной системы. После этого определялась фактическая производительность.

Используемая схема производственного стенда позволяла полностью моделировать процесс вытеснения как жидкостных, так и газообразных сред.

Рисунок 2.2 - Схема производственного стенда для испытания гельных очистных, систем

- трубопровод 0114x7;

- камера запуска гельной системы;

- камера приема гельной системы;

- запорная арматура;

- буферная емкость для сбора вытесненной жидкости;

- емкость для вытесняющей жидкости;

- модифицированные вискозиметры (см. рис.2.3).

Для имитации влияния местных сопротивлений на динамику прохождения ГОС, на участках А, В, С стенда (рис.2.2) последовательно монтировались фрагменты трубопроводов различной конфигурации и диаметров. Изменение проходного сечения при этом достигало 60%. Углы поворотов трассы опытно-промышленного трубопровода варьировалось в диапазоне 0°... 120°.

Для оценки степени деформации и разрывных усилий, возникающих в гельной системе при прохождении ею местных сопротивлений (сужения проходного сечения) в местах переходов трассы из трубы большего диаметра в трубы меньшего диаметра, устанавливался специально модифицированный капиллярный вискозиметр постоянного давления [57, 101]. Схема этого устройства представлена на рис.2.3.

Конический диффузор (угол раскрытия варьировался в пределах 0...600) позволял создавать направленный поток вытесняемого продукта из трубы большего диаметра (магистрали испытательного стенда) в трубу меньшего диаметра. Вид гельной композиции, выходящей из диффузора, фотометрировался для визуализации возможных нарушений сплошности ГОС.

Используемая конструкция прибора позволяла получать количественную характеристику способности сформированного геля к сжатию и восстановлению формы под действием нормальных напряжений, возникающих в структуре ГОС при сдвиге.

Рисунок 2.3 - Адаптированный ротационный эласторелаксометр

- вискозиметрический цилиндр;

- крышка цилиндра;

- патрубок;

- держатели;

- головка съемная;

- трубопровод.

Количественная оценка качества проведённой очистки той или иной гельной композицией проводилась на основе апостериорного определения коэффициента вытеснения:


где V1 - объем вытесняемой среды;

V2 - объем механических и внутритрубных отложений в трубопроводе;

V3 - объем газовых скоплений в вытесняемой среде;

V4 - объем вытесняющей среды;

Vi+V2+V3=VTp, VTp - объем трубопроводов стенда.

Методика проведения экспериментов заключалась в следующем. В трубопроводы стенда (рис.2.2) закачивалась одна из сред, перечисленных выше. Перед этим в профильных участках трубопровода размещались механические отложения (песок, окалина, глина и пр.) и создавались воздушные пробки. Затем в камере приёма или в камере запуска (в зависимости от вида гельной композиции) подготавливался раствор геля, который сшивался там в течение 4...24 часов (при температурах от 50°С до 20°С, соответственно). По истечении этого срока происходило переключение соответствующих задвижек и насос МВН-25, отбирая жидкость из емкости 6, начинал процесс вытеснения гельной очистной системы из камеры запуска 2. Время прохождения ГОС через места изменения диаметров трубопроводов и узлы установки модифицированных вискозиметров происходило фотометрирование состояния гельной системы. Вытесняемая в процессе очистки опытно-промышленного стенда жидкость направлялась в резервуар 5. В момент выхода ГОС из трубы в камеру приема 3 задвижки вновь переключались и перекачка останавливалась. Объем вытесненной жидкости определялся расчётным методом путём опорожнения резервуара 5 за вычетом соответствующей части смеси, образовавшейся в камере приёма 3. Объём вытесненных механических внутритрубных отложений определялся после опорожнения емкости 3 (рис.2.2).

Оценка полноты вытеснения воздушных скоплений производилась визуально, путём фотометрирования соответствующих профильных участков по завершении процесса вытеснения и очистки трубопроводов опытно-промышленного стенда.

Основные результаты проведённых экспериментов по определению коэффициента вытеснения представлены на рис. 2.4...2.5. Анализ рис. 2.4 показывает, что при прочих равных условиях с увеличением кинематической вязкости вытесняемой среды растёт эффективная скорость движения вытесняемой гельной композиции (для сшитых гелей с концентрацией ПАА=2,5%).

Наиболее эффективные результаты наблюдаются в диапазоне изменения числа Рейнольдса (4-5)104. Коэффициент вытеснения при этом близок к единице.

Анализ рис. 2.5 иллюстрирует тот факт, что для не сшитых гелей с концентрацией полимера 5% увеличение концентрации ПАА позволяет повышать скорость вытеснения в 3...4 раза. Наиболее полно, для подобных ГОС, вытеснение происходит в диапазоне Re=0,5.. .5-104 (скорость вытеснения до 0,5 м/с).

Тем не менее, эксперименты с несшитыми гельными композициями показали, что в общем случае эффективность очистки трубопроводов с адгезионно связанными внутритрубными отложениями с их помощью невысока. В лучшем случае отложения прилипают к поверхности геля и передвигаются в его теле, как в вязкой среде. Подобные гели эффективны в применении в качестве буферных разделителей при вытеснении одной жидкости другой.

Анализ результатов экспериментов показал, что подобные ГОС, являясь ярко выраженными вязкоупругими системами, двигаются в поршневом режиме и обеспечивают не только высокоэффективное вытеснение жидкости, но и пробковое вытеснение внутритрубных отложений и скоплений инородных жидкостей. Визуальный контроль прохождения подобных ГОС через профильные фрагменты трассы опытно-промышленного стенда показали, что при движении этих ГОС происходит почти 100%-ное вытеснение всех жидкостных и газовых скоплений.

Результаты экспериментов показывают, что практически все разработанные типы составов обеспечивают очистку трубопроводов с коэффициентом эффективности К~1 при скорости потока жидкости до 1 м/с. В диапазоне скоростей 1... 1,2 м/с эффективность их применения уменьшается на 2...3 %. Если скорость перекачки увеличивается до 1,8 м/с, то полнота очистки уменьшается до 90-95%.

Рисунок 2.4 - Зависимость коэффициента эффективности очистки от вязкости вытесняемого продукта

- вытесняемая жидкость - вода (v=T-10 м /с);

- вытесняемая жидкость - дизельное топливо - Л (v=6-106 м2/с, t=20 °С);

- вытесняемая жидкость - моторное масло (v= 1,5-104 м2/с, t=20 °С).

Вытесняющая жидкость - вода (t=20 °С);

ГОС - 2,5% водный раствор ПАА без применения сшивающего реагента.

Рисунок 2.5 - Зависимость коэффициента эффективности очистки от концентрации полимера в гельной композиции

Вытесняемая среда - нефть (v=T0,64T0~ м /с, t=20 °С, р=0,862 т/м , температура застывания = -30°С, содержание парафинов = 3,6%, серы - 0,32%).

- 12% водный раствор ПАА;

- 10% водный раствор ПАА;

- 8% водный раствор ПАА; 4-5% водный раствор ПАА.

Все растворы ПАА изготавливались без применения сшивающих реагентов. Вытесняющая среда - вода.

Исследования степени изношенности ГОС после выхода их из очищенного трубопровода в камеру приема 3 (рис. 2.2) показали, что величина износа прямо пропорциональна длине очищаемого участка и обратно пропорциональна диаметру трубопровода. В среднем величина износа тела ГОС составляет 1 м на 10 км трубопровода (для сшитых гелей на основе ПАА) и уменьшается с увеличением диаметра. С учетом проведенных экспериментов (более 50 очисток опытно промышленного стенда) можно рекомендовать использование 15-ти метрового ГОС на 100 км очищаемого нефтепродуктопровода. Такая длина гельной системы гарантированно обеспечит очистку внутренней полости трубопровода.

Аналогичные исследования проводились на том же стенде и с углеводородными гельными системами. Отличие в методике проведения экспериментов заключалась лишь в том, что камера запуска 2 (рис.2.2) заменялась на фрагмент трубы, больший по диаметру на 10-30% по сравнению с основной магистралью.

Изготовление ГОС на основе углеводородных полимеров происходило в несколько стадий. На первой стадии подготавливалась модифицированная камера запуска, внутреннюю поверхность которой тщательно покрывали слоем консистентной смазки (литол).

На второй стадии происходило изготовление гелеобразующих компонентов в следующей последовательности. Товарные бруски каучуков измельчались на небольшие составляющие (до 3-5 мм), затем последние пропускались через вальцы до получения листов толщиной 5-10 мм. Этот полуфабрикат помещался в растворитель (дизельное топливо, бензин, нефть) где он при температуре 20 °С набухал в течение нескольких часов (до 36 часов). Окончательный раствор каучуков подготавливался в клеемешалке объёмом 25-103 м3 в течение 14...26 часов при той же температуре и непрерывном перемешивании.

На третьей стадии производился ввод структурирующих агентов, усиливающих наполнителей и сшивающих реагентов.

Полученная в результате всех перечисленных операций композиция заливалась в камеру запуска 2 (рис.2.2) и выдерживалась дополнительно в течение 14-36 часов. Дальнейшая процедура проведения экспериментов в точности соответствовала операциям с водорастворимым ПАА.

Основные результаты экспериментов с углеводородными ГОС представлены в табл.2.5.

Анализ проведённых исследований показывает, что углеводородные гели показывают результаты на 10...25% ниже по сравнению с ГОС, изготовленными на основе водорастворимых полимеров (по коэффициенту эффективности очистки). Кроме того, их изготовление занимает в 3...4 раза больше времени, чем подготовка сшитых гелей на основе водных растворов ПАА.

Углеводородные ГОС значительно менее технологичны по сравнению с гельными композициями, изготовленными на основе водорастворимых полимеров. При отсутствии соответствующего покрытия внутренней поверхности камеры запуска (литол, парафин и пр.) углеводородные гели "намертво" склеиваются с поверхностью металла. Вытеснить ГОС в подобной ситуации невозможно. Кроме того, при малейшем нарушении технологии их изготовления диаметр углеводородной ГОС перестает соответствовать диаметру трубопровода, в который она вытесняется. Это приводит к тому, что либо образуется кольцевой зазор между гельным поршнем и поверхностью трубопровода, либо внешняя часть гельной пробки срезается при ее продавливании в очищаемый трубопровод.

Главным преимуществом углеводородных ГОС является их значительно большая прочность и абразивность. При правильном изготовлении углеводородного геля он способен очищать трубопровод от внутритрубных отложений практически любой природы.

Таким образом, на основании проведенных исследований можно сделать следующие выводы. При проведении очисток внутренней поверхности НПП наиболее эффективно применение гельных очистных систем, изготовленных на основе водных растворов ПАА. При скорости вытеснения до 1 м/с эффективность очистки трубопроводов достигает 100%.

При проведении очистных работ с применением углеводородных гелей необходимо в процессе очистки поддерживать режим течения жидкости в трубопроводе, соответствующий Re=3...5*104.

Таблица 2.5 - Результаты контроля динамики движения углеводородных гельных очистных систем на опытно промышленном стенде


При опорожнении нефтепродуктопроводов перед проведением гидроиспытаний рекомендуется использовать гелевые несшитые композиции, которые позволяют вытеснять нефтепродукты из трубопроводов с изменением эффективного диаметра не менее 60 %. Для очистки сравнительно коротких (время нахождения ГОС в трубопроводе 40...50 часов) трубопроводов, имеющих адгезионно связанные отложения, рекомендуется использование углеводородных гелей, изготовленных на основе синтетических каучуков.

.3       Технология очистки нефтепровода "Монги-Погиби"

Испытание ГОС в рамках дипломного проека проходило в компании РН-Сахалинморнефтегаз на участке трубопровода "Монги-Погиби".

Основными задачами пропуска ГОС являлись: проверка технологии использования гелей разработанной на опытно-промышленном стенде; очистка линейной части МНП от водных и газовых скоплений; очистка внутренней полости трубопровода от механических загрязнений; апробация технологии запуска, сопровождения и приёма ГОС; очистка резервных ниток нефтепровода (9 участков общей протяжённостью 394 км).

Запуск геля планировалось произвести, начиная с нулевого километра (по пикетам профиля трассы) до НПС "Даги" (394-й километр трассы). Участок очистки включал 8 резервных ниток: 10-11 км; 17-37 км; 76-78 км; 116120 км; 172-174 км; 207-208 км; 318-319 км; 379-383 км. Общая длина резервных ниток составила 36 км. Диаметр основного трубопровода составлял 1220 мм; резервного - 1020 мм. Схема расположения линейных задвижек позволяла последовательно пропускать гель, как через основные, так и вспомогательные нитки МНП.

Предполагая, что объем воды в нефтепроводе был достаточно мал, было принято решение использовать водорастворимый гель, изготовленный на основе ПАА с добавкой структурообразователя на основе полимера ЧС.

На первом этапе испытаний было решено полностью придерживаться схемы запуска ГОС, впервые реализованной на опытно-промышленном стенде института ИПТЭР[46].

Полимерный гель в количестве 22 м3 готовился в имеющейся камере пуска скребка с помощью передвижного реактора объемом 0,6 м3 путем периодического приготовления порций геля в течение 2-х часов и последовательного заполнения камеры пуска скребка в течение 4-х суток. За сутки до окончания приготовления всего объема геля в него был начат ввод структурообразователя. Для полного созревания геля он дополнительно выдерживался в течение 1-х суток после приготовления. Вязкость ГОС без структурообразователя составила 0,45 Па-с, после введения структурообразователя вязкость системы в течение суток увеличилась и достигла значений порядка 20,0 Па-с. Причем, если без структурообразователя 2...5% гели полиакриламида относятся к вязким системам, то после сшивки структурообразователем система приобрела ярко выраженные вязкоупругие свойства. Перед началом промышленного испытания для оценки истинного гидравлического состояния трубопровода было решено произвести контрольную перекачку нефти, отслеживая при этом изменение ее физико-химических свойств и контролируя колебания температуры перекачки. Результаты измерений представлены в табл.2.6. Анализ табл.2.6 показывает, что условия перекачки можно считать изотермическими. При этом измеренные колебания вязкости и плотности нефти на перегоне в 383 км составили 3,7% и 0,6% соответственно.

Запуск ГОС был осуществлен одновременно с пуском подпорной насосной станции. Через 16 минут после окончания переключения технологических задвижек камеры запуска скребков была запущена основная насосная станция (НС).

Таблица 2.6 - Данные контрольной перекачки нефти по нефтепроводу "Монги-Погиби" перед очисткой


Контроль прохождения ГОС осуществлялся при помощи пробоотборников на 37-м, 116-м, 383-м километрах трассы нефтепровода и на НПС "Даги". Сравнение расчётных и измеренных контрольных цифр показало, что существует некоторое запаздывание времени подхода ГОС к контрольным точкам. Это объясняется увеличением гидравлического сопротивления трубопровода в момент очистки и вытеснением внутритрубных отложений. При проведении измерений перепада давления отмечено его повышение (до 0,4 МПа) по сравнению с данными контрольной перекачки.

Последующие измерения состава и объемов данных отложений в РВС НПС "Парабель" показали их увеличение на 419 м (14,6 м донных отложений и 404,4 м3 воды).

Непосредственно после приема ГОС была проведена повторная контрольная перекачка, результаты которой представлены в табл.2.7.

Таблица 2.7 - Данные контрольной перекачки нефти по нефтепроводу "Монги-Погиби" после очистки


Оценка эффективности измерения очистки производилась на основе анализа измерения энергозатрат на перекачку одной тонны нефти НПС "Александровская" и НПС "Раскино".

Сравнительное изменение энергозатрат на перекачку нефти до и после проведения очистки представлено в табл.2.7.

Анализ полученных результатов (табл.2.8) показывает, что энергозатраты на перекачку нефти после проведения очистки уменьшилась на НПС "Александровское" на 4,7 % и на НПС "Раскино" на 1,8 %, что хорошо согласуется с квадратичным характером изменения напорной характеристики трубопровода.

Таблица 2.8 - Изменение энергозатрат на перекачку нефти в результате очистки участка нефтепровода "Монги-Погиби"


На основании проведённых экспериментов можно сделать следующие выводы. Гельные очистные системы позволяют проводить очистку как линейной части, так и резервных ниток магистральных нефтепроводов от внутритрубных отложений и скоплений воды.

После проведения очистки нефтепроводов при помощи ГОС наблюдается устойчивое снижение энергозатрат на перекачку нефти (не ниже, чем на 2 %).

3.       Безопасность жизнедеятельности

.1       Разработка мероприятий по охране труда, технике безопасности

К самостоятельной работе при очистке трубопроводов нефти допускаются лица не моложе 18 лет, прошедшие медицинское освидетельствование и не имеющие противопоказаний к выполнению данного вида работ, обученные безопасным методам и приемам работы, применению средств индивидуальной защиты, правилам и приемам оказания первой медицинской помощи и прошедшие проверку знаний в установленном порядке.

Периодическая проверка знаний рабочих проводится ежегодно в том же порядке, как при проведении первичной проверки знаний.

Внеочередная проверка знаний у рабочих проводится:

при изменении производственного (технологического) процесса, внедрении нового вида оборудования и механизмов;

при введении в действие новых правил и норм безопасности, инструкций по безопасному ведению работ;

в случае выявления нарушений требований правил безопасности и инструкций, которые могли привести или привели к травме или аварии;

по приказу или распоряжению руководства предприятия, по указанию вышестоящих органов;

по требованию органов государственного надзора и технических инспекторов труда профсоюзов в случае обнаружения недостаточных знаний;

при переводе на другую работу или перерыве в работе более шести месяцев.

Работники, обслуживающие нефтепровод, в соответствии с "Основными положениями об организации работы по охране труда в нефтяной промышленности" проходят следующие виды инструктажей по правилам безопасности:

а) вводный - проводится со всеми поступающими на предприятие рабочими и служащими независимо от их образования, квалификации и стажа работы по данной профессии или должности, а также с работниками, командированными для работы на данном предприятии, учащимися, студентами и другими лицами, допускаемыми на территорию проведения строительно-монтажных работ.

б) на рабочем месте, первичный - для рабочих и мастеров с практическим обучением - перед допуском к самостоятельной работе или при переводе с одной работы на другую. Периодичный - проводится руководителем работ непосредственно на рабочем месте для рабочих по программе первичного инструктажа не реже чем через три месяца. Внеочередной, вызванный производственной необходимостью - при изменении производственного процесса, замене одного вида оборудования на другое и в подобных случаях, когда изменяются условия труда; если на участке, в бригаде произошел несчастный случай или отказ; при необходимости доведения до сведения работающих дополнительных требований, вызванных введением новых правил и инструкций по безопасному ведению работ. Разовый - по приказу или распоряжению вышестоящих организаций и контролирующих органов - перед выполнением работ.

Охрана труда рабочих заключается в выдаче администрацией необходимых средств индивидуальной защиты (специальная одежда, обувь и др.), в выполнении мероприятий по коллективной защите рабочих (ограждения, освещение, вентиляция, защитные и предохранительные устройства и приспособления и т.д.), в обеспечении санитарно-бытовыми нормами и характером выполняемых работ. Рабочим создаются необходимые условия труда, питания и отдыха.

При выполнении изоляционных работ с применением огнеопасных материалов, а также выделяющих вредные вещества обеспечивается защита

работающих от воздействия вредных веществ, а также от термических и химических ожогов. Для выполнения сварки применяются исправные установки, аппаратура и приспособления, обеспечивающие соблюдение требований НД. К производству сварочных работ допускаются сварщики, аттестованные в соответствии с "Правилами аттестации сварщиков и специалистов сварочного производства" (ПБ 03-273-99), утвержденными постановлением Госгортехнадзора России от 30.10.98 №63, зарегистрированным Минюстом России 04.03.99, регистрационный № 1721, и имеющие удостоверение установленной формы. Сварщики могут производить сварочные работы тех видов, которые указаны в их удостоверении. Сварщик, впервые приступающий в данной организации к сварке, независимо от наличия удостоверения перед допуском к работе проходит проверку путем сварки и контроля пробного сварочного соединения. Перед началом сварки проверяется качество сборки соединяемых элементов, а также состояние стыкуемых кромок и прилегающих к ним поверхностей. Марки, сортамент, условия хранения и подготовка к использованию сварочных материалов должны соответствовать требованиям НД на сварку. Кромки деталей, подлежащих сварке, и прилегающие к ним участки очищаются от окалины, краски, масла и других загрязнений в соответствии с требованиями НД.

При производстве строительных и монтажных работ на трассе трубопровода руководствуются следующими основными правилами:

1)       во избежание неблагоприятного воздействия статического электричества на рабочий персонал применяемое оборудование заземляют, а рабочие места снабжают резиновыми ковриками.

2)      в процессе работы по балластировке трубопроводов следят за надежностью стенок и бровки траншеи; при появлении трещин и сколов грунта, которые могут привести к обрушению бермы, следует немедленно прекратить работу и принять меры к недопущению развития таких явлений. При проведении балластировочных работ в пределах призмы обрушения увлажненных грунтов не допускается движение тяжелых транспортных средств, а также складирование материалов.

)        битумовозы, бульдозеры и другие машины должны быть оснащены огнетушителями и исправными искрогасителями.

)        при проведении сварочных работ необходимо соблюдение правил электробезопасности.

)        постоянный контроль работниками исправности оборудования, приспособлений, инструмента, проверка наличия и целостности ограждений, защитного заземления и других средств защиты до начала работ и в процессе работы на рабочих местах согласно инструкциям по охране труда.

)        Выборочный контроль состояния условий и охраны труда в подразделениях предприятия, проводимый службой охраны труда согласно утвержденным планам.

В случае возникновения угрозы безопасности и здоровью работников ответственные лица обязаны прекратить работы и принять меры по устранению опасности, а при необходимости обеспечить эвакуацию людей в безопасное место.

Битумную мастику доставляют к рабочим местам, как правило, по битумопроводу или при помощи грузоподъемных машин. При необходимости перемещения горячего битума на рабочих местах вручную применяют металлические бачки, имеющие форму усеченного конуса, обращенного широкой частью вниз, с плотно закрывающимися крышками и запорными устройствами.

При выполнении работ с применением горячего битума несколькими рабочими звеньями расстояние между ними должно быть не менее 10 м.

Стекло- и шлаковату подают к месту работы в контейнерах или пакетах, соблюдая условия, исключающие распыление.

Производство земляных работ в зоне действующих подземных коммуникаций осуществляют под непосредственным руководством прораба или мастера, а в охранной зоне кабелей, находящихся под напряжением, или действующего газопровода, кроме того, под наблюдением работников электро- или газового хозяйства. Грунт, извлеченный из котлована или траншеи, размещают на расстоянии не менее 0,5 м от бровки выемки.

Валуны и камни, а также отслоения грунта, обнаруженные на откосах, удаляют.

Разработка роторными и траншейными экскаваторами в связных грунтах траншей с вертикальными стенками без крепления допускается на глубину не более 3 м. В местах, где требуется пребывание рабочих, устраивают крепления траншей или откосов.

Перед допуском рабочих в котлованы или траншеи глубиной более 1,3 м обязательно проверяют устойчивость откосов или крепления стен.

При разработке, транспортировании, разгрузке, планировке и уплотнении грунта двумя или более самоходными или прицепными машинами, идущими одна за другой, расстояние между ними должно быть не менее 10 м.

При разработке выемок в грунте экскаватором с прямой лопатой высоту забоя следует определять с таким расчетом, чтобы в процессе работы не образовывались "козырьки" из грунта.

Линии временного электроснабжения к прогреваемым участкам грунта надлежит выполнять изолированным проводом, а после каждого перемещения электрооборудования и перекладки электропроводок следует визуально проверять их исправность.

Закрепительные знаки устанавливают на переходах через естественные и искусственные препятствия.

К любой точке трассы нефтепровода предусматривается возможность доставки людей, транспортных средств и механизмов, необходимых для выполнения ремонтных работ, при этом максимально используется дороги общего пользования. Бровки вдоль трассовых дорог в охранной зоне располагаются не ближе 10 м от оси трубопровода. С целью защиты траншеи от размыва и оголения предусматривают сток поверхностных вод, крепление оврагов, промоин и размываемых берегов водных преград.

Сигнальные цвета и знаки безопасности предназначены для привлечения внимания к непосредственной опасности, предупреждения о возможной опасности, предписания и разрешения определенных действий с целью обеспечения безопасности, а также для необходимой информации.

Знаки безопасности необходимо контрастно выделять на окружающем их фоне и располагать с таким расчетом, чтобы они были в поле зрения людей, для которых предназначены, но не отвлекали бы внимание работающих и сами по себе не представляли бы опасности.

Запорная и запорно-регулирующая арматура устанавливается на штуцерах, непосредственно находящихся на трубопроводах. На маховике запорной арматуры указывается направление его вращения при открывании или закрывании арматуры. Арматура, изготовленная из легированной стали или цветных металлов, должна иметь паспорт установленной формы, в котором должны быть указаны данные по химсоставу, механическим свойствам, режимам термообработки и результатам контроля качества изготовления неразрушающими методами. Арматуру, имеющую маркировку, но не имеющую паспорта, допускается применять после проведения, ревизии арматуры, испытания и проверки марки материала. При этом владельцем арматуры должен быть составлен паспорт.

Обслуживание трубопровода, проведение текущего и капитального ремонтов, а также ликвидации аварийных ситуаций предусмотрены ремонтными бригадами.

В соответствии с "Правилами охраны магистральных трубопроводов" г. Москва, 1992г., для исключения возможности повреждения трубопроводов при эксплуатации устанавливаются охранные зоны в виде участка земли, ограниченного условными линиями, проходящими в 25 м от оси трубопровода с каждой стороны.

На территории охранной зоны нефтепровода не допускается:

1)   устройство канализационных колодцев и других заглублений, за исключением углублений, выполняемых при ремонте и реконструкции.

2)      производство мелиоративных земляных работ, сооружение оросительных и осушительных систем.

)        производство всякого рода горных, строительных, монтажных, взрывных работ, планировка грунта.

При проведении гидроиспытаний нефтепровода персоналу, участвующему в гидравлических испытаниях, положено находиться в безопасных местах на случай пробоя прокладок, отрыва заглушек и других аварийных ситуаций. Осмотр трубопровода разрешается производить только после снижения давления до рабочего, а устранение неисправностей - только после сброса давления до нуля.

Для предотвращения утечек транспортируемых продуктов в атмосферу необходимо следить за максимальной герметизацией оборудования трубопроводов и запорно-регулирующей арматуры.

Во время проведении очистных работ категорически запрещается, проведение каких-либо ремонтно-строительных работ в охранной зоне трубопровода, присутствие лиц, не участвующих в проведении очистных работ, на площадках пуска и приема очистных устройств, линейных задвижек или кранов, переезд трассы трубопровода транспортом и механизмами.

3.2     Мероприятия по устранению опасных и вредных факторов

Системы пожарной безопасности характеризуются уровнем обеспечения пожарной безопасности людей и материальных ценностей, а также экономическими критериями эффективности этих систем для материальных ценностей, с учетом всех стадий (научная разработка, проектирование, строительство, эксплуатация) жизненного цикла объектов.

1.Первоочередные аварийно-спасательные работы включают действия по спасению людей, локализации или ликвидации аварий и (или) пожара и могут выполняться с привлечением имеющихся на данном участке сил и средств.

.У лица, ответственного за проведение работ по ремонту МН должна быть выписка из "Плана обеспечения противопожарных мероприятий при ликвидации аварий и повреждений на линейной части магистральных нефтепроводов РНУ включающая в себя:

Выписку из "Плана привлечения сил и средств на ликвидацию аварий и пожаров на линейной части магистральных нефтепроводов, обслуживаемых РНУ"; "План обеспечения противопожарных мероприятий при ликвидации аварий и повреждений на линейной части МН РНУ";

"Схему оповещения при возникновении аварии, пожара на объектах РНУ Сведения о системе оповещения в случае возникновения аварии на объектах РНУ, включая Схему оповещения".

. Все работники объектов обязаны:

Пройти противопожарный инструктаж, обучение и сдать зачет по пожаротехническому минимуму, знать и выполнять требования инструкций по пожарной безопасности на рабочем месте;

Пользоваться только исправными инструментами, приборами, оборудованием, соблюдать инструкции по эксплуатации и указания руководителей и лиц, ответственных за пожарную безопасность, при проведении взрывопожароопасных работ;

Производить своевременную уборку рабочих мест от горючих веществ и материалов и отключать электроприемники по окончании работы;

Уметь применять имеющиеся на рабочем месте средства пожаротушения;

Вызвать немедленно пожарную охрану в случае возникновения пожара, одновременно.

Приступив к эвакуации людей, при отсутствии угрозы жизни и здоровью, к ликвидации пожара или аварии имеющимися в наличии средствами (огнетушители, кошма, внутренние пожарные краны, стационарные установки пожаротушения и др.);

Сообщить лицу, ответственному за пожарную безопасность соответствующего объекта (цеха), и начальнику объектовой пожарной охраны о всех замеченных на участке своей

Работы или на других местах предприятия нарушениях, также о неисправности или об использовании не по назначению пожарного оборудования или средств пожарной связи.

.Ответственный за производство работ или, лицо его заменяющее, обязано: по имеющимся средствам связи в соответствии с "Планом обеспечения противопожарных мероприятий при ликвидации аварий и повреждений на линейной части магистральных нефтепроводов РНУ" - сообщить о пожаре в территориальное (ближайшее) подразделение ГПС МЧС России и оператору НПС; организовать выполнение мероприятий, изложенных в "Плане обеспечения противопожарных мероприятий при ликвидации аварий и повреждений на линейной части МН РНУ".

На месте аварии и (или) пожара и на смежных участках прекратить все работы и в том числе с применением открытого огня, отключить все оборудование, выполнить другие мероприятия, способствующие предотвращению развития пожара; оказать первую помощь пострадавшим при аварии и (или) пожаре, удалить из опасной зоны всех рабочих, специалистов, не занятых ликвидацией аварии и (или) пожара. Людей занятых ликвидацией аварии и (или) пожара и ремонтную технику, по возможности располагать с наветренной стороны.

В случае угрозы для жизни людей немедленно организовать их спасение, используя для этого все имеющиеся силы и средства.

Организовать встречу и сопровождение к месту аварии и (или) пожара прибывающих подразделений пожарной охраны ГПС МЧС России, ДПД ЛЭС НПС; до прибытия подразделений пожарной охраны ГПС МЧС России и ДПД ЛЭС нефтеперекачивающих станций организовать тушение пожара имеющимися первичными средствами пожаротушения и передвижной пожарной техникой , с участием членов ДПС РСК.

Обеспечить соблюдение требований безопасности работниками, принимающими участие в тушении пожара.

Осуществлять общее руководство тушением пожара (с учетом специфических особенностей объекта) до прибытия пожарных подразделений.

До прибытия пожарного подразделения проинформировать руководителя тушения пожара (РТП) о конструктивных и технологических особенностях объекта, близлежащих населенных пунктах, количестве и пожароопасных свойствах обращающихся в веществ, и другие сведения, необходимые для успешной ликвидации пожара.

.Действия членов добровольной пожарной дружины (ДПД) при возникновении пожара должны определяться табелем пожарного боевого расчета или инструкцией.

.Другие мероприятия по ликвидации и (или) пожара в каждом отдельном случае определяются руководителем работ по ликвидации аварии, исходя из создавшегося положения и с соблюдением пожарной безопасности и техники безопасности.

Средства пожаротушения приведены в таблице 3.1.

Таблица 3.1 -Средства пожаротушения

Наименование

Кол-во, шт.

Кошма войлочная или асбестовое полотно размером 2x1,5м

2

Огнетушители ОУ-8 или ОУБ-7, ОП-10 или ОП-50

10

Ведра

10

Лопаты

5

Топоры

5

Ломы

5


Мероприятия по обеспечению пожарной безопасности при работах на нефтепроводах

В случае разлива нефти при разгерметизации трубопровода, а также при превышении концентрации паров углеводородов выше допустимой необходимо:

Место разлива нефти по всей площади покрыть слоем пены от пожарного автомобиля.

1прекратить работы, обесточить электроустановки;

2заглушить все работающие механизмы;

3вывести людей из опасной зоны;

4доложить о случившемся руководителю работ, диспетчеру ГРНУ;

5вызвать пожарную охрану;

- место разлива нефти оградить;

- установить предупреждающие знаки;

Продолжить работу после устранения причин разлива нефти, загазованности, анализа воздушной среды и согласования с руководителем работ и диспетчером ГРНУ.

Действия работников при возникновении аварийных ситуаций при работах в охранной зоне НП

Организация, производящая работы в охранной зоне, не позднее чем за 5 дней до начала работ сообщает телефонограммой предприятию, эксплуатирующему коммуникации, в охранных зонах которых проводятся работы, о дне и часе начала производства работ, при выполнении которых необходимо присутствие его представителя и получает письменное согласование (подтверждение) сроков прибытия представителей.

До начала производства строительно-монтажных работ в охранной зоне подземных и надземных коммуникаций Генподрядчику необходимо получить письменное разрешение эксплуатирующих организаций на производство работ.

Запрещается производство строительных и земляных работ без оформления необходимых разрешительных документов в охранной зоне трубопроводов и инженерных коммуникаций, находящихся в одном техническом коридоре или пересекающихся с нефтепроводом.

При оформлении разрешения эксплуатирующая организация разрабатывает мероприятия, обеспечивающие сохранность действующего трубопровода, безопасность работ.

До начала работ, приказом по организации, производящей ремонт, назначить лицо ответственное за безопасное производство работ.

Перед началом работ в охранной зоне всем руководителям работ выдается наряд-допуск, в котором должны быть указаны мероприятия, обеспечивающие безопасность производства работ.

Необходимым условием для начала строительных или ремонтных работ является наличие зарегистрированного в территориальном органе Госгортехнадзора России проекта и разрешения на начало строительства.

Договор на производство ремонтных, строительных работ на объектах МН может быть заключен с подрядчиком, имеющим соответствующую лицензию, выданную Госгортехнадзором России или его территориальными органами.

Генподрядчик до начала работ обязан вызвать представителей организаций, эксплуатирующих эти коммуникации для установления их точного местонахождения. Определения местонахождения и технического состояния действующих подземных коммуникаций производится в границах всей зоны производства работ и проходящих в непосредственной близости от границы временной полосы отвода.

Трассы нефтепровода должны быть закреплены знаками на местности высотой 1,5-2,0 м с указанием фактической глубины заложения, установленными на прямых участках трассы в пределах видимости, но не более чем через 50м, а на всех участках углов поворота через 10м.

Во избежание повреждения и возможных аварий все знаки безопасности устанавливаются на расстоянии не менее 2 м от стенки (края) действующих подземных коммуникаций. До обозначения трассы знаками безопасности ведение строительных работ не допускается.

На участках, где действующие коммуникации заглублены менее 0,8м должны быть установлены знаки с надписями, предупреждающими об особой опасности. В местах, не оборудованных переездами через действующие коммуникации, проезд строительной техники и автотранспорта запрещен.

Во время производства работ ответственность за сохранность действующих подземных коммуникаций, установленных вешек, предупредительных знаков и столбиков несут Заказчик и Подрядчик.

В случае обнаружения утечек (выходов) транспортируемого продукта эксплуатирующая трубопровод организация обязана принять срочные меры по устранению обнаруженных повреждений и неисправностей.

Проезд строительной техники над действующими подземными коммуникациями допускается только по специально оборудованным переездам в местах, согласованных с эксплуатирующей организацией.

Устройство временных переездов (укладку бетонных плит, подсыпку грунта) для защиты коммуникаций от механических повреждений при движении строительных механизмов и гусеничного транспорта непосредственно через трассы подземных коммуникаций, осуществляет строительная организация, выполняющая работы.

Мероприятия по безопасному движению техники и схему движения разрабатывает Подрядная организация. Перевозка и транспортировка техники в охранных зонах должна выполняться только по нарядам-допускам. Должны быть оформлены разрешения на производство работ в охранных зонах и всех сторонних коммуникаций, расположенных в зоне производства работ.

Земляные работы в полосе, ограниченной расстоянием 2 м в обе стороны от действующего подземного трубопровода или кабеля должны производиться только вручную в присутствии представителя эксплуатирующей организации.

Строительно-монтажные работы в охранной зоне действующей воздушной линии электропередач под непосредственным руководством инженерно-технического работника, ответственного за безопасность производства работ, при наличии письменного разрешения владельца линии и наряд-допуска, определяющего безопасные условия работ.

Перевозка оборудования, конструкций и прочего груза, производство работ при пересечении с линией ВЛ допускается лишь в случае, если расстояние от верха машин, механизмов и транспорта с грузом до нижнего провода не менее 2,0 м (для напряжения воздушной линии до 20 кВ).

При передвижении строительной техники под линией ВЛ стрела трубоукладчика и ковша экскаватора должны находиться в транспортном (опущенном) положении.

При выполнении земляных работ в охранных зонах действующих подземных коммуникаций отвал грунта из траншеи на действующие коммуникации запрещается. Электросварочные работы в охранной зоне действующих трубопроводов должны вестись в соответствии с ВППБ 01-05-99, "Правилами пожарной безопасности при проведении сварочных и других огневых работ на объектах народного хозяйства".

Расчистка от растительности в охранных зонах должна производиться с обеспечением сохранности надземных сооружений трубопровода, свободного вдольтрассового проезда и подъезда к нему на любом участке, не допускается загромождение трассы трубопровода поваленным кустарником и порубочными остатками. Аварийно-восстановительная служба, обходчики нефтепроводов при осмотре нефтепровода и обнаружении выхода нефти на поверхность земли, водоема, водотока должны:

6 сообщить о выходе нефти оператору НПС и диспетчеру РДП;

7 продублировать сообщении по телефону или рации;

8 приступить к ликвидации аварий.

Основными признаками аварии и аварийной утечки при их визуальном обнаружении является: видимый выход нефти на поверхность трассы; изменение цвета (пожелтение) растительности; изменение цвета (потемнение) снежного покрова; появление радужной плени на поверхность воды. Эти признаки могут быть обнаружены обходчиками при патрулировании трассы МН, обслуживающим персонал при проведении работ в охранной зоне нефтепровода, а также посторонним лицам.

Работы по ликвидации аварий должны проводиться в соответствии с разработанными Планами ликвидации возможных аварий (ПЛА) для объектов МН, расчетная продолжительность выполнения работ по ликвидации не должна превышать 80 ч. в обычных условиях, с увеличением на 30-50% для болотистых мест.

Ответственный представитель по ликвидации аварии обязан:

9 срочно прибыть к месту аварии;

10организовать связь с районным диспетчерским пунктом (РДП);

11уточнить характер аварии и определить возможный объем стока нефти;

12принять меры, исключающие возможность попадания нефти на территорию населенных пунктов, в водоемы, на автомобильные и железные дороги;

13принять меры по предотвращению возможности возгорания разлитой нефти;

14организовать сбор вытекшей нефти;

- определить способ опорожнения дефектного нефтепровода от нефти;

15организовать выполнение АВР;

16принять решение о способе ликвидации аварии применительно к конкретным условиям;

17в соответствии с принятым способом ликвидации аварии организовать прибытие на место аварии необходимого количества аварийных бригад, техники и технических средства, средств связи для обеспечения непрерывной работы по ликвидации аварии, принять меры по оповещению населения и подключению дополнительных средств ремонта;

18назначить своего заместителя, связных и ответственного за ведение оперативного журнала, а также других ответственных лиц, в соответствии с конкретной сложившейся обстановкой;

19организовать каждые три часа письменное сообщение в ОАО МН о ходе работ по устранению аварии;

20организовать размещение бригад, обеспечить их отдых и питание;

21после завершения сварочно-монтажных работ по ликвидации аварии, при положительных результатах контроля сварных соединений, сообщить телефонограммой диспетчеру ОАО МН или РНУ (УМН) об окончании работ и готовности нефтепровода к заполнению нефтью и линейных задвижек;

22укомплектовать группы, назначить ответственных по открытию линейных задвижек;

23проконтролировать визуально герметичность отремонтированного участка, сварных швов и других технологических соединений после пуска нефтепровода и достижения в нем рабочего давления, доложить о состоянии участка диспетчеру;

- организовать оформление исполнительно-технической документации на выполненный ремонт нефтепровода;

организовать устранение последствий аварий и сдачу землевладельцам инспектирующим органам очищенные территории и водоемы.

В случае возникновения аварийной ситуации руководитель работ должен немедленно сообщить об этом эксплуатирующей организации, обеспечить отвод персонала и техники за пределы охранной зоны МН.

До прибытия аварийной ремонтно-восстановительной бригады ответственный руководитель работ должен обеспечить охрану аварийного участка, ж допускать допуска в нее посторонних лиц и транспортных средств и не допустить растекание нефти.

По прибытии бригады принять участие в быстрейшей ликвидации аварии, для чего выделить рабочую силу и механизмы, и обеспечить безопасность их работы.

Трасса магистрального нефтепровода обозначается опознавательными знаками высотой 1,5-2,0 м через каждый километр, а также в местах поворота трассы. На пересечениях дорог устанавливаются предупреждающие плакаты "Огнеопасно, нефтепровод" с номером телефона эксплуатирующей организации и указанием ширины охранной зоны.

В местах пересечения магистрального нефтепровода с железными и автомобильными дорогами всех категорий устанавливается соответствующий дорожный знак, запрещающий остановку транспортных средств в пределах охранной зоны, а также щит-указатель с наименованием эксплуатирующей организации и номером телефона.

Сооружения защиты от разлива продукта (обвалования, траншеи, сборники) должны содержаться в исправности, своевременно ремонтироваться, очищаться от продукта и заиливания.

Линейный персонал, обслуживающий конкретные участки магистрального нефтепровода, должен иметь утвержденные руководством районного нефтепроводного управления и согласованные с местными органами власти планы ликвидации аварий на данных участках нефтепровода.

Трасса нефтепроводов и линейные сооружения содержат в исправном состоянии и чистоте. Утечки продукта своевременно устраняют, а сборники нефти систематически очищают. Замазученный грунт удаляют в места, согласованные с органами охраны природы и землепользователем.

Запорная арматура на магистральном нефтепроводе имеет защитные ограждения и защитные устройства, предупреждающие доступ к ней посторонних лиц. В случае повреждения нефтепровода или обнаружения выхода нефти при выполнении ремонтных работ на трассе, руководитель работ отводит технические средства на безопасное расстояние, извещает оператора или диспетчера ближайшей нефтеперекачивающей станции и вызывает аварийную бригаду. Сооружения и оборудование линейной части (задвижки, краны, вантузы и др. оборудование), а также их ограждения содержат в исправном состоянии, а растительность в пределах ограждения систематически убирают. Линейные обходчики, персонал службы эксплуатации нефтепроводов, обнаружив выход продукта или повышенную загазованность на трассе, немедленно сообщают об этом по рации или с ближайшего пункта связи оператору перекачивающей станции, диспетчеру ЛПДС, устанавливают на месте выхода продукта знаки безопасности. При разливе нефти вблизи населенного пункта, железной или шоссейной дороги обходчик должен принять первоочередные меры против взрывов, пожаров и предупреждения несчастных случаев. До прибытия аварийной бригады он организовывает из лиц населенного пункта оцепление опасной зоны, соблюдение противопожарного режима, объезд опасных участков дорог, оповещение местных органов власти. Работники службы эксплуатации магистрального нефтепровода систематически проводят с населением, проживающим вблизи нефтепровода, разъяснительную работу о соблюдении мер пожарной безопасности в охранной зоне трубопровода, а также при выявлении утечки нефти.

4.       Экологическая безопасность

В процессе очистки нефтепровода происходит предельное воздействие на окружающую среду атмосферу, почвенно-растительный слой, поверхностные и грунтовые воды, фауну. Воздействие газопровода на атмосферу характеризуется следующими особенностями:

выбросы природного газа через неплотности арматуры

выбросы газа при опрессовке трубопровода, но кратковременные (не более 5-10 минут)

разливы очистных систем

Воздействие на почвенно-растительный покров в очистки трубопровода с производством подготовительных работ (земляных) включающих:

расчистку полосы, корчевка лесонасаждений, кустарников, сооружение временных подъездных и вдоль трассовых дорог, производство рекультивации и т.д.

В совокупности факторов (воздействий), оказывающих отрицательное влияние на животных при строительстве и эксплуатации газопровода, выделяются прямые и косвенные. Прямое воздействие обуславливается созданием искусственных препятствий, шумом транспортных средств, повреждение жилищ животных (нор, гнезд, и т.д.). Косвенное воздействие обуславливается изменением среды обитания животных в полосе газопровода в результате нарушения почвенно-растительного покрова, эрозийных процессов.

4.1     Мероприятия по защите окружающей среды

Настоящий раздел проекта выполняется в соответствии с требованиями СНиП 1.02.01-85, санитарными нормами проектирования промышленных предприятий, а также с действующими нормами и правилами регламентирующими условия охраны окружающей среды на проектируемых промышленных объектах.

Нефтепровод "Монги-Погиби" - отвод предназначен для подачи нефти к потребителям. Трасса нефтепровода - отвода выбиралась по оптимальному направлению в соответствии с заданием на проектирование и СНиШ.02.01-85 с учетом использования существующих автомобильных дорог для строительства и эксплуатации объекта, нанесения наименьшего повреждения ценным насаждениям, лесам, пахотным землям, водным бассейнам и т.д. При проектировании трубопровода было необходимо обеспечить достаточные расстояния от населенных пунктов, сельскохозяйственных и животноводческих строений согласно СНиП 2.05.06-85 с учетом перспективного их развития.

Проектом предусмотрены мероприятия направленные на снижение воздействия на окружающую среду:

на участках сельскохозяйственных угодий предусматривается рекультивация плодородного слоя в полосе используемой для строительства газопровода и его временное, на период строительства, сохранение в отвалах с дальнейшим восстановлением;

проезд строительной техники и механизмов только по существующим дорогам и в пределах рекультивационной полосы, не допуская проезда вне ее;

запрещается мойка техники на участках строительства и водоемах.

запрещается слив ГСМ вне специально оборудованных для этих целей мест;

при проведении технологических операций по очистке трубопровода необходимо произвести все необходимые операции в соответствии с главой 4 для предотвращения воздействия на окружающую среду.

5.       Экономическая часть

.1       Определение экономической эффективности разработанных технических мероприятий

Результаты исследований, проведенные во второй главе работы, показывают, что увеличение коэфициента гидравлического сопротивления способствует росту затрат на перекачку и, как следствие, увеличению себестоимости трубопроводного транспорта нефтепродуктов. Поэтому рано или поздно приходится проводить необходимые технологические мероприятия по очистке внутренней полости НПП.

В настоящее время очистные мероприятия проводятся, как правило, без какой-либо определенной обоснованной системы (по принципу - в удобное время). Безусловным основанием для их проведения служит факт полного перекрытия живого сечения НПП отложениями той или иной природы и невозможность вследствие этого дальнейшей эксплуатации НПП [5]. В большинстве же случаев очистки проводятся эпизодически, как правило, при проведении капитальных ремонтов [11].

Технология очистки внутренней полости НПП гельными системами не требуют больших затрат и позволяют не выводить НПП из эксплуатации в самом процессе очистки, поэтому имеет смысл рассмотреть экономическую сторону проведения профилактических очисток.

В зависимости от конструктивных особенностей конкретного трубопровода (диаметр, сорта перекачиваемых продуктов и количество примесей в них, загрузка НПП, степень и характер загрязнений, коррозионный износ и т.д.) стоимость проведения очистных мероприятий варьируется. Поэтому задачу снижения затрат на перекачку можно сформулировать следующим образом: определить периодичность проведения профилактических очистных мероприятий, при котором себестоимость транспорта нефтепродуктов с учетом затрат на очистку за достаточно длительный срок эксплуатации НПП - минимальна.

В связи с изменчивостью конъюнктуры рынка в области тарифной политики трубопроводного транспорта нефтепродуктов задачу выбора оптимального интервала проведения очисток НПП будем решать из условия минимизации не денежных, а энергозатрат.

Проведенные мною в рамках дипломной работы статистические исследования изменения себестоимости транспорта нефтепродуктов ООО РН-"Сахалинморнефтегаз" (за последние 14 лет) показывают, что основную долю собственных затрат акционерного общества составляют затраты на электроэнергию (привод ЦБН насосных станций).

На рис.5.1 представлена диаграмма структуры потребления электроэнергии в целом по ООО РН-"Сахалинморнефтегаз". Из диаграммы следует, что основным потребителем энергии являются насосные агрегаты (70% общих затрат), вспомогательное оборудование, к которому отнесены водяные и подпорные насосы, фильтры, электроприводные задвижки и т.п. (17%), затраты на собственные нужды перекачивающей станции, т.е. затраты на отопление, вентиляцию и освещение (12%) и катодная защита (1%). Затраты на перекачку являются основной расходной статьей затрат и следовательно именно они определяют величину энергоемкости ЛПДС.

Рисунок 5.1 - Структура энергозатрат РН-"Сахалинморнефтегаз"

Необходимо заметить, что соотношение затрат, приведенное на рис.5.1, в общем случае не является постоянным. В основном это обусловлено тем обстоятельством, что загрузка НПП находится в тесной связи с общей экономической ситуацией в России, которая в течение последних 12-15 лет весьма неустойчива. Вследствие этого фактическая загрузка НПП уменьшилась по сравнению с проектной в 10-15 раз. В то же время непроизводительные расходы (энергозатраты вспомогательного оборудования, собственные нужды) снизились в значительно меньшей степени (в 2 - 2,3 раза).

Из постановки задачи определения оптимальной периодичности очистных мероприятий следует, что снижение себестоимости транспорта нефтепродуктов может быть достигнуто в основном за счет снижения энергозатрат на перекачку, в то время как долю этих же затрат в структуре общего потребления линейных пунктов дожимных станций желательно увеличить. Однако последняя зависит от загрузки НПП и, как было отмечено выше, не может регулироваться чисто техническими средствами.

Перейдем к оценке величины основной составляющей затрат ЛПДС - затратам на перекачку нефтепродуктов.

Для определения эмпирической функции S=S(Q) мною были обработаны диспетчерские данные эксплуатации основных НПП РН-"Сахалинморнефтегаз". Результаты этого анализа представлены на рис.5.2.

Рисунок 5.2 - Динамика изменения энергозатрат на перекачку нефтепродуктов по НПП РН-"Сахалинморнефтегаз"

Графический анализ этих экспериментальных данных (см. рис.5.3), показывает, что гипотеза о линейности связи энергозатрат и объема перекачанных нефтепродуктов может быть принята с высокой степенью достоверности (не менее 98%).

Рисунок 5.3 - Зависимость энергозатрат на перекачку основных НПП РН-"Сахалинморнефтегаз" от объемов транспорта нефтепродуктов

Рис. 5.4 - Сопоставление фактических и расчетных энергозатрат на перекачку нефтепродуктов НПП РН-"Сахалинморнефтегаз".

Статистический анализ показал, что НПП эксплуатируются в весьма узком спектре изменения скоростей перекачки (диапазон варьирования для НПП РН-"Сахалинморнефтегаз" составляет 0.2 м/с). В таком случае для достаточно коротких промежутков времени, когда λ = const, можно принять, что комплекс λV2/2 в уравнении - постоянен (т.е. в течение рассматриваемого отрезка времени режим течения и состояние трубопровода не меняются)[87]. Безразмерный параметр L/D характеризует геометрические характеристики НПП.

В таком случае функцию энергозатрат на перекачку можно представить в обобщенном виде

 (5.1)

Используя стандартную процедуру анализа, мне удалось идентифицировать параметры зависимости (5.1) [78]. В частности, сопоставление обобщенных энергозатрат и объемов перекачки по всем НПП РН-"Сахалинморнефтегаз" привело уравнение (5.1) к виду:

 (5.2)

Как следует из формулы (5.2), затраты энергии на перекачку действительно практически линейно зависят от объемов перекачанного продукта. Нелинейность соотношения L/D связана с допущением об идентичности параметра Re для всей совокупности рассматриваемых НПП и временным трендом параметра λ = λ (t).

На рис. 5.4 представлено сопоставление фактических и расчетных данных, полученных по обобщенной модели для некоторых НПП РН-"Сахалинморнефтегаз". Сравнительный анализ полученных результатов свидетельствует о том, что погрешность предлагаемой модели не превосходит 1.6% [4].

В целях удобства дальнейших построений перейдем в уравнении (5.1)

к удельным затратам (на единицу массы перекачанного продукта):


или в принятых обозначениях


Фактически уравнение (5.4) представляет собой осредненные энергозатраты на перекачку тонны нефти в пределах рассматриваемой группы НПП за достаточно короткий промежуток времени (условия перекачки неизменны). Однако как показали исследования, рассмотренные в главе 2 настоящей работы, существует дрейф параметра К в уравнении (5.4) за счет роста параметра λ (засорение трубопровода), то есть на достаточно длительном интервале планирования работы НПП параметр К следует считать зависящим от времени эксплуатации (при постоянной скорости перекачки (К = λ = λ (t)), т.е.


Рассмотрим возможность определения вида функции К=К(t) на примере НПП "Монги-Погиби", на котором в рамках дипломного проекта перед проведением капитального ремонта была произведена очистка и опорожнение внутренней полости НПП гельным поршнем (глава 2).

На основании обобщения априорных данных об изменении энергозатрат на перекачку нефтепродуктов по данному НПП за последние 14 лет было установлено, что в связи с резким падением производительности НПП выделить в общей сумме увеличения энергозатрат на перекачку составляющую, соответствующую росту гидравлического сопротивления НПП из-за образования ВТО, достаточно сложно.

На рис.5.5 представлены эмпирические данные по объемам перекачки нефтепродуктов и соответствующие им энергозатраты (за 16 лет). Корреляционный анализ экспериментальных данных показал, что до 2008 г. коэффициент взаимной корреляции между энергозатратами и объемами перекачки по рассматриваемому НПП был близок к единице (0,989). Позднее теснота корреляционной связи между этими параметрами уменьшилась до величины 0.812 (нарушение эквидистантности кривых на рис. 5.5).

Рисунок 5.5 - Соотношение энергозатрат и объемов перекачки нефтепродуктов на примере НПП РН-"Сахалинморнефтегаз"

Рисунок 5.6 - Сопоставление фактических и расчетных энергозатрат на перекачку

Это связано с тем, что при критическом уменьшении производительности НПП насосно-силовое оборудование эксплуатируется в областях пониженного к.п.д., где уровень нелинейности особенно высок (нелинейность зависимости N = N(Q), где N - мощность, потребляемая насосом при перекачке жидкости в области малых Q) [89].

Для определения функции роста энергозатрат вследствие образования внутритрубных отложений, приводящих к увеличению гидравлического сопротивления НПП представим годовые затраты электроэнергии в виде:

Si = Qi q(t) + S0 , (5.6)

где    Qi - годовой объем перекачки по НПП;(t) - удельные затраты электроэнергии на перекачку 1 тн. нефтепродукта;

S0 - затраты энергии на собственные нужды (технологические перекачки на ЛИДС, бытовые нужды и пр.) (см. рис.5.1).

Анализ рис.5.5 позволяет сделать вывод о том, что за исключением времени, когда НПП работает с производительностями ниже критических и мера корреляционной связи между производительностью НПП и энергозатратами близка к 1, функцию q(t) можно описать как

q(t) = A+Bt , (5.7)

где А и В - эмпирические коэффициенты.

Тогда

Si = Qi (A+Bt) + S0 . (5.8)

Коэффициенты А, В и S0 найдем из условия:

 (5.9)

Задача минимизации функционала (5.9) решалась с помощью алгоритмов и программ, представленных в работе [53]. Для рассматриваемого примера уравнение регрессии (5.8) имеет вид (построено на основании динамики изменения энергозатрат до момента проведения очистки):

Si = Qi (2,349 + 0,0195t) + 300. (5.10)

О степени достоверности регрессионного уравнения (5.8) можно судить по рис. 5.6, где приведена динамика фактических и расчетных величин общих годовых затрат.

Исследование изменения энергозатрат на перекачку нефтепродуктов после осуществления мероприятий по очистке показали, что удаление внутритрубных отложений и скоплений воды и газа в количестве свыше 100 тонн [11] позволило снизить удельные энергозатраты на перекачку не ниже, чем на 10-15%. Такой вывод подтверждается анализом уравнения регрессии, построенного на основании обработки данных, полученных за 4 года эксплуатации нефтепродуктопровода "Монги-Погиби", прошедшие с момента проведения очистки его гельным вязкоупругим поршнем. Заметим, что в рассматриваемом случае очистка как раз и была проведена исходя из принципа - "в удобное время" (приурочена ко времени проведения капитального ремонта НИИ).

Это эмпирическое уравнение имеет следующий вид:

Si = Qi (1,564 + 0,015t) + 300. (5.11)

На рис. 5.7 приведены зависимости от времени фактических общих удельных затрат и удельные затраты, рассчитанные по уравнениям (5.10) и (5.11). Из графиков следует, что с момента очистки энергозатраты на перекачку нефтепродуктов по рассматриваемому НПП снизились до наименьшего уровня, определяемого лишь относительной шероховатостью стенок трубопровода.

Располагая информацией о структуре функции роста энергозатрат вследствие засорения внутренней полости НПП, можно перейти непосредственно к решению задачи оптимизации сроков проведения работ по очистке трубопроводов [12].

Введем следующие обозначения: S - накопленная сумма общих затрат на перекачку нефтепродукта за достаточно длительный срок t, ( t>>Т , где Т - период между очистными мероприятиями), А0 - затраты на перекачку в единицу времени (удельные затраты) при условии отсутствия отложений, В(t) - возрастающая функция, описывающая увеличение удельных затрат вследствие увеличения гидравлических потерь, причем В(0)=0, С - стоимость очистных мероприятий. Тогда количество очистных мероприятий за время t будет составлять N=t/Т и, следовательно, функцию затрат можно выразить следующим образом:

 (5.12)

Рисунок 5.7 - Изменение во времени фактических общих (включая собственные нужды) удельных затрат и функции дополнительных удельных затрат, рассчитанных по уравнению регрессии (5.11)

Рисунок 5.8 - Характер изменения накопленной суммы общих затрат на перекачку нефтепродуктов во времени

Характер поведения этой функции для различных условий эксплуатации трубопроводов представлен на рис. 5.8.

Заметим при этом, что при достаточно больших t величина А0 ǂ const, а зависит от времени эксплуатации трубопровода. Это объясняется увеличением относительной шероховатости внутренней поверхности трубы. В рамках поставленной задачи будем предполагать, что в период между очистками А0 = const и определяется себестоимостью перекачки по каждому конкретному трубопроводу в каждом отдельном случае.

Приведя общие удельные затраты ко времени t, т.е. s(Т)=S(t,Т)/t, получим искомую целевую функцию вида:

 (5.13)

Для решения поставленной задачи необходимо определить период Т из условия s(Т) ->min.

Параметры А0, С являются нормативными и определяются исходя из диаметра и длины очищаемого трубопровода [85].

Функция В(t) зависит в общем случае от условий перекачки, темпа образования ВТО, физико-химических свойств перекачиваемого продукта и, в общем случае, является вероятностной функцией. Вид и параметры функционала В(t) необходимо определять, исходя из зависимости описывающей рост энергозатрат на перекачку вследствие уменьшения эффективного диаметра.

Проведенный нами ретроспективный анализ динамики энергозатрат на перекачку нефтепродуктов по НПП РН-"Сахалинморнефтегаз"показал, что на этапе активного образования ВТО и скоплений воды и паров нефтепродуктов наиболее адекватно описать функцию B(t) удается степенной зависимостью:

 (5.14)

где    Т0 - интервал времени, на котором определяются эмпирические параметры;

r, В0 - эмпирические коэффициенты;

Рассмотрим решение поставленной задачи для функции (5.14), вид которой позволяет получить аналитическое решение. Действительно, подставляя (5.14) в (5.13), получим

 (5.15)

Проведя элементарные преобразования (из условия (dS/(dT=0), определим минимум функционала (5.15)

 (5.16)

Анализ полученных результатов свидетельствует о том, что оптимальный период проведения очисток трубопровода в наибольшей степени зависит от темпа изменения энергозатрат на перекачку продукта.

Полученное выражение для оптимального периода очистных мероприятий на НПП (5.16) и ранее найденные (см. формулы 5.11 и 5.12) выражения для входящих в нее параметров позволяют вычислить значение оптимального межочистного периода для НПП "Монги-Погиби". Для этого перепишем равенство (5.11), приняв среднегодовую производительность за период после очистки Qi = 500 тыс. тонн и учитывая тариф на электроэнергию (0,34 руб/кВт ч на начало 2013 года) в виде денежных затрат:

Si = 500·0,34·(1,564+0,015)+300=360,6+2,5·t тыс.руб.

Следовательно, в принятых нами обозначениях А0 = 360,6 тыс.руб/год. В0 = 2,5 тыс.руб/год. Учитывая линейность аппроксимирующей функции (r=1) выражение (5.16) запишем в виде:

 (5.17)

Стоимость очистных мероприятий (величина С в (5.17)) с применением вязкоупругого гельного поршня для конкретных параметров трубопровода (D=500мм, L=170 км) составляет приблизительно 40 тыс.руб. Подставляя найденные значения параметров (С=40 тыс.руб. Т0=1 год. В0=2,5 тыс.руб/год) в (5.17) получим оптимальный период очистных мероприятий Т = 5,6 лет.

Таким образом, на основании проведенных расчетов и исследований можно сделать выводы о том, что предлагаемая методика позволяет планировать оптимальные сроки проведения очистных мероприятий с учетом особенностей эксплуатации конкретного НПП, если известна априорная информация об изменении динамики энергозатрат на перекачку в течение достаточно продолжительного периода эксплуатации НПП.

Заключение

В рамках данного дипломного проекта были рассмотрены способы очистки нефтепродуктопроводов с участками разного диаметра. В качестве технологически приемлимой для участка "Монги-Погиби" была выбрана технология очистки трубопровода гельными системами. Просчитана и доказана эффективность данной технологии по отношению к заданному участку нефтепродуктопровода. Проведен анализ динамики изменения шероховатости и количества внутритрубных отложений при эксплуатации нефтепроводов, рассмотрено влияние скоплений жидкости и газа на эксплуатационные характеристики трубопроводов. Разработаны составы гельных систем, предназначенных для очистки нефтепродуктопроводов от внутритрубных отложений и инородных скоплений различной природы. Установлено, что эффективность очистки трубопроводов переменного сечения (до 60 %) и сложного профиля при этом составляет 92 - 99 %. Показано, что очистка нефтепродуктопроводов гельными разделителями позволяет уменьшить удельные энергозатраты на перекачку не менее, чем на 4...5 %. Разработаны рекомендаций по выбору технологический параметров эксплуатации трубопроводов при их очистке гельными системами. Предложен технологический регламент эксплуатации нефтепродуктопровода "Монги-Погиби" в период проведения очистных работ. Установлено, что для повышения качества очистки (до 100 %) необходимо производить вытеснение гельной очистной системы при скоростях перекачки до 1 м/с (Re< 5-104). Показано, что степень износа этих систем не превышает одного метра длины гельного поршня на 10 км трассы трубопровода. Разработана методика расчета оптимальной периодичности проведения технологических мероприятий по очистке нефтепродуктопроводов гельными системами. Просчитана экономическая эффективность проведения работ по очистке нефтепродуктопровода "Монги-Погиби".

Список литературы

1. Адлер Ю.П. и др. Планирование эксперимента при поиске оптимальных условий / Ю.П. Адлер, Е.В.Макарова, Ю.Е.Грановский - М.: Наука, 1976. -279 с.

. Азизов A.M. Информационные системы контроля параметров технологических процессов. - Л.: Химия, 1983. - 328 с., ил.

. Алиев Т.М., Мелик-Шахназаров A.M., Тер-Хачатуров A.A. Измерительные информационные системы в нефтяной промышленности. - М.: Недра, 1981. - 351 с.

. Альтшуль А.Д. Гидравлические сопротивления. 2-е изд., перераб. и доп. - М.: Недра, 1982. - 224 с.

. Антипьев В.П., Подорожников С.Ю. Некоторые аспекты безаварийной эксплуатации продуктопроводов, связанные с ликвидацией гидратов // Межвузовский сборник научных статей. Нефть и газ. - Уфа: УГНТУ, 1997. -№1. - С. 197 - 199.

. Ахмадуллин K.P., Новоселов В.Ф. Оценка степени загрязненности трубопровода по данным эксплуатации // Транспорт и хранение нефтепродуктов и углеводородного сырья. - 1997. - №11-12. - С. 19-21.

. Ахмадуллин K.P., Гумеров А.Г., Новоселов В.Ф. и др. Перспективы применения полимерных гелей в трубопроводном транспорте // Межвузовский сборник научных статей. Нефть и газ. - Уфа: УГНТУ, 1997. -№1. - С. 159 - 160.

. Ахмадуллин K.P., Труфакина М.М., Гареев М.М. и др. Применение полимерных гелей в технологических процессах транспорта нефти // Материалы международного семинара "Проблемы сбора, подготовки и магистрального транспорта нефти". - ВНИИСПТНефть, сентябрь, 1988.

. Багаутдинов Ф.И. Очистка магистральных нефтепродуктопроводов от скоплений воды // Транспорт и хранение нефтепродуктов. - 1999. - №4. - С. 13 - 15.

. Байков И.Р., Жданова Т.Г., Гареев Э.А. Моделирование технологических процессов трубопроводного транспорта нефти и газа. - Уфа, Баш. Книж. Из-во, 1994. - 128 с., ил.

. Байков И.Р., Ахмадуллин K.P. Опыт использования полимерных систем для очистки нефтепродуктопроводов//Транспорт и хранение нефтепродуктов. - 1998. - №7. - С. 17

. Байков И.Р., Смородов Е.А., Ахмадуллин K.P. Оптимизация периодичности очистки нефтепродуктопроводов // Транспорт и хранение нефтепродуктов. - 1999. - №8. - С .8 - 12.

. Байков И.Р. Диагностирование и регулирование гидродинамических характеристик магистральных нефтегазопроводов. Дисс. д-ра наук. - Уфа, 1995. - 316 с.

. Байкова Л.Р. Прогнозирование технологических параметров нефтепроводов в осложненных условиях эксплуатации. Дисс. канд. техн. Наук. - Уфа, 1997. - 126 с.

. Бенсон О. Основы химической кинетики / Пер, с англ. - М.: Мир, 1972. -21 с.

. Бруссар Д.Е. Очистка газопровода с помощью гель-тампона // Нефть, газ нефтехимия за рубежом. - 1982. - №7. - С.56 - 59.

. Бычков В.Е., Удлер Э.И., Рыбаков К.В. Турчанинов В.Е. Динамика процесса промывки трубопровода перекачиваемым продуктом // Транспорт и хранение нефтепродуктов и углеводородного сырья. - ЦНРТИТЭнефтехим, 1978. - №6. - С. 23 - 26.

. Бычков В.Е., Турчанинов В.Е., Васильев Ю.М. Исследование загрязненности топлив при их перекачке по сборно-разборным трубопроводам // Транспорт и хранение нефтепродуктов и углеводородного сырья. - ЦНИИТЭнефтехим, 1979. -№1. - С. 15 - 16.

. Бычков В.Е., Юфин В.А., Науменко О.В., Стоин A.M. Устройство для интенсификации промывки трубопроводов гидравлическим ударом // Транспорт и хранение нефтепродуктов и углеводородного сырья. -ЦНИИТЭнефтехим, 1979. - №6 - С. 8 - 11.

. Вальд А. Последовательный анализ / Пер. с англ. - М.: Физматгиз, 1960. -328 с., ил.

. Велиев Ф.Г. О неравновесных отрицательных давлениях. - ИФЖ, 1993. -T.2 - С. 242 - 244.

. Вернуй Б. Трубопроводные скребки // Нефть, газ и нефтехимия за рубежом. - 1980. - №9. - С. 84 - 86.

. Вернуй Б. Трубопроводные скребки // Нефть, газ и нефтехимия за рубежом. - 1980. - №10. - С. 47 - 49.

. Виноградов Г.В., Малкин А.Я. Реология полимеров. - М.: Химия, 1977. - 216 с.

. Вязунов Е.В., Голосовкер В.И. Исследование закономерностей парафинизации трубопроводов // Транспорт и хранение нефти и нефтепродуктов. - 1975. - №1. - С. З - 5 .

. Галеев В.Б., Карпачев М.З., Харламенко В.И. Магистральные нефтепродуктопроводы. -2-e изд., перераб. и доп. - М.: Недра, 1988. - 296 с., ил.

. Галлямов А.К., Байков И.Р., Аминев P.M. Оценка скорости выноса скоплений жидкости из пониженных участков трубопроводных систем. //Баку: Изв. ВУЗов. Нефть и газ. - 1990. - №7. - С. 73 - 76.

. Галлямов А.К. Исследование по повышению эффективности эксплуатации нефтегазопроводов. - Дисс. докт. техн. наук 05.15.07. - Уфа, 1974.

. Галлямов А.К. О потерях давления при движении газожидкостных смесей в "рельефном трубопроводе" // Изв. ВУЗов. Нефть и газ. - 1966. - №3. - С.81-86.

. Галлямов А.К., Рубин В.Е. Влияние скоплений воды и газа на эксплуатационные характеристики магистральных трубопроводов. - М.: ВНИИОЭНГ, - 1970. - 48 с.

. Галлямов А.К., Байков И.Р., Аминев P.M. Оценка эффективной скорости выноса водяных и газовых скоплений из трубопроводов // Нефтяная промышленность. - 1990. - №9. - С. 34 - 36.

. Гейер Б.В. Повышение эффективности эксплуатации магистральных нефтегазопроводов на основе использования реологических характеристик перекачиваемых веществ. - Дисс. канд. техн. наук, 05.15.13. - Уфа. 1993.

. Гужов А.И., Титов ВТ., Поляков Г.Г. Исследование вопроса совместного транспорта нефти и газа по магистральным трубопроводам // Изв. ВУЗов. Нефть и газ, 1960. - №5. - С. 113 - 120.

. Гужов А.И. Совместный сбор и транспорт нефти и газа. - М.: Педра, 1973. - 280 с.

35. Демченко Ю.В., Крылов Ю.В. Результаты диагностических работ на нефтепродуктопроводах АК "Транснефтепродукт" // Транспорт и хранение нефтепродуктов и углеводородного сырья. - ЦНРШТЭнефтехим, 1999. - №5. -С. 6 - 9.

. Дидковская A.C., Воронин И.В., Левин М.С. Условия выноса скоплений воды из пониженных участков нефтепродуктопроводов // Транспорт и хранение нефтепродуктов. - 1997. - № 12. - С. 20 - 21.

. Дизенко Е.И., Новоселов В.Ф., Тугунов П.И. Определение критической скорости потока жидкости для выноса механических отложений из трубопровода // Транспорт и хранение нефтепродуктов и углеводородного сырья, ЦНИИТЭнефтехим. - 1970. - № 12. - С. 8 - 10.

. Дильман В.В., Полянин А.Д. Методы модельных уравнений и аналогий в химической технологии. - М.: Химия, 1988. - 304 с.

. Догадкин Б.А., Донцов A.A., Шершнев В.А. Химия эластомеров. - М.: Химия. - 1981. - 276 с.

. Желеобразный разделитель. Гатауллин З.Т., Исмайлов И.А., Кукушкин C A. A.C. 1227903, опубл. в Б.И. 1986. - №16. - С. 158 - 159.

. Иванова В.М., Калинина В.Н., Нешумова Л.А. и др. Математическая статистика. - М.: Высшая школа, 1981. - 371 с.

. Исследование операций.: В 2-х томах / Пер. с англ. / Под ред. Дж. Моудера, С.Элмаграби. - М.: Мир, 1981.- 677 с.

. Казак A.C. Идентификация параметров газотранспортных систем при стационарных режимах / базовая промышленность. - М.: 1982. - 47 с.

. Карпачев М.З. О режимах и гидравлических сопротивлениях при перекачке нефти и светлых нефтепродуктов по магистральному трубопроводу // Транспорт и хранение нефтепродуктов и углеводородного сырья. - ЦНИИТЭнефтехим, 1986. - №3. - С. 13 - 16.

. Касперович В.К., Черникин В.И. Экспериментальное исследование удаления воздуха из нефтепродуктов // Транспорт и хранение нефтепродуктов. - 1965. - №1. - С. 7 - 10.

. Кафаров В.В., Дорохов И.И., Жуховицкий О.Ю. Идентификация параметров гидравлического состояния системы трубопроводного транспорта методом конфлюэнтного анализа // Докл. АНСССР, 1986. - №4. - т. 288. - С. 944 - 948.

. Кафаров В.В., Ветохин В.Н., Бояринов А.И. Программирование и вычислительные методы в химии и химической технологии. - М.: Наука, 1972. - 488 с., ил.

. Климовский Е.М., Колотилов Ю.В. Очистка и испытание магистральных трубопроводов. - М.: Недра, 1987. - 173с.

. Кокс Д., Смит У.В. Теория восстановления. - М.: Советское радио, 1967. -192 с.

. Конов Г.Б., Неволин А.И. Очистка нефтепровода Шаим-Тюмень // РНТС - Транспорт и хранение нефти и нефтепродуктов, М., ВНИИОЭНГ. - 1975. -№9. - С. 19 - 20.

. Коршак A.A., Забазнов А.И., Новоселов В.В. и др. Трубопроводный транспорт нестабильного газового конденсата. - М: ВНИИОЭНГ, 1994. - 224 с.

. Кофман А. Методы и модели исследования операций. - М.: - Мир, 1966. -523 с.

З. Курицкий Б.Я. Поиск оптимальных решений средствами Excel 7.0. - С. -Петербург, "ВНУ-Санкт-Петербург", 1997. - 384 с.

. Лейбензон Л.С., Собрание трудов. - т. З. - Изд. АН СССР, 1955. - 678 с.

. ЛОВИК X. Применение гелей для очистки трубопроводной системы // Рiреline. - 1985. - v. 64. - №6. - p. 23 - 26.

. Макс Ж. Методы и техника обработки сигналов при физических измерениях / Пер. с фр.- М.: Мир, 1983. - т.1. - 312 с.

. Малкин А.Я., Чалых A.B. Диффузия и вязкость полимеров. - М.: Химия, 1979. - 146 с.

. Мастобаев Б.Н., Армейский Е.А. К вопросу отмывки пристенных парафиносмолистых отложений // Транспорт и хранение нефтепродуктов и углеводородного сырья. - ЦНИИТЭнефтехим, 1976. - №3. - С. 5 - 6.

. Мирзаджанзаде А.Х., Галлямов А.К., Марон В.И. и др. Гидродинамика трубопроводного транспорта нефти и нефтепродуктов. - М.: Недра, 1984. - 287 с.

. Меркулов В.П., Шерстнев Н.М., Швецов И.А. и др. Состав для разделения потоков жидкостей. A.C. 402 635, Б.И. 1973. - №42. - С. 67.

. Нечваль A.M., Коршак A.A. Определение относительной скорости газовых скоплений при их выносе потоком перекачиваемой жидкости // Изв. ВУЗов. Нефть и газ. - 1991 - №4. - C. 74 - 77.

. Новоселов В.Ф., Коршак A.A. Трубопроводный транспорт нефти и газа. Перекачка вязких и застывающих нефтей. Специальные методы перекачки. - УфагУНИ, 1988. - 108 с.

. Новоселов В.Ф. Трубопроводный транспорт нефти и газа. Технологический расчет нефтепродуктопроводов. - Уфа.: УНИ, 1986. - 93 с.

. Очистной поршень-разделитель. Порайко И.Н., Каримов З.Ф., Галюк В.Х., Савельев М.П. А.С.516438, опубл. в Б.И. 1976. - №12. - C. 28.

. Панахов Г.М., Шаммазов A . M . Экспериментальное исследование вязкоупругих разделительных пробок с магнитным наполнителем.: Сб. науч. тр. / АзРШЕФТЕХИМ. - Баку, 1984. - С. 108 - 109.

. Порайко И.Н., Порайко И.Д. Полимерные легкоподвижные разделители для трубопроводов // Транспорт и хранение нефтепродуктов и углеводородного сырья. - 1982. - №1. - С. 17 - 19.

. Порайко И.Н., Байков Н.М. Эмульгирующие и стабилизирующие свойства водорастворимых ПАВ и полимеров // Нефтяное хозяйство. - 1978. -№7. - С. 58 - 61.

. Порайко И.Н., Галюк В.Х. Очистка нефтепроводов водорастворимыми полимерами // Нефтяное хозяйство. - 1979. - №9. - С. 28 - 31.

. Порайко И.Н., Порайко Д.Н. Механизм действия гидрофильных полимеров в нефтяном потоке // Нефтяное хозяйство. - 1984. - №5. - С. 56 - 59.

. Порайко И.Н., Арутюнов А.И. Снижение давления в промысловом нефтепроводе с помощью полиакриламида // Нефтепромысловое дело. - 1978. - №6. - С. 46 - 48.

. Порайко И.Н. Увеличение пропускной способности нефтепровода с помощью гидрофильных полимеров // Транспорт и хранение нефти и нефтепродуктов. - 1973. - №8. - С. 9 - 10.

. Порайко И.Н. Применение полиакриламида в технологических процессах, связанных с добычей нефти // ТНТС, "Добыча", М.: ВНИИОЭНГ. - 1974. - 41 с.

. Порайко И.Н. О стабилизации производительности нефтепроводов полимерами // Транспорт и хранение нефти и нефтепродуктов. - 1979. - № 11. - С. 18 - 21.

. Порайко И.Н. О возможности борьбы с образованием парафино-смолистых отложении с помощью полиакриламида // Транспорт и хранение нефти и нефтепродуктов. - 1977. - №12. - С. З - 5.

. Порайко И.Н., Василенко С.К. О применении водорастворимых полимеров для увеличения производительности нефтепроводов // Транспорт и хранение нефти и нефтепродуктов. -1975. - №7. - С. З - 5.

. Порайко И.Н., Каширский А.И., Угрюмов Р.А. Экспериментальная очистка горячего нефтепровода водорастворимыми полимерами // Транспорт и хранение нефти и нефтепродуктов. - 1977. -№6. - С. 12 - 14.

. Порайко И.Н., Савельев М.П., Василенко С.К. Очистка нефтепровода Нижневартовск-Усть-Балык высоковязкими гелями ПАА // Нефтяное хозяйство. - 1978. - №3. - С. 61 - 65.

. Порайко И.Н., Василенко С.К. О применении водорастворимых полимеров для увеличения производительности нефтепроводов // Транспорт и хранение нефти и нефтепродуктов. - 1975. - №7. - С. 3 - 4.

. Порайко И.Н. Оптимизация времени контакта промысловых эмульсий с реагентом в турбулентных потоках // Нефтяное хозяйство. - 1973. - №10. - С. 43 - 45.

. Порайко И.Н., Игнатов А.Е., Савельев В.П. Очистка нефтепровода Мичуринск-Кременчуг от парафиносмолистых отложений с помощью водорастворимых полимеров // Транспорт и хранение нефти и нефтепродуктов. - 1978. - №8. - С. 6 - 9.

. Порайко И.Н., Савельев М.П., Василенко O.K. Депарафинизация полости нефтепровода Шаим-Тюмень водорастворимыми полимерами // Транспорт и хранение нефти и нефтепродуктов. - 1978. - №3. - С. 8 - 11.

. Порайко И.Н., Галюк В.Х. О физико-химических исследованиях по применению водорастворимых полимеров при перекачке нефти // Транспорт и хранение нефти и нефтепродуктов. - 1977. - №8. - С. 12 - 15.

. Применение полимерных гелей разделителей для опрессовки линейной части действующих нефтепроводов и нефтепродуктопроводов РД. - Уфа: ВНИИСПТНефть. - 14 с.

. Пуритон Р.Дж., Митчел С. Практическое применение гелей в качестве разделителей и для очистки трубопроводов // Нефть, газ и нефтехимия за рубежом. - 1987. - №3. - С. 66 - 69.

. Руководство по очистке магистральных нефтепроводов. РД 39-30-295-79. - Уфа: Изд. ВНИИСПТНефть, 1980. - 44 с.

. Саттаров P.M., Гермашев А.И., Панахов P.M. и др. Промышленное внедрение вязкоупругого магнитоактивного разделителя для очистки трубопроводов // Транспорт и хранение нефтепродуктов и углеводородного сырья, ЦНИИТЭнефтехим. - 1986. -№5. -С. 6 - 8.

. Саттаров P.M., Ишмухаметов И.Т., Губанов В.И. и др. Эффективность применения гелеобразных составов при разделении нефтепродуктов и очистке трубопровода "Грозный-Армавир" // Транспорт и хранение нефтепродуктов и углеводородного сырья. - ЦНИИТЭнефтехим, 1987. - №5. -С. 12-14.

. Саттаров P.M., Важнова И.А. Влияние процессов массообмена на нелинейную фильтрацию многокомпонентных систем // IFZh. - V.48. - N.3. -1985.

. Селихов В.Л., Каган М.Б., Лазарева Н.С. Нефтяные центробежные насосы. - М.: ЦИНТИХИМНЕФТЕМАШ, 1980. - 52 с.

. Состав полимерной пробки для депарафинизации нефтепровода. Савельев М.П., Порайко И.Н., Галюк В.Х. и др. A.C. 712435, опубл. В Б.И. 1980. - №4.

. Состав для разделения потока. Меркулов В.П., Кукин В.В., Мирзаджанзаде А.Х. и др. A . C . 402635, опубл. в Б.И. 1973.- №42.-С.67.

. Состав гелеобразного поршня для очистки внутренней поверхности каналов. Мирзаджанзаде А.Х., Байков И.Р., Хасанов М.М., Гейер Б.В. A.C. № 162 2038, Б.И. 1991. - №3. - С. 34.

. Способ очистки внутренней поверхности трубопроводов. Волков В.И., Накоряков В.Е., Шрейбер И.Р. А.С.918773, опубл. в Б.И. 1982. - №13. -С. 176.

. Способ получения очистного полимерного поршня-разделителя. Савельев М.П., Порайко И.Н, Галюк В.Х. и др. A.C. 749849, опубл. в Б.И. 1980. - №22. - С. 98.

. Способ снижения гидравлического сопротивления. Белянинов П.П., Порайко И.Н. и др. A.C. 1105721, опубл. в Б.И. 1984. - №28. - С. 111.

. Способ герметичного перекрытия нефтепровода. Белянинов П.П., Соколович В.П., Порайко И.Н. А.С.979784, опубл. в Б.И. 1982. - №45. - С. 170.

. Способ получения и ввода комбинированного поршня-разделителя. Ахатов Р.Ш., Порайко И.Н., Каримов З.Ф., Галюк В.Х., Исхаков Р.Г. A.C. 634070, опубл. в Б.И. 1978. - №43. - С. 123.

. Справочник по проектированию магистральных трубопроводов. / Под ред. А.К. Дерцакяна. - Л.- Недра, 1977.- 519 с.

. Сумбатова А.Р. Идентификация параметров магистрального нефтепродуктопровода // Транспорт и хранение нефтепродуктов и углеводородного сырья. - ЦНИИТЭнефтехим, 1984. - №4. - С. 15 - 18.

. Тейлор Дж. Введение в теорию ошибок / Пер. с англ. - М.: Мир, 1975. -272 с, ил.

. Торнер Р.В. Теоретические основы переработки полимеров. - М.: Химия, 1977. - 196 с.

. Тугунов П.И., Новоселов В.Ф. Типовые расчеты при проектировании и эксплуатации нефтебаз и нефтепроводов. - М.: Недра, 1981. - 177 с.

. Фан Нгок Чунг, Шаммазов A.M. Влияние отрицательных давлений на вынос скоплений из трубопроводов // Изв. Вузов. Нефть и газ. - 1986. - №4. -С. 66 - 68.

. Фелер В. Введение в теорию вероятностей и ее приложения. - М.: - Мир, 1984. - 1,2т. - т. 1 - 527 с., т.2 - 751 с.

. Ферри Дж. Вязкоупругие свойства полимеров. - М.: Изд. Иностранной литературы, 1963. - 116с.

. Ферстер Э., Ренц Е. Методы корреляционного и регрессионного анализа: Руководство для экономистов. - М.: Финансы и статистика, 1983. - 302 с.

. Фролов Ю.А., Новоселов В.Ф. Очистка полости действующих магистральных трубопроводов. - Уфа: Изд. Уфим. нефт. ин-та, 1989. - 92 с.

. Хайбуллин Р.Я., Шаммазов A.M., Шарифуллин Р.Я. Некоторые особенности использования вязкоупругих разделительных пробок при последовательной перекачке нефтепродуктов // Изв.Вузов. Нефть и газ. -1985. - №7. - С. 78 - 79.

. Центробежные нефтяные насосы для магистральных трубопроводов. Каталог. - М.: ЦИНТИхимнефтемаш, 1981. - 20 с.

. Чанг Дей Хан. Реология в процессах переработки полимеров. - М.: Химия, 1979. - 186 с.

. Чарный И.А. Влияние рельефа местности и неподвижных включений жидкости или газа на пропускную способность трубопроводов // Нефтяное хозяйство, 1965. - №6. - С. 51 - 55.

. Черняев Д.А., Дизенко Е.И. Очистка и ремонт магистральных нефтепродуктопроводов // Транспорт и хранение нефтепродуктов и углеводородного сырья. - ЦНИИТЭнефтехим, 1970. - №5. - С. 14 - 15.

. Черчмен Р., Акофф Р., Арнофф Э. Введение в исследование операций. -М.: Наука, 1968. - 488 с.

. Шварц М.Э., Савельев Г.П. Очистка внутренней полости нефтепродуктопроводов // Транспорт и хранение нефтепродуктов и углеводородного сырья. - ЦНИИТЭнефтехим, 1977. - №12. - С. 6 - 9.

115. Broussard D.E. Gel-plug technology used to clean FLAGS gas line // Pipe Line Industry. - 1982. - v. 57. - № 1. - p. 31 - 34.

. Cleaning pipeline interior with gelled pig. Purinton Robert J.,; The Chemical Co. Пат. 4473408, США. Заявл. 12.01.82, № 338928, опубл. 25.09.84. M K U INT CL В089/04. MKU U.S.CI. - 134/8; 134/22/4.

. Jardine A.K.S. Maintenance, Replacement and Reliability, Pitman, London/Halsted Press (Wiley), N.Y., 1973.

. Purinton R., Mitchell S. Practical Application For Gelled Fluid Pigging. Pipeline Ind. 1987. - v. 66. - P. 55 - 56.

Похожие работы на - Технология очистки нефтепровода 'Монги-Погиби'

 

Не нашли материал для своей работы?
Поможем написать уникальную работу
Без плагиата!
Без нейросетей!